华中科技大学2018年数学分析试题解答
- 格式:doc
- 大小:262.00 KB
- 文档页数:3
线性代数期末试卷一一、填空题(本题共6小题,每小题4分,满分24分,把答案填在题中横线上)(5)设矩阵210120001⎛⎫ ⎪= ⎪ ⎪⎝⎭A ,矩阵B 满足*2=+ABA BA E ,其中*A 为A 的伴随矩阵,E 是单位矩阵,则||=B __________.解:||=B 19.显然||3=A ,在等式*2=+ABA BA E 两端右乘A 得36=+AB B A (36)-=A E B A 上式取行列式03030||3003=-B故 1||9=B . 方法二:因||3=A ,则*31||||9-==A A将**2=+ABA BA E 移项得 *(2)-=A E BA E 两端取行列式得1||91⋅⋅=B ,故1||9=B .二、选择题(本题8小题,每小题4分,满分32分. 在每小题给出的四个选项中,只有一个是符合题目要求的,把所选项前的字母填在题后的括号内.)(11)设A 是3阶方阵,将A 的第1列与第2列交换得B ,再把B 的第2列加到第3列得C ,则满足=AQ C 的可逆矩阵Q 为(A )010100.101⎛⎫ ⎪ ⎪ ⎪⎝⎭ (B )010101001⎛⎫ ⎪ ⎪ ⎪⎝⎭. (C )010100011⎛⎫ ⎪ ⎪ ⎪⎝⎭. (D )011100001⎛⎫ ⎪⎪ ⎪⎝⎭.解:(D )正确. 由题意12=AE B ,其中12010100001⎛⎫⎪= ⎪ ⎪⎝⎭E 为第一种类型初等矩阵,23(1)=BE C ,其中23100(1)011001⎛⎫ ⎪= ⎪ ⎪⎝⎭E 为第三种类型初等矩阵.于是有 1223(1)==AE E C AQ则 1223010100011(1)100011100001001001⎛⎫⎛⎫⎛⎫ ⎪⎪ ⎪=== ⎪⎪ ⎪ ⎪⎪ ⎪⎝⎭⎝⎭⎝⎭Q E E与所给答案比较,选(D ).(12)设,A B 为满足=AB 0的任意两个非零矩阵,则必有 (A )A 的列向量组线性相关,B 的行向量组线性相关. (B )A 的列向量组线性相关,B 的列向量组线性相关. (C )A 的行向量组线性相关,B 的行向量组线性相关. (D )A 的行向量组线性相关,B 的列向量组线性相关. 解:(A )正确.设A 为m n ⨯矩阵,B 为n p ⨯矩阵,因为 =AB 0故 ()()r r n +≤A B ,其中(),()r r A B 分别表示矩阵,A B 的秩.又因为,A B 皆是非零矩阵,故()0,()0r r >>A B ,所以()r n <A ,()r n <B .因此A 的列秩数,B 的行秩数小于n ,这说明A 的列向量组线性相关,B 的行向量组线性相关,故选(A ).取101000⎛⎫= ⎪⎝⎭A ,100110⎛⎫⎪= ⎪⎪-⎝⎭B ,则0000⎛⎫= ⎪⎝⎭AB , 由B 的列向量组线性无关知(B )、(D )错误.取101010-⎛⎫= ⎪⎝⎭A ,100110⎛⎫⎪= ⎪ ⎪-⎝⎭B ,则0000⎛⎫= ⎪⎝⎭AB ,由A 的行向量组线性无关知(C )错误.三、解答题(本题共9小题,满分94分. 解答应写出文字说明、证明过程或演算步骤.) (20)(本题满分9分) 设有齐次线性方程组121212(1)0,2(2)20,(2)()0,n nn a x x x x a x x n nx nx n a x ++++=⎧⎪++++=⎪≥⎨⎪⎪++++=⎩L L L L L试问a 取何值时,该方程组有非零解,并求出其通解.解法1 对方程组的系数矩阵A 作初等行变换,有11111111222220000aa a a a n n n n a na a ++⎛⎫⎛⎫ ⎪ ⎪+- ⎪ ⎪=→= ⎪ ⎪ ⎪ ⎪ ⎪ ⎪+-⎝⎭⎝⎭A B L L L L L L L L L L. 当0a =时,()1r n =<A ,故方程组有非零解,其同解方程组为120n x x x +++=L , 由此得基础解系为T T T121(1,1,0,,0),(1,0,1,,0),,(1,0,0,,1)n -=-=-=-ηηηL L L L ,于是方程组的通解为1111n n x k k --=++ηηL ,其中11,,n k k -L 为任意常数. 当0a ≠时,对矩阵B 作初等行变换,有(1)1111000221002100.001001n n a a n n +⎛⎫++⎛⎫ ⎪⎪⎪-⎪-→→⎪ ⎪⎪ ⎪ ⎪ ⎪-⎪⎝⎭-⎝⎭B L L L L L L L L LL可知(1)2n n a +=-时,()1r n n =-<A ,故方程组也有非零解,其同解方程组为 1213120,30,0,n x x x x nx x -+=⎧⎪-+=⎪⎨⎪⎪-+=⎩M由此得基础解系为T(1,2,,)n =ηL , 于是方程组的通解为x k =η,其中k 为任意常数. 解法2 方程组的系数行列式为111112222(1)||.2n aa n n a a nnn n a-+++⎛⎫==+ ⎪⎝⎭+A L L L LL当||0=A ,即0a =或(1)2n n a +=-时,方程组有非零解.当0a =时,对系数矩阵A 作初等行变换,有1111111122220000,0000n n n n ⎛⎫⎛⎫ ⎪ ⎪⎪ ⎪=→ ⎪ ⎪ ⎪ ⎪ ⎪ ⎪⎝⎭⎝⎭A L L L L L L L L L L 故方程组的同解方程组为120,n x x x +++=L 由此得基础解系为T T T121(1,1,0,,0),(1,0,1,,0),,(1,0,0,,1)n -=-=-=-ηηηL L L L ,于是方程组的通解为1111n n x k k --=++ηηL ,其中11,,n k k -L 为任意常数.当(1)2n n a +=-时,对系数矩阵A 作初等行变换,有 11111111222220000aa a a an n n n a na a ++⎛⎫⎛⎫⎪⎪+-⎪ ⎪=→ ⎪ ⎪ ⎪ ⎪ ⎪ ⎪+-⎝⎭⎝⎭A L L LLL L L L L L . 1111000021002100.00101a n n +⎛⎫⎛⎫⎪⎪--⎪ ⎪→→ ⎪ ⎪ ⎪ ⎪ ⎪ ⎪--⎝⎭⎝⎭L L LL L L L L L L 故方程组的同解方程组为1213120,30,0,n x x x x nx x -+=⎧⎪-+=⎪⎨⎪⎪-+=⎩M由此得基础解系为T(1,2,,)n =ηL , 于是方程组的通解为x k =η,其中k 为任意常数. (21)(本题满分9分)设矩阵12314315a -⎛⎫⎪=-- ⎪ ⎪⎝⎭A 的特征方程有一个二重根,求a 的值,并讨论A 是否可相似对角化.解:A 的特征多项式为1232201431431515a aλλλλλλλ-----=-------11010(2)143(2)13315115aa λλλλλλ-=--=---------2(2)(8183)a λλλ=--++.若2λ=是特征方程的二重根,则有22161830a -++=,解得2a =-.当2a =-时,A 的特征值为2,2,6,矩阵1232123123-⎛⎫⎪-=- ⎪ ⎪--⎝⎭E A 的秩为1,故2λ=对应的线性无关的特征向量有两个,从而A 可相似对角化.若2λ=不是特征方程的二重根,则28183a λλ-++为完全平方,从而18316a +=,解得23 a=-.当23a=-时,A的特征值为2,4,4,矩阵32341032113⎛⎫⎪-⎪-= ⎪⎪--⎪⎝⎭E A的秩为2,故4λ=对应的线性我关的特征向量只有一个,从而A不可相似对角化.线性代数期末试卷二一、填空题(本题共6小题,每小题4分,满分24分. 把答案填在题中的横线上.) (6)同数学(一)一、(5).二、选择题(本题共8小题,每小题4分,满分32分. 在每小题给出的四个选项中,只有一个是符合题目要求的,把所选项目前的字母填在题后的括号内.) (13)同数学(一)二、(11). (14)同数学(一)二、(12).三、解答题(本题共9小题,满分94分. 解答应写出文字说明、证明过程或演算步骤.) (22)(本题满分9分) 设有齐次线性方程组1234123412341234(1)0,2(2)220,33(3)30,444(4)0,a x x x x x a x x x x x a x x x x x a x ++++=⎧⎪++++=⎪⎨++++=⎪⎪++++=⎩试问a 取何值时,该方程组有非零解,并求出其通解.解法1 对方程组的系数矩阵A 作初等行变换,有111111112222200.33333004444400aa a a a a a a a a a ++⎛⎫⎛⎫ ⎪ ⎪+- ⎪ ⎪=→= ⎪ ⎪+- ⎪ ⎪ ⎪ ⎪+-⎝⎭⎝⎭A B 当0a =时,()14r =<A ,故方程组有非零解,其同解方程组为 12340x x x x +++=.由此得基础解系为T T T123(1,1,0,0),(1,0,1,0),(1,0,0,1)=-=-=-ηηη,于是所求方程组的通解为112233k k k =++x ηηη,其中123,,k k k 为任意常数. 