鲁教版六年级数学下册《整式的乘除》单元测试题及答案
- 格式:doc
- 大小:157.00 KB
- 文档页数:4
整式的乘除单元测试卷一、选择题(共10小题,每小题3分,共30分)1.下列运算正确的是()A.954a a a =+B.33333a a a a =⋅⋅C.954632a a a =⨯D.()743a a =-=⎪⎭⎫ ⎝⎛-⨯⎪⎭⎫ ⎝⎛-20122012532135.2()A.1-B.1C.0D.19979.计算(a -b )(a+b )(a +b )(a -b )的结果是()A .a 8+2a 4b 4+b 8B .a 8-2a 4b 4+b 8C .a 8+b 8D .a 8-b 810.已知m m Q m P 158,11572-=-=(m 为任意实数),则P 、Q 的大小关系为() A 、Q P >B 、Q P =C 、Q P <D 、不能确定二、填空题(共6小题,每小题4分,共24分)11.设12142++mx x 是一个完全平方式,则m =_______。
12.已知51=+x x ,那么221xx +=_______。
13.方程()()()()41812523=-+--+x x x x 的解是_______。
14.已知2=+n m ,2-=mn ,则=--)1)(1(n m _______。
15.已知2a =5,2b =10,2c =50,那么a 、b 、c 之间满足的等量关系是___________.16.若622=-n m ,且3=-n m ,则=+n m .三、解答题(共8题,共66分)17计算:(本题9分)(1)()()02201214.3211π--⎪⎭⎫ ⎝⎛-+--(3)(2266m n m -18、(本题9分)(1)先化简,再求值:(2a 21=,b 19、(本题8分)如图所示,长方形ABCD 是“,且E 为AB 边的中点,CF=BC 坪,求x 2和x 3项,求m 和n 的值21=2007,求ac bc ab c b a ---++222的值。
22]y y y x y +-÷-)2())(的值,与y 的值无关。
鲁教版六年级数学下册 第六章整式的乘除单元综合测试题3(附答案)1.下列各式中,计算正确的是( )A .(-5a n +1b )·(-2a )=-10a n +2bB .(-4a 2b )·(-a 2b 2)·(12b 3c )=2a 4b 6c C .(-3xy )·(-x 2z )·6xy 2=3x 3y 3zD .(2a n b 3)(-16ab n -1)=-13a n +1b 3n -3 2.下列计算正确的是( )A .-22 =4B 3C .x (1+y )=x +xyD .(mn 2)3=mn 6 3.下列计算,结果正确的是A .824824x x x ÷=B .63311052a a a ÷=C .32266x y x y xy ÷=D .23329(3)62m n mn m -÷=- 4.下列计算正确的是( )A .a 2+a 3=a 5B .a 2•a 3=a 5C .(2a )2=4aD .(a 2)3=a 55.下列运算正确的是( )A .a 2+a 3=a 5B .a 2•a 3=a 6C .a 4÷a 2=a 2D .(a 2)4=a 66.下列计算正确的是( )A .a•a=a 2B .(﹣a )3=a 3C .(a 2)3=a 5D .a 0=1 7.(x 5)4·x 2等于( ) A .-x 7 B .x 10 C .x 9 D .x 228.要使等式(x ﹣y )2+M=(x+y )2成立,整式M 应是( )A .2xyB .4xyC .﹣4xyD .﹣2xy9.下列运算正确的是( )A .x 2+x 3=x 6B .(x 3)2=x 6C .2x+3y=5xyD .x 6÷x 3=x 2 10.下列等式正确的是( )A .x 3﹣x 2=xB .a 3÷a 3=aC .231(2)(2)2-÷-=- D .(﹣7)4÷(﹣7)2=﹣72 11.已知x y 6,xy 4,+==则22x y +的值为____________.12.若x ﹣y=8,xy=10,则x 2+y 2=________13.若多项式x 2+kx +9是一个完全平方式,则k 的值等于_________________.14.在□x 2□2x□1的空格中,任意填上“+” ,“-”,共有_____种不同的代数式,其中能构成完全平方式的有______种.15.15.已知2m =3,则4m+1=_____.16.计算:330.125(8)⨯-的结果是______.17.若x 2-4xy+4y 2=0,则x ∶y 的值为________.18.计算:(34)(2)a b a b --=____________.19.一个氧原子的直径为0.000000000148m ,用科学记数法表示为_____m .20.若225x y +=,2xy =,则2()x y -=______.21.先化简,再求值:(2a+3b )2﹣(2a+b )(2a ﹣b ),其中a=﹣3,b=﹣1.22.(1)计算:(a -b )2-a (a -2b ); (2)解方程:23x -=3x.23.先化简,再求值(a ﹣2b )2•(2b ﹣a )3÷(a ﹣2b )4﹣(2a ﹣b ),其中 a=﹣1,b=3.24.计算: (1)a (a-b )+ab ;(2)2(a 2- 3)-(2a 2 -1)25.已知长方形的长是(a+3b )米,宽是(a+2b )米.求它的周长和面积.26.化简求值:22(2)()(3)5(2)x y x y x y y x ⎡⎤+-+--÷-⎣⎦;其中x=-2;12y =-.27.(题文)整式的乘法运算(x +4)(x +m ),m 为何值时,乘积中不含x 项?m 为何值时,乘积中x 项的系数为6?你能提出哪些问题?并求出你提出问题的结论.28.计算:(1)()()212a a a ---; (2)()()()()643223x x x x -+++-;(3)()120-3--3)12π--÷-( ; (4)[(xy+2)(xy -2)-2x 2y 2+4]÷xy.29.计算:3(2x -1)(x +6)-5(x -3)(x +6).30.先化简,再求值:(1)()()()()3123654a a a a +----,其中2a =.(2)()()()2221331x x x x x x +---+-,其中15x =.参考答案1.B【解析】试题分析:同底数幂的乘法法则:底数不变,指数相加.A 、原式=a 210a b +,计算错误;B 、计算正确;C 、原式=4318x y z ,计算错误;D 、原式=n 1n 213ab ++-,计算错误,故本题选B . 2.C【解析】分析:分别利用有理数的乘方法则,算术平方根的意义,单项式乘以多项式和积的乘方运算法则化简判断即可.详解:A 、-22 =-4,故此选项错误;B 3,故此选项错误;C 、x (1+y )=x+xy ,正确;D 、(mn 2)3=m 3n 6,故此选项错误;故选C .点睛:此题主要考查了合并同类项以及单项式乘以多项式和积的乘方运算等知识,正确掌握运算法则是解题关键.3.C【解析】【分析】先根据同底数幂的除法法则和单项式除法法则计算题目中的式子,然后对题目中的选项做出正确判断即可.【详解】A 、8x 8÷2x 2=4x 6,故错误;B 、10a 6÷5a 3=2a 3,故错误;C 、6x 3y 2÷x 2y =6xy ,故正确;D 、(-3m 2n )3÷6mn 3=-27m 6n 3÷6mn 3=-92m 5,故错误;故答案选C. 【点睛】本题主要考查的是同底数幂的除法法则和单项式除法法则,解答本题的关键是:熟练掌握同底数幂的除法法则和单项式除法法则,应注意的是指数的正确计算.4.B【分析】按照合并同类项、同底数幂的乘除法运算、幂的乘方的性质进行判断即可.【详解】a 2和a 3不是同类项,不能合并,A 项错误;a 2∙a 3=a 2+3=a 5,B 项正确;(2a)2=4a 2,C 项错误;(a 2)3=a 2×3=a 6,D 项错误.故选B.【点睛】本题综合考查了整式运算的多个考点,包括合并同类项、同底数幂的乘法和除法、幂的乘方的性质,需熟练掌握并区分清楚,才不容易出错.5.C【解析】【分析】根据同底数幂的除法、乘法,合并同类项的方法,以及幂的乘方与积的乘方的运算方法,逐项判断即可.【详解】∵a 2+a 3≠a 5,∴选项A 不符合题意;∵a 2•a 3=a 5,∴选项B 不符合题意;∵a 4÷a 2=a 2,∴选项C 符合题意; ∵(a 2)4=a 8,∴选项D 不符合题意.故选C .【点睛】本题主要考查了同底数幂的除法、乘法,合并同类项的方法,以及幂的乘方与积的乘方的运算方法,要熟练掌握.6.A【解析】试题解析:A.正确.B. ()33.a a -=-故错误.C. ()326.a a =故错误. D. ()010.a a =≠故错误.7.D【解析】试题解析: ()45220222·x x x x +==,故D 项正确.故选D.点睛:根据幂的乘方法则与同底数幂的乘法法则可完成此题.8.B【解析】【分析】根据加数与和的关系得到:M=(x+y )2﹣(x ﹣y )2,对右边的式子化简即可.【详解】由题意得:M=(x+y )2﹣(x ﹣y )2=4xy .故选B .【点睛】本题考查了完全平方公式,熟练掌握公式是解题的关键.9.B【解析】分析:根据同类项、幂的乘方和同底数幂的除法计算判断即可.详解:A .x 2与x 3不是同类项,不能合并,错误;B .(x 3)2=x 6,正确;C .2x 与3y 不是同类项,不能合并,错误;D .x 6÷x 3=x 3,错误.故选B .点睛:本题考查了同类项、幂的乘方和同底数幂的除法,关键是根据法则进行计算.10.C【解析】【分析】直接利用同底数幂的乘除运算法则以及有理数的乘方运算法则分别计算得出答案.解:A、x3-x2,无法计算,故此选项错误;B、a3÷a3=1,故此选项错误;C、(-2)2÷(-2)3=-12,正确;D、(-7)4÷(-7)2=72,故此选项错误;故选C.【点睛】此题主要考查了同底数幂的乘除运算以及有理数的乘方运算,正确掌握相关运算法则是解题关键.11.28【解析】分析:根据完全平方公式(x+y)2=x2+2xy+y2,把原式变形后求值.详解:∵x+y=6,xy=4,∴x2+y2=(x+y)2−2xy=36−8=28.故本题答案为:28.点睛:本题考查了完全平方公式.12.84【解析】∵x-y=8,∴(x-y)2=64,x2-2xy+y2=64.∵xy=10,∴x2+y2=64+20=84.故答案是:84.13.±6【解析】【分析】利用完全平方公式的结构特征判断即可得到k的值.【详解】解:故答案为:±6【点睛】此题考查了完全平方式,熟练掌握完全平方公式是解本题的关键.14.8 4【解析】解:共有8种具体如下:x2±2x+1;x2±2x﹣1;﹣x2±2x+1;﹣x2±2x﹣1.其中x2±2x+1、﹣x2±2x﹣1是完全平方式.故答案为:8,4.15.36【解析】∵2m=3,∴原式=4×(2m)2=4×9=36.16.-1【解析】【分析】根据积的乘方运算进行计算即可.【详解】0.1253 ×(﹣8)3=(﹣8×0.125)3=﹣1.【点睛】此题考查了积的乘方,熟练掌握运算法则是解本题的关键.17.2【解析】【分析】将左式用配方法化成完全平方,再解出x的值,从而得到x与y的关系.