《经济数学基础》模拟试题(四)
- 格式:ppt
- 大小:1.01 MB
- 文档页数:27
1.设生产某种产品个单位时的成本函数为(万元) 求:①时的总成本、平均成本和边际成本;②产量为多少时,平均成本最小. 解:①∵ 平均成本函数为:625.0100)()(++==q qq q C q C (万元/个) 边际成本为:65.0)(+='q q C∴ 当10=q 时的总成本、平均成本和边际成本分别为:)(1851061025.0100)10(2元=⨯+⨯+=C5.1861025.010100)10(=+⨯+=C (万元/个) 116105.0)10(=+⨯='C (万元/个)②由平均成本函数求导得:25.0100)(2+-='qq C 令0)(='q C 得驻点201=q (个),201-=q (舍去)由实际问题可知,当产量q 为20个时,平均成本最小。
2.某厂生产某种产品件时的总成本函数为(元),单位销售价格为(元/件),问产量为多少时可使利润达到最大?最大利润是多少?解:①收入函数为:201.014)01.014()(q q q q pq q R -=-==(元)②利润函数为:2002.010)()()(2--=-=q q q C q R q L (元)③求利润函数的导数:q q L 04.010)(-='④令0)(='q L 得驻点250=q (件)⑤由实际问题可知,当产量为250=q 件时可使利润达到最大,最大利润为12302025002.025010)250(2max =-⨯-⨯==L L (元)。
3.投产某产品的固定成本为36(万元),边际成本为(万元/百台).试求产量由4百台增至6百台时总成本的增量,及产量为多少时,可使平均成本达到最低. 解:①产量由4百台增至6百台时总成本的增量为 10046)40()402()(26464=+=+='=∆⎰⎰x x dx x dx x C C (万元) ②成本函数为:0240)402()()(C x x dx x dx x C x C ++=+='=⎰⎰又固定成本为36万元,所以3640)(2++=x x x C (万元)平均成本函数为:xx x x C x C 3640)()(++==(万元/百台) 求平均成本函数的导数得:2361)(xx C -=' 令0)(='x C 得驻点61=x ,62-=x (舍去) 由实际问题可知,当产量为6百台时,可使平均成本达到最低。
经济数学基础期末模拟练习题一、单项选择题1.设1)(+=x x f ,则)1)((+x f f =( ). A . x B .x + 1 C .x + 2 D .x + 3 2. 下列函数中,( )不是基本初等函数.A . xy )e1(= B . 2ln x y = C . xxy cos sin =D . 35x y = 3.设函数⎩⎨⎧>≤=0,00,cos )(x x x x f ,则)4(π-f =().A .)4(π-f =)4(πf B .)2()0(πf f =C .)2()0(π-=f fD .)4(πf =224.若A x f x x =→)(lim 0,则)(x f 在点0x 处( )A .有定义B .没有定义C .极限存在D .有定义,且极限存在5.若4cos)(π=x f ,则=∆-∆+→∆xx f x x f x )()(0lim().A .0B .22 C .4sin π- D .4sin π6.曲线x x y -=3在点(1,0)处的切线是( ). A . 22-=x y B . 22+-=x y C . 22+=x yD . 22--=x y7.已知441x y =,则y ''=( ). A . 3x B . 23x C . x 6 D . 68. 满足方程0)(='x f 的点是函数)(x f y =的( ).A .极大值点B .极小值点C .驻点D .间断点 9.下列结论中( )不正确.A .)(x f 在0x x =处连续,则一定在0x 处可微.B .)(x f 在0x x =处不连续,则一定在0x 处不可导.C .可导函数的极值点一定发生在其驻点上.D .若)(x f 在[a ,b ]内恒有0)(<'x f ,则在[a ,b ]内函数是单调下降的. 10.设f x ()的一个原函数是e -2x ,则f x ()=( ). A . e -2xB . --22e xC . x2e4--D . 42e -x11.微分方程y y ='的通解是=y ( ). A . c x +25.0 B . xc e C . xc -eD . c y x+=e12.设一组数据1x =0,2x =10,3x =20,其权数分别为1.01=p ,6.02=p , 3.03=p ,则这组数据的加权平均数是( ).A . 12B . 10C . 6D . 4 13.对任意二事件A B ,,等式( )成立.A .P AB P A P B ()()()= B .P A B P A P B ()()()+=+C .P A B P A P B ()()(())=≠0 D .P AB P A P B A P A ()()()(())=≠014.掷两颗均匀的骰子,事件“点数之和为3”的概率是( ). A .361B . 181C . 121D . 11115.矩阵13210011000010001000-⎡⎣⎢⎢⎢⎢⎤⎦⎥⎥⎥⎥的秩是( ) A. 1 B. 2 C. 3 D. 4 16.若线性方程组的增广矩阵为⎥⎦⎤⎢⎣⎡=41221λA ,则当λ=( )时线性方程组有无穷多解.A .1B .4C .2D .1217.若非齐次线性方程组A m ×n X = b 的( ),那么该方程组无解. A .秩(A ) = n B .秩(A )=m C .秩(A )≠ 秩 (A ) D .秩(A )= 秩(A )二、填空题 1.极限=→xx x 1sinlim 0. 2.当k 时,⎩⎨⎧<+≥+=001)(2x kx x x x f 在0=x 处仅仅是左连续.3.函数x x x f ln )(-=的单调增加区间是 . 4.如果f x x x c ()sin d ⎰=+2,则)(x f '= .5.广义积分 ⎰∞-02d e x x = . 6. 0e)(23='+''-y y x是 阶微分方程.7.设随机变量X 的概率分布为则a = .8.设),(~p n B X ,且6)(=X E ,6.3)(=X D ,则n = . 9.设矩阵[]321-=A ,I 是单位矩阵,则I A A -T =_________.三、解答题1. 生产某种产品的固定成本为1万元,每生产一个该产品所需费用为20元,若该产品出售的单价为30元,试求:(1) 生产x 件该种产品的总成本和平均成本; (2) 售出x 件该种产品的总收入;(3) 若生产的产品都能够售出,则生产x 件该种产品的利润是多少? 2.计算下列极限(1)x x x 33sin 9lim 0-+→ (2)1245lim 224--+-→x x x x x(3))1113(lim 21----→x x x x 3.求下列导数或微分: (1)设)11)(1(-+=xx y , 求d y .(2)设x x y x sin e +=,求y d .(3)设121lncos -+=x x y ,求y '. 4.生产某种产品q 台时的边际成本10005.2)(+='q q C (元/台),固定成本500元,若已知边际收入为,20002)(+='q q R 试求(1)获得最大利润时的产量;(2)从最大利润的产量的基础再生产100台,利润有何变化?5.计算下列不定积分或定积分(1)⎰+x x x d 423(2)⎰10d cos x x x π (3)x x d sin 20⎰π6.求微分方程yx y -='2e 满足初始条件0)0(=y 的特解.7.假设事件B A ,相互独立,已知6.0)(3.0)(==B P A P ,,求事件B A 与只有一个发生的概率.8.已知7.0)(=A P ,3.0)(=B P ,5.0)(=B A P ,求)(B A P .9.有甲、乙两批种子,发芽率分别是0.85和0.75,在这两批种子中各随机取一粒,求至少有一粒发芽的概率.10.已知事件A ,B ,C 相互独立,试证)(B A +与C 相互独立. 11.设随机变量X 的密度函数为⎩⎨⎧<<-=03)2(3)(2x a x x f求 (1) 常数a ; (2) E X ()12.某类钢丝的抗拉强度服从均值为100 (kg/cm 2),标准差为5 (kg/cm 2)的正态分布,求抗拉强度在90~110之间的概率.(Φ(1) = 0.841 3, Φ(2) = 0.977 2 )13.设矩阵 A =⎥⎥⎥⎦⎤⎢⎢⎢⎣⎡-022011,B =⎥⎦⎤⎢⎣⎡--210321,计算(BA )-1. 14.设矩阵 ⎥⎥⎥⎦⎤⎢⎢⎢⎣⎡---=111103231A ,求矩阵1-A15.设A ,B 均为n 阶对称矩阵,则AB +BA 也是对称矩阵.16.求下列解线性方程组的一般解⎪⎩⎪⎨⎧=-+-=+-+-=++-0232022023432143214321x x x x x x x x x x x x17. 例45 设线性方程组212132123123123x x x x x x x x x c-+=--+=--+=⎧⎨⎪⎩⎪试问c 为何值时,方程组有解?若方程组有解时,求一般解.参考解答一、单项选择题1.解 由于1)(+=x x f ,得 )1)((+x f f 1)1)((++=x f =2)(+x f 将1)(+=x x f 代入,得)1)((+x f f =32)1(+=++x x 正确答案:D2.解 因为2ln x y =是由u y ln =,2x u =复合组成的,所以它不是基本初等函数.正确答案:B3.解 因为02<-π,故1)2cos()2(=-=-ππf 且 1)0(=f , 所以)2()0(π-=f f正确答案:C4.解 函数在一点处有极限与函数在该点处有无定义无关. 正确答案:C5.解 因为4cos)(π=x f 是常数函数,常数函数是可导的,而且它的导数是0.所以由导数定义可得 =∆-∆+→∆xx f x x f x )()(0lim )0(f '= 0正确答案:A注意:这里的4cos)(π=x f 不是余弦函数.6.解 由导数的定义和它的几何意义可知, 13)()1(='-='x x x y 2)13(12=-==x x是曲线x x y -=3在点(1,0)处的切线斜率,故切线方程是)1(20-=-x y ,即22-=x y正确答案:A7.解 直接利用导数的公式计算: 34)41(x x y ='=', 233)(x x y ='='' 正确答案:B8.解 由驻点定义可知,正确答案:C9.解 因为函数在一点处连续并不能保证在该点处可导,所以,正确答案:A 10. 解 因为f x ()的一个原函数是e-2x,故f x ()=(e -2x )'=--22e x所以正确答案:B11.解 用可分离变量法很容易求解,因此,正确答案:B 12.解 因为加权平均数是203.0106.001.031⨯+⨯+⨯=∑=i ii xp = 12所以,正确答案:A13.由概率乘法公式可知,正确答案:D14.解 两颗均匀的骰子的“点数之和”样本总数有6⨯6 =36个,而“点数之和为3”的事件含有:1+2和2+1两个样本,因此,该事件的概率为181. 正确答案:B15.解 化成阶梯形矩阵后,有3个非0行,故该矩阵的秩为3. 正确答案:C16.解 将增广矩阵化为阶梯形矩阵,⎥⎦⎤⎢⎣⎡=41221λA ⎥⎦⎤⎢⎣⎡-→021021λλ 此线性方程组未知量的个数是2,若它有无穷多解,则其增广矩阵的秩应小于2,即021=λ-,从而λ=12.正确答案:D17.解 根据非齐次线性方程组解的判别定理,得 A m ×n X = b 无解⇔秩(A ) ≠ 秩(A ) 正确答案:C二、填空题1.解 因为当0→x 时,x 是无穷小量,x1sin 是有界变量. 故当0→x 时,xx 1sin 仍然是无穷小量. 所以 =→x x x 1sin lim 00.正确答案:C2.解 因为函数是左连续的,即)0(1)1(lim )0(0f x f x ==+=-→-若 1)(lim )0(2==+=+→+k k x f x即当=k 1时,)(x f 在0=x 不仅是左连续,而且是连续的. 所以,只有当1≠k 时,)(x f 在0=x 仅仅是左连续的. 正确答案:1≠3.解 因为 xx x x f 11)ln ()(-='-='令011)(>-='xx f ,得1>x 故函数的单调增加区间是),1(+∞. 正确答案:),1(+∞4.解 根据不定积分的性质可知f (x )=x c x x x f 2cos 2)2(sin )d )((='+='⎰且 )(x f '= x x 2sin 4)2cos 2(-=' 正确答案:x 2sin 4-5.解 因为 ⎰∞-02d e x x2x e21lim aa -∞→=)e 1(21lim2a a -=-∞→=21所以正确答案:216.解 因为微分方程 0e )(23='+''-y y x中所含未知函数的导数的最好阶数是2次,所以它是2阶微分方程. 正确答案:27.根据离散型随机变量的概率分布的性质:pkk∑=1正确答案:0.38.根据二项分布的期望和方差的定义:6.3)1()(,6)(=-===p np X D np X E得 1- p = 0.6,p = 0.4,n = 15 正确答案:159.解 因为 T A = ⎥⎥⎥⎦⎤⎢⎢⎢⎣⎡-321,A A T=⎥⎥⎥⎦⎤⎢⎢⎢⎣⎡-321[]321- =⎥⎥⎥⎦⎤⎢⎢⎢⎣⎡----963642321 所以 I A A -T=⎥⎥⎥⎦⎤⎢⎢⎢⎣⎡----863632320. 正确答案:⎥⎥⎥⎦⎤⎢⎢⎢⎣⎡----863632320该例题说明,可转置矩阵不一定是方阵;如果矩阵运算TA A 成立,A 也不一定是方阵.