当0a ≠时,11111000021002100,3010301040014001a a ++⎛⎫⎛⎫ ⎪ ⎪--⎪ ⎪→→ ⎪ ⎪-- ⎪ ⎪ ⎪ ⎪--⎝⎭⎝⎭B 可知10a =-时,()34r =<A ,故方程组也有非零解,其同解方程组为12131420,30,40,x x x x x x -+=⎧⎪-+=⎨⎪-+=⎩由此得基础解系为 T(1,2,3,4)=η,于是所求方程组的通解为 k =x η,其中k 为任意常数. 解法2 方程组的系数行列式311112222||(10)33334444aa a a a a++==+++A .当||0=A ,即0a =或10a =-时,方程组有零解. 当0a =时,对系数矩阵A 作初等行变换,有11111111222200003333000044450000⎛⎫⎛⎫⎪⎪⎪ ⎪=→ ⎪ ⎪ ⎪ ⎪⎪ ⎪⎝⎭⎝⎭A , 故方程组的同解方程组为12340.x x x x +++= 其基础解系为T T T123(1,1,0,0),(1,0,1,0),(1,0,0,1)=-=-=-ηηη,于是所求方程组的通解为112233k k k =++x ηηη,其中123,,k k k 为任意常数. 当10a =-时,对A 作初等行变换,有911191112822201000337330010*******0010--⎛⎫⎛⎫⎪ ⎪--⎪ ⎪=→⎪ ⎪-- ⎪ ⎪⎪ ⎪--⎝⎭⎝⎭A91110000210021003010301040014001-⎛⎫⎛⎫⎪⎪--⎪ ⎪→→⎪ ⎪-- ⎪ ⎪ ⎪ ⎪--⎝⎭⎝⎭, 故方程组的同解方程组为2131412,3,4,x x x x x x =⎧⎪=⎨⎪=⎩其基础解系为T(1,2,3,4)=η,于是所求方程组的通解为x k =η,其中k 为任意常数. (23)(本题满分9分) 同数学(一)三、(21).线性代数期末试卷三一、填空题(本题共6小题,每小题4分,满分24分. 把答案填在题中横线上)(4)二次型222123122331(,,)()()()f x x x x x x x x x =++-++的秩为_________.解:秩为 2 .222123122331(,,)()()()f x x x x x x x x x =++-++ 222123121323222222x x x x x x x x x =++++-于是二次型f 的表示矩阵为211121112⎛⎫ ⎪=- ⎪ ⎪-⎝⎭A易求得()2r =A ,故二次型f 的秩为2.二、选择题(本题8小题,每小题4分,满分32分. 在每小题给出的四个选项中,只有一个是符合题目要求的,把所选项前的字母填在题后的括号内.) (12)设n 阶矩阵A 与B 等价,则必有 (A )当||(0)a a =≠A 时,||a =B . (B )当||(0)a a =≠A 时,||a =-B . (C )当||0≠A 时,||0=B . (D )当||0=A 时,||0=B . 解:(D )正确.因为n 阶矩阵A 与B 等价,故存在n 阶可逆矩阵,P Q 使 =PAP B故 ||||||||=B P A Q当||0=A 时,自然有||0=B ,故(D )正确.当||0≠A 时,由||,||P Q 皆不为零,故||0≠B ,所以(C )错误.当||0a =≠A 时,||||||a =B P Q ,仅由A 与B 等价,无法推出||||1=±P Q ,故(A )、(B )不正确.当,A B 相似时,(A )才正确.(13)设n 阶矩阵A 的伴随矩阵*≠A 0,若1234,,,ξξξξ是非齐次线性方程组=Ax b 的互不相等的解,则对应的齐次线性方程组=Ax 0的基础解系.(A )不存在. (B )仅含一个非零解向量. (C )含有两个线性无关的解向量. (D )含有三个线性无关的解向量. 解:(B )正确.因*=A 0,故*A 中至少有一个非零元素. 由于*A 中元素恰为A 的1n -阶代数余子式所组成,故A 至少有一个1n -阶子式非零,这表明()1r n ≥-A .现断言()r n ≠A ,否则A 可逆,则线性方程组=Ax b 有惟一解,这与12,ξξ是非齐次线性方程组=Ax b 不同的解矛盾.由此必有()1r n =-A ,所以齐次线性方程组=Ax 0的解空间维数为(1)1n n --=,即=Ax 0的基础解仅含一个非零解向量. 可见(B )正确,(A )错误.尽管从1234,,,ξξξξ是非齐次线性方程组=Ax b 的互不相等的解,可以得出=Ax 0有三个不同的非零解,如121314,,,---ξξξξξξ但是它们是成比例的线性相关解,也就是说=Ax 0不会有两个,更不会有三个线性无关的解向量,即(C )、(D )不正确.三、解答题(本题共9小题,满分94分. 解答应写出文字说明、证明过程或演算步骤.) (20)(本题分13分)设T T T 123(1,2,0),(1,2,3),(1,2,2)a a b a b ==+-=---+ααα,T(1,3,3)=-β. 试讨论当,a b为何值时,(I )β不能由123,,ααα线性表示;(II )β可由123,,ααα惟一地线性表示,并求出表示式;(III )β可由123,,ααα线性表示,但表示式不惟一,并求出表示式. 解:设有数123,,k k k ,使得112233k k k ++=αααβ. (*) 记123(,,)=A ααα. 对矩阵()Aβ施以初等行变换,有1111()22230323a b a a b -⎛⎫ ⎪=+-- ⎪ ⎪-+-⎝⎭A β111101000a b a b -⎛⎫ ⎪→- ⎪ ⎪-⎝⎭.(I )当0,a b =为任意常数时,有1111()0010001b -⎛⎫ ⎪=- ⎪ ⎪-⎝⎭A β.可知()()r r ≠A A β. 故方程组(*)无解,β不能由123,,ααα线性表示.(II )当0a ≠,且a b ≠时()()3r r ==A A β,故方程组(*)有惟一解 123111,,0,k k k a a=-== 则β可由123,,ααα惟一地线性表示,其表示式为1211(1)a a=-+βαα.(III )当0a b =≠时,对()A β施以初等行变换,有110011()011.0000a a ⎛⎫- ⎪ ⎪⎪=- ⎪ ⎪ ⎪ ⎪⎝⎭A β. 可知()()2r r ==A A β,故方程组(*)有无穷多解,其全部解为123111,(),k k c k c a a=-=+=,其中c 为任意常数.β可由123,,ααα线性表示,但表示式不惟一,其表示式为12311(1)()c c a a=-+++βααα. (21)(本题满分13分)111b b bb b b ⎛⎫ ⎪⎪= ⎪ ⎪ ⎪⎝⎭A L L M M M L. (I )求A 的特征值和特征向量;(II )求可逆矩阵P ,使得1-P AP 为对角矩阵. 解:(I )1º当0b ≠时,11||1b b b b bbλλλλ-------=---E A L LM M ML1[1(1)][(1)]n n b b λλ-=-----.故A 的特征值为121(1),1n n b b λλλ=+-===-L .对于11(1)/n b λ=+-,设A 的属于特征值1λ的一个特征向量为1ξ,则1111[1(1)]1b b b b n b b b ⎛⎫⎪ ⎪=+- ⎪ ⎪ ⎪⎝⎭ξξL L M M M L , 解得T1(1,1,,1)=ξL ,所以全部特征向量为T1(1,1,,1)k k =ξL (k 为任意非零常数).对于21n b λλ===-L ,解齐次线性方程组[(1)]0b --=E A x ,由111000(1)000b b b b b b b b b b ---⎛⎫⎛⎫⎪ ⎪---⎪ ⎪--=→ ⎪ ⎪ ⎪ ⎪ ⎪ ⎪---⎝⎭⎝⎭E A L L LL M M M M M M L L, 解得基础解系T2(1,1,0,,0)=-ξL ,T3(1,0,1,,0)=-ξL ,… …T(1,0,0,,1)n =-ξL .故全部特征向量为2233n n k k k +++ξξξL (2,,n k k L 是不全为零的常数). 2º当0b =时,特征值11n λλ===L ,任意非零列向量均为特征向量. (II )1º当0b ≠时,A 有n 个线性无关的特征向量,令12(,,,)n =P ξξξL ,则 1diag{1(1),1,,1}.n b b b -=+---P AP L 2º当0b =时,=A E ,对任意可逆矩阵P ,均有 1-=P AP E .注:T1(1,1,,1)=ξL 也可由求解齐次线性方程组1()λ-=E A x 0得出.线性代数期末试卷四一、填空题(本题共6小题,每小4分,满分24分. 把答案填在题中横线上.)(4)设1010100,001--⎛⎫ ⎪== ⎪ ⎪-⎝⎭A B P AP ,其中P 为三阶可逆矩阵,则200422-=B A _________. 解:300030001⎛⎫ ⎪ ⎪ ⎪-⎝⎭. 由010100001-⎛⎫ ⎪= ⎪ ⎪-⎝⎭A 得2100010001-⎛⎫ ⎪=- ⎪ ⎪⎝⎭A ,故4=A E ,其中E 是3阶单位阵,所以2004=A E .