经济数学(一)(上)模拟试题1
- 格式:doc
- 大小:265.50 KB
- 文档页数:6
《经济数学基础12》网上形考任务1至2试题及答案形考任务1 试题及答案题目1:函数的定义域为().答案:题目1:函数的定义域为().答案:题目1:函数的定义域为().答案:题目2:下列函数在指定区间上单调增加的是().答案:题目2:下列函数在指定区间上单调增加的是().答案:题目2:下列函数在指定区间上单调减少的是().答案:题目3:设,则().答案:题目3:设,则().答案:题目3:设,则=().答案:题目4:当时,下列变量为无穷小量的是().答案:题目4:当时,下列变量为无穷小量的是(). 答案:题目4:当时,下列变量为无穷小量的是(). 答案:题目5:下列极限计算正确的是().答案:题目5:下列极限计算正确的是().答案:题目5:下列极限计算正确的是().答案:题目6:().答案:0题目6:().答案:-1题目6:().答案:1题目7:().答案:题目7:().答案:().题目7:().答案:-1题目8:().答案:题目8:().答案:题目8:().答案:().题目9:().答案:4 题目9:().答案:-4 题目9:(). 答案:2题目10:设在处连续,则().答案:1题目10:设在处连续,则().答案:1题目10:设在处连续,则().答案:2题目11:当(),()时,函数在处连续. 答案:题目11:当(),()时,函数在处连续. 答案:题目11:当(),()时,函数在处连续.答案:题目12:曲线在点的切线方程是().答案:题目12:曲线在点的切线方程是().答案:题目12:曲线在点的切线方程是().答案:题目13:若函数在点处可导,则()是错误的.答案:,但题目13:若函数在点处可微,则()是错误的.答案:,但题目13:若函数在点处连续,则()是正确的.答案:函数在点处有定义题目14:若,则().答案:题目14:若,则().答案:1题目14:若,则().答案:题目15:设,则().答案:题目15:设,则().答案:题目15:设,则().答案:题目16:设函数,则(). 答案:题目16:设函数,则(). 答案:题目16:设函数,则(). 答案:题目17:设,则().答案:题目17:设,则().答案:题目17:设,则().答案:题目18:设,则().答案:题目18:设,则().答案:题目18:设,则().答案:题目19:设,则().答案:题目19:设,则().答案:题目19:设,则().答案:题目20:设,则().答案:题目20:设,则(). 答案:题目20:设,则(). 答案:题目21:设,则(). 答案:题目21:设,则(). 答案:题目21:设,则().题目22:设,方程两边对求导,可得().答案:题目22:设,方程两边对求导,可得().答案:题目22:设,方程两边对求导,可得().答案:题目23:设,则().答案:题目23:设,则().答案:题目23:设,则().答案:-2题目24:函数的驻点是().答案:题目24:函数的驻点是().答案:题目24:函数的驻点是().答案:题目25:设某商品的需求函数为,则需求弹性().答案:题目25:设某商品的需求函数为,则需求弹性().答案:题目25:设某商品的需求函数为,则需求弹性().答案:形考任务2 试题及答案题目1:下列函数中,()是的一个原函数.答案:下列函数中,()是的一个原函数.答案:下列函数中,()是的一个原函数.答案:题目2:若,则(). 答案:若,则().答案:若,则(). 答案:题目3:(). 答案:题目3:().答案:题目3:(). 答案:题目4:().答案:题目4:().答案:题目4:().答案:题目5:下列等式成立的是().答案:题目5:下列等式成立的是().答案:题目5:下列等式成立的是().答案:题目6:若,则()答案:题目6:若,则().答案:题目6:若,则(). 答案:题目7:用第一换元法求不定积分,则下列步骤中正确的是().答案:题目7:用第一换元法求不定积分,则下列步骤中正确的是().答案:题目7:用第一换元法求不定积分,则下列步骤中正确的是().答案:题目8:下列不定积分中,常用分部积分法计算的是().答案:题目8:下列不定积分中,常用分部积分法计算的是().答案:题目8:下列不定积分中,常用分部积分法计算的是().答案:题目9:用分部积分法求不定积分答案:题目9:用分部积分法求不定积分答案:题目9:用分部积分法求不定积分答案:题目10:答案 0题目11:设,则(). 答案:题目11:设,则().答案:题目11:设,则(). 答案:题目12:下列定积分计算正确的是().答案:答案:答案:题目13:下列定积分计算正确的是().答案:答案:答案:题目14:计算定积分,则下列步骤中正确的是().答案:题目14:().答案:题目14:().答案:题目15:用第一换元法求定积分答案:题目15:用第一换元法求定积分答案:题目15:用第一换元法求定积分答案:题目16:用分部积分法求定积分答案:题目16:用分部积分法求定积分答案:题目16:用分部积分法求定积分答案:题目17:下列无穷积分中收敛的是().答案:答案:答案:题目18:求解可分离变量的微分方程答案:题目18:求解可分离变量的微分方程答案:题目18:求解可分离变量的微分方程答案:题目19:根据一阶线性微分方程的通解公式求解答案:题目19:根据一阶线性微分方程的通解公式求解答案:题目19:根据一阶线性微分方程的通解公式求解答案:题目20:微分方程满足的特解为().答案:题目20:微分方程满足的特解为().答案:题目20:微分方程满足的特解为().答案:有关考试的注意事项:一、考试时注意事项:1、考生参加闭卷考试,除携带2B铅笔、书写兰(黑)字迹的钢笔、圆珠笔或0.5mm签字笔、直尺、圆规、三角板、橡皮外(其他科目有特殊规定的除外),其它任何物品不准带入考场。
西安电子科技大学网络教育 《经济数学一(上)》模拟试题三课程名称: 经济数学一(上) 考试形式: 闭 卷学习中心: 考试时间: 120分钟姓 名: 学 号:一、选择题(本大题共5个小题,每小题4分,满分20分)。
1.函数()f x 在(),a b 内可导,则()f x 在(),a b 不内可微. ( )A .正确B .不正确 2.2()2ln ,()ln f x x g x x ==是相同的函数 ( )A .正确B .不正确 3.极限31lim (1)2xx x→∞+=+( )A .eB . 2e C .3eD . 4e4.设函数1)y x =+-,则d y =( )A .(21)x dx -B .(1)x dx -C .(21)x dx +D .(1)x dx + 5.设函数22y x x =++,则函数在1x =点的弹性1|x E y E x==( )A .23B .34C .3D .4二、填空题(本大题共4个小题,每小题4分,满分16分)。
1.设2()32f x x x =-+,则1()f x= .2.若4103lim2541kx x x x →∞+=--,则=k .3.曲线arctan y x =的单调递增区间为 .4.设某工厂每天生产某种产品x 件的总成本为()5200C x x =+,则固定成本为 ;则边际成本为 .三、计算下列各题(本大题共5个小题,每小题8分,共40分) 1.求极限lim )n n →∞.2.求极限4lim4x x →-.3.求极限2lim (sec tan )x x x π→-.4.设ln (y x =+,求dxdy .5.设()y y x =是由方程sin cos 0y y x +-=所确定的隐函数,求2|x d y d xπ=.四、(8分)试问a 为何值时,函数x a x f sin )(=+31x 3sin 在x =3π处取得极值?它是极大值还是极小值?并求出此极值.五、(8分)求曲线arctan 2y x =在点(0,0)处的切线方程为. 六、(8分)已知某产品的需求函数为3010Q p =-,成本函数为1608C Q =+,求产量为多少时,总利润最大。
