重庆大学研究生数理统计期末考试题
- 格式:pdf
- 大小:317.66 KB
- 文档页数:8
概率论与数理统计》期末考试试题及解答1.设事件A,B仅发生一个的概率为0.3,且P(A)+P(B)=0.5,则A,B至少有一个不发生的概率为0.3.解:由题意可得:P(AB+AB)=0.3,即0.3=P(AB)+P(AB)=P(A)-P(AB)+P(B)-P(AB)=0.5-2P(AB),所以P(AB)=0.1,P(A∪B)=P(AB)=1-P(AB)=0.9.2.设随机变量X服从泊松分布,且P(X≤1)=4P(X=2),则P(X=3)=1/e6.解答:由P(X≤1)=P(X=0)+P(X=1)=e^(-λ)+λe^(-λ)=5λe^(-λ/2)得e^(-λ/2)=0.4,即λ=ln2,所以P(X=2)=e^(-λ)λ^2/2!=1/6,又因为P(X≤1)=4P(X=2),所以P(X=0)+P(X=1)=4P(X=2),即e^(-λ)+λe^(-λ)=4λe^(-λ),解得λ=ln2,故P(X=3)=e^(-λ)λ^3/3!=1/e6.3.设随机变量X在区间(0,2)上服从均匀分布,则随机变量Y=X在区间(0,4)内的概率密度为f_Y(y)=1/2,0<y<4;其它为0.解答:设Y的分布函数为F_Y(y),X的分布函数为F_X(x),密度为f_X(x),则F_Y(y)=P(Y≤y)=P(X≤y)=F_X(y)-F_X(0)。
因为X~U(0,2),所以F_X(0)=0,F_X(y)=y/2,故F_Y(y)=y/2,所以f_Y(y)=F_Y'(y)=1/2,0<y<4;其它为0.4.设随机变量X,Y相互独立,且均服从参数为λ的指数分布,P(X>1)=e^(-λ),则λ=2,P{min(X,Y)≤1}=1-e^(-λ)。
解答:因为P(X>1)=1-P(X≤1)=e^(-λ),所以λ=ln2.因为X,Y相互独立且均服从参数为λ的指数分布,所以P{min(X,Y)≤1}=1-P{min(X,Y)>1}=1-P(X>1)P(Y>1)=1-e^(-λ)。
2019年概率论与数理统计期末测试复习题200题[含答案]一、选择题1.已知随机向量(X ,Y )的协方差矩阵V 为7 66 9⎛⎫ ⎪⎝⎭ 求随机向量(X +Y , X —Y )的协方差矩阵与相关系数矩阵。
解:D(X+Y)= DX+DY+2Cov(X, Y)=7+9+2*6=28 D(X-Y)= DX+DY-2Cov(X, Y)=7+9-2*6=4Cov(X+Y , X-Y)= DX-DY =7-9= -22814*282)()(),(,-=-=-+-+=-+Y X D Y X D Y X Y X Cov Y X Y X ρ所以,(X +Y , X —Y )的协方差矩阵与相关系数矩阵分别为 28 -2-2 4⎛⎫ ⎪⎝⎭ 和⎛⎪⎪⎭2.某人外出可以乘坐飞机.火车.轮船.汽车四种交通工具,其概率分别为5%.15%.30%.50%,乘坐这几种交通工具能如期到达的概率依次为100%.70%.60%.90%。
求该人如期到达的概率。
解:设1A ,2A ,3A ,4A 分别表示乘坐飞机.火车.轮船.汽车四种交通工具,B 表示如期到达。
则41()()(|)i i i P B P A P B A ==∑ 0.0510.150.70.30.60.50.90.785=⨯+⨯+⨯+⨯=答:如期到达的概率为0.785。
四(1)设随机变量X 的概率密度函数为, 01()0 Ax x f x ≤≤⎧=⎨⎩,其它求(1)A ; (2)X 的分布函数F (x); (3) P (0.5 < X <2 )。
解: 121001 ()| 1222 A Af x dx Axdx x A +∞-∞=====⎰⎰()2020 ()()0 01 ()()21 ()()xxxxx F x f t dt x F x f t dt tdt x x F x f t dt -∞-∞-∞<==≤<===≥==⎰⎰⎰⎰()当时,当时,当时,122 10, 0(), 0 11, 1tdt x F x x x x =<⎧⎪=≤<⎨⎪≥⎩⎰故(3) P (1/2<X<2)=F(2)—F(1/2)=3/43.已知连续型随机变量X 的分布函数为x B A x F arctan )(+=求(1)A ,B ; (2)密度函数f (x);(3)P (1<X<2 )。
