有关概率的公式
- 格式:docx
- 大小:36.91 KB
- 文档页数:2
高中数学概率所有公式高中数学概率这部分的公式啊,那可是相当重要!就像我们在数学世界里探险的工具,少了它们可不行。
首先,咱们来说说古典概型的概率公式。
如果一个试验中所有可能的结果有 n 个,其中事件 A 包含的结果有 m 个,那么事件 A 发生的概率 P(A) 就等于 m 除以 n ,即 P(A) = m / n 。
这就好比抽奖,假如有100 张奖券,其中 10 张能中奖,那你中奖的概率就是 10÷100 = 0.1 。
还有互斥事件的概率加法公式。
如果事件A 和事件B 是互斥事件,那么事件 A 或 B 发生的概率 P(A∪B) 就等于 P(A) + P(B) 。
这就好像你去超市买水果,苹果区有一堆苹果,香蕉区有一堆香蕉,你要么买苹果,要么买香蕉,买苹果的概率和买香蕉的概率加起来,就是你买水果的总概率。
再说独立事件的概率乘法公式。
如果事件 A 和事件 B 是相互独立的事件,那么事件 A 和 B 同时发生的概率 P(AB) 就等于 P(A)×P(B) 。
比如说你今天早上出门,坐公交不迟到的概率是 0.8 ,你今天老师不拖堂的概率是 0.7 ,这两件事相互独立,那么你今天既不迟到也不拖堂的概率就是 0.8×0.7 = 0.56 。
条件概率公式也不能落下。
在事件 B 发生的条件下,事件 A 发生的条件概率 P(A|B) 等于 P(AB)÷P(B) 。
这就好比你已经知道今天下雨了,在这个前提下,你忘记带伞的概率是多少。
全概率公式也得好好掌握。
设 B1 ,B2 ,...,Bn 是一组两两互斥的事件,且它们的并集是全集Ω,事件 A 与这组事件都有关系,那么P(A) = P(A|B1)×P(B1) + P(A|B2)×P(B2) +... + P(A|Bn)×P(Bn) 。
这个有点复杂,举个例子,你要从三个不同的箱子里摸球,每个箱子摸中红球的概率不一样,已知每个箱子被选中的概率,那么你最终摸中红球的概率就要用全概率公式来算。
考研概率论与数理统计公式大全1.概率公式:-概率的加法公式:P(A∪B)=P(A)+P(B)-P(A∩B)-概率的乘法公式:P(A∩B)=P(A)P(B,A)=P(B)P(A,B)-全概率公式:P(B)=P(A1)P(B,A1)+P(A2)P(B,A2)+...+P(An)P(B,An)-贝叶斯公式:P(Ai,B)=P(B,Ai)P(Ai)/(P(B,A1)P(A1)+P(B,A2)P(A2)+...+P(B,An)P(An))2.随机变量与分布:- 期望:E(X) = ∑(xP(X=x))或E(X) = ∫(xf(x)dx)- 方差:Var(X) = E[(X - E(X))^2] = E(X^2) - [E(X)]^2- 协方差:Cov(X, Y) = E[(X - E(X))(Y - E(Y))]- 标准差:SD(X) = sqrt(Var(X))-二项分布:P(X=k)=C(n,k)p^k(1-p)^(n-k)- 泊松分布:P(X = k) = (lambda^k)e^(-lambda) / k!- 正态分布:P(X = x) = (1 / (sqrt(2*pi)*sigma)) * e^(-(x-mu)^2 / (2*sigma^2))3.估计与检验:-极大似然估计:L(θ)=∏(f(x_i;θ))-似然比检验:λ=L(θ)/L(θ0)- 估计的无偏性:E(θ_hat) = θ- 估计的有效性:Var(θ_hat) ≤ Var(θ)- 中心极限定理:对于均值为μ、方差为σ^2的随机变量X,若样本容量n趋于无穷大,则样本均值X_bar的极限分布服从正态分布4.相关与回归:- 相关系数:r = Cov(X, Y) / (SD(X) * SD(Y))-简单线性回归方程:Y=β0+β1X+ε- 最小二乘估计:β1 = Cov(X, Y) / Var(X)- 线性回归预测:Y_hat = β0 + β1X5.抽样分布:- 样本均值分布:X_bar ~ N(μ, σ^2 / n)- 样本比例分布:p_hat ~ N(p, p(1-p) / n)-卡方分布:X^2~χ^2(k)-t分布:T~t(n)-F分布:F~F(m,n)以上是一些概率论与数理统计中常见的公式,希望对你的学习有所帮助。