经济数学基础试题及答案一、单项选择题(每小题3分,共30分) 1.下列各函数对中,( )中的两个函数是相等的.A .11)(2--=x x x f ,1)(+=x x g B .2)(x x f =,x x g =)(C .2ln )(x x f =,x x g ln 2)(=D .x x x f 22cos sin )(+=,1)(=x g2.设函数⎪⎩⎪⎨⎧=≠+=0,10,2sin )(x x k xx x f 在x = 0处连续,则k = ( ).A .-2B .-1C .1D .23. 函数x x f ln )(=在1=x 处的切线方程是( ).A.1=-y xB. 1-=-y xC. 1=+y xD. 1-=+y x4.下列函数在区间(,)-∞+∞上单调减少的是( ). A .x sin B .2 xC .x 2D .3 - x5.若c x F x x f +=⎰)(d )(,则x x xf d )1(2⎰-=( ).A. c x F +-)1(212B. c x F +--)1(212C. c x F +-)1(22D. c x F +--)1(22 6.下列等式中正确的是( ).A . )cos d(d sin x x x = B. )1d(d ln xx x =C. )d(ln 1d x x a a x a =D.)d(d 1x x x= 7.设23,25,22,35,20,24是一组数据,则这组数据的中位数是().A. 5.23B. 23C. 5.22D. 228.设随机变量X 的期望1)(-=X E ,方差D (X ) = 3,则=-)]2(3[2X E = ( ) . A. 36 B. 30 C. 6 D. 9 9.设B A ,为同阶可逆矩阵,则下列等式成立的是( )A. 111)(---+=+B A B AB. 111)(---=A B ABC. 1T 11T )()(---=B A ABD. 11)(--=kA kA (其中k 为非零常数)10.线性方程组⎥⎦⎤⎢⎣⎡=⎥⎦⎤⎢⎣⎡⎥⎦⎤⎢⎣⎡93321121x x 满足结论( ). A .无解 B .有无穷多解C .只有0解D .有唯一解 二、填空题(每小题2分,共10分)11.若函数54)2(2++=+x x x f ,则=)(x f .12.设需求量q 对价格p 的函数为2e 100)(pp q -=,则需求弹性为E p =.13.=⎰x x c d os d.14.设C B A ,,是三个事件,则A 发生,但C B ,至少有一个不发生的事件表示为 .15.设B A ,为两个n 阶矩阵,且B I -可逆,则矩阵方程X BX A =+的解=X .三、极限与微分计算题(每小题6分,共12分)16.)3sin(32lim 23+-+-→x x x x17.设函数)(x y y =由方程222e e =++xy y x 确定,求)(x y '. 四、积分计算题(每小题6分,共12分)18.x x x d 2cos 20⎰π19.求微分方程12+=+'x xyy 的通解. 五、概率计算题(每小题6分,共12分)20.设A , B 是两个相互独立的随机事件,已知P (A ) = 0.6,P (B ) = 0.7,求A 与B 恰有一个发生的概率. 21.设),3,2(~2N X 求)54(<<-X P 。
西安电子科技大学网络教育 《经济数学一(上)》模拟试题二课程名称: 经济数学一(上) 考试形式: 闭 卷学习中心: 考试时间: 120分钟姓 名: 学 号:一、选择题(本大题共5个小题,每小题4分,满分20分)。
1.函数()f x 在(),a b 内可导,则()f x 在(),a b 内不一定连续. ( )A .正确B .不正确 2.当0x →时,ln(1)x +是x 的同阶无穷小. ( )A .正确B .不正确 3.下列各式中正确的是[ ]A. e x xx =⎪⎭⎫⎝⎛+∞→211limB. e x xx =⎪⎭⎫⎝⎛+∞→21limC. e x xx =⎪⎭⎫ ⎝⎛+∞→211limD. e x x x =⎪⎭⎫ ⎝⎛++∞→111lim4.已知sin 5,0()2,0xx f x xk x ⎧≠⎪=⎨⎪+=⎩,且在0x =连续,则=kA .1B . 2C .3D . 5 5.设函数sin y x =,则y ''=( )A .sin xB . sin x -C .cos x -D . cos x c +二、填空题(本大题共4个小题,每小题4分,满分16分)。
1.设()f x =)(x f 的定义域是 .2.53y x =+的反函数为 .3.函数22()28x f x x x -=+-的可去间断点是 .4.设某商品的价格与销售量的关系为3010Qp =-,则边际收益为 .三、计算下列各题(本大题共5个小题,每小题8分,共40分) 1.求极限2321limnnn ++++∞→ . 2.011lim ln(1)x x x →⎛⎫-⎪+⎝⎭. 3. 设2sec tan y x x x =-,求dxdy. 4.设()y y x =是由方程0x yxy e e -+=所确定的隐函数,求x dy dx=.5. 设某厂生产x 件产品的总成本为() 2.5300C C x x ==+(1) 假定每天至少能卖出150件,为了不亏本,单位售价至少应定为多少元? (2) 求边际成本,并说明边际成本的经济意义.四、(8分)求32231214y x x x =+-+在[-3,0]的最大值和最小值. 五、(8分)求曲线4331249y x x =-+的凹凸区间及拐点.六、(8分)设某商品的需求函数为804Q p =-,其中价格(0,20),p Q ∈为需求量,求 1.需求量对价格的弹性函数;2.4,10,12p p p ===时的需求弹性,并说明其经济意义.《经济数学一(上)》模拟试题二答案一、选择题(本大题共5个小题,每小题4分,满分20分)。
经济数学基本(11春)模拟试题6月 一、单选题(每题3分,本题共15分) 1.下列函数中为奇函数旳是(C ).(A) x x y -=2(B) xx y -+=e e(C) 11ln+-=x x y (D) x x y sin = 2.设需求量q 对价格p 旳函数为p p q 23)(-=,则需求弹性为=p E (D ). (A)p p32- (B)32-pp(C) --32pp(D)pp23--3.下列无穷积分中收敛旳是(B ). (A)⎰∞+0d e x x (B)⎰∞+12d 1x x(C)⎰∞+13d 1x x(D)⎰∞+1d ln x x4.设A 为23⨯矩阵,B 为32⨯矩阵,则下列运算中(A )可以进行. (A) AB (B) A +B (C) AB T (D) BA T5.线性方程组⎩⎨⎧=+=+012121x x x x 解旳状况是(D ).(A) 有唯一解 (B) 只有0解 (C) 有无穷多解 (D) 无解 二、填空题(每题3分,共15分)6.函数24)(2--=x x x f 旳定义域是 ),2(]2,(∞+--∞7.函数1()1e xf x =-旳间断点是 X=0 . 