三、解答题1.(1)解 生产x 件该种产品的总成本为x x C 2010000)(+=; 平均成本为: 2010000)(+=xx C .(2)解 售出x 件该种产品的总收入为: x x R 30)(=. (3)解 生产x 件该种产品的利润为:)()()(x C x R x L -==)2010000(30x x +- =1000010-x2.(1)解 对分子进行有理化,即分子、分母同乘33sin 9++x ,然后利用第一重要极限和四则运算法则进行计算.即 x x x 33sin 9lim-+→=)33sin 9()33sin 9)(33sin 9(lim 0++++-+→x x x x x =33sin 91lim 3sin lim00++⨯→→x x x x x =21613=⨯(2)解 将分子、分母中的二次多项式分解因式,然后消去零因子,再四则运算法则和连续函数定义进行计算.即1245lim 224--+-→x x x x x )3)(4()1)(4(lim 4----=→x x x x x33414)3()1(lim4=--=--=→x x x(3)解 先通分,然后消去零因子,再四则运算法则和连续函数定义进行计算.即 )1113(lim 21----→x x x x =)1)(1()1()3(lim 1+-+--→x x x x x 112lim1-=+-=→x x 3.(1)解 因为 )11)(1(-+=x x y xx 1+-=且 )1('+-='xx y 32121x x--=)11(21x x+-=d y x x xd )11(21+-=注意:求导数时,要先观察函数,看看能否将函数化简,若能,应将函数化简后再求导数,简化计算过程.导数运算的重点是复合函数求导数,难点是复合函数求导数和隐函数求导数. (2)解 因为 xx x x y xx sin e 2)sin e (+'+='=xx x x xx x sin e 2cos e sin e 1+++所以 x x x x x x y y xx d )s i n e 2)s i n (c o s e 1d d +++='=(3)解 ))12l n ((c o s '--='x x y122)(s i n --'⋅-=x x x ]122s i n 21[-+-=x x x复合函数求导数要注意下面两步:① 分清函数的复合步骤,明确所有的中间变量;② 依照法则依次对中间变量直至自变量求导,再把相应的导数乘起来. 4.解 (1)C R L '-'='=)10005.2(20002+-+q q =10005.0+-q令0='L ,求得唯一驻点2000=q .因为驻点唯一,且利润存在着最大值,所以当产量为2000时,可使利润达到最大.(2)在利润最大的基础上再增加100台,利润的改变量为⎰+-=∆21002000d )10005.0(q q L 2500)100041(210020002-=+-=q q即利润将减少2500元.5.(1)解 用第一换元积分法求之.⎰+x x x d 423=⎰+222d 421x x x =⎰+-22)d 441(21x x = c x x ++-)4ln(2222(2)解 用分部积分法求之.⎰1d cos x x x π=⎰-110d sin 1sin 1x x x x ππππ=12cos 1x ππ=22π-(3)解 因为,当π<<x 0时,0sin >x ,即x x sin sin =; 当ππ2<<x 时,0sin <x ,即x x sin sin -=;x x d sin 20⎰π=x x x x d )sin (d sin 20⎰⎰-+πππ=πππ20cos cos x x +- =1 + 1 + 1 + 1 = 46.解 将微分方程yx y -='2e变量分离,得x y xy d e d e 2=,等式两边积分得c xy +=2e 21e 将初始条件0)0(=y 代入,得21=c . 所以满足初始条件的特解为: )1(e5.0e 2+=xy7.解 B A 与只有一个发生的事件为: B A B A +,且B A 与B A 是互斥事件,于是 )()()(B A P B A P B A B A P +=+ =)()()()(B P A P B P A P + =6.0)3.01()6.013.0⨯-+-⨯(=54.08.解 因为B A AB A +=,且AB 与B A 是互斥事件,得)()()(B A P AB P A P += 所以, )(B A P )()(B P AB P =)()()(B P B A P A P -=323.05.07.0=-=9.设A 表示甲粒种子发芽,B 表示乙粒种子发芽,则A ,B 独立,且 P (A ) = 0.15,P (B ) = 0.25 故至少有一粒发芽的概率为:P (A +B ) = 1 - P (B A +) = 1 - P (B A )= 1 - P (A )P (B )= 1 – 0.15⨯0.25 = 0.9625 10.证 因为事件A ,B ,C 相互独立,即)()()(C P A P AC P =,)()()(C P B P BC P = 且 )()()(])[(ABC P BC P AC P C B A P -+=+=)()()()()()()(C P B P A P C P B P C P A P -+ =)()]()()()([C P B P A P B P A P -+ =)()(C P B A P + 所以)(B A +与C 相互独立.11. (1) 解 根据密度函数的性质1=⎰⎰-=+∞∞-32d )2(3d )(ax x x x f =33)2(ax -= 1-(a -2)3得a = 2所以 ⎩⎨⎧<<-=032)2(3)(2x x x f(2) 解 E X ()=⎰+∞∞-d )(x x xf =⎰-322d )2(3x x x=32234)6443(x x x +-=7412.解 设钢丝的抗拉强度为X ,则X ~N (100,52),且)1,0(~5100N X -. P (90<X <110) = )51001105100510090(-<-<-X P = Φ(2)-Φ(-2) = 2Φ(2) - 1 = 0.954 413.解 因为BA =⎥⎦⎤⎢⎣⎡--210321⎥⎥⎥⎦⎤⎢⎢⎢⎣⎡-022011=⎥⎦⎤⎢⎣⎡--2435(BA I )=⎥⎦⎤⎢⎣⎡--→⎥⎦⎤⎢⎣⎡--1024111110240135⎥⎦⎤⎢⎣⎡---→54201111⎥⎥⎦⎤⎢⎢⎣⎡--→2521023101 所以 (BA )-1=⎥⎥⎦⎤⎢⎢⎣⎡--25223114. 解 因为 ⎥⎥⎥⎦⎤⎢⎢⎢⎣⎡---=100010001111103231][I A ⎥⎥⎥⎦⎤⎢⎢⎢⎣⎡----→101340013790001231⎥⎥⎥⎦⎤⎢⎢⎢⎣⎡----→101340211110001231 ⎥⎥⎥⎦⎤⎢⎢⎢⎣⎡-----→943100211110632101→⎡⎣⎢⎢⎢⎤⎦⎥⎥⎥100113010237001349 所以 ⎥⎥⎥⎦⎤⎢⎢⎢⎣⎡=-9437323111A15.证 因为 A ,B 是对称矩阵,即 B B A A==T T,且 TT T )()()(BA AB BA AB +=+T T T T B A A B += AB BA +=BA AB += 根据对称矩阵的性质可知,AB +BA 是对称矩阵. 16.解 将系数矩阵化成阶梯形矩阵⎥⎥⎥⎦⎤⎢⎢⎢⎣⎡---→⎥⎥⎥⎦⎤⎢⎢⎢⎣⎡-----=311031101231232121211231A ⎥⎥⎥⎦⎤⎢⎢⎢⎣⎡--→⎥⎥⎥⎦⎤⎢⎢⎢⎣⎡---→010030108001020031108101因为,秩(A ) = 3 < 4,所以,方程组有非零解. 一般解为⎪⎩⎪⎨⎧===03834241x x x x x (4x 是自由未知量) 17.解⎥⎥⎥⎦⎤⎢⎢⎢⎣⎡-------→⎥⎥⎥⎦⎤⎢⎢⎢⎣⎡-----=13501350112123111211112A c c ⎥⎥⎥⎦⎤⎢⎢⎢⎣⎡---→c 00013501121 可见,当c = 0时,秩(A ) = 秩(A ) = 2 < 3 ,所以方程组有无穷多解.⎥⎥⎥⎥⎥⎥⎦⎤⎢⎢⎢⎢⎢⎢⎣⎡-→0000515310535101A 原方程组的一般解为⎪⎪⎩⎪⎪⎨⎧+=-=323153515153x x x x (3x 是自由未知量)。
经济数学基础模拟试题经济数学基础模拟试题一、单项选择题(每小题3分,共15分)1.下列函数中为偶函数的是( ).A .x x y -=2B .11ln +-=x x y C .2e e xx y -+= D .x x y sin 2=2.设需求量q 对价格p 的函数为p p q 23)(-=,则需求弹性为E p =( ).A .pp32- B . 32-p p C .--32pp D .--p p32 3.下列无穷积分中收敛的是( ).A .⎰∞+0d e x xB . ⎰∞+13d 1x xC .⎰∞+12d 1x xD .⎰∞+1d sin x x 4.设A 为43⨯矩阵,B 为25⨯矩阵,且T T B AC 有意义,则C 是 ( )矩阵.A .24⨯B .42⨯C .53⨯D .35⨯5.线性方程组⎩⎨⎧=+=+32122121x x x x 的解得情况是( ). A . 无解 B . 只有O 解 C . 有唯一解 D . 有无穷多解二、填空题(每小题3分,共15分)6.函数)5ln(21)(++-=x x x f 的定义域是.7.函数1()1e x f x =-的间断点是 . 8.若c x x x f x ++=⎰222d )(,则=)(x f .9.设⎥⎥⎥⎦⎤⎢⎢⎢⎣⎡---=333222111A ,则=)(A r .10.设齐次线性方程组O X A =⨯⨯1553,且r (A ) = 2,则方程组一般解中的自由未知量个数为 .三、微积分计算题(每小题10分,共20分)11.设x y x cos ln e -=,求y d .12.计算定积分 ⎰e1d ln x x x .四、代数计算题(每小题15分,共30分)13.设矩阵⎥⎥⎥⎦⎤⎢⎢⎢⎣⎡-=143102010A ,⎥⎥⎥⎦⎤⎢⎢⎢⎣⎡=100010001I ,求1)(-+A I . 14.求齐次线性方程组⎪⎩⎪⎨⎧=-++=+--=-++03520230243214314321x x x x x x x x x x x 的一般解.五、应用题(本题20分)15.某厂生产某种产品q 件时的总成本函数为C (q ) = 20+4q +0.01q 2(元),单位销售价格为p = 14-0.01q (元/件),问产量为多少时可使利润达到最大最大利润是多少经济数学基础模拟试题参考解答一、单项选择题(每小题3分,共15分)1.C 2. D 3. C 4. B 5. A二、填空题(每小题3分,共15分)6. ),2()2,5(∞+-7. 0x =8. x x 42ln 2+9. 1 10.3三、微积分计算题(每小题10分,共20分)11.解:因为 x x x y x x tan e )sin (cos 1e +=--='所以 x x y x d )tan e (d +=12.解: ⎰⎰-=e12e12e 1)d(ln 21ln 2d ln x x x x x x x 414e d 212e 2e 12+=-=⎰x x .四、线性代数计算题(每小题15分,共30分)13.解:因为 ⎥⎥⎥⎦⎤⎢⎢⎢⎣⎡-=+243112011A I⎥⎥⎥⎦⎤⎢⎢⎢⎣⎡----→⎥⎥⎥⎦⎤⎢⎢⎢⎣⎡-=+103210012110001011100243010112001011)(I A I⎥⎥⎥⎦⎤⎢⎢⎢⎣⎡--→115100012110001011⎥⎥⎥⎦⎤⎢⎢⎢⎣⎡---→115100127010001011⎥⎥⎥⎦⎤⎢⎢⎢⎣⎡----→115100127010126001所以 ⎥⎥⎥⎦⎤⎢⎢⎢⎣⎡----=+-115127126)(1A I . 14.解:因为系数矩阵⎥⎥⎥⎦⎤⎢⎢⎢⎣⎡----→⎥⎥⎥⎦⎤⎢⎢⎢⎣⎡----=111011101211351223011211A ⎥⎥⎥⎦⎤⎢⎢⎢⎣⎡--→000011102301 所以一般解为⎩⎨⎧-=+-=43243123x x x x x x (其中3x ,4x 是自由未知量)五、应用题(本题20分)15.解:由已知收入函数 201.014)01.014(q q q q qp R -=-==利润函数 22202.0201001.042001.014q q q q q q C R L --=----=-= 于是得到 q L 04.010-='令004.010=-='q L ,解出唯一驻点250=q .因为利润函数存在着最大值,所以当产量为250件时可使利润达到最大. 且最大利润为1230125020250025002.02025010)250(2=--=⨯--⨯=L (元)。
二、应用题1.设生产某种产品q 个单位时的成本函数为:q q q C 625.0100)(2++=(万元), 求:①当10=q 时的总成本、平均成本和边际成本;②当产量q 为多少时,平均成本最小?解:① ()625.0100++=q qq c ()65.0+='q q c 当10=q 时总成本:()1851061025.0100102=⨯+⨯+=c (万元) 平均成本:()5.1861025.01010010=+⨯+=c (万元) 边际成本:()116105.010=+⨯='c (万元) ②()25.01002+-='qq c 令 ()0='q c 得201=q202-=q (舍去)由实际问题可知,当q=20时平均成本最小。