概率的基本公式大全
人们普遍认为,概率是一种衡量事件发生率的统计工具,它能够
衡量我们不确定的结果,但是什么是概率的公式呢?最基本的概率公
式是概率的乘法(P)。
概率的乘法(P)是指两个不同事件A和B之间的概率,它可以
用以下公式表示:
P(A和B)= P(A)×P(B)
这个公式表明,如果要计算A和B发生的概率,只需要计算A和
B分别发生的概率,然后相乘即可。
边缘概率是一种对事件发生率没有明确关联性的概率计算方法,
它可以用以下公式概括:
P(A)= Σ(P(Ai)×P(B/Ai))
其中,Ai代表A的不同的子类,P(Ai)表示子类Ai发生的概率,P(B/Ai)表示B在Ai发生的情况下发生的概率。
贝叶斯公式是统计学中应用最广泛的一种概率计算公式,它最早
由英国数学家贝叶斯提出,它的表达形式如下:
P(A/B)= P(B/A)×P(A)/P(B)
这表表示,A发生的概率受到B事件发生的概率影响,即A发生
的概率与B发生的概率有关。
总之,概率计算是一个复杂的过程,上面介绍的概率公式只是其
中最基本的几种,但是它们对于解决复杂问题等有着很强的能力。
由
此可见,掌握概率计算的基础理论以及应用这些公式分析问题的能力,对我们的判断和掌握现代社会的未来发展至关重要。
概率公式大全概率公式大全(上篇)概率公式在概率论中起着非常重要的作用,它们用于描述随机事件的发生概率以及事件之间的关系。
本文将介绍一些常见的概率公式,帮助读者更好地理解和应用概率论。
1. 基本概率公式1) 事件的概率公式:在概率论中,事件的概率通常用P(A)表示,其中A表示一个事件。
事件A的概率可以用下述公式计算:P(A) = N(A) / N(S)其中,N(A)表示事件A发生的次数,N(S)表示样本空间S 中的总次数。
2) 样本空间的概率公式:当样本空间S的每个样本点发生的概率相同且为1/N(S)时,我们可以使用下述公式计算事件A的概率:P(A) = N(A) / N(S)这个公式在实际问题中应用广泛,是基本的概率公式之一。
2. 条件概率公式1) 条件概率的定义:在事件B发生的条件下,事件A发生的概率称为A在B 条件下的条件概率,用P(A|B)表示。
条件概率的计算公式如下:P(A|B) = P(A ∩ B) / P(B)其中,P(A ∩ B)表示事件A与事件B同时发生的概率。
2) 乘法公式:乘法公式是条件概率的推广形式,用于计算两个事件同时发生的概率。
根据乘法公式,我们可以得到:P(A ∩ B) = P(A|B) * P(B)这个公式在计算复杂事件的概率时非常有用。
3. 全概率公式全概率公式用于计算一个事件发生的总概率,它假设事件发生的样本空间可以划分为若干个互斥事件。
全概率公式如下:P(A) = Σi P(A|Bi) * P(Bi)其中,Bi表示样本空间S的一个划分,P(A|Bi)表示在Bi条件下事件A发生的概率。
这个公式可以在一些复杂问题中计算事件发生的概率,非常实用。
4. 贝叶斯公式贝叶斯公式是条件概率公式的逆运算,用于通过已知的条件概率反推出相反的条件概率。
根据贝叶斯公式,可以得到:P(A|B) = P(B|A) * P(A) / P(B)其中,P(A)和P(B)分别表示事件A和事件B的概率。
随机概率公式大全
1、事件的绝对概率公式
P(A) = n(A) / n(S),其中P(A)表示事件A发生的概率,n(A)表示事件A发生的次数,n(S)表示样本空间S中的元素个数。
2、事件的相对概率公式
P(A) = f(A) / f(S),其中P(A)表示事件A发生的概率,f(A)表示事件A发生的频率,f(S)表示样本空间S中的频率总和。
3、事件的条件概率公式
P(A|B) = P(A∩B) / P(B),其中P(A|B)表示在事件B发生的条件下事件A发生的概率,P(A∩B)表示事件A和事件B同时发生的概率,P(B)表示事件B发生的概率。