由1-=B P AP 得200412004-==B P A P E于是 20042210020030022010020030001002001-⎛⎫⎛⎫⎛⎫ ⎪ ⎪ ⎪-=-=--= ⎪ ⎪ ⎪ ⎪ ⎪ ⎪-⎝⎭⎝⎭⎝⎭BA E A . (5)设33()ij a ⨯=A 是实正交矩阵,且T 111,(1,0,0)a b ==,则线性方程组=Ax b 的解是__________.解:T (1,0,0).在方程=Ax b 两端左乘TAT T =A Ax A b 则 2131T 122232121323331311100a a a a a a a a a a ⎛⎫⎛⎫⎛⎫ ⎪⎪ ⎪=== ⎪⎪ ⎪ ⎪⎪ ⎪⎝⎭⎝⎭⎝⎭x A b将 12131a a ⎛⎫ ⎪= ⎪ ⎪⎝⎭x 代回=Ax b 有2131122232121323331311100a a a a a a a a a a ⎛⎫⎛⎫⎛⎫ ⎪⎪ ⎪= ⎪⎪ ⎪ ⎪⎪ ⎪⎝⎭⎝⎭⎝⎭由此得22121311a a ++=因A 为实矩阵,故12130a a ==,因此=Ax b 的解为100⎛⎫ ⎪= ⎪ ⎪⎝⎭x .二、选择题(本题共8小题,每小题4分,满分32分. 在每小题给出的四个选项中,只有一个是符合题目要求的,把所选项前的字母填在题后的括号内.)(12)同数学(三)二、(12).三、解答题(本题共9小题,满分94分. 解答应写出文字说明、证明过程或演算步骤.)(20)(本题满分13分)设线性方程组1234123412340,220,3(2)(4)41,x x x x x x x x x x x x λμλμ+++=⎧⎪+++=⎨⎪+++++=⎩已知T(1,1,1,1)--是该方程组的一个解. 试求(I )方程组的全部解,并用对应的齐次线性方程组的基础解系表示全部解; (II )该方程组满足23x x =的全部解.解:将T (1,11,1)--代入方程组,得λμ=. 对方程组的增广矩阵施以初等变换,得 1102112032441λλλλ⎛⎫ ⎪= ⎪ ⎪++⎝⎭A 102101311.002(21)2121λλλλλλ---⎛⎫ ⎪→ ⎪ ⎪---⎝⎭(I )当12λ≠时,有 1001011010.221100122⎛⎫ ⎪ ⎪ ⎪→-- ⎪ ⎪ ⎪ ⎪⎝⎭A 因()()34r r ==<A A ,故方程组有无穷多解,全部解为T T 11(0,,,0)(2,1,1,2)22k =-+--ξ, 其中k 为任意常数.当12λ=时,有 11101220131100000⎛⎫-- ⎪ ⎪→ ⎪ ⎪ ⎪⎝⎭A .因()()24r r ==<A A ,故方程组有无穷多解,全部解为T T T 121(,1,0,0)(1,3,1,0)(1,2,0,2)2k k =-+-+--ξ, 其中12,k k 为任意常数.(II )当12λ≠时,由于23x x =,即 1122k k -+=-. 解得12k =,方程组的解为T T T 111(0,,,0)(2,1,1,2)(1,0,0,1)222=-+--=-ξ. 当12λ=时,由于23x x =,即 121132k k k --=. 解得121142k k =-,故全部解为 T T 2111311(,,,0)(,,,2)444222k =-+---ξ, 其中2k 为任意常数.[注]:在题(II )中,12λ=时,解得21122k k =-时,全部解也可以表示为 T T 1(1,0,0,1)(3,1,1,4)k =-+-ξ,其中1k 为任意常数.(21)(本题满分13分)设三阶实对称矩阵A 的秩为122,6λλ==是A 的二重特征值. 若T T T 123(1,1,0),(2,1,1),(1,2,3)===--ααα都是A 的属于特征值6的特征向量. (I )求A 的另一特征值和对应的特征向量;(II )求矩阵A .解:(I )因为126λλ==是A 的二重特征值,故A 的属于特征值6的线性无关的特征向量有2个. 由题设可得123,,ααα的一个极大无关组为12,αα,故12,αα为A 的属于特征值6的线性无关的特征向量.由()2r =A 可知,||0=A ,所以A 的另一特征值30λ=. 设30λ=所对应的特征向量为T 123(,,)x x x =α,则有T T120,0==αααα,即 121230,20.x x x x x +=⎧⎨++=⎩ 解得此方程组的基础解系为T (1,1,1)=-α,即A 的属于特征值30λ=的特征向量为T (1,1,1)c c =-α,(c 为不为零的任意常数).(II )令矩阵123(,,)=P ααα,则1600060000-⎛⎫ ⎪= ⎪ ⎪⎝⎭P AP ,所以 1600060000-⎛⎫ ⎪= ⎪ ⎪⎝⎭A P P .又1011112333111333-⎛⎫ ⎪- ⎪ ⎪=- ⎪ ⎪ ⎪- ⎪⎝⎭P , 故422242.224⎛⎫ ⎪=- ⎪ ⎪-⎝⎭A。
2018考研数学一真题及解析一、选择题:1~8 小题,每小题4 分,共32 分.下列每题给出的四个选项中,只有一个是符合题目要求的,请将所选项前的字母填在答题纸...指定的位置上. (1) 下列函数中,在0x =处不可导的是( ) (A)()sin f x x x =(B)()f x x =(C)()cos f x x = (D)()f x =【答】选(D).【解】对于D:由定义得0112'(0)lim lim 2x x xf x +++→→-===-;112'(0)lim lim 2x x xf x ---→→-===,'(0)'(0)f f +-≠,所以不可导.(2) 过点()()1,0,0,0,1,0,且与曲面22z x y =+相切的平面为( )(A) 0z =与1x y z +-= (B) 0z =与22x y z +-=2(C) x y =与1x y z +-=(D) x y =与22x y z +-=2【答】应选(B).【解】法一:设平面与曲面的切点为000(,,)x y z ,则曲面在该点的法向量为00(2,2,1)n x y →=-,切平面方程为000002()2()()0x x x y y y z z -+---=切平面过点 (1,0,0),(0,1,0),故有000002(1)2(0)(0)0x x y y z -+---=,(1) 000002(0)2(1)(0)0x x y y z -+---=,(2) 又000(,,)x y z 是曲面上的点,故 22000z x y =+ ,(3)解方程 (1)(2)(3),可得切点坐标 (0,0,0)或(1,1,2).因此,切平面有两个0z =与222x y z +-=,故选(B).【解】法二:由于x y =不经过点(1,0,0) 和 (0,1,0),所以排除(C )(D )。
对于选项(A ),平面1x y z +-=的法向量为(1,1,1)-,曲面220x y z +-=的法向量为(2,2,1)x y -,如果所给平面是切平面,则切点坐标应为111(,,)222,而曲面在该点处的切平面为12x y z +-=,所以排除(A ).所以唯一正确的选项是(B).(3)()()023121!nn n n ∞=+-=+∑( )(A)sin1cos1+(B)2sin1cos1+ (C)2sin12cos1+(D)2sin13cos1+ 【答】应选(B). 【解】因为 2120(1)(1)sin ,cos ,(21)!(2)!nnn nn n x xx xn n ∞∞+==--==+∑∑而 00023212(1)(1)(1)(21)!(21)!(21)!nn n n n n n n n n n ∞∞∞===++-=-+-+++∑∑∑ 00(1)(1)cos12sin1(2)!(21)!2n nn n n n ∞∞==--=+=++∑∑,故选(B). (4) 设()22221d 1x M x x ππ-+=+⎰,221d x x N x e ππ-+=⎰,(221d K x ππ-=+⎰,则( ) (A)M N K >>(B)M K N >> (C)K M N >> (D)K N M >>【答】应选(C).【解】22222212d d 1x xM x x x πππππ--++===+⎰⎰; 112211221111d d d d x x x x x x x x N x x x x e e e e ππππ----++++==++⎰⎰⎰⎰, 2211111111121111d 0,d d d 1d 2x x x x xx x x x x x x e e e e π------+++<<=<=⎰⎰⎰⎰⎰,2221121d 1d ,1d 2x x x x N x M e πππππ-+<=∴<=⎰⎰⎰;22,K x K M N πππ-=>∴>>⎰.故选(C).(5) 下列矩阵中与矩阵110011001⎛⎫ ⎪⎪ ⎪⎝⎭相似的为( )(A) 111011001-⎛⎫⎪ ⎪ ⎪⎝⎭(B) 101011001-⎛⎫⎪ ⎪ ⎪⎝⎭(C) 111010001-⎛⎫ ⎪ ⎪ ⎪⎝⎭(D) 101010001-⎛⎫ ⎪ ⎪⎪⎝⎭【答】选A.【解】~,~A B E A E B ∴--()()r E A r E B ∴-=-各选项中::()1;B r E B -=:()1;C r E B -=:()1D r E B -=选A.