【详解】x2-4xy+4y2=0,用配方法化简可得:(x-2y)2=0,解得:x-2y=0,即x=2y,所以x∶y=2y∶y=2,故答案为2.【点睛】本题主要考查了配方法的概念,如果你熟悉配方法,可以不用将y当成一个常数,即可知道上述左式是可以化成完全平方,即可轻松地得出x =2y ,从而得到答案.18.3a 2-10ab+8b 2【解析】【分析】根据整式的乘法法则计算即可.【详解】解:原式=23a 6ab -4ab -+28b =223108a ab b -+.故答案为:223108a ab b -+.【点睛】本题考查了知识点多项式乘多项式,解题关键是熟练掌握计算法则.19.1.48×10﹣10.【解析】【分析】科学记数法的表示形式为a×10n 的形式,其中1≤|a|<10,n 为整数.确定n 的值是易错点,由于0.000000000148有10个0,所以可以确定n=﹣10.【详解】解:0.000 000 000 148=1.48×10﹣10. 故答案为:1.48×10﹣10. 【点睛】此题考查科学记数法表示较小的数的方法,准确确定n 值是关键.20.1【解析】【分析】将原式展开可得222x xy y -+,代入求值即可.【详解】当225x y +=,2xy =时, ()2222222541x y x xy y x y xy -=-+=+-=-=.故答案为:1.【点睛】此题考查了完全平方公式,熟练掌握公式是解题的关键.21.12ab+10b 2;46【解析】【分析】先利用完全平方公式以及平方差公式进行展开,然后合并同类项,最后把数值代入进行计算即可得.【详解】原式=4a 2+12ab+9b 2﹣4a 2+b 2.=12ab+10b 2,当a=﹣3,b=﹣1时,原式=36+10=46.【点睛】本题考查了分式的混合运算——化简求值,熟练掌握完全平方公式以及平方差公式是解本题的关键.22.(1) b 2 (2)9【解析】分析:(1)、根据完全平方公式以及多项式的乘法计算法则将括号去掉,然后进行合并同类项即可得出答案;(2)、收下进行去分母,将其转化为整式方程,从而得出方程的解,最后需要进行验根.详解:(1) 解:原式=a 2-2ab +b 2-a 2+2ab =b 2 ;(2) 解:()233x x =-, 解得:x =9,经检验 x =9为原方程的根, 所以原方程的解为x =9.点睛:本题主要考查的是多项式的乘法以及解分式方程,属于基础题型.理解计算法则是解题的关键.分式方程最后必须要进行验根.23.12.【解析】【分析】先将原式统一变形为以(a-2b )为底的同底数幂,再利用乘除法则进行计算,最后去括号,合并同类项,代值计算即可.【详解】解:(a-2b)2•(2b-a)3÷(a-2b)4-(2a-b),=-(a-2b)5÷(a-2b)4-(2a-b),=-(a-2b)-2a+b=-3a+3b把a=-1,b=3代入得:原式=-3×(-1)+3×3=12.【点睛】此题主要考查了整式的混合运算,正确将原式变形是解题关键.24.(1)a2(2)-5【解析】试题分析:(1)直接去括号,再合并同类项;(2)去括号,再合并同类项.试题解析:解:(1)原式=a2﹣ab+ab=a2;(2)原式=2a2﹣6﹣2a2+1=﹣5.点睛:本题考查了单项式乘以多项式,单项式与多项式相乘时,应注意以下几个问题:①单项式与多项式相乘实质上是转化为单项式乘以单项式;②用单项式去乘多项式中的每一项时,不能漏乘;③注意确定积的符号.25.a2+5ab+6b2【解析】【分析】根据长方形的周长=2(长+宽),长方形的面积=长×宽,据此列式计算.【详解】周长=[(a+3b)+(a+2b)]×2=(2a+5b)×2=(4a+10b);面积=(a+3b)(a+2b)=a2+2ab+3ab+6b2=a2+5ab+6b2.【点睛】本题考查整式的加减和多项式乘多项式,解题的关键是读懂题意.26.x-y ;32-; 【解析】【分析】原式中括号中利用完全平方公式,以及多项式乘以多项式法则计算,去括号合并后利用多项式除以单项式法则计算得到最简结果,把x 与y 的值代入计算即可求出值.【详解】 ()()()()222352x y x y x y y x ⎡⎤+-+--÷-⎣⎦=()()()22222443352x xy y x xy xy y y x ⎡⎤++--+--÷-⎣⎦ =()()2222x xy x -+÷- =x y -当 x 2=-,12y =-时,原式=122⎛⎫--- ⎪⎝⎭=32- 【点睛】此题考查了整式的混合运算-化简求值,熟练掌握运算法则是解本题的关键.27.-4, 2【解析】试题分析:把式子展开,若要使乘积中不含x 项,则令含x 项的系数为零;若要使乘积中x 项的系数为6,则令含x 项的系数为6;根据展开的式子可以提出多个问题.试题解析:∵(x +4)(x +m )=x 2+mx +4x +4m若要使乘积中不含x 项,则∴4+m =0∴m =-4若要使乘积中x 项的系数为6,则∴4+m =6∴m =2提出问题为:m 为何值时,乘积中不含常数项?若要使乘积中不含常数项,则∴4m =0∴m =028.(1)1;(2)-8x 2-2x -20;(3)-8;(4)- xy .【解析】试题分析:根据整式的运算法则进行运算即可.试题解析:(1)原式22212 1.a a a a =-+-+=(2)原式222224498220.x x x x x =--+-=---(3)原式1911(),2=---÷- 102,=-+8.=-(4)原式()222242?4,x y x y xy =--+÷ 22,x y xy =-÷ xy =-.29.x 2+18x +72【解析】试题分析:根据多项式乘以多项式的法则,可表示为(a +b )(m +n )=am +an +bm +bn ,计算即可.试题解析:解:原式=3(2x 2+12x -x -6)-5(x 2+6x -3x -18)=6x 2+33x -18-5x 2-15x +90=x 2+18x +72.点睛:本题主要考查多项式乘以多项式的法则.注意不要漏项,漏字母,有同类项的要合并同类项.30.(1)22a-23,21(2)-2x+3,135【解析】(1)()()()()3123654a a a a +---- 22673629202223a a a a a =---+-=-将2a =代入得值为21; (2)()()()2221331x x x x x x +---+- 3322333323x x x x x x x =+-+--+=-+ 将15x =代入得值为135。
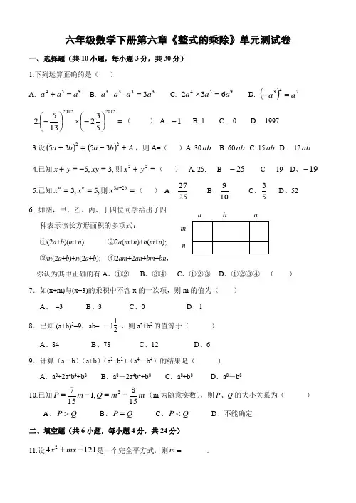
六年级数学下册第六章《整式的乘除》单元测试卷一、选择题(共10小题,每小题3分,共30分) 1.下列运算正确的是( )A. 954a a a =+ B. 33333a a a a =⋅⋅ C. 954632a a a =⨯ D. ()743a a =-=⎪⎭⎫ ⎝⎛-⨯⎪⎭⎫ ⎝⎛-20122012532135.2( ) A. 1- B. 1 C. 0 D. 19973.设()()A b a b a +-=+223535,则A=( )A. 30ab B. 60ab C. 15ab D. 12ab 4.已知,3,5=-=+xy y x 则=+22y x ( ) A. 25. B 25- C 19 D 、19-5.已知,5,3==bax x 则=-ba x23( ) A 、2527 B 、109 C 、53D 、52 6. .如图,甲、乙、丙、丁四位同学给出了四 种表示该长方形面积的多项式: ①(2a +b )(m +n ); ②2a (m +n )+b (m +n ); ③m (2a +b )+n (2a +b ); ④2am +2an +bm +bn ,你认为其中正确的有A 、①② B 、③④ C 、①②③ D 、①②③④ ( ) 7.如(x+m)与(x+3)的乘积中不含x 的一次项,则m 的值为( ) A 、 –3B 、3C 、0D 、18.已知.(a+b)2=9,ab= -112 ,则a²+b 2的值等于( )A 、84B 、78C 、12D 、6 9.计算(a -b )(a+b )(a 2+b 2)(a 4-b 4)的结果是( ) A .a 8+2a 4b 4+b 8 B .a 8-2a 4b 4+b 8 C .a 8+b 8 D .a 8-b 8 10.已知m m Q m P 158,11572-=-=(m 为随意实数),则P 、Q 的大小关系为( ) A 、Q P > B 、Q P = C 、Q P < D 、不能确定二、填空题(共6小题,每小题4分,共24分)11.设12142++mx x 是一个完全平方式,则m =_______。
鲁教版六年级数学下册《第6章整式的乘除》达标测试题一.选择题(共8小题,满分40分)1.如果多项式x2+(m﹣2)x+16是一个二项式的完全平方式,那么m的值为( )A.6B.+10C.10或﹣6D.6或﹣22.如果(2x+m)与(x+3)的乘积中不含x的一次项,那么m的值为( )A.﹣6B.﹣3C.0D.13.若x+y=﹣3,xy=1,则代数式(1+x)(1+y)的值等于( )A.﹣1B.0C.1D.24.医用外科口罩的熔喷布厚度约为0.000136米,将0.000136用科学记数法表示应为( )A.0.136×10﹣3B.1.36×10﹣3C.1.36×10﹣4D.13.6×10﹣55.若a=20210,b=2020×2022﹣20212,c=()2020×()2021,则a,b,c的大小关系是( )A.a<b<c B.b<a<c C.c<b<a D.b<c<a6.已知a+b=7,a2+b2=25,则(a﹣b)2的值为( )A.49B.25C.3D.17.已知2n=a,3n=b,12n=c,那么a,b,c之间满足的等量关系是( )A.c=ab B.c=ab2C.c=a2b D.c=a3b8.已知(2021+a)(2019+a)=b,则(2021+a)2+(2019+a)2的值为( )A.b B.4+2b C.0D.2b二.填空题(共8小题,满分40分)9.计算:(﹣6m2n3)2÷9m3n3= .10.已知2m=3,2n=5,则23m﹣2n的值是 .11.计算:(﹣a)3•(﹣a)2•(﹣a)3= .12.已知(x+3)2﹣x=1,则x的值可能是 .13.已知长方形面积为6y4﹣3x2y3+x2y2,它的一边长为3y2,则这个长方形另外一边长为 .14.计算:(1﹣)×(1﹣)×…×(1﹣)= .15.已知2×8m×16m=222,则(﹣m2)4÷(m3•m2)的值为 .16.如图,两个正方形边长分别为a、b,如果a+b=18,ab=12,则阴影部分的面积为 .三.解答题(共6小题,满分40分)17.计算:(2x﹣3y)(3x+2y)﹣(2x﹣3y)2.18.利用乘法公式计算:(1)(3+2a)(3﹣2a).(2)(﹣2m﹣1)2.(3)(x+2y﹣3)(x+2y+3).19.(1)计算:;(2)计算:(2a+5)(2a﹣5)﹣4a(a﹣2);(3)用乘法公式计算:20202﹣2019×2021;(4)已知10m=2,10n=3,求103m+2n的值.20.先化简,再求值[(a﹣2b)2+(a﹣2b)(a+2b)﹣2a(2a﹣b)]÷2a,其中,a=﹣1,.21.从边长为a的正方形中剪掉一个边长为b的正方形(如图1),然后将剩余部分拼成一个长方形(如图2).