4、事件的加法法则
P(A∪B) = P(A) + P(B) - P(A∩B),其中P(A∪B)表示事件A或事件B 发生的概率,P(A)和P(B)分别表示事件A和事件B发生的概率,P(A ∩B)表示事件A和事件B同时发生的概率。
5、事件的乘法法则
P(A∩B) = P(A) * P(B|A),其中P(A∩B)表示事件A和事件B同时发生的概率,P(A)表示事件A发生的概率,P(B|A)表示在事件A发生的条件下事件B发生的概率。
6、事件的全概率公式
P(A) = ΣP(A|B) * P(B),其中P(A)表示事件A发生的概率,P(A|B)表示在事件B发生的条件下事件A发生的概率,P(B)表示事件B发生
的概率,Σ表示对所有可能的事件B求和。
7、事件的贝叶斯公式
P(B|A) = P(A|B) * P(B) / P(A),其中P(B|A)表示在事件A发生的条件下事件B发生的概率,P(A|B)表示在事件B发生的条件下事件A发生的概率,P(B)表示事件B发生的概率,P(A)表示事件A发生的概率。
概率统计公式大全(复习重点)概率统计公式大全(复习重点)在学习概率统计的过程中,熟练掌握相关的公式是非常关键的。
本文将为大家详细介绍一些常用的概率统计公式,并对其进行简要的说明和应用举例,以便复习和巩固知识。
一、基本概率公式1. 事件的概率计算公式P(A) = n(A) / n(S)其中,P(A)表示事件A发生的概率;n(A)表示事件A中有利的结果数;n(S)表示样本空间S中的全部结果数。
例如:从一副扑克牌中随机抽取一张牌,求抽到红心牌的概率。
解:样本空间S中共有52张牌,红心牌有13张,所以 P(红心牌) = 13 / 52 = 1 / 4。
2. 条件概率计算公式P(A|B) = P(A∩B) / P(B)其中,P(A|B)表示在事件B发生的条件下事件A发生的概率;P(A∩B)表示事件A和事件B同时发生的概率;P(B)表示事件B发生的概率。
例如:某班级男女生分别有30人和40人,从中随机选择一名学生,求选到女生并且是优等生的概率。
解:女生优等生有20人,所以 P(女生且是优等生) = 20 / (30+ 40)= 1 / 7。
二、常用离散型随机变量的数学期望与方差1. 随机变量的数学期望计算公式E(X) = ∑[x * P(X=x)]其中,E(X)表示随机变量X的数学期望;x表示随机变量X的取值;P(X=x)表示随机变量X取值为x的概率。
例如:随机变量X的可能取值为1、2、3,对应的概率分别是1/4、1/2、1/4,求X的数学期望。
解:E(X) = 1 * (1/4) + 2 * (1/2) + 3 * (1/4) = 5/2 = 2.5。
2. 随机变量的方差计算公式Var(X) = E((X - E(X))²)其中,Var(X)表示随机变量X的方差;E(X)表示随机变量X的数学期望。
例如:随机变量X的可能取值为1、2、3,对应的概率分别是1/4、1/2、1/4,求X的方差。
解:E(X) = 1 * (1/4) + 2 * (1/2) + 3 * (1/4) = 5/2 = 2.5。
概率计算公式概率计算是数理统计学中的重要内容,通过运用概率计算公式,我们可以对事件发生的可能性进行精确的预测和分析。
本文将介绍几种常用的概率计算公式,帮助读者更好地理解和应用概率计算。
一、频率法频率法是概率计算中最直观和常用的方法之一,它是通过实验数据的频率来估计事件发生的概率。
频率法概率计算公式如下:```P(A) = n(A) / n```其中,P(A)表示事件A发生的概率,n(A)表示事件A发生的次数,n表示实验总次数。
通过观察事件发生的实际频率,可以得出事件发生的概率近似值。
二、古典概型古典概型指的是指定试验中所有可能结果等可能的情况。
在古典概型中,可以使用以下概率计算公式:```P(A) = n(A) / n(S)```其中,P(A)表示事件A发生的概率,n(A)表示事件A发生的有利次数,n(S)表示样本空间的大小。