重庆大学全日制学术型硕士研究生 《数理统计》(A )课程试卷2013-2014学年第一学期(秋)请保留四位小数,部分下侧分位数为:0.95 1.65u =,0.99 2.33u =,20.95(1) 3.841χ=,0.95(3,6)9.78f =一、(18分)设1X ,2X ,…,64X 是来自总体N (0,2σ)的样本,X ,2S 分别是样本均值和样本方差:(1)求参数c 满足{}0.1P X S c >⋅=;(2)求概率22122234{1}X X P X X +>+;(3)求322321(2)i i i D X X X +=⎡⎤+-⎢⎥⎣⎦∑。
(请写出计算过程)解:(1)~(1)t n-{}}0.1P X S c P c ∴>⋅=>=得0.95(63)c t = 故 1.650.20638c ==(2)2~(0,)X N σ22212(/)(/)~(2)X X σσχ∴+ 同理22234(/)(/)~(2)X X σσχ+2222223412122234(/)(/)(/)(/)/~(2,2)22X X X X X X F X X σσσσ+++∴=+ 22122234{1}{(2,2)1}X X P P F X X +>=>+ 且0.50.50.51(2,2)(2,2)1(2,2)F F F =⇒= 得2222121222223434{1}1{1}0.5X X X X P P X X X X ++>=-≤=++ (3)令2~(2,2)i i n i Y X X N μσ+=+,112n i i Y Y X n ===∑ 221()(1)ni Y i T Y Y n S =∴=-=-∑3232223211(2)[()]i i i i i D X X X DT D Y Y +==⎡⎤+-==-⎢⎥⎣⎦∑∑2~(0,2(11/))i Y YN n σ-+~(0,1)YN=3222422421[2(11/)4(11/)((32))256(11/32)i Y D n n D σσχσ=+=+=+∑二、(26分)设1X ,2X ,…,n X 是来自总体2~(2,)(0)X N σσ>的样本,{}0.95P X A <=。
数理统计学复习题1.设总体(0,1)X N ,125,,,X X X 是来自总体X 的简单随机样本,试确定C 使统计量1212222345()()C X X Y X X X +=++服从t 分布。
2.设12,,,n X X X 是来自总体2(0,)X N σ 的简单随机样本,问统计量2221(1)nii X U n X ==-∑服从什么分布?试说明你的理由。
3.求总体(20,3)N 的容量分别为10、15的两独立样本的均值差的绝对值大于0.3的概率。
4.设12,,,n X X X 为取自总体2(,)X N μσ 的简单随机样本,求常数C ,使得12111()n i i i X X C-+=-∑为2σ的无偏估计量。
5.设总体X 服从参数为θ的指数分布,其分布密度函数为11,0()0,0x ex f x x θθ-⎧>⎪=⎨⎪≤⎩12,,,n X X X 为取自总体X 的样本,试求参数θ的矩估计、极大似然估计,并讨论估计的无偏性、有效性、相合性和充分性。
6.设总体X 的密度函数为22(),0xxf x ex θθ-=>,12,,,n X X X 为取自总体X 的样本,试求参数θ的极大似然估计,并讨论估计的无偏性、有效性、相合性和充分性。
7.设总体X 服从参数为λ的泊松分布,12,,,n X X X 为取自总体X 的样本,试求参数λ的矩估计、极大似然估计,并讨论估计的无偏性、有效性、相合性和充分性。
8.设总体X 的密度函数为111()(01)f x x x θθ-=<<,12,,,n X X X 为取自总体X 的简单随机样本,求参数θ的矩估计和极大似然估计量,并讨论极大似然估计量的无偏性、有效性、相合性和充分性。
9.设铅的比重近似服从正态分布,今测量比重16次,得 2.705x =,0.029s =,试求铅的比重的均值μ和标准差σ的置信水平为0.95的置信区间。
已知0.025(15) 2.1315t =,20.025(15)27.488χ=,20.975(15) 6.262χ=。