2.某厂生产某种产品q 件时的总成本函数为201.0420)(q q q C ++=(元),单位销售价格为q p 01.014-=(元/件),问产量为多少时可使利润达到最大?最大利润是多少.解: ()201.014q q pq q R -==()()()q C q R q L -=()2201.042001.014q q q q ++--=2002.0102--=q q()q q L 04.010-='令()0='q L , 解得:250=q (件)()12302025002.025*******=-⨯-⨯=L (元)因为只有一个驻点,由实际问题可知,这也是最大值点。
所以当产量为250件时利润达到最大值1230元。
3.投产某产品的固定成本为36(万元),且边际成本为402)(+='x x C (万元/百台).试求产量由4百台增至6百台时总成本的增量,及产量为多少时,可使平均成本达到最低.解: ()()1004640402264=+=+=∆⎰x x dx x c (万元) ()()()c x x dx x dx x c x c ++=+='=⎰⎰404022∵固定成本为36万元∴()36402++=x x x c()x x x c 3640++= ()2361xx c -=' 令()0='x c 解得:6,621-==x x (舍去) 因为只有一个驻点,由实际问题可知()x c 有最小值,故知当产量为6百台时平均成本最低。
经济数学基础03春模拟试题(四)一、单项选择题(每小题3分,共30分) 1.下列函数中为奇函数的是( ). A .x x y -=2B .xx y -+=ee C .11ln+-=x x y D .x x y sin = 2.极限xx x 11lim 0-+→= ( ).A .0B .1C .∞D .21 3. 当x →0时,下列变量中( )是无穷大量. A .001.0xB . x x 21+C .x D . x -24.设函数f (x ) 满足以下条件:当x < x 0时,'>f x ()0;当x > x 0时,'<f x ()0,则x 0是函数f (x )的( ).A .驻点B .极大值点C .极小值点D .不确定点 5. 下列等式不成立的是( ). A .)1d(d ln xx x = B .)d(cos d sin x x x =-C .x x xd d 21= D .)d(e d e x x x =9.设B A ,为同阶可逆方阵,则下列说法正确的是( ).A . 若AB = I ,则必有A = I 或B = I B .TT T )(B A AB = C . 秩=+)(B A 秩+)(A 秩)(B D .111)(---=A B AB10.线性方程组⎩⎨⎧=+=+012121x x x x 解的情况是( ).A . 无解B . 只有0解C . 有唯一解D . 有无穷多解二、填空题(每小题2分,共10分)11.设函数1)(2-=u u f ,xx u 1)(=,则=))2((u f .12.已知需求函数为p q 32320-=,其中p 为价格,则需求弹性E p= . 13.函数f (x ) = sin2x 的原函数是. 14.设)10,5(~2N X ,若5.0)5(=<-a X P ,则a =.15.计算矩阵乘积[]⎥⎥⎥⎦⎤⎢⎢⎢⎣⎡-⎥⎦⎤⎢⎣⎡10211000321= .得分 评卷人 三、微分计算题(每小题6分,共12分)17.由方程x y x y=++e )cos(确定y 是x 的隐函数,求y d .19.求微分方程y y x y ln tan ='的通解.20.设B A ,是两个随机事件,已知4.0)(=A P ,5.0)(=B P ,45.0)(=A B P ,求:)(B A P +.21.设随机变量X 的分布函数为⎪⎩⎪⎨⎧≥<≤<=111000)(2x x x x x F 求E (2X 2 -3X ).得分 评卷人 六、代数计算题(每小题6分,共12分)22.设矩阵 A =⎥⎥⎥⎦⎤⎢⎢⎢⎣⎡-022011,B =⎥⎦⎤⎢⎣⎡--210321,计算(BA )-1. 23.设线性方程组 ⎪⎩⎪⎨⎧=+-=-+--=+052231232132131x x x x x x x x ,求其系数矩阵和增广矩阵的秩,并判断其解的情况.七、应用题(8分)24.投产某产品的固定成本为36(万元),且边际成本为)(x C '=2x + 40(万元/百台). 试求25.试证:可微偶函数的导数为奇函数.经济数学基础03春模拟试题(四)参考解答一、 单项选择题(每小题3分,共30分)1.C 2. D 3. B 4. D 5. A 6. A 7. B 8. C 9. D 10. A 二、填空题(每小题2分,共10分)11.43-12. 10-p p 13. -21cos2x + c (c 是任意常数) 14. 0 15.[4]三、微分计算题(每小题6分,共12分)16.解 ]42)21[(lim 2210-+---→x x x x x =4020)21()21(lim 2210-+----→x x x x (3分)= 21)21(lim ])21(lim [202120+---→--→x x x x x= 21e 21+- (6分) 17.解 在方程等号两边对x 求导,得 )()e (])[cos('='+'+x y x y1e ]1)[sin(='+'++-y y y x y(3分) )sin(1)]sin(e [y x y y x y++='+-)sin(e )sin(1y x y x y y+-++=' (5分) 故 x y x y x y y d )sin(e )sin(1d +-++=(6分)四、积分计算题(每小题6分,共12分) 18.解x xx d 91160⎰-+=x x x d )9(91160⎰++ (2分) =162323]32)9(32[91x x ++=12 (6分) 19.解 将原方程分离变量x x yy yd cot ln d = (2分)两端积分得 lnln y = ln C sin x通解为 y = e C sin x (6分) 五、概率计算题(每小题6分,共12分) 20. 解 )(1)(B A P B A P +-=+)]()()([1AB P B P A P -+-= (2分) )]()(5.04.0[1A P A B P -+-= (4分) 28.0]4.045.09.0[1=⨯--= (6分) 21.解 由X 的分布函数F (x )得到密度函数为 ⎩⎨⎧<≤=其它0102)(x x x f (2分)则 E (2X 2-3X ) = 2E (X 2)-3 E (X ) =2⎰∞+∞-x x f x d )(2-3⎰∞+∞-x x xf d )(=2⎰13d 2x x -3⎰102d 2x x= 1 – 2 = -1 (6分)六、代数计算题(每小题6分,共12分)22.解 因为BA =⎥⎦⎤⎢⎣⎡--210321⎥⎥⎥⎦⎤⎢⎢⎢⎣⎡-022011=⎥⎦⎤⎢⎣⎡--2435 (2分) (BA I )=⎥⎦⎤⎢⎣⎡--→⎥⎦⎤⎢⎣⎡--1024111110240135 ⎥⎦⎤⎢⎣⎡---→54201111⎥⎥⎦⎤⎢⎢⎣⎡--→2521023101 (5分) 所以 (BA )-1=⎥⎥⎦⎤⎢⎢⎣⎡--252231(6分) 23.解 因为⎥⎥⎥⎦⎤⎢⎢⎢⎣⎡---→⎥⎥⎥⎦⎤⎢⎢⎢⎣⎡----=211011101201051223111201A⎥⎥⎥⎦⎤⎢⎢⎢⎣⎡--→300011101201 (3分) 所以 r (A ) = 2,r (A ) = 3. (4分) 又因为r (A ) ≠ r (A ),所以方程组无解. (6分) 七、应用题(8分)24. 解 当产量由4百台增至6百台时,总成本的增量为 ⎰+=∆64d )402(x x C =642)40(x x+= 100(万元) (3分)又 x c x x C x C x⎰+'=d )()(=xx x 36402++=xx 3640++ (5分)令 0361)(2=-='xx C , 解得6=x .x = 6是惟一的驻点,而该问题确实存在使平均成本达到最小的值. 所以,产量为6百台时可使平均成本达到最小. (8分) 八、证明题 (4分)25.证 设f (x )为可微偶函数,即f (x ) = f (-x ),则f ' (x ) = (f (x ))'= (f (-x ))'=f ' (-x ) (-x )'= -f ' (-x ) 即 f ' (-x ) = -f ' (x )所以 f ' (x ) 为奇函数. (4分)。
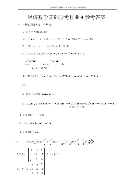
国开《经济数学基础12》形考作业四参考资料一、计算题(每题6分,共60分)1.解:y ′=(y −y 2 )′+(cos 2y )′=(−y 2)′·y −y 2−2sin 2y =−2x y −y 2−2sin 2y综上所述,y ′=−2x y −y 2−2sin 2y2.解:方程两边关于y 求导:2y +2yy ′−y −yy ′+3=0 (2y −y )y ′=y −2y −3 ,yy =y −3−2y2y −yyy 3.解:原式=∫√2+y 2y (12y 2)=12∫√2+y 2y (2+y 2)=13(2+y 2)32+y 。
4.解原式=2∫yy (−yyy y2)=−2y yyyy 2+2∫yyy y 2yy =−2y yyyy 2+4yyy y2+y5.解原式=∫y 1y y (−1y )21 =−y 1y |12=−y 12+y 。
6.解∫yy y y (12y 2)=y 112y 2yy y|1y −∫12y 1y 2(yy y )′yy =12y 2−14y 2|1y =14y 2+14 7.解:y +y =[0131051−20] (y +y ,y )=[0131001050101−20001]→[1050100131001−20001]→[1050100131000−2−50−11]→[105010013100001211]→[100−106−5010−53−30012−11](y +y )−1=[−106−5−53−32−11] 8.解:(y y )=[12−332−42−10 100010001] →[12−30−450−56 100−310−201] →[12−301−10−56 100−11−1−201]→[12−301−1001 100−11−1−754]→[100010001 −43−2−86−5−75−4] y −1=[−43−2−86−5−75−4] y =yy−1=[1−30027][−43−2−86−5−75−4]=[20−1513−6547−38]9.解:y=[102−1−11−322−15−3]→[102−101−110−11−1]→[102−101−110000]所以,方程的一般解为{y1=−2y3+y4y2=y3−y4(其中y1,y2是自由未知量)10解:将方程组的增广矩阵化为阶梯形[1−142−1−13−2321y]→[1−1401−901−92−3y−6]→[10−501−9000−1−3y−3]由此可知当λ≠3时,方程组无解。
习题解答第一章 经济活动中的函数关系分析实训一(A )1.填空题:(1)(,2][2,)-∞-+∞ ; (2)()3,5; (3)1x; (4)2x e ;2x e ; (5)473x -,提示:由()()47433433g f x x x =+=+-⎡⎤⎣⎦,所以()473x g x -=.2.(1)tan(2)y x =;(2)(3)y=;(4)y=lg(sin 2)x .3.(1)cos y u =,1xu e =-; (2)ln y u =,222u x x =-+;(3)y =1u x =+;(4)y lg u v =,v =实训一(B )1.由已知可知2110x -<-<,得到201x <<,即定义域为()()1,00,1- .2.由()21f x x -=,可得()()2111f x x -=-+,所以()()21f x x =+.也可令1x t -=.3.(1)u y e =,sin u v =,2v x =;(2)log uv ay =,21u x =+,sin v w =,2w x =. 4. ()()()log log log a a a f x f y x y xy f xy +=+==;()()log log log a a axx f x f y x y f y y ⎛⎫-=-== ⎪⎝⎭. 实训二 (A )1.填空题:(1)y =(2)[]1,3-; (3)2π-,4π; (4)12,π. 2.(1)⨯;(2)⨯;(3)⨯;(4)√.3.(1)由()cos 21y x =+,解得21arccos x y +=,()1arccos 12x y =-, 所以,()()11arccos 12fx x -=-.定义域:[]1,1x ∈-;值域:11,22y π-⎡⎤∈-⎢⎥⎣⎦(2)由()1ln 2y x =++,解得12y x e -+=,12y x e -=-,所以,()112x fx e --=-定义域:(),x ∈-∞+∞;值域:()2,y ∈-+∞ 4.【水面波纹的面积】设面积为S (2cm ),时间为t (s ),则()22502500S t t ππ==【仪器初值】()0.04200.800208986.58Q Q e Q e -⨯-===解得0.808986.582000Q e =≈.实训二(B )1.由()x a f x x b +=+,解得反函数为()11a bx f x x --=-. 由已知()1x a f x x b -+=+,可得1a bx x a x x b-+=-+,相比较,可得a 为任意实数,1b =-.2.由()ln x x ϕ=,()21ln 3g x x ϕ=++⎡⎤⎣⎦,可得()221ln 3ln 3x x g x e e e ϕ+=⋅⋅=⎡⎤⎣⎦所以,()213x g x e+=.