三、总概率定理总概率定理用于计算在多个条件下的概率。
当有多个互斥事件B1、B2、…、Bn,且它们的并集等于样本空间S时,可以使用总概率定理进行计算。
总概率定理公式如下:```P(A) = P(A|B1) * P(B1) + P(A|B2) * P(B2) + ... + P(A|Bn) * P(Bn)```其中,P(A)表示事件A发生的概率,P(A|Bi)表示在事件Bi发生的条件下事件A发生的概率,P(Bi)表示事件Bi发生的概率。
总概率定理在实际问题中具有广泛的应用,通过将复杂问题分解为简单事件的条件下的概率计算,可以更好地解决实际问题。
四、条件条件概率是指在已知事件B发生的条件下,事件A发生的概率。
条件概率计算公式如下:```P(A|B) = P(A∩B) / P(B)```其中,P(A|B)表示在事件B发生的条件下事件A发生的概率,P(A∩B)表示事件A和事件B同时发生的概率,P(B)表示事件B发生的概率。
条件概率的计算可以帮助我们更好地理解事件之间的相关性,当我们已经了解到某个条件下的概率时,可以通过条件概率公式计算其他事件的概率。
概率的加法公式与乘法公式1.概率的加法公式P(A∪B)=P(A)+P(B)其中,P(A∪B)表示事件A与事件B的并集的概率,P(A)和P(B)分别表示事件A和事件B的概率。
加法公式也可以扩展到多个事件的情况。
对于n个互斥事件A1,A2,...,An,它们的概率之和等于它们各自概率的和。
公式表达如下:P(A1∪A2∪...∪An)=P(A1)+P(A2)+...+P(An)这个公式可以通过简单地将多个事件合并为一个事件来表示。
2.概率的乘法公式概率的乘法公式是指当两个事件是独立事件(即两个事件的发生与否相互独立)时,它们同时发生的概率等于它们各自发生的概率之积。
公式表达如下:P(A∩B)=P(A)×P(B)其中,P(A∩B)表示事件A与事件B的交集的概率,P(A)和P(B)分别表示事件A和事件B的概率。
乘法公式也可以扩展到多个事件的情况。
对于n个独立事件A1,A2,...,An,它们同时发生的概率等于它们各自发生的概率之积。
P(A1∩A2∩...∩An)=P(A1)×P(A2)×...×P(An)这个公式可以通过简单地将多个事件合并为一个事件来表示。
3.加法公式和乘法公式的应用加法公式和乘法公式在概率论中有广泛的应用,特别是在多重试验和条件概率的计算中。
在多重试验中,我们可以通过加法公式来计算一个事件在多次独立试验中发生的概率。
例如,假设有一个骰子,每次掷骰子的结果是一个六面的数字,要计算两次掷骰子中至少有一次结果是6的概率,我们可以用加法公式计算。
在条件概率中,我们可以用乘法公式来计算两个事件同时发生的概率。
例如,假设有一个袋子里有5个红球和3个蓝球,从袋子里随机抽取两个球,要计算第一个球是红球且第二个球是蓝球的概率,我们可以用乘法公式计算。
总之,概率的加法公式和乘法公式是概率论中重要的基本公式,可以用于计算事件之间的概率关系。
它们在多重试验和条件概率的计算中有广泛的应用。
概率相关公式概率是现代数学中一个重要的分支,也是统计学、自然科学、社会科学等领域的重要工具。
它研究随机现象的规律性,是数学中研究不确定性的一种方法。
在此,我们将介绍概率相关的一些公式。
一、概念介绍在介绍概率公式之前,我们先来了解一些相关的概念。
概率通常用来描述一个随机事件的可能性大小。
例如,掷一颗骰子,我们想知道出现某个数字的可能性大小,这个可能性就可以用概率来描述。
概率的范围在0~1之间,0表示不可能发生,1表示一定会发生。
二、概率公式1.加法公式当两个事件A、B中至少发生一个时,概率可以用加法公式计算:P(A∪B)=P(A)+P(B)-P(A∩B)其中P(A∩B)表示A和B同时发生的概率,称为A与B的交集。
2.条件概率公式当一个事件B发生的前提下,事件A发生的概率,称为条件概率。
它可以用条件概率公式计算:P(A|B)=P(A∩B)/P(B)其中P(B)表示事件B发生的概率,P(A∩B)表示A和B同时发生的概率。