8.若c x F x x f +=⎰)(d )(,则=⎰--x f x x d )e (e c F x +--)e (9.设⎥⎥⎥⎦⎤⎢⎢⎢⎣⎡-=13230201a A ,当=a 0 时,A 是对称矩阵. 10.若线性方程组⎩⎨⎧=+=-002121x x x x λ有非零解,则=λ -1 .三、微积分计算题(每题10分,共20分) 1.设x y x5cos 3+=,求y d .解:解:由微分四则运算法则和微分基本公式得)(cos d )3(d )cos 3(d d 55x x y xx+=+= )(cos d cos 5d 3ln 34x x x x+= x x x x xd cos sin 5d 3ln 34-=x x x xd )cos sin 53ln 3(4--= 2. 计算定积分⎰e1d ln x x x .解:由分部积分法得⎰⎰-=e 12e12e1)d(ln 21ln 2d ln x x x x x x x414e d 212e 2e 12+=-=⎰x x 四、线性代数计算题(每题15分,共30分)11. 设矩阵⎥⎥⎥⎦⎤⎢⎢⎢⎣⎡=⎥⎥⎥⎦⎤⎢⎢⎢⎣⎡--=211010,211001B A ,求1T )(-A B .设矩阵⎥⎥⎥⎦⎤⎢⎢⎢⎣⎡=⎥⎥⎥⎦⎤⎢⎢⎢⎣⎡--=211010,211001B A ,求1T )(-A B .解:由于⎥⎦⎤⎢⎣⎡--=⎥⎥⎥⎦⎤⎢⎢⎢⎣⎡--⎥⎦⎤⎢⎣⎡=3121211001211100TA B因此由公式可得⎥⎦⎤⎢⎣⎡--=⎥⎦⎤⎢⎣⎡---⨯-⨯-=-11231123)1(23)1(1)(1T A B 12. 求齐次线性方程组⎪⎩⎪⎨⎧=-+-=+-+-=-+03520230243214321431x x x x x x x x x x x 旳一般解.解:由于系数矩阵⎥⎥⎥⎦⎤⎢⎢⎢⎣⎡----→⎥⎥⎥⎦⎤⎢⎢⎢⎣⎡-----=111011101201351223111201A ⎥⎥⎥⎦⎤⎢⎢⎢⎣⎡--→000011101201 因此一般解为⎩⎨⎧-=+-=4324312x x x x x x (其中3x ,4x 是自由未知量)五、应用题(本题20分)15.生产某产品旳总成本为x x C +=3)((万元),其中x 为产量,单位:百吨.边际收入为x x R 215)(-='(万元/百吨),求: (1) 利润最大时旳产量;(2) 从利润最大时旳产量再生产1百吨,利润有什么变化? .解:(1)由于边际成本1)(='x C ,边际利润'='-'L x R x C x ()()()x x 2141215-=--=令'=L x ()0 得 7=x (百吨)。
练习一 函数一、填空题1.函数1142-+-=x x y 的定义域是 . 2.若⎩⎨⎧<≤+<<-=20102sin 2x x x x y ,则=)2(πy .3.若x a g y a x cos ,e2)(+==-,则=)(g y . 二、单项选择题1. 若函数)(x f y =的定义域是[0,1],则)(ln x f 的定义域是( ) . A . ),0(∞+ B . ),1[∞+ C . ]e ,1[ D . ]1,0[2. 函数x y πsin ln =的值域是)(. A . ]1,1[- B . ]1,0[ C . )0,(-∞ D . ]0,(-∞3. 若函数1)e (+=x f x,则)(x f = ( ) .A . 1e +xB . 1+xC . 1ln +xD . )1ln(+x 4. 下列各对函数中,( )中的两个函数相等. A . 2)1ln(xx x y -=与x x g )1ln(-= B . 2ln x y =与x g ln 2= C . x y 2sin 1-=与x g cos = D . )1(-=x x y 与)1(-=x x y5. 下列函数中=y ( )是偶函数.A . )(x fB . )(x fC . )(2x fD . )()(x f x f -- 三、解答题1.设⎩⎨⎧<<≤≤=e 1ln 10)(x x x xx f ,求:(1) )(x f 的定义域; (2) )0(f ,)1(f ,)2(f 。
2.某厂产品日产量为1500吨,每吨定价为150元,销售量不超过1000吨的部分按原价出售,超过1000吨的部分按9折出售,若将销售总收入看作销售量的函数,试写出函数表达式.四、证明题设f x x x21,试证f x()是奇函数.()ln()=++练习二 极限的概念一、 填空题:1、 设f (x) 是定义在(),+∞∞-内的奇函数,且+→0lim x f (x) =A ≠0, 则-→0lim x f (x) = 2、 若0lim x → f (x) = A, 则+→0lim x f (x) = 二、写出下列数列的前5项:1 、a n =n n 2;2 、a n = (1 +n1)n ; 3、a n =2)1(1n-+;4、 a n = ;21222nnn n +++三、观察下列数列的变化趋势,写出它们的极限 1、 a n =n n a ∞→lim ,"21= 2、 a n = (―1)=∞→n n na n lim ,13、 a n==+-∞→n n a n n lim ,114、 a n = (―1)n n, =∞→n n a lim四:判断1lim xx e →∞是否存在,若将极限过程改为0x →呢?练习三 无穷小、无穷大、极限运算法则一、 是非题:1、当0x x →时,f (x )是一个无穷小,则f (x )在0x 的某领域内有界.( )2、一个无穷小除以一个非零的有界函数仍是无穷小.( )3、一个无穷大除以一个非零的有界函数仍是无穷大.( )4、若)(l i m 0x f x x →存在,而)(lim 0x g x x →不存在,则)]()([lim 0x g x f xx ±→可能存在.( ) 5、非常小的数是无穷小 ( ) 6、零是无穷小 ( ) 7、无穷小是一个函数 ( ) 二、 计算题: 1、 计算下列极限:(1)152lim 221+++-→x x x x (2)x x x sin lim 0⋅→(3)623lim 2232--++-→x x x x x x (4) 623lim 2232--++-→x x xx x x(5) 2sin 2cos cos lim 2x x x x -→π (6)x xx 414lim -+∞→(7)n n n n x 3232lim 11-+++∞→ (8))111(lim 31x x x --→ 2 . 设⎪⎩⎪⎨⎧≥-<<≤-+=2,2221,;1,32)(2x x x x x x x x f 求)(lim ),(lim ),(lim 321x f x f x f x x x →→→.练习四 两个重要极限一、 计算题:1、 计算下列极限:(1) 0sin lim (0);sin x mx n nx →≠ (2) 02lim ;sin 5x tg xx→(3) 0lim cot ;x x x → (4) lim 2sin 2nnn x →∞(x 为不等于零的常数);(5)51lim(1);n n n+→∞+ (6)0x →(7)2221lim();1x x x x →∞-+ (8)sec 2lim(1cos );xx x π→+(9)222111().lim 2n n n n n n πππ→∞++++++二、证明题:设1n x x ==, 证明数列x n 的极限存在,并求其极限。
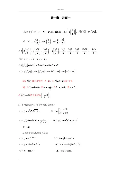
