初一数学压轴题:绝对值化简求值精编版
- 格式:docx
- 大小:22.04 KB
- 文档页数:3
绝对值化简求值练习题一、绝对值化简题 1.若x>0,y<0,求x?y?2?y?x?3的值。
2.若a?2?2?a?0,则a的取值范围是:A.a≤ B. a<C.a≥D. a>23. 有理数a、b在数轴上的表示如图所示,那么A.-b>a B.-a<b B.C.b>a D.∣a∣>∣b∣ 4.有理数a、b在数轴上的位置如图1-1所示,那么下列式子中成立的是A.a>bB.a0 D.a?0 b5. 已知a、b、c在数轴上的位置如下图所示,化简: |a-b|+|-c|-|a-c| ; |a-b|-|b+c|+|a-c| ;b-2a2b|-a+b|+|b-c|-|a+c|; -|a+b|+|b-c|-|a-c|.2b -2a二、整式化简求值1.化简:?2?7x??2x3x25?22a21?1?8ab??ab; ?2?2?8m2??4m?2m2??3m?m2?7??8??3x2?2xy?4y2?4?53-2-「2+2b2-3」1st?3st?632328a?a?a?4a?a?7a?67xy?xy?4?6x?323xy?5xy?52?32?3?2[x?]3x?2xy?4y?4?58m222222222222?[4m2?2m?]2222?32ab?3ab?322212ab328a?a?a?4a?a?7a?68ab?5ab2?22??2?3ab?4ab?2?42a?3ab?2a? ?2??222?2. 先化简,再求值:121232xy??,其中x??1,y?2.4223b?[1??2],其中b?—1,a??2。
11—4,其中x=5.4x2y?[2xy2?2?xy]?3xy2,其中x??3,y??2。
12x3?4x?x2?,其中x??331a2b?5ac??,其中a??1,b?2,c??2。
123232x?4x?x?,其中x??3。
12ab?5ac??,其中a??1,b?2,c??2。
23a1??2,其中a??;1412313y)?,其中x?,y??2;2322x?2几何意义:一般地,数轴上表示数a的点到原点的距离叫做数a的绝对值,记作|a|。
绝对值化简专题训练去绝对值的法则:1、正数的绝对值等于它本身aa=()0〉a2、负数的绝对值等于它的相反数a=()0〈aa-3、零的绝对值等于零。
0a()0=a=1.如图,数轴上的三点A、B、C分别表示有理数a、b、c,则(1)b﹣a0,a﹣c0,b+c0(用“>”“<”或“=”填空).(2)化简:|b﹣a|﹣|a﹣c|+|b+c|2.如图,数轴上的a、b、c分别表示有理数a、b、c.(1)化去下列各式的绝对值:①|c|=;②|a|=;③|a﹣b|=.(2)化简:|b﹣a|+|a﹣b﹣c|﹣|a﹣c|.3.数a,b,c在数轴上的位置如图所示:化简:|b﹣a|﹣|c﹣b|+|a+b|.4.已知:有理数a、b、c在数轴上如图所示.化简:|a|+3|c﹣a|+|b+c|.5.已知a、b、c这三个有理数在数轴上的位置如图所示,化简:|b﹣c|﹣|a﹣b|+|a+c|.6.有理数在数轴上的位置如图所示,化简:|c﹣a|+|b﹣c|﹣|a﹣b|+|a+b|.7.有理数a,b,c在数轴上如图所示,试化简|2c﹣b|+|a+b|﹣|2a﹣c|.8.已知有理数a、b、c在数轴上的位置如图所示,化简:|a﹣b|﹣|a+c|﹣|c﹣a|+|a+b+c|+|b﹣c|9.已知a,b,c在数轴上的位置如图所示,所对应的点分别为A,B,C.(1)填空:A、B之间的距离为,B、C之间的距离为,A、C之间的距离为;(2)化简:|a+b|﹣|c﹣b|+|b﹣a|;(3)a、b、c在数轴上的位置如图所示,且c2=4,﹣b的倒数是它本身,a的绝对值的相反数是﹣2,求﹣a+2b﹣c﹣2(a﹣4c﹣b)的值.。
数学篇解题指南绝对值在化简求值问题、解方程或不等式问题中都会涉及.解答含绝对值问题的关键就在于去掉绝对值符号.一般遵循的原则是:先判断绝对值符号中式子的正负,再根据法则去掉绝对值符号.单个绝对值的问题一般比较简单,但是有的题目会同时出现多个绝对值或多重绝对值,这样就使题目变得复杂了.下面介绍几类有关绝对值的化简求值问题,供大家参考.一、含单个绝对值问题一个题目中只含有一个绝对值是最基础的题目,此时只需考虑去绝对值符号的条件,即对于任意数|a |:(1)当a >0时,|a |=a ;(2)当a =0时|a |=0;(3)当a <0时;|a |=-a .同学们在解题时应根据题设条件或挖掘隐含条件,确定绝对值符号里代数式的正负.若题目对含绝对值代数式的字母没有限制条件,须运用分类讨论的方法来解答.例1若|x |=3,|y |=2,且|x -y |=y -x ,求x +y 的值.分析:此题中|x |=3,可知x =±3;|y |=2可知y =±2.由题中|x -y |=y -x 可知y ≥x .由此可以推断,当y =2时,x 可以为±3,此时x +y =-1或5;当y =-2时,x 只能为-3,此时x +y =-5.最后综合所有情况即可得解.解:∵|x |=3,∴x =±3;同理可得y =±2,∵|x -y |=y -x ,∴y ≥x ,①当y =2时,x =-3,x +y =-1.②当y =-2时,x =-3,则x +y =-5.综合①②得x +y 的值可能是-1、-5.评注:求解此题是利用|x -y |≥0挖掘了隐含条件y ≥x ,然后确定x 和y 的可能值,简化了分类讨论的种类.同学们在求解过程中一定要仔细观察,充分挖掘题目中的隐含条件.二、含多个绝对值问题有些含有绝对值的题目中往往不止一个含绝对值的代数式,可能是两个、三个甚至是更多个含绝对值的代数式,通过“+”“-”“×”“÷”等运算符号连接.此时,去绝对值符号就需要先找出每个绝对值的零点值,再把全体实数分段,然后在每一实数段中化去绝对值符号,最后分类讨论去绝对值的结果.例2化简:|3x +1|+|2x -1|.分析:此题含有两个绝对值,要想去绝对绝对值的化简求值问题的几种类型及解法解析盐城市新洋初级中学聂玉成19数学篇值符号就要将绝对值符号内的数或式与“0”比较,然后逐个去掉绝对值符号.令3x +1=0得x =-13,同理,令2x -1=0得x =12.所以,当x 取不同的值时,两个绝对值的正负是不同的,需要分类讨论来解答.x 的取值分布如图所示:---解:令3x +1=0,得x =-13,令2x -1=0,得x =12,所以,实数轴被-13和12分为如图所示的三个部分.当x <-13时,3x +1<0,且2x -1<0,则原式=-(3x +1)+[-(2x -1)]=-5x ;当-13≤x ≤12时,3x +1≥0,且2x -1≤0,则原式=(3x +1)+[-(2x -1)]=x +2;当x >12时,3x +1>0,且2x -1>0,则原式=(3x +1)+(2x -1)=5x ;综上所述,当x <-13,原式=-5x ;当-13≤x ≤12,原式=x +2;当x >12,原式=5x .评注:此题含有两个绝对值,即含有两个零点(x =-13和x =12),在去绝对值符号时需要借助“分类讨论思想”分情况解答.特别是第二种情况,去绝对值符号时两个代数式是一正一负,务必要注意符号问题.三、含多重绝对值问题有些较为复杂的问题中含有多重绝对值符号,即绝对值符号中还有绝对值符号,我们称这种形式为多重绝对值.在求解多重绝对来解答问题.例3已知x <-3,化简:|3+|2-|1+x |||.分析:这是一个含有多重绝对值符号的问题,在求解时需要根据“由内而外”的原则逐层去绝对值.首先根据x 的范围判断出1+x <0,所以最里层绝对值|1+x |=-(1+x ).第二层|2-|1+x ||可以转化为|2-[-(1+x )]|=|3+x |.因为x <-3,所以3+x <0,即|2-|1+x ||=-(3+x ).最外层|3+|2-|1+x |||可转化为|3+[-(3+x )]|=|-x |.这样根据x 的取值范围一步步利用绝对值的代数意义即可化简.解:①最内层:∵x <-3,∴1+x <-2<0,∴|1+x |=-(1+x ),②第二层:|2-|1+x ||=|2-[-(1+x )]|=|2+(1+x )|=|3+x |,∵x <-3,∴3+x <0,∴|3+x |=-(3+x ),∴|2-|1+x ||=-(3+x ),③最外层:|3+|2-|1+x |||=|3+[-(3+x )]|=|-x |,∵x <-3,∴-x >3>0,∴|-x |=-x ,∴|3+|2-|1+x |||=-x ,综合①②③可得|3+|2-|1+x |||化简后为-x .评注:此题数值比较简单,但含有多重绝对值符号.在去绝对值符号时要由内而外逐层将3个层次的绝对值符号内部的数或式同“0”作比较,大于等于“0”的直接去绝对值;小于“0”的一定要添加“-”.绝对值是中学数学中的一个重要概念,常与其他知识结合起来考查.同学们只要牢牢掌握去绝对值的基本方法,结合“由内而解题指南。
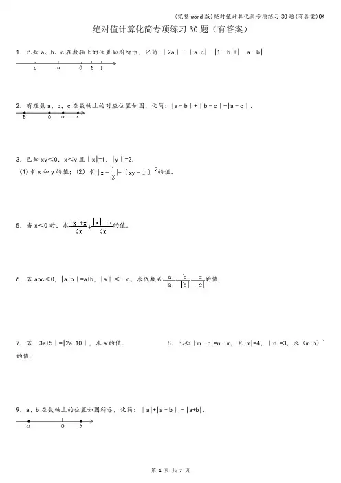
绝对值计算化简专项练习30题(有答案)1.已知a、b、c在数轴上的位置如图所示,化简:|2a|﹣|a+c|﹣|1﹣b|+|﹣a﹣b|2.有理数a,b,c在数轴上的对应位置如图,化简:|a﹣b|+|b﹣c|+|a﹣c|.3.已知xy<0,x<y且|x|=1,|y|=2.(1)求x和y的值;(2)求的值.5.当x<0时,求的值.6.若abc<0,|a+b|=a+b,|a|<﹣c,求代数式的值.7.若|3a+5|=|2a+10|,求a的值. 8.已知|m﹣n|=n﹣m,且|m|=4,|n|=3,求(m+n)2的值.9.a、b在数轴上的位置如图所示,化简:|a|+|a﹣b|﹣|a+b|.10.有理数a,b,c在数轴上的位置如图所示,试化简下式:|a﹣c|﹣|a﹣b|﹣|b﹣c|+|2a|.11.若|x|=3,|y|=2,且x>y,求x﹣y的值.12.化简:|3x+1|+|2x﹣1|.13.已知:有理数a、b在数轴上对应的点如图,化简|a|+|a+b|﹣|1﹣a|﹣|b+1|.14.++=1,求()2003÷(××)的值.15.(1)|x+1|+|x﹣2|+|x﹣3|的最小值?(2)|x+1|+|x﹣2|+|x﹣3|+|x﹣1|的最小值?(3)|x﹣2|+|x﹣4|+|x﹣6|+…+|x﹣20|的最小值?16.计算:|﹣|+|﹣|+|﹣|+…+|﹣|17.若a、b、c均为整数,且|a﹣b|3+|c﹣a|2=1,求|a﹣c|+|c﹣b|+|b﹣a|的值.18.已知a、b、c三个数在数轴上对应点如图,其中O为原点,化简|b﹣a|﹣|2a﹣b|+|a﹣c|﹣|c|.19.试求|x﹣1|+|x﹣3|+…+|x﹣2003|+|x﹣2005|的最小值.20.计算:.24.若x>0,y<0,求:|y|+|x﹣y+2|﹣|y﹣x﹣3|的值.25.认真思考,求下列式子的值..26.问当x取何值时,|x﹣1|+|x﹣2|+|x﹣3|+…+|x﹣2011|取得最小值,并求出最小值.27.(1)当x在何范围时,|x﹣1|﹣|x﹣2|有最大值,并求出最大值.(2)当x在何范围时,|x﹣1|﹣|x﹣2|+|x﹣3|﹣|x﹣4|有最大值,并求出它的最大值.(3)代数式|x﹣1|﹣|x﹣2|+|x﹣3|﹣|x﹣4|+…+|x﹣99|﹣|x﹣100|最大值是_________ (直接28.