(1)上述操作能验证的等式是 ;(请选择正确的一个)A.a2﹣2ab+b2=(a﹣b)2B.b2+ab=b(a+b)C.a2﹣b2=(a+b)(a﹣b)D.a2+ab=a(a+b)(2)应用你从(1)选出的等式,完成下列各题:①已知x2﹣4y2=12,x+2y=4,求x的值.②计算:.22.数学活动课上,老师准备了图1中三种不同大小的正方形与长方形,拼成了一个如图2所示的正方形.(1)请用两种不同的方法表示图2中阴影部分的面积和.方法1: ;方法2: .(2)请你直接写出三个代数式:(a+b)2,a2+b2,ab之间的等量关系.(3)根据(2)题中的等量关系,解决如下问题:①已知m+n=5,m2+n2=20,求mn和(m﹣n)2的值;②已知(x﹣2021)2+(x﹣2023)2=34,求(x﹣2022)2的值.答案一.选择题(共8小题,满分40分)1.解:∵x2+(m﹣2)x+16是一个二项式的完全平方式,∴m﹣2=±8,∴m=10或﹣6.故选:C.2.解:(2x+m)(x+3)=2x2+6x+mx+3m=2x2+(6+m)x+3m,∵(2x+m)与(x+3)的乘积中不含x的一次项,∴6+m=0,解得:m=﹣6,故选:A.3.解:∵x+y=﹣3,xy=1,∴(1+x)(1+y)=1+y+x+xy=1﹣3+1=﹣1,故选:A.4.解:0.000136=1.36×10﹣4.故选:C.5.解:a=20210=1;b=2020×2022﹣20212=(2021﹣1)×(2021+1)﹣20212=20212﹣1﹣20212=﹣1;c=(﹣)2020×()2021=;∴b<a<c.故选:B.6.解:∵2ab=(a+b)2﹣(a2+b2)=72﹣25=49﹣25=24,∴(a﹣b)2=a2﹣2ab+b2=25﹣24=1,故选:D.7.解:∵2n=a,3n=b,∴12n=c,(4×3)n=c,4n×3n=c,(2n)2×3n=c,则a2b=c,故选:C.8.解:设2021+a=x,2019+a=y,则x﹣y=2,xy=b,原式=x2+y2=(x﹣y)2+2xy=22+2b=4+2b,故选:B.二.填空题(共8小题,满分40分)9.解:原式=36m4n6÷9m3n3=(36÷9)m4﹣3n6﹣3=4mn3,故4mn3.10.解:∵2m=3,2n=5,∴23m﹣2n=23m÷22n=33÷52=27÷25=,故.11.解:原式=﹣a3•a2•(﹣a3)=a8,故a8.12.解:当x+3=1时,解得:x=﹣2,故(x+3)2﹣x=(﹣2+3)2﹣(﹣2)=14=1;当x+3=﹣1时,解得:x=﹣4,故(x+3)2﹣x=(﹣4+3)6=1;当2﹣x=0时,解得:x=2,故(x+3)2﹣x=(2+3)0=1;综上所述,x的值可能是﹣2或﹣4或2.故﹣2或﹣4或2.13.解:长方形另一边长为:(6y4﹣3x2y3+x2y2)÷3y2=2y2﹣x2y+x2,故2y2﹣x2y+x2.14.解:原式=(1﹣)(1+)(1﹣)(1+)(1﹣)(1+)…(1﹣)(1+)=××××××…××=×=,故.15.解:∵2×8m×16m=222,∴2×(23)m×(24)m=222,∴2×23m×24m=222,∴21+3m+4m=222,∴1+3m+4m=22,解得:m=3,∴(﹣m2)4÷(m3•m2)=m8÷m5=m3=33=27,故27.16.解:阴影部分的面积为:S正方形ABCD+S正方形CEFG﹣S△ABD﹣S△BFG=====.∵a+b=18,ab=12,∴阴影部分的面积为:=144.∴阴影部分的面积为144.故144.三.解答题(共6小题,满分40分)17.解:原式=6x²+4xy﹣9xy﹣6y²﹣(4x²﹣12xy+9y²).=6x²﹣5xy﹣6y²﹣4x²+12xy﹣9y².=2x²+7xy﹣15y².18.解:(1)(3+2a)(3﹣2a)=9﹣4a2;(2)(﹣2m﹣1)2=4m2+4m+1;(3)(x+2y﹣3)(x+2y+3)=[(x+2y)﹣3][(x+2y)+3]=(x+2y)2﹣9=x2+4xy+4y2﹣9.19.解:(1)原式=1﹣16+(﹣4×)2020=1﹣16+1=﹣14;(2)原式=4a2﹣25﹣4a2+8a=8a﹣25;(3)原式=20202﹣(2020﹣1)(2020+1)=20202﹣20202+1=1;(4)∵10m=2,10n=3,∴103m+2n=103m•102n=(10m)3•(10n)2=23×32=8×9=72.20.解:[(a﹣2b)2+(a﹣2b)(a+2b)﹣2a(2a﹣b)]÷2a =(a2﹣4ab+4b2+a2﹣4b2﹣4a2+2ab)÷2a=(﹣2a2﹣2ab)÷2a=﹣a﹣b,当a=﹣1,=时,原式=﹣(﹣1)﹣=1﹣=.21.解:(1)第一个图形中阴影部分的面积是a2﹣b2,第二个图形的面积是(a+b)(a﹣b),则a2﹣b2=(a+b)(a﹣b).故选:C;(2)①∵x2﹣4y2=(x+2y)(x﹣2y),∴12=4(x﹣2y),得:x﹣2y=3,联立,①+②,得2x=7,解得:x=;②=(1﹣)(1+)(1﹣)(1+)(1﹣)(1+)…(1﹣)(1+)(1﹣)(1+)==×=.22.解:(1)阴影两部分求和为a2+b2,用总面积减去空白部分面积为(a+b)2﹣2ab,故a2+b2,(a+b)2﹣2ab;(2)由题意得,a2+b2=(a+b)2﹣2ab;(3)①由(2)题结论a2+b2=(a+b)2﹣2ab可得ab=,∴m+n=5,m2+n2=20时,mn===,(m﹣n)2=m2﹣2mn+n2;=20﹣2×=20﹣5=15;②设a=x﹣2021,b=x﹣2023,可得a+b=(x﹣2021)+(x﹣2023)=x﹣2021+x﹣2023=2x﹣4044=2(x﹣2022),由(2)题结论a2+b2=(a+b)2﹣2ab可得,(a+b)2=a2+2ab+b2,又∵(a﹣b)2=[(x﹣2021)﹣(x﹣2023)]2=22=4,且由(a﹣b)2=a2﹣2ab+b2,可得2ab=(a2+b2)﹣(a﹣b)2=(x﹣2021)2+(x﹣2023)2﹣[(x﹣2021)﹣(x﹣2023)]2=34﹣4=30,∴(x﹣2022)2=()2====16.。
鲁教版六年级数学下册 第六章整式的乘除单元综合测试题4(附答案)1.下列计算正确的是( )A .(﹣a 3)2=a 5B .﹣3a 2b +3ba 2=0C .a 2×a 3≡a 6D .(﹣3a 2b )3=a 6b 3 2.计算:(13)﹣1的值为( ) A .13 B .﹣3 C .1-3 D .33.下列运算正确的是( )A .x 2•x 3=x 5B .(x 2)3=x 5C .x 6÷x 2=x 3D .x 2+x 3=x 5 4.下列等式正确的是( )A .3412a a a •=B .347a a a --÷=C .0(2)1-=-D .437(2)8a a = 5.若(x+2)(x ﹣a )中不含x 项,那么a 的值为( )A .0B .2C .﹣2D .46.下列运算中,可以运用平方差公式的是( )A .()()22a a +--B .22b b a a ⎛⎫⎛⎫+- ⎪⎪⎝⎭⎝⎭C .()()a b a b -+-D .()()22a b a b -+ 7.用科学记数法表示﹣0.0000069为( )A .﹣69×10﹣5B .﹣690×10﹣4C .﹣6.9×10﹣6D .0.69×10﹣58.下列计算正确的是 ( )A .a m ·a 2=a 2mB .x 3·x 2·x =a 5C .a 4·a 4=2a 4D .(a +b )2n +1·(b +a )2n -1=(a +b )4n9.化简4232()a a a ⋅+的结果正确的是( )A .86a a +B .96a a +C .26aD .2(1)4(1)4x x +-++10.下列各式中能用平方差公式计算的是( )A .()(252)5x x +--B .()(1)1m m --C .()()a b a b -+-D .()()x y x y ---11.22-=_________.12.若-2x a y·(-3x 3y b )=6x 4y 5,则a =________,b =________.13.计算(12)﹣1+(23)0=_____ 14.如图所示的正方形和长方形卡片各有若干张,若要拼成一个长为(2a +b),宽为(a +b)的长方形,则需要A 类卡片____张,B 类卡片____张,C 类卡片____张.15.计算:(﹣2ab 2)3÷4a 2b 2=_____. 16.(1)(-a) 5·(-a) 4=______; (2)(-a) 4·a·(_______)=-a 10.17.计算:x 3•x 2=_____.18.计算:(x ﹣4)(x +3)=_____.19.PM2.5是指大气中直径小于或等于0.0000025m 的颗粒物,将0.0000025用科学计数法表示为________________.20.非洲猪瘟病毒,在低温暗室内存在血液中之病毒可生存六年,室温中可活数周,加热被病毒感染的血液55℃30分钟或60℃10分钟,病毒将被破坏,许多脂溶剂和消毒剂可以将其破坏.该病毒粒子的直径约为0.000000175米,用科学计数法表示数据0.00000175=_____; 21.先化简,再求值:(1)已知12a b =-=-,,求()222164232a ab a ab b ⎛⎫+-+- ⎪⎝⎭的值;(2)已知22328x xy xy y -=--=-,,求22243x xy y +-的值。
鲁教版六年级数学下册 第六章整式的乘除单元综合测试题1(附答案)1.下列关于单项式乘法的说法中,不正确的是 ( )A .单项式之积不可能是多项式B .两个非零单项式相乘,积的次数是这两个单项式次数的积C .两个非零单项式相乘,每个因式所含字母都在结果里出现D .几个单项式相乘,有一个因式为0,积一定为02.(-5b )3等于( )A .-125b 3B .125b 10C .15b 9D .125b 33.如果两个连续正偶数的平方差为36,那么这两个数是( )A .4和6B .6和8C .8和10D .10和124.下列计算正确的是( )A .a 4+a 5=a 9B .a 3•a 3•a 3=3a 3C .(﹣a 3)4=a 7D .2a 4•3a 5=6a 9 5.若二次三项式x 2+mx+14为完全平方式,则m 的值为( ) A .±2 B .2C .±1D .1 6.计算:20032()-·200212()等于( ). A .-2 B .2 C .-12 D .127.已知229x kxy y ++是一个完全平方式,则k 的值是( ).A .6B .6±C .3D .3±8.下列运算中,正确的是( )A .2x ﹣x=2B .x•x 4=2x 5C .x 2y÷y=x 2D .(﹣2x )3=﹣6x 39.若多项式2(1)31k x x +-+ 中不含 2x 项,则 k 的值为( )A .0B .1C .-1D .不确定10.下列运算正确的是( )A .224(2)2a a =B .5210()a a =C .248a a a ⋅=D .632a a a ÷= 11.填空: 2x (__________)=2x 2-6x .12.计算(3x+9)(6x+8)=________.13.315÷313=_____.14.______()231x x =+15.252(189)(3)a b a b ab -÷-=_________。