第一章 习题一1.设函数x x x f 3)(3-=,x x 2sin )(=ϕ,求⎥⎦⎤⎢⎣⎡⎪⎭⎫⎝⎛6πϕf ,()[]1f f ,[])(x f ϕ。
解:(1)∵233sin 62sin 6==⎪⎭⎫⎝⎛=⎪⎭⎫⎝⎛πππϕ, ∴8398312833233833233232363-=-=-=⎪⎪⎭⎫ ⎝⎛-⎪⎪⎭⎫ ⎝⎛=⎪⎪⎭⎫ ⎝⎛=⎥⎦⎤⎢⎣⎡⎪⎭⎫ ⎝⎛f f πϕ; (2)∵2131)1(3-=⋅-=f ,∴()[]268)2(3)2(13-=+-=-⋅--=f f ;(3)[][]()()x x x x x f x f 62sin 32sin )(2sin )(33-=-==ϕ2.设)(x f 的定义域为(0,1),求)12(+x f 的定义域。
解:令012=+x ,得21-=x ,令112=+x ,得0=x , 故)12(+x f 的定义域为⎪⎭⎫⎝⎛-0,21。
3,下列表达式中,哪个不是初等函数? (1)x xy -=12; (2)⎪⎩⎪⎨⎧<≥=.0,,0,32x x x y x (3)xx x f -+-=111)(; (4)x x x f 22sin )(+=解:(2)4.分析下列函数的复合结构: (1)xey 2cos ln =; (2)2tan ln x y =;(3)x y 21sin +=; (4)[]2)21arcsin(x y +=; (5)xe y 3tan =; (6)非复合函数。
解(1)ue y =,v u =,s v ln =,t s cos =,x t 2=;(2)u y =,v u ln =,s v tan =,2x s =;(3)u y sin =,v u =,x v 21sin +=;(4)2u y =,v u arcsin =,x v 21+=;(5)u y tan =,ve u =,x v 3=; (6)非复合函数。
5.将)2(sin22x x e y +=分解为一系列简单函数。
第一章 第一章 函数 自测题一、填空题(请将正确答案直接填在题中横线上):1.函数()(ln )f x f x =则的定义域为______________。
2.设1, 1()0, 1,(),[()] ,[()]1,1x x f x x g x e f g x g f x x ⎧<⎪=====⎨⎪->⎩则。
3.函数2, 0()2ln ln 2, 2x x f x x x x -≤⎧⎪⎪=<<⎨⎪-≥⎪⎩的反函数1()f x -=________________。
4.设函数()f x 满足212()()1xf x x f x x +=+,则()f x =__________。
5.设(sin )cos 1.(cos )22x xf x f =+则=____________________。
二、选择题(请在每小题的四个备选答案中,选出一个正确的答案,并将其号码填在括号内):1.函数2211x y x -=+的值域是( )。
(A) 11y -≤≤ (B) 11y -≤< (C) 11y -<≤ (D) 01y ≤≤ 2.()sin ()xf x xex -=-∞<<+∞是( )。
(A) 有界函数 (B) 单调函数 (C) 周期函数 (D) 奇函数 3.设x ∈(-1,1),则1()lg1xf x x -=+( )。
(A) 既是奇函数,又是单调减函数 (B) 既是奇函数,又是单调增函数 (C) 既是偶函数,又是单调增函数 (D) 既是偶函数,又是单调增函数4.设22,0(), 0x x e x x f x e x x ππ⎧--<<⎪=⎨+≤<⎪⎩,在其定义域内为( )。
(A) 无界函数 (B) 周期函数 (C) 单调函数 (D) 偶函数 5.已知函数()f x 在(,)-∞∞上单调减,则下列函数中单调增的是( )。
(A) 2()f x (B) 1()f x (C) ()f x - (D) ()xf x三、充分判断题:解题说明:本题要求判断给出的条件能否充分支持题干陈述的结论。
2015—2016学年第二学期经济数学期末试题考试形式:(闭)卷 适用专业:规划管理(成人)学号:_______ 专业:_________ 班级:_________ 姓名:________注意:请将所有试题答在试卷上!!!一、单项选择(每小题3分,共30分)1、设1,1()11x x f x x x -≤⎧=⎨->⎩,则(0)f =( )A .-1B . 0C .1 D.22、极限()21lim 352x x x →-+= ( )A.0B. 1C. 2D. 3 3、下列等式正确的是 ( )A. 0s i n l i m 0x x x →=B. 01lim sin 1x x x→=C. 1lim sin0x x x →∞= D. 0sin lim 1x xx→=4、1lim(1)xx x→∞+=( ) A. 0 B. 1 C. e D.1e5、设函数 ()ln f x x =, 则 (1)f '=( )A. 2eB. 1C. 2 D 3 6、 (sin )d x = ( )A. cos xdxB. cos xdx -C. sin xdxD.sin xdx -7、若收入函数为2()1500.01()R q q q =-元,则当产量q =100时,其边际收入为( ) A. 150元 B.149元 C. 148元 D. 147元8、称函数)(x f 的( )原函数为)(x f 的不定积分。
A. 任意一个 B. 所有 C. 唯一 D. 某一个 9、下列等式中成立的是( )A .cos sin xdx x C =-+⎰B .dx x =⎰C .31dx x C x=+⎰ D ..x x e dx e C =+⎰ 10、已知()f x 的一个原函数是()F x ,则积分()baf x dx ⎰=( )A . ()F xB . ()f xC . 0D . ()()F b F a -.二、填空题(每小题3分,共15分)1、由y =x u sin =复合而成的函数是 2、极限0sin 2limx xx→=3、极限32lim(1)xx x→∞+=4、nx dx =⎰5、()sin xdx '=⎰三、判断正误(在括号中填上“√ ”或“× ”,每小题1分,共10分)1、01lim0x x x→-= ……………………………………………………………… ( )2、若函数()f x 在0x 点连续,则00lim ()()x x f x f x →= …………………… ( ) 3、函数在一点处的导数的几何意义就是曲线在该点处切线的斜率 …… ( ) 4、导数为0的点一定是极值点。
