经济数学基础期末模拟试题及答案(二)
- 格式:pdf
- 大小:68.68 KB
- 文档页数:6
经济数学基础补考试题题库及参考答案一、单选题(题数:5,共 10.0 分)1若,则()2.0 分A、B、C、D、正确答案:A2设A是三角形矩阵,若主对角线上元素(),则A可逆。
A、全都是0B、可以有0的元素C、不全为0D、全不为0正确答案:D3“在点处有定义”是当时有极限的()A、必要条件B、充分条件C、充要条件D、无关条件正确答案:D4下列函数在指定区间A、B、C、D、3-x正确答案:B5设,则()A、1B、2C、3D、4正确答案:B二、填空题(题数:15,共 30.0 分)1正确答案第一空: 02甲乙两人打靶,用A表示甲中靶的事件,B表示乙中靶的事件,靶被射中表示为____________。
正确答案第一空: A+B3若A+B=U,AB=,则A是B的____________。
正确答案第一空:对立事件4设一组试验数据为7.3,7.8,8.0,7.6,7.5,则它们的方差是_______________。
正确答案第一空: 0.05845正确答案第一空: 2/36用棉花方格育苗,每方格种两粒种子,棉籽的发芽率是0.9,则两粒都发芽的概率是____________。
正确答案第一空: 0.817若事件A,B,有P(A)=0.5,P(B)=0.4,P(AB)=0.3,则P=____________。
正确答案第一空: 0.758用棉花方格育苗,每方格种两粒种子,棉籽的发芽率是0.9,则两粒都不发芽的概率是____________。
正确答案第一空: 0.019若某种商品的需求量正确答案第一空:10一组样品组成_______________。
正确答案第一空:样本11正确答案第一空: 112若=P(A),则=____________。
正确答案第一空: P(B)13袋中有4个红球,2个白球,从中每次取1球,连续取两次,两次取得白球的概率是____________。
正确答案第一空: 1/1514正确答案第一空:15正确答案第一空:三、判断题(题数:20,共 60.0 分)1可微与可导两个概念是等价的。
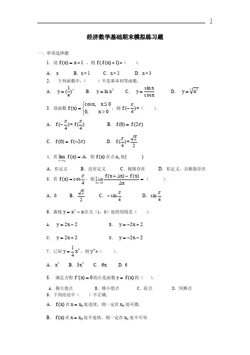
经济数学基础期末模拟练习题一、单项选择题1.设1)(+=x x f ,则)1)((+x f f =( ). A . x B .x + 1 C .x + 2 D .x + 3 2. 下列函数中,( )不是基本初等函数.A . xy )e1(= B . 2ln x y = C . xxy cos sin =D . 35x y = 3.设函数⎩⎨⎧>≤=0,00,cos )(x x x x f ,则)4(π-f =().A .)4(π-f =)4(πf B .)2()0(πf f =C .)2()0(π-=f fD .)4(πf =224.若A x f x x =→)(lim 0,则)(x f 在点0x 处( )A .有定义B .没有定义C .极限存在D .有定义,且极限存在5.若4cos)(π=x f ,则=∆-∆+→∆xx f x x f x )()(0lim().A .0B .22 C .4sin π- D .4sin π6.曲线x x y -=3在点(1,0)处的切线是( ). A . 22-=x y B . 22+-=x y C . 22+=x yD . 22--=x y7.已知441x y =,则y ''=( ). A . 3x B . 23x C . x 6 D . 68. 满足方程0)(='x f 的点是函数)(x f y =的( ).A .极大值点B .极小值点C .驻点D .间断点 9.下列结论中( )不正确.A .)(x f 在0x x =处连续,则一定在0x 处可微.B .)(x f 在0x x =处不连续,则一定在0x 处不可导.C .可导函数的极值点一定发生在其驻点上.D .若)(x f 在[a ,b ]内恒有0)(<'x f ,则在[a ,b ]内函数是单调下降的. 10.设f x ()的一个原函数是e -2x ,则f x ()=( ). A . e -2xB . --22e xC . x2e4--D . 42e -x11.微分方程y y ='的通解是=y ( ). A . c x +25.0 B . xc e C . xc -eD . c y x+=e12.设一组数据1x =0,2x =10,3x =20,其权数分别为1.01=p ,6.02=p , 3.03=p ,则这组数据的加权平均数是( ).A . 12B . 10C . 6D . 4 13.对任意二事件A B ,,等式( )成立.A .P AB P A P B ()()()= B .P A B P A P B ()()()+=+C .P A B P A P B ()()(())=≠0 D .P AB P A P B A P A ()()()(())=≠014.掷两颗均匀的骰子,事件“点数之和为3”的概率是( ). A .361B . 181C . 121D . 11115.矩阵13210011000010001000-⎡⎣⎢⎢⎢⎢⎤⎦⎥⎥⎥⎥的秩是( ) A. 1 B. 2 C. 3 D. 4 16.若线性方程组的增广矩阵为⎥⎦⎤⎢⎣⎡=41221λA ,则当λ=( )时线性方程组有无穷多解.A .1B .4C .2D .1217.若非齐次线性方程组A m ×n X = b 的( ),那么该方程组无解. A .秩(A ) = n B .秩(A )=m C .秩(A )≠ 秩 (A ) D .秩(A )= 秩(A )二、填空题 1.极限=→xx x 1sinlim 0. 2.当k 时,⎩⎨⎧<+≥+=001)(2x kx x x x f 在0=x 处仅仅是左连续.3.函数x x x f ln )(-=的单调增加区间是 . 4.如果f x x x c ()sin d ⎰=+2,则)(x f '= .5.广义积分 ⎰∞-02d e x x = . 6. 0e)(23='+''-y y x是 阶微分方程.7.设随机变量X 的概率分布为则a = .8.设),(~p n B X ,且6)(=X E ,6.3)(=X D ,则n = . 9.设矩阵[]321-=A ,I 是单位矩阵,则I A A -T =_________.三、解答题1. 生产某种产品的固定成本为1万元,每生产一个该产品所需费用为20元,若该产品出售的单价为30元,试求:(1) 生产x 件该种产品的总成本和平均成本; (2) 售出x 件该种产品的总收入;(3) 若生产的产品都能够售出,则生产x 件该种产品的利润是多少? 2.计算下列极限(1)x x x 33sin 9lim 0-+→ (2)1245lim 224--+-→x x x x x(3))1113(lim 21----→x x x x 3.求下列导数或微分: (1)设)11)(1(-+=xx y , 求d y .(2)设x x y x sin e +=,求y d .(3)设121lncos -+=x x y ,求y '. 4.生产某种产品q 台时的边际成本10005.2)(+='q q C (元/台),固定成本500元,若已知边际收入为,20002)(+='q q R 试求(1)获得最大利润时的产量;(2)从最大利润的产量的基础再生产100台,利润有何变化?5.计算下列不定积分或定积分(1)⎰+x x x d 423(2)⎰10d cos x x x π (3)x x d sin 20⎰π6.求微分方程yx y -='2e 满足初始条件0)0(=y 的特解.7.假设事件B A ,相互独立,已知6.0)(3.0)(==B P A P ,,求事件B A 与只有一个发生的概率.8.已知7.0)(=A P ,3.0)(=B P ,5.0)(=B A P ,求)(B A P .9.有甲、乙两批种子,发芽率分别是0.85和0.75,在这两批种子中各随机取一粒,求至少有一粒发芽的概率.10.已知事件A ,B ,C 相互独立,试证)(B A +与C 相互独立. 11.设随机变量X 的密度函数为⎩⎨⎧<<-=03)2(3)(2x a x x f求 (1) 常数a ; (2) E X ()12.某类钢丝的抗拉强度服从均值为100 (kg/cm 2),标准差为5 (kg/cm 2)的正态分布,求抗拉强度在90~110之间的概率.(Φ(1) = 0.841 3, Φ(2) = 0.977 2 )13.设矩阵 A =⎥⎥⎥⎦⎤⎢⎢⎢⎣⎡-022011,B =⎥⎦⎤⎢⎣⎡--210321,计算(BA )-1. 14.设矩阵 ⎥⎥⎥⎦⎤⎢⎢⎢⎣⎡---=111103231A ,求矩阵1-A15.设A ,B 均为n 阶对称矩阵,则AB +BA 也是对称矩阵.16.求下列解线性方程组的一般解⎪⎩⎪⎨⎧=-+-=+-+-=++-0232022023432143214321x x x x x x x x x x x x17. 例45 设线性方程组212132123123123x x x x x x x x x c-+=--+=--+=⎧⎨⎪⎩⎪试问c 为何值时,方程组有解?若方程组有解时,求一般解.参考解答一、单项选择题1.解 由于1)(+=x x f ,得 )1)((+x f f 1)1)((++=x f =2)(+x f 将1)(+=x x f 代入,得)1)((+x f f =32)1(+=++x x 正确答案:D2.解 因为2ln x y =是由u y ln =,2x u =复合组成的,所以它不是基本初等函数.正确答案:B3.解 因为02<-π,故1)2cos()2(=-=-ππf 且 1)0(=f , 所以)2()0(π-=f f正确答案:C4.解 函数在一点处有极限与函数在该点处有无定义无关. 正确答案:C5.解 因为4cos)(π=x f 是常数函数,常数函数是可导的,而且它的导数是0.所以由导数定义可得 =∆-∆+→∆xx f x x f x )()(0lim )0(f '= 0正确答案:A注意:这里的4cos)(π=x f 不是余弦函数.6.