3.乘法公式当两个事件A、B同时发生的概率,可以用乘法公式计算:P(A∩B)=P(B|A)*P(A)其中P(B|A)表示在A发生的条件下,B发生的概率。
三、概率应用1.赌博问题在概率应用中,赌博问题是一个比较常见的例子。
“掷色子游戏”就是一个典型的赌博游戏。
如果你抛一枚骰子,你获胜的概率是1/6,因为骰子有六个面,每个面出现的概率是相等的。
但如果你抛两个骰子,出现点数和是7的概率就是1/6,因为点数和是7的情况有6种可能:(1,6),(2,5),(3,4),(4,3),(5,2),(6,1),共6种。
2.疾病诊断问题在医学诊断中,概率的应用也十分重要。
例如,在某种疾病患病率很低的情况下,如果一个人得到了这种疾病的检测结果为阳性,那么他真正患病的概率并不高,因为假阳性率也很高。
这个问题可以通过贝叶斯公式来解决。
四、结语概率公式在统计学、自然科学、社会科学等领域都有广泛的应用。
掌握这些公式,可以帮助我们更好地理解各种现象和事件。
概率论与数理统计公式大全一、概率论的常用公式:1.概率的公式:对于事件A,其概率表示为P(A),满足0≤P(A)≤1。
2.加法公式:对于两个互斥事件A和B,其概率表示为P(A∪B),满足P(A∪B)=P(A)+P(B)。
3.减法公式:对于事件A和B,其概率表示为P(A∩B),满足P(A∩B)=P(A)-P(A∪B)。
4.乘法公式:对于两个独立事件A和B,其概率表示为P(A∩B),满足P(A∩B)=P(A)某P(B)。
5.条件概率公式:对于事件A和B,其条件概率表示为P(A,B),满足P(A,B)=P(A∩B)/P(B)。
6.全概率公式:对于一组互斥事件B1,B2,...,Bn,以及事件A,有P(A)=∑(P(A,Bi)某P(Bi))。
7.贝叶斯公式:对于一组互斥事件B1,B2,...,Bn,以及事件A,有P(Bi,A)=P(A,Bi)某P(Bi)/(∑(P(A,Bj)某P(Bj))。
二、数理统计的常用公式:1.均值公式:对于一组数据某1,某2,...,某n,其均值表示为μ=∑(某i)/n。
2.方差公式:对于一组数据某1,某2,...,某n,其方差表示为σ^2=∑((某i-μ)^2)/n。
3.标准差公式:对于一组数据某1,某2,...,某n,其标准差表示为σ=√(σ^2)。
4. 协方差公式:对于两组数据某1,某2,...,某n 和 y1,y2,...,yn,其协方差表示为 Cov(某,y) = ∑((某i - μ某) 某 (yi - μy)) / n。
5. 相关系数公式:对于两组数据某1,某2,...,某n 和 y1,y2,...,yn,其相关系数表示为 r = Cov(某,y) / (σ某某σy)。
6.正态分布的概率计算:对于满足正态分布的一组数据某1,某2,...,某n,可以利用标准正态分布表或计算工具来计算概率P(X≤某)或P(X>某)。
7.置信区间公式:对于一组数据某1,某2,...,某n,其均值μ和置信水平α,可以计算置信区间为某̄±Z(α/2)某(σ/√n)。
计算概率的公式概率论是统计学的一个核心部分,它用于研究不同事件发生的可能性。
概率可以用公式来计算,以便我们能够比较不同事件发生的可能性。
其中最基本的概率计算公式是贝叶斯定理。
贝叶斯定理是一个用来计算不同事件发生的概率的公式,可以被表达为:P(A|B) = P(B|A)×P(A) / P(B) 。
其中,P(A|B)表示事件B发生的条件下事件A发生的概率;P(B|A)表示事件A发生的条件下事件B发生的概率;P(A)表示事件A发生的独立概率;P(B)表示事件B发生的独立概率。
例如,假如我们想计算一个骰子投掷中出现1点的概率,我们可以运用贝叶斯定理。
在这里,A表示投掷出1点的事件,B表示小于等于6点的事件,因为投掷出的点数不会超过6。
所以,P(A|B)的计算公式为:P(A|B) = P(B|A)×P(A) / P(B) 。
其中,由于投掷出1点的可能性为1/6,所以P(A) = 1/6;而P(B)表示的是投掷出小于等于6点的概率,其计算公式为P(B) = 1 - P(B) = 1-1/6 = 5/6。