六年级数学下学期鲁教版五四制:第六章达标检测卷一、选择题(每题3分,共30分) 1.计算(-x 2y )3的结果是( )A .x 6y 3B .x 5y 3C .-x 6y 3D .-x 2y 32.下列运算正确的是( )A .x 2+x 2=x 4B .(a -b )2=a 2-b 2C .(-a 2)3=-a 6D .3a 2·2a 3=6a 63.英国曼彻斯特大学的两位科学家因为成功地从石墨中分离出石墨烯,荣获了诺贝尔物理学奖.石墨烯是目前世上最薄、最坚硬的纳米材料,同时还是导电性最好的材料,其理论厚度仅0.000 000 000 34 m ,这个数据用科学记数法可以表示为( )A .0.34×10-9mB .3.4×10-9m C .3.4×10-10m D .3.4×10-11m4.在下列计算中,不能用平方差公式计算的是( ) A .(m -n )(-m +n ) B .()x 3-y 3()x 3+y 3C .(-a -b )(a -b )D .()c 2-d 2()d 2+c 25.如果x +m 与x +3的乘积中不含x 的一次项,那么m 的值为( )A .-3B .3C .0D .16.若a =-0.32,b =(-3)-2,c =⎝ ⎛⎭⎪⎫-13-2,d =⎝ ⎛⎭⎪⎫-130,则( )A .a <b <c <dB .a <b <d <cC .a <d <c <bD .c <a <d <b7.在边长为a 的正方形中剪去一个边长为b 的小正方形(a >b ,如图①),把余下部分拼成一个长方形(如图②),根据两个图形中阴影部分的面积相等,可以验证公式( ) A .(a +b )2=a 2+2ab +b 2B .(a -b )2=a 2-2ab +b 2C .a 2-b 2=(a +b )(a -b ) D .(a +2b )(a -b )=a 2+ab -2b28.一个正方形的边长增加了2 cm ,面积相应增加了32 cm 2,则原正方形的边长为( )A .6 cmB .5 cmC .8 cmD .7 cm9.已知A =2x ,B 是多项式,在计算B +A 时,小马虎同学把B +A 看成了B ÷A ,结果得x2+12x ,则B +A =( ) A .2x 3+x 2+2x B .2x 3-x 2+2xC .2x 3+x 2-2xD .2x 3-x 2-2x10.若A =(2+1)(22+1)(24+1)(28+1)+1,则A 的末位数字是( )A .2B .4C .6D .8二、填空题(每题3分,共24分) 11.计算:(2a )3·(-3a 2)=________.12.已知a +b =32,ab =1,计算(a -2)(b -2)的结果是________.13.计算:82 021×(-0.125)2 022=________.14.若(a 2-1)0=1,则a 的取值范围是________. 15.若a +3b -2=0,则3a ·27b=________.16.已知x 2-x -1=0,则代数式-x 3+2x 2+2 018的值为__________. 17.如果()2a +2b +1()2a +2b -1=63,那么a +b 的值为________.18.用如图所示的正方形和长方形卡片若干张,拼成一个长为(2a +b ),宽为(a +b )的长方形(要求:所拼图形中,卡片之间不能重叠,不能有空隙),则需要A 类卡片、B 类卡片、C 类卡片的张数分别为________.三、解答题(第26题10分,其余每题8分,共66分) 19.计算:(1)-23+13(2 022+3)0-⎝ ⎛⎭⎪⎫-13-2; (2)992-69×71;(3)⎝ ⎛⎭⎪⎫52x 3y 3+4x 2y 2-3xy ÷(-3xy ); (4)(2x +3)(2x -3)-4x (x -1)+(x -2)2.20.先化简,再求值:(1)[(a +b )2-(a -b )2]·a ,其中a =-1,b =5;(2)(x -1)(3x +1)-(x +2)2-4,其中x 2-3x =1. 21.(1) 已知a +b =7,ab =12.求下列各式的值:①a 2-ab +b 2;②(a -b )2.(2)已知a =275,b =450,c =826,d =1615,比较a ,b ,c ,d 的大小.22.先阅读再解答问题.我们已经知道,根据几何图形的面积关系可以说明完全平方公式,实际上还有一些等式也可以用这种方式加以说明,例如(2a +b )(a +b )=2a 2+3ab +b 2,就可以用图①的面积关系来说明.(1)根据图②写出一个等式:__________________________;(2)已知等式:(x +p )(x +q )=x 2+(p +q )x +pq ,请你画出一个相应的几何图形加以说明.23.已知M =x 2+3x -a ,N =-x ,P =x 3+3x 2+5,且M ·N +P 的值与x 的取值无关,求a的值.24.如图,某校一块边长为2a m 的正方形空地是七年级四个班的清洁区,其中分给七(1)班的清洁区是一块边长为(a -2b )m 的正方形.(0<b <a2)(1)分别求出七(2)班、七(3)班的清洁区的面积.(2)七(4)班的清洁区的面积比七(1)班的清洁区的面积多多少?25.利用我们学过的知识,可以导出下面这个形式优美的等式:a 2+b 2+c 2-ab -bc -ac =12[(a -b )2+(b -c )2+(c -a )2],该等式从左到右的变形,不仅保持了结构的对称性,还体现了数学的和谐、简洁美. (1)请你检验这个等式的正确性;(2)若a =2 020,b =2 021,c =2 022,你能很快求出a 2+b 2+c 2-ab -bc -ac 的值吗?26.探索:(x -1)(x +1)=x 2-1; (x -1)(x 2+x +1)=x 3-1; (x -1)(x 3+x 2+x +1)=x 4-1; (x -1)(x 4+x 3+x 2+x +1)=x 5-1; …(1)试写出第五个等式;(2)试求26+25+24+23+22+2+1的值; (3)判断22 023+22 022+22 021+…+22+2+1的值的个位数字是几.答案一、1.C2.C 点拨:A.x 2+x 2=2x 2,错误;B.(a -b )2=a 2-2ab +b 2,错误;C.(-a 2)3=-a 6,正确;D.3a 2·2a 3=6a 5,错误.故选C. 3.C4.A 点拨:A 中m 和-m 符号相反,-n 和n 符号相反,而平方差公式中需要有一项是相同的,另一项互为相反数.5.A 点拨:(x +m )(x +3)=x 2+(3+m )x +3m ,因为乘积中不含x 的一次项,所以m +3=0.所以m =-3.故选A. 6.B 7.C 8.D9.A 点拨:由题意,得B ÷A =x 2+12x ,所以B =A ⎝ ⎛⎭⎪⎫x 2+12x =2x ⎝ ⎛⎭⎪⎫x 2+12x =2x 3+x 2,所以B+A =2x 3+x 2+2x .10.C 点拨:(2+1)(22+1)(24+1)(28+1)+1 =(2-1)(2+1)(22+1)(24+1)(28+1)+1 =(22-1)(22+1)(24+1)(28+1)+1 =(24-1)(24+1)(28+1)+1 =(28-1)(28+1)+1 =216-1+1 =216.因为216的末位数字是6,所以原式末位数字是6. 二、11.-24a 512.213.18 点拨:82 021×(-0.125)2 022=82 021×⎝ ⎛⎭⎪⎫182 022=⎝ ⎛⎭⎪⎫8×182 021×18=18. 14.a ≠±1 15.916. 2 019 点拨:由已知得x 2-x =1,所以-x 3+2x 2+2 018=-x (x 2-x )+x 2+2 018=-x +x 2+2 018=2 019.17.±4 点拨:因为()2a +2b +1()2a +2b -1=()2a +2b 2-1=63,所以2a +2b =±8.所以a +b =±4.18.2,3,1 点拨:由(2a +b )(a +b )=2a 2+3ab +b 2可知,需A 类卡片2张、B 类卡片3张、C 类卡片1张.三、19.解 :(1)原式=-8+13-9=-17+13=-503.(2)原式=(100-1)2-(70-1)×(70+1)=10 000-200+1-4 900+1=4 902. (3)原式=-56x 2y 2-43xy +1.(4)原式=4x 2-9-4x 2+4x +x 2-4x +4=x 2-5. 20.解:(1)原式=4a 2b ,当a =-1,b =5时,原式=4×(-1)2×5=20. (2)原式=2x 2-6x -9,当x 2-3x =1时,原式=2(x 2-3x )-9=2×1-9=-7.21.解:(1) ①a 2-ab +b 2=a 2+b 2-ab =(a +b )2-3ab =72-3×12=13.②(a -b )2=(a +b )2-4ab =72-4×12=1.点拨:完全平方公式常见的变形:①(a +b )2-(a -b )2=4ab ;②a 2+b 2=(a +b )2-2ab =(a -b )2+2ab .解答本题的关键是利用完全平方公式的整体变换求式子的值. (2)因为a =275,b =450=(22)50=2100,c =826=(23)26=278,d =1615=(24)15=260,100>78>75>60,所以2100>278>275>260. 所以b >c >a >d .22.解:(1)(2a +b )(a +2b )=2a 2+5ab +2b 2(2)如图.(所画图形不唯一)23.解:M ·N +P =(x 2+3x -a )(-x )+x 3+3x 2+5=-x 3-3x 2+ax +x 3+3x 2+5=ax +5. 因为M ·N +P 的值与x 的取值无关,所以a =0. 24.解:(1)因为2a -(a -2b )=a +2b ,所以七(2)班、七(3)班的清洁区的面积均为(a +2b )(a -2b )=(a 2-4b 2)(m 2). (2)因为(a +2b )2-(a -2b )2=a 2+4ab +4b 2-(a 2-4ab +4b 2)=8ab (m 2),所以七(4)班的清洁区的面积比七(1)班的清洁区的面积多8ab m 2.25.解:(1)等式右边=12(a 2-2ab +b 2+b 2-2bc +c 2+a 2-2ac +c 2)=12(2a 2+2b 2+2c 2-2ab-2bc -2ac )=a 2+b 2+c 2-ab -bc -ac =等式左边,所以等式是成立的. (2)原式=12[(2 020-2 021)2+(2 021-2 022)2+(2 022-2 020)2]=3.26.解:(1)(x -1)(x 5+x 4+x 3+x 2+x +1)=x 6-1.(2)26+25+24+23+22+2+1=(2-1)×(26+25+24+23+22+2+1)=27-1=127. (3)22 023+22 022+22 021+…+22+2+1 =(2-1)(22 023+22 022+22 021+…+22+2+1)=22 024-1.2 024÷4=506,所以22 024的个位数字是6.所以22 024-1的个位数字是5,即22 023+22 022+22 021+…+22+2+1的值的个位数字是5.。
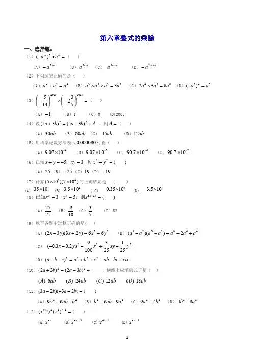