(6) 设A ,B 为n 阶矩阵,记()r X 为矩阵X 的秩, (,)X Y 表示分块矩阵,则( ) (A) ()(),r r =A AB A(B) ()(),r r =A BA A(C) ()()(){},max ,r r r =A B A B (D) ()()T T ,,r r =A B A B【答】应选(A).【解】设AB C =,则矩阵A 的列向量组可以表示C 的列向量组,所以()()→A AB A O ,即()()()r A AB r A O r A ==,故答案选A. (7) 设随机变量X 的概率密度()f x 满足()()11f x f x +=-,且()2d 0.6f x x =⎰,则{}0P X <=( )(A) 0.2 (B)0.3 (C)0.4 (D)0.5 【答案】A已知(1)(1)f x f x +=-可得()f x 图像关于1x =对称,2()d 0.6f x x =⎰从而(0)0.2P x ≤=(8) 设总体X 服从正态分布()2,N μσ.12,,,n X X X 是来自总体X 的简单随机样本,据此样本检验假设: 00:=H μμ,10:H μμ≠,则( )(A) 如果在检验水平=0.05α下拒绝0H ,那么在检验水平=0.01α下必拒绝0H(B) 如果在检验水平=0.05α下拒绝0H ,那么在检验水平=0.01α下必接受0H (C) 如果在检验水平=0.05α下接受0H ,那么在检验水平=0.01α下必拒绝0H(D) 如果在检验水平=0.05α下接受0H ,那么在检验水平=0.01α下必接受0H【答】应选(D)【解】正确解答该题,应深刻理解“检验水平”的含义。
华中科技大学数学系数学分析1997,2000——2007(2004有答案)数值分析1999,2001——2002高等代数1997——2002,2004——2007概率统计2001——2002综合课程(应用数学、计算数学、概率统计专业)2003C语言程序设计(数学系计算数学专业)2002常微分方程2001——2002数理方程与泛函分析2001——2002专业英语翻译(概率论与数理统计、应用数学、计算数学专业)2006物理系数学(含高等数学线性代数)(物理系各专业)2007数学(物理类)2001,2003——2006数学(工科)(单考)2005数学(工科各专业)2003数学(理、工科类)(单)2002数学(单考)(工科各专业)2004数学(理工科)2006数学(理工类)(单考)2007高等数学(物理系)2002量子力学2001,2002,2003,2004,2005,2006(第1种),2006(第2种),2007统计物理2001——2002电动力学2001力学与电磁学2001——2004化学系物理化学2000——2007(2000——2002有答案)化学综合2007化工基础2007生物化工基础2007有机化学(化学各专业、结构工程、环境工程、生物化工专业)2000(2000有答案)有机化学(化学各专业、生物化工、材料加工工程、结构工程等专业)2001(2001有答案)有机化学(化学系各专业、环境科学专业)2002(2002有答案)有机化学(化学各专业)2003(2003有答案)有机化学(化学各专业、材料加工、环境化学专业)2004(2004有答案)有机化学(化学各专业、生物化学与分子生物学、生物信息技术、生物制药工程专业)2005有机化学(B卷)(应用化学等专业)2002有机化学(含高分子化学)(化学各专业及其他相关专业)2006有机化学(环境科学专业)2005无机化学2001——2002,2004——2005无机及分析化学2006无机与分析化学2003分析化学(分析化学、高分子化学与物理专业)2005分析化学(分析化学、高分子化学专业)2004分析化学(化学类各专业)2002分析化学(环境科学专业)2002——2005分析化学(环境科学、能源与环境工程专业)2006分析化学(有机化学、高分子化学与物理、环境工程专业)2001高分子化学2002——2003,2005——2006高分子化学(二)2004——2005高分子化学(一)2004高分子化学及物理2001——2002机械科学与工程学院机械设计1997——2002(1997——2001有答案)机械设计基础2002——2007机械原理1999——2002机械原理及机械零件2001液压传动2000——2002液压流体力学2000——2001画法几何与机械制图2001机械工程控制基础2006信号与线性系统1996——2002,2006——2007(1997有答案)信号与系统2002——2006控制理论(化工过程机械专业)2001控制理论(经典控制理论、现代控制理论)(控制理论与控制工程、检测技术及自动化装置、系统工程、系统信息化技术、系统分析与集成、建筑技术科学、模式识别与智能系统、机械制造及其自动化、机械电子工程、机械设计及理论、精微制造工程、数字化设计及制造、设计艺术学专业)2005控制理论(经典控制理论、现代控制理论)(控制系所有专业、模式识别与智能系统、建筑技术科学专业)2006控制理论(控制理论与控制工程、检测技术及自动化装置、系统工程、机制、机电、车辆、材料加工、轮机工程、模式识别、导航、制导专业)2002(2002有答案)控制理论(控制系、图象所各专业及生物物理学、机械制造及自动化、机械电子工程等专业)2001(2001有答案)控制理论(自控系各专业、机电学院各专业、模式识别与智能控制、内燃机专业)1996(1996有答案)控制理论(自控系各专业、机械学院、交通学院有关专业、制冷及低温工程、模式识别与智能控制专业)1998(1998有答案)控制理论(自控系各专业、机械学院及其他有关专业)1997(1997有答案)控制理论(自控系各专业、机械学院有关专业、制冷及低温工程、生物医学工程、模式识别与智能系统、电力电子与电力传动、轮机工程、动力机械及工程专业)1999(1999有答案)控制理论(自控系各专业、机械制造、机械电子、材料加工、动力机械、模式识别、制冷、轮机工程、车辆工程等专业)2000(2000有答案)控制理论(自控系各专业、模式识别、机电控制等专业)1995(1995有答案)控制理论基础(船舶与海洋工程专业)2007自动控制理论(电机与电器、电力系统及其自动化、电力电子与电力传动专业)2001自动控制理论(电机与电器、电力系统及其自动化、高电压与绝缘技术、电力电子与电力传动、电工理论与新技术、脉冲功率与等离子体、动力工程及其自动化专业)2005自动控制理论(电机与电器、电力系统及其自动化专业)2000自动控制理论(电力系统及其自动化、水力发电工程专业)1998自动控制理论(电气工程所有专业、动力机械及工程专业)2004自动控制理论(电气工程所有专业、制冷及低温工程专业)2002自动控制理论(电气学院所有专业)2006自动控制理论(电气学院所有专业、能源学院部分专业)2003自动控制理论(水利水电工程、电机与电器、电力系统及其自动化专业)1999 自动控制理论(水利水电工程、系统分析与集成专业)2003自动控制理论(水利水电工程专业)2001,2004——2007自动控制原理(水文学及水资源、水利水电工程、系统分析与集成专业)2002 自动控制原理(系统分析与集成、控制科学与工程、机械工程、仪器科学与技术、建筑技术与科学专业)2007电子技术基础(测试计量技术及仪器专业)2001电子技术基础(电磁场与微波技术、电路与系统、电力电子与电力传动、微电子学与固体电子学、半导体芯片系统与工艺、软件工程、模式识别与智能系统、信息安全、光学工程、光电信息工程、物理电子学、机械工程、仪器科学与技术专业)2007电子技术基础(电机与电器、电力电子与电力传动、微电子学与固体电子学、动力机械及工程、轮机工程、车辆工程专业)2000电子技术基础(电机与电器、电力电子与电力传动专业)1999电子技术基础(电机与电器、电力系统及其自动化、电力电子与电力传动、电工理论与新技术、轮机工程等专业)2001电子技术基础(电机与电器、电力系统及其自动化、电力电子与电力传动、电工理论与新技术、轮机工程等专业)2001电子技术基础(电气学院各专业、模式识别、精密仪器、测试计量、光学工程、物理电子学、微电子学专业)2002电子技术基础(光学工程、物理电子学、固体力学、流体力学、微电子学与固体电子学、模式识别与智能系统专业)1999电子技术基础(光学工程、物理电子学、光电信息工程、机械学院各专业)2005 