解 由导数的定义和它的几何意义可知, 13)()1(='-='x x x y 2)13(12=-==x x是曲线x x y -=3在点(1,0)处的切线斜率,故切线方程是)1(20-=-x y ,即22-=x y正确答案:A7.解 直接利用导数的公式计算: 34)41(x x y ='=', 233)(x x y ='='' 正确答案:B8.解 由驻点定义可知,正确答案:C9.解 因为函数在一点处连续并不能保证在该点处可导,所以,正确答案:A 10. 解 因为f x ()的一个原函数是e-2x,故f x ()=(e -2x )'=--22e x所以正确答案:B11.解 用可分离变量法很容易求解,因此,正确答案:B 12.解 因为加权平均数是203.0106.001.031⨯+⨯+⨯=∑=i ii xp = 12所以,正确答案:A13.由概率乘法公式可知,正确答案:D14.解 两颗均匀的骰子的“点数之和”样本总数有6⨯6 =36个,而“点数之和为3”的事件含有:1+2和2+1两个样本,因此,该事件的概率为181. 正确答案:B15.解 化成阶梯形矩阵后,有3个非0行,故该矩阵的秩为3. 正确答案:C16.解 将增广矩阵化为阶梯形矩阵,⎥⎦⎤⎢⎣⎡=41221λA ⎥⎦⎤⎢⎣⎡-→021021λλ 此线性方程组未知量的个数是2,若它有无穷多解,则其增广矩阵的秩应小于2,即021=λ-,从而λ=12.正确答案:D17.解 根据非齐次线性方程组解的判别定理,得 A m ×n X = b 无解⇔秩(A ) ≠ 秩(A ) 正确答案:C二、填空题1.解 因为当0→x 时,x 是无穷小量,x1sin 是有界变量. 故当0→x 时,xx 1sin 仍然是无穷小量. 所以 =→x x x 1sin lim 00.正确答案:C2.解 因为函数是左连续的,即)0(1)1(lim )0(0f x f x ==+=-→-若 1)(lim )0(2==+=+→+k k x f x即当=k 1时,)(x f 在0=x 不仅是左连续,而且是连续的. 所以,只有当1≠k 时,)(x f 在0=x 仅仅是左连续的. 正确答案:1≠3.解 因为 xx x x f 11)ln ()(-='-='令011)(>-='xx f ,得1>x 故函数的单调增加区间是),1(+∞. 正确答案:),1(+∞4.解 根据不定积分的性质可知f (x )=x c x x x f 2cos 2)2(sin )d )((='+='⎰且 )(x f '= x x 2sin 4)2cos 2(-=' 正确答案:x 2sin 4-5.解 因为 ⎰∞-02d e x x2x e21lim aa -∞→=)e 1(21lim2a a -=-∞→=21所以正确答案:216.解 因为微分方程 0e )(23='+''-y y x中所含未知函数的导数的最好阶数是2次,所以它是2阶微分方程. 正确答案:27.根据离散型随机变量的概率分布的性质:pkk∑=1正确答案:0.38.根据二项分布的期望和方差的定义:6.3)1()(,6)(=-===p np X D np X E得 1- p = 0.6,p = 0.4,n = 15 正确答案:159.解 因为 T A = ⎥⎥⎥⎦⎤⎢⎢⎢⎣⎡-321,A A T=⎥⎥⎥⎦⎤⎢⎢⎢⎣⎡-321[]321- =⎥⎥⎥⎦⎤⎢⎢⎢⎣⎡----963642321 所以 I A A -T=⎥⎥⎥⎦⎤⎢⎢⎢⎣⎡----863632320. 正确答案:⎥⎥⎥⎦⎤⎢⎢⎢⎣⎡----863632320该例题说明,可转置矩阵不一定是方阵;如果矩阵运算TA A 成立,A 也不一定是方阵.三、解答题1.(1)解 生产x 件该种产品的总成本为x x C 2010000)(+=; 平均成本为: 2010000)(+=xx C .(2)解 售出x 件该种产品的总收入为: x x R 30)(=. (3)解 生产x 件该种产品的利润为:)()()(x C x R x L -==)2010000(30x x +- =1000010-x2.(1)解 对分子进行有理化,即分子、分母同乘33sin 9++x ,然后利用第一重要极限和四则运算法则进行计算.即 x x x 33sin 9lim-+→=)33sin 9()33sin 9)(33sin 9(lim 0++++-+→x x x x x =33sin 91lim 3sin lim00++⨯→→x x x x x =21613=⨯(2)解 将分子、分母中的二次多项式分解因式,然后消去零因子,再四则运算法则和连续函数定义进行计算.即1245lim 224--+-→x x x x x )3)(4()1)(4(lim 4----=→x x x x x33414)3()1(lim4=--=--=→x x x(3)解 先通分,然后消去零因子,再四则运算法则和连续函数定义进行计算.即 )1113(lim 21----→x x x x =)1)(1()1()3(lim 1+-+--→x x x x x 112lim1-=+-=→x x 3.(1)解 因为 )11)(1(-+=x x y xx 1+-=且 )1('+-='xx y 32121x x--=)11(21x x+-=d y x x xd )11(21+-=注意:求导数时,要先观察函数,看看能否将函数化简,若能,应将函数化简后再求导数,简化计算过程.导数运算的重点是复合函数求导数,难点是复合函数求导数和隐函数求导数. (2)解 因为 xx x x y xx sin e 2)sin e (+'+='=xx x x xx x sin e 2cos e sin e 1+++所以 x x x x x x y y xx d )s i n e 2)s i n (c o s e 1d d +++='=(3)解 ))12l n ((c o s '--='x x y122)(s i n --'⋅-=x x x ]122s i n 21[-+-=x x x复合函数求导数要注意下面两步:① 分清函数的复合步骤,明确所有的中间变量;② 依照法则依次对中间变量直至自变量求导,再把相应的导数乘起来. 4.解 (1)C R L '-'='=)10005.2(20002+-+q q =10005.0+-q令0='L ,求得唯一驻点2000=q .因为驻点唯一,且利润存在着最大值,所以当产量为2000时,可使利润达到最大.(2)在利润最大的基础上再增加100台,利润的改变量为⎰+-=∆21002000d )10005.0(q q L 2500)100041(210020002-=+-=q q即利润将减少2500元.5.(1)解 用第一换元积分法求之.⎰+x x x d 423=⎰+222d 421x x x =⎰+-22)d 441(21x x = c x x ++-)4ln(2222(2)解 用分部积分法求之.⎰1d cos x x x π=⎰-110d sin 1sin 1x x x x ππππ=12cos 1x ππ=22π-(3)解 因为,当π<<x 0时,0sin >x ,即x x sin sin =; 当ππ2<<x 时,0sin <x ,即x x sin sin -=;x x d sin 20⎰π=x x x x d )sin (d sin 20⎰⎰-+πππ=πππ20cos cos x x +- =1 + 1 + 1 + 1 = 46.解 将微分方程yx y -='2e变量分离,得x y xy d e d e 2=,等式两边积分得c xy +=2e 21e 将初始条件0)0(=y 代入,得21=c . 所以满足初始条件的特解为: )1(e5.0e 2+=xy7.解 B A 与只有一个发生的事件为: B A B A +,且B A 与B A 是互斥事件,于是 )()()(B A P B A P B A B A P +=+ =)()()()(B P A P B P A P + =6.0)3.01()6.013.0⨯-+-⨯(=54.08.解 因为B A AB A +=,且AB 与B A 是互斥事件,得)()()(B A P AB P A P += 所以, )(B A P )()(B P AB P =)()()(B P B A P A P -=323.05.07.0=-=9.设A 表示甲粒种子发芽,B 表示乙粒种子发芽,则A ,B 独立,且 P (A ) = 0.15,P (B ) = 0.25 故至少有一粒发芽的概率为:P (A +B ) = 1 - P (B A +) = 1 - P (B A )= 1 - P (A )P (B )= 1 – 0.15⨯0.25 = 0.9625 10.证 因为事件A ,B ,C 相互独立,即)()()(C P A P AC P =,)()()(C P B P BC P = 且 )()()(])[(ABC P BC P AC P C B A P -+=+=)()()()()()()(C P B P A P C P B P C P A P -+ =)()]()()()([C P B P A P B P A P -+ =)()(C P B A P + 所以)(B A +与C 相互独立.11. (1) 解 根据密度函数的性质1=⎰⎰-=+∞∞-32d )2(3d )(ax x x x f =33)2(ax -= 1-(a -2)3得a = 2所以 ⎩⎨⎧<<-=032)2(3)(2x x x f(2) 解 E X ()=⎰+∞∞-d )(x x xf =⎰-322d )2(3x x x=32234)6443(x x x +-=7412.解 设钢丝的抗拉强度为X ,则X ~N (100,52),且)1,0(~5100N X -. P (90<X <110) = )51001105100510090(-<-<-X P = Φ(2)-Φ(-2) = 2Φ(2) - 1 = 0.954 413.解 因为BA =⎥⎦⎤⎢⎣⎡--210321⎥⎥⎥⎦⎤⎢⎢⎢⎣⎡-022011=⎥⎦⎤⎢⎣⎡--2435(BA I )=⎥⎦⎤⎢⎣⎡--→⎥⎦⎤⎢⎣⎡--1024111110240135⎥⎦⎤⎢⎣⎡---→54201111⎥⎥⎦⎤⎢⎢⎣⎡--→2521023101 所以 (BA )-1=⎥⎥⎦⎤⎢⎢⎣⎡--25223114. 