阅读:一个非负数的绝对值等于它本身,负数的绝对值等于它的相反数,所以,当a≥0时|a|=a,根据以上阅读完成下列各题:(1)|3.14﹣π|= _________ ;(2)计算= _________ ;(3)猜想:= _________ ,并证明你的猜想.29.(1)已知|a﹣2|+|b+6|=0,则a+b= _________(2)求|﹣1|+|﹣|+…+|﹣|+|﹣|的值.30.已知m,n,p满足|2m|+m=0,|n|=n,p•|p|=1,化简|n|﹣|m﹣p﹣1|+|p+n|﹣|2n+1|.参考答案:1.﹣2a+c﹣1 2.2c﹣2b3.解:(1)∵|x|=1,∴x=±1,∵|y|=2,∴y=±2,∵x<y,∴当x取1时,y取2,此时与xy<0矛盾,舍去;当x取﹣1时,y取2,此时与xy<0成立,∴x=﹣1,y=2;(2)∵x=﹣1,y=2,∴=|﹣1﹣|+(﹣1×2﹣1)2=|(﹣1)+(﹣)|+[(﹣2)+(﹣1)]2=|﹣|2=105.解:∵x<0,∴|x|=﹣x,∴原式==0+=﹣6.解:∵|a|<﹣c,∴c<0,∵abc<0,∴ab>0,∵|a+b|=a+b,∴a>0,b>0,∴=++=1+1﹣1=17.解:∵|3a+5|=|2a+10|,∴3a+5=2a+10或3a+5=﹣(2a+10),解得a=5或a=﹣38.解:∵|m﹣n|=n﹣m,∴m﹣n≤0,即m≤n.又|m|=4,|n|=3,∴m=﹣4,n=3或m=﹣4,n=﹣3.∴当m=﹣4,n=3时,(m+n)2=(﹣1)2=1;当m=﹣4,n=﹣3时,(m+n)2=(﹣7)2=499.解:∵a<0,b>0,∴a﹣b<0;又∵|a|>|b|,∴a+b<0;原式=﹣a+[﹣(a﹣b)]﹣[﹣(a+b)],=﹣a﹣(a﹣b)+(a+b),=﹣a﹣a+b+a+b,=﹣a+2b10.解:由图可知:c<a<0<b,则有a﹣c>0,a﹣b<0,b﹣c>0,2a<0,|a﹣c|﹣|a﹣b|﹣|b﹣c|+|2a|,=(a﹣c)﹣(b﹣a)﹣(b﹣c)+(﹣2a),=a﹣c﹣b+a﹣b+c﹣2a,=﹣2b.11.解:因为x>y,由|x|=3,|y|=2可知,x>0,即x=3.(1)当y=2时,x﹣y=3﹣2=1;(2)当y=﹣2时,x﹣y=3﹣(﹣2)=5.所以x﹣y的值为1或512.解:分三种情况讨论如下:(1)当x<﹣时,原式=﹣(3x+1)﹣(2x﹣1)=﹣5x;(2)当﹣≤x<时,原式=(3x+1)﹣(2x﹣1)=x+2;(3)当x≥时,原式=(3x+1)+(2x﹣1)=5x.综合起来有:|3x+1|+|2x﹣1|=.13.解:由数轴可知:1>a>0,b<﹣1,所以原式=a+[﹣(a+b)]﹣(1﹣a)﹣[﹣(b+1)]=a 14.解:∵=1或﹣1,=1或﹣1,=1或﹣1,又∵++=1,∴,,三个式子中一定有2个1,一个﹣1,不妨设,==1,=﹣1,即a>0,b>0,c<0,∴|abc|=﹣abc,|ab|=ab,|bc|=﹣bc,|ac|=﹣ac,∴原式=()2003÷(××)=(﹣1)2003÷1=﹣115.解:(1)∵数x表示的点到﹣1表示的点的距离为|x+1|,到2表示的点的距离为|x﹣2|,到3表示的点的距离为|x﹣3|,∴当x=2时,|x+1|+|x﹣2|+|x﹣3|的最小值为3﹣(﹣1)=4;(2)当x=1或x=2时,|x+1|+|x﹣2|+|x﹣3|+|x﹣1|的最小值为5;(3)当x=10或x=12时,|x﹣2|+|x﹣4|+|x﹣6|+…+|x﹣20|的最小值=5017.解:∵a,b,c均为整数,且|a﹣b|3+|c﹣a|2=1,∴a、b、c有两个数相等,不妨设为a=b,则|c﹣a|=1,∴c=a+1或c=a﹣1,∴|a﹣c|=|a﹣a﹣1|=1或|a﹣c|=|a﹣a+1|=1,∴|a﹣c|+|c﹣b|+|b﹣a|=1+1=218.解:根据数轴可得c<b<0<a,∴|b﹣a|﹣|2a﹣b|+|a﹣c|﹣|c|=a﹣b﹣(2a﹣b)+a﹣c﹣(﹣c)=a﹣b﹣2a+b+a﹣c+c=0 19.解:∵2005=2×1003﹣1,∴共有1003个数,∴x=502×2﹣1=1003时,两边的数关于|x﹣1003|对称,此时的和最小,此时|x﹣1|+|x﹣3|+…+|x﹣2003|+|x﹣2005|=(x﹣1)+(x﹣3)…+(1001﹣x)+(1003﹣x)+(1005﹣x)+…+(2005﹣x)=2(2+4+6+…+1002)=2×=50300420.解:=﹣+﹣+﹣+…+﹣=﹣=23.解:(1)原式=﹣+=;(2)原式=﹣+=24.解:∵x>0,y<0,∴x﹣y+2>0,y﹣x﹣3<0∴|y|+|x﹣y+2|﹣|y﹣x﹣3|=﹣y+(x﹣y+2)+(y﹣x﹣3)=﹣y+x﹣y+2+y﹣x﹣3=﹣y﹣125.解:原式=﹣+﹣+﹣=﹣=26.解:1﹣2011共有2011个数,最中间一个为1006,此时|x﹣1|+|x﹣2|+|x﹣3|+…+|x﹣2011|取得最小值,最小值为|x﹣1|+|x﹣2|+|x﹣3|+…+|x﹣2011|=|1006﹣1|+|1006﹣2|+|1006﹣3|+…+|1006﹣2011|=1005+1004+1003+…+2+1+0+1+2+3+…+1005=101103027.解:(1)∵|x﹣1|﹣|x﹣2|表示x到1的距离与x到2的距离的差,∴x≥2时有最大值2﹣1=1;(2)∵|x﹣1|﹣|x﹣2|+|x﹣3|﹣|x﹣4|表示x到1的距离与x到2的距离的差与x到3的距离与x到4的距离的差的和,∴x≥4时有最大值1+1=2;(3)由上可知:x≥100时|x﹣1|﹣|x﹣2|+|x﹣3|﹣|x﹣4|+…+|x﹣99|﹣|x﹣100|有最大值1×50=50.答案为5028.解:(1)原式=﹣(3.14﹣π)=π﹣3.14;(2)原式=1﹣+﹣+﹣+…+﹣=1﹣=;(3)原式=1﹣+﹣+﹣+…+﹣=1﹣=.29.解:(1)∵|a﹣2|+|b+6|=0,∴a﹣2=0,b+6=0,∴a=2,b=﹣6,∴a+b=2﹣6=﹣4;(2)|﹣1|+|﹣|+…+|﹣|+|﹣|=1﹣+﹣+…+﹣+﹣=1﹣故答案为:﹣4,30.解:由|2m|+m=0,得:2|m|=﹣m,∴m≤0,∴﹣2m+m=0,即﹣m=0,∴m=0.由|n|=n,知n≥0,由p•|p|=1,知p>0,即p2=1,且p>0,∴p=1,∴原式=n﹣|0﹣1﹣1|+|1+n|﹣|2n+1|=n﹣2+1+n﹣2n﹣1=﹣2。
初一数学期中压轴题系列:绝对值化简求值【难度】★★★★★【考点】有理数运算、绝对值化简【人大附期中】在有理数的范围内,我们定义三个数之间的新运算“#”法则:a#b#c=(|a-b-c|+a+b+c)/2如:(-1)#2#3=[|(-1-2-3)|+(-1)+2+3]/2=5(1)计算:3#(-2)#(-3)___________(2)计算:1#(-2)#()=_____________(3)在-这15个数中,①任取三个数作为a、b、c的值,进行“a#b#c”运算,求所有计算结果的最大值__________,②若将这十五个数任意分成五组,每组三个数,进行“a#b#c”运算,得到五个不同的结果,由于分组不同,所以五个运算的结果也不同,那么五个结果之和的最大值是___________【分析】将a#b#c=(|a-b-c|+a+b+c)/2进行取绝对值化简。
【解析答案】(1)原式=3(2)原式(3)当a<b+c时,原式=b+c,当a≥b+c时,原式=a①令,时a#b#c的最大值为②4(提示,将分别赋予b、c同时赋予a四个负数;最后一组,a=0,b、c赋予两个负数即可)【难度】★★★☆☆【考点】绝对值与平方的非负性、二元一次方程组【北京四中期中】已知:(a+b)2+|b+5|=b+5,|2a-b-1|=0,求ab的值.【分析】考察平方和绝对值的非负性,若干个非负数的和为零,则每个数都为零。
【解析】由题意知b+50,(a+b)2+b+5=b+5,即(a+b)2=0……①2a-b-1=0……②解得,所以【答案】【难度】★★★☆☆【考点】绝对值化简,零点分段法【北大附中期中】化简|3x+1|+|2x-1|【分析】零点分段法,两个零点:,【答案】原式=5x;x+2(-); -5x(x<)【难度】★★★★☆【考点】有理数乘法法则、分类讨论、整体法求值【清华附中期中】已知:abc<0,a+b+c=2,且求多项式ax4+bx2+c-5的值。
绝对值计算化简专项练习30题(有答案)1.题目中给出了数轴上的位置,求解绝对值计算的结果。
化简后的表达式为:1) |2a| - |a+c| - |1-b| + |-a-b|2) |a-b| + |b-c| + |a-c|2.已知xy<,x<y且|x|=1,|y|=2.根据绝对值的定义,可以列出以下方程:1) x+y=0.x<y。
x=-1.y=12) |x-y|=33.计算绝对值表达式:5 | + |-10| ÷ |-2| = 5 + 5 = 104.当x<0时,求|x+1|+2x的值。
根据绝对值的定义,可以列出以下方程:1) x+1<0.x<-1.|x+1|=-(x+1)。
|x+1|+2x=-x-12) x+1≥0.x>-1.|x+1|=x+1.|x+1|+2x=3x+15.若abc<0,|a+b|=a+b,|a|<-c,求代数式的值。
根据绝对值的定义,可以列出以下方程:a+b|=a+b。
a+b≥0a|=-a。
ac6.若|3a+5|=|2a+10|,求a的值。
根据绝对值的定义,可以列出以下方程:1) 3a+5=2a+10.a=52) 3a+5=-2a-10.a=-57.已知|m-n|=n-m,且|m|=4,|n|=3,求(m+n)的值。
根据绝对值的定义,可以列出以下方程:m-n|=|n-m|。
m-n=n-m。
m=4.n=3.m+n=78.a、b在数轴上的位置如图所示,化简:|a|+|a-b|-|a+b|。
根据绝对值的定义,可以列出以下方程:1) a≥b。
|a|+|a-b|-|a+b|=2a-2b2) a<b。
|a|+|a-b|-|a+b|=2b-2a9.有理数a,b,c在数轴上的位置如图所示,试化简下式:|a-c|-|a-b|-|b-c|+|2a|。
根据绝对值的定义,可以列出以下方程:a-c|=a-c。
a-c≥0a-b|=a-b。
a-b≥0b-c|=b-c。
有理数绝对值化简求值题20道一、基础题型1. 已知a = - 3,求| a|的值。
- 解析:根据绝对值的定义,正数的绝对值是它本身,负数的绝对值是它的相反数,0的绝对值是0。
因为a=-3是负数,所以| a|=-a = -(-3)=3。
2. 若b = 5,求| b|的值。
- 解析:由于b = 5是正数,正数的绝对值是它本身,所以| b|=b = 5。
3. 已知c=0,求| c|的值。
- 解析:0的绝对值是0,所以| c| = 0。
二、含有简单运算的题型4. 已知x=-2,求| x + 1|的值。
- 解析:先计算x + 1=-2+1=-1,因为-1是负数,所以| x + 1|=-(x + 1)=-(-1)=1。
5. 若y = 3,求| y-2|的值。
- 解析:先计算y-2 = 3-2 = 1,1是正数,所以| y-2|=y - 2=1。
6. 已知m=-4,求| 2m|的值。
- 解析:先计算2m=2×(-4)=-8,因为-8是负数,所以| 2m|=-2m=-2×(-4)=8。
三、含有多层绝对值的题型7. 已知a=-2,求|| a| - 1|的值。
- 解析:首先| a|=| - 2|=2,然后|| a| - 1|=|2 - 1|=|1| = 1。
8. 若b = 1,求|| b|+2|的值。
- 解析:因为| b|=|1| = 1,所以|| b|+2|=|1 + 2|=|3| = 3。