电子技术基础(光学工程、物理电子学、机械制造及其自动化、机械电子工程、机械设计及理论、精微制造工程专业)2004电子技术基础(光学仪器、物理电子学与光电子学、固体力学、流体力学、电子材料与元器件、模式识别与智能控制、内燃机、汽车设计制造专业)1998电子技术基础(光学仪器、物理电子学与光电子学、固体力学、汽车设计制造、电子材料与元器件、模式识别与智能控制、内燃机专业)1997电子技术基础(化工过程机械专业)2005——2006电子技术基础(精密仪器及机械专业)2003电子技术基础(轮机工程、车辆工程、精密仪器及机械、测试计量技术及仪器专业)2005电子技术基础(生物医学工程、生物物理学、生物材料与组织工程专业)2005——2006电子技术基础(生物医学工程、生物物理学专业)2003——2004电子技术基础(生物医学工程专业)2002电子技术基础(微电子学与固体电子学、半导体芯片系统设计与工艺、电力电子与电力传动、模式识别与智能系统专业)2005电子技术基础(微电子学与固体电子学、半导体芯片系统设计与工艺、电力电子与电力传动、模式识别与智能系统专业)2006电子技术基础(微电子学与固体电子学、电力电子与电力传动、导航、制导与控制专业)2003电子技术基础(微电子学与固体电子学、电力电子与电力传动、导航、制导与控制专业)2004电子技术基础(物理电子学、光信息科学与技术、光学工程专业)2006电子技术基础(物理电子学、光学工程、模式识别与智能系统、流体力学专业)2000电子技术基础(物理电子学、光学工程、模式识别与智能系统专业)2001电子技术基础(物理电子学与光电子学专业)1995数据结构1999——2001,2006——2007数据结构及程序设计技术2004——2006数据结构与算法分析2006——2007数据库系统原理1996——2002,2004计算机组成原理(计算机科学与技术、模式识别与智能系统、机械工程、仪器科学与技术、建筑技术科学专业)1992——2002,2006——2007(另有模拟试题一份)计算机组成原理(生物医学工程、生物信息技术专业)2007C语言程序设计(计算机软件与理论专业)2001——2002操作系统1995——2002程序设计基础1995——2002程序设计语言及编译1999——2002互换性与技术测量2000——2007工业设计史2004——2005工业设计史论2006——2007工业设计综合考试2004——2007微机原理(8086)及应用(控制科学系各专业、模式识别与智能系统、力学各专业、材料加工工程专业)2000(2000有答案)微机原理(8086)及应用(控制科学与工程系各专业、模式识别与智能系统专业)2001(2001有答案)微机原理(8086)及应用(自动控制工程系各专业、模式识别与智能系统、流体力学、工程力学专业)1999(1999有答案)微机原理(电信系各专业、电子材料与元器件专业)1996(1996有答案)微机原理(电信系各专业、电子材料与元器件专业)1998微机原理(电信系各专业、微电子学与固体电子学专业)1999微机原理(二)(光学工程、物理电子学专业)2002微机原理(光学工程、物理电子学专业)1999——2002微机原理(光学仪器、物理电子学与光电子学专业)1997——1998(1997有答案)微机原理(软件工程专业)2007微机原理(三)(电路与系统专业)2002微机原理(通信与电子系统、信号与信息处理、电路与系统、电磁场与微波技术、电子材料与元器件专业)1997微机原理(一)(电机与电气、电力系统及其自动化、高电压与绝缘技术、电力电子与电力传动、电工理论与新技术专业)2002微机原理及微机控制技术(自动控制理论及应用、工业自动化、模式识别与智能控制专业)1996——1998(1997——1998有答案)微机原理及应用(材料加工工程、数字化材料成形专业)2005——2006微机原理及应用(材料加工工程专业)2003——2004微机原理及应用(电机与电器、电力系统及其自动化、电力电子与电力传动专业)2001微机原理及应用(二)(电力电子与电力传动、微电子学与固体电子学专业)2002 微机原理及应用(机械制造及其自动化、机械电子工程专业)2001微机原理及应用(控制科学与工程系各专业、模式识别与智能系统专业)2001 微机原理及应用(软件工程专业)2006微机原理及应用(三)(控制理论与控制工程、系统工程、固体力学、模式识别、检测技术及自动化装置、工程力学、导航、制导专业)2002(2002有答案)微机原理及应用(水利水电工程、轮机工程、微电子学与固体电子学、供热、供燃气通风及空调工程专业)2001微机原理三(电路与系统专业)2002微机原理与接口技术(生物医学工程专业)2004微机原理与应用(机械制造及其自动化、机械电子工程、车辆工程、精密仪器及机械、测试计算技术及仪器、材料加工工程、轮机工程专业)2002微机原理与应用(机械制造及其自动化、机械电子工程等专业)2001结构力学(固体力学、工程力学专业)2001——2002结构力学(结构工程、道路与桥梁工程专业)2004结构力学(结构工程、桥梁隧道工程、防灾减灾及防护工程专业)2005——2006 结构力学(结构工程、桥梁隧道与工程专业)2002——2003结构力学(结构工程、岩土工程专业)1997——2000(1999有答案)结构力学(结构工程专业)1996,2001结构力学(市政工程、道路与铁道工程专业)2001电动力学2001综合考试(含C语言程序设计、数据结构)(计算机应用技术专业)2001综合考试(含计算机系统结构、计算机网络、数据结构)(计算机系统结构专业)2002综合考试(计算机应用技术专业)(数据结构、C语言程序设计)1999——2001 通信原理(电路与系统、通信与信息系统、信号与信息处理专业)2001通信原理(通信与信息系统、信号与信息处理专业)2002通信原理(物理电子学、光学工程专业)2001汽车理论2004——2006汽车理论和设计2001——2002汽轮机原理2001——2002发动机原理2001综合考试(1)(脉冲与数字电路、微机、高频电路)(电信系各专业、模式识别与智能系统专业)2000综合考试(含程序设计技术、数据结构、计算机组成原理、离散数学)(计算机学院各专业、机械学院各专业、模式识别与智能系统专业)2003综合考试(含数字电路、微机原理)(通信与信息系统、信号与信息处理、模式识别与智能系统专业)2002综合考试二(含通信原理、高频电子线路)(电信系各专业、模式识别与智能系统专业)2000综合考试一(传感器原理、数字电子技术)(控制、机械各专业、建筑技术科学、模式识别专业)2005综合考试(含数据结构、计算机组成原理、离散数学)2004——2005光电检测技术2001——2003,2005综合考试(含信号与线性系统、数字信号处理)2005综合考试(一)(含信号与线性系统、数字信号处理)2003——2004(2004有答案)专业英语翻译(计算机体系结构、软件与理论、应用技术、信息安全专业)2006 专业英语翻译(模式识别与智能系统专业)2006英语专业翻译(机械工程、工业工程、仪器科学与技术、管理科学与工程专业)2006材料科学与工程学院量子力学2001,2002,2003,2004,2005,2006(第1种),2006(第2种),2007物理化学2000——2007(2000——2002有答案)计算机图形学2002化学综合2007化工基础2007生物化工基础2007塑性成形原理2002有机化学(化学各专业、结构工程、环境工程、生物化工专业)2000(2000有答案)有机化学(化学各专业、生物化工、材料加工工程、结构工程等专业)2001(2001有答案)有机化学(化学系各专业、环境科学专业)2002(2002有答案)有机化学(化学各专业)2003(2003有答案)有机化学(化学各专业、材料加工、环境化学专业)2004(2004有答案)有机化学(化学各专业、生物化学与分子生物学、生物信息技术、生物制药工程专业)2005有机化学(B卷)(应用化学等专业)2002有机化学(含高分子化学)(化学各专业及其他相关专业)2006有机化学(环境科学专业)2005无机化学2001——2002,2004——2005无机及分析化学2006无机与分析化学2003分析化学(分析化学、高分子化学与物理专业)2005分析化学(分析化学、高分子化学专业)2004分析化学(化学类各专业)2002分析化学(环境科学专业)2002——2005分析化学(环境科学、能源与环境工程专业)2006分析化学(有机化学、高分子化学与物理、环境工程专业)2001高分子化学2002——2003,2005——2006高分子化学(二)2004——2005高分子化学(一)2004高分子化学及物理2001——2002材料成形原理2003——2007材料科学基础2002——2003,2005——2007材料学基础2001微机原理及接口技术(材料加工工程、数字化材料成形、环境科学与工程专业)2007微机及接口技术(生物医学工程、生物物理学专业)2001微机接口与技术(生物医学工程专业)2003微机原理及接口技术(生物医学工程专业)2002微机原理(8086)及应用(控制科学系各专业、模式识别与智能系统、力学各专业、材料加工工程专业)2000(2000有答案)微机原理(8086)及应用(控制科学与工程系各专业、模式识别与智能系统专业)2001(2001有答案)微机原理(8086)及应用(自动控制工程系各专业、模式识别与智能系统、流体力学、工程力学专业)1999(1999有答案)微机原理(电信系各专业、电子材料与元器件专业)1996(1996有答案)微机原理(电信系各专业、电子材料与元器件专业)1998微机原理(电信系各专业、微电子学与固体电子学专业)1999微机原理(二)(光学工程、物理电子学专业)2002微机原理(光学工程、物理电子学专业)1999——2002微机原理(光学仪器、物理电子学与光电子学专业)1997——1998(1997有答案)微机原理(软件工程专业)2007微机原理(三)(电路与系统专业)2002微机原理(通信与电子系统、信号与信息处理、电路与系统、电磁场与微波技术、电子材料与元器件专业)1997微机原理(一)(电机与电气、电力系统及其自动化、高电压与绝缘技术、电力电子与电力传动、电工理论与新技术专业)2002微机原理及微机控制技术(自动控制理论及应用、工业自动化、模式识别与智能控制专业)1996——1998(1997——1998有答案)微机原理及应用(材料加工工程、数字化材料成形专业)2005——2006微机原理及应用(材料加工工程专业)2003——2004微机原理及应用(电机与电器、电力系统及其自动化、电力电子与电力传动专业)2001微机原理及应用(二)(电力电子与电力传动、微电子学与固体电子学专业)2002 