()(){}{}()22222111221121221164~,~(8),89111,01(1)11~(0,1)1.28 1.280.281(2)0.261 1.8360.2619818ni i n X N S S X S n X X X X E X X n n n n n D X X DX DX DX X X N n n n P X X P U X P X S P μχσμ=-=--=--=---⎛⎫-=+==⇒- ⎪⎝⎭->=>=⎛ -⎧⎫ <-+<=<⎨⎬ ⎩⎭⎝∑解:由题可知(,)且与相互独立(){}22222222241164. 1.836896464 = 2.08814.688=~(9)991188= 2.08814.688=0.90.01=0.89423948i i i S X X P S S P X X χχχμ=⎧⎫⎫⎪⎪⎪⎪⎪⎪+<⎨⎬⎪⎪⎪⎪⎪⎪⎭⎩⎭⎧⎫⎛⎫⎛⎫⎪⎪ ⎪ ⎪--⎪⎪⎪ ⎪<+<+⎨⎬ ⎪ ⎪⎪⎪⎪ ⎪⎪⎪⎝⎭⎝⎭⎩⎭<<-⎛⎫- ⎪⎝⎭=⋅∑,其中原式()()()()(){}24882255448822554821584~(0,1)=~4998244~(4)8944 2.132= 2.132=0.1i ii i i i i i i i i ii i N X X X t t X XP X XP t μμχμμμμμμ======⎛⎫ ⎪⎛⎫⎛⎫ ⎪-- ⎪ ⎪ ⎪⎝⎭⎝⎭ ⎪⎝⎭⎛⎫⎛⎫⎛⎫-- ⎪⎪⎪⎝⎭⎝⎭==--⎧⎫⎛⎫⎪⎪-≤-≤⎨⎬ ⎪⎝⎭⎪⎪⎩⎭∑∑∑∑∑∑∑∑∑()则,()()()(){}222222222891(4)=8~1~(1,8)6498911=(1,8)58.82(8,1)10.90.158.8258.82XXX F FSSXP P F P FSμμμχμ-⎛⎫⎪--==⎧⎫-⎪⎪⎧⎫<<=<=-=⎨⎬⎨⎬⎩⎭⎪⎪⎩⎭(),则也可以用T分布与F分布的关系.0020001111()()1ln(1)11,,ˆˆˆ1ln(1),,ln(1)ln(1)2(;,...,)(;)ln (;,...,)=01ˆ=()()似然方程:得到参数的极大似然估计,再由i A nnx n n xn i i i n P X A F A e p p A EX DX A EX p EX X A EX p X p L x x f x e e d L x x nnx d Xλλλλλλλλλλλλλλλ---==<==-=-=-===--=∴=--=--====-∏∏ 0000010000ln(1)ˆln(1)ˆln(1)ˆ(3)=ln(1)=ln(1)==ˆln (;,...,)ln(1){[ln(1)][]}ln(1)ˆ()ln(1)ˆˆ极大似然估计的不变性,推出的极大似然估计为是的无偏估计且是的无偏估计是有效n A p A X p p EA E X p p EX A AA d L x x p n n nx X p d p n AA p AA A λλλλλλ-=-=----⎡⎤----⎣⎦∴-=-=-----=--∴ ()202ˆlim ln(1)ˆlim lim 0ˆ估计又是相合估计量n n n EA A p DA n Aλ→∞→∞→∞⎧=⎪⎨-⎪==⎩∴221212121222122222222221222121.422,2~222(1)(1)~01~(2) (1)(1)(1)(1)2=222X YX Y X YX X X X Nn mX X n S m SU N n mn S m S n S m S X X Sn mX Xtωσσμμμμμμχχσσσσ+++++-+--==++----+-+++-+-+==的无偏估计为且(,+)(,)又且与独立,记则()()()()()()()121212212121211221212122222=22=22222=12122t n mP t t n mX XP t n m t n mP X X t n m S X X t n m SX X t n m Sαααααωαμμμμαμμα-----+-⎧⎫≤+-⎨⎬⎩⎭⎧⎫⎪⎪+-+⎪⎪+-≤≤+-⎨⎬⎪⎪⎪⎪⎩⎭⎧⎪+-+-≤+≤+++-⎨⎪⎩-+-+±+-因此构造的置信区间为{}{}121201212120121212121212.222=022,22=02=02=0=的无偏估计为,在:成立的条件下,大于某个常数应该是小概率事件,因此构造拒绝域:以下确定常数由X X H X X c K X X c cP X X c P P t t μμμμμμμμμμα+++++>+>+⎧⎫⎪⎪⎪=>+⎬⎪⎪⎭⎧⎫⎪⎪⎪⎪=>+=⎨⎬⎪⎪⎪⎪⎩⎭()()122n m c t n m S ααω--+-⇒=+-拒绝域为:3133011331122333333111~(1,).