第六章整式的乘除一、选择题:(1)=∙-n m a a 5)(( )(A )ma+-5 (B )ma+5 (C ) nm a+5 (D )nm a+-5(2)下列运算正确的是( )(A )954a a a =+ (B )33333a a a a =⨯⨯ (C )954632a a a =⨯ (D )743)(a a =-(3)=⎪⎭⎫ ⎝⎛-⨯⎪⎭⎫ ⎝⎛-20032003532135( )(A )1- (B )1 (C )0 (D)2003 (4)设A b a b a +-=+22)35()35( ,则=A ( ) (A )ab 30 (B )ab 60 (C ) ab 15 (D )ab 12 (5)用科学记数方法表示0000907.0,得( )(A )41007.9-⨯ (B )51007.9-⨯ (C )6107.90-⨯ (D )7107.90-⨯ (6)已知)(3522=+=-=+y x xy y x ,则,(A )25(B )25-(C )19(D )19- (7)计算34(510)(710)⨯⨯的正确结果是 ( )(A) 73510⨯ (B) 83.510⨯ ( C). 90.3510⨯ (D). 73.510⨯ (8))(5323===-b a b a x x x ,则,已知(A )2527 (B )109(C )53 (D )52 (9)以下各题中运算正确的是( )(A )2266)23)(32(y x y x y x -=+- (B )46923232))((a a a a a a a +-=-- (C ) 2222512531009)2.03.0(y xy x y x ++=-- (D )ca bc ab c b a c b a ---++=--2222)((10)+-=+22)32()32(b a b a ,横线上应填的式子是( )ab D ab C ab B ab A 18)(12)(24)(6)((11))()23)(23(=---b a b a(A )2269b ab a -- (B )2296a ab b -- (C )2249b a - (D )2294a b - (12)=-+1221)()(n n x x( )(A)nx4 (B)34+n x(C)14+n x(D)14-n x(13)===+ba b a 2310953,,( )(A)50 (B)-5 (C)15 (D)ba +27(14)一个多项式的平方是22124m ab a ++,则=m ( )。
第六章整式的乘除一、选择题:(1)=∙-n m a a 5)(( )(A )m a +-5 (B )m a +5 (C ) n m a +5 (D )n m a +-5(2)下列运算正确的是( )(A )954a a a =+ (B )33333a a a a =⨯⨯ (C )954632a a a =⨯ (D )743)(a a =- (3)=⎪⎭⎫ ⎝⎛-⨯⎪⎭⎫ ⎝⎛-20032003532135( )(A )1- (B )1 (C )0 (D)2003(4)设A b a b a +-=+22)35()35( ,则=A ( )(A )ab 30 (B )ab 60 (C ) ab 15 (D )ab 12(5)用科学记数方法表示0000907.0,得( )(A )41007.9-⨯ (B )51007.9-⨯ (C )6107.90-⨯ (D )7107.90-⨯(6)已知)(3522=+=-=+y x xy y x ,则, (A )25(B )25-(C )19(D )19-(7)计算34(510)(710)⨯⨯的正确结果是 ( )(A) 73510⨯ (B) 83.510⨯ ( C). 90.3510⨯ (D). 73.510⨯(8))(5323===-b a b a x x x ,则,已知(A )2527 (B )109 (C )53 (D )52 (9)以下各题中运算正确的是( )(A )2266)23)(32(y x y x y x -=+- (B )46923232))((a a a a a a a +-=--(C ) 2222512531009)2.03.0(y xy x y x ++=-- (D )ca bc ab c b a c b a ---++=--2222)((10)+-=+22)32()32(b a b a ,横线上应填的式子是( ) ab D abC ab B ab A 18)(12)(24)(6)( (11))()23)(23(=---b a b a(A )2269b ab a -- (B )2296a ab b -- (C )2249b a - (D )2294a b -(12)=-+1221)()(n n x x ( )(A)n x4 (B)34+n x (C)14+n x (D)14-n x (13)===+b a b a 2310953,,( )(A)50 (B)-5 (C)15 (D)b a +27(14)一个多项式的平方是22124m ab a ++,则=m ( )。
第六章 整式的乘除综合测评(满分:100分)一、选择题(每小题3分,共30分) 1. PM2.5是指大气中直径小于或等于2.5 μm (0.000 002 5 m )的颗粒物,含有大量有毒、有害物质,也称可入肺颗粒物. 数据0.000 002 5用科学记数法可表示为 ( )A. 2.5×10-6B. -2.5×106C. 2.5×10-7D. 2.5×10-52. 若一个正方体的棱长为2×102,则该正方体的体积为 ( )A. 6×106B. 8×106C. 6×108D. 9×1063.下列计算正确的是 ( )A. a 3•a 2=a 6B. (2x 5)2=2x 10C. (-3)-2=91 D.(6×104)÷(-3×104)=0 4.若(-8x m y 3)÷(nx 2y )=-16x 3y 2,则m ,n 的值分别为 ( )A. 6,21B. 6,2C. 5,21 D. 5,2 5. 下列计算正确的是 ( )A.(x-1)(x+2)=x 2-x-2B.(x-1)(x-2)=x 2-2x+2C.(x+1)(x+2)=x 2+2x+2D.(x+1)(x-2)=x 2-x-26. 若a 2-2a-2=0,则(a-1)2的值为( )A. 1B. 2 C . 3 D. 47. 利用图1所示的两个图形的面积关系,可以验证的乘法公式是( )A.(a+b )(a-b )=a 2-b 2B. a 2-b 2=(a+b )(a-b )C.(a-b )2=a 2-2ab+b 2D.(a+b )2=a 2+2ab+b 28. 如图2,在一个长为3m+n ,宽为m+3n 的长方形地面上,四个角各有一个边长n 的正方形草坪,其中阴影部分为花坛,则花坛的面积为 ( )A. 3m 2+10mn+n 2B. 3m 2+10mn-n 2C. 3m 2+10mn+7n 2D. 3m 2+10mn-7n 29.计算(-45)2018×(-0.8)2017的结果是 ( ) A. 1 B. -1 C .-54 D. -45 10. 已知a+b=3,ab=-4,有下列结论:①(a-b )2=25;②a 2+b 2=17;③a 2+b 2+3ab=5;a 2+b 2-ab=-3,其中正确的有 ( )A. ①②③④B. 仅①②③C. 仅②③④D. 仅①③④二、填空题(每小题3分,共18分)11. 若(m-2)0无意义,则m 的值为__________.12. 【导学号47896876】计算(2×103)2×106÷1000=_________.13. 如果单项式-21x 3y a+b 与6x 2a-b y 2是同类项,则这两个单项式的积为__________.14. 已知梯形的上底长为2m+n ,高为2m ,面积为10m 2+6mn ,则梯形的下底长为_________.a c -4x 2y 8x 615. 【导学号47896974】规定一种新运算: =ac÷bd ,则 =___________ b d -2x 3 -x16. 若2x =5,2y =3,则4x-2y ×(-32)2=________.三、解答题(共52分)17.(每小题3分,共6分)用整式的乘法公式计算:(1)10012-2000;(2)5032×4931.18.(每小题4分,共8分)计算:(1)(m+1)(m-5)-m (m-6);(2)(x-y+1)(x+y-1)-6x 2y 3÷3x 2y 2.19.(8分)先化简,再求值:[(2x-y )2+(x+y )(x-y )-x (2y-x )]÷(-2x ),其中x=-1,y=-2.20.(8分)在一节数学课上,刘老师请同学心里想一个非零的有理数,然后把这个数按照下面的程序进行计算后,刘老师立刻说出计算结果.(1)小明同学心里想的数是8,列出了下面的算式,请你计算出最后的结果:[(8+2)2-(8-2)2]×(-25)÷8.(2)小明又试了几个数进行计算,发现结果都相等,于是小明把心里想的这个数记作 a (a≠0),并按照程序通过计算进行验证,请你写出这个验证过程.21.(10分)边长分别为a ,b 的两块正方形地砖按图3所示放置,其中点D ,C ,E 在同一条直线上,连接BD ,BF ,DF ,求阴影部分的面积.22.(12分)观察以下等式:(x+1)(x 2-x+1)=x 3+1;(x+3)(x 2-3x+9)=x 3+27;(x+6)(x 2-6x+36)=x 3+216;…(1)按以上等式的规律填空:(a+b )(_____________)=a 3+b 3.(2)利用多项式的乘法法则,说明(1)中的等式成立.(3)利用(1)中的公式化简:(x+y )(x 2-xy+y 2)-(x+2y )(x 2-2xy+4y 2).附加题(20分,不计入总分)24. (12分)若x 满足(9-x )(x-4)=4,求(4-x )+(x-9)2的值.解:设9-x=a ,x-4=b ,则(9-x )(x-4)=ab=4,a+b=9-x+x-4=5,所以(9-x )2+(x-4)2=a 2+b 2=(a+b )2-2ab=52-2×4=17.请仿照上面的解题思路求解下面问题:(1)若x 满足(5-x )(x-2)=2,求(5-x )2+(x-2)2的值.(2)如图4,已知正方形ABCD 的边长为x ,E ,F 分别是AD ,DC 上的点,且AE=1,CF=3,长方形EMFD 的面积是48,分别以MF ,DF 为边作正方形,求阴影部分的面积.参考答案一、1. A 2. B 3. C 4. C 5. D 6. C 7. A 8. B 9. D 10. B二、11. 2 12. 4×109 13. -3x 6y 414. 8m+5n 15. -16x 4y 16. 25三、17. 解:(1)原式=(1000+1)2-2000=10002+2000+1-2000=1 000 001. (2)原式=(50+32)(50-32)=502-(32)2=2500-94=249995.18.解:(1)(m+1)(m-5)-m (m-6)=m 2-5m+m-5-m 2+6m=2m-5.(2)(x-y+1)(x+y-1)-6x 2y 3÷3x 2y 2=[x-(y-1)][x+(y-1)]-2y=x 2-(y-1)2-2y=x 2-y 2+2y-1-2y=x 2-y 2-1.19. 解:原式=(4x 2-4xy+y 2+x 2-y 2-2xy+x 2)÷(-2x )=(6x 2-6xy )÷(-2x )=-3x+3y. 当x=-1,y=-2时,原式=-3×(-1)+3×(-2)=3-6=-3.20.解:(1)原式=(100-36)×(-25)÷8=64×(-25)÷8=-200;(2)根据题意得 [(a+2)2-(a-2)2]×(-25)÷a=8a×(-25)÷a=-200.21. 解:S 三角形BDF =S 正方形ABCD +S 正方形CEFG -S 三角形DEF -S 三角形ABD -S 三角形BGF=a 2+b 2-21DE ·EF-21AB ·AD-21GF ·BG =a 2+b 2-21(a+b )b-21a ·a-21b (b-a ) =a 2+b 2-21ab-21b 2-21a 2-21b 2+21ab =21a 2. 22. 解:(1)a 2-ab+b 2(2)(a+b )(a 2-ab+b 2)=a 3-a 2b+ab 2+ba 2-ab 2+b 3=a 3+b 3.(3)原式=(x 3+y 3)-(x 3+8y 3)=-7y 3.附加题。