解 因为 ⎥⎥⎥⎦⎤⎢⎢⎢⎣⎡---=100010001111103231][I A ⎥⎥⎥⎦⎤⎢⎢⎢⎣⎡----→101340013790001231⎥⎥⎥⎦⎤⎢⎢⎢⎣⎡----→101340211110001231 ⎥⎥⎥⎦⎤⎢⎢⎢⎣⎡-----→943100211110632101→⎡⎣⎢⎢⎢⎤⎦⎥⎥⎥100113010237001349 所以 ⎥⎥⎥⎦⎤⎢⎢⎢⎣⎡=-9437323111A15.证 因为 A ,B 是对称矩阵,即 B B A A==T T,且 TT T )()()(BA AB BA AB +=+T T T T B A A B += AB BA +=BA AB += 根据对称矩阵的性质可知,AB +BA 是对称矩阵. 16.解 将系数矩阵化成阶梯形矩阵⎥⎥⎥⎦⎤⎢⎢⎢⎣⎡---→⎥⎥⎥⎦⎤⎢⎢⎢⎣⎡-----=311031101231232121211231A ⎥⎥⎥⎦⎤⎢⎢⎢⎣⎡--→⎥⎥⎥⎦⎤⎢⎢⎢⎣⎡---→010030108001020031108101因为,秩(A ) = 3 < 4,所以,方程组有非零解. 一般解为⎪⎩⎪⎨⎧===03834241x x x x x (4x 是自由未知量) 17.解⎥⎥⎥⎦⎤⎢⎢⎢⎣⎡-------→⎥⎥⎥⎦⎤⎢⎢⎢⎣⎡-----=13501350112123111211112A c c ⎥⎥⎥⎦⎤⎢⎢⎢⎣⎡---→c 00013501121 可见,当c = 0时,秩(A ) = 秩(A ) = 2 < 3 ,所以方程组有无穷多解.⎥⎥⎥⎥⎥⎥⎦⎤⎢⎢⎢⎢⎢⎢⎣⎡-→0000515310535101A 原方程组的一般解为⎪⎪⎩⎪⎪⎨⎧+=-=323153515153x x x x (3x 是自由未知量)。
《经济数学2》期末试题及答案《经济数学》考试试卷及答案一、填空题(16分,每小题4分)1、?+dx x211= 2、?)tan (x x d3、=+?)cos 1sin (dx xxd 4、dx x ')(tan ?二、求下列不定积分(36分,每小题6分)1、dx x 883?+)( 2、?dx xe x3、?+x xd 114、?xdx x cos sin5、xdx x sin 6、?xdx ln三、求下列定积分(12分,每小题6分)1、 ?212d 3x x 2?-πd )1sin 3(x x教学系专业班级:__________________ 姓名:______________ 学号:____________——―――密――――――――――――――――――――封―――――――――――――――――――――――――――线―――――― _____________答__________题__________不__________得__________超__________过__________此__________线_______________得分评分人四、计算下列行列式(12分,每小题6分)1、4 0 11 2 32 0 1 2、ef - cf bf de cd - bdae ac ab -五、矩阵运算。
(16分,每小题8分).112101,1033211--=???? ??=B A 、设矩阵(1)、计算3A-B (2)2A-3X=B ,求X2、计算?--???? ??-131210131311412六、用矩阵消元法求下列方程组(8分)1、=+=-+=+-033,1-2122221321321x x x x x x x x参考答案及评分标准教学系专业班级:__________________ 姓名:______________ 学号:____________——―――密――――――――――――――――――――封―――――――――――――――――――――――――――线―――――― ______________答__________题__________不_____ _____得__________超__________过__________此__________线______________一、填空题:(直接给出答案,每小题4分,一共16分)1、c x +arctan2、c x x +tan3、xxcos 1sin + 4、c x +tan二、求下列不定积分:(每小题6分,一共36分)分)(分)()()(、6 (8327)13 (838331)831988c x xd x dxx ++=++=+?? 分分分、6.......4......2............)(2c e xe dx e xe e xd dxxe x x xx x x+-=-==分分、6.........|1|ln 3).....1(11113c x x d xdxx ++=++=+?? 分分、6.......sin 213.....sin sin cos sin 42c x x xd xdxx +==??分分分、6....cos sin 4....sin sin 2.....).........(sin cos 5c x x x xdx x x x d x xdxx ++=-==分分分、6............ln 4.. (1)ln 2....)(ln ln ln 6c x x x dx xx x x x xd x x xdx+-=?-=-=三、求下列定积分:(每小题6分,一共12分)分分分、6............75.......184.......|31213212=-==?x dxx分分分)(、6......................65)......03(34.......|)cos 3(1sin 3200ππππ-=----=--=-?x x dx x四、计算下列行列式:(每小题6分,一共12分)分分)(、6..............................44 (4)1211-2401123201122=?=+分分分、6.........................44 (1)111111112.........2abcdef abcdef e c b e c b ec b adf efcf bf de cd bd aeacab =---=---=---五、矩阵运算:(每小题8分,一共16分)分分)、、( 4..........................21710622......11-21-01-309963311??==-BA分分分)()、(4 (212)12272213.................................114741212).....112101206642(312 312==---=-=B A X终答案)(这个题可以直接写最分分)(、原式8.....................................................................................................................27-487-64.......132111)3(3)1()1(11130)1(11142112)3(4)1(1321401122??=+?-+?-?+-?-+??+?-+??+?+?-?+-?+??+?+?=六、用矩阵初等变换解方程组:(8分)分分分8.......................................................................................................3227.... . (31002)0102001310051102001122305110122214. (1223025550122) 21001111121222100331112122213213251231322321213123=-==∴-?→--??→-----?→-----??→---?→---+-+--x x x r r r r rr r r r r r r。
经济数学期末模拟试卷及答案-CAL-FENGHAI.-(YICAI)-Company One1南 京 财 经 大 学成人教育经济数学基础课程试卷(四)专业/班级: 学号: 姓名:-------------一、填空题(共10小题,每小题2分,共20分)1.=⋅+⋅∞→)sin 11sin(lim x xx x x _____1_______. 2.xxx x f 211)(--+=,要使在0=x 处连续,则应补充定义=)0(f __0.5____.3.设2)(2)1()1(x x f x f ∆+∆=-∆+,则=')1(f 2 .4.若)(x f e y =,其中f 二阶可导,则=''y )()()(2)(x f e x f e x f x f ''+' . 5.若某种商品的需求函数p Q 460-=,则当5=p 时,其边际收益为 20 . 6.y z x=ln ,则y x z ∂∂∂2=____ln 1(ln ln 1)x y x y x-+______________. 7.若C x dx x x f ++=+⎰)1ln(1)(22,则=)(x f x 2 . 8.⎰+→x u x du u x 010)2sin 1(1lim =____e 2_____________.9. 141cos x xdx -=⎰ 010.交换积分次序=⎰⎰-+2122),(y ydx y x f dy⎰⎰⎰⎰--+xx xxdy y x f dx dy y x f dx 24110),(),( .二、单项选择题(共5小题,每小题2分,共10分)1.若0→x 时,22~)cos 1(x x a -,则=a ( C ).A.21 B. –1 C. 1 D . -21 2.若)(1x f ,)(2x f 的弹性分别是)0(,≠b b a ,则函数)()(21x f x f 的弹性是( A ).A. b a -B.b aC.2112y by ay - D.2212y by ay - 3.