~(3)220.220.230.20.20.80.20.104220.4因为所以,类错误(弃真):为真类错误(纳伪):为真i i i i i i i i i i i i i i X B p X B p P X H P X p P X p P X p C C P X H P X p αβ=======I ⎧⎫⎧⎫=≥=≥=⎨⎬⎨⎬⎩⎭⎩⎭⎧⎫⎧⎫===+==⎨⎬⎨⎬⎩⎭⎩⎭=+=II ⎧⎫⎧=<=<=⎨⎬⎨⎩⎭⎩∑∑∑∑∑∑∑313311223333120.4120.430.410.40.60.40.648i i i i i i P X p P X p P X p C C ===⎫⎬⎭⎧⎫=-≥=⎨⎬⎩⎭⎧⎫⎧⎫=-==-==⎨⎬⎨⎬⎩⎭⎩⎭=--=∑∑∑()()221221111211=200ˆnE i i i n n nEi i i i i i i i i ni ii nii S y x dS y x x y x x d x yxββββββ======-=--=⇒-==∑∑∑∑∑∑解:()利用最小二乘估计使残差平方和最小参数的最小二乘估计量为2211222111111221111ˆ2=~(,)ˆˆˆ~(,)111ˆ===11ˆ(),由正态分布的性质推知服从正态分布ni ii i i i ni ii nnni i iiiinnni i i i i ii i i ni i nn i i i i i x YY x N x xN E D E E x Y x EY x x x x xD D x Y x x ββεβσβββββββ============+⎛⎫ ⎪ ⎪= ⎪ ⎪⎝⎭⎛⎫⎛ ⎪ ⎪ == ⎪ ⎪⎝⎭⎝∑∑∑∑∑∑∑∑∑∑∑()()()()()222211221222111112211ˆ~(,)ˆˆˆ3=ˆˆˆ2(,)ˆ(,)(,)因此,()nii ni ii n i i nnE i iiiiii i nni i i i i ii i ni ii ii i i i nniii i xDY xN x ES E Y x D Y x E Y x D Y x DY D x Cov Y x x Yx Cov Y x Cov Y x C xxσσβββββββββ==========⎫⎪⎪=⎪ ⎪⎭⎡⎤-=-+-⎣⎦⎡⎤=-=+-⎣⎦==∑∑∑∑∑∑∑∑∑∑()222221112222222222221111(,)(,)221则ni i i i i i i nni iii i nni i Enni i iii i x x ov Y x Y Cov Y Y xxx x ESn n n xxσσσσσσσσ==========+-=+-=-∑∑∑∑∑∑∑因素:车型水平:3种不同的车型A,B,C方差分析前提假设:正态性,方差齐次性,独立性对比分位数:0.95(2,9) 4.26F F >=,拒绝原假设0123:H μμμ==,认为这三种车型耗油量有显著差异。
研究生课程考核试卷(适用于课程论文、提交报告)科目:数理统计教师:刘琼荪姓名: xxx 学号: 20150702xxx 专业:机械工程类别:学术上课时间: 2016 年 3 月至 2016 年 4 月考生成绩:卷面成绩平时成绩课程综合成绩阅卷评语:阅卷教师 (签名)我国上世纪70-90年代民航客运量回归分析摘要:中国民航从上实际50年代发展至今已有60多年的历史,这期间中国民航经历了曲折的发展。
随着改革开发以来,中国人民的生活水平日渐提高,出行坐乘飞机逐渐人们可选的交通方式。
我国民航客运量逐年提高,为了研究其历史变化趋势及其成因,现以民航客运量作为因变量y,假设以国民收入x1、消费额x2、铁路客运量x3、民航航线里程x4、来华旅游入境人数x5为影响民航客运量的主要因素。
利用SPSS和excel软件通过建立回归模型分析我国民航客运量主要受到其中哪些因素的影响,并就回归模型分析具体可能的成因。
关键词:民航客运量影响因素回归模型一、问题提出及问题分析2004年,民航行业完成运输总周转量230亿吨公里、旅客运输量1.2亿人、货邮运输量273万吨、通用航空作业7.7万小时。
截止2004年底,我国定期航班航线达到1200条,其中国内航线(包括香港、澳门航线)975条,国际航线225条,境内民航定期航班通航机场133个(不含香港、澳门),形成了以北京、上海、广州机场为中心,以省会、旅游城市机场为枢纽,其它城市机场为支干,联结国内127个城市,联结38个国家80个城市的航空运输网络。
民航机队规模不断扩大,截止至2004年底,中国民航拥有运输飞机754架,其中大中型飞机680架,均为世界上最先进的飞机。
2004年中国民航运输总周转量达到230亿吨公里(不包括香港、澳门特别行政区以及台湾省),在国际民航组织188个缔约国中名列第3位。
从上述事实可以看出我国民航的发展所取得的成果显著。
当前我国民航客运量相当巨大,而影响我国航运客运量的因素有很多,例如第三产业增加值(亿元),城市居民消费水平(绝对元),定期航班航线里程(万千里)等[1]。