六年级数学下册第六章整式的乘除章节测评考试时间:90分钟;命题人:数学教研组考生注意:1、本卷分第I 卷(选择题)和第Ⅱ卷(非选择题)两部分,满分100分,考试时间90分钟2、答卷前,考生务必用0.5毫米黑色签字笔将自己的姓名、班级填写在试卷规定位置上3、答案必须写在试卷各个题目指定区域内相应的位置,如需改动,先划掉原来的答案,然后再写上新的答案;不准使用涂改液、胶带纸、修正带,不按以上要求作答的答案无效。
第I 卷(选择题 30分)一、单选题(10小题,每小题3分,共计30分)1、下列计算中,正确的是( )A .()30.10.0001-=B .()02 6.218π-= C .()010521-⨯= D .()120212021-= 2、计算()42a a -÷,正确结果是( )A .316aB .316a -C .42a -D .32-a3、已知29x kx ++是完全平方式,则k 的值为( )A .-6B .±3C .±6D .34、若三角形的底边为2n ,高为2n ﹣1,则此三角形的面积为( )A .4n 2+2nB .4n 2﹣1C .2n 2﹣nD .2n 2﹣2n5、下列运算正确的是( )A .235x x xB .235x x x +=C .23x x x +=D .()325x x =6、纳米(nm )是非常小的长度单位,1nm 0.000000001m =.1nm 用科学记数法表示为( )A .7110m -⨯B .8110m -⨯C .91m 10-⨯D .10110m -⨯7、下列计算结果正确的是( )A .a +a 2=a 3B .2a 6÷a 2=2a 3C .2a 2•3a 3=6a 6D .(2a 3)2=4a 68、已知229x mx ++是完全平方式,则m 的值为( )A .6B .6±C .3D .3±9、下列计算正确的是 ()A .24822a a a ⋅=B .()211a a a +=+C .()327a a a ⋅=D .()3339a a -=- 10、下列计算正确的是( )A .(a +2)(a ﹣2)=a 2﹣2B .(﹣3a ﹣2)(3a ﹣2)=9a 2﹣4C .(a +2)2=a 2+2a +4D .(a ﹣8)(a ﹣1)=a 2﹣9a +8第Ⅱ卷(非选择题 70分)二、填空题(5小题,每小题4分,共计20分)1、计算:0|2|(3)π---=______.2、计算:()()2021201920201236⎛⎫-⨯-⨯-= ⎪⎝⎭______.3、我们要“远离毒品,珍惜生命”,科学研究发现某种毒品的分子直径是0.000000056米,则数字0.000000056用科学计数法表示为_________.4、若32m x y 与23n x y -是同类项,则()3223m n x y x y ⋅-=____.5、如图,两个正方形的边长分别为a ,b .若a +b =5,ab =5,则图中阴影部分的面积为_____.三、解答题(5小题,每小题10分,共计50分)1、计算:()()()()22224x y x y x y x x y -++-+-.2、计算:2(3)()()a b a b a b +-+-.3、计解:41596055⨯.4、先化简,再求值:[]26()()2()(29)()x y x y x y x y x y +--++-++,其中133x y ==-,.5、计算:(a ﹣2b )(a +2b )﹣(a ﹣2b )2+8b 2.-参考答案-一、单选题1、B【解析】【分析】根据零指数幂,负指数幂的运算法则计算各个选项后判断.【详解】解:A. ()30.11000-=,故选项A 计算错误,不符合题意; B. ()02 6.218π-=,故选项B 计算正确,符合题意;C. 10520-⨯=,原式不存在,故不符合题意;D. ()1120212021-=,故选项D 计算错误,不符合题意; 故选:B【点睛】本题主要考查了零指数幂,负指数幂运算.负指数为正指数的倒数;任何非0数的0次幂等于1.2、D【解析】【分析】根据单项式除以单项式的运算法则进行计算后即可确定正确的选项.【详解】解:原式=()4322a a a -÷=-,故选:D .【点睛】本题考查了整式的除法,了解整式除法的运算法则是解答本题的关键,难度较小.3、C【解析】【分析】根据完全平方式的特点:两数的平方和,加上或减去这两个数的乘积的2倍,即可确定k 的值.【详解】∵22293x kx x kx ++=++∴236k =±⨯=±故选:C本题考查了完全平方式,掌握完全平方式的特点是关键.注意不要忽略了k的负值.4、C【解析】【分析】根据三角形面积公式列式,然后利用单项式乘多项式的运算法则进行计算.【详解】解:三角形面积为1×2n(2n−1)=2n2-n,2故选:C.【点睛】×底×高,掌握单项式乘多项式的运算法则是本题考查单项式乘多项式的运算,理解三角形面积=12解题关键.5、A【解析】【分析】根据同底数幂的乘法、合并同类项法则及幂的乘方进行计算,再求出答案即可.【详解】解:A.235x x x,故本选项符合题意;B.x2与x3不是同类项,不能合并,故本选项不符合题意;C.x2与x不是同类项,不能合并,故本选项不符合题意;D.()326=,故本选项不符合题意;x x【点睛】本题考查了同底数幂的乘法、合并同类项法则及幂的乘方等知识点,能熟记相应的运算法则和性质是解答此题的关键.6、C【解析】【分析】根据科学记数法的特点即可求解.【详解】解:91nm 0.000000001=110m -=⨯.故选:C【点睛】本题考查了用科学记数法表示绝对值小于1的数,绝对值小于1的数用科学记数法可以写为10n a -⨯的形式,其中1≤|a |<10,n 为正整数,n 的值为从第一个不为0的数向左数所有0的个数,熟知科学记数法的形式并准确确定a 、n 的值是解题关键.7、D【解析】【分析】根据合并同类项,同底数幂的除法,单项式乘以单项式,积的乘方法则逐项分析即可.【详解】解:A. a 与a 2不是同类项,不能合并,故不正确;B. 2a 6÷a 2=2a 4,故不正确;C. 2a 2•3a 3=6a 5,故不正确;D. (2a 3)2=4a 6,正确;故选D.【点睛】本题考查了合并同类项,同底数幂的除法,单项式乘以单项式,积的乘方运算,熟练掌握运算法则是解答本题的关键.8、D【解析】【分析】根据完全平方公式的特点即可求解.【详解】解:已知229x mx ++是完全平方式,3m ∴=或3m =-,故选:D .【点睛】本题考查了完全平方公式,注意符合条件的答案有两个,以防漏掉.9、C【解析】【分析】根据幂的乘方、积的乘方、单项式乘单项式、单项式乘多项式等知识,即可完成.【详解】A 、62422a a a ⋅=,故计算错误;B 、2(1)a a a a +=+,故计算错误;C 、2367()a a a a a ==,故计算正确;D 、33()327a a =--,故计算错误.故选:C【点睛】本题考查了幂的运算及整式的乘法,熟练掌握它们的运算法则是关键,但在单项式乘多项式中,千万不要漏乘.10、D【解析】【分析】直接利用平方差公式以及完全平方公式、多项式乘多项式分别计算,进而判断得出答案.【详解】解:A .(a +2)(a ﹣2)=a 2﹣4,故此选项不合题意;B .(﹣3a ﹣2)(3a ﹣2)=4﹣9a 2,故此选项不合题意;C .(a +2)2=a 2+4a +4,故此选项不合题意;D .(a ﹣8)(a ﹣1)=a 2﹣9a +8,故此选项符合题意.故选:D .【点睛】此题主要考查了乘法公式和多项式相乘,正确运用乘法公式计算是解题关键.二、填空题1、1【解析】【分析】化简绝对值,进行0指数幂运算,然后进行减法运算即可【详解】解:原式=2-1=1故答案为:1.【点睛】本题考查了绝对值的化简,零指数幂,有理数的加减,熟练掌握零指数幂,准确进行绝对值的化简是解题的关键.2、112【解析】【分析】根据同底数幂相乘的逆运算将()20212020136⎛⎫-⨯- ⎪⎝⎭写成()201920192113(3)()66⎛⎫-⨯-⨯-⨯- ⎪⎝⎭, 再根据积的乘方逆运算及乘法法则解答.【详解】解:原式=()()20192019201921123(3)()66⎛⎫-⨯-⨯-⨯-⨯- ⎪⎝⎭ =()()201921123(3)()66⎡⎤⎛⎫-⨯-⨯-⨯-⨯- ⎪⎢⎥⎝⎭⎣⎦ =11(3)36-⨯-⨯=112. 故答案为:112.【点睛】此题考查了有理数的乘法计算,正确掌握同底数幂乘法法则的逆运算及积的乘方逆运算及乘法法则是解题的关键.3、5.6⨯10-8【解析】【分析】科学记数法的表现形式为10n a ⨯的形式,其中110a ≤<,n 为整数,确定n 的值时,要看把原数变成a 时,小数点移动了多少位,n 的绝对值与小数点移动的位数相同,当原数绝对值大于等于10时,n 是正数,当原数绝对值小于1时n 是负数;由此进行求解即可得到答案.【详解】解:数字0.000000056用科学记数法表示为85.610-⨯;故答案为85.610-⨯.【点睛】本题主要考查科学记数法,熟练掌握科学记数法是解题的关键.4、646x y -【解析】【分析】由同类项的定义可得n =3,m =2,由单项式乘法法则计算即可得()3264236m n x y x y x y ⋅-=-.【详解】∵由32m x y 与23n x y -是同类项∴n =3,m =2则()3232642366m n n m x y x y x y x y ++⋅-=-=-故答案为:646x y -【点睛】本题考查了同类项的定义以及单项式乘单项式的法则,这类题主要是根据同类项的定义:所含字母相同,并且相同字母的指数也分别相等的项叫做同类项.并建立方程(组)来解决问题,注意字母的顺序可能有变化.单项式乘单项式,把它们的系数、同底数幂分别向乘,对于只在一个单项式里含有的字母,则连同它的指数作为积的一个因事.5、2.5##52##122【解析】【分析】 先利用阴影部分的面积等于大的正方形的面积的一半减去三个三角形的面积得到阴影面积为:221122a ab b -+,再利用完全平方公式的变形求解面积即可. 【详解】 解: 两个正方形的边长分别为a ,b ,221111=2222S a b b a b b a b 阴影 2222111111222222a b ab b ab b 221122a ab b a +b =5,ab =5, 22211=2422S a ab b a b ab 阴影2115455 2.522故答案为:2.5【点睛】本题考查的是完全平方公式在几何图形中的应用,利用完全平方公式的变形求解代数式的值,掌握“()()224a b a b ab -=+-”是解本题的关键.