经济数学基础12模拟试题(一)参考答案一、 单项选择题(每小题3分,共15分)1.A 2. B 3. C 4. A 5. D二、填空题(每小题3分,共15分)6. )()(21x f x f >7. 0→x8. c F x +--)e (9. 11)(---C A D B10.n – r三、微积分计算题(每小题10分,共20分)11.解:因为 2)1()]1ln(1[)1(11x x x x y --++---=' = 2)1()1ln(x x -- 所以 )0(y '= 2)01()01ln(--= 0 12.解:x x x d )2sin (ln +⎰=⎰⎰+-)d(22sin 21d ln x x x x x=C x x x +--2cos 21)1(ln四、线性代数计算题(每小题15分,共30分)13.解:因为 C BA +T =⎥⎥⎥⎦⎤⎢⎢⎢⎣⎡200010212⎥⎥⎥⎦⎤⎢⎢⎢⎣⎡-022011⎥⎥⎥⎦⎤⎢⎢⎢⎣⎡--+242216 =⎥⎥⎥⎦⎤⎢⎢⎢⎣⎡-042006⎥⎥⎥⎦⎤⎢⎢⎢⎣⎡--+242216 =⎥⎥⎥⎦⎤⎢⎢⎢⎣⎡200210 且 C BA +T =⎥⎥⎥⎦⎤⎢⎢⎢⎣⎡→⎥⎥⎥⎦⎤⎢⎢⎢⎣⎡001002200210 所以 )(TC BA r +=214.解 因为增广矩阵 ⎥⎥⎥⎦⎤⎢⎢⎢⎣⎡--=150********λA ⎥⎥⎥⎦⎤⎢⎢⎢⎣⎡---→261026101111λ⎥⎥⎥⎦⎤⎢⎢⎢⎣⎡--→λ00026101501 所以,当λ=0时,线性方程组有无穷多解,且一般解为:⎩⎨⎧+-=-=26153231x x x x (x 3是自由未知量〕 五、应用题(本题20分)15.解:因为 C q ()=C q q ()=05369800.q q++ (q >0) 'C q ()=(.)05369800q q ++'=0598002.-q 令'C q ()=0,即0598002.-q =0,得q 1=140,q 2= -140(舍去). q 1=140是C q ()在其定义域内的唯一驻点,且该问题确实存在最小值. 所以q 1=140是平均成本函数C q ()的最小值点,即为使平均成本最低,每天产量应为140件.此时的平均成本为 C ()140=05140369800140.⨯++=176 (元/件)。
经济数学1复习题《经济数学1》课程是江苏城市职业学院高职专科经管类各专业和商务英语专业的一门必修课,课程的内容为函数、极限与连续、一元函数微分学、一元函数积分学,多元函数微分学,共四章。
本课程共4学分,课内学时60。
教材为《经济数学》,陆峰主编。
考核由江苏城市职业学院组织命题及统一考试。
成绩:平时成绩占30%;数学实验成绩占10%;期末统考成绩占60%。
下面逐章提出教材的重点内容,并附自测练习题供同学们复习时参考。
第一章 函数、极限与连续本章重点:函数概念,基本初等函数,极限的概念,极限的计算,两个重要极限,连续复利。
第二章 一元函数微分学 本章重点:导数与微分的概念以及计算,函数单调性判别,函数的极值及求法,最值的应用,导数在经济中的应用。
第三章 一元函数积分学本章重点:积分概念与计算,可分离变量的微分方程及一阶线性微分方程的解法。
第四章 多元函数微分学本章重点:多元函数的概念,偏导数,全微分,多元复合函数求导法则,隐函数的偏导数和二元函数的极值。
一、填空题 1.函数241lgx y -=的定义域为 .2.函数)2tan(3sin x x y -=的图形关于____________对称. 3.若函数52)1(2-+=+x x x f ,则=)(x f .4.已知生产某种产品的成本函数为C (q ) = 80 + 2q ,则当产量q = 50时,该产品的平均成本为 .5.已知某商品的需求函数为q = 180 – 4p ,其中p 为该商品的价格,则该商品的收入函数R (q ) = . 6.设32sin lim0=→kxxx ,则=k .7.设函数xxx f sin 1)(-=,则当x → 时,)(x f 为无穷小量. 8.已知⎪⎩⎪⎨⎧=≠--=1111)(2x a x x x x f ,若f x ()在),(∞+-∞内连续,则=a .9.函数1()1e xf x =-的间断点是 . 10.函数2x xe y =在0=x 处的微分dy = . 11.曲线 8=xy 在横坐标2=x 处的切线方程为 . 12.已知x x f 2ln )(=,则])2(['f = . 13.某产品的价格函数为20,5qp =-其中p 为价格,q 为销售量,则销售量为15个单位时边际收益是 . 14.已知需求函数为p q 32320-=,其中p 为价格,则需求弹性Eq Ep= . 15.()F x dx '⎰= .16.函数f (x ) = sin2x 的全体原函数是 . 17.=+⎰e 12dx )1ln(d d x x. 18.=+⎰-1122d )1(x x x.19. 0e )(23='+''-y y x 是 阶微分方程. 20.微分方程2x y ='的通解是 .二、单项选择题1.设函数2)(u u f =,x x g ln )(=,则[]=)(x g f ( ).A .2ln uB .2ln x C .2)(ln x D .2)(ln u2.下列函数中为奇函数的有( ).A .)1ln(4x y += B .xxe y = C .x x y cos 2= D .xe e y x x -+=3.函数()1lg +=x xy 的定义域是( ).A .1->xB .0≠xC .0>xD .1->x 且0≠x4.下列各函数对中,()中的两个函数相等.A .2)()(x x f =,x x g =)( B .11)(2--=x x x f ,x x g =)(+ 1C .2ln x y =,x x g ln 2)(=D .x x x f 22cos sin )(+=,1)(=x g 5.下列各式正确的是( ). A .1sin lim0=→x x x B . 1sin lim =∞→x x x C . 1sin lim =→x x x π D . 1sin lim =∞→xxx6.xx x 1)21(lim -→=( ).A .2eB .2-e C . 21e D . 21-e7.下列关于无穷小量的性质中,不正确的说法是( ). A .有限个无穷小量的代数和仍然是无穷小量 B .有界变量乘无穷小量仍是无穷小量 C .常数乘无穷小量仍是无穷小量 D .无穷小量除无穷小量仍是无穷小量 8.已知1tan )(-=xxx f ,当( )时,)(x f 为无穷小量. A . x →0 B . 1→x C . -∞→x D . +∞→x9.函数sin ,0(),0xx f x x k x ⎧≠⎪=⎨⎪=⎩ 在x = 0处连续,则k = ().A .-2B .-1C .1D .210.下列等式不成立的是().A .)d(e d e xx x = B .)d(cos d sin x x x =-C .x x xd d 21= D .)1d(d ln x x x =11.函数212xxy +=的极小值点是( ). A .1-=x B .1=x C .2-=x D . 2=x 12.下列说法正确的是( ).A .连续必可导B .可微必连续C .不可导必不连续D .不可导必可微13.下列函数在指定区间(,)-∞+∞上单调增加的是( ). A .y=sin x B .y=e x C . y=x 2 D .y=3 - x14.下列结论正确的有( ).A .x 0是f (x )的极值点,且f '(x 0)存在,则必有f '(x 0) = 0B .x 0是f (x )的极值点,则x 0必是f (x )的驻点C .若f '(x 0) = 0,则x 0必是f (x )的极值点D .使)(x f '不存在的点x 0,一定是f (x )的极值点15.如果()()F x f x '=,则下列说法中错误的那一个是( ). A .()F x 是)(x f 的不定积分 B .(x)F 是)(x f 的一个原函数 C .)(x f 是)(x F 的导函数 D .dx x f x dF )()(= 16.下列结论正确的是( )..A ()()f x dx f x '=⎰ .B ⎰=)()(x f x df.C [()]()d f x dx f x =⎰ .D[])()(x f dx x f dxd=⎰17.在切线斜率为2x 的积分曲线族中,通过点(1, 4)的曲线为( ). A .y = x 2 + 3 B .y = x 2 + 4 C .y = 2x + 2 D .y = 4x 18.