一、问题提出和问题分析今天的重庆,肩负着中央赋予的历史重任——着力打造西部地区的重要增长极、长江上游地区的经济中心、成为统筹城乡发展的试验者、在西部地区率先实现全面建设小康社会的目标。
2010年初,又一重要规划将重庆发展提升到国家战略——重庆被确定为国家五大中心城市之一,是中西部地区唯一入选的城市。
这说明,重庆未来的发展不可限量。
自1997年直辖以来,重庆市的经济社会发展极为迅猛。
全市的GDP由1997年的1360.24亿元增长至2010年的7894.2亿元,而整个社会的发展进步也有目共睹。
在重庆过去、现在和未来的发展进程中,在重庆的各种发展规划的要求下,建设必将成为山城的另一个符号。
过去十多年中的大规模、大范围的建设成就了现在的重庆,而重庆未来的发展将需要更多的建设。
作为重庆建设中最重要的一环,建筑业在重庆显然有着重要的地位。
建筑业这种专门从事土木工程、房屋建设和设备安装以及工程勘察设计工作的生产部门,为重庆的发展建设提供着众多的基础设施,满足着居住、工业、商业、办公等各种城市需求。
数据显示,在过去的数年中,重庆市建筑业的总产值占全市GDP的7%-8%,是名副其实的支柱产业。
因此建筑业的发展情况,可以从侧面反映出整个重庆社会经济的发展情况,对重庆建筑业的研究就有了很大的现实意义。
建筑企业是建筑业的主体。
众多的建筑企业的良好发展构成了建筑业的良好发展。
对于建筑企业来说,要实现企业的良好经营和发展,必须要有良好的收入来支撑。
在建筑企业收入的众多影响因素中,企业的劳动生产率无疑是值得关注的一个。
企业都在致力于提高自身的劳动生产效率,而不断提高的劳动生产率,可使得企业的生产经营行为更具效率,因而获得更多的收入,实现更好的发展。
所以,研究重庆市建筑企业劳动生产率与企业收入的关系,可从一个角度来了解重庆市建筑企业的发展情况,从而了解到了重庆建筑业的发展以至于重庆市的经济发展情况。
为了找出二者之间的关系或者规律性,本文采用2001-2010这十年中重庆建筑企业劳动生产率和企业平均收入的数据,通过数学分析,找出二者关系。
班级 姓名 班内序号习题一 样本空间、随机事件、概率一、填空题.1.设,,A B C 为三事件,用,,A B C 的运算关系表示下列各事件.(1)A 发生,B 与C 不发生:(2)A 与B 都发生,而C 不发生:(3),,A B C 中至少有一个发生:(4),,A B C 都不发生:(5),,A B C 中不多于一个发生:(6),,A B C 中不多于两个发生:(7),,A B C 中至少有两个发生:2.设,A B 为两随机事件且3()7P AB =,4()()7P A P B ==,则()P A B ⋃=3.设A B ⊃,(),()P A p P B q ==,则()P A B -=4.判断下列命题的正误.(1)()A B AB B ⋃=⋃ ( ) (2)AB A B =⋃ ( )(3)若,,AB C A BC φφ=⊂=且则( ) (4)若B A A B A ⊂⋃=,则( )二、计算题.1.写出下列随机试验的样本空间Ω和下列事件所包含的样本点.(1)掷一颗骰子,出现奇数点.(2)掷两颗骰子,A =“出现点数之和为奇数,且恰好其中有一个1点”2.设,A B 为两事件且()0.6,()0.7P A P B ==,问(1)在什么条件下()P AB 取到最大值,最大值是多少?(2)在什么条件下()P AB 取到最小值,最小值是多少?3.设,,A B C 为三事件,且1()()(),()()04P A P B P C P AB P BC =====, 1()8P AC =,求,,A B C 至少有一个发生的概率.4.设,A B 为两事件,且()0.7,()0.3P A P A B =-=,求()P AB .班级姓名班内序号习题二古典概型一、填空题.1.已知6只产品中有两只次品,在其中任取两只,则两只都是正品的概率是2.设一同学书桌上放着9本书,其中有3本英语书,现随机取两本,取到的全是英语书的概率为3 .在11张卡片上分别写上probability这11个字母,从中任意连续抽取7张进行排列,则排列结果为ability的概率为二、计算题.1.对一个5人学习小组考虑生日问题:(1)求5个人的生日都在星期日的概率;(2)求5个人的生日都不在星期日的概率;(3)求5个人的生日不都在星期日的概率.2.从52张扑克牌中任意取出13张,问有5张黑桃,3张红心,3张方块,2张梅花的概率是多少?3.在房间里有10个人,分别佩戴从1号到10号的纪念章,任选3人记录其纪念章的号码.(1)求最小号码为5的概率. (2) 求最大号码为5的概率.4.