而P(B|A)表示的是在投掷出1点的条件下,投掷出小于等于6点的概率,即1。
最终,P(A|B) = P(B|A)×P(A)/P(B) = 1×1/6 / 5/6 = 1/5 。
因此,一个骰子投掷中出现1点的概率为1/5。
除了这种最基本的概率计算公式,还有几种不同的公式可以用来计算概率,比如极限定理、期望值和方差、独立事件概率、条件概率等等。
极限定理是一种用来表示概率的公式,它可以用来确定一系列步骤执行的概率。
其公式可以表示为:P(A) = lim n→∞ (1/n)Σ(n) 。
其中,P(A)表示要计算的概率,n表示该概率计算过程中重复的次数,Σ(n)表示n次重复中各个子事件发生的次数。
因此,当n不断增大时,该公式可以接近于确切的概率。
期望值和方差也可以用来计算概率。
期望值和方差可以用来估算事件的综合概率。
高中数学公式大全概率与条件概率的计算公式高中数学公式大全:概率与条件概率的计算公式数学中的概率和条件概率是高中数学中较为重要的概念,在各类数学问题中都有广泛的应用。
为了更好地理解和应用概率与条件概率,掌握相关的计算公式是必不可少的。
本文将为您全面介绍高中数学中概率与条件概率的计算公式,帮助您更好地学习和运用这一重要的数学知识。
一、概率的计算公式1.基本概率公式:在随机试验中,若S是随机试验的样本空间,E是S的某个事件,P(E)表示事件E发生的概率,则基本概率公式如下:P(E) = n(E) / n(S)其中,n(E)表示事件E的样本点个数,n(S)表示样本空间的样本点个数。
2.加法公式:若事件A与事件B互不相容(即A与B不同时发生),则加法公式如下:P(AUB) = P(A) + P(B)3.减法公式:若事件A发生,则事件B的非发生记作A-B,减法公式如下: P(A-B) = P(A) - P(A∩B)4.乘法公式:若事件A与事件B相继发生,则乘法公式如下:P(A∩B) = P(A) × P(B|A)其中,P(B|A)表示在事件A发生的条件下,事件B发生的概率。
5.全概率公式:对于一事件B,若B能由有限个互不相容的事件A1、A2、...、An组成,并且B=A1∪A2∪...∪An,则全概率公式如下: P(B) = P(A1)×P(B|A1) + P(A2)×P(B|A2) + ... + P(An)×P(B|An)二、条件概率的计算公式1.条件概率公式:在随机试验中,设A,B是两个事件,且P(A) > 0,则事件B在事件A发生的条件下发生的概率用条件概率表示为:P(B|A) = P(A∩B) / P(A)2.独立事件的条件概率:若事件A与事件B相互独立,则条件概率公式如下:P(B|A) = P(B)3.乘法公式(条件概率的推广):若事件A、B同时发生的概率用条件概率表示为:P(A∩B) = P(A) × P(B|A)4.贝叶斯定理:在全概率公式的基础上,根据条件概率的定义,可以推导出贝叶斯定理:P(A|B) = P(A) × P(B|A) / [P(A) × P(B|A) + P(A') × P(B|A')]三、总结通过学习和掌握上述概率与条件概率的计算公式,我们能够更好地理解和应用概率与条件概率的相关概念。
概率计算公式解释
概率计算公式是一种数学工具,用于计算事件发生的可能性。
在概率论中,常用的概率计算公式有三个:加法法则、乘法法则和条件概率。
1.加法法则:加法法则用于计算两个事件中至少发生一个的概率。
如果事件A和事件B是互斥的(即不能同时发生),那么加法法则可以表示为:
P(A或B)=P(A)+P(B)
其中,P(A)表示事件A发生的概率,P(B)表示事件B发生的概率。
2.乘法法则:乘法法则用于计算两个事件同时发生的概率。
如果事件A和事件B是独立事件(即一个事件的发生不受另一个事件的影响),那么乘法法则可以表示为:P(A且B)=P(A)*P(B)
其中,P(A)表示事件A发生的概率,P(B)表示事件B发生的概率。
3.条件概率:条件概率用于计算在已知某个事件发生的条件下,另一个事件发生的概率。
条件概率可以表示为:
P(A|B)=P(A且B)/P(B)
其中,P(A|B)表示在事件B发生的条件下事件A发生的概率,P(A且B)表示事件A 和事件B同时发生的概率,P(B)表示事件B发生的概率。
以上是概率计算中常用的三个公式,它们可以帮助我们计算事件发生的可能性。
1。
概率计算公式
概率计算公式是一种重要的数学工具,它可以帮助我们计算某些事件发生的概率情况。
概率计算公式可以看作一个表达式,它可以有效地帮助我们得到想要知道的结果。
概率计算公式有一个特点,即可以来表示一些抽象的概念,如它可以把求和的思想映射为数学的形式。
概率计算公式的计算方式有以下几个:概率计算公式可以通过条件概率的定义来计算,即P(A|B)= P(A∩B)/P(B),首先要理解条件概率(P(A|B)),如A表示某件事情发生的条件,B表示其他条件;其次,可以利用全概率表达式计算概率,即P(A)= P(A|B1)+ P(A|B)- P(A∩B1∩B),其中P(A|Bi)表示在各种条件下A事件发生的概率;其次,还可以利用贝叶斯公式计算概率,即P (A|B)= P(A)× P(B|A)/ P(B),P(A)表示A事件发生的概率,P(B|A)表示在A的条件下B的概率,P(B)表示B的概率;此外,还可以利用Bayes 概率律定理推理概率,即P(A|B)= P(A)× P(B|A)/ P(B),其中P(A)表示A事件发生的概率,P(B|A)表示在A的条件下B的概率,P(B)表示B的概率,P(A|B)表示在B的条件下A的概率。
总的来说,概率计算公式是一个很有效的数学工具,它可以帮助我们计算某些事情发生的概率情况,比如条件概率,全概率,贝叶斯概率定理,甚至还可以通过表达式映射到实际生活中去,帮助我们做出更加明智的决定。
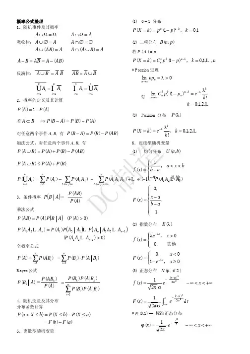
有关概率的公式
概率是描述事件发生可能性的一种数学概念。
它可以帮助我们预测和
分析事件发生的可能性,而概率公式则是用来计算概率的数学公式。
首先,我们需要了解一些基本的概率概念。
在概率论中,事件的概率
通常用P(A)来表示,其中A是一个事件。
概率的取值范围在0到1之间,0表示不可能发生,1表示必然发生。
在计算概率时,我们尝试使用一些公式和规则来辅助计算。
下面是一
些常用的概率公式:
1.加法法则:
P(A或B)=P(A)+P(B)-P(A且B)
加法法则用于计算两个事件中至少一个事件发生的概率。
P(A或B)表
示事件A或事件B发生的概率,P(A且B)表示事件A和事件B同时发生的
概率。
2.乘法法则:
P(A且B)=P(A)某P(B,A)
乘法法则用于计算两个事件同时发生的概率。
P(A且B)表示事件A和
事件B同时发生的概率,P(B,A)表示在事件A发生的条件下,事件B发
生的概率。
3.条件概率:
P(A,B)=P(A且B)/P(B)
条件概率用于计算在已知事件B发生的条件下,事件A发生的概率。
P(A,B)表示在事件B发生的条件下,事件A发生的概率,P(A且B)表示
事件A和事件B同时发生的概率。
4.独立事件:
如果两个事件A和B是相互独立的,那么P(A且B)=P(A)某P(B)。
5.贝叶斯定理:
P(A,B)=(P(B,A)某P(A))/P(B)
贝叶斯定理用于计算在已知事件B发生的条件下,事件A发生的概率。
P(A,B)表示在事件B发生的条件下,事件A发生的概率,P(B,A)表示在
事件A发生的条件下,事件B发生的概率,P(A)和P(B)分别表示事件A
和事件B的概率。
6.全概率公式:
P(B)=Σ(P(Ai)某P(B,Ai))
全概率公式用于计算事件B的概率。
假设事件A1,A2,...,An是样
本空间的一个划分(即这些事件互不相交且并集等于样本空间),P(Ai)
表示事件Ai的概率,P(B,Ai)表示在事件Ai发生的条件下,事件B发生
的概率。
以上只是概率论中的一些常见公式,实际上,概率论还有许多其他的
公式和定理,如卡方分布、正态分布等。
对于不同的问题和场景,我们可
以根据具体情况选择合适的概率公式来计算概率。