微机原理及应用(机械制造及其自动化、机械电子工程专业)2001微机原理及应用(控制科学与工程系各专业、模式识别与智能系统专业)2001 微机原理及应用(软件工程专业)2006微机原理及应用(三)(控制理论与控制工程、系统工程、固体力学、模式识别、检测技术及自动化装置、工程力学、导航、制导专业)2002(2002有答案)微机原理及应用(水利水电工程、轮机工程、微电子学与固体电子学、供热、供燃气通风及空调工程专业)2001微机原理三(电路与系统专业)2002微机原理与接口技术(生物医学工程专业)2004微机原理与应用(机械制造及其自动化、机械电子工程、车辆工程、精密仪器及机械、测试计算技术及仪器、材料加工工程、轮机工程专业)2002微机原理与应用(机械制造及其自动化、机械电子工程等专业)2001结构力学(固体力学、工程力学专业)2001——2002结构力学(结构工程、道路与桥梁工程专业)2004结构力学(结构工程、桥梁隧道工程、防灾减灾及防护工程专业)2005——2006 结构力学(结构工程、桥梁隧道与工程专业)2002——2003结构力学(结构工程、岩土工程专业)1997——2000(1999有答案)结构力学(结构工程专业)1996,2001结构力学(市政工程、道路与铁道工程专业)2001电动力学2001综合考试(材料加工工程专业)2001——2002陶瓷材料2005——2006陶瓷材料学2001——2002,2004金属材料2004金属材料学2001——2002金属塑性成形原理1997,1999,2001金属学及热处理2001——2002铸件形成理论2002铸件形成理论基础1998,2001铸造金属学及热处理1998,2001专业英语(材料学、纳米材料及技术专业)2006能源与动力工程学院传热学1999,2000,2001(第1种),2001(第2种),2003——2007(1999,2000,2001(第1种)有答案)锅炉原理2001——2002,2005流体机械原理2002内燃机原理2001——2002离心压缩机原理2001工程流体力学2002,2007结构力学(固体力学、工程力学专业)2001——2002结构力学(结构工程、道路与桥梁工程专业)2004结构力学(结构工程、桥梁隧道工程、防灾减灾及防护工程专业)2005——2006 结构力学(结构工程、桥梁隧道与工程专业)2002——2003结构力学(结构工程、岩土工程专业)1997——2000(1999有答案)结构力学(结构工程专业)1996,2001结构力学(市政工程、道路与铁道工程专业)2001不可压缩流体力学2001——2006低温原理与设备2000——2002(2000有答案)电工电子技术2001,2003电站锅炉原理2004化工原理2001,2005制冷原理与设备2001——2002热工自动化2002工程热力学2001(第1种),2001(第2种),2002——2006专业英语翻译(动力机械及工程专业)2006电气与电子工程学院电路理论(电力系统及其自动化、高电压与绝缘技术、电机与电器、电工理论与新技术、电力电子与电力传动、环境工程专业)2001——2003电路理论(电气工程、环境科学与工程专业)2007电路理论(电气工程学科所有专业、环境工程、机械制造及自动化、精密制造、数字化设计专业)2005电路理论(电气工程学科所有专业、环境工程等专业)2006电路理论(电气工程学科所有专业、机械制造及自动化、环境工程、机械电子工程、机械设计及其理论、精微制造工业等专业)2004电路理论(光学工程、物理电子学、控制理论与控制工程、检测技术与自动化装置、系统工程、模式识别与智能系统专业)2002电路理论(光学工程、物理电子学专业)1999——2001电路理论(物理电子学与光电子学、光学仪器专业)1998电磁场2002,2007电磁场与电磁波2001——2006电磁学与热学2005电机学2001——2002电力电子技术2000——2001电力电子学2001——2002电力系统分析1999——2002发电厂及电力系统1998高电压技术2001——2002高压电器2001电子器件2002力学与电磁学2001——2004英语(电力系统及其自动化、电力电子与电力传动、电工理论与新技术、电气信息检测技术专业)2006交通科学与工程学院交通工程2001——2002,2004交通工程学2003,2005——2007综合考试(轮机工程专业)2004高级语言程序设计(C语言)2001——2002城市道路规划与设计2002,2006——2007城市道路设计2001——2005船舶力学基础2007船舶设计原理2001——2002船舶原理2001——2002控制理论(化工过程机械专业)2001控制理论(经典控制理论、现代控制理论)(控制理论与控制工程、检测技术及自动化装置、系统工程、系统信息化技术、系统分析与集成、建筑技术科学、模式识别与智能系统、机械制造及其自动化、机械电子工程、机械设计及理论、精微制造工程、数字化设计及制造、设计艺术学专业)2005控制理论(经典控制理论、现代控制理论)(控制系所有专业、模式识别与智能系统、建筑技术科学专业)2006控制理论(控制理论与控制工程、检测技术及自动化装置、系统工程、机制、机电、车辆、材料加工、轮机工程、模式识别、导航、制导专业)2002(2002有答案)控制理论(控制系、图象所各专业及生物物理学、机械制造及自动化、机械电子工程等专业)2001(2001有答案)控制理论(自控系各专业、机电学院各专业、模式识别与智能控制、内燃机专业)1996(1996有答案)控制理论(自控系各专业、机械学院、交通学院有关专业、制冷及低温工程、模式识别与智能控制专业)1998(1998有答案)控制理论(自控系各专业、机械学院及其他有关专业)1997(1997有答案)控制理论(自控系各专业、机械学院有关专业、制冷及低温工程、生物医学工程、模式识别与智能系统、电力电子与电力传动、轮机工程、动力机械及工程专业)1999(1999有答案)控制理论(自控系各专业、机械制造、机械电子、材料加工、动力机械、模式识别、制冷、轮机工程、车辆工程等专业)2000(2000有答案)控制理论(自控系各专业、模式识别、机电控制等专业)1995(1995有答案)控制理论基础(船舶与海洋工程专业)2007自动控制理论(电机与电器、电力系统及其自动化、电力电子与电力传动专业)2001自动控制理论(电机与电器、电力系统及其自动化、高电压与绝缘技术、电力电子与电力传动、电工理论与新技术、脉冲功率与等离子体、动力工程及其自动化专业)2005自动控制理论(电机与电器、电力系统及其自动化专业)2000自动控制理论(电力系统及其自动化、水力发电工程专业)1998自动控制理论(电气工程所有专业、动力机械及工程专业)2004自动控制理论(电气工程所有专业、制冷及低温工程专业)2002自动控制理论(电气学院所有专业)2006自动控制理论(电气学院所有专业、能源学院部分专业)2003自动控制理论(水利水电工程、电机与电器、电力系统及其自动化专业)1999 自动控制理论(水利水电工程、系统分析与集成专业)2003自动控制理论(水利水电工程专业)2001,2004——2007自动控制原理(水文学及水资源、水利水电工程、系统分析与集成专业)2002 自动控制原理(系统分析与集成、控制科学与工程、机械工程、仪器科学与技术、建筑技术与科学专业)2007结构力学(固体力学、工程力学专业)2001——2002结构力学(结构工程、道路与桥梁工程专业)2004结构力学(结构工程、桥梁隧道工程、防灾减灾及防护工程专业)2005——2006 结构力学(结构工程、桥梁隧道与工程专业)2002——2003结构力学(结构工程、岩土工程专业)1997——2000(1999有答案)结构力学(结构工程专业)1996,2001结构力学(市政工程、道路与铁道工程专业)2001专业英语翻译(船舶与海洋结构物设计制造、轮机工程、交通工程专业)2006力学系材料力学(船舶与海洋结构物设计制造专业)2003——2004材料力学(船舶与海洋结构物设计制造、化工过程机械专业)2001——2002材料力学(船舶与海洋结构物设计制造、水下工程专业)2005——2006材料力学(固体力学、工程力学、材料加工工程专业)2001——2002材料力学(力学系所有专业)2002,2005——2006材料力学(岩土工程、道路与铁道工程、化工过程机械专业)2005——2006材料力学(岩土工程、道路与铁道工程专业)2003——2004材料力学(岩土工程专业)2001——2002材料力学一(固体力学、工程力学、动力机械及工程专业)2004理论力学1997——2006(1997——2001有答案)(另有《理论力学》考研复习内部资料,含理论力学课程考研基本要求、考研试题内容及题型的分析,10元。