实训三【商品进货费用】 设批次为x ,由题意: 库存费:11250030000242C x x=⋅⋅=; 订货费:2100C x =. 【原料采购费用】设批量为x ,库存费用为1C ,进货费用为2C ,进货总费用为12C C C =+.1122C x x=⋅⋅= 23200640000200C xx=⋅=所以进货总费用为:12640000C C C x x=+=+. 【商品销售问题】设需求函数关系式为:d Q ap b =+,其中p 为定价. 由已知可得:1000070700073a ba b=+⎧⎨=+⎩,解得1000a =-,80000b =,所以100080000d Q p =-+; 供给函数为:1003000s Q p =+平衡状态下:价格70p =;需求量10000d Q =. 【商品盈亏问题】设()()()()2015200052000L x R x C x x x x =-=-+=-.()6001000L =; 无盈亏产量:()0L x =,解得400x =. 【供给函数】答案:1052PQ =+⋅. 【总成本与平均成本】总成本()1306C Q Q =+,[]0,100Q ∈. 平均成本()13061306Q C Q Q Q+==+,[]0,100Q ∈.第一章自测题一、填空题1、[2,1)(1,1)(1,)---+∞2、(,)-∞+∞3、(,1)a a --4、23x x -5、2ln(1)x -6、arcsin 2x7、cos(ln )x8、2142R Q Q =-+9、22()2505;()6248100R x x x L x x x =-=-+- 10、6P = 二、选择题1、C2、B3、B4、D5、C三、计算解答题1、(1)22log , 1y u u x ==+(2)1x y u e ==+ 2、1()1 , ()1f x x f x x -=+=- 四、应用题1、(1) 6 , 8P Q == (2) 3.5 , 3P Q == (3) 6.5 , 7P Q ==2、(1)()10200C x x =+,()200()10C x C x x x==+ (2)()15R x x =(3)()()()5200L x R x C x x =-=-,无盈亏点:40x =五、证明题(略)第二章 极限与变化趋势分析实训一(A )1.(1)×;(2)√;(3)×;(4)×;(5)√. 2.(1)收敛,且lim 0n n x →∞=;(2)发散,lim n n x →∞=∞;(3)收敛,且lim 2n n x →∞=;(4)发散.3.(1)收敛,且lim 2x y →∞=;(2)收敛,且0lim 1x y →=;(3)收敛,且lim 1x y →+∞=;(4)发散.【产品需求量的变化趋势】lim lim 0t t t Q e -→+∞→+∞==.实训一(B )(1)无穷大;(2)无穷大;(3)无穷大;(4)无穷大. 【人影长度】越靠近路灯,影子长度越短,越趋向于0.实训二 (A )1.填空题(1)5;(2)2;(3)1;(4)13;(5)∞;(6)∞;(7)2. 2.(1)()()()()2211111112lim lim lim 21121213x x x x x x x x x x x x →→→-+-+===---++; (2)(222211lim2x x x x x x →→→===--;(3)()()2322000222lim lim lim 211x x x x x x x x x x x x x →→→---===---; (4)()()211121111lim lim lim 111112x x x x x x x x x →→→--⎛⎫-===-⎪---++⎝⎭. 3.(1)222112lim lim 2111x x x x x x x →+∞→+∞-⎛⎫-==- ⎪+--⎝⎭; (2)()()()1121lim lim lim 22222222n n n n n n n n n n n n →∞→∞→∞⎛⎫++++-⎛⎫-=-==- ⎪⎪ ⎪+++⎝⎭⎝⎭. 【污染治理问题】由题意可知,该问题为等比级数问题,首项为a ,公比为45,则设n 周后所剩污染物为n a ,则45nn a a ⎛⎫= ⎪⎝⎭,因为4lim 05nn a →∞⎛⎫= ⎪⎝⎭,所以,可以确定随着时间的推移能将污染物排除干净.【谣言传播】 (1)1lim (t)lim11ktt t P ae -→∞→∞==+;(2)121(t)0.8110t P e-==+,可解得2ln 407.38t =≈.实训二(B )1.填空题(1)32π-; (2)0;0.(无穷小与有界函数的乘积为无穷小)(3)0a =,2b =-.2.(1)()3320lim3h x h x x h→+-=;(2)442x x x →→→===.3.由()3lim 30x x →-=,且232lim 43x x x kx →-+=-,可得()23lim 20x x x k →-+=,解得3k =-.4.由题意可知()()21116lim lim 511x x x x x ax bx x→→--++==--,可得7a =-,6b =.实训三 (A )1.填空题(1)1e -;(2)3e -;(3)e ;(4)e ;(5)3k =;(6)5050.1230⨯⨯=万元,()55010.125038.1⨯+-=万元,50.125041.1e ⨯=万元. 2.(1)6e -;(2)1e -;(3)2e -;(4)01e =. 3.(1)0.042003 6.68rtPe e ⨯==万元; 2.25o P =万元.(2)24.38t p =万元;24.43t p =万元.实训三(B )1.(1)(()0111lim 1lim 1lim 11x x x x x x e x x x --→∞→∞→∞⎡⎤⎛⎛⎫⎛⎫-=-=-==⎢⎥⎪⎪ ⎪⎝⎭⎝⎭⎝⎭⎢⎥⎣⎦;(2)()15lim 15xx x x e →→∞=+=;(3)()1111111lim lim 11xxx x xx e ---→→=+-=;(4)()()()1000ln 121limlim ln 12limln 12x x x x x x x xx →→→+=+=+ ()()112limln 12lnlim 12ln 2x xx x x x e →→=+=+==.2.322lim lim 122x xc x x x c c e e x c x c →∞→∞+⎛⎫⎛⎫=+== ⎪ ⎪--⎝⎭⎝⎭,所以3c =. 实训四 (A )1.填空题 (1)(]0,3;(2)()243,110,1x x x f x x ⎧-+≤-=⎨>⎩;(3)()0lim 1x f x -→=-,()0lim 0x f x +→=,()0lim x f x →不存在; (4)()(),22,-∞--+∞ ; (5)1x =,2x =;(6)1k =.2.图略,()0lim 1x f x -→=,()0lim 0x f x +→=,()0lim x f x →不存在. 3.()()1lim 11x f x f -→==,()1lim 2x f x +→=,因为()()11lim lim x x f x f x -+→→≠,所以()f x 在1x =处不连续.【个人所得税计算】个人所得税的起征点为月收入3500元.850035005000-=,50000.2555455⨯-=;1200035008500-=,85000.25551145⨯-=.【出租车费用】图略,()8, 322, 3836, 8x f x x x x x ≤⎧⎪=+<≤⎨⎪->⎩.实训四 (B )1.图略,()()0lim 10x f x f -→=-=,()0lim 0x f x +→=,因为()()11lim lim x x f x f x -+→→≠,所以()f x 在0x =处不连续.2.由连续的定义可知:()()220lim 1xx k f x e →==+=.3.因为()01f =,()01lim sin00x x f x→=≠(无穷小与有界函数的乘积), 所以0x =为第一类的可去间断点.第二章自测题一、填空题 1、1- 2、1 3、12- 4、345、221,02,0x x x x ⎧+=⎪⎨≠⎪⎩6、1-7、100 ; 0 8、0.035; 5.15e(万)(万)二、选择题1、C2、A3、C4、A5、B 三、计算解答题1、(1)原式=211(1)1 lim lim0(1)(1)1x xx xx x x→→--==+-+(2)原式=lim lim x x=1lim2x==-(3)设1xe t-=,则ln(1)x t=+,0x→时,0t→,原式=10011lim lim1ln(1)ln(1)limln(1)t ttttt ttt→→→==+⋅++1111lnln[lim(1)]ttet→===+(4)原式=sin[lim sin[limx x→+∞=s i n[l]s i n00x===2、(0)2f=00l i m()l) x x xf x---→→→==00lim lim(12x x--→→==+=00lim()lim(2)2x xf x x++→→=+=lim()2(0)xf x f→∴==()f x∴在0x=点连续,从而()f x在(,)-∞+∞内连续.四、应用题第三章经济最优化问题分析实训一(A )1.填空题(1)45x ; (2)2313x -; (3)23x ; (4)5232x --;(5)2ln 2x ; (6)1ln10x ; (7)0; (8)0.2.2log y x =,1ln 2y x '=.212ln 2x y ='=,122ln 2x y ='=.3.(1)()141y x -=-,即43y x =-; (2)()222y x +=--,即22y x =-+; (3)cos y x '=,312x k y π='==,切线方程为123y x π⎛⎫=- ⎪⎝⎭,即126y x π=-. 实训一(B )1.()()()20001sin010limlim lim sin 00x x x x f x f x f x x x x→→→-'====-.2.()()()()000002lim h f x h f x f x h f x h →+-+--()()()()0000022lim2h f x h f x hh f x h f x h →+-=+--()()()()00000022limlim 12h h f x h f x hh f x h f x h →→+-=⋅=+--. 其中()()()00002lim2h f x h f x f x h→+-'=,()()()()()00000021limh h f x f x h f x f x h f x →='+----⎡⎤⎡⎤⎣⎦⎣⎦. 3.因为3,02⎛⎫⎪⎝⎭不在21y x =上,不是切点.设过点3,02⎛⎫⎪⎝⎭与21y x =相切的切线的切点坐标为21,a a ⎛⎫ ⎪⎝⎭,则切点为21,a a ⎛⎫ ⎪⎝⎭的切线方程为:()2312Y X a a a -=--,有已知3,02⎛⎫ ⎪⎝⎭在切线上,带入可得1a =,所以切线方程为:()121y x -=--,即23y x =-+.实训二 (A )1.(1)223146y x x x '=+-; (2)11'ln n n y nx x x --=+; (3)21'41y x x =++; (4)2cosx cosx sinx'(x 1)x y +-=+. 2.(1)22'1xy x =+; (2)22'2sin3x 3cos3x x x y e e =+; (3)'y = (4)22sec cos122'csc sinx 2tan 2cos sin222x x y x x x x ====.3.(1)''2y =; (2)''2x x y e xe --=-+(3)222222(1x )2(2x)''224(1x )x y x x --+-==-+--; (4)2322222(1x)2''2arctanx 1(1x )x x x y x +-=++++. 4.(1)2212dy x xdx y y --+==;(2)x y x y dy y e y xy dx e x xy x++--==--. 【水箱注水】由24r h =,12r h =,22311133212h v r h h h πππ⎛⎫=== ⎪⎝⎭,两边求导得214v h h π''=,由已知2v '=,3h =,带入可得: 1294h π'=,89h π'=所以水位上升的速度为89π米/分.【梯子的滑动速度】由题意可得22100x y +=,两边求导可得:220dx dy xy dt dt +=,即dx y dy dt x dt=-, 将8y =,6x =,0.5dy dt =带入可得:820.563dy dt =-⨯=-.所以梯子的另一端华东的速度为23米/秒.负号表示运动方向. 实训二 (B )1.(1)11(1ln )e x e x y x x x e -=+++; (2)()()1112121y x x x ⎫'=--⎪⎪-+⎭. 2.()()cos sin x x y e x f e x ''=++. 3.将1y y xe -=两边对x 求导可得:0y y dy dy e xe dx dx --=,即1y ydy e dx xe =-.…………(1) 将0,1x y ==带入(1)可得:y e '=. 对(1)继续求导,()()()22121y y y y y y y e xe e e xy e y e xe ''----''==-.4.(1)22x z z xy x ∂'==∂, 22y zz yx y ∂'==∂; (2)2xy x z z ye xy x ∂'==+∂,2xy y z z xe x y∂'==+∂. 实训三 (A )1.