曲线xe y 1-=的渐近线共有几条 ( C )A. 4B. 3C. 2D. 14.若f(x)的一个原函数是2x e ,求dx x xf ⎰)('= ( A ) A. C x e x +-)12(22B. C x e x ++)12(22C. C x e x +-)1(22D. C x e x ++)1(225.设ln 1()()xx F x f t dt =⎰,()F x '=则 ( D )A. 1(ln )()f x f x -;B. 1(ln )()f x f x+;C . 2111(ln )()f x f x x x -; D. 2111(ln )()f x f x x x+三、计算题(共8小题,每小题6分,共48分)1.)111(lim 0--→x x e x .5.0210lim 10lim )110lim )111(0lim 2(=-→=--→=---→=--→x x x x x x x x x e x e e e e xx x x x2.已知)(x f y =是由方程0)sin(22=-y y x 所确定的隐函数,求微分dy . 原式两边对x 求导,得 22cos()(2)20x y xy x y yy ''+-=可得 2222cos()2cos()xy x y y y x x y '=-所以得 2222cos()2cos()xy x y dy dx y x x y =-3.已知6sin =-+xy z e xyz ,求y x z z '',.原式对x 求偏导,得 ()cos()0xyz xx e yz xyz z y xy ''++-= 同理对y 求偏导,得 ()cos()0xyz y y e xz xyz z x xy ''++-=从而得 cos()1xyzx xyz y xy yze z xye -'=+cos()1xyzy xyzx xy xze z xye-'=+ 4.dx xx x ⎰+-21arctan 4.222224arctan 14arctan arctan 0.52arctan 0.5ln(1)11x x dx xd x dx x x x x -=-=-+++⎰⎰⎰5.0⎰.令t x =,则tdt dx 2=⎰⎰⎰-===202042cos 22sin 22sin sin tdt tdt t t dx x x6.讨论广义积分0t te dt +∞-⎰的敛散性.101t t t te dt te dt te dt +∞+∞---=+⎰⎰⎰,显然第一部分是收敛的而 32lim ()lim 0t t x x te t t e--→+∞→+∞==而正项积分⎰+∞-12dt t 是收敛的,由正项积分的比较收敛准则知⎰+∞-1dt te t 收敛故原广义积分收敛7.求Dxyd σ⎰⎰,其中D 是由228y x x y ==及所围成的闭区域 .可求得,两抛物线的交点为A(0,0), B(2,4)从而, 22224250016(40.5)(40.5)3x Dxyd dx x x x dx x x dx σ==-=-=⎰⎰⎰⎰⎰8.求方程x e y y 2'3-=+ 的通解. 特征方程为 03=+λ,即 -3=λ齐次方程的通解为 3x y ce -'= 设方程的特解为 2x y Ae -''=代入方程,可得 132=+-A , 即有 A=1综上,方程的通解为 23y x x y y e ce --'''=+=+ (其中C 为任意常数)四、应用题(共两小题,每小题8分,共16分)1.求函数x x e e y -+=2的单调区间及极值,凹凸区间及拐点. 显然,y 在任意点n 阶可导2x x y e e -'=- 2x x y e e -''=+显然,0≥''y 恒成立,即 y '为递增函数,令0='y ,解出 5.0ln 5.0=x 对应求得22=y从而可得,函数的单调增区间为 )(+∞,5.0ln 0.5 函数的单调减区间为 )(5.0ln 0.5,∞- 由于 5.0ln 5.0=x 时,二阶导数大于零,故函数有唯一的极小值为)(22,5.0ln 0.5,无最大值函数二阶可导且恒大于零,故无拐点,且在整个定义域内为下突函数2.已知曲线221,1,0,0y x x x y =+===所围成的平面图形.求:(1)平面图形的面积;(2)该平面图形绕x 轴旋转一周所围成的旋转体的体积.解:(1)该图形的四个顶点为(0,0),(0,1),(1,0),(1,3)图形的面积为 35)12(102=+=⎰dx S x(2)该图形绕X 轴旋转一周所得的体积为112242044721(441)(0.81)315V x dx x x dx ππππ=+=++=++=⎰⎰()五、证明题(共1小题,共6分)设()f x 在],[b a 上二阶可导,且)()(b f a f =,证明:至少存在一个),(b a ∈ξ,使ξξξ-'=''b f f )(2)(. 解:构造函数 x a f x f x b x F ).()()()(+-= 则)()()()()(a f x f x f x b x F +-'-=' F(x)在],[b a 上二阶可导,由于 )()()(a bf b F a F ==应用罗尔定理,知必有 ),(1b a x ∈,使得 0)()()()()(1111=-'-+='x f x f x b a f x F 又 )()()()()()()(a f a b a f a f a f a b a F '-=+-'-='0)()()()()()()(=-=+-'-='b f a f a f b f b f b b b F即有 0)()(1='='b F x F由罗尔定理,知必有 ),(1b x ∈ς,使得 0)(2)()()(='-''-=''ςςςςf f b F即有 ξξξ-'=''b f f )(2)(。
国家开放⼤学《经济数学基础》期末考试复习题及参考答案题⽬1:函数的定义域为().答案:题⽬1:函数的定义域为().答案:题⽬1:函数的定义域为().答案:题⽬2:下列函数在指定区间上单调增加的是().答案:题⽬2:下列函数在指定区间上单调增加的是().答案:题⽬2:下列函数在指定区间上单调减少的是().答案:题⽬3:设,则().答案:题⽬3:设,则().答案:题⽬3:设,则=().答案:题⽬4:当时,下列变量为⽆穷⼩量的是().答案:题⽬4:当时,下列变量为⽆穷⼩量的是().答案:题⽬4:当时,下列变量为⽆穷⼩量的是().答案:题⽬5:下列极限计算正确的是().答案:题⽬5:下列极限计算正确的是().答案:题⽬5:下列极限计算正确的是().答案:题⽬6:().答案:0题⽬6:().答案:-1题⽬6:().答案:1题⽬7:().答案:题⽬7:().答案:().题⽬7:().答案:-1题⽬8:().答案:题⽬8:().答案:题⽬8:().答案:().题⽬9:().答案:4题⽬9:().答案:-4题⽬9:().答案:2题⽬10:设在处连续,则().答案:1 题⽬10:设在处连续,则().答案:1 题⽬10:设在处连续,则().答案:2题⽬11:当(),()时,函数在处连续.答案:题⽬11:当(),()时,函数在处连续.答案:题⽬11:当(),()时,函数在处连续.答案:题⽬12:曲线在点的切线⽅程是().答案:题⽬12:曲线在点的切线⽅程是().答案:题⽬12:曲线在点的切线⽅程是().答案:题⽬13:若函数在点处可导,则()是错误的.答案:,但题⽬13:若函数在点处可微,则()是错误的.答案:,但题⽬13:若函数在点处连续,则()是正确的.答案:函数在点处有定义题⽬14:若,则().答案:题⽬14:若,则().答案:1题⽬14:若,则().答案:题⽬15:设,则().答案:题⽬15:设,则().答案:题⽬15:设,则().答案:题⽬16:设函数,则().答案:题⽬16:设函数,则().答案:题⽬16:设函数,则().答案:题⽬17:设,则().答案:题⽬17:设,则().答案:题⽬17:设,则().答案:题⽬18:设,则().答案:题⽬18:设,则().答案:题⽬18:设,则().答案:题⽬19:设,则().答案:题⽬19:设,则().答案:题⽬19:设,则().答案:题⽬20:设,则().答案:题⽬20:设,则().答案:题⽬20:设,则().答案:题⽬21:设,则().答案:题⽬21:设,则().答案:题⽬21:设,则().答案:题⽬22:设,⽅程两边对求导,可得().答案:题⽬22:设,⽅程两边对求导,可得().答案:题⽬22:设,⽅程两边对求导,可得().答案:题⽬23:设,则().答案:题⽬23:设,则().答案:题⽬23:设,则().答案:-2题⽬24:函数的驻点是().答案:题⽬24:函数的驻点是().答案:题⽬24:函数的驻点是().答案:题⽬25:设某商品的需求函数为,则需求弹性().答案:题⽬25:设某商品的需求函数为,则需求弹性().答案:题⽬25:设某商品的需求函数为,则需求弹性().答案:题⽬1:下列函数中,()是的⼀个原函数.答案:题⽬1:下列函数中,()是的⼀个原函数.答案:题⽬1:下列函数中,()是的⼀个原函数.答案:题⽬2:若,则(). 答案:题⽬2:若,则().答案:题⽬2:若,则(). 答案:题⽬3:(). 答案:题⽬3:().答案:题⽬3:(). 答案:题⽬4:().答案:题⽬4:().答案:题⽬4:().答案:题⽬5:下列等式成⽴的是().答案:题⽬5:下列等式成⽴的是().答案:题⽬5:下列等式成⽴的是().答案:题⽬6:若,则(). 答案:题⽬6:若,则().答案:题⽬6:若,则(). 答案:题⽬7:⽤第⼀换元法求不定积分,则下列步骤中正确的是().答案:题⽬7:⽤第⼀换元法求不定积分,则下列步骤中正确的是().答案:题⽬7:⽤第⼀换元法求不定积分,则下列步骤中正确的是().答案:题⽬8:下列不定积分中,常⽤分部积分法计算的是().答案:题⽬8:下列不定积分中,常⽤分部积分法计算的是().答案:题⽬8:下列不定积分中,常⽤分部积分法计算的是().答案:题⽬9:⽤分部积分法求不定积分,则下列步骤中正确的是().答案:题⽬9:⽤分部积分法求不定积分,则下列步骤中正确的是().