三、解答题1、238-x xy【解析】【分析】根据完全平方公式、平方差公式及单项式与多项式的乘法法则逐个运算,最后合并同类项即可.【详解】解:原式22222=4444-++-+-x xy y x y x xy 2=38-x xy .【点睛】本题考查了完全平方公式、平方差公式及多项式的乘法法则,属于基础题,计算过程中细心即可. 2、22862a ab b ++【解析】【分析】根据完全平方公式及平方差公式,然后再合并同类项即可.【详解】解:原式222296()=++--a ab b a b222296+=++-a ab b a b 22862a ab b =++.【点睛】本题考查了完全平方公式及平方差公式,属于基础题,计算过程中细心即可.3、24359925【解析】【分析】 把原式化为11(60)(60)55-⨯+,然后根据平方差公式计算即可.【详解】 解:原式11(60)(60)55=-⨯+22160()5=- 1360025=- 24359925=. 【点睛】此题考查的是平方差公式,掌握平方差公式的公式结构是解决此题关键.4、﹣xy ﹣y 2,﹣8【解析】【分析】根据平方差公式,完全平方公式,多项式乘以多项式运算法则化简题目中的式子,然后将x 、y 的值代入化简后的式子即可解答本题.【详解】解:[]26()()2()(29)()x y x y x y x y x y +--++-++, =2222226()4(2)2299x y x xy y x xy xy y --++--++,=222222664842299x y x xy y x xy xy y ------++,=﹣xy ﹣y 2, 当133x y ==-,时,原式=()133-⨯--(﹣3)2=﹣8. 【点睛】本题考查整式的混合运算-化简求值,解答本题的关键是熟记乘法公式整式的化简求值的方法. 5、4ab【解析】【分析】根据整式的乘法公式及运算法则化简,合并即可求解.【详解】(a ﹣2b )(a +2b )﹣(a ﹣2b )2+8b 2=a 2-4b 2-a 2+4ab -4b 2+8b 2=4ab .【点睛】此题主要考查整式的乘法运算,解题的关键是熟知其运算法则及运算公式.。
鲁教版(五四制)(2012)六年级下册数学第六章整式的乘除单元检测附答案姓名:__________ 班级:__________一、单选题(共10题)1.下列各式中,能用平方差公式计算的是( )A. (-a-b)(a+b)B. (-a-b)(a-b)C. (-a+b-c)(-a+b-c)D. (-a+b)(a-b)2.(-5a2+4b2)(_______)=25a4 -16b4括号内应填( )A. 5a2+4b2B. 5a2-4b2C. -5a2+4b2D. -5a2-4b23.若4x2+(k-1)x+25是一个完全平方式,则常数k的值为()A. 11B. 21C. -19D. 21或-194.已知+m = 3,则的值是()A. 9B. 7C. 5D. 35.已知则的值为()A. 1B. 2C. 3D. 276.(-5x2 + 4 y2 )(5x2 - 4 y2 ) 运算的结果是()A. -25x4-16 y4B. -25x4 +40x2 y2 -16 y4C. 25x4-16 y4D. 25x4 - 40x2 y2 +16 y47.若,则的值为( )A. 4B. 5C. 6D. 78.如图,正方体的每一面上都有一个正整数,已知相对的两个面上两数之和都相等,如果,,对面的数字为,,,则的值为()A. B. C. D.9.已知a-b=1,a2+b2=25,则a+b 的值为()A. 7B. -7C. ±9D. ±710.如图所示,在边长为a 的正方形中挖去一个边长为b 的小正方形(a > b) ,再把剩余的部分剪拼成一个矩形,通过计算图形(阴影部分)的面积,验证了一个等式是()A. a2 - b2= (a + b)(a - b)B. (a + b) 2= a2 + 2ab + b2C. (a - b) 2= a2 - 2ab + b2D. (a + 2b)(a - b) = a2 + ab - 2b2二、填空题(共5题)11.(-2m+3)(________)=4m2-912.计算:(x+2)2﹣(x﹣1)(x+1)=________.13.(π-3.14)0=________。
鲁教版(五四制)六年级下册单元评价检测第六章(45分钟 100分)一、选择题(每小题4分,共28分)1.下列计算正确的是( )(A)2a+3b=5ab(B)(x+2)2=x 2+4 (C)(ab 3)2=ab 6(D)(-1)0=1 2.计算:2-2=( ) (A)14 (B)2 (C)14- (D)43.下列运算不正确的是( )(A)a 5+a 5=2a 5(B)(-3b 2c 3)2=-9b 4c 6 (C)2a 2·a -1=2a (D)(2a 3-a 2)÷a 2=2a-14.若关于x 的积(x-m)(x+6)中常数项为12,则m 的值为( )(A)2(B)-2 (C)6 (D)-6 5.(112-)2 013×(23)2 013等于( )(A)1 (B)-1 (C)94- (D)49- 6.若x 2+mx-15=(x+3)(x+n),则m 的值为( )(A)-5 (B)5 (C)-2 (D)27.现规定一种运算:a*b=ab+a-b,其中a,b 为实数,则a*b+(b-a)*b 等于( )(A)a 2-b (B)b 2-b (C)b 2 (D)b 2-a二、填空题(每小题5分,共25分)8.微电子技术的不断进步,使半导体材料的精细加工尺寸大幅度缩小.某种电子元件的面积大约为0.000 000 53平方毫米,用科学记数法表示为________平方毫米.9.已知(9n)2=38,则n=________.10.要使(ax2-3x)(x2-2x-1)的展开式中不含x3项,则a=________.11.已知(x-ay)(x+ay)=x2-16y2,那么a=________.12.如图,第(1)个图有2个相同的小正方形,第(2)个图有6个相同的小正方形,第(3)个图有12个相同的小正方形,第(4)个图有20个相同的小正方形,……,按此规律,那么第(n)个图有________个相同的小正方形.三、解答题(共47分)13.(10分)计算:(1)(-2x+5)(-5-2x)-(x-1)2.(2)[-6a3x4-(3a2x3)2]÷(-3ax2).14.(12分)先化简,再求值:3(2a-b)2-3a(4a-3b)+(2a+b)(2a-b)-b(a+b),其中a=1,b=2.15.(12分)在一次联欢会上,节目主持人让大家做一个猜数的游戏,游戏的规则是:主持人让观众每人在心里想好一个除0以外的数,然后按以下顺序计算:(1)把这个数加上2后平方.(2)然后再减去4.(3)再除以原来所想的那个数,得到一个商.最后把你所得到的商是多少告诉主持人,主持人便立即知道你原来所想的数是多少,你能解释其中的奥妙吗?16.(13分)新知识一般有两类:第一类是不依赖于其他知识的新知识,如“数”“字母表示数”这样的初始性的知识;第二类是在某些旧知识的基础上进行联系、推广等方式产生的知识,大多数知识是这样的知识.(1)多项式乘以多项式的法则,是第几类知识?(2)在多项式乘以多项式之前,你已拥有的有关知识是哪些?(写出三条即可)(3)请你用已拥有的有关知识,通过数和形两个方面说明多项式乘以多项式的法则是如何获得的?(用(a+b)(c+d)来说明)答案解析1.【解析】选D.选项A 不是同类项,不能合并;选项B 中乘法公式应用错误;选项C 应为a 2b 6,错误;选项D 正确.2.【解析】选A.2-2=212=14. 3.【解析】选B.(-3b 2c 3)2=-9b 4c 6.4.【解析】选B.(x-m)(x+6)=x 2+6x-mx-6m=x 2+(6-m)x-6m,得-6m=12,m=-2.5.【解析】选B.原式=(32-)2 013×(23)2 013=(32-×23)2 013=-1.6.【解析】选C.因为(x+3)(x+n)=x 2+(3+n)x+3n,所以3n=-15,n=-5;3+n=m,即m=3-5=-2.7.【解析】选B.a*b+(b-a)*b=ab+a-b+(b-a)b+(b-a)-b=ab+a-b+b 2-ab+b-a-b=b 2-b.8.【解析】0.000 000 53=5.3×10-7答案:5.3×10-79.【解析】因为(9n )2=92n =(32)2n =34n ,所以4n=8,n=2.答案:210.【解析】原式=ax 4-2ax 3-ax 2-3x 3+6x 2+3x=ax 4-(2a+3)x 3-(a-6)x 2+3x,因为展开式中不含x3项,所以2a+3=0,a=3-.2答案:3-211.【解析】因为(x-ay)(x+ay)=x2-a2y2,所以a2=16,a=±4.答案:±412.【解析】第(1)个图有2个相同的小正方形,而2=1×2;第(2)个图有6个相同的小正方形,而6=2×3;第(3)个图有12个相同的小正方形,而12=3×4;第(4)个图有20个相同的小正方形,而20=4×5;……所以第(n)个图有(n2+n)个相同的小正方形.答案:(n2+n)13.【解析】(1)(-2x+5)(-5-2x)-(x-1)2=(-2x+5)(-2x-5)-(x-1)2=4x2-25-(x2-2x+1)=4x2-25-x2+2x-1=3x2+2x-26.(2)[-6a3x4-(3a2x3)2]÷(-3ax2)=(-6a3x4-9a4x6)÷(-3ax2)=-6a3x4÷(-3ax2)-9a4x6÷(-3ax2)=2a2x2+3a3x4.14.【解析】3(2a-b)2-3a(4a-3b)+(2a+b)(2a-b)-b(a+b)=3(4a2-4ab+b2)-(12a2-9ab)+(4a2-b2)-(ab+b2)=12a2-12ab+3b2-12a2+9ab+4a2-b2-ab-b2=4 a2-4ab+b2,当a=1,b=2时,原式=4×12-4×1×2+22=0.15.【解析】设这个数为x,据题意得,[(x+2)2-4]÷x=(x2+4x+4-4)÷4=x+4.如果把这个商告诉主持人,主持人只需减去4就知道这个数是多少. 16.【解析】(1)是第二类知识.(2)单项式乘以多项式(分配律)、字母表示数、数可以表示线段的长或图形的面积等.(3)用数来说明:(a+b)(c+d)=(a+b)c+(a+b)d=ac+bc+ad+bd.用形来说明:如图,边长分别为a+b和c+d的矩形,分割前后的面积相等,即(a+b)(c+d)=ac+bc+ad+bd.。