=-⎰)d(exx ( ).A .c x x+-eB .c x x x ++--e eC .c x x+--eD .c x x x +---e e19.下列微分方程中,( )是线性微分方程. A .y y yx '=+ln 2B .x xy y y e 2=+'C .yy x y e ='+'' D .x y y x y xln e sin ='-'' 20.微分方程0)()(432=+'''+'xy y y y 的阶是( ).A . 4B . 3C . 2D . 1三、求下列极限1.22121lim 1x x x x →-++-. 2.2343lim sin(3)x x x x →-+-.3.113lim 21-+--→x x x x . 4.))32)(1()23()21(lim 625--++-∞→x x x x x x .5.32)1sin(lim21-+-→x x x x 6.xx x x )31(lim +-∞→四、计算下列导数或微分1.设xxy -++=1111,求y '. 2.设)1y x ⎫=-⎪⎭,求'y .3.已知y x x x--=1cos 2,求)(x y '. 4.已知2cos ln x y =,求)4(πy '. 5.设212xxy +=,求dy . 6.设x y 3sin ln =,求y d . 7.已知函数()y y x =由方程122=+-xy y x 确定的隐函数,求dxdy . 8.设y y x =()是由方程x y x y cos e e 3+=确定的隐函数,求d y .五、计算下列积分1.dx xx x ⎰++33 . 2.⎰+322x dx . 3.⎰+dx x xsin 1cos . 4.⎰xdx x ln . 5.dx x x 1sin 12⎰. 6.⎰+24d x x x .7.x x x d )e 1(e 3ln2⎰+. 8.21e x ⎰.9.x x d )1ln(1e 0⎰-+. 10.20sin x xdx π⎰.11.求微分方程0e32=+'+yy xy 满足初始条件3)1(=-y 的特解.. 12.求微分方程12+=+'x x y y 满足初始条件47)1(=y 的特解.六、应用题1.设生产某种产品x 个单位时的成本函数为:x x x C 625.0100)(2++=(万元),求:(1)当10=x 时的总成本、平均成本和边际成本;(2)当产量x 为多少时,平均成本最小? 2.某厂生产一批产品,其固定成本为2000元,每生产一吨产品的成本为60元,对这种产品的市场需求规律为q p =-100010(q 为需求量,p 为价格).试求: (1)成本函数,收入函数;(2)产量为多少吨时利润最大?3.设某商品的需求函数为0.110,p Q e p -=其中为价格,Q 为需求量,(1)若销售此种商品,问P 为多少时总收益最大?最大收益是多少?(2)求需求弹性函数及当p=5时的需求弹性,并说明它的经济意义。
梁明 审密-学生填写): 姓名: 学号: 命题: 题: 审批:----------------------------------------------- ---------------------------- 封 -------------------------- 线 ----------------------------------------------------------- (答题不能超出密封装订线)函授专2011-2012学期 经济数学(一)练习测试题使用班级(教师填写):函销大11-1班,函会大11-1班,函会电大11-1班一.填空题:(每小题3分,共15分) 1.34223(1)(21)lim_____________.(41)(2)x x x x x →∞+-=+-2..__________1sinlim =∞→xx x3.已知23x y =,则dy = 。
4.2()xf x dx '=⎰___ _。
5.若⎰+=C x F x x f )(d )(,则⎰=x xx f d )(ln 。
二.计算导数或微分(每小题5分,共15分) 1.已知,arctan )1(2x x y +=求y ''。
2.yx e xy +=,求dy 。
3. 求]sin [2⎰x xtdt dxd 。
三.计算极限(每小题6分,共24分) 1. 2arctan limxtdt x x ⎰→2.xxx x --+→11lim3.xx x 1)1(lim-+→α------------------------------------ 密 ---------------------------- 封 --------------------------- 线 ----------------------------------------------------(答题不能超出密封装订线)4.1)1232(lim +∞→++x x x x四.计算不定积分或定积分。
经济数学基础模拟试卷一一、单项选择题(每小题3分,本题共15分)1.设需求量q 对价格p的函数为()5q p =+=p E ( D ). (A)(C)2.下列无穷积分中收敛的是(A ). (A)e d x x +∞-⎰(B) 1x +∞⎰(C) 11d x x+∞⎰(D) ⎰∞+1d ln x x 3.设A 为54⨯矩阵,B 为45⨯矩阵,则下列运算中(A )可以进行.(A)AB (B) A B +(C)TAB (D) TBA4. 下列函数中不是奇函数的是( D ). (A) 3y x x =-(B) e e x x y -=- (C) 11ln+-=x x y (D) x x y sin = 5.线性方程组12121222x x x x +=⎧⎨+=⎩ 解的情况是(C ).(A) 有唯一解(B) 只有0解 (C) 有无穷多解(D) 无解二、填空题(每小题3分,共15分)6.函数()3f x x =+的定义域是(-3-∞)U (3 +∞).7.函数1()1e xf x =-的间断点是x=0.8.若c x F x x f +=⎰)(d )(,则23()d x f x x =⎰1/3F(x)+c .9.若方阵A 满足除主对角线以外的元素全为零,则A 是对角矩阵.10.若线性方程组12121x x x x λ-=⎧⎨+=⎩无解,则=λ-1.三、 微积分计算题(每小题10分,共20分) 11. 设25ln xy x =+,求y d .解:由微分四则运算法则和微分基本公式得22d d(5ln )d(5)d(ln )x x y x x =+=+ 5ln5d 2ln d(ln )x x x x =+25ln 5d ln d x x x x x =+2(5ln 5ln )d x x x x=+12.计算定积分π20cos d x x x ⎰.解:由分部积分法得πππ2220cos d sin sin d |x x x x x x x =-⎰⎰π20πcos 2|x =+π12=- 四、 线性代数计算题(每小题15分,共30分)13.设矩阵100110A ⎡⎤⎢⎥=⎢⎥⎢⎥⎣⎦,求T 1()A A -. 解:因为T 1010120010100110A A ⎡⎤⎡⎤⎡⎤⎢⎥==⎢⎥⎢⎥⎢⎥⎣⎦⎣⎦⎢⎥⎣⎦所以由公式可得T 111001()2022101A A -⎡⎤⎡⎤⎢⎥==⎢⎥⎢⎥⨯⎣⎦⎣⎦14.讨论当a ,b 为何值时,线性方程组123123123232213x x x x x x x x ax b++=⎧⎪+-=-⎨⎪++=⎩无解,有唯一解,有无穷多解.