答案:题⽬9:⽤分部积分法求不定积分,则下列步骤中正确的是().答案:题⽬10:(). 答案:0题⽬10:().答案:0题⽬10:(). 答案:题⽬11:设,则(). 答案:题⽬11:设,则().答案:题⽬11:设,则(). 答案:题⽬12:下列定积分计算正确的是().答案:题⽬12:下列定积分计算正确的是().答案:题⽬12:下列定积分计算正确的是().答案:题⽬13:下列定积分计算正确的是().答案:题⽬13:下列定积分计算正确的是().答案:题⽬13:下列定积分计算正确的是().答案:题⽬14:计算定积分,则下列步骤中正确的是().答案:题⽬14:().答案:题⽬14:().答案:题⽬15:⽤第⼀换元法求定积分,则下列步骤中正确的是().答案:题⽬15:⽤第⼀换元法求定积分,则下列步骤中正确的是().答案:题⽬15:⽤第⼀换元法求定积分,则下列步骤中正确的是().答案:题⽬16:⽤分部积分法求定积分,则下列步骤正确的是().答案:题⽬16:⽤分部积分法求定积分,则下列步骤正确的是().答案:题⽬16:⽤分部积分法求定积分,则下列步骤正确的是().答案:题⽬17:下列⽆穷积分中收敛的是().答案:题⽬17:下列⽆穷积分中收敛的是().答案:题⽬17:下列⽆穷积分中收敛的是().答案:题⽬18:求解可分离变量的微分⽅程,分离变量后可得().答案:题⽬18:求解可分离变量的微分⽅程,分离变量后可得().答案:题⽬18:求解可分离变量的微分⽅程,分离变量后可得().答案:题⽬19:根据⼀阶线性微分⽅程的通解公式求解,则下列选项正确的是().答案:题⽬19:根据⼀阶线性微分⽅程的通解公式求解,则下列选项正确的是答案:题⽬19:根据⼀阶线性微分⽅程的通解公式求解,则下列选项正确的是().答案:题⽬20:微分⽅程满⾜的特解为().答案:题⽬20:微分⽅程满⾜的特解为().答案:题⽬20:微分⽅程满⾜的特解为().答案:题⽬1:设矩阵,则的元素().答案:3题⽬1:设矩阵,则的元素a32=().答案:1题⽬1:设矩阵,则的元素a24=().答案:2题⽬2:设,,则().答案:题⽬2:设,,则()答案:题⽬2:设,,则BA =().答案:题⽬3:设A为矩阵,B为矩阵,且乘积矩阵有意义,则为()矩阵.答案:题⽬3:设为矩阵,为矩阵,且乘积矩阵有意义,则C为()矩阵.答案:题⽬3:设为矩阵,为矩阵,且乘积矩阵有意义,则C为()矩阵.答案:题⽬4:设,为单位矩阵,则()答案:题⽬4:设,为单位矩阵,则(A - I )T =().答案:题⽬4:,为单位矩阵,则A T–I =().答案:题⽬5:设均为阶矩阵,则等式成⽴的充分必要条件是().答案:题⽬5:设均为阶矩阵,则等式成⽴的充分必要条件是().答案:题⽬5:设均为阶矩阵,则等式成⽴的充分必要条件是().答案:题⽬6:下列关于矩阵的结论正确的是().答案:对⾓矩阵是对称矩阵题⽬6:下列关于矩阵的结论正确的是().答案:数量矩阵是对称矩阵题⽬6:下列关于矩阵的结论正确的是().答案:若为可逆矩阵,且,则题⽬7:设,,则().答案:0题⽬7:设,,则().答案:0题⽬7:设,,则().答案:-2, 4题⽬8:设均为阶可逆矩阵,则下列等式成⽴的是().答案:题⽬8:设均为阶可逆矩阵,则下列等式成⽴的是().答案:题⽬8:设均为阶可逆矩阵,则下列等式成⽴的是().答案:题⽬9:下列矩阵可逆的是().答案:题⽬9:下列矩阵可逆的是().答案:题⽬9:下列矩阵可逆的是().答案:题⽬10:设矩阵,则().答案:题⽬10:设矩阵,则().答案:题⽬10:设矩阵,则().答案:题⽬11:设均为阶矩阵,可逆,则矩阵⽅程的解().答案:题⽬11:设均为阶矩阵,可逆,则矩阵⽅程的解().答案:题⽬11:设均为阶矩阵,可逆,则矩阵⽅程的解().答案:题⽬12:矩阵的秩是().答案:2题⽬12:矩阵的秩是().答案:3题⽬12:矩阵的秩是().答案:3题⽬13:设矩阵,则当()时,最⼩.答案:2题⽬13:设矩阵,则当()时,最⼩.答案:-2题⽬13:设矩阵,则当()时,最⼩.答案:-12题⽬14:对线性⽅程组的增⼴矩阵做初等⾏变换可得则该⽅程组的⼀般解为(),其中是⾃由未知量答案:题⽬14:对线性⽅程组的增⼴矩阵做初等⾏变换可得则该⽅程组的⼀般解为(),其中是⾃由未知量.答案:题⽬14:对线性⽅程组的增⼴矩阵做初等⾏变换可得则该⽅程组的⼀般解为(),其中是⾃由未知量.选择⼀项:A.B.C.D.答案:题⽬15:设线性⽅程组有⾮0解,则().答案:-1 题⽬15:设线性⽅程组有⾮0解,则().答案:1题⽬15:设线性⽅程组有⾮0解,则().答案:-1题⽬16:设线性⽅程组,且,则当且仅当()时,⽅程组有唯⼀解.答案:题⽬16:设线性⽅程组,且,则当()时,⽅程组没有唯⼀解.答案:题⽬16:设线性⽅程组,且,则当()时,⽅程组有⽆穷多解.答案:题⽬17:线性⽅程组有⽆穷多解的充分必要条件是().答案:题⽬17线性⽅程组有唯⼀解的充分必要条件是().:答案:题⽬17:线性⽅程组⽆解,则().答案:题⽬18:设线性⽅程组,则⽅程组有解的充分必要条件是().答案:题⽬18:设线性⽅程组,则⽅程组有解的充分必要条件是().答案:题⽬18:设线性⽅程组,则⽅程组有解的充分必要条件是()答案:题⽬19:对线性⽅程组的增⼴矩阵做初等⾏变换可得则当()时,该⽅程组⽆解.答案:且题⽬19:对线性⽅程组的增⼴矩阵做初等⾏变换可得则当()时,该⽅程组有⽆穷多解.答案:且题⽬19:对线性⽅程组的增⼴矩阵做初等⾏变换可得则当()时,该⽅程组有唯⼀解.答案:题⽬20:若线性⽅程组只有零解,则线性⽅程组()答案:解不能确定题⽬20:若线性⽅程组有唯⼀解,则线性⽅程组().答案:只有零解题⽬20:若线性⽅程组有⽆穷多解,则线性⽅程组().答案:有⽆穷多解。
最新国家开放大学电大《经济数学基础12》期末题库及答案
考试说明:本人针对该科精心汇总了历年题库及答案,形成一个完整的题库,并且每年都在更新。
该题库对考生的复习、作业和考试起着非常重要的作用,会给您节省大量的时间。
做考题时,利用本文档中的查找工具,把考题中的关键字输到查找工具的查找内容框内,就可迅速查找到该题答案。
本文库还有其他网核及教学考一体化答案,敬请查看。
《经济数学基础12》题库及答案一
一、单项选择题(每小题3分,本题共15分)
二、填空题(每小题3分,共15分)
三、微积分计算题(每小题10分,共20分)
四、线性代数计算题(每小题15分,共30分)
五、应用题(本题20分)
试题答案
《经济数学基础12》题库及答案二
试题答案及评分标准
供参考
《经济数学基础12》题库及答案三
《经济数学基础12》答案。
经济数学2考试题和答案一、选择题(每题3分,共30分)1. 已知函数f(x)=x^2-4x+3,求f(2)的值。
A. -1B. 1C. 3D. 52. 求极限lim(x→0) (sin(x)/x)的值。
A. 0B. 1C. 2D. 33. 已知函数f(x)=2x+3,求f'(x)的值。
A. 2B. 3C. 5D. 64. 求定积分∫(0,1) x^2 dx的值。
A. 1/3B. 1/2C. 2/3D. 15. 已知矩阵A=[1,2; 3,4],求矩阵A的行列式值。
A. -2B. 2C. 5D. 76. 已知函数f(x)=e^x,求f''(x)的值。
A. e^xB. 2e^xC. 3e^xD. 4e^x7. 求二重积分∬(0,1)(0,1) x*y dA的值。
A. 1/8B. 1/4C. 1/2D. 18. 已知函数f(x)=ln(x),求f'(x)的值。
A. 1/xB. 2/xC. 3/xD. 4/x9. 求极限lim(x→∞) (1/x)的值。
A. 0C. 2D. 310. 已知函数f(x)=x^3-6x^2+11x-6,求f'(x)的值。
A. 3x^2-12x+11B. 3x^2-12x+10C. 3x^2-12x+9D. 3x^2-12x+8答案:1. B2. B3. A4. A5. B6. A7. B9. A10. A二、填空题(每题4分,共20分)1. 已知函数f(x)=x^3-3x^2+2,求f''(x)的值。
答案:6x-62. 求极限lim(x→1) (x^2-1)/(x-1)的值。
答案:23. 已知矩阵A=[1,2; 3,4],求矩阵A的逆矩阵A^(-1)。
答案:[2, -1; -3/2, 1/2]4. 求定积分∫(0,2) x/√(x^2+1) dx的值。
答案:ln(5)/25. 已知函数f(x)=x^4-4x^3+6x^2-4x+1,求f'(x)的值。
《经济数学基本》期末综合练习解答一、填空题1. ),3()3,2(+∞⋃2. ]1,0()0,1[⋃-3.11+-x x 4. 4)180(xx - 5. –36. ),5()5,3()3,(+∞⋃-⋃--∞7. 08. )0,(-∞(或 ]0,(-∞) 9。
0< 10。
q 1.05- 11. 1 12. 0 13.1313-+x x 14. n 15. n = s 16.⎥⎦⎤⎢⎣⎡--2240 17. 3二、单选题1. B2. A3. C4. A5. C6. D7. C8. A9. D 10. C 11. C 12. C 13. C 14。