填空题(1)单调递增区间,(),0-∞;单调递减区间()0,+∞. (2)6a =-.(3)驻点. (4)()00f x ''<.2.()()3444110y x x x x x '=-=-+=,得驻点1230,1,1x x x ==-=,单调递增区间:()()1.0 1.-+∞ ,单调递减区间:()().10.1-∞- .3.()()23693310y x x x x '=--=-+=,得驻点121,3x x =-=.又由于:66y x ''=-,()1120y ''-=-<,所以11x =-为极大点,极大值为0; ()360y ''=>,所以23x =为极小点,极小值为32-.【定价问题】21200080R PQ P P ==-,25000502500050(1200080)6250004000C Q P P =+=+-=-, 224000160T Q P ==-,21200080625000400024000160L R C T P P P P =--=--+-+28016160649000P P =-+-160161600L P '=-+=,解得:101P =, 167080L =.【售价与最大利润】1100200Q p =-,21100200R PQ P P ==-;220019004400L R C P P =-=+-,40019000L P '=-+=,解得 4.75P =此时:150Q =,112.5L =. 【最小平均成本】210000501000050x x c x x x ++==++;21000010c x '=-+=,解得100x =.【最大收入】315x R px xe -==,33155x x R exe--'=-3(155)0x x e-=-=,解得:3x =,此时115p e -=,145R e -=.实训三 (B )1.(1)设()1xf x e x =--,()10xf x e '=->(0x >),说明()f x 在0x >时单调递增,又()00f =,所以,当0x >时,()()00f x f >=,所以不等式成立. (2)设()()ln 1f x x x =-+,()1101f x x'=->+(0x >),说明()f x 在0x >时单调递增,又()00f =,所以,当0x >时,()()00f x f >=,所以不等式成立. 2.()cos cos3f x a x x '=+,没有不可导点,所以cos cos 033f a πππ⎛⎫'=+=⎪⎝⎭,得2a =.又()2sin 3sin3f x x x ''=--,03f π⎛⎫''=<⎪⎝⎭,所以3x π=为极大值点,极大值为3f π⎛⎫= ⎪⎝⎭【采购计划】 设批量为x ,采购费:132********200C x x =⨯=; 库存费:222xC x =⨯=;总费用:12640000C C C x x=+=+; 264000010C x'=-+=,解得800x =唯一驻点, 所以采购分4次,每次800吨,总费用最小.第三章自测题一、填空题 1. 2 2. 12-3. 21x -4. 1-5. 212c o s x xx+ 6. 17. 2l n3x + 8. 2 ; 09. 11ln ; ln y x y x yxy y x x xy --+⋅⋅+10. 12x =二、选择题1、C2、A3、A4、D5、A 三、计算解答题1、(1)([1]y x '''=+=+[12]()1x =⋅⋅⋅==(2)222()()2x x x x y e x e x xe e --'''=⋅+⋅-=- 2、方程221x y xy +-=两边对x 求导,得22()0x y y y x y ''+⋅-+= 解得:22y xy y x-'=-,将0,1x y ==代入,得切线斜率12k =,所以,切线方程为:11(0)2y x -=-,即:220x y -+=. 3、定义域(,)-∞+∞2363(2)y x x x x '=-=- 令0y '=,得驻点120,2x x ==递增区间:(,0)-∞、(2,)+∞ 递减区间:(0,2)极大值:(0)7f = 极小值:(2)3f = 四、应用题1、50S t ==(50)50dSt dt'== 所以,两船间的距离增加的速度为50千米/小时. 2、第四章 边际与弹性分析实训一(A )1.填空题(1)0.2x ∆=, 2.448y ∆=, 2.2dy =. (2)1x dy edx ==. (3)12dy x dx x ⎛⎫=+⎪⎝⎭. (4)cos(21)x +,2cos(21)x +. (5)[]()f g x ',[]()()f g x g x ''.2.(1)(12)dy x dx =+; (2)221dy dx x =+; (3)222(22)x x dy xe x e dx --=-; (4)322(1)dy x x dx -=-+; (5)23(1)1dy dx x =-+; (6)1dx dy x nx=. 3.()ln 11x y x x '=+++,11ln 22x y ='=+,所以11ln 22x dy dx =⎛⎫=+ ⎪⎝⎭. 【金属圆管截面积】2s r π=,2200.05ds r r πππ=∆=⨯=.实训一(B )1.(1)2sec x ;(2)1sin 5x 5;(3)2x ;(4)232x ;(5)21x +;(6)arctan x . 2.将x yxy e+=两边对x 求导,()1x yy xy ey +''+=+,解得:x y x ye yy x e ++-'=-,所以x y x ye ydy dx x e++-=-.3.(1110.001 1.00052≈+⨯=;(20.02221 2.001783⎛⎫==≈+= ⎪⨯⎝⎭; (3)()ln 1.01ln(10.01)0.01=+≈; (4)0.0510.05 1.05e ≈+=. 【圆盘面积的相对误差】2s r π=,0.2r ∆≤()'2s ds s r r r r π∆≈=∆=∆(1)()()22482240.29.65s ds cm cm πππ∆≈=⨯⨯==; (2)2220.22 1.67%24r r r s ds s s r r ππ∆∆∆≈===⨯≈. 实训二 (A )1.(1)()2'2x f x xe =;(2)[]1'()(1)a bf x x e a x ac --=++.2.(1)()21900110090017751200C =+⨯=;17757190036C ==. (2)()39002C '=,表示第901件产品的成本为32个单位;()51000 1.673C '=≈,表示第1001件产品的成本为53个单位. 3.(1)(50)9975R =;9975199.550R ==. (2)()502000.0250199R '=-⨯=,表示第51件产品的收入为199个单位. 4.22()()100.01520050.01200L R x C x x x x x x =-=---=--,50.020L x '=-=,解得唯一驻点250x =,所以当每批生产250个单位产品时,利润达到最大.实训二(B )1.()()()()()242,04282, 4x x x x L x R x C x x x ⎧--+≤≤⎪=-=⎨⎪-+>⎩, 即()232,0426, 4x x x L x x x ⎧-+-≤≤⎪=⎨⎪->⎩,求导()3,041, 4x x L x x -+≤<⎧'=⎨->⎩,令()0L x '=解得3x =百台(唯一驻点) 所以每年生产300台时,利润达到最大.()()430.5L L -=-万元,在最大利润的基础上再生产1百台,利润将减少0.5万元.2.()0.50.25C a a =+(万元)()2152R a aa =- ()22150.50.25 4.750.522a L a a a a a =---=-+-令() 4.750L a a '=-+=,解得 4.75a =(百台)又()10L a ''=-<,有极值的第二充分条件,可知当 4.75a =为最大值(唯一驻点) 所以该产品每年生产475台时,利润最大.实训三 (A )1.填空题 (1)1axy=;(2)21x Ey Ex ==;(3)1ln()4p η=-;(4)()334η=,()41η=,()554η=. 2.(1)15x η=; (2)3(3)5η=,价格为3时,价格上涨1%,需求下降0.6%,缺乏弹性;(5)1η=,价格为5时,价格上涨1%,需求下降1%,单位灵敏性; 6(6)5η=,价格为6时,价格上涨1%,需求下降1.2%. 3.(1)500P =元时,100000Q =张. (2)18002ppη=-.(3)1η=时,18002600p p p =-⇒=所以:当0600p ≤<时,1η<;当600900p <≤时,1η>.实训三 (B )1.(1)224202EQ x x Q Ex Q x '==--,243x EQ Ex ==-,所以价格增长5%,需求量减少6.7%;(2)()()3220R x xQ x x x ==--,x =403Q =.2.(1)2Q P '=-,48P Q ='=-,经济意义:在价格4P =的基础上,增加一个单位,需求量减少8个单位.(2)22275P P Q Q P η'=-=-,4320.542359P η===,经济意义,在4P =的基础上涨1%,需求减少0.54%.(3)375R PQ p p ==-,3375375p p p pη-=-,(4)0.46η=,经济意义,在4P =的基础上,若价格上涨1%,收入上涨0.46%.(4)198(6)0.46234η-=≈-,经济意义,在6P =的基础上,若价格上涨1%,收入减少0.46%. (5)375R p p =-,275305R p p '=-=⇒=,又6R p ''=-,()5300R ''=-<,所以由极值的第二充分条件,可知5P =时,总收入最大.第四章自测题一、填空题 1. 22 ; 2xxe e2.212x 3. arctan x4. 0.1 ; 0.63 ; 0.6 5. 45 ; 11 ; 456.10 ; 10% ; 变动富有弹性 7. 15%20% 8. 10% 二、选择题1、C2、B3、D4、A5、C 三、计算解答题1、(1)2222222()()2(2)x x x x y x e x e xe x e x ''''=⋅+⋅=+⋅2222222(1)x x x x e x e x e x =+=+ 22(1)xd y y d x xe x d x'∴==+ (2)222sin(12)[sin(12)]y x x ''=+⋅+2222s i n (12)c o s (12)(12)x x x '=+⋅+⋅+ 24s i n (24)x x =+ 24s i n (24)d y y d x x x d x'∴==+ 2、方程242ln y y x -=两边对x 求导,得31224dy dyy x dx y dx⋅-⋅⋅= 解得,3221dy x y dx y =-,3221x y dy dx y ∴=-3、四、应用题1、(1)()60.04C Q Q '=+ ()300()60.02C Q C Q Q Q Q==++(2)2300()0.02C Q Q'=-+令()0C Q '=,得Q = (3)2()()(204)204R Q P Q Q Q Q Q Q =⋅=-⋅=-2()()() 4.0214300L Q R Q C Q Q Q =-=-+- ()8.0414L Q Q '=-+ 令()0L Q =,得Q =2、 4Q P '=-(1)(6)24Q '=-,6P =时,价格上升1个单位,需求量减少24个单位.(2)22224(1502)15021502P P P Q P Q P P η''=-⋅=-⋅-=-- 24(6)13η=6P =时,价格变动1%,需求量变动2413% (3)23()()(1502)1502R P Q P P P P P P =⋅=-⋅=-33(1502)1502E R P PR P P E P R P P''=⋅=⋅--2215061502P P -=-61113P EREP==-6P =时,若价格下降2%,总收入将增加2213%第五章 经济总量问题分析实训一(A )1.填空题(1)3x ,3x C +; (2)3x ,3x C +; (3)cos x -,cos x C -+;(4C ; (5)arctan x ,arctan x C +.2.(1)B ; (2)C ; (3)D ; (4)A .3.(1)5322225x x C -+;(2)31cos 3xx e x C --+;(3)21x x C x-++; (4)(2)ln 2xe C e+. 4.(1)1arctan x C x--+;(2)sin cos x x C ++. 【曲线方程】由题意()21f x x '=+,所以()()()23113f x f x dx x dx x x C '==+=++⎰⎰,又过点()0,1带入,得到1C =,所以曲线方程为:()3113f x x x =++. 【总成本函数】由题意可得()220.01C x x x a =++,又固定成本为2000元,所以 ()220.012000C x x x =++. 【总收入函数】()()278 1.2780.6R x x dx x x C =-=-+⎰,由()000R C =⇒=,所以总收入函数为()2780.6R x x x =-.实训一(B )1.填空题(1)sin 2ln x x x +;(2)223cos3x e x +;(3)ln x x C +. 2.(1)D ; (2)B .3.