四、含有字母表达式的题型9. 已知a、b满足a=-b,且b≠0,求| a|+| b|的值。
- 解析:因为a=-b,所以| a|=| - b|=| b|。
则| a|+| b|=| b|+| b| = 2| b|。
10. 若x、y满足x<0,y>0且| x|=| y|,求| x + y|的值。
- 解析:因为x<0,y>0且| x|=| y|,设x=-m,则y = m(m>0)。
那么x + y=-m+m = 0,所以| x + y| = 0。
专题1.2 绝对值【典例1】结合数轴与绝对值的知识回答下列问题:(1)数轴上表示4和1的两点之间的距离是 ;表示﹣3和2两点之间的距离是 ;一般地,数轴上表示数m和数n的两点之间的距离等于|m﹣n|.(2)如果|x+1|=3,那么x= ;(3)若|a﹣3|=2,|b+2|=1,且数a、b在数轴上表示的数分别是点A、点B,则A、B两点间的最大距离是 ,最小距离是 .(4)若数轴上表示数a的点位于﹣4与2之间,则|a+4|+|a﹣2|= .(1)根据数轴,观察两点之间的距离即可解决;(2)根据绝对值可得:x+1=±3,即可解答;(3)根据绝对值分别求出a,b的值,再分别讨论,即可解答;(4)根据|a+4|+|a﹣2|表示数a的点到﹣4与2两点的距离的和即可求解.解:(1)数轴上表示4和1的两点之间的距离是:4﹣1=3;表示﹣3和2两点之间的距离是:2﹣(﹣3)=5,故答案为:3,5;(2)|x+1|=3,x+1=3或x+1=﹣3,x=2或x=﹣4.故答案为:2或﹣4;(3)∵|a﹣3|=2,|b+2|=1,∴a=5或1,b=﹣1或b=﹣3,当a=5,b=﹣3时,则A、B两点间的最大距离是8,当a=1,b=﹣1时,则A、B两点间的最小距离是2,则A、B两点间的最大距离是8,最小距离是2;故答案为:8,2;(4)若数轴上表示数a的点位于﹣4与2之间,|a+4|+|a﹣2|=(a+4)+(2﹣a)=6.故答案为:6.1.(2022•高邮市模拟)若|x|+|x﹣4|=8,则x的值为( )A.﹣2B.6C.﹣2或6D.以上都不对【思路点拨】根据绝对值的意义得出,|x|+|x﹣4|=8表示到原点和4的距离和是8的数,分两种情况求出x的值即可.【解题过程】解:∵|x|+|x﹣4|=8,∴当x>4时,x+x﹣4=8,解得x=6,当x<0时,﹣x+4﹣x=8,解得x=﹣2,故选:C.2.(2021秋•西峡县期末)|x+8|+|x+1|+|x﹣3|+|x﹣5|的最小值等于( )A.10B.11C.17D.21【思路点拨】由|x+8|+|x+1|+|x﹣3|+|x﹣5|所表示的意义,得出当﹣1≤x≤3时,这个距离之和最小,再根据数轴表示数的特点进行计算即可.【解题过程】解:|x+8|+|x+1|+|x﹣3|+|x﹣5|表示数轴上表示数x的点,到表示数﹣8,﹣1,3,5的点的距离之和,由数轴表示数的意义可知,当﹣1≤x≤3时,这个距离之和最小,最小值为|5﹣(﹣8)|+|3﹣(﹣1)|=13+4=17,故选:C.3.如果有理数a,b,c满足|a﹣b|=1,|b+c|=2,|a+c|=3,那么|a+2b+3c|等于( )A.5B.6C.7D.8【思路点拨】通过对式子|a+c|=3的变形,确定已知之间的关系,再进行分类讨论,结合对所求式子的变形,找到已知所求之间的关系,再进行求解.【解答过程】解:|a+c|=|a﹣b+b+c|=3,∵|a﹣b|=1,|b+c|=2,∴a﹣b=1,b+c=2或a﹣b=﹣1,b+c=﹣2,分两种情况讨论:①若a﹣b=1,b+c=2,则两式相加,得a+c=3,∴|a+2b+3c|=|a+c+2(b+c)|=|3+2×2|=7;②若a﹣b=﹣1,b+c=﹣2,则两式相加,得a+c=﹣3,∴|a+2b+3c|=|a+c+2(b+c)|=|﹣3+2×(﹣2)|=7.故选:C.4.(2021秋•洛川县校级期末)已知:m=|a b|c+2|b c|a+3|c a|b,且abc>0,a+b+c=0.则m共有x个不同的值,若在这些不同的m值中,最大的值为y,则x+y=( )A.4B.3C.2D.1【思路点拨】根据绝对值的意义分情况说明即可求解.【解题过程】解:∵abc>0,a+b+c=0,∴a、b、c为两个负数,一个正数,a+b=﹣c,b+c=﹣a,c+a=﹣b,m=|−c|c+2|−a|a+3|−b|b∴分三种情况说明:当a<0,b<0,c>0时,m=1﹣2﹣3=﹣4,当a<0,c<0,b>0时,m=﹣1﹣2+3=0,当a>0,b<0,c<0时,m=﹣1+2﹣3=﹣2,∴m共有3个不同的值,﹣4,0,﹣2,最大的值为0.∴x=3,y=0,∴x+y=3.故选:B.5.我们知道|x|=x,(x>0)0,(x=0)−x,(x<0),所以当x>0时,x|x|=xx=1;当x<0时,x|x|=x−x=−1.下列结论序号正确的是( )①已知a,b是有理数,当ab≠0时,a|a|+b|b|的值为0或±2;②已知a,b是不为0的有理数,当|ab|=﹣ab时,则2a|a|+b|b|的值为±1;③已知a,b,c是有理数,a+b+c=0,abc<0,则b c|a|+a c|b|+a b|c|=−1或3;④已知a,b,c是非零的有理数,且|abc|abc=−1,则|a|a+|b|b+|c|c的值为1或﹣3;⑤已知a,b,c是非零的有理数,a+b+c=0,则a|a|+b|b|+c|c|+abc|abc|的所有可能的值为0.A.①③④B.②③⑤C.①②④⑤D.①②④【思路点拨】关于绝对值化简的问题,就要严格利用绝对值的定义来化简,要考虑全面,有时可以用特殊值法.【解题过程】解:①因为ab≠0,所以有以下几种情况:a>0,b<0,原式值是0;a>0,b>0,原式值是2;a<0,b>0,原式值是0;a<0,b<0,原式值是﹣2.故①正确;②∵|ab|=﹣ab,a,b是不为0的有理数,∴ab <0,有以下两种情况:a >0,b <0,此时原式值是1;a <0,b >0,此时原式值是﹣1,故②正确;③已知a ,b ,c 是有理数且a +b +c =0,abc <0,则b +c =﹣a ,a +c =﹣b ,b +c =﹣a ,∴原式化为−a |a|+−b |b|+−c |c|a ,b ,c 两正一负,有四种情况:a >0,b >0,c <0,原式值为﹣1;a >0,b <0,c >0,原式值为﹣1;a <0,b >0,c >0,原式值为﹣1;故③错误;④∵|abc|abc=−1,∴abc <0,分四种情况(同③)∴原式值是﹣1和3,故④正确;⑤分两种情况:当一正两负时,a |a|,b |b|.c |c|有一个1,两个﹣1,而abc >0,所以abc |abc|=1,此时和为1+1﹣1﹣1=0;当一负两正时,a |a|,b |b|.c |c|有一个﹣1,两个1,而abc <0,所以abc |abc|=−1,此时和为﹣1+1+1﹣1=0.故⑤正确.故选:C .6.(2021秋•常州期末)已知x =20212022,则|x ﹣2|﹣|x ﹣1|+|x |+|x +1|﹣|x +2|的值是 20212022 .【思路点拨】根据x 的值,判断x ﹣2,x ﹣1,x +1,x +2的符号,再根据绝对值的定义化简后即可得到答案.【解题过程】解:∵x=20212022,即0<x<1,∴x﹣2<0,x﹣1<0,x+1>0,x+2>0,∴|x﹣2|﹣|x﹣1|+|x|+|x+1|﹣|x+2|=2﹣x﹣(1﹣x)+x+x+1﹣x﹣2=2﹣x﹣1+x+x+x+1﹣x﹣2=x=2021 2022,故答案为:2021 2022.7.(2021秋•绵竹市期末)代数式|x+1009|+|x+506|+|x﹣1012|的最小值是 2021 .【思路点拨】利用绝对值的定义,结合数轴可知最小值为1012到﹣1009的距离.【解题过程】解:∵|x+1009|=|x﹣(﹣1009)|,|x+506|=|x﹣(﹣506)|,由绝对值的定义可知:|x+1009|代表x到﹣1009的距离;|x+506|代表x到﹣506的距离;|x﹣1012|代表x到1012的距离;结合数轴可知:当x在﹣1009与1012之间,且x=﹣506时,距离之和最小,∴最小值=1012﹣(﹣1009)=2021,故答案为:2021.8.(2021春•杨浦区校级期末)已知a,b,c为整数,且|a﹣b|2021+|c﹣a|2020=1,则|a﹣b|+|b﹣c|+|c﹣a|= 0或2 .【思路点拨】因为a、b、c都为整数,而且|a﹣b|2021+|c﹣a|2020=1,所以|a﹣b|与|c﹣a|只能是0或者1,于是进行分类讨论即可得出.【解题过程】解:∵a、b、c为整数,且|a﹣b|2021+|c﹣a|2020=1,∴有|a﹣b|=1,|c﹣a|=0或|a﹣b|=0,|c﹣a|=1①若|a﹣b|=1,|c﹣a|=0,则a﹣b=±1,a=c,∴|b﹣c|=|c﹣b|=|a﹣b|=1,∴|a﹣b|+|b﹣c|﹣|c﹣a|=1+1+0=2,②|a﹣b|=0,|c﹣a|=1,则a=b,c﹣a=±1,∴|b﹣c|=|c﹣b|=|c﹣a|=1,∴|a﹣b|+|b﹣c|﹣|c﹣a|=0+1﹣1=0,故答案为:0或2.9.(2021秋•大田县期中)三个整数a,b,c满足a<b<c,且a+b+c=0.若|a|<10,则|a|+|b|+|c|的最大值为 34 .【思路点拨】根据a+b+c=0,a<b<c,可得a<0,c>0,a+b<0,则|a|>|b|,再由|a|<10,a,b,c都是整数,得到|a|≤9,则|b|≤8,根据|a+b|=﹣(b+a)=﹣b﹣a,|b|≥﹣b,|a|≥a,即可得到|c|=|﹣a﹣b|=|a+b|≤|a|+|b|≤17,由此求解即可.【解题过程】解:∵a+b+c=0,a<b<c,∴a<0,c>0,a+b<0,∴|a|>|b|,∵|a|<10,a,b,c都是整数,∴|a|≤9,∴|b|≤8,∵|a+b|=﹣(b+a)=﹣b﹣a,|b|≥﹣b,|a|≥a,∴|c|=|﹣a﹣b|=|a+b|≤|a|+|b|≤17,∴|a|+|b|+|c|的值最大为9+8+17=34,故答案为:34.10.(2021秋•雁塔区校级期中)如果|a+3|+|a﹣2|+|b﹣4|+|b﹣7|=8,则a﹣b的最大值等于 ﹣2 .【思路点拨】根据题意可得|a+3|+|a﹣2|=5,|b﹣4|+|b﹣7|=3,此时﹣3≤a≤2,4≤b≤7,可求得﹣10≤a﹣b≤﹣2,即可求解.【解题过程】解:|a +3|+|a ﹣2|≥5,|b ﹣4|+|b ﹣7|≥3,∴|a +3|+|a ﹣2|+|b ﹣4|+|b ﹣7|≥8,∵|a +3|+|a ﹣2|+|b ﹣4|+|b ﹣7|=8,∴|a +3|+|a ﹣2|=5,|b ﹣4|+|b ﹣7|=3,∴﹣3≤a ≤2,4≤b ≤7,∴﹣10≤a ﹣b ≤﹣2,∴a ﹣b 的最大值等于﹣2,故答案为:﹣2.11.(2021秋•江岸区校级月考)设有理数a ,b ,c 满足a >b >c ,这里ac <0且|c |<|b |<|a |,则|x−a b 2|+|x−b c 2|+|x +a c 2|的最小值为 2a b c 2 .【思路点拨】根据ac <0可知a ,c 异号,再根据a >b >c ,以及|c |<|b |<|a |,即可确定a ,﹣a ,b ,﹣b ,c ,﹣c 在数轴上的位置,而|x −a b 2|+|x −b c 2|+|x +a c 2|表示到 a b 2,b c 2,−a c 2三点的距离的和,根据数轴即可确定.