A 15. B 16.D 17. A 18. C 19. C 20. C 21. B 22. D 23.C 24. C 25. B 26. B三、计算题 1. 解:xx x +-→42lim=)42)(42()42(limx x x x x +++-++→xx x x -++=→)42(lim4)42(lim 0-=++-=→x x2. 解 112sin lim-+→x x x xxx x x x x x x 22sin )11(2lim )11)(11(2sin )11(lim00++=++-+++=→→= 43. 解 )3sin(34lim23-+-→x x x x 2)1()3sin()3(lim )3sin()1)(3(lim33=-⋅--=---=→→x x x x x x x x4. 解 )1sin sin (lim x x x x x +∞→111sinlim01sin lim sin lim =+=+=∞→∞→∞→xx xx x x x x x5. 解x x x x y x x x x 2cos 2ln 22sin )(cos )2(2sin 222⋅-⋅-='⋅-'⋅-='6. 解 33233333sin cos 3)(cos sin 1)(sin sin 1xx x x x x x x y ='⋅='='32cot 3x x = dx x x dx y dy 32cot 3='=7. 解:x x x y 3sin 3cos sin 32-=',32='=πx y2π=x dydx 3=8. 解 )(sin 1sin 2sin 3)1(sin 1sin 213233'+='++='x x x x x y 1sin 2cos sin 332+=x x x9. 解2125-+-=x x x y='y 232321125---x x10. 解:在方程等号两边分别对x 求导,得yx y y x y +'+='+1 解出y ',得 2211xxy xy y dx dy ---+= 11. 解 在方程两边同步对x 求导,得0))(ln())(sin(='+-'y x xy0)(1))(cos(='++-'y x yx xy xy 0)1(1))(cos(='++-'+y yx y x y xy 整顿,得)cos(1]1)cos([xy y yx y y x xy x -+='+-解出y ',得1)cos()()cos()(11)cos()cos(1-++-=+--+='xy x y x xy y y x yx xy x xy y yx y12.解 在方程两边同步对x 求导,得22sin 1ln )(⋅-=⋅+'+'+x xy x y y x y e xy xy ye x y x xe xy xy ---='+2sin 2)ln ( xx e x y xye x x xxe x yye x y xy xyxy xy ln 2sin 2ln 2sin 22+++-=+++-='13. 解⎰dx e x x22⎰⎰⋅-==xdx e e x de x xx x 221212122222 ⎰⎰+-=-=dx e xe e x xde e x x x x x x 22222222121212121 C e x x x ++-=22)21(2114.解⎰dx x x 2cos c x x x dx x x x x xd ++=-==⎰⎰2cos 42sin 22sin 22sin 2)2(sin 215. 解:⎰-dx x x 132⎰--=)1(113133x d x c x +-=1323 16. 解⎰--dx x e e x xx)3(⎰⎰-=dx x dx e x1)3(C x e e x +-=23ln )3(17.解dx xex⎰4)1(2222404-===⎰e e x d e xx18. 解 原式⎰⋅-⋅=e edx x x x x 123123132ln 32 (+)x ln →xdx x e e ⎰-=121233232 (-) x 1 → 2332x=⋅-=e x e 12323323232949223+e 19. 解⎰+5231dx x x ⎰⎰+-=+=502250222)()111(21)(121x d x x d x x ⎰++-=5022502)1(112121x d x x )26ln 25(2126ln 21225)1ln(2122552-=-=+-=x 20. 解:⎰+21ln 11e dx xx ⎰++=21)1(ln ln 11e x d x)13(2ln 1221-=+=e x21.解 ⎥⎥⎥⎦⎤⎢⎢⎢⎣⎡--=6040402022A⎥⎥⎥⎦⎤⎢⎢⎢⎣⎡--=302020101AB ⎥⎥⎥⎦⎤⎢⎢⎢⎣⎡-200340015⎥⎥⎥⎦⎤⎢⎢⎢⎣⎡---=6210680215=-AB A 2-⎥⎥⎥⎦⎤⎢⎢⎢⎣⎡--604040202⎥⎥⎥⎦⎤⎢⎢⎢⎣⎡---6210680215⎥⎥⎥⎦⎤⎢⎢⎢⎣⎡---=0266120013T AB A )2(-⎥⎥⎥⎦⎤⎢⎢⎢⎣⎡---=060212160322.解 由于 ⎥⎦⎤⎢⎣⎡--=-7352IA ⎥⎦⎤⎢⎣⎡--→⎥⎦⎤⎢⎣⎡--=-1121015210730152],[I I A⎥⎦⎤⎢⎣⎡→⎥⎦⎤⎢⎣⎡-→⎥⎦⎤⎢⎣⎡--231057012310112101521121 因此,1)(--I A ⎥⎦⎤⎢⎣⎡=2357 B I A 1)(--⎥⎦⎤⎢⎣⎡=⎥⎦⎤⎢⎣⎡-⎥⎦⎤⎢⎣⎡=12112357 23. 解 ⎥⎦⎤⎢⎣⎡-=013110AB ⎥⎥⎥⎦⎤⎢⎢⎢⎣⎡-021011⎥⎦⎤⎢⎣⎡-=2312 ()⎥⎦⎤⎢⎣⎡--→⎥⎦⎤⎢⎣⎡-=1023113110230112,I AB⎥⎥⎦⎤⎢⎢⎣⎡---→⎥⎦⎤⎢⎣⎡----→727310113123701131 ⎥⎥⎥⎦⎤⎢⎢⎢⎣⎡-→727310717201,于是 1)(-AB ⎥⎥⎥⎦⎤⎢⎢⎢⎣⎡-=72737172 24. 解 =TBA ⎥⎥⎥⎦⎤⎢⎢⎢⎣⎡200010212⎥⎥⎥⎦⎤⎢⎢⎢⎣⎡-022011⎥⎥⎥⎦⎤⎢⎢⎢⎣⎡-=042006C BA T +⎥⎥⎥⎦⎤⎢⎢⎢⎣⎡-=042006⎥⎥⎥⎦⎤⎢⎢⎢⎣⎡--+242216=⎥⎥⎥⎦⎤⎢⎢⎢⎣⎡200210 25. 解 ⎥⎥⎥⎦⎤⎢⎢⎢⎣⎡----→⎥⎥⎥⎦⎤⎢⎢⎢⎣⎡--=344103441011111344100112311111A ⎥⎥⎥⎦⎤⎢⎢⎢⎣⎡-------→⎥⎥⎥⎦⎤⎢⎢⎢⎣⎡----→000003441023301000003441011111故方程组旳一般解为:⎩⎨⎧---=-+=344233432431x x x x x x 其中3x ,4x 是自由未知量。
题目1:函数的定义域为().答案:题目1:函数的定义域为().答案:题目1:函数的定义域为().答案:题目2:下列函数在指定区间上单调增加的是().答案:题目2:下列函数在指定区间上单调增加的是().答案:题目2:下列函数在指定区间上单调减少的是().答案:题目3:设,则().答案:题目3:设,则().答案:题目3:设,则=().答案:题目4:当时,下列变量为无穷小量的是().答案:题目4:当时,下列变量为无穷小量的是().答案:题目4:当时,下列变量为无穷小量的是().答案:题目5:下列极限计算正确的是().答案:题目5:下列极限计算正确的是().答案:题目5:下列极限计算正确的是().答案:题目6:().答案:0题目6:().答案:-1题目6:().答案:1题目7:().答案:题目7:().答案:().题目7:().答案:-1题目8:().答案:题目8:().答案:题目8:().答案:().题目9:().答案:4题目9:().答案:-4题目9:().答案:2题目10:设在处连续,则().答案:1 题目10:设在处连续,则().答案:1 题目10:设在处连续,则().答案:2题目11:当(),()时,函数在处连续.答案:题目11:当(),()时,函数在处连续.答案:题目11:当(),()时,函数在处连续.答案:题目12:曲线在点的切线方程是().答案:题目12:曲线在点的切线方程是().答案:题目12:曲线在点的切线方程是().答案:题目13:若函数在点处可导,则()是错误的.答案:,但题目13:若函数在点处可微,则()是错误的.答案:,但题目13:若函数在点处连续,则()是正确的.答案:函数在点处有定义题目14:若,则().答案:题目14:若,则().答案:1题目14:若,则().答案:题目15:设,则().答案:题目15:设,则().答案:题目15:设,则().答案:题目16:设函数,则().答案:题目16:设函数,则().答案:题目16:设函数,则().答案:题目17:设,则().答案:题目17:设,则().答案:题目17:设,则().答案:题目18:设,则().答案:题目18:设,则().答案:题目18:设,则().答案:题目19:设,则().答案:题目19:设,则().答案:题目19:设,则().答案:题目20:设,则().答案:题目20:设,则().答案:题目20:设,则().答案:题目21:设,则().答案:题目21:设,则().答案:题目21:设,则().答案:题目22:设,方程两边对求导,可得().答案:题目22:设,方程两边对求导,可得().答案:题目22:设,方程两边对求导,可得().答案:题目23:设,则().答案:题目23:设,则().答案:题目23:设,则().答案:-2题目24:函数的驻点是().答案:题目24:函数的驻点是().答案:题目24:函数的驻点是().答案:题目25:设某商品的需求函数为,则需求弹性().答案:题目25:设某商品的需求函数为,则需求弹性().答案:题目25:设某商品的需求函数为,则需求弹性().答案:题目1:下列函数中,()是的一个原函数.答案:题目1:下列函数中,()是的一个原函数.答案:题目1:下列函数中,()是的一个原函数.答案:题目2:若,则(). 答案:题目2:若,则().答案:题目2:若,则(). 答案:题目3:(). 答案:题目3:().答案:题目3:(). 答案:题目4:().答案:题目4:().答案:题目4:().答案:题目5:下列等式成立的是().答案:题目5:下列等式成立的是().答案:题目5:下列等式成立的是().答案:题目6:若,则(). 答案:题目6:若,则().答案:题目6:若,则(). 答案:题目7:用第一换元法求不定积分,则下列步骤中正确的是().答案:题目7:用第一换元法求不定积分,则下列步骤中正确的是().答案:题目7:用第一换元法求不定积分,则下列步骤中正确的是().答案:题目8:下列不定积分中,常用分部积分法计算的是().答案:题目8:下列不定积分中,常用分部积分法计算的是().答案:题目8:下列不定积分中,常用分部积分法计算的是().答案:题目9:用分部积分法求不定积分,则下列步骤中正确的是().答案:题目9:用分部积分法求不定积分,则下列步骤中正确的是().