随机地向半圆0)y a <<为正常数内掷一点,点落在半圆内任何区域的概率与区域的面积成正比,则原点和该点的连线与x 轴的夹角小于4π的概率是多少?班级 姓名 班内序号习题三 条件概率、全概率公式一、计算题.1.设()0.3,()0.4,()0.5P A P B P AB ===,求()P B A B ⋃.2.已知在10只产品中有2只次品,在其中取两次,每次任取一只,作不放回抽样,求下列事件的概率:(1)两只都是正品;(2)两只都是次品;(3)一只是正品,一只是次品;(4)第二次取出的是次品.3.某人忘记了电话号码的最后一个数字,因而他随意地拨号,问他拨号不超过3次而接通所需电话的概率.若已知最后一个数字是奇数,那么此概率是多少?4.已知男子有5%是色盲患者,女子有0.25%是色盲患者.今从男女人数相等的人群中随机地挑选一人,恰好是色盲患者,问此人是男性的概率是多少?5.有两箱同种类的零件.第一箱装50只,其中10只一等品;第二箱装30只,其中18只一等品.今从两箱中任挑出一箱,然后从该箱中取零件两次,每次任取1只,作不放回抽样.求(1)第一次取到的零件是一等品的概率.(2)第一次取到的零件是一等品的条件下,第二次取到的也是一等品的概率.班级 姓名 班内序号习题四 独立性一、填空题.1.假设,A B 是两个相互独立的事件,()0.7,()0.3P A B P A ⋃==,则()P B =2.某人向同一目标重复射击,每次命中率为(01)p p <<,则此人第4次射击恰好是第二次命中的概率为二、计算题.1.三人独立地去破译一份密码,已知各人能译出的概率分别为111,,534,问三人中至少有一个能将密码译出的概率是多少?2.袋中装有m 只正品硬币,n 只次品硬币(次品硬币的两面均有国徽),在袋中任取一只,将它投掷r 次,已知每次都得到国徽,问这只硬币是正品的概率是多少?3.甲、乙、丙3人独立地向飞机射击,设击中的概率分别是0.4,0.5,0.7,若只有一人击中,则飞机被击落的概率为0.2;若有两人击中,则飞机被击落的概率为0.6;若三人都击中,则飞机一定被击落,求飞机被击落的概率.4.证明:若()()P A B P A B =,则,A B 相互独立.(提示:()()()P AB P A P AB =-)班级姓名班内序号习题五离散型随机变量及其分布律1.一袋中装有5只球,编号为1,2,3,4,5,在袋中同时取3只,以X 表示3只求中的最大号码,写出随机变量X的分布律.2.进行重复独立试验,设每次试验成功的概率为p,失败的概率为=-<<.1(01)q p p(1)将试验进行到出现一次成功为止,以X表示所需的试验次数,求X的分布律.(此时称X服从以p为参数的几何分布)(2)将试验进行到出现r次成功为止,以Y表示所需的试验次数,求Y的分布律.(此时称Y服从以,r p为参数的巴斯卡分布)3.设离散型随机变量X 的分布律为:{},(1,2,3,)kP X k b k λ===L 且0b >,求λ的值.4.设随机变量X 服从泊松分布,且满足{1}{2}P X P X ===,求{4}P X =.5.甲、乙两人投篮,投中的概率分别为0.6,0.7,今各投3次,求(1)两人投中次数相等的概率; (2)甲比乙投中次数多的概率.班级姓名班内序号习题六分布函数与连续型随机变量(一)1.将一枚硬币连抛2次,以X表示正面朝上的次数,写出X的分布律和分布函数,并画出分布函数的图形.2.以X表示某商店从早晨开始营业起到直到第一个顾客到达的等待时间(以分钟计),X的分布函数是0.41,0(),0,0xXe xF xx-⎧->=⎨≤⎩求下述概率:(1){3}P至多分钟;(2){}P至少4分钟;(3){3}P分钟至4分钟之间;(4){3}} P至多分钟或至少4分钟;(5){ 2.5}P恰好分钟3.设连续型随机变量X 的分布函数为:,0(),(0)0,0x A Be x F x x λλ-⎧+≥=>⎨<⎩(1)求常数,A B ;(2)求{2},{3}P X P X ≤>;(3)求密度函数()f x4.已知随机变量X 的密度函数为:(),()xf x Ae x -=-∞<<+∞求:(1)常数A 的值;(2){01}P x <<(3)()F x班级 姓名 班内序号习题七 连续型随机变量(二)一、填空题.1.设随机变量X 服从指数分布,其密度函数为:,0()0,0x e x f x x -⎧>=⎨≤⎩,含有变量a 的二次方程220a a X ++=有实根的概率为 2.记z α为标准正态随机变量的上α分位点,则0.01z = , 0.003z = ,0.997z = . 