(1)322233331u u u I du u du u u u -+-⎛⎫==-+- ⎪⎝⎭⎰⎰ 2133ln 2u u u C u=-+++; (2))32332333I dx x x C ===-+⎰;(3)()222222121212arctan 11x x I dx dx x C x x x x x ++⎛⎫==+=-++ ⎪++⎝⎭⎰⎰; (4)()()()1111tttt te e I dt edt e t C e +-==-=-++⎰⎰.实训二 (A )1.填空题 (1)212x ; (2)x e --; (3)ln x ; (4)arctan x ; (5)23x x +; (6)arcsin x . 2.(1)B ; (2)B .3.(1)()()()11cos 2121sin 2122I x d x x C =++=++⎰; (2)()()3212313139I x x C =+=++;(3)()()231ln ln ln 3I x d x x C ==+⎰;(4)111xx I e d e C x ⎛⎫=-=-+ ⎪⎝⎭⎰.4.(1)sin sin sin x xI e d x eC ==+⎰; (2)()()11ln 11x xx I d e e C e =+=+++⎰;(3)()()2222ln 22d x x I x x C x x -+==-++-+⎰;(4)22221111111x x x I dx dx x x x ++-⎛⎫==+- ⎪+++⎝⎭⎰⎰ 21l n (1)a r c t a n 2x x x C=++-+. 5.(1)()x x x x x I xd e xe e dx xe e C -----=-=-+=--+⎰⎰;(2)()()()ln 1ln 1ln 1I x dx x x xd x =+=+-+⎰⎰()()11ln 1ln 111x x x x dx x x dx x x +-=+-=+-++⎰⎰()()l n 1l n 1x x x x C =+-+++. 【需求函数】由已知,()111000ln3100033p pQ p dp C ⎛⎫⎛⎫=-⨯=+ ⎪ ⎪⎝⎭⎝⎭⎰ 又因为0p =时,1000Q =,代入上式,得到0C =.所以,()110003pQ p ⎛⎫= ⎪⎝⎭.【资本存量】由已知,32()2(1)y I t dt t C ===++⎰⎰因为0t =时,2500498y C C =+=⇒= 所以,322(1)498y t =++.实训二 (B )1.填空题(1)ln ()f x C +;(2)arctan(())f x C +;(3)'()()xf x f x C -+. 2.(1)()()2arctan 1x x x d e I e C e ==++⎰;(2)()()11131431dx I dx x x x x ⎛⎫==-⎪-+-+⎝⎭⎰⎰113l n 3l n 1l n 441x I x x C C x -=⎡--+⎤+=+⎣⎦+;(3)()()2arctan 111dxI x C x ==++++⎰;(4)()22222x x x x x I x d e x e e dx x e xe dx -----=-=-+=--⎰⎰⎰()22222x x x x x x I x e xe e C x e xe e C ------=----+=-+++. 【物体冷却模型】设()T t 为t 时刻物体的温度,由冷却定律可得:0()dTk T T dt=-, 分离变量0dT kdt T T =-,两边积分0dTkdt T T =-⎰⎰,可得:()0ln ln T T kt c -=+,0()kt T t T ce =+.由已知()0100T =,()160T =,020T =,带入得到:80c =,ln 2k =-, 所以ln2()2080t T t e -⋅=+, 当ln 23020803te t -⋅=+⇒=.实训三 (A )1.填空题 (1)122lim(1)nn i i n n→∞=+∑;(2)2)x dx -;(3)2π;(4)0. 2.(1)12010(3)3S x dx =+=⎰; (2)12218(2)3S x x dx -=--=⎰;(3)1303(1)4S x dx =-=⎰或034S ==⎰.实训三 (B )1.(1)分割:将[]0,4n 等分,每份长度为4n ;(2)近似代替:2412823i i n iA n n n⎡⎤+⎛⎫∆=⋅+= ⎪⎢⎥⎝⎭⎣⎦;(3)求和:()2212221111281281282nnni ii i n n n in n iA A n nn===++++≈∆===∑∑∑; (4)取极限:()2211282lim16n n n n A n→∞++==. 2.1sin xdx π⎰.3.22211113ln ln 222x dx x x x ⎛⎫⎛⎫-=-=- ⎪ ⎪⎝⎭⎝⎭⎰.实训四 (A )1.填空题(1)64;(2)1;(3)2π;(4)3;(5)1. 2.(1)()()()44341118111144I x d x x =--=-=⎰; (2)()()44223328I x dx xx =+=+=⎰;(几何上为直角三角形的面积)(3)22242200111222x x e I e dx e -===⎰; (4)2112111xx I e d e e x =-=-=⎰(5)01cos sin 222x x x I dx πππ++===⎰; (6)0;(利用当积分区间为对称区间,被积函数为奇函数时定积分的性质) (7)121211122222235I xdx xdx xdx xdx -=+=+=+=⎰⎰⎰⎰;(8)02sin 4I xdx π==⎰.(利用定积分的周期性)【资本存量问题】 (1)434211214I t ===⎰(万元);(4)33224422820 6.87x xtx x ⎛⎫==-=⇒=≈ ⎪⎝⎭⎰.【投资问题】01000P =,200A = 0.05()200T t tdP e dt-= 0.05()0.05020040004000TT t T t P edt e -==-+⎰ 10t =,0.5400040002595t P e=-+= 因为0.515741600T P e-≈<,所以,此项投资不恰当.实训四 (B )1.因为()1229214x dx --+=-⎰,()1129214x dx -+=⎰,()20216x dx +=⎰,()21214x dx +=⎰, ()3222213x dx +=⎰, 所以应该分两种情况: (1)因为()3403kf x dx =⎰,()()332240221816333k f x dx x dx -+=-==⎰⎰ 所以,0k =; (2)因为()()102112f x dx f x dx ---=⎰⎰,由对称性可知1k =-.2.对()21f x dx -⎰作代换令1x t -=(切记:定积分的换元要换限,积分值不变),则有:()()21011f x dx f t dt --=⎰⎰,所以,()()21101101112tte f x dx f t dt dt dt e t ---==+++⎰⎰⎰⎰ ()()()()001101011132ln 1ln 2ln 121t t td e ed te t e t e --+=++=+++=+++⎰⎰. 3.()()()()11111111I xf x dx xdf x x f x f x dx ----'===-⎰⎰⎰()()()()21111110x f f e f f --=+--=+-=.因为()()222x x f x e xe --'==-,()f x 为奇函数,所以()()110f f +-=.【储存费用问题】第五章自测题一、填空题 1.sin x x e c ++2.5314453x x x c -++ 3.ln xdx4.21ln 2x c +5.196.327.94π8.21200 ;200Q Q - 9.二、选择题1、D2、B3、A4、B5、C 三、计算解答题 1、(1)原式=1111()(3)(2)532dx dx x x x x =--+-+⎰⎰ 113[l n 3l n 2]l n 552x x x c cx -=--++=++ (2)原式=22111112sin ()cos cos cos1d x x x πππ-==-⎰2、(1)222222212(1)()()(1)(1)x x x F x G x dx dx x x x x ++++==++⎰⎰22111()arctan 1dx x c x x x=+=-+++⎰(2)222222212(1)3()()(1)(1)x x x F x G x dx dx x x x x -+--==++⎰⎰ 22131()3arctan 1dx x c x x x=-=--++⎰3、原式=31222(1)(1)1)33x x =+=+=⎰⎰四、应用题 1、(1)32412)2(24S x x dx x x =-=-=(2)1100()()1x x S e e dx ex e =-=-=⎰2、(1)2()()(100020)C Q C Q dQ Q Q dQ '==-+⎰⎰2311000103Q Q Q c =-++(0)9000C = ,9000c ∴=, 321()10100090003C Q Q Q Q ∴=-++ ()3400R Q Q = 321()()()10240090003L Q R Q C Q Q Q Q =-=-++- (2)令()()R Q C Q ''=,得60Q = 最大利润(60)99000L =(元) 3、.期末考试(90分钟)一、选择题(每题3分,共9分)1、设()0, 0x f x k x ≠=⎪=⎩在0x =处连续,问k =( )。
一、计算题(每题6分,共60分)1. 解:y' = (e~x2 y + (cos 2x)'=(-x 2)z - e~x2 — 2 sin 2%=-2xe~x2 - 2 sin 2% 综上所述,y' = -2xe~xZ - 2 sin 2%2. 解:方程两边关于兀求导:2% + 2yy ,-y-xy +3 = 0 (2y-x)y , = y-2%-3, dy = ^^dx3. 解:原式二J^/F^p ■d(并2)=汀历匚业(2 +送)=扌(2 +送宾+6 4•解 原式=2 f xd(-cos^) = 一2无 cos| + 2 J cos^dx = 一2%cos|»+ 4sm^ + c 5.解原式二J :劳d二1 0 5 0 1 0'1 0 5 0 1 0'1 0 0 -10 6 -5' —> 0 13 1 0 0 T 0 1 3 1 0 0 —» 0 1 0 _5 3 -3.0 -2 _5 0 -1 1..0 0 1 2 1 1..0 0 12-11 .-10 6 -5'(/ +>1)-1 = -5 3 -3-2 -1 1 .所以,方程的一般解为二■::::(其中无/2是自由未知量)10解:将方程组的增广矩阵化为阶梯形 1 -1 42'1 -1 42 '1 0 -5 -1 - 2-1-11—0 1-9-3—0 1-9-30 1 3'0 1 3 1 0 0' 1 05 0 1 0' 7.解:I + A =1 0 5 (7 + A f I)=1 0 5 0 1 0 —» 0 1 3 1 0 0.1 -2 0..1 -2 0 0 0 1..1-2 0 0 0 1. 6•解 J : Inx d(|x 2) = |x 2 InxIf -Ji \x 2(lnxydx =扣2 _ 钗 2 i ; = l e 2 + i1 2 -3 1 0 o -1 0 0 -4 3 -2'-4 3 -2'0 1 -1 -1 1 -1 —0 1 0 —8 6 -5 A'1 =—8 6 _5 .0 0 1 -7 5 4 ..0 0 1 -7 5 -4.-7 5 -4.X = BA^1 = r-4 3 016・]0 2 -r 1 0 2 T] 1 0 2 -r 9.解:A =-1 1 -3 2 T 0 1 -1 I T0 1 -1 1.2-1 5 -3..0 -1 1 -11 .0 00 0 .7J5 L-7 8•解:(4 Z )= 12-3 3 2-4 2-100] 1J2 -3-4 5 -5 610 0 -3 10 -2 0 1 12-3 0 1-1 0-5 610 0-1 1 -1 -2 0 11 -3 .02 -15 13 47-38J.3 -2 3 A. .0 1 -9 A-6. .0 0 0 A-3.由此可知当入丰3时,方程组无解。
《经济数学基础》四次作业参考答案 作业一参考答案一、填空题 1、0;2、1;3、x-2y+1=0;4、2x+2;5、-π/2 二、单项选择题 DBBBB 三、解答题 1. 计算极限 (1) 解:原式=lim1→x )1+)(1-()2-)(1-(x x x x =-21(2) 解:原式=lim2→x )4-)(2-()3-)(2-(x x x x =21(3) 解:原式=lim→x 1+-11-x =-21 (4) 解:原式=lim ∞→x 22x 4+x 2+3x 5+x 3-1=31 (5) 解:原式=lim→x 5x sin5x *53x sin3x *3=53 (6) 解:原式=lim2→x )2-sin()2+)(2-(x x x =42、解:(1)∵lim-0→x f(x)=lim-0→x (xsinx1+b)=blim+0→x f(x)=lim+0→x xxsin =1 ∴要使f(x)在x=0处极限存在,必须b=1,a 可取任何实数。