答案:题目9:用分部积分法求不定积分,则下列步骤中正确的是().答案:题目10:(). 答案:0题目10:().答案:0题目10:(). 答案:题目11:设,则(). 答案:题目11:设,则().答案:题目11:设,则(). 答案:题目12:下列定积分计算正确的是().答案:题目12:下列定积分计算正确的是().答案:题目12:下列定积分计算正确的是().答案:题目13:下列定积分计算正确的是().答案:题目13:下列定积分计算正确的是().答案:题目13:下列定积分计算正确的是().答案:题目14:计算定积分,则下列步骤中正确的是().答案:题目14:().答案:题目14:().答案:题目15:用第一换元法求定积分,则下列步骤中正确的是().答案:题目15:用第一换元法求定积分,则下列步骤中正确的是().答案:题目15:用第一换元法求定积分,则下列步骤中正确的是().答案:题目16:用分部积分法求定积分,则下列步骤正确的是().答案:题目16:用分部积分法求定积分,则下列步骤正确的是().答案:题目16:用分部积分法求定积分,则下列步骤正确的是().答案:题目17:下列无穷积分中收敛的是().答案:题目17:下列无穷积分中收敛的是().答案:题目17:下列无穷积分中收敛的是().答案:题目18:求解可分离变量的微分方程,分离变量后可得().答案:题目18:求解可分离变量的微分方程,分离变量后可得().答案:题目18:求解可分离变量的微分方程,分离变量后可得().答案:题目19:根据一阶线性微分方程的通解公式求解,则下列选项正确的是().答案:题目19:根据一阶线性微分方程的通解公式求解,则下列选项正确的是答案:题目19:根据一阶线性微分方程的通解公式求解,则下列选项正确的是().答案:题目20:微分方程满足的特解为().答案:题目20:微分方程满足的特解为().答案:题目20:微分方程满足的特解为().答案:题目1:设矩阵,则的元素().答案:3题目1:设矩阵,则的元素a32=().答案:1题目1:设矩阵,则的元素a24=().答案:2题目2:设,,则().答案:题目2:设,,则()答案:题目2:设,,则BA =().答案:题目3:设A为矩阵,B为矩阵,且乘积矩阵有意义,则为()矩阵.答案:题目3:设为矩阵,为矩阵,且乘积矩阵有意义,则C为()矩阵.答案:题目3:设为矩阵,为矩阵,且乘积矩阵有意义,则C为()矩阵.答案:题目4:设,为单位矩阵,则()答案:题目4:设,为单位矩阵,则(A - I )T =().答案:题目4:,为单位矩阵,则A T–I =().答案:题目5:设均为阶矩阵,则等式成立的充分必要条件是().答案:题目5:设均为阶矩阵,则等式成立的充分必要条件是().答案:题目5:设均为阶矩阵,则等式成立的充分必要条件是().答案:题目6:下列关于矩阵的结论正确的是().答案:对角矩阵是对称矩阵题目6:下列关于矩阵的结论正确的是().答案:数量矩阵是对称矩阵题目6:下列关于矩阵的结论正确的是().答案:若为可逆矩阵,且,则题目7:设,,则().答案:0题目7:设,,则().答案:0题目7:设,,则().答案:-2, 4题目8:设均为阶可逆矩阵,则下列等式成立的是().答案:题目8:设均为阶可逆矩阵,则下列等式成立的是().答案:题目8:设均为阶可逆矩阵,则下列等式成立的是().答案:题目9:下列矩阵可逆的是().答案:题目9:下列矩阵可逆的是().答案:题目9:下列矩阵可逆的是().答案:题目10:设矩阵,则().答案:题目10:设矩阵,则().答案:题目10:设矩阵,则().答案:题目11:设均为阶矩阵,可逆,则矩阵方程的解().答案:题目11:设均为阶矩阵,可逆,则矩阵方程的解().答案:题目11:设均为阶矩阵,可逆,则矩阵方程的解().答案:题目12:矩阵的秩是().答案:2题目12:矩阵的秩是().答案:3题目12:矩阵的秩是().答案:3题目13:设矩阵,则当()时,最小.答案:2题目13:设矩阵,则当()时,最小.答案:-2题目13:设矩阵,则当()时,最小.答案:-12题目14:对线性方程组的增广矩阵做初等行变换可得则该方程组的一般解为(),其中是自由未知量答案:题目14:对线性方程组的增广矩阵做初等行变换可得则该方程组的一般解为(),其中是自由未知量.答案:题目14:对线性方程组的增广矩阵做初等行变换可得则该方程组的一般解为(),其中是自由未知量.选择一项:A.B.C.D.答案:题目15:设线性方程组有非0解,则().答案:-1 题目15:设线性方程组有非0解,则().答案:1题目15:设线性方程组有非0解,则().答案:-1题目16:设线性方程组,且,则当且仅当()时,方程组有唯一解.答案:题目16:设线性方程组,且,则当()时,方程组没有唯一解.答案:题目16:设线性方程组,且,则当()时,方程组有无穷多解.答案:题目17:线性方程组有无穷多解的充分必要条件是().答案:题目17线性方程组有唯一解的充分必要条件是().:答案:题目17:线性方程组无解,则().答案:题目18:设线性方程组,则方程组有解的充分必要条件是().答案:题目18:设线性方程组,则方程组有解的充分必要条件是().答案:题目18:设线性方程组,则方程组有解的充分必要条件是()答案:题目19:对线性方程组的增广矩阵做初等行变换可得则当()时,该方程组无解.答案:且题目19:对线性方程组的增广矩阵做初等行变换可得则当()时,该方程组有无穷多解.答案:且题目19:对线性方程组的增广矩阵做初等行变换可得则当()时,该方程组有唯一解.答案:题目20:若线性方程组只有零解,则线性方程组()答案:解不能确定题目20:若线性方程组有唯一解,则线性方程组().答案:只有零解题目20:若线性方程组有无穷多解,则线性方程组().答案:有无穷多解一、计算题(每题6分,共60分)1.解:综上所述,2.解:方程两边关于求导:,3.解:原式=。
经济数学基础期末模拟练习(二)一、单项选择题(每小题3分,本题共30分)1.下列各对函数中,( )中的两个函数相同. (A) 11)(,11)(2+=--=x x g x x x f (B) 1)(,cos sin )(22=+=x g x x x f(C) f x x g x x ()ln ,()ln ==22 (D) 2)()(,)(x x g x x f == 2.当1→x 时,下列变量中的无穷小量是( ).(A) 1e 1+-x(B) 112-+x x(C) 1122+-x x (D) )1ln(x +3.若)(x f 在点0x 有极限,则结论( )成立.(A) )(x f 在点0x 可导 (B) )(x f 在点0x 连续(C) )(x f 在点0x 有定义 (D) )(x f 在点0x 可能没有定义 4.下列函数中的单调减函数是( ).(A) 3x y = (B) x y 1=(C) x y -= (D) xy e =5.下列等式中正确的是( ). (A) )d(ed e xx x --= (B) )cos d(d sin x x x -=(C) )3d(d 23x x x = (D) )1d(d 12x x x =-6.若F x ()是f x ()的一个原函数,则=⎰--x f xx d )e (e ( ).(A) c F x+--)e( (B) c F x +-)e ((C) c xF x+-)e ( (D) c xF x+--)e (7.设A B ,为随机事件,下列等式成立的是( ).(A) )()()(B P A P B A P -=- (B) )()()(B P A P B A P +=+ (C) )()()(B P A P AB P = (D) )()()(AB P A P B A P -=-8.已知)2,2(~2N X ,若)1,0(~N b aX +,那么( ). (A) 1,2-=-=b a (B) 2,2-==b a (C) 1,21-==b a (D) 2,21==b a 9.设A 是n s ⨯矩阵,B 是m s ⨯矩阵,则下列运算中有意义的是( ).(A) BA (B) TAB(C) AB (D) B A T10.n 元线性方程组AX b =有解的充分必要条件是( ). (A) 秩=A 秩)(A (B) 秩A n <(C) 秩A n = (D) A 不是行满秩矩阵二、填空题(每小题2分,本题共10分)11.若函数2)(2+=x x f ,x x g sin )(=,则=))((x g f . 12.函数x x f ln )(-=在区间),0(∞+内单调 .13.=⎰x x d sin 12 .14.设随机变量⎥⎦⎤⎢⎣⎡3.01.06.0210~X ,则=+)1(X E . 15.当λ= 时,方程组⎩⎨⎧-=--=+112121x x x x λ有无穷多解.三、极限与微分计算题(每小题6分,共12分)16.求极限xx x 21sin 1lim0-+→.17.由方程x y x y ln sin =+确定y 是x 的隐函数,求y d .四、积分计算题(每小题6分,共12分)18.计算积分⎰41d ex xx.19.求微分方程xxx y y sin =+'的通解.五、概率计算题(每小题6分,共12分)20.已知5.0)(=A P ,3.0)(=B A P ,求)(B A P +.21.设随机变量)9,3(~N X ,求)120(<≤X P .(已知ΦΦ().,().108413209772==,Φ().309987=)六、代数计算题(每小题6分,共12分)22.已知⎥⎥⎥⎦⎤⎢⎢⎢⎣⎡=⎥⎥⎥⎦⎤⎢⎢⎢⎣⎡=244213001,543322011B A ,求1)(--B A .23.求解线性方程组⎪⎩⎪⎨⎧=++-=++-=+-5532342243214321421x x x x x x x x x x x七、应用题(本题8分)24.厂家生产一种产品的需求函数为=(单位:件)720-q80p而生产q件该产品时的成本函数为q=qC(单位:元)4160)(+问生产多少件产品时厂家获得的利润最大?八、证明题(本题4分)AA是对称矩阵.25.