二、计算题.1.某种型号的器件的寿命X (以小时计)具有以下的概率密度:21000,1000()0,x f x x ⎧>⎪=⎨⎪⎩其它现有一大批此种器件(设各器件损坏是否相互独立),任取5只,问其中至少有一只寿命大于1500小时的概率是多少?2.设2~(3,2)X N ,求 (1){25}P X <≤,{2}P X >(2)确定c 使得{}{}P X c P X c >=≤(3)设d 满足{}0.9P X d >≥,问d 至多为多少?3.设随机变量X Y 与均服从正态分布,且2~(,4)X N μ,2~(,5)Y N μ,试比较以下12p p 和的大小.12{4},{5}p P X p P Y μμ=≤-=≥+4.设随机变量2~(,)X N μσ,试问:随着σ的增大,概率{}P X μσ-<是如何变化的?班级 姓名 班内序号习题八 随机变量函数的分布1.设随机变量X 的分布律为:求2Y X =的分布律.2.设随机变量X 服从(0,1)上均匀分布. (1)求XY e =的概率密度.(2)求2ln Y X =-的概率密度.3.设~(0,1)X N ,求Y X =的概率密度.4.设随机变量X 的概率密度为22,0()0,xx f x ππ⎧<<⎪=⎨⎪⎩其它,求sin Y X =的概率密度.5.设随机变量X 服从参数为12的指数分布,证明:21X Y e -=-在区间 (0,1)上的均匀分布.班级 姓名 班内序号习题九 二维随机变量和边缘分布一、填空题.1.设二维随机变量(,)X Y 的联合分布函数为2(,)(arctan )(arctan ),(,)22x F x y A B y x y R π=++∈则常数A = B =2.设二维随机变量(,)X Y 的联合分布函数为(,)F x y ,则{,}P a X b Y d <≤≤=二、计算题.1.箱子中装有12只开关,其中2只次品,取两次,每次任取一只,考虑两种试验:(1)放回抽样(2)不放回抽样,我们定义随机变量,X Y 如下:0,1,X ⎧=⎨⎩若第一次取的是正品若第一次取的是次品 0,1,Y ⎧=⎨⎩若第二次取的是正品若第二次取的是次品试分别就(1)(2)两种情况,写出,X Y 的联合分布律.2.设随机变量(,)X Y 的概率密度为 (6),02,24(,)0,k x y x y f x y --<<<<⎧=⎨⎩其它(1)确定常数k ; (2)求{1,3}P X Y <<;(3)求{ 1.5}P X <; (4)求{4}P X Y +≤.3.设随机变量(,)X Y 的概率密度为 ,0(,)0,y e x yf x y -⎧<<=⎨⎩其它(1)求随机变量X 的密度()X f x ; (2)求{1}P X Y +≤.班级 姓名 班内序号习题十 条件分布、相互独立的随机变量1. 设二维随机变量(,)X Y 的联合分布律如下:(1)求X Y 和的边缘分布;(2)求在0.4Y =的条件下X 的分布律;(3){50.4}P X Y ≥=;(4)判断X Y 和是否相互独立.2. 设二维随机变量(,)X Y 的概率密度为:1,,01(,)0,y x x f x y ⎧<<<=⎨⎩其它(1)求条件概率密度(),()Y X X Y f y x f x y ;(2)判断X Y 和是否相互独立.3. 设二维随机变量(,)X Y 的概率密度为:2221,1(,)40,x y x y f x y ⎧≤≤⎪=⎨⎪⎩其它(1)求边缘概率密度;(2)判断X Y和是否相互独立.4.在(0,1)上随机取两个数,求这两个数之差的绝对值小于12的概率.5.设X Y和是两个相互独立的随机变量,X在(0,1)上服从均匀分布,Y的概率密度为:21,0 ()20,0yYe yf yy-⎧>⎪=⎨⎪≤⎩(1)求X Y和的联合概率密度;(2)设含有a 的二次方程为220a Xa Y ++=,试求a 有实根的概率.6*.设随机变量X Y 和相互独立,下表列出随机变量(,)X Y 联合分布律及关于X Y 和的边缘分布律中的部分数值,试将其余数值填入表中空白处.班级 姓名 班内序号习题十一 随机变量函数的分布一、填空题.1、 设随机变量X Y 与相互独立,且均服从区间(0,3)上的均匀分布, 则{max(,)1}P X Y ≤=2、 设X Y 与为两个随机变量,且3{0,0},7P X Y ≥≥=4{0}{0},7P X P Y ≥=≥=则{max(,)0}P X Y ≥=二、计算题1.设X Y 与为两个独立的随机变量,其概率密度分别为:1,01()0,X x f x ≤≤⎧=⎨⎩其它, ,0()0,y Y e y f y -⎧>=⎨⎩其它求随机变量Z X Y =+的概率密度.2.