因为 1123112312210144310269a b a b ⎡⎤⎡⎤⎢⎥⎢⎥--→--⎢⎥⎢⎥⎢⎥⎢⎥---⎣⎦⎣⎦11230144001417a b ⎡⎤⎢⎥→--⎢⎥⎢⎥--⎣⎦所以当14a =且17b ≠时,方程组无解; 当14a ≠时,方程组有唯一解;当14a =且17b =时,方程组有无穷多解. 五、应用题(本题20分)15.生产某产品的总成本为()12C x x =+(万元),其中x 为产量,单位:百吨.边际收入为()173R x x '=-(万元/百吨),求: (1) 利润最大时的产量;(2) 从利润最大时的产量再生产2百吨,利润有什么变化? 15. 解:(1)因为边际成本()2C x '=,边际利润'='-'L x R x C x ()()() 1732153x x =--=-令'=L x ()0 得 5x =(百吨)又5x =是L x ()的唯一驻点,根据问题的实际意义可知L x ()存在最大值,故5x =是L x ()的最大值点,即当产量为5(百吨)时,利润最大. (2)7755()d (153)d L L x x x x '==-⎰⎰7253(15)62|x x =-=-即从利润最大时的产量再生产2百吨,利润将减少6万元.经济数学基础模拟试卷二一、 单项选择题(每小题3分,本题共15分)1. 在切线斜率为3x 的积分曲线族中,通过点()2,6的曲线为(A ).(A) 232y x =(B) 234y x =+ (C) 3y x =(D) 32y x =-2.下列结论中正确的是( B ).(A) 使)(x f '不存在的点x 0,一定是f (x )的极值点 (B) x 0是f (x )的极值点,且f '(x 0)存在,则必有f '(x 0) = 0 (C) x 0是f (x )的极值点,则x 0必是f (x )的驻点 (D) 若f '(x 0) = 0,则x 0必是f (x )的极值点3. 设A 是t s ⨯矩阵,B 是n m ⨯矩阵,且B AC T有意义,则C 是(D )矩阵. (A) n s ⨯(B) s n ⨯ (C) m t ⨯(D) t m ⨯4. 若n 元线性方程组AX =0满足秩()A n <,则该线性方程组(A ). (A) 有无穷多解 (B) 有唯一解 (C) 只有零解 (D) 无解5. 下列各函数对中,( B )中的两个函数相等.(A) 2)()(x x f =,x x g =)((B) ()f x =,()g x x = (C) 2ln x y =,x x g ln 2)(=(D) 11)(2--=x x x f ,x x g =)(+ 1二、 填空题(每小题3分,共15分)6. 函数23,20()1,03x x f x x x --≤<⎧=⎨+≤<⎩的定义域是[2,3)-.7. 曲线ln y x =在(1,0)处的切线斜率是 1 .8.2d e d x x -=⎰2e d xx -.9.设矩阵4213A --⎡⎤=⎢⎥⎣⎦,I 为单位矩阵,则T()I A +=3124-⎡⎤⎢⎥-⎣⎦. 10. 线性方程组AX b =有解的充分必要条件是秩=A 秩)(A .三、 微积分计算题(每小题10分,共20分)11. 设2e cot x y x -=-,求y '. 解:由微分四则运算法则和微分基本公式得22(e cot )(e )(cot )x x y x x --''''=-=-2221e ()sin x x x -'=-+2212e sin x x x-=-+12. 计算定积分20sin d x x x.解:由分部积分法得2220sin d d x x x x x=cos x=-=1四、 线性代数计算题(每小题15分,共30分)13.已知B AX =,其中12321012,3003701A B ⎡⎤⎡⎤⎢⎥⎢⎥==⎢⎥⎢⎥⎢⎥⎢⎥⎣⎦⎣⎦,求X . 解:利用初等行变换得123100123100012010012010037001001031⎡⎤⎡⎤⎢⎥⎢⎥→⎢⎥⎢⎥⎢⎥⎢⎥-⎣⎦⎣⎦120193100151010072010072001031001031--⎡⎤⎡⎤⎢⎥⎢⎥→-→-⎢⎥⎢⎥⎢⎥⎢⎥--⎣⎦⎣⎦即 1151072031A --⎡⎤⎢⎥=-⎢⎥⎢⎥-⎣⎦因此可得115121132072302120310191X A B ---⎡⎤⎡⎤⎡⎤⎢⎥⎢⎥⎢⎥==-=-⎢⎥⎢⎥⎢⎥⎢⎥⎢⎥⎢⎥--⎣⎦⎣⎦⎣⎦14.求齐次线性方程组1234123412342023403290x x x x x x x x x x x x ++-=⎧⎪++-=⎨⎪++-=⎩ 的一般解. 解:因为系数矩阵111211122341012332190123A --⎡⎤⎡⎤⎢⎥⎢⎥=-→⎢⎥⎢⎥⎢⎥⎢⎥----⎣⎦⎣⎦101501230000--⎡⎤⎢⎥→⎢⎥⎢⎥⎣⎦所以一般解为134234523x x x x x x =+⎧⎨=--⎩(其中3x ,4x 是自由未知量)五、 应用题(本题20分)15. 设某产品的固定成本为64(万元),且边际成本为()250C x x '=+(万元/百台).试求产量由6百台增至8百台时总成本的增量,及产量为多少时,可使平均成本达到最低.解:当产量由6百台增至8百台时,总成本的增量为86(250)d C x x ∆=+⎰=826(50)x x += 128(万元)又 xc x x C x C x ⎰+'=d )()(=25064x x x++=6450x x ++令 264()10C x x'=-=, 解得8x =.又该问题确实存在使平均成本达到最低的产量,所以,当8x =时可使平均成本达到最小.经济数学基础模拟试卷三一、 单项选择题(每小题3分,共15分) 1.设21()f x x =,则=))((x f f ( D ). A .x 1 B .21xC .2xD .4x2.若)(x F 是)(x f 的一个原函数,则下列等式成立的是( B ).A .)(d )(x F x x f xa =⎰B .)()(d )(a F x F x x f xa-=⎰C .)()(d )(a f b f x x F ba-=⎰D .)()(d )(a F b F x x f ba-='⎰3.以下结论或等式正确的是( C ).A .对称矩阵一定是对角矩阵B .若AC AB =,且0A ≠,则C B =C .TAA 一定是对称矩阵 D .若0,0A B ≠≠,则0AB ≠4.线性方程组1212220x x x x +=⎧⎨+=⎩ 解的情况是( A ).A . 有无穷多解B . 只有0解C . 有唯一解D . 无解 5.已知1()2x f x =,当( D )时,)(x f 为无穷小量. A .x →0B .1→x C .-∞→x D .+∞→x 二、 填空题(每小题3分,共15分)6.设()2x xa a f x --=,则函数的图形关于原点对称.7.函数22(1)y x =-+的驻点是X =-1.8.若c x F x x f +=⎰)(d )(,则cos (sin )d xf x x =⎰(sin )F x c +.9.设10110101A a ⎡⎤⎢⎥=⎢⎥⎢⎥⎣⎦,当=a 0时,A 是对称矩阵. 10.齐次线性方程组0=AX 的系数矩阵为112401110000A -⎡⎤⎢⎥=--⎢⎥⎢⎥⎣⎦,则此方程组的一般解为1342343x x x x x x =--⎧⎨=+⎩.(x 3,4x 是自由未知量〕三、微积分计算题(每小题10分,共20分)11.设y =y d .