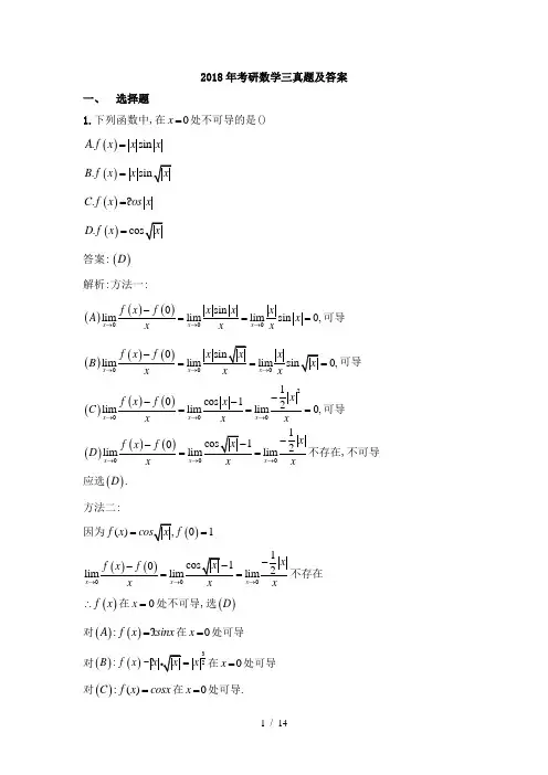
2018年考研数学三真题及答案一、 选择题1.下列函数中,在 0x =处不可导的是()().sin A f x x x = ().B f x x =().?C f x cos x = ().D f x =答案:() D 解析:方法一:()()()000sin 0limlim lim sin 0,x x x x x x f x f x x xx A →→→-===可导 ()()()0000limlim 0,x x x x f x f x x B →→→-===可导()()()20001cos 102limlim lim 0,x x x x x f x f x x C x→→→---===可导 ()()()000102limlim x x x x f f x xD x →→→--==不存在,不可导 应选()D . 方法二:因为()(1)0f f x ==()()000102lim lim x x x x f x f x x→→→--==不存在 ()f x ∴在0x =处不可导,选()D 对()():?A f x xsinx =在 0x =处可导 对()()32:~?B f x xx x =在 0x =处可导对()():x x C f cos =在 0x =处可导.2.设函数()f x 在[0,1]上二阶可导,且()10,f x dx =⎰则()()1'0,02A f x f ⎛⎫<<⎪⎝⎭当时 ()()1''0,02B f x f ⎛⎫<< ⎪⎝⎭当时 ()()1'0,02C f x f ⎛⎫><⎪⎝⎭当时 ()()1''0,02D f x f ⎛⎫>< ⎪⎝⎭当时 答案()D【解析】将函数()f x 在12处展开可得()()()()()222111000''1111',22222''1111111''',22222222f f x f f x x f f x dx ff x x dx f f x dx ξξξ⎛⎫⎛⎫⎛⎫⎛⎫=+-+- ⎪ ⎪⎪ ⎪⎝⎭⎝⎭⎝⎭⎝⎭⎡⎤⎛⎫⎛⎫⎛⎫⎛⎫⎛⎫⎛⎫=+-+-=+-⎢⎥ ⎪ ⎪⎪ ⎪ ⎪ ⎪⎝⎭⎝⎭⎝⎭⎝⎭⎝⎭⎝⎭⎢⎥⎣⎦⎰⎰⎰故当''()0f x >时,()1011.0.22f x dx f f ⎛⎫⎛⎫>< ⎪ ⎪⎝⎭⎝⎭⎰从而有选()D 。
2018年考研数学高数真题答案解析店铺考研网为大家提供2018年考研数学高数真题答案解析,更多考研资讯请关注我们网站的更新!2018年考研数学高数真题答案解析数学二的高等数学部分,还是有一些偏难。
一个比较明显的特点大家都知道,2016年是数一难,2017年是数三难,那么今年2018年比较典型的特点就是数二难。
下面我简单从这个高等数学部分给大家讲解一下咱们2018年考试题的这个特点,纵观这个2018年的高数题目,包括数一数二数三的题目,它有以下几个特点。
第一个特点题目本身比较常规,就像它考的分部积分,约束条件的这种极值都是比较常规的题目。
但是它有一个比较明显的特点,就是题目比较灵活。
虽然是常规题目,但是出题的角度比较灵活,又间杂着一些计算量大,会导致大家在做题过程中不太容易掌握好节奏。
那就说明大家在复习过程中是否注意到了计算量。
如果今天来听直播的有2019的同学,那么大家一定要注意,咱们要引以为戒。
不能热热闹闹一年,年初定个雄心壮志,那你忽略了咱们考研最基本的要求。
基本功要扎实,那基本功扎实要求两个方面,一是基本概念、基本原理要熟练。
第二个就是计算要扎实。
在考场上咱们说了唯一能保证你的是计算能力。
天下武功唯快不破,你计算能力不过关,那你节奏被打乱了,你整个考试的心情就会糟。
大家注意考试题目,咱们该考的都考了,那么你看题目分部积分,包括极限的反问题,给出极限让你求参数,或者让你求极限,或者是连续性,可导性。
在分段间的这种连续性、可导性。
一元函数积分的这种对称性,或者是极坐标和直角坐标这种转换,都是一些常规的题目。
但是题目本身它有一个灵活性,而且还要求一些所谓的计算能力,这是大家应该注意的。
2019的同学更应该注意,计算能力是我们未来所要面对的,千年不变的就是计算能力,这是考研2018年考试题的一个特点。
第二个特点就是怎么体现这种计算能力?今年的命题的一个思路就是函参数,函参数的一个特点是让你讨论,讨论给你AB一个极限,或者是一个方程,给你AB让你去讨论参数,或者是给你一个参数方程,或者是把这种应用题的条件都隐含了,虽然是代等数约束条件的极值,问你给出一个L长的一个线,让你围成圆、正三角形、正方形它的体积最大。
第一部分选择题(共28分)一、单项选择题(本大题共14小题,每小题2分,共28分)在每小题列出的四个选项中只有一个是符合题目要求的,请将其代码填在题后的括号内。
错选或未选均无分。
1.设行列式a aa a11122122=m,a aa a13112321=n,则行列式a a aa a a111213212223++等于()A. m+nB. -(m+n)C. n-mD. m-n2.设矩阵A=100020003⎛⎝⎫⎭⎪⎪⎪,则A-1等于()A.130012001⎛⎝⎫⎭⎪⎪⎪⎪⎪⎪B.100120013⎛⎝⎫⎭⎪⎪⎪⎪⎪⎪C.13000100012⎛⎝⎫⎭⎪⎪⎪⎪⎪D.120013001⎛⎝⎫⎭⎪⎪⎪⎪⎪⎪3.设矩阵A=312101214---⎛⎝⎫⎭⎪⎪⎪,A*是A的伴随矩阵,则A *中位于(1,2)的元素是()A. –6B. 6C. 2D. –24.设A是方阵,如有矩阵关系式AB=AC,则必有()A. A =0B. B≠C时A=0C. A≠0时B=CD. |A|≠0时B=C5.已知3×4矩阵A的行向量组线性无关,则秩(A T)等于()A. 1B. 2C. 3D. 46.设两个向量组α1,α2,…,αs和β1,β2,…,βs均线性相关,则()A.有不全为0的数λ1,λ2,…,λs使λ1α1+λ2α2+…+λsαs=0和λ1β1+λ2β2+…λsβs=0B.有不全为0的数λ1,λ2,…,λs使λ1(α1+β1)+λ2(α2+β2)+…+λs(αs+βs)=0C.有不全为0的数λ1,λ2,…,λs使λ1(α1-β1)+λ2(α2-β2)+…+λs(αs-βs)=0D.有不全为0的数λ1,λ2,…,λs和不全为0的数μ1,μ2,…,μs使λ1α1+λ2α2+…+λsαs=0和μ1β1+μ2β2+…+μsβs=07.设矩阵A的秩为r,则A中()A.所有r-1阶子式都不为0B.所有r-1阶子式全为0C.至少有一个r阶子式不等于0D.所有r阶子式都不为08.设Ax=b是一非齐次线性方程组,η1,η2是其任意2个解,则下列结论错误的是()A.η1+η2是Ax=0的一个解B.12η1+12η2是Ax=b的一个解C.η1-η2是Ax=0的一个解D.2η1-η2是Ax=b的一个解9.设n阶方阵A不可逆,则必有()A.秩(A)<nB.秩(A)=n-1C.A=0D.方程组Ax=0只有零解10.设A是一个n(≥3)阶方阵,下列陈述中正确的是()A.如存在数λ和向量α使Aα=λα,则α是A的属于特征值λ的特征向量B.如存在数λ和非零向量α,使(λE-A)α=0,则λ是A的特征值C.A的2个不同的特征值可以有同一个特征向量D.如λ1,λ2,λ3是A的3个互不相同的特征值,α1,α2,α3依次是A的属于λ1,λ2,λ3的特征向量,则α1,α2,α3有可能线性相关11.设λ0是矩阵A的特征方程的3重根,A的属于λ0的线性无关的特征向量的个数为k,则必有()A. k≤3B. k<3C. k=3D. k>312.设A是正交矩阵,则下列结论错误的是()A.|A|2必为1B.|A|必为1C.A-1=A TD.A的行(列)向量组是正交单位向量组13.设A是实对称矩阵,C是实可逆矩阵,B=C T AC.则()A.A与B相似B. A与B不等价C. A与B有相同的特征值D. A与B合同14.下列矩阵中是正定矩阵的为()A.2334⎛⎝⎫⎭⎪ B.3426⎛⎝⎫⎭⎪C.100023035--⎛⎝⎫⎭⎪⎪⎪D.111120102⎛⎝⎫⎭⎪⎪⎪第二部分非选择题(共72分)二、填空题(本大题共10小题,每小题2分,共20分)不写解答过程,将正确的答案写在每小题的空格内。
中国科学院大学
2018年招收攻读硕士学位研究生入学统一考试试题
科目名称:数学分析
考生须知:
1.本试卷满分为150分,全部考试时间总计180分钟;
2.所有答案必须写在答题纸上,写在试题纸上或草稿纸上一律无效.