【解题过程】解:∵ac <0,∴a ,c 异号,∵a >b >c ,∴a >0,c <0,又∵|c |<|b |<|a |,∴﹣a <﹣b <c <0<﹣c <b <a ,又∵|x −a b 2|+|x −b c 2|+|x +a c 2|表示到 a b 2,b c 2,−a c 2三点的距离的和,当x 在b c 2时距离最小,即|x −a b 2|+|x −b c 2|+|x +a c 2|最小,最小值是a b 2与−a c 2之间的距离,即2a b c 2.故答案为:2a b c 2.12.(2020秋•海曙区期末)已知a ,b ,c 为3个自然数,满足a +2b +3c =2021,其中a ≤b ≤c ,则|a ﹣b |+|b ﹣c |+|c ﹣a |的最大值是 1346 .【思路点拨】根据绝对值的性质化简式子,再确定a,b,c的值,由此解答即可.【解题过程】解:由题意知b≥a,则|a﹣b|=b﹣a,b≤c,则|b﹣c|=c﹣b,a≤c,则|c﹣a|=c﹣a,故|a﹣b|+|b﹣c|+|c﹣a|=b﹣a+c﹣b+c﹣a=2(c﹣a),上式值最大时,即c最大,且a最小时,(即c﹣a最大时),又a+2b+3c=2021,2021=3×673+2,故c的最大值为673,此时a+2b=2,a≤b,且a,b均为自然数,a=0时,b=1,此时a最小,故2(c﹣a)的最大值即c=673,a=0时的值,即:2×(673﹣0)=1346.故答案为:1346.13.设x是有理数,y=|x﹣1|+|x+1|.有下列四个结论:①y没有最小值;②有无穷多个x的值,使y取到最小值;③有x的值,使y=1.8;④使y=2.5的x有两个值.其中正确的是 (填序号).【思路点拨】依据绝对值的几何意义,|x﹣1|可以看成是x与1的距离,|x+1|可以看出是x与﹣1的距离,这样y可以看成两个距离之和,即在数轴上找一点x,使它到1和﹣1 的距离之和等于y.要从三个情形分析讨论:①x 在﹣1的左侧;②x在﹣1和1之间(包括﹣1,1);③x在1的右侧.【解答过程】解:∵|x﹣1|是数轴上x与1的距离,|x+1是数轴上x与﹣1的距离,∴y=|x﹣1|+|x+1|是数轴上x与1和﹣1的距离之和.∴当x在﹣1和1之间(包括﹣1,1)时,y的值总等于2.如下图:当x在﹣1的左侧时,y的值总大于于2.如下图:当x在1的右侧时,y的值总大于于2.如下图:综上,y有最小值2,且此时﹣1≤x≤1.∴①③不正确,②正确.∵使y=2.5的x有﹣1,25和1,25两个值,∴④正确.故答案为②④.14.有理数a,b满足|a+1|+|2﹣a|=6﹣|b+2|﹣|b+5|,a2+b2的最大值为 ,最小值为 .【思路点拨】将|a+1|+|2﹣a|以及|b+2|+|b+5|拆分开来看,从而分别得到他们的最值小均为3,而根据已知知道,它们的和为6,从而得到|a+1|+|2﹣a|以及|b+2|+|b+5|的值均为3,从而得到a和b的取值范围,进而可以求出a2+b2的最大值和最小值.【解答过程】解:|a+1|+|2﹣a|=6﹣|b+2|﹣|b+5|,∴|a+1|+|2﹣a|+|b+2|+|b+5|=6,∵|a+1|表示a到﹣1的距离,|2﹣a|表示a到2的距离,∴|a+1|+|2﹣a|≥3,又∵|b+2||表示b到﹣2的距离,|b+5|表示b到﹣5的距离,∴|b+2|+|b+5|≥3,又∵|a+1|+|2﹣a|+|b+2|+|b+5|=6,∴|a+1|+|2﹣a|=3,|b+2|+|b+5|=3,此时﹣1≤a≤2,﹣5≤b≤﹣2,∴a2的最大值为4,最小值为0,b2的最大值为25,最小值为4,∴a2+b2的最大值为29,最小值为4.故答案为:29,4.15.(2021秋•梁子湖区期中)已知|ab ﹣2|与|b ﹣2|互为相反数,求b 1a 1−b 2a−2+b 3a 3的值.【思路点拨】根据绝对值的非负性求出a ,b 的值,代入代数式求值即可.【解题过程】解:根据题意得|ab ﹣2|+|b ﹣2|=0,∵|ab ﹣2|≥0,|b ﹣2|≥0,∴ab ﹣2=0,b ﹣2=0,∴a =1,b =2,∴原式=32−4−1+54=32+4+54=274.16.(2021秋•贡井区期中)如图,数轴上的点A ,B ,C ,D ,E 对应的数分别为a ,b ,c ,d ,e ,且这五个点满足每相邻两个点之间的距离都相等.(1)填空:a ﹣c < 0,b ﹣a > 0,b ﹣d < 0(填“>“,“<“或“=“);(2)化简:|a ﹣c |﹣2|b ﹣a |﹣|b ﹣d |;(3)若|a |=|e |,|b |=3,直接写出b ﹣e 的值.【思路点拨】(1)根据数轴得出a <b <c <d <e ,再比较即可;(2)先去掉绝对值符号,再合并同类项即可;(3)先求出b 、e 的值,再代入求出即可.【解题过程】解:(1)从数轴可知:a <b <c <d <e ,∴a ﹣c <0,b ﹣a >0,b ﹣d <0,故答案为:<,>,<;(2)原式=|a ﹣c |﹣2|b ﹣a |﹣|b ﹣d |=﹣a +c ﹣2(b ﹣a )﹣(d ﹣b )=﹣a+c﹣2b+2a﹣d+b=a﹣b+c﹣d;(3)|a|=|e|,∴a、e互为相反数,∵|b|=3,这五个点满足每相邻两个点之间的距离都相等,∴b=﹣3,e=6,∴b﹣e=﹣3﹣6=﹣9.17.(2021秋•铜山区期中)点A、B在数轴上分别表示有理数a、b,A、B两点之间的距离记为d,请回答下列问题:(1)数轴上表示﹣3和1两点之间的距离d为 4 ;(2)数轴上表示x和﹣5两点之间的距离d为 |x+5| ;(3)若x表示一个有理数,且x大于﹣3且小于1,则|x﹣1|+|x+3|= 4 ;(4)若x表示一个有理数,且|x+2|+|x+3|>1,则有理数x的取值范围为 x<﹣2或x>﹣3 .【思路点拨】(1)根据数轴上两点间的距离公式进行计算;(2)根据数轴上两点间距离公式列式;(3)根据绝对值的意义进行化简计算;(4)根据绝对值的意义和数轴上两点间的距离进行分析求解.【解题过程】解:(1)d=1﹣(﹣3)=1+3=4,∴数轴上表示﹣3和1两点之间的距离d为4,故答案为:4;(2)数轴上表示x和﹣5两点之间的距离d=|x﹣(﹣5)|=|x+5|,故答案为:|x+5|;(3)∵﹣3<x<1,∴x﹣1<0,x+3>0,∴|x﹣1|+|x+3|=1﹣x+x+3=4,故答案为:4;(4)|x+2|+|x+3|表示数轴上数x到数﹣2和数﹣3的距离之和,∵﹣2﹣(﹣3)=1,且|x+2|+|x+3|>1,∴x<﹣2或x>﹣3,故答案为:x<﹣3或x>﹣2.18.x取何值时,|x﹣1|+|x﹣2|+|x﹣3|+…+|x﹣1997|取最小值,最小值是多少?【思路点拨】利用绝对值的几何意义分析:x为数轴上的一点,|x﹣1|+|x﹣2|+|x﹣3|+…|x﹣1997|表示:点x到数轴上的1997个点(1、2、3、…、1997)的距离之和,进而分析得出最小值为:|999﹣1|+|999﹣2|+|999﹣3|+…|999﹣1997|求出即可.【解题过程】解:在数轴上,要使点x到两定点的距离和最小,则x在两点之间,最小值为两定点为端点的线段长度(否则距离和大于该线段);所以:当1≤x≤1997时,|x﹣1|+|x﹣1997|有最小值1996;当2≤x≤1996时,|x﹣2|+|x﹣1996|有最小值1994;…当x=999时,|x﹣999|有最小值0.综上,当x=999时,|x﹣1|+|x﹣2|+|x﹣3|+…|x﹣1997|能够取到最小值,最小值为:|999﹣1|+|999﹣2|+|999﹣3|+…|999﹣1997|=998+997+996+…+0+1+2+998=(1998)×9982×2=997002.19.(2021秋•金乡县期中)我们知道:在研究和解决数学问题时,当问题所给对象不能进行统一研究时,我们就需要根据数学对象的本质属性的相同点和不同点,将对象区分为不同种类,然后逐类进行研究和解决,最后综合各类结果得到整个问题的解决,这一思想方法,我们称之为“分类讨论的思想”.这一数学思想用处非常广泛,我们经常用这种方法解决问题.例如:我们在讨论|a|的值时,就会对a进行分类讨论,当a≥0时,|a|=a;当a<0时,|a|=﹣a.现在请你利用这一思想解决下列问题:(1)8|8|= 1 .−3|−3|= ﹣1 (2)a|a|= 1或﹣1 (a≠0),a|a|+b|b|= 2或0 (其中a>0,b≠0)(3)若abc≠0,试求a|a|+b|b|+c|c|+abc|abc|的所有可能的值.【思路点拨】(1)根据绝对值的定义即可得到结论;(2)分类讨论:当a>0时,当a<0时,当b>0时,当b<0时,根据绝对值的定义即可得到结论;(3)分类讨论:①当a>0,b>0,c>0时,②当a,b,c三个字母中有一个字母小于0,其它两个字母大于0时,③当a,b,c三个字母中有一个字母大于0,其它两个字母小于0时,④当a<0,b<0,c<0时,根据绝对值的定义即可得到结论.【解题过程】解:(1)8|8|=1,−3|−3|=−1,故答案为:1,﹣1;(2)当a>0时,a|a|=1;当a<0时,a|a|=−1;当b>0时,a|a|+b|b|=1+1=2;当b<0时,a|a|+b|b|=1﹣1=0;故答案为:1或﹣1,2或0;(3)①当a>0,b>0,c>0时,a|a|+b|b|+c|c|+abc|abc|=1+1+1+1=4,②当a,b,c三个字母中有一个字母小于0,其它两个字母大于0时,a|a|+b|b|+c|c|+abc|abc|=−1+1+1﹣1=0,③当a,b,c三个字母中有一个字母大于0,其它两个字母小于0时,a|a|+b|b|+c|c|+abc|abc|=1﹣1﹣1+1=0,④当a<0,b<0,c<0时,a|a|+b|b|+c|c|+abc|abc|=−1﹣1﹣1﹣1=﹣4,综上所述,a|a|+b|b|+c|c|+abc|abc|的所有可能的值为±4,0.20.(2021秋•江岸区期中)阅读下列材料.我们知道|x|=x(x>0)0(x=0)−x(x<0),现在我们可以利用这一结论来化简含有绝对值的代数式.例如:化简代数式|x+1|+|x﹣2|时,可令x+1=0和x﹣2=0,分别求得x=﹣1和x=2(称﹣1,2分别为|x+1|与|x﹣2|的零点值).在有理数范围内,零点值x=﹣1和x=2可将全体有理数分成不重复且不遗漏的如下3种情况:x<﹣1;﹣1≤x<2;x≥2.从而在化简|x+1|+|x﹣2|时,可分以下三种情况:①当x<﹣1时,原式=﹣(x+1)﹣(x﹣2)=﹣2x+1;②当﹣1≤x<2时,原式=(x+1)﹣(x﹣2)=3;③当x≥2时,原式=(x+1)+(x﹣2)=2x﹣1.∴|x+1|+|x﹣2|=−2x+1(x<−1)3(−1≤x<2)2x−1(x≥2),通过以上阅读,解决问题:(1)|x﹣3|的零点值是x= 3 (直接填空);(2)化简|x﹣3|+|x+4|;(3)关于x,y的方程|x﹣3|+|x+4|+|y﹣2|+|y+1|=10,直接写出x+y的最小值为 ﹣5 .【思路点拨】(1)根据零点值的概念领x﹣3=0,求解;(2)仿照材料例题分x<﹣4;﹣4≤x<3;x≥3三种情况结合绝对值的意义化简求解;(3)仿照材料例题,分原式为|x﹣3|+|x+4|与|y﹣2|+|y+1|两部分进行分析求其最小值.【解题过程】解:(1)令x﹣3=0,解得:x=3,∴|x﹣3|的零点值是x=3,故答案为:3;(2)令x﹣3=0,x+4=0,解得:x=3,x=﹣4,①当x<﹣4时,原式=3﹣x﹣4﹣x=﹣2x﹣1,②当﹣4≤x<3时,原式=3﹣x+x+4=7,③当x>3时,原式=x﹣3+x+4=2x+1,综上,|x﹣3|+|x+4|=−2x−1(x<−4) 7(−4≤x<3)2x+1(x>3);(3)令x﹣3=0,x+4=0,y﹣2=0,y+1=0,解得:x=3,x=﹣4,y=2,y=﹣1,由(2)可得,当x<﹣4时,|x﹣3|+|x+4|=﹣2x﹣1,又∵x<﹣4,∴﹣2x>8,则﹣2x﹣1>7,当x>3时,|x﹣3|+|x+4|=2x+1,又∵x>3,∴2x>6,则2x+1>7,∴当﹣4≤x<3时,|x﹣3|+|x+4|取得最小值为7,同理,可得当﹣1≤y<2时,|y﹣2|+|y+1|取得最小值为3,∴当|x﹣3|+|x+4|+|y﹣2|+|y+1|=10时,﹣4≤x<3,﹣1≤y<2,∴此时x+y的最小值为﹣4+(﹣1)=﹣5,故答案为:﹣5.。