(2)要使f(x)在x=0处连续,必须lim 0→x f(x)=f(0)=a∴a=b=1.3、解:(1)y '=2x+2xln2+2ln 1x (2) y '=2d)+(b)+c(ax -d)+(cx cx a =2d)+(cx bc-ad(3)y '=-23(3x-5)23-(4) y '=x21-e x -x e x(5)dy=(asinbx+bcosbx) eaxdx(6) dy=(-21xe x 1+23x)dx(7) dy=(-x21sinx +2xe 2-x )dx(8) y '=nsin 1-n xcosx+ncosnx(9) y '=2x+1+1x (1+2x+122x )=2x+11(10) y '=xx x1sin 22ln 221cot+xx x21-6164、解:(1)2xdx+2ydy-ydx-xdy+3dx=0,dy=dx y y x-23-2x -(2)cos(x+y)(1+ y ')+e xy(y+x y ')=4, y '=xyxyxe +y)+cos(ye -y)+cos(x -4x5、解:(1)y '=2x + 12x ,y ,,=222)x +1(2x -2 (2) y '=-xx 2x1+, y ,,=24x3+xx , y ,,(1)=1作业二参考答案一、填空题 1.2xln2+2;2.sinx+c;3.-21F(1-x 2)+c;4.0;5. 2x+11二、单项选择题DCCDB三、解答题1.计算下列不定积分解:(1)原式=∫(e 3)xdx=1-3ln )3(xe +c(2) 原式=∫(x 21-+2x 21+x 23)dx=2x 21+34x 23+52x 25+c(3) 原式=∫(x-2)dx=21x 2-2x+c (4) 原式=-21∫x 2-11d(1-2x)= -21ln ∣1-2x ∣+c (5) 原式=21∫(2+ x 2)21d(2+ x 2)=31(2+ x 2)23+c(6)原式=2∫sin x d x =-2cos x +c(7) 原式=-2∫xdcos21x=-2xcos 21x+2∫cos 21xdx=-2xcos 21x+4sin 21x+c (8) 原式=xln(x+1)-∫1xx +dx= xln(x+1)-x+ln(x+1)+c2.(1) 原式=11(1)x --⎰dx+21(1)x -⎰dx=(x-21x 2)∣11-+(21x 2- x) ∣21=52(2) 原式=-121xe ⎰d(x1)=-121x e =-12e e + (3) 原式=3121(1ln )(1ln )e x d x -++⎰=31212(1ln )e x +=2(4) 原式=550550'500500(550)(500)()(100.02)25L L L L x dx x dx ∆=-==-=-⎰⎰=201sin 22x x π∣-201sin 22xdx π⎰=-21 (5) 原式=211ln 2e xdx ⎰=21111ln 22e ex x xdx ∣-⎰=221124e x ε1-∣=21(1)4e + (6) 原式=4400x dx xe dx -+⎰⎰=4-4400x x xe e dx --∣+⎰=5-54e -作业三参考答案一、填空题1、3;2、-72;3、A 与B 可交换;4、1()I B A --;5,100010001⎡⎤⎢⎥⎢⎥⎢⎥⎣⎦二、单项选择题CADAB三、解答题1.计算(1)原式=12 35-⎡⎤⎢⎥⎣⎦(2)原式=0000⎡⎤⎢⎥⎣⎦(3)原式=[]02.原式=5152 1110 3614⎡⎤⎢⎥⎢⎥⎢⎥---⎣⎦3.解:∣113121111A-⎡⎤⎡⎤∣=-⎢⎥⎢⎥--⎣⎦⎣⎦=4-2=2,12231111⎡⎤⎡⎤∣B∣=-⎢⎥⎢⎥⎣⎦⎣⎦=-1+1=0∴AB B∣∣=∣A∣∙∣∣=04.解:对矩阵A施行初等行变换A=124014090 21021021 110110110λλλλ-+⎡⎤⎡⎤⎡⎤⎢⎥⎢⎥⎢⎥⇒-⇒-⎢⎥⎢⎥⎢⎥⎢⎥⎢⎥⎢⎥⎣⎦⎣⎦⎣⎦当-λ+9=0,即λ=9时,第一行变为0,r(A)=2 5.解:对矩阵A施行初等行变换A=2532125321 1742017420 1742000000 21484000000--⎡⎤⎡⎤⎢⎥⎢⎥------⎢⎥⎢⎥⇒⎢⎥⎢⎥-⎢⎥⎢⎥---⎣⎦⎣⎦∴r(A)=26.(1)解:[]132100100113 301010 (010237)111001001349A I-⎡⎤⎡⎤⎢⎥⎢⎥∙=-⇒⇒⎢⎥⎢⎥⎢⎥⎢⎥-⎣⎦⎣⎦∴1113 237 349A-⎡⎤⎢⎥=⎢⎥⎢⎥⎣⎦(2)解:[]1363100100130 421010 (010271)211001001012A I----⎡⎤⎡⎤⎢⎥⎢⎥∙=---⇒⇒--⎢⎥⎢⎥⎢⎥⎢⎥⎣⎦⎣⎦∴1130 271 012A--⎡⎤⎢⎥=--⎢⎥⎢⎥⎣⎦7. 解:∵[]12101052......35010131A I -⎡⎤⎡⎤∙=⇒⇒⎢⎥⎢⎥-⎣⎦⎣⎦∴15231A --⎡⎤=⎢⎥-⎣⎦∴X=1125210233111BA --⎡⎤⎡⎤⎡⎤==⎢⎥⎢⎥⎢⎥--⎣⎦⎣⎦⎣⎦四、证明题1、 证:由题意知 1122,B A AB B A AB ==∴12121212()()B B A B A B A AB AB A B B +=+=+=+121212121212()()()()()()B B A B B A B AB B A B AB B A B B =====2、 证:(1)∵()()T T T T T T A A A A A A +=+=+ ∴TA A +是对称矩阵。
经济数学基础12 形考作业4 参考答案题目1:供求模型假设某种商品的需求函数和供给函数分别为:- 需求函数:Qd = 1000 - 2P - 供给函数:Qs = 2P - 200请回答以下问题: 1. 在市场均衡下,该商品的价格和数量是多少? 2. 如果政府实施价格控制,将商品价格限制在50元以下,导致该商品的供给量减少至300个。
此时市场出现供不应求的情况,请问此时的价格和数量分别是多少?答案:1. 在市场均衡下,该商品的价格和数量是多少?市场均衡的条件是供求两侧的数量相等。
即 Qd = Qs。
将需求函数和供给函数代入上述条件中:Qd = 1000 - 2PQs = 2P - 200将 Qd 和 Qs 相等,得到:1000 - 2P = 2P - 200通过简单的运算,得到 P = 400 和 Q = 600。
所以,在市场均衡下,该商品的价格为 400 元,数量为600 个。
2. 如果政府实施价格控制,将商品价格限制在50元以下,导致该商品的供给量减少至300个。
此时市场出现供不应求的情况,请问此时的价格和数量分别是多少?当市场出现供不应求的情况时,价格会被控制在供给函数和需求函数的交点上。
我们可以将供给函数和需求函数代入上述条件中,得到:1000 - 2P = 2P - 200通过简单的运算,得到 P = 375 和 Q = 550。
所以,在价格被控制在50元以下,商品供给量减少至300个的情况下,市场的价格为 375 元,数量为 550 个。
题目2:弹性系数计算某市场上一种商品的需求函数为 Qd = 100 - 2P,其中 P 表示价格,Qd 表示需求量。
请计算该商品的价格弹性系数,并给出其弹性的分类。
答案:根据价格弹性系数的公式,我们可以计算价格弹性系数为:ε = (dQd / dP) * (P / Qd)其中,dQd / dP 是需求量关于价格的导数。
根据给定的需求函数 Qd = 100 - 2P,我们可以对其求导,得到:dQd / dP = -2将该值代入弹性系数公式中,并考虑到 P = 50,Qd = 100 - 2P:ε = (-2) * (50 / (100 - 2*50))通过简单的运算,得到ε = -1。
经济数学基础形考作业4参考答案一、计算题(每题6分,共60分)1.设 y = +cos2x,求)'・解:y f= e"'" (一2x)+(-sin 2x) • 2 = -2(xe~r+ sin 2x)2・已知 x ,+ y ,—〈y+ 3x = 1,求 dy.解:方程两边对x 求导.得2x + 2y ・y — ()+e)+ 3 = O,,y_3-2xy_3_2xy = ------ , dy = ------ dx2y-x • 2y-x3.计算不定积分J\j2 + &. 解:原式=*J(2 + x2fd(2 + x2) = t(2 + x2f+cxd cos — = -2x cos —+ 2( cos -dx=-2 A -cos —+ 4sin —+ c2 2 J2 2 25.计算泄积分J :乍血.解:原式=-£e 7d-=-e 7=e->/e6.计算泄积分xdx ・'-I1 3'7.设人=1 -15 ,求(/ + A)"・.1-2 _L_0 1 3_解:I + A = 1 0 41 -2 0解:4. 计算不左积分jxsin|d.v.解: 原式=-2『 冷-106 -5 3 -3 -1 1B= 1_3° ,求解矩阵方程XA = B.0 2 7-5-4-4-4 3 -2所以 = -8 6 -5-7 5-4「0 1 3 1 0o'1 05 0 1 o"1 0 5 0 1 0_1 0 5 0 1 00 1 3 1 0 0 T 0 1 3 1 0 0 1 -2 0 0 0 1.0 -2 -5 0 -1 1_0 0 1 2 -1 160 0 -10 I '1 2 -3''1 2 一3 1 0 o"1 2 一3 1 0o3 2 -43 2 -4 0 1 00 -4 5 一3 1 0 2 -1 02 -1 0 0 0 1_0 ■5 6 -2 0 1解: 2 0 0 2 -3 01 1 1 1 0"1 2 一3 设矩阵A = 3 2 -42 -1 038£ + 2X 3 -x 4 =0—£ + — 3Xy + 2X 4 = 0 的一般解. 2x { 一 兀2 + 5天3 一 3兀4 = 0所以,方程的一般解为Xi = 一2 曲 + X 4(其中“小是自由未知量).x 2 =x 3-x 410.求几为何值时,线性方程组\x }-x 2+ 4X 3 = 22召-x 2 -= 13召 一 2X 2 + 3X 3 = A有解,并求一般解.解:将方程组的增广矩阵化为阶梯形j -1 4 2"1 -1 4 2 ''1 -1 422 -1 -1 1T0 1 -9 -30 1 -9 -3 .3 -2 3.0 1 -9 A-6.0 0 0 2 —3.由此可知当2 = 3时,方程组有解。
经济数学基础形成性考核册及参考答案作业(四)(一)填空题 1.函数xx x f 1)(+=在区间___________________内是单调减少的.答案:)1,0()0,1(⋃-2. 函数2)1(3-=x y 的驻点是________,极值点是 ,它是极 值点.答案:1,1==x x ,小3.设某商品的需求函数为2e10)(p p q -=,则需求弹性=p E .答案:p 2-4.行列式____________111111111=---=D .答案:45. 设线性方程组b AX =,且⎥⎥⎥⎦⎤⎢⎢⎢⎣⎡+-→0123106111t A ,则__________t 时,方程组有唯一解.答案:1-≠(二)单项选择题1. 下列函数在指定区间(,)-∞+∞上单调增加的是().A .sin xB .e xC .x 2D .3 – x答案:B2. 已知需求函数p p q 4.02100)(-⨯=,当10=p 时,需求弹性为( ). A .2ln 244p -⨯ B .2ln 4 C .2ln 4- D .2ln 24-4p -⨯ 答案:C3. 下列积分计算正确的是( ).A .⎰--=-110d 2ee x xx B .⎰--=+110d 2ee x xxC .0d sin 11=⎰x x x - D .0)d (3112=+⎰x x x -答案:A4. 设线性方程组b X A n m =⨯有无穷多解的充分必要条件是( ).A .m A r A r <=)()(B .n A r <)(C .n m <D .n A r A r <=)()( 答案:D5. 设线性方程组⎪⎩⎪⎨⎧=++=+=+33212321212ax x x a x x a x x ,则方程组有解的充分必要条件是( ).A .0321=++a a aB .0321=+-a a aC .0321=-+a a aD .0321=++-a a a 答案:C三、解答题1.求解下列可分离变量的微分方程:(1) yx y +='eyx yx yxedy e dx edy e dx ee c ---= =-=+⎰⎰解:答案:c x y +=--e e (2)23e d d yx xy x =223:33xx x x x x xy dy xe dx y dy xe dx y xde xe e dx xe e c = = ==-=-+⎰⎰⎰⎰解 答案:c x y x x +-=e e 32. 求解下列一阶线性微分方程: (1)3)1(12+=+-'x y x y 解: P(x)= 21x -+ Q(x)=(x+1)322()()2ln(1)3ln(1)23222242(())2()()2ln(1)ln(1)11((1))(1)((1))(1)11(1)((1))(1)[(1)](1)(1)22P x dx P x dxx x y e x e c P x dx dx x x x y ex e dx c x x dx c x x x dx c x x c x c x -+-+⎰⎰=+=-=-+=-++∴=++=++++=+++=+++=+++⎰⎰⎰⎰⎰⎰Q2221(1)((1))(1)()2x x dx c x x x c =+++=+++⎰或 答案:)21()1(22c x x x y +++= 或y=421(1)(1)2x c x +++(2)x x xy y 2sin 2=-' 解: P(x) 1x=- Q(x)=2xsin2x()()ln ln (())1()()ln (2sin 2)(2sin 2)(cos 2)P x dx P x dx xxy e x e c P x dx dx xxy ex xe dx c x xdx c x x c --⎰⎰=+=-=-∴=+=+=-+⎰⎰⎰⎰⎰Q3.