第六章单元检测一、选择题(每小题4分,共28分)1.(2014·黔南州中考)下列计算错误的是( )A. a·a2=a3B. a2b-ab2=ab(a-b)C.2m+3n=5mnD.(x2)3=x6【解析】选C.A、a·a2=a3,故A选项正确;B、a2b-ab2=ab(a-b),故B选项正确;C、2m和3n不是同类项,故C选项错误;D、(x2)3=x6,故D选项正确.故选C.2.(2014·衢州中考)下列式子运算正确的是( )A.a8÷a2=a6B.a2+a3=a5C.(a+1)2=a2+1D.3a2-2a2=1【解析】选A.选项B不能合并;选项C的结果是a2+2a+1;选项D的结果是a2.3.(2014·包头中考)下列计算正确的是( )A.(-1)-1=1B.(-1)0=0C.|-1|=-1D.-(-1)2=-1【解析】选D.因为(-1)-1==-1;(-1)0=1;|-1|=1,-(-1)2=-1.故选项D正确.4.(2014·盘锦中考)病理学家研究发现,甲型H7N9病毒的直径约为0.000 15毫米,0.000 15用科学记数法表示为( )A.1.5×10-4B.1.5×10-5C.0.15×10-3D.1.5×10-3【解析】选A.0.000 15=1.5×10-4.5.下列计算27a8÷a3÷9a2的顺序不正确的是( )A.a8-3-2B.÷9a2C.27a8÷D.(27a8÷9a2)÷a3【解析】选C.同级运算,应从左到右的顺序进行.6.已知被除式是x3+2x2-1,商式是x,余式是-1,则除式是( )A.x2+3x-1B.x2+2xC.x2-1D.x2-3x+1【解析】选B.由“除式=(被除式-余式)÷商式”得:[(x3+2x2-1)-(-1)]÷x=(x3+2x2)÷x=x2+2x.7.计算×1.52015×(-1)2016的结果是( )A. B. C.- D.-【解析】选A.原式=××1.52015×(-1)2016=××(-1)2016=×1×1=.二、填空题(每小题5分,共25分)8.若3n=2,3m=5,则32n-m= .【解析】由同底数幂的除法法则可知,32n-m=32n÷3m=(3n)2÷3m=22÷5=.答案:9.(2014·淮安中考)若m2-2m-1=0,则代数式2m2-4m+3的值为.【解析】因为m2-2m-1=0,所以m2-2m=1,所以2(m2-2m)=2,即2m2-4m=2,所以2m2-4m+3=2+3=5.答案:510.小亮与小明在做游戏,两人各报一个整式,两整式相除的商式必须是2xy,若小明报的被除式是x3y-2xy2,则小亮报的一个整式是.【解析】(x3y-2xy2)÷2xy=x2-y.答案:x2-y11.要使(ax2-3x)(x2-2x-1)的展开式中不含x3项,则a= .【解析】原式=ax4-2ax3-ax2-3x3+6x2+3x=ax4-(2a+3)x3-(a-6)x2+3x,因为展开式中不含x3项,所以2a+3=0,a=-.答案:-12.(2014·宁波中考)一个大正方形和四个全等的小正方形按图①、②两种方式摆放,则图②的大正方形中,未被小正方形覆盖部分的面积是(用a,b 的代数式表示).【解析】设大正方形的边长为x,小正方形的边长为y,则x+2y=a,x-2y=b,图②的大正方形中,未被小正方形覆盖部分的面积是x2-4y2,又(x+2y)(x-2y)=x2-4y2,所以x2-4y2=(x+2y)(x-2y)=ab.答案:ab三、解答题(共47分)13.(15分)计算:(1)(2014·常州中考)x(x-1)+(1-x)(1+x).(2)(2014·无锡中考)(x+1)(x-1)-(x-2)2.(3)[-6a3x4-(3a2x3)2]÷(-3ax2).【解析】(1)原式=x2-x+1-x2=1-x.(2)原式=x2-1-x2+4x-4=4x-5.(3)[-6a3x4-(3a2x3)2]÷(-3ax2)=(-6a3x4-9a4x6)÷(-3ax2)=-6a3x4÷(-3ax2)-9a4x6÷(-3ax2)=2a2x2+3a3x4.14.(10分)(2014·盐城中考)先化简,再求值:(a+2b)2+(b+a)(b-a),其中a=-1,b=2.【解析】(a+2b)2+(b+a)(b-a)=a2+4ab+4b2+b2-a2=4ab+5b2,当a=-1,b=2时,原式=4×(-1)×2+5×22=12.15.(11分)在一次联欢会上,节目主持人让大家做一个猜数的游戏,游戏的规则是:主持人让观众每人在心里想好一个除0以外的数,然后按以下顺序计算:(1)把这个数加上2后平方.(2)然后再减去4.(3)再除以原来所想的那个数,得到一个商.最后把你所得到的商是多少告诉主持人,主持人便立即知道你原来所想的数是多少,你能解释其中的奥妙吗?【解析】设这个数为x,据题意得,[(x+2)2-4]÷x=(x2+4x+4-4)÷4=x+4.如果把这个商告诉主持人,主持人只需减去4就知道这个数是多少.16.(11分)小丽在解答:“先化简,再求值:(x+y)(x-y)+(x-y)2-(6x2y-3xy2)÷3y,其中x=-2,y=3.”时,误把“x=-2,y=3”抄成了“x=2,y=-3”,但她的计算结果也是正确的,请你解释这是怎么回事.【解析】原式=x2-y2+x2-2xy+y2-2x2+xy=-xy,因为-(-2)×3与-2×(-3)的结果相同,所以把“x=-2,y=3”抄成“x=2,y=-3”计算结果也是正确的.。
鲁教版(五四制)六年级数学下册第六章《整式的乘除》单元测试题(含答案)1.下列运算正确的是()A。
a2a3=a6B。
a2a=aC。
a23=a62.若am=2,an=3,ap=5,则a2m+n-p的值是()A。
2.4B。
2C。
13.计算(2a2)3的结果是()A。
2a6B。
6a6C。
8a64.若(x m)(x1)的计算结果中不含x的一次项,则m的值是()A。
1B。
-1C。
25.若长方形面积是2a2﹣2ab+6a,一边长为2a,则这个长方形的周长是()A。
6a﹣2b+6B。
2a﹣2b+6C。
6a﹣2b6.若x2-kxy+9y2是一个完全平方式,则k值为()A。
3B。
6C。
±67.计算(a2)3+a2·a3-a2÷a-3的结果是() A。
2a5-aB。
2a5-1/aC。
a58.下列能用平方差公式计算的是()A。
(a+b)(a-b)B。
(a+b)2C。
(a-b)29.下列各式运算结果为x8的是()A。
___B。
(x4)4C。
x16÷x210.已知x y3,则2x2y的值是()A。
6B。
-6C。
1/811.雾霾天气时,宽空气中漂浮着大量的粉尘颗粒,若某各粉尘颗粒直径约为0.xxxxxxx米,则0.xxxxxxx用科学计数法表示为()A。
6.510 5B。
6.510 6C。
6.510712.若(2x3y)(mx ny)9y24x2,则m,n值为() A。
m2,n 3B。
m2,n 3C。
m2,n 3(1)1解:(1)1答案:(1) 4x;(2) 1/2;(3) 7/8;(4) 25/81.使用乘法公式计算:$(\pi-3)+(-2)(2)=\pi-7$2.化简求值:$(2x+y)^2-(2x-y)(x+y)-2(x-2y)(x+2y)$,其中$x=y=-2$。
代入得:$(2(-2)+(-2))^2-(2(-2)-(-2))(-2+(-2))-2((-2)-2(-2))((-2)+2(-2))=-3$3.计算:$23\div(-2a)$4.化简:$(2x-y)(2x+y)-3x(x-y)^2=4x^2-y^2-3x^3+6x^2y-3xy^2$5.空缺,无法回答6.空缺,无法回答7.空缺,无法回答8.求$a^2+b^2$,已知$a+b=7$,$ab=12$。
六年级数学下册第六章《整式的乘除》单元测试卷
一、选择题(共10小题,每小题3分,共30分) 1.下列运算正确的是( )
A. 954a a a =+
B. 33333a a a a =⋅⋅
C. 954632a a a =⨯
D. ()74
3a a =-
=⎪
⎭⎫ ⎝
⎛
-⨯⎪⎭
⎫ ⎝⎛-2012
2012
532135.2( ) A. 1- B. 1 C. 0 D. 1997
3.设()()A b a b a +-=+223535,则A=( )A. 30ab B. 60ab C. 15ab D. 12ab
4.已知,3,5=-=+xy y x 则=+22y x ( ) A. 2
5. B 25- C 19 D 、
19-
5.已知,5,3==b a x x 则=-b a x 23( ) A 、
2527 B 、109 C 、5
3
D 、52 6. .如图,甲、乙、丙、丁四位同学给出了四
种表示该长方形面积的多项式:
①(2a +b )(m +n ); ②2a (m +n )+b (m +
③m (2a +b )+n (2a +b ); ④2am +2an +bm +bn ,
你认为其中正确的有A 、①② B 、③④ C 、①②③ D 、①②③④
( )
7.如(x+m)与(x+3)的乘积中不含x 的一次项,则m 的值为( )
A 、 –3
B 、3
C 、0
D 、1
8.已知.(a+b)2=9,ab= -11
2
,则a²+b 2的值等于( )
A 、84
B 、78
C 、12
D 、6 9.计算(a -b )(a+b )(a 2+b 2)(a 4-b 4)的结果是( )
m
D
A .a 8+2a 4b 4+b 8
B .a 8-2a 4b 4+b 8
C .a 8+b 8
D .a 8-b 8
10.已知m
m Q m P 15
8
,11572-=-=
(m 为任意实数),则P 、Q 的大小关系为( ) A 、Q P > B 、Q P = C 、Q P < D 、不能确定 二、填空题(共6小题,每小题4分,共24分) 11.设12142++mx x 是一个完全平方式,则m =_______。
12.已知51
=+
x x ,那么221x
x +=_______。
13.方程()()()()41812523=-+--+x x x x 的解是_______。
14.已知2=+n m ,2-=mn ,则=--)1)(1(n m _______。
15.已知2a =5,2b =10,2c =50,那么a 、b 、c 之间满足的等量关系是___________. 16.若622=-n m ,且3=-n m ,则=+n m . 三、解答题(共8题,共66分) 17计算:(本题9分) (1)()
()
2
2012
14.3211π--⎪⎭
⎫ ⎝⎛-+-- (2)
()()()()2
3
3
2
3
2222x y x xy y x ÷-+-⋅
18、(本题9分)(1)先化简,再求值:()()()()221112++++-+--a b a b a b a ,其中2
1
=
a ,2-=
b 。
19.(本题8分)如图所示,长方形ABCD 是“阳光小区”内一块空地,已知
AB=2a ,BC=3b ,且E 为AB 边的中点,CF=1
3 BC ,
现打
算在阴影部分种植一片草坪,求这片草坪的面积。
20、(本题8分)若(x 2+mx-8) (x 2-3x+n)的展开式中不含x 2和x 3
项,求m 和n 的值
21、(本题8分)若a =2005,b =2006,c =2007,求ac bc ab c b a ---++222的值。
22、(本题8分).说明代数式[]y y y x y x y x +-÷-+--)2())(()(2的值,与y 的值无关。
23、(本题8分)如图,某市有一块长为(3a+b )米,宽为(2a+b )米的长方形 地块,•规划部门计划将阴影部分进行绿化,中间将修建一座雕像,则绿化的面
积是多少平方米?•并求出当a=3,b=2时的绿化面积.
24、(本题8分)某城市为了鼓励居民节约用水,对自来水用户按如下标准收费:若每月每户用水不超过a 吨,每吨m 元;若超过a 吨,则超过的部分以每吨2m 元计算.•现有一居民本月用水x 吨,则应交水费多少元?
参考答案
一、选择题
二、填空题
11. 44± 12. 23 13. 14
11
-=x 14. -3 15. a+b=c 16. 2
三、解答题
17计算:(本题9分)
(2)由31=-x 得13+=x
化简原式=444122+--++x x x
=122+-x x =1)13(2)13(2++-+ =12321323+--++ =3
(3)原式=a a 62+, 当12-=a 时,原式=324-.。