绝对值化简专题训练去绝对值的法则:1、正数的绝对值等于它本身aa=()0〉a2、负数的绝对值等于它的相反数a=()0〈aa-3、零的绝对值等于零。
0a()0==a1.如图,数轴上的三点A、B、C分别表示有理数a、b、c,则(1)b﹣a 0,a﹣c 0,b+c 0(用“>”“<”或“=”填空).(2)化简:|b﹣a|﹣|a﹣c|+|b+c|2.如图,数轴上的a、b、c分别表示有理数a、b、c.(1)化去下列各式的绝对值:①|c|= ;②|a|= ;③|a﹣b|= .(2)化简:|b﹣a|+|a﹣b﹣c|﹣|a﹣c|.3.数a,b,c在数轴上的位置如图所示:化简:|b﹣a|﹣|c﹣b|+|a+b|.4.已知:有理数a、b、c在数轴上如图所示.化简:|a|+3|c﹣a|+|b+c|.5.已知a、b、c这三个有理数在数轴上的位置如图所示,化简:|b﹣c|﹣|a﹣b|+|a+c|.6.有理数在数轴上的位置如图所示,化简:|c﹣a|+|b﹣c|﹣|a﹣b|+|a+b|.7.有理数a,b,c在数轴上如图所示,试化简|2c﹣b|+|a+b|﹣|2a﹣c|.8.已知有理数a、b、c在数轴上的位置如图所示,化简:|a﹣b|﹣|a+c|﹣|c﹣a|+|a+b+c|+|b﹣c|9.已知a,b,c在数轴上的位置如图所示,所对应的点分别为A,B,C.(1)填空:A、B之间的距离为,B、C之间的距离为,A、C之间的距离为;(2)化简:|a+b|﹣|c﹣b|+|b﹣a|;(3)a、b、c在数轴上的位置如图所示,且c2=4,﹣b的倒数是它本身,a的绝对值的相反数是﹣2,求﹣a+2b﹣c﹣2(a﹣4c﹣b)的值.。
七年级数学--绝对值化简专题训练-CAL-FENGHAI-(2020YEAR-YICAI)_JINGBIAN绝对值化简专题训练去绝对值的法则:1、正数的绝对值等于它本身aa=()0〉a2、负数的绝对值等于它的相反数a=()0〈aa-3、零的绝对值等于零。
0a()0=a=1.如图,数轴上的三点A、B、C分别表示有理数a、b、c,则(1)b﹣a0,a﹣c0,b+c0(用“>”“<”或“=”填空).(2)化简:|b﹣a|﹣|a﹣c|+|b+c|2.如图,数轴上的a、b、c分别表示有理数a、b、c.(1)化去下列各式的绝对值:①|c|=;②|a|=;③|a﹣b|=.(2)化简:|b﹣a|+|a﹣b﹣c|﹣|a﹣c|.3.数a,b,c在数轴上的位置如图所示:化简:|b﹣a|﹣|c﹣b|+|a+b|.4.已知:有理数a、b、c在数轴上如图所示.化简:|a|+3|c﹣a|+|b+c|.5.已知a、b、c这三个有理数在数轴上的位置如图所示,化简:|b﹣c|﹣|a﹣b|+|a+c|.6.有理数在数轴上的位置如图所示,化简:|c﹣a|+|b﹣c|﹣|a﹣b|+|a+b|.7.有理数a,b,c在数轴上如图所示,试化简|2c﹣b|+|a+b|﹣|2a﹣c|.8.已知有理数a、b、c在数轴上的位置如图所示,化简:|a﹣b|﹣|a+c|﹣|c﹣a|+|a+b+c|+|b﹣c|9.已知a,b,c在数轴上的位置如图所示,所对应的点分别为A,B,C.(1)填空:A、B之间的距离为,B、C之间的距离为,A、C之间的距离为;(2)化简:|a+b|﹣|c﹣b|+|b﹣a|;(3)a、b、c在数轴上的位置如图所示,且c2=4,﹣b的倒数是它本身,a的绝对值的相反数是﹣2,求﹣a+2b﹣c﹣2(a﹣4c﹣b)的值.。
⋯⋯⋯⋯⋯⋯⋯⋯⋯⋯⋯⋯⋯⋯⋯⋯⋯⋯⋯⋯⋯⋯⋯最新料介绍⋯⋯⋯⋯⋯⋯⋯⋯⋯⋯⋯⋯⋯⋯⋯⋯⋯⋯⋯初一数学压轴题:绝对值化简求值一、【考点】绝对值的代数意义、绝对值化简【北大附中期中】设 a, b, c 为实数,且化简|a|+a=0 , |ab|=ab , |c|-c=0,化简|b|-|a+b|-|c-b|+|a-c|【分析】|a|+a=0 ,即 |a|=-a,a≤ 0;|ab|=ab ,ab≥ 0,b≤ 0;|c|-c=0,即|c|=c,c≥ 0原式 =-b+a+b-c+b-a+c=b【答案】 b二、【考点】有理数运算、绝对值化简【人大附期中】在有理数的范围内,我们定义三个数之间的新运算“#”法例: a#b#c=(|a-b-c|+a+b+c)/2如:( -1 ) #2#3=[| ( -1-2-3 ) |+ ( -1 ) +2+3]/2=5(1)计算: 3#( -2 ) #( -3 ) ___________(2)计算: 1#( -2 ) #( 10/3 ) =_____________( 3)在 -6/7,-5/7-1/7,0,1/9,2/98/9 这 15 个数中,①任取三个数作为a、 b、 c 的值,进行“a#b#c”运算,求全部计算结果的最大值__________ ,11 / 3②若将这十五个数随意分红五组,每组三个数,进行“ a#b#c”运算,获得五个不一样的结果,因为分组不一样,因此五个运算的结果也不一样,那么五个结果之和的最大值是___________【剖析】将 a#b#c=(|a-b-c|+a+b+c)/2进行取绝对值化简。
【分析 &答案】(1)原式 =3(2)原式 =4/3(3)当 a< b+c 时,原式 =b+c ,当 a≥b+c 时,原式 =a①令 b=7/9 , c=8/9 时 a#b#c 的最大值为 b+c=5/3② 4(提示,将 1/9,2/98/9 分别给予b、c 同时给予 a 四个负数;最后一组,a=0,b、 c 给予两个负数即可)三、【考点】绝对值与平方的非负性、二元一次方程组【北京四中期中】已知:( a+b)2+|b+5|=b+5 , |2a-b-1|=0,求ab的值.【剖析】观察平方和绝对值的非负性,若干个非负数的和为零,则每个数都为零。
初一数学期中压轴题:绝对值化简求值初一数学期中压轴题:绝对值化简求值期中考试马上开始了,关于初一数学期中压轴题:绝对值化简求值,以供同学们练习参考!一、【考点】绝对值的代数意义、绝对值化简【xx期中】设a,b,c为实数,且化简|a|+a=0,|ab|=ab,|c|-c=0,化简|b|-|a+b|-|c-b|+|a-c|【解析】|a|+a=0,即|a|=-a,a0;|ab|=ab,ab0,b0;|c|-c=0,即|c|=c,c0原式=-b+a+b-c+b-a+c=b【答案】b二、【考点】有理数运算、绝对值化简【人大附期中】在有理数的范围内,我们定义三个数之间的新运算#法则:a#b#c=(|a-b-c|+a+b+c)/2如:(-1)#2#3=[|(-1-2-3)|+(-1)+2+3]/2=5(1)计算:3#(-2)#(-3)___________(2)计算:1#(-2)#()=_____________(3)在这15个数中,①任取三个数作为a、b、c的值,进行a#b#c运算,求所有计算结果的最大值__________,②若将这十五个数任意分成五组,每组三个数,进行a#b#c运算,得到五个不同的结果,由于分组不同,所以五个运算的结果也不同,那么五个结果之和的最大值是___________【分析】将a#b#c=(|a-b-c|+a+b+c)/2进行取绝对值化简。
【解析答案】(1)原式=3(2)原式(3)当a<b+c时,原式=b+c,当ab+c时,原式=a①令,时a#b#c的最大值为②4(提示,将分别赋予b、c同时赋予a四个负数;最后一组,a=0,b、c 赋予两个负数即可)三、【考点】绝对值与平方的非负性、二元一次方程组【xx期中】已知:(a+b)+|b+5|=b+5,|2a-b-1|=0,求ab的值.【分析】考察平方和绝对值的非负性,若干个非负数的和为零,则每个数都为零。
【解析】由题意知b+50,(a+b)+b+5=b+5,即(a+b)=0①2a-b-1=0②解得,所以【答案】四、【考点】绝对值化简,零点分段法【xx期中】化简|3x+1|+|2x-1|【分析】零点分段法,两个零点:,【答案】原式=5x();x+2(<); -5x(x<)观察内容的选择,我本着先静后动,由近及远的原则,有目的、有计划的先安排与幼儿生活接近的,能理解的观察内容。
绝对值大全(零点分段法、化简、最值)一、去绝对值符号的几种常用方法解含绝对值不等式的基本思路是去掉绝对值符号,使不等式变为不含绝对值符号的一般不等式,而后,其解法与一般不等式的解法相同。
因此掌握去掉绝对值符号的方法和途径是解题关键。
1利用定义法去掉绝对值符号根据实数含绝对值的意义,即|x |=(0)(0)x x x x ≥⎧⎨-<⎩,有|x |<c (0)(0)c x c c c -<<>⎧⇔⎨∅≤⎩;|x |>c (0)0(0)(0)x c x c c x c x R c <->>⎧⎪⇔≠=⎨⎪∈<⎩或2利用不等式的性质去掉绝对值符号利用不等式的性质转化|x |<c 或|x |>c (c >0)来解,如|ax b +|>c (c >0)可为ax b +>c 或ax b +<-c ;|ax b +|<c 可化为-c <ax +b <c ,再由此求出原不等式的解集。
对于含绝对值的双向不等式应化为不等式组求解,也可利用结论“a ≤|x |≤b ⇔a ≤x ≤b 或-b ≤x ≤-a ”来求解,这是种典型的转化与化归的数学思想方法。
3利用平方法去掉绝对值符号对于两边都含有“单项”绝对值的不等式,利用|x |2=2x 可在两边脱去绝对值符号来解,这样解题要比按绝对值定义去讨论脱去绝对值符号解题更为简捷,解题时还要注意不等式两边变量与参变量的取值范围,如果没有明确不等式两边均为非负数,需要进行分类讨论,只有不等式两边均为非负数(式)时,才可以直接用两边平方去掉绝对值,尤其是解含参数不等式时更必须注意这一点。
4利用零点分段法去掉绝对值符号所谓零点分段法,是指:若数1x ,2x ,……,n x 分别使含有|x -1x |,|x -2x |,……,|x -n x |的代数式中相应绝对值为零,称1x ,2x ,……,n x 为相应绝对值的零点,零点1x ,2x ,……,n x 将数轴分为m +1段,利用绝对值的意义化去绝对值符号,得到代数式在各段上的简化式,从而化为不含绝对值符号的一般不等式来解,即令每项等于零,得到的值作为讨论的分区点,然后再分区间讨论绝对值不等式,最后应求出解集的并集。