求解下列微分方程的初值问题:(1) yx y -='2e ,0)0(=y222012110,0,22yxyx yxe dy e dx e dy e dx e ecx y e e c c = ==+== =+ =⎰⎰解:代入上式所以方程的特解为 21e 21e+=xy(2)0e =-+'xy y x ,0)1(=y11:11()()xxy y ex xP x x xx+===解 Q e()()ln ln (())1()ln 111()()()P x dx P x dxxx xxxy e x e c P x dx dx xx y e e edx c e dx c e c xxx--⎰⎰=+==∴=+=+=+⎰⎰⎰⎰⎰Q将x=1,y=0代入上式, 得 0=(e+c) c=-e 所以 e)e (1-=xxy4.求解下列线性方程组的一般解: (1)⎪⎩⎪⎨⎧=-+-=+-+-=-+03520230243214321431x x x x x x x x x x x102110211021:1132011101112153011100A ---⎡⎤⎡⎤⎡⎤⎢⎥⎢⎥⎢⎥=--→-→-⎢⎥⎢⎥⎢⎥⎢⎥⎢⎥⎢⎥----⎣⎦⎣⎦⎣⎦解 所以,方程的一般解为⎩⎨⎧-=+-=4324312x x x x x x (其中34,x x 是自由未知量) (2)⎪⎩⎪⎨⎧=+-+=+-+=++-5114724212432143214321x x x x x x x x x x x x211111214212142:121422111105373174115174115053731641055537301555000A ---⎛⎫⎛⎫⎛⎫⎪ ⎪ ⎪=-→-→--- ⎪ ⎪ ⎪ ⎪ ⎪ ⎪---⎝⎭⎝⎭⎝⎭⎛⎫ ⎪ ⎪ ⎪→- ⎪ ⎪ ⎪ ⎪⎝⎭解所以,方程的一般解为⎪⎩⎪⎨⎧+-=+--=535753545651432431x x x x x x (其中34,x x 是自由未知量) 5.当λ为何值时,线性方程组⎪⎪⎩⎪⎪⎨⎧=+--=+--=-+-=+--λ43214321432143211095733223132245x x x x x x x x x x x x x x x x 有解,并求一般解。
一、计算题(每题6分,共60分) 1.解:y ′=(e −x 2)′+(cos 2x)′=(−x 2)′·e −x 2−2sin 2x =−2xe −x 2−2sin 2x综上所述,y ′=−2xe −x 2−2sin 2x2.解:方程两边关于x 求导:2x +2yy ′−y −xy ′+3=0 (2y −x)y ′=y −2x −3 , dy =y−3−2x 2y−xdx3.解:原式=∫√2+x 2d(12x 2)=12∫√2+x 2d(2+x 2)=13(2+x 2)32+c 。
4.解 原式=2∫xd(−cos x2)=−2x cos x2+2∫cos x2dx =−2x cos x2+4sin x2+c5.解 原式=∫e 1x d (−1x )21 =−e 1x |12=−e 12+e 。
6.解 ∫ln x d(12x 2)=e 112x 2ln x|1e −∫12e 1x 2(ln x)′dx =12e 2−14x 2|1e =14e 2+147.解:I +A =[0131051−20] (I +A,I )=[0131001050101−20001]→[1050100131001−20001] →[1050100131000−2−50−11]→[105010013100001211]→[100−106−5010−53−30012−11] (I +A)−1=[−106−5−53−32−11]8.解:(A I)=[12−332−42−10 100010001] →[12−30−450−56 100−310−201] →[12−301−10−56 100−11−1−201] →[12−301−1001 100−11−1−754]→[100010001 −43−2−86−5−75−4] A −1=[−43−2−86−5−75−4] X =BA−1=[1−3027][−43−2−86−5−75−4]=[20−1513−6547−38]9.解: A =[102−1−11−322−15−3]→[102−101−110−11−1]→[102−101−110000] 所以,方程的一般解为 {x 1=−2x 3+x 4x 2=x 3−x 4(其中x 1,x 2是自由未知量)10解:将方程组的增广矩阵化为阶梯形 [1−142−1−13−23 21λ]→[1−1401−901−9 2−3λ−6]→[10−501−9000 −1−3λ−3]由此可知当λ≠3时,方程组无解。
1.设生产某种产品个单位时的成本函数为(万元)求:①时的总成本、平均成本和边际成本;②产量为多少时,平均成本最小.解:①∵C (q)1006 (万元/个)平均成本函数为: C (q)0.25qq q边际成本为: C (q) 0.5q6∴当 q10 时的总成本、平均成本和边际成本分别为:C(10) 100 0.25 10 2 6 10185(元 )C(10)1000.2510 618.5(万元/个)10C (10)0.5 10 611 (万元/个)②由平均成本函数求导得: C (q)1000.25 q2令 C (q)0 得驻点 q120 (个), q120 (舍去)由实际问题可知,当产量q 为20个时,平均成本最小。
2.某厂生产某种产品件时的总成本函数为(元),单位销售价格为(元 /件),问产量为多少时可使利润达到最大最大利润是多少解:①收入函数为:R(q)pq(140.01q) q14q0.01q 2(元)②利润函数为:(q )()C( )10q0.02q220(元)L R q q③求利润函数的导数:L (q) 10 0.04q④令 L (q) 0 得驻点 q250 (件)⑤由实际问题可知,当产量为q250 件时可使利润达到最大,最大利润为L max L( 250)102500.022********* (元)。
3.投产某产品的固定成本为36(万元),边际成本为(万元/百台).试求产量由 4 百台增至 6 百台时总成本的增量,及产量为多少时,可使平均成本达到最低.解:①产量由 4 百台增至 6 百台时总成本的增量为66(2 x40) dx ( x 240x)6100(万元)C C ( x)dx444②成本函数为:C (x)C ( x)dx(2x40)dx x240x C0又固定成本为 36 万元,所以C (x) x240 x 36 (万元)平均成本函数为:C(x)36( 万元 / 百台 )C (x)x 40xx36求平均成本函数的导数得:C(x)1x 2令 C ( x)0 得驻点 x1 6 , x2 6 (舍去)由实际问题可知,当产量为 6 百台时,可使平均成本达到最低。
经济数学基础03春模拟试卷(四)单项选择题(每小题3分,共30分) 1.下列函数中为奇函数的是( ). A .x x y -=2B .x x y -+=e e C .11ln+-=x x y D .x x y sin = 2.极限xx x 11lim-+→= ( ).A .0B .1C .∞D .21 3. 当x →0时,下列变量中( )是无穷大量. A .001.0x B .xx 21+C .x D .x-2 4.设函数f (x )满足以下条件:当x < x 0时,'>f x ()0;当x > x 0时,'<f x ()0,则x 0是函数f (x )的( ).A .驻点B .极大值点C .极小值点D .不确定点5. 下列等式不成立的是( ). A .)1d(d ln xx x = B .)d(cos d sin x x x =- C .x x xd d 21= D .)d(e d e x x x =9.设B A ,为同阶可逆方阵,则下列说法正确的是( ).A . 若AB = I ,则必有A = I 或B = I B .T T T )(B A AB =C . 秩=+)(B A 秩+)(A 秩)(BD .111)(---=A B AB10.线性方程组⎩⎨⎧=+=+012121x x x x 解的情况是( ).A . 无解B . 只有0解C . 有唯一解D . 有无穷多解填空题(每小题2分,共10分)11.设函数1)(2-=u u f ,xx u 1)(=,则=))2((u f . 12.已知需求函数为p q 32320-=,其中p 为价格,则需求弹性E p =. 13.函数f (x ) = sin2x 的原函数是.14.设)10,5(~2N X ,若5.0)5(=<-a X P ,则a =.15.计算矩阵乘积[]⎥⎥⎥⎦⎤⎢⎢⎢⎣⎡-⎥⎦⎤⎢⎣⎡10211000321=.得分 评卷人三、微分计算题(每小题6分,共12分)17.由方程x y x y=++e )cos(确定y 是x 的隐函数,求y d .19.求微分方程y y x y ln tan ='的通解.20.设B A ,是两个随机事件,已知4.0)(=A P ,5.0)(=B P ,45.0)(=A B P ,求:)(B A P +.21.设随机变量X 的分布函数为⎪⎩⎪⎨⎧≥<≤<=111000)(2x x x x x F 求E (2X 2-3X ).得分 评卷人六、代数计算题(每小题6分,共12分)22.设矩阵 A =⎥⎥⎥⎦⎤⎢⎢⎢⎣⎡-022011,B =⎥⎦⎤⎢⎣⎡--210321,计算(BA )-1. 23.设线性方程组 ⎪⎩⎪⎨⎧=+-=-+--=+052231232132131x x x x x x x x ,求其系数矩阵和增广矩阵的秩,并判断其解的情况.8分)24.投产某产品的固定成本为36(万元),且边际成本为)(x C '=2x + 40(万元/百台).试求产量由4百台增至6百台时总成本的增量,及产量为多少时,可使平均成本达到最低.25.试证:可微偶函数的导数为奇函数.经济数学基础03春模拟试卷(四)参考解答一、 单项选择题(每小题3分,共30分)1.C 2. D 3.B 4.D5.A 6. A 7. B 8. C 9.D 10. A二、填空题(每小题2分,共10分) 11.43-12.10-p p 13. -21cos2x + c (c 是任意常数)14.0 15.[4] 三、微分计算题(每小题6分,共12分)16.解 ]42)21[(lim 2210-+---→x x x x x =4020)21()21(lim 2210-+----→x x x x (3分) = 21)21(lim ])21(lim [202120+---→--→x x x x x = 21e21+-(6分) 17.解在方程等号两边对x 求导,得)()e (])[cos('='+'+x y x y1e ]1)[sin(='+'++-y y y x y (3分) )sin(1)]sin(e [y x y y x y ++='+- )sin(e )sin(1y x y x y y+-++='(5分) 故 x y x y x y y d )sin(e )sin(1d +-++=(6分)四、积分计算题(每小题6分,共12分) 18.解x xx d 9116⎰-+=x x x d )9(91160⎰++ (2分)=162323]32)9(32[91x x ++ =12 (6分) 19.解 将原方程分离变量x x yy yd cot ln d = (2分) 两端积分得 lnln y = ln C sin x通解为 y = e C sin x (6分) 五、概率计算题(每小题6分,共12分) 20. 解 )(1)(B A P B A P +-=+)]()()([1AB P B P A P -+-=(2分))]()(5.04.0[1A P A B P -+-=(4分)28.0]4.045.09.0[1=⨯--=(6分)21.解由X 的分布函数F (x )得到密度函数为⎩⎨⎧<≤=其它0102)(x x x f (2分) 则 E (2X 2-3X ) =2E (X 2)-3 E (X ) =2⎰∞+∞-x x f x d )(2-3⎰∞+∞-x x xf d )(=2⎰13d 2x x -3⎰12d 2x x= 1 – 2 = -1 (6分)六、代数计算题(每小题6分,共12分)22.解 因为BA =⎥⎦⎤⎢⎣⎡--210321⎥⎥⎥⎦⎤⎢⎢⎢⎣⎡-022011=⎥⎦⎤⎢⎣⎡--2435(2分)(BAI )=⎥⎦⎤⎢⎣⎡--→⎥⎦⎤⎢⎣⎡--1024111110240135 ⎥⎦⎤⎢⎣⎡---→54201111⎥⎥⎦⎤⎢⎢⎣⎡--→2521023101(5分) 所以(BA )-1=⎥⎥⎦⎤⎢⎢⎣⎡--252231(6分) 23.解 因为⎥⎥⎥⎦⎤⎢⎢⎢⎣⎡---→⎥⎥⎥⎦⎤⎢⎢⎢⎣⎡----=211011101201051223111201A⎥⎥⎥⎦⎤⎢⎢⎢⎣⎡--→300011101201 (3分)所以 r (A ) = 2,r (A ) = 3. (4分) 又因为r (A )≠r (A ),所以方程组无解. (6分) 七、应用题(8分)24. 解 当产量由4百台增至6百台时,总成本的增量为⎰+=∆64d )402(x x C =642)40(x x += 100(万元) (3分)又 xc x x C x C x ⎰+'=d )()(=xx x 36402++=xx 3640++ (5分) 令 0361)(2=-='xx C , 解得6=x .x = 6是惟一的驻点,而该问题确实存在使平均成本达到最小的值. 所以,产量为6百台时可使平均成本达到最小. (8分) 八、证明题 (4分)25.证 设f (x )为可微偶函数,即f (x ) = f (-x ),则f '(x ) =(f (x ))'= (f (-x ))'=f '(-x ) (-x )'= -f '(-x )即 f '(-x ) = -f '(x )所以 f '(x ) 为奇函数. (4分)。