一、(15分)计算极限lim x →∞(sin 1x +cos 1x
)x .二、(15分)计算极限lim x →0(4+e 1x 2+e 4x
+sin x x )三、(15分)判断(并证明)函数f (x,y )=√xy 在点(0,0)处的可微性.四、(15分)求三个实常数a,b,c ,使得下式成立lim x →01tan x −ax ∫x b s 2√1−s 2ds =c.五、(15分)计算不定积分∫1sin 6x +cos 6x
dx.六、(15分)设函数f (x )在[−1,1]上二次连续可微,f (0)=0,证明:
∫1−1f (x )dx ≤M 3,其中M =max x ∈[−1,1] f ′′(x ) 七、(15分)求曲线y =12
x 2上的点,使得曲线在该点处的法线被曲线所截得的线段长度最短.八、(15分)设x >0,证明√
1+x −√x =12√x +θ其中θ=θ(x )>0,并且lim x →0θ(x )=14
.九、(15分)设u n (x )=(−1)n (n 2−n +1
)x (n ≥0),求函数f (x )=∞∑n =0u n (x )的绝对收敛,条件收敛以及发
散的区域.
十、(15分)证明
15<∫10xe x √x 2−x +25dx <2√1133.考试科目:数学分析整理人:匣与桔
QQ :1433918251第1页共1页。
2018年考研数学真题 线性代数(2018,I-III,5)下列矩阵中,与矩阵110011001H ⎛⎫ ⎪= ⎪ ⎪⎝⎭相似的是( )111101111101(A)011(B)011(C)010(D)010001001001001----⎛⎫⎛⎫⎛⎫⎛⎫⎪ ⎪ ⎪ ⎪ ⎪⎪ ⎪ ⎪ ⎪ ⎪ ⎪ ⎪⎝⎭⎝⎭⎝⎭⎝⎭【解析】()3,R H =特征值1λ=(三重),()2R E H -=但(A).()3,R A =特征值1λ=(三重),()2R E A -=;(B).()3,R B =特征值1λ=(三重),()1R E B -=(C).()3,R C =特征值1λ=(三重),()1R E C -=;(D).()3,R D =特征值1λ=(三重),()1R E D -=,.故选(A)。
(2018,I-III,6)设矩阵,A B 是n 阶矩阵,()R X 是矩阵X 的秩,则( )(A)(,)()(B)(,)()(C)(,)max{(),()}(D)(,)(,)TTR A AB R A R A BA R A R A B R A R B R A B R A B ====【解析】记B XAX AB ====⇔()(,)R A R A AB =,故选(A)(2018,I,13)设2阶矩阵A 有2个不同的特征值,12,αα为线性无关的特征向量,且满足21212()A αααα+=+,则||A =_________【解析】记111222,,A Aαλααλα==则 22222121122121122()(1)(1)0A ααλαλαααλαλα+=+=+⇒-+-=,又αα12,线性无关,得22121211,1λλλλ==⇒==-,故||1A =-(2018,III,13)设A 为3阶矩阵,123,,ααα为线性无关向量组,112223,=+=+A A αααααα,313=+A ααα,则||=A _________【解析】123123101(,,)(,,)110011⎛⎫ ⎪= ⎪ ⎪⎝⎭A αααααα,取行列式123123101101101(,,)(,,)1101100112011011011=⇒==-=A A αααααα (2018,II,14)设A 为3阶矩阵,12,,ααα为线性无关向量组,1123222,2=++=+A A ααααααα, 3232=-+A ααα则A 的实特征值_________【解析】123123200200(,,)(,,)111111121121⎛⎫⎛⎫ ⎪⎪=-⇒- ⎪ ⎪ ⎪ ⎪⎝⎭⎝⎭:A A αααααα(相似) 220111(2)[(1)2]121λλλλλλ----=--+-|A E |=,故A 的实特征值为2(2018,I-III,20)(本题满分11分)设实二次型2221231232313(,,)()()()f x x x x x x x x x ax =-+++++()I 求 123(,,)0f x x x =的解; ()∏求123(,,)f x x x 的规范性。
1.
解
由1n n n a x x -=-(1n ≥),得
2.
证明 将(1)f 、(0)f 在x 点(01x <<)用Taylor 公式展开并相减,则得
2211
(1)(0)'()''()(1)''()(0)22
f f f x f x f x ξη-=+
---(0,1ξη<<)
,由于(0)(1)f f =,因此得
此不等式可以改进为:'()1f x <(01x <<),因为01x <<时,上式22(1)1x x -+<. 3. 证明 1
221112220
(1)[(,)2(,)(,)]t x f tx ty xyf tx ty y f tx ty dt -++⎰
4.
证明 (反证法),假设00(,)f x y 不是(,)f x y 在,0x y ≥上的最大值。
由于
22
lim (,)0x y f x y +→∞
=,存在0r >,当22
,0,0x y r x y +≥≥≥时,00(,)(,)f x y f x y <。
考察闭区域22{(,):0,0,}D x y x y x y r =≥≥+≤,显然00(,)x y D ∈,由已知(,)f x y 在D 上连续,从而(,)f x y 在D 上取得最大值,设为11(,)f x y 。
显然在D ∂上,总有
00(,)(,)f x y f x y <,因而必有:1111'(,)'(,)0x y f x y f x y ==。
当22,0,0x y r x y +≥≥≥时,0011(,)(,)(,)f x y f x y f x y <≤,因此
11(,)f x y 是(,)f x y 在,0x y ≥上的最大值。
由假设,1100(,)(,)x y x y ≠。
这与已知矛盾,可知假设不真。
5.设处处有''()0f x >.证明:曲线()y f x =位于任一切线之上方,且与切线有唯一公共点.
证明 设00(,)x y 为曲线()y f x =上任一点,在该点处曲线的切线方程为 对曲线()y f x =上任意点,按Taylor 公式展开,得
由''()0f x >知,当0x x ≠时,000()'()()f x f x x x +-()f x <,而00(,)x y 为唯一公共点.得证.
6.求22
49L
xdy ydx
I x y -=+⎰,L 是取反时针方向的单位圆周.
解 L 的参数方程:cos ,sin ,02x y θθθπ==≤≤ 7.
证明 2
2
2
2
222
2222222
()()()()x y z t
x y t f x y z dxdydz
F t x y f x y dxdy
++≤+≤++=++⎰⎰⎰
⎰⎰
2203
2
()2
()t
t r f r dr
r
f r dr
=⎰⎰,当0t >时
因此,()F t (0t >)是严格单调减函数。
8.设级数01n n a n ∞
=+∑收敛,证明10001
n
n n n n a a x dx n ∞∞===+∑∑⎰.
证明 由01n n a n ∞
=+∑收敛知,10()1
n n n a
S x x n ∞
+==+∑在[]0,1上一致收敛,从而
10
()1n n n a S x x n ∞
+==+∑左连续,即110lim 1n n x n a x n -∞+→=+∑01n
n a n ∞
==+∑.对(0,1)x ∀∈,有1
0()1
x
x
n
n
n n n n n n n a a t dt a x dx x n ∞
∞
∞
+=====+∑∑∑
⎰
⎰, 于是100100lim ()x
n
n
n n x n n a x dx a t dt -∞
∞
→===∑∑⎰⎰1100lim 11
n n n
x n n a a x n n -
∞
∞+→====++∑∑. 9.设()f x 在[0,)∞上连续,其零点为01:0n n x x x x =<<<<L L ,
()n x n →∞→∞.证明:积分0
()f x dx ∞
⎰收敛⇔级数1
()n n
x x n f x dx +∞
=∑⎰
收敛.
证明
1
1
()()n N n
N
x x x n f x dx f x dx ++==∑⎰
⎰
,若0
()f x dx ∞
⎰收敛,则
1
1
1
10
()lim ()lim
()()n N N n
N x x x x n x n f x dx f x dx f x dx f x dx ++++∞
+∞
→∞→∞====∑⎰
⎰
⎰
⎰
,即1
()n n
x x n f x dx +∞
=∑⎰
收敛。
若0()f x dx ∞
⎰不收敛,同理可知1
()n n
x x n f x dx +∞
=∑⎰不收敛。
10.设a b <,()n f x 在[,]a b 上连续,()0b
n a f x dx ≥⎰(1,2,n =L ),当n →∞时,
()n f x 在[,]a b 上一致收敛于()f x .证明:至少存在一点0[,]x a b ∈,使得0()0f x ≥.
证明 由()n f x 在[,]a b 上一致收敛于()f x ,得知()f x 在[,]a b 上连续,且数列
()b
n a f x dx ⎰
收敛于
()b
a
f x dx ⎰
,即lim ()()b b
n a
a
n f x dx f x dx →∞=⎰⎰,由于
()0b
n a
f x dx ≥⎰
,得
()0b
a
f x dx ≥⎰
,至少存在一点
0[,]x a b ∈,使得0()0f x ≥.
注 或用反证法:若对[,]x a b ∀∈,有()0f x <,由()f x 的连续性得()0b
a f x dx <⎰,与上面相同证法,推出矛盾.。