绝对值计算化简专项练习30 题(有答案)1.已知 a、 b、 c 在数轴上的地址以下列图,化简:|2a| ﹣ |a+c| ﹣|1 ﹣ b|+| ﹣ a﹣ b|2.有理数a, b, c 在数轴上的对应地址如图,化简:|a ﹣b|+|b ﹣ c|+|a ﹣ c| .3.已知 xy< 0, x<y 且 |x|=1 , |y|=2 .(1)求 x 和 y 的值;(2)求的值.4.计算: | ﹣ 5|+| ﹣10| ÷ | ﹣2| .5.当 x< 0 时,求的值.6.若 abc< 0, |a+b|=a+b ,|a| <﹣ c,求代数式的值.7.若 |3a+5|=|2a+10|,求a的值.8.已知 |m﹣ n|=n ﹣ m,且 |m|=4 , |n|=3 ,求( m+n)2的值.9. a、 b 在数轴上的地址以下列图,化简:|a|+|a﹣b|﹣|a+b|.10.有理数 a, b, c 在数轴上的地址以下列图,试化简下式:|a ﹣ c| ﹣ |a ﹣ b| ﹣ |b ﹣ c|+|2a|.11.若 |x|=3 , |y|=2 ,且 x>y,求 x﹣y 的值.12.化简: |3x+1|+|2x﹣1|.13.已知:有理数a、 b 在数轴上对应的点如图,化简|a|+|a+b|﹣|1﹣a|﹣|b+1|.200314. ++=1,求()÷(××)的值.15.( 1) |x+1|+|x2|+|x3| 的最小?(2) |x+1|+|x2|+|x3|+|x1| 的最小?(3) |x 2|+|x4|+|x6|+ ⋯ +|x 20| 的最小?16.算: | |+||+||+ ⋯ +| |17.若 a、b、 c 均整数,且|a b| 3+|c a| 2=1,求 |a c|+|c b|+|b a| 的.18.已知 a、 b、 c 三个数在数上点如,其中O原点,化 |b a| |2a b|+|a c||c| .19.求 |x 1|+|x3|+ ⋯ +|x 2003|+|x2005| 的最小.20.算:.21.算:( 1) +| | | |(2)|16|+|+36||1|22.算( 1) | 5|+|10| | 9| ;(2)|3| × | 6| | 7| ×|+2|23.算.( 1);( 2).24.若 x>0, y< 0,求: |y|+|x y+2| |y x 3| 的.25.真思虑,求以下式子的..26.当 x 取何, |x1|+|x2|+|x3|+ ⋯ +|x 2011| 获取最小,并求出最小.27.( 1)当 x 在何范,|x 1||x 2| 有最大,并求出最大.( 2)当 x 在何范, |x1| |x 2|+|x3| |x4| 有最大,并求出它的最大.( 3)代数式 |x1| |x2|+|x3| |x4|+ ⋯ +|x99| |x100| 最大是_________(直接写出果)28.:一个非数的等于它自己,数的等于它的相反数,所以,当a≥ 0 |a|=a ,依照以上完成以下各:( 1) | π |= _________;(2)算 = _________ ;(3)猜想: = _________ ,并明你的猜想.29.( 1)已知 |a2|+|b+6|=0,a+b=_________( 2)求 | 1|+||+ ⋯ +| |+|| 的.30.已知 m, n, p 足 |2m|+m=0, |n|=n , p?|p|=1 ,化 |n||m p 1|+|p+n||2n+1| .参照答案:1.解:∵ a、 c 在原点的左侧,a<﹣ 1,∴a< 0, c< 0,∴2a< 0, a+c< 0,∵ 0< b< 1,∴1﹣ b> 0,∵a<﹣ 1,∴﹣a﹣ b>0∴原式 =﹣ 2a+( a+c)﹣( 1﹣b) +(﹣ a﹣ b)=﹣ 2a+a+c﹣ 1+b﹣ a﹣ b=﹣ 2a+c﹣ 1.故答案为:﹣ 2a+c ﹣12.解:由图可知:b< 0, c>a> 0,∴a﹣ b> 0, b﹣ c< 0, a﹣ c<0,∴|a ﹣ b|+|b ﹣ c|+|a ﹣ c| ,=( a﹣ b)﹣( b﹣ c)﹣( a﹣c),=a﹣ b﹣ b+c﹣ a+c,=2c﹣ 2b3.解:( 1)∵ |x|=1 ,∴ x=±1,∵|y|=2 ,∴ y=± 2,∵x< y,∴当 x 取 1 时, y 取 2,此时与 xy < 0 矛盾,舍去;当 x 取﹣ 1 时, y 取 2,此时与 xy < 0 成立,∴x=﹣ 1, y=2;(2)∵ x=﹣ 1, y=2,∴=| ﹣ 1﹣ |+ (﹣ 1×2﹣ 1)2=| (﹣ 1) +(﹣) |+[ (﹣ 2) +(﹣ 1) ] 2=| ﹣ |+ (﹣ 3)2=+9 =104.解: | ﹣5|+| ﹣ 10| ÷ | ﹣ 2|=5+10÷ 2 =5+5 =105.解:∵ x< 0,∴|x|= ﹣ x,∴原式 ==0+=﹣6.解:∵ |a| <﹣ c,∴c< 0,∵abc< 0,∴ ab> 0,∵|a+b|=a+b ,∴ a> 0, b> 0,∴ =++=1+1﹣ 1=17.解:∵ |3a+5|=|2a+10| ,∴3a+5=2a+10 或3a+5=﹣(2a+10),解得 a=5 或 a=﹣ 38.解:∵ |m﹣ n|=n ﹣ m,∴ m﹣n≤ 0,即 m≤ n.又 |m|=4 , |n|=3 ,∴m=﹣ 4, n=3 或 m=﹣ 4, n=﹣3.∴当 m=﹣ 4, n=3 时,( m+n)2=(﹣ 1)2=1;当m=﹣ 4,n=﹣ 3 时,( m+n)2=(﹣ 7)2=499.解:∵ a< 0, b>0,∴a b< 0;又∵|a| > |b| ,∴a+b< 0;原式 = a+[ ( a b) ] [ ( a+b)] ,= a( a b) +( a+b),= a a+b+a+b,= a+2b10.解:由可知:c< a< 0<b,有 a c> 0, a b< 0, b c> 0, 2a< 0,|a c||a b||b c|+|2a|,=( a c)( b a)( b c) +( 2a),=a c b+a b+c 2a,= 2b.故答案: 2b11.解:因x> y,由|x|=3 , |y|=2 可知, x> 0,即 x=3.( 1)当 y=2 , x y=3 2=1;( 2)当 y= 2 , x y=3( 2) =5.所以 x y 的 1或 512.解:分三种情况以下:( 1)当 x<,原式 =( 3x+1)( 2x 1)= 5x;( 2)当≤ x<,原式 =( 3x+1)( 2x 1) =x+2;( 3)当 x≥ ,原式 =( 3x+1) +( 2x 1) =5x.合起来有: |3x+1|+|2x 1|= .13.解:由数可知:1> a>0, b< 1,所以原式 =a+[ ( a+b) ] ( 1 a) [ ( b+1)]=a14.解:∵ =1 或 1, =1 或 1, =1 或 1,又∵ ++=1,∴,,三个式子中必然有 2 个 1,一个 1,不如, ==1, = 1,即 a>0, b> 0, c< 0,∴|abc|= abc , |ab|=ab , |bc|=bc, |ac|=ac,∴原式 =()2003÷(××) =( 1)2003÷ 1= 115.解:( 1)∵数 x 表示的点到 1 表示的点的距离|x+1| ,到 2 表示的点的距离|x2| ,到 3 表示的点的距离|x 3| ,∴当 x=2 , |x+1|+|x2|+|x3| 的最小 3( 1) =4;( 2)当 x=1 或 x=2 , |x+1|+|x2|+|x3|+|x1| 的最小5;(3)当 x=10 或 x=12 , |x 2|+|x4|+|x6|+ ⋯ +|x 20| 的最小 =5016.解:原式 =() +() +() +⋯+()= + + +⋯ +==17.解:∵ a, b, c 均整数,且|a b| 3+|c a| 2=1,∴a、 b、 c 有两个数相等,不如 a=b,|c a|=1 ,∴c=a+1 或 c=a 1,∴|a c|=|aa 1|=1 或 |a c|=|aa+1|=1 ,∴|a c|+|cb|+|b a|=1+1=218.解:依照数可得c< b< 0< a,∴|b a| |2a b|+|a c| |c|=ab( 2a b) +a c( c)=a b 2a+b+a c+c=019.解:∵ 2005=2 ×1003 1,∴共有 1003 个数,∴ x=502× 2 1=1003 ,两的数关于|x1003| 称,此的和最小,此 |x1|+|x3|+ ⋯ +|x 2003|+|x2005|=( x 1) +( x 3)⋯ +( 1001 x) +( 1003 x) +( 1005 x) +⋯+( 2005 x)=2( 2+4+6+⋯ +1002)=2×=50300420.解:= + + +⋯ +==21.解:( 1)原式 =+=;(2)原式 =16+36 1=5122.解:( 1)原式 =5+10 9=6;(2)原式 =3× 6 7× 2=18 14 =423.解:( 1)原式 = +=;(2)原式 = +=24.解:∵ x> 0, y< 0,∴x y+2>0, y x 3< 0∴|y|+|xy+2| |y x 3|= y+ ( x y+2) +( y x 3) = y+x y+2+y x 3= y 125.解:原式 = + +==26.解: 1 2011 共有 2011 个数,最中一个1006,此最小 |x 1|+|x2|+|x3|+ ⋯ +|x2011|=|1006 1|+|10062|+|10063|+ ⋯+|10062011|=1005+1004+1003+⋯+2+1+0+1+2+3+⋯+1005|x1|+|x2|+|x3|+ ⋯ +|x2011| 获取最小,=101103027.解:( 1)∵ |x1||x2| 表示x 到1 的距离与x 到 2 的距离的差,∴ x≥ 2 有最大 2 1=1;( 2)∵ |x1||x 差的和,∴ x≥ 4 有最大2|+|x3||x1+1=2;4| 表示x 到 1 的距离与x 到 2 的距离的差与x 到3 的距离与x 到4 的距离的(3)由上可知: x≥100 |x 1| |x 2|+|x3| |x 4|+ ⋯ +|x 99| |x 100| 有最大 1× 50=50.故答案 5028.解:( 1)原式 =(π)=π ;( 2)原式 =1 + + +⋯ +=1=;( 3)原式 =1 + + +⋯ +=1=.故答案π ;;29.解:( 1)∵ |a 2|+|b+6|=0,∴a 2=0,b+6=0,∴a=2, b= 6,∴a+b=2 6= 4;(2) | 1|+| |+ ⋯+| |+| | =1 + +⋯+ +=1=.故答案: 4,30.解:由 |2m|+m=0,得: 2|m|= m,∴ m≤ 0,∴ 2m+m=0,即 m=0,∴m=0.由|n|=n ,知 n≥ 0,由p?|p|=1 ,知 p> 0,即 p2=1,且 p> 0,∴p=1,∴原式 =n |0 1 1|+|1+n||2n+1|=n2+1+n 2n 1=2。