解:因为232ln )(ln )y x x x '''=+==所以2d y x =12.计算定积分e12ln d x x x ⎰.解:eee221112ln d ln d(ln )x x x x x x x =-⎰⎰2e21e 1e d 22x x =-=+⎰四、代数计算题(每小题15分,共30分)13.设矩阵2312,4534A B ⎡⎤⎡⎤==⎢⎥⎢⎥⎣⎦⎣⎦,求解矩阵方程B XA =. 13.解:因为23104501⎡⎤⎢⎥⎣⎦3110220121⎡⎤⎢⎥→⎢⎥--⎣⎦5310220121⎡⎤-⎢⎥→⎢⎥-⎣⎦即 153********-⎡⎤-⎡⎤⎢⎥=⎢⎥⎢⎥⎣⎦-⎣⎦所以,X =112233445-⎡⎤⎡⎤⎢⎥⎢⎥⎣⎦⎣⎦=5312223421⎡⎤-⎡⎤⎢⎥⎢⎥⎢⎥⎣⎦-⎣⎦= 31221122⎡⎤-⎢⎥⎢⎥⎢⎥⎢⎥⎣⎦14.设齐次线性方程组1231231232302350350x x x x x x x x x λ-+=⎧⎪-+=⎨⎪-+=⎩, λ为何值时,方程组有非零解?在有非零解时求其一般解.解:因为12312323501135019λλ--⎡⎤⎡⎤⎢⎥⎢⎥-→-⎢⎥⎢⎥⎢⎥⎢⎥--⎣⎦⎣⎦1231101101108008λλ-⎡⎤⎡⎤⎢⎥⎢⎥→-→-⎢⎥⎢⎥⎢⎥⎢⎥--⎣⎦⎣⎦所以,当8λ=时方程组有非零解.一般解为1323x x x x =-⎧⎨=⎩ (其中3x 为自由未知量) 五、应用题(本题20分)15.生产某产品的边际成本为()510C q q '=+ (万元/百台),边际收入为()1502R q q '=-(万元/百台),其中q 为产量,问产量为多少时,利润最大?从利润最大时的产量再生产4百台,利润有什么变化?解:()()()()()150********L q R q C q q q q '''=-=--+=-令()0L q '=,得20q =(百台)又20q =是()L q 的唯一驻点,该问题确实存在最大值,故20q =是()L q 的最大值点,即当产量为20(百台)时,利润最大. 又 ()()24242422020207d 1407d (140)562|L L q q q q q q '∆==-=-=-⎰⎰即从利润最大时的产量再生产4百台,利润将减少56万元。
西安电子科技大学网络教育 《经济数学一(上)》模拟试题一
课程名称: 经济数学一(上) 考试形式: 闭 卷
学习中心: 考试时间: 120分钟
姓 名: 学 号:
一、选择题(本大题共5个小题,每小题4分,满分20分)。
1.函数()f x 在(),a b 内连续,则()f x 在(),a b 内每一点处都有极限. ( )
A .正确
B .不正确 2.函数2()sin f x x =是奇函数.
( ) A .正确 B .不正确 3.极限0
sin 31
lim(
sin )x x x x x
→+= ( )
A .0
B . 4
C .3
D . ∞ 4.设函数2
x y e =,
d d y
x
=
( )
A .2
x xe B .2
2x x e C .2
2x xe D .2
x e
5.设某商品的需求函数为8010Q p =-,供给函数为4020Q p =-+,则均
衡价格
( )
A .02p =
B .03p =
C .04p =
D .05p =
二、填空题(本大题共4个小题,每小题4分,满分16分)。
1.函数()35,0,
23,0,x x f x x x ⎧+<=⎨+≥⎩
则()0f = .
2. 是函数()2
1
1
x f x x -=
-的无穷间断点. 3.极限3lim 1x
x x →∞⎛⎫
+= ⎪⎝
⎭ .
4.曲线3y x =的拐点为 . 三、计算下列各题(本大题共5个小题,每小题8分,共40分) 1.求极限212
1lim 11x x x →⎛⎫- ⎪--⎝⎭
. 2.求极限20tan lim
tan x x x x x
→-.
3.设ln(tan sec )y x x =+,求
dx
dy . 4.设()y y x =是由方程2y
y xe =+所确定的隐函数,求
x dy dx
=.
5.某工厂每天生产某产品,每天最多生产200件.每天的固定成本为160元,生产一件产品的可变成本为8元,如果每件产品的售价为10元,并且生产的产品可全部售出,求该厂每天的总成本函数及总利润函数,并计算每天产量定为多少时,工厂才不会亏损。
四、(8分)讨论4
3
2
()386f x x x x =-+的单调性,并求极值点及极值. 五、(8分)求曲线3
2691y x x x =-++的凹凸区间及拐点. 六、(8分) 已知某产品的总成本C 是产量Q 的函数
2
()900100
Q C Q =+
1.求产量200Q =时总成本,平均成本及边际成本; 2.讨论Q 为多少时,平均成本最低
《经济数学一(上)模拟试题一答案
一、选择题(本大题共5个小题,每小题4分,满分20分)。
1.A 2.B 3.C 4.C 5.C 二、填空题(本大题共4个小题,每小题4分,满分16分)。
1.3 2.1- 3.3
e 4.(0,0)
三、计算下列各题(本大题共5个小题,每小题8分,共40分) 1. 解 212
1lim 11x x x →⎛⎫- ⎪--⎝
⎭= 21)1)(1(1lim )1)(1()1(2lim 11
-=+--=+-+-→→x x x x x x x x 2.解 20tan lim
tan x x x x x →-30tan lim x x x
x
→-= 22
022
0220sec 1lim 3tan lim 31lim 3
3x x x x x x x x x →→→-==== 3. 解
[ln(tan sec )]dy
x x dx
'=+ 21
(tan sec )tan sec 1
(sec sec tan )tan sec sec x x x x
x x x x x
x
'
=++=
++=
4. 解 ,x 方程两边对求导
(2)y x x y xe ''=+
2()y x y xe '''=+ 1y y y e xe y ''=⋅+⋅
1y
y e y xe '=-,
20
x dy e dx
==
5. 解 设每天的产量为x ,则
()1608,{|0200}C C x x D x x ==+=≤≤ ()10,{|0200}R R x x D x x ===≤≤
()()()10(1608)2160L L x R x C x x x x ==-=-+=-
盈亏转折点为
()21600L x x =-= 80x =
每天产量定为80件时,工厂才不会亏损。
四、(8分)解1) 322()12241212(1)f x x x x x x '=-+=-
2)()0,f x '=令得120,1x x ==
五、(8分)解1)23129y x x '=-+
6126(2)y x x ''=-=-
2)0,y ''=令得2x =
六、(8分)解 (1) 成本函数 2
()900100
Q C Q =+
平均成本 2
200(200)9001300100
C =+= (200)
(200) 6.5200
C C =
= 边际成本函数 ()50
Q C Q '=
200
(200)450
C '=
= 2.平均成本 ()900()100
C Q Q
C Q Q Q =
=+
2
9001
()0100C Q Q
'=-
+=, 则
2
9001
100Q
=,300Q = 由题意可知:300Q =平均成本最低,这时的平均成本为:
900300
(300)6300100
C =
+=。