设A为矩阵,证明T经济数学基础期末模拟练习答案及评分标准(供参考)一、单项选择题(每小题3分,本题共30分) 1.B 2.C 3.D 4.C 5.B 6.A 7.D 8.C 9.B 10.A二、填空题(每小题2分,本题共10分) 11. 2sin 2+x 12. 减少 13. x cot - 14. 7.1 15. 1三、极限与微分计算题(每小题6分,共12分) 16. 解:利用重要极限的结论和极限运算法则得)1sin 1(2)1sin 1)(1sin 1(lim21sin 1lim00++++-+=-+→→x x x x x x x x )1sin 1(2sin lim 0++=→x x xx 41= ……6分 17. 解:等式两端同时求微分得左)sin (d d )sin (d y x y y x y +=+=y y x x y y y x x y y d cos d sin d )(sin d d sin d ++=++=右x xx d 1)(ln d ==由此得x xy y x x y y d 1d cos d sin d =++ 整理得x yx y x y d c o s 1s i n 1d +-=……6分 四、积分计算题(每小题6分,共12分)18. 解:利用积分的性质和凑微分法得⎰⎰=4141)(d 2e d ex x xx x⎰==21212e d 2e u u u)e 2(e 2-= ……6分19. 解:方程是一阶线性微分方程,xx P 1)(= ,积分因子为x x xx ==⎰ln d 1e e原方程改为x y y x sin =+'上式左端为)('xy ,两端同时积分得c x x x xy +-==⎰cosd sin即微分方程的通解为xcx x y +-=cos 其中c 为任意常数. ……6分五、概率计算题(每小题6分,共12分) 20. 解:由事件的关系得B A A B A +=+且A 与B A 互斥,再由加法公式得)()()(B A P A P B A P +=+8.03.05.0=+= ……6分 21. 解:对X 做变换得出)1,0(~33N X -,于是)3331()331233330()120(<-≤-=-<-≤-=<≤X P X P X P)]1(1[)3()1()3(ΦΦΦΦ--=--=84.018413.09987.0=-+= ……6分六、代数计算题(每小题6分,共12分) 22. 解:⎥⎥⎥⎦⎤⎢⎢⎢⎣⎡--=-301111010B A利用初等行变换得⎥⎥⎥⎦⎤⎢⎢⎢⎣⎡-----→⎥⎥⎥⎦⎤⎢⎢⎢⎣⎡--110210001010010111100301010111001010 ⎥⎥⎥⎥⎦⎤⎢⎢⎢⎢⎣⎡----→⎥⎥⎥⎦⎤⎢⎢⎢⎣⎡----→212121100001010010111111200001010010111⎥⎥⎥⎥⎥⎦⎤⎢⎢⎢⎢⎢⎣⎡--→⎥⎥⎥⎥⎥⎦⎤⎢⎢⎢⎢⎢⎣⎡---→212121100001010212323001212121100001010212321011即 ⎥⎥⎥⎥⎥⎦⎤⎢⎢⎢⎢⎢⎣⎡--=--212121001212323)(1B A ………6分 23. 解:将线性方程组的增广矩阵化为行简化阶梯形矩阵⎥⎥⎥⎦⎤⎢⎢⎢⎣⎡---→⎥⎥⎥⎦⎤⎢⎢⎢⎣⎡---=131101311021011551323412121011A⎥⎥⎥⎦⎤⎢⎢⎢⎣⎡-----→⎥⎥⎥⎦⎤⎢⎢⎢⎣⎡--→000001311012101000001311021011 线性方程组的一般解为⎩⎨⎧-+=++=1312432431x x x x x x (其中43,x x 是自由未知量) ………6分七、应用题(本题8分)24. 解:由已知条件可得809q p -= 809)(2q q pq q R -==又由已知条件得1604)(+=q q C进一步得到160805)1604(809)()()(22--=+--=-=q q q q q q C q R q L对利润函数求导得405)(qq L -=' 令'=L q ()0得200=q ,在定义域内只有一个驻点,故为最值点.即生产200件产品时厂家获得的利润最大. ……8分八、证明题(本题4分) 25. 证:由转置的性质得T T T T T T AA A A AA ==)()(由定义可知TAA 是对称矩阵. ……4分。
经济数学基础期末复习练习题参考答案一、单项选择题:1.D 2.B 3.D 4.C 5.C 6.A 7.B 8.C 9.A 10.B 11.B 12.A 13.D 14.B 15.C 16.D 17.C 二、填空题:1.0 2.]0,1[- 3. ),1(+∞ 4. x 2sin 4- 5. e 6. c ek kx+--1 7. )(B P8. n A r A r <=)()( 9. 0.3 10. 15 11. ⎥⎥⎥⎦⎤⎢⎢⎢⎣⎡---86363232012. 2x 13. 3- 14. c x +-3cos31 15. 0 16. n A r <)( 17. 1018. 0 19. 0 20. 0 21. n A r A r ==)()( 三、解答题:1.计算下列极限:(1)21(2)73(3)1 (4)43(5)51(6)2023⎪⎭⎫⎝⎛2.求下列导数或微分: (1)dx xxdy )2121(2123 ----= (2)dx xe x x x e dy xxsin 2)sin (cos 1+++=(3)1222sin ---='x xxy (4)π (5)xyxyey x x ey x y y )(11)(+--+-='(6)-6 (7)dx xyy dy 12123--=(8))1(1x x y -=' (9)yx ey x e y x y ----=')cos()cos(3. (1)200=q (台) (2)2500-=∆L (元),即:利润减少2500元 4. (1)68=x (件) (2)4-=∆L (元),即:利润减少4元5. (1)50=x (件) (2)125元 (3)5-=∆L (元),即:利润减少5元 6. (1)500=x (件) (2)25-=∆L (元),即:利润减少25元7. (1)4440=x (件) (2)228560max =L (元) 8.计算下列不定积分或定积分; (1)c x x ++-)4ln(22122(2) 22π-(3) 4 (4)52(5)c x x ++-+2325)1(32)1(52 (6) e21-(7)c ex++)51ln(1012(8) 2ln (9) c xx x +-sin 2cos9. )1(212+=xyee10. xex c y 1)1(-+= 11. 31)1(3-=-xyee y12. xc xx x y ++-=sin cos 13. 54.0)(=+B A B A P 14.67.032≈15. (1)375.0 (2)9625.0 16. (1)169 (2)14317. (1)2=a (2)125.0 (3) 2375.380259)( 75.2)(≈==X D X E18. 1587.0 19. 96.019. ⎥⎦⎤⎢⎣⎡--2345 20. (1) ⎥⎦⎤⎢⎣⎡--=2211X (2) ⎥⎦⎤⎢⎣⎡---=325111X (3) ⎥⎥⎥⎦⎤⎢⎢⎢⎣⎡--=323310X 21. ⎥⎥⎥⎦⎤⎢⎢⎢⎣⎡=-9437323111A22. 为自由未知量)其中434241( 03183x x x x x x ⎪⎩⎪⎨⎧=+=+=23. 为自由未知量)(其中+-为:时方程组有解,一般解33231 535151530x x x x x c ⎪⎩⎪⎨⎧===24.为自由未知量)、(时有解,一般解为:,43432431 6225120x x x x x x x x d c ⎩⎨⎧--=++-===25. 为自由未知量)(其中为:时方程组有解,一般解34323110225 3381x x x x x x ⎪⎩⎪⎨⎧=+-=-==λ26. (1)为自由未知量)(其中一般解为:时方程组有无穷多解,33231 1340x x x x x ⎩⎨⎧-=-==λ(2) 0 140321⎪⎩⎪⎨⎧===≠x x x 为:时方程组有唯一解,解λ。
经济数学2学习通课后章节答案期末考试题库2023年1.一袋中有5个白球,3个红球,现从袋中往外取球,每次取1个记下颜色后放回,直到红球出现10次为止,设停止时共取了k次球,则P(k=12)=参考答案:对2.100个产品中有93个产品长度合格,90个产品重量合格,其中长度、重量都合格的有85个。
现从中任取一产品,则该产品的长度、重量至少有一项合格的概率为0.98.参考答案:对3.①某寻呼台一小时内收到的寻呼次数X;②长江上某水文站观察到一天中的水位X;③某超市一天中的顾客量X.这里三个问题中的X均为连续型随机变量。
参考答案:错4.袋中有大小相同的红球6个,白球5个,从袋中每次任意取出1个球,取出的球不放回,直到取出的球是白球为止时,所需要的取球次数为随机变量,则的可能值为1、2、36参考答案:错5.1/3参考答案:对6.齐次线性方程组一定有解。
参考答案:对7.若A、B为互斥事件,则参考答案:对8.设随机变量X的概率分布为,则F(3)=53/56参考答案:对9.c=1/4参考答案:错10.如果事件A、B互斥,那么A+B是必然事件。
参考答案:错11.则a<5参考答案:对12.已知连续型随机变量X服从区间[a,b]上的均匀分布,则概率()参考答案:1/313.已知随机变量x的分布函数为()参考答案:1/614.甲、乙两人各自射击同一目标,他们的命中率分别为0.80和0.65,则目标被击中的概率是()参考答案:0.9315.矩阵乘法不满足交换律和消去律。
参考答案:对16.若随机变量X和Y相互独立,且,令Z=X-Y,则D(Z)=5参考答案:对17.一大楼装有5个同类型的供水设备。
调查后发现,在任一时刻每个设备被使用的概率均为0.1,则在同一时刻至少有一个设备被使用的概率为0.40951.参考答案:对18.设X是随机变量,且E(X)存在,则E(X)是()参考答案:确定常数19.事件“ABC”表示:A、B、C三事件中至少有一个发生。