专题06 绝对值的化简与最值问题 专项提升(精练)一、选择题1.(2022·江苏·七年级)若x a -表示数轴上x 与a 两数对应的点之间的距离,当x 取任意有理数时,代数式|6||2|x x -+-的最小值为( ) A .5B .4C .3D .22.(2021·浙江·七年级期末)1|1||3|x x x ++-+-的最小值是( ) A .5B .4C .3D .23.(2022·河南南阳·七年级期末)|x +8|+|x +1|+|x ﹣3|+|x ﹣5|的最小值等于( ) A .10B .11C .17D .214.(2022·浙江七年级期中)若不等式|4||2||1|||x x x x a -+-+-+≥,对一切实数x 都成立,则a 的取值范围是( ) A .5a <B .5a ≤C .5a ≥D .5a >5.(2022·广东·七年级课时练习)已知a ,b 两数在数轴上的位置如图所示,则代数式21a b a b -+--+的结果是( )A .21a -+B .21a -C .3D .1-6.(2022·浙江·杭州七年级期中)若2<a <3时,化简|a ﹣2|+|a ﹣3|( ) A .1B .2a ﹣5C .﹣1D .5﹣2a7.(2022·北京市初一课时练习)如果对于某一特定范围内的任意允许值,p =|1﹣2x |+|1﹣3x |+…+|1﹣9x |+|1﹣10x |的值恒为一常数,则此值为( ) A .2B .3C .4D .58.(2021·浙江·七年级期末)1|1||3|x x x ++-+-的最小值是( ) A .5B .4C .3D .29.(2022•江北区期末)设a ,b ,c 为非零实数,且|a |+a =0,|ab |=ab ,|c |﹣c =0.化简|b |﹣|a +b |﹣|c ﹣b |+|a ﹣c |的结果是( )A .b ﹣2cB .bC .b ﹣2aD .﹣2a10.(2022长郡初一月考)如果aa +bb +cc=-1,那么ab ab +bc bc +ac ac +abcabc 的值为( )A .2-B .1-C .0D .不确定二、填空题11.(2022·江苏·七年级专题练习)当式子|x +1|+|x ﹣2|取最小值时,相应的x 的取值范围是__,最小值是__.12.(2022·江苏江苏·七年级期末)若x 是有理数,则|x ﹣2|+|x ﹣4|+|x ﹣6|+|x ﹣8|+…+|x ﹣2022|的最小值是______.14.(2022·江苏常州·七年级期中)若有理数a ,b 满足ab >0,则||||||a b ab a b ab++=___. 14.(2022·浙江台州·七年级期末)对于有理数a ,b ,n ,若1a n b n -+-=,则称b 是a 关于n 的“相关数”,例如,22321-+-=,则3是2关于2的“相关数”.若1x 是x 关于1的“相关数”,2x 是1x 关于2的“相关数”,…,4x 是3x 关于4的“相关数”.则123x x x ++=______.(用含x 的式子表示) 15.(2022·浙江·七年级阶段练习)代数式|x -1|-|x +6|-5的最大值是_______. 16.(2022·山东·临沭县第三初级中学七年级阶段练习)阅读下面材料: 在数轴上5与﹣2所对的两点之间的距离:|5﹣(﹣2)|=7; 在数轴上﹣2与3所对的两点之间的距离:|﹣2﹣3|=5;在数轴上﹣8与﹣5所对的两点之间的距离:|(﹣8)﹣(﹣5)|=3 点A 、B 分别表示数a 、b ,则A 、B 两点间的距离AB =|a ﹣b|=|b ﹣a| 回答下列问题:(1)数轴上表示数x 和3的两点之间的距离表示为 ;数轴上表示数 和 的两点之间的距离表示为|x+2|;(2)七年级学习小组在数学老师指导下,对式子|x+2|+|x ﹣3|进行探究:①请在草稿纸上画出数轴,当表示数x 的点在﹣2与3之间移动时,|x ﹣3|+|x+2|的值总是一个固定的值为: .②请在草稿纸上画出数轴,要使|x ﹣3|+|x+2|=7,数轴上表示点的数x = . (3)拓展:式子|x+2|+|x ﹣3|+|x ﹣6|的最小值是 .17.(2021·北京·徐悲鸿中学七年级期中)结合数轴与绝对值的知识回答下列问题:(1)数轴上表示4和1的两点之间的距离是3;数轴上表示3-和2两点之间的距离是 ; 一般地,数轴上表示数m 和数n 的两点之间的距离等于m n -.如:数轴上数x 与5两点之间的距离等于5x -,(2)如果表示数a 和2-的两点之间的距离是3,那么=a ;(3)若数轴上表示数a 的点位于4-与2之间,则42a a ++-的值为 ; (4)当a = 时,514a a a ++-+-的值最小,最小值是 . 18.(2022·北京市第四十三中学七年级期中)(1)阅读下面材料:点A 、B 在数轴上分别表示实数a 、b , A 、B 两点之间的距离表示为AB .当A 、B 两点中有一点在原点时,不妨设点A 在原点,如图甲,AB OB b a b ===-; 当A 、B 两点都不在原点时:①如图乙,点A 、B 都在原点的右边,AB OB OA b a b a a b =-=-=-=-; ②如图丙,点A 、B 都在原点的左边,()AB OB OA b a b a a b =-=-=---=-; ③如图丁,点A 、B 在原点的两边,()AB OA OB a b a b a b =+=+=+-=-.综上,数轴上A 、B 两点之间的距离AB a b =-. (2)回答下列问题:①数轴上表示2和5的两点之间的距离是______,数轴上表示2-和5-的两点之间的距离是______,数轴上表示1和3-的两点之间的距离是______;②数轴上表示x 和1-的两点分别是点A 和B ,则A 、B 之间的距离是______,如果AB 2=,那么x =______;③当代数式x 2x 5++-取最小值时,相应的x 的取值范围是______. ④当代数式x 1x 2x 5-+++-取最小值时,相应的x 的值是______. ⑤当代数式x 5x 2--+取最大值时,相应的x 的取值范围是______.三、解答题19.(2022·浙江杭州·七年级期末)同学们都知道,|4(2)|--表示4与2-的差的绝对值,实际上也可理解为4与2-两数在数轴上所对应的两点之间的距离:问理|3|x -也可理解为x 与3两数在数轴上所对应的两点之问的距离,试探索: (1)|4(2)|--=_______.(2)找出所有符合条件的整数x ,使|4||2|6x x -++=成立,并说明理由(3)由以上探索猜想,对于任何有理数x ,|3||6|x x -+-是否有最小值?如果有,写出最小值;如果没有,说明理由.20.(2022·浙江杭州·七年级期末)阅读与写作:一个数学问题,在特定的题设下,有时其结论并不唯一,因而我们需要对这一问题进行必要的分类,将一个数学问题根据题设分为有限的若干种情况,在每一种情况中分别求解,最后再将各种情况下得到的结果进行归纳综合,这种解决问题的思维方法在数学上称为“分类讨论”例如在解方程32x +=时,我们就可以利用这种思维方式来解决.当30x +≥时,原方程可化为32x +=,解得1x =-;当30x +<时,原方程可化为32x +=-,解得5x =-.所以原方程的解是1x =-或5x =-.(1)请你用这种思维方式解方程3240x --=.(2)围绕“分类讨论”这一主题撰写一篇数学小文章,题目自拟.(要求:书写端正,字数限于100字内.)21.(2021·浙江宁波·七年级期中)如图,点A 、B 在数轴上分别表示实数a 、b ,A 、B 两点之间的距离表示为AB ,在数轴上A 、B 两点之间的距离AB =|a ﹣b |,请你利用数轴回答下列问题: (1)数轴上表示2和4两点之间的距离是 ,数轴上表示﹣1和2的两点之间的距离是 ;(2)数轴上表示x 和﹣3的两点A 、B 之间的距离AB = ,如果AB =2,则x 的值为 ; (3)|x +1|+|x +2|+|x ﹣3|+|x ﹣4|的最小值为 ; (4)|x +π|﹣|x ﹣2|的最大值为 .22.(2022·浙江杭州·七年级期末)点A 、B 在数轴上分别表示实数a 、b ,A 、B 两点之间的距离表示为AB ,在数轴上A 、B 两点之间的距离||AB a b =-.利用数轴,根据数形结合思想,回答下列问题:(1)数轴上表示2和6两点之间的距离是_______,数轴上表示1和-2的两点之间的距离为______; (2)数轴上表示x 和1两点之间的距离为________,数轴上表示x 和-3两点之同的距离为____. (3)|3|4x x ++-的最小值为_______.|1||2|34x x x x -+++-++的最小值为_____. (4)1|3|x x ---的最大值为_______.23.(2022·浙江杭州·七年级期中)点P ,Q 在数轴上分别表示的数分别为p ,q ,我们把p ,q 之差的绝对值叫做点P ,Q 之间的距离,即PQ p q =-.如图,在数轴上,点A ,B ,O ,C ,D 的位置如图所示,则312DC =-=;101CO =-=;(4)(2)22AB =---=-=.请探索下列问题:(1)计算1(4)--=____________,它表示哪两个点之间的距离?________________________. (2)点M 为数轴上一点,它所表示的数为x ,用含x 的式子表示PB =____________;当PB =2时,x =____________;当x =____________时,|x +4|+|x-1|+|x-3|的值最小.(3)|x-1|+|x-2|+|x-3|+…+|x-2018|+|x-2019|的最小值为________________________.24.(2022·河北·七年级期中)唐代著名文学家韩愈曾赋诗:“天街小雨润如酥,草色遥看近却无.”当代印度著名诗人泰戈尔在《世界上最遥远的距离》中写道:“世界上最遥远的距离,不是瞬间便无处寻觅;而是尚未相遇,便注定无法相聚.”距离是数学、天文学、物理学中的热门话题,唯有对宇宙距离进行测量,人类才能掌握世界尺度.已知P 、Q 在数轴上分别表示有理数p 、q ,P 、Q 两点的距离表示为PQ p q =-. 阅读上述材料,回答下列问题:(1)若数轴上表示x 与3的两点之间的距离是4,则x =___________. (2)当x 的取值范围是多少时,代数式23x x ++-有最小值,最小值是多少?(3)若未知数x ,y 满足()()13216x x y y -+--++=,求代数式2x y +的最大值,最小值分别是多少?25.(2022·江西吉安·七年级期中)结合数轴与绝对值的知识回答下列问题:(1)数轴上表示4和1的两点之间的距离是________;表示3-和2两点之间的距离是______;一般地,数轴上表示数m 和数n 的两点之间的距离等于m n -.如果表示数a 和2-的两点之间的距离是3,那么=a _______.(2)若数轴上表示数a 的点位于4-与2之间,求42a a ++-的值;(3)受(2)的启发,当数a 的点在图1什么位置时,52a a ++-的值最小,最小值是多少? (4)有理数a 、b 、c 在数轴上对应的位置如图2所示,试化简:b a b c a b a b ---+++-.26.(2022·广东·七年级单元测试)阅读下列两则材料:材料1:君君同学在研究数学问题时遇到一个定义:对于按固定顺序排列的k 个数:x 1,x 2,x 3,……,xk ,称为数列Ak :x 1,x 2,x 3,……,xk ,其中k 为整数且k ≥3.定义:V (Ak )=|x 1﹣x 2|+|x 2﹣x 3|+……+|xk﹣1﹣xk |.例如数列A 5:1,2,3,4,5,则V (A 5)=|1﹣2|+|2﹣3|+|3﹣4|+|4﹣5|=4.材料2:有理数a ,b 在数轴上对应的两点A ,B 之间的距离是|a ﹣b |;反之,|a ﹣b |表示有理数a ,b 在数轴上对应点A ,B 之间的距离,我们称之为绝对值的几何意义.君君同学在解方程|x ﹣1|+|x +2|=5时,利用绝对值的几何意义分析得到,该方程的左式表示在数轴上x 对应点到1和-2对应点的距离之和,而当-2≤x ≤1时,取到它的最小值3,即为1和-2对应点之间的距离.由方程右式的值为5可知,满足方程的x 对应点在1的右边或一2的左边,若x 的对应点在1的右边,利用数轴分析可以得到x =2;同理,若x 的对应点在-2的左边,可得x =﹣3;故原方程的解是x =2或x =﹣3. 根据以上材料,回答下列问题:(1)已知数列A 4:x 1,x 2,x 3,x 4,其中x 1,x 2,x 3,x 4为4个整数,且x 1=3,x 4=5,V (A 4)=4,请直接写出一种可能的数列A 4.(2)已知数列A 4:3,a ,3,a +1,若V (A 4)=3,则a 的值为 .(3)已知数列A 5:x 1,x 2,x 3,x 4,x 5,5个数均为非负整数,且x 1+x 2+x 3+x 4+x 5=a (a ≥1),求V (A 5)的最小值.27.(2022重庆·七年级阶段练习)先阅读,后探究相关的问题【阅读】|5-2|表示5与2差的绝对值,也可理解为5与2两数在数轴上所对应的两点之间的距离;|5+2|可以看作|5-(-2)|,表示5与-2的差的绝对值,也可理解为5与-2两数在数轴上所对应的两点之间的距离.(1)数轴上表示x 和-1的两点A 和B 之间的距离表示为 ,如果点A 、B 的距离为3,那么x 为 ;(2)若点A 表示的整数为x ,则当x 为 时,|x +4|与|x -2|的值相等; (3)要使代数式|x +5|+|x -2|取最小值时,相应的x 的取值范围是 ; (4)要使|x -3|+|x +2|=7,则x 的值为 .28.(2022·山东·七年级课时练习)阅读下面材料:点A 、B 在数轴上分别表示实数a 、b ,A 、B 两点之间的距离表示为||AB ,当两点中有一点在原点时,不妨设点A 在原点,如图(1)||||||||AB OB b a b ===-当A 、B 两点都不在原点时,①点A 、B 都在原点的右边,如图(2)||||||||||||AB OB OA b a b a a b =-=-=-=-;②点A 、B 都在原点的左边,如图(3)||||||||||()||AB OB OA b a b a a b =-=-=---=-;③点A 、B 在原点的两边,如图(4)||||||||||()||AB OA OB a b a b a b =+=+=+-=-;总上,数轴上A 、B 两点之间的距离||||AB a b =-.回答下列问题(1)数轴上表示2和5的两点之间的距离是_______,数轴上表示1和3-的两点之间的距离是_______. (2)数轴上表示x 和1-的两点A 和B 之间的距离是_______,如果||2AB =,那么x 为_______. (3)当代数式|1||1|x x ++-取最小值时,相应的x 的取值范围是_______.29.(2022·福建·浦城七年级期中)已知点A 、B 在数轴上分别表示a ,b .请认真观察数轴及表格再解答问题:a7 -6 -6 -6 2 -1.5 b4 0 4 -4 -10 -1.5 -a b3-6-10-212A 、B 两点间的距离36 10m n(1)表格中的m = ,n = ;(2)若AB 、两点间的距离记为d ,则d 与a 、b 间的等量关系为 ; (3)结合上述结论,并利用数轴解答下列问题:①满足到表示数4和-6的点的距离之和等于16的数为 ; ②若点C 表示的数为x ,则25x x ++-的最小值为 .30.(2022·陕西·七年级期中)结合数轴与绝对值的知识回答下列问题:(1)数轴上表示5和2的两点之间的距离是__________;表示3-和2两点之间的距离是__________; (2)如果12x +=,那么x =__________;(3)若34a -=,23b +=,且数a 、b 在数轴上表示的点分别是点A 、点B ,则A 、B 两点间的最大距离是_____,最小距离是______;(4)求代数式11x x ++-的最小值,并写出此时x 可取哪些整数值? (5)求代数式235x x x ++-+-的最小值.(6)若x 表示一个有理数,则代数式82325x x ----有最大值吗?若有,请求出最大值;若没有,请说明理由.31.(2022·四川成都·七年级期中)a ,b ,c 在数轴上的位置如图所示:(1)求a b c abc++=_______(2)a 、b 、c 在数轴上的位置如图所示,则:化简:a c a b c a +--+-; (3)求x a x b ---的最大值,并求出此时x 的范围.32.(2022·安徽安庆市·七年级期末)“分类讨论”是一种重要数学思想方法,下面是运用分类讨论的数学思想解决问题的过程,请仔细阅读,并解答题目后提出的四个问题. 例:三个有理数a ,b ,c 满足0abc >,求a b c a b c++的值.解:由题意得,a ,b ,c 三个有理数都为正数或其中一个为正数,另两个为负数. ①当a ,b ,c 都是正数,即0a >,0b >,0c >时,则:1113a b c a b ca b c a b c++=++=++=,②当a ,b ,c 有一个为正数,另两个为负数时,设0a >,0b <,0c <, 则:()()1111a b c a b c a b c a b c--++=++=+-+-=-.综上,a b c a b c ++的值为3或-1. 请根据上面的解题思路解答下面的问题:(1)已知3a =,1=b ,且a b <,求+a b 的值; (2)已知a ,b 是有理数,当0ab >时,求a b a b+的值. (3)已知a ,b ,c 是有理数,0a b c ++=,0abc <,求a b c a b c ++.。
初一年级奥数重点题型:绝对值化简求值★★★★★有理数运算、绝对值化简在有理数的范围内,我们定义三个数之间的新运算“#”法则:a#b#c=(|a-b-c|+a+b+c)/2如:(-1)#2#3=[|(-1-2-3)|+(-1)+2+3]/2=5(1)计算:3#(-2)#(-3)___________(2)计算:1#(-2)#(10/3)=_____________(3)在-6/7,-5/7。
-1/7,0,1/9,2/9。
8/9这15个数中,①任取三个数作为a、b、c的值,进行“a#b#c”运算,求所有计算结果的值__________,②若将这十五个数任意分成五组,每组三个数,进行“a#b#c”运算,得到五个不同的结果,由于分组不同,所以五个运算的结果也不同,那么五个结果之和的值是___________将a#b#c=(|a-b-c|+a+b+c)/2进行取绝对值化简。
【解析答案】(1)原式=3(2)原式=4/3(3)当a<b+c时,原式=b+c,当a≥b+c时,原式=a①令b=7/9,c=8/9时a#b#c的值为b+c=5/3②4(提示,将1/9,2/9。
8/9分别赋予b、c同时赋予a四个负数;最后一组,a=0,b、c赋予两个负数即可)★★★☆☆绝对值与平方的非负性、二元一次方程组已知:(a+b)2+|b+5|=b+5,|2a-b-1|=0,求ab的值.考察平方和绝对值的非负性,若干个非负数的和为零,则每个数都为零。
由题意知b+50,(a+b)2+b+5=b+5,即(a+b)2=0。
①2a-b-1=0。
②解得a=1/3,b=-1/3所以ab=-1/9-1/9★★★☆☆绝对值化简,零点分段法化简|3x+1|+|2__1|零点分段法,两个零点:x=-1/3,x=1/2原式=5x(x≥1/2);x+2(-1/3≤x<1/2); -5x(x<-1/3)★★★★☆有理数乘法法则、分类讨论、整体法求值已知:abc<0,a+b+c=2,且求多项式ax4+bx2+c-5的值。
绝对值化简练习题绝对值是数学中的一个重要概念,它可以帮助我们简化复杂的数学问题。
在这篇文章中,我将为大家提供一些绝对值化简的练习题,帮助大家更好地理解和掌握这个概念。
首先,让我们回顾一下绝对值的定义。
绝对值表示一个数与零的距离,无论这个数是正数还是负数。
当一个数的绝对值出现在一个等式或不等式中时,我们可以使用一些规则来简化它。
假设我们有一个绝对值表达式:|x|,其中x是一个实数。
如果x大于等于零,那么|x|就等于x本身。
如果x小于零,那么|x|就等于-x。
这个规则可以帮助我们化简一些绝对值问题。
现在,让我们来看一些具体的例子。
例题一:化简|3|。
根据定义,当一个数大于等于零时,它的绝对值就等于它本身。
因此,|3|等于3。
例题二:化简|-5|。
根据定义,当一个数小于零时,它的绝对值就等于它的相反数。
因此,|-5|等于-(-5),即5。
例题三:化简|2x|。
这个例子中,我们有一个变量x。
根据定义,当一个数大于等于零时,它的绝对值就等于它本身。
因此,当2x大于等于零时,|2x|等于2x。
当2x小于零时,|2x|等于-2x。
现在,让我们来看一些稍微复杂一点的例子。
例题四:化简|2x - 3|。
在这个例子中,我们有一个带有变量的绝对值表达式。
我们可以使用绝对值的定义来化简它。
当2x - 3大于等于零时,|2x - 3|等于2x - 3。
当2x - 3小于零时,|2x - 3|等于-(2x - 3),即-2x + 3。
例题五:化简|2x + 3| - |x - 1|。
这个例子中,我们有两个绝对值表达式相减。
我们可以分别化简这两个绝对值表达式,然后再进行相减。
对于第一个绝对值表达式2x + 3,当2x + 3大于等于零时,|2x + 3|等于2x + 3。
当2x + 3小于零时,|2x + 3|等于-(2x + 3),即-2x - 3。
对于第二个绝对值表达式x - 1,当x - 1大于等于零时,|x - 1|等于x - 1。
初一数学压轴题:绝对值化简求值
一、【考点】绝对值的代数意义、绝对值化简
【北大附中期中】
设a,b,c为实数,且化简|a|+a=0,|ab|=ab,|c|-c=0,化简|b|-|a+b|-|c-b|+|a-c|
【解析】
|a|+a=0,即|a|=-a,a≤0;
|ab|=ab,ab≥0,b≤0;
|c|-c=0,即|c|=c,c≥0
原式=-b+a+b-c+b-a+c=b
【答案】b
二、【考点】有理数运算、绝对值化简
【人大附期中】
在有理数的范围内,我们定义三个数之间的新运算“#”
法则:a#b#c=(|a-b-c|+a+b+c)/2
如:(-1)#2#3=[|(-1-2-3)|+(-1)+2+3]/2=5
(1)计算:3#(-2)#(-3)___________
(2)计算:1#(-2)#(10/3)=_____________
(3)在-6/7,-5/7……-1/7,0,1/9,2/9……8/9这15个数中,①任取三个数作为a、b、c的值,进行“a#b#c”运算,求所有计算结果的最大值__________,
②若将这十五个数任意分成五组,每组三个数,进行“a#b#c”运算,得到五个不同的结果,由于分组不同,所以五个运算的结果也不同,那么五个结果之和的最大值是___________
【分析】将a#b#c=(|a-b-c|+a+b+c)/2进行取绝对值化简。
【解析&答案】
(1)原式=3
(2)原式=4/3
(3)当a<b+c时,原式=b+c,当a≥b+c时,原式=a
①令b=7/9,c=8/9时 a#b#c的最大值为b+c=5/3
②4(提示,将1/9,2/9……8/9分别赋予b、c同时赋予a 四个负数;最后一组,a=0,b、c赋予两个负数即可)
三、【考点】绝对值与平方的非负性、二元一次方程组
【北京四中期中】
已知:(a+b)²+|b+5|=b+5,|2a-b-1|=0,求ab的值.
【分析】考察平方和绝对值的非负性,若干个非负数的和为零,则每个数都为零。
【解析】
由题意知b+5>0,(a+b)²+b+5=b+5,即(a+b)²=0……①
2a-b-1=0……②
解得a=1/3,b=-1/3
所以ab=-1/9
【答案】-1/9
四、【考点】绝对值化简,零点分段法
【北大附中期中】
化简|3x+1|+|2x-1|
【分析】零点分段法,两个零点:x=-1/3,x=1/2
【答案】原式=5x(x≥1/2);x+2(-1/3≤x<1/2); -5x(x<-1/3)。