设X Y 与为两个独立的随机变量,其概率密度分别为:,0()0,0x X e x f x x λλ-⎧>=⎨≤⎩,,0(),(,0)0,0y Y e y f y y μμμλ-⎧>=>⎨≤⎩为常数引入随机变量 1,0,X YZ X Y ≤⎧=⎨>⎩,(1)求条件概率密度()X Y f x y ;(2)求Z 的分布律和分布函数.3.设某种型号的电子元件的寿命(于小时计)近似地服从2(160,20)N 分布,随机地取4只,求其中没有一只寿命小于180的概率.4.设X Y 与相互独立,1{},(1,0,1)3P X i i ===-,Y 的概率密度为 1,01()0,Y y f y ≤≤⎛=⎝其它,记Z X Y =+, (1)求1{0}2P Z X ≤=;(2)用全概率公式计算{ 1.4}P Z ≤5.设随机变量,X Y 相互独立,且服从同一分布.试证明: 22{min(,)}[{}][{}]P a X Y b P X a P X b <≤=>->班级 姓名 班内序号习题十二 数学期望一、填空题.1.X 服从参数为1的指数分布,则2(23)XE X e-+=2.~(1)X π,则{2()}P X E X ==二、计算题.1.某产品的次品率为0.1,检验员每天检验4次.每次随机地取10件产品进行检验,如发现其中的次品数多于1,就去调整设备.以X 表示一天中调整设备的次数,试求()E X .(设各产品是否为次品是相互独立的)2.设随机变量X Y 与的联合概率分布如下:求()E X ,()E Y ,()E XY .3.设(,)X Y 的概率密度为: 212,01(,)0,y y x f x y ⎧≤≤≤=⎨⎩其它求()E X ,()E Y ,()E XY ,22()E X Y +.4.将n 只球(1~n 号)随机地放进n 只盒子(1~n 号)中去,一只盒子装一只球.若一只球装入与球同号的盒子中,称为一个配对,记X 为总的配对数,求()E X .班级 姓名 班内序号习题十三 方差一、填空题.1.设~(,)X b n p ,则()E X = ,()D X = 2.设~()X πλ,则()E X = ,()D X = 3.设~(,)X U a b ,则()E X = ,()D X =4.设X 服从参数为θ的指数分布,则()E X = ,()D X = 5.设2~(,)X N μσ,则()E X = ,()D X = 6.已知随机变量~(3,1),~(2,1)X N Y N -,且,X Y 相互独立,27Z X Y =-+,则~Z二、计算题.1.设随机变量1234,,,X X X X 相互独立,且有(),()5,i i E X i D X i ==-(1,2,3,4)i =.设12341232Y X X X X =-+-,求(),()E Y D Y .2.卡车装运水泥,设每袋水泥的重量X (以公斤计)服从2(50,2.5)N ,问最多装多少袋水泥使总重量超过2000的概率不大于0.05.3.设随机变量,X Y 相互独立,且~(6,16),~(1,9)X N Y N ,求 (1){}P X Y >,(2){7}P X Y +>4.设X 为随机变量,C 为常数,证明2(){()}D X E X C ≤-.班级 姓名 班内序号习题十四 协方差与相关系数一、填空题.1.设()1,()1,()1,()2,(,)1E X D X E Y D Y Cov X Y =-====, 则(34)E X Y += ,(34)D X Y -= 2.设()2,()3,(,)1D X D Y Cov X Y ===-, 则(321,43)Cov X Y X Y -++-=3.设~(0,1),~(1,4)X N Y N ,1xy ρ=,则{21}P Y X =+=4.设221212(,)~(,,,,)X Y N μμσσρ,则X Y 和相互独立的充要条件是ρ=二、计算题.1.设随机变量(,)X Y 具有概率密度:1(),02,02(,)80,x y x y f x y ⎧+≤≤≤≤⎪=⎨⎪⎩其它求()E X ,()E Y ,(,),,().XY Cov X Y D X Y ρ+2.设二维随机变量(,)X Y 的概率密度为:221,1(,)0,x y f x y π⎧+≤⎪=⎨⎪⎩其它,试验证X Y 和是不相关的,但X Y 和不是相互独立的.3.设(,)X Y 服从二维正态分布,且有22(),()X Y D X D Y σσ==,证明当222/X Y a σσ=时随机变量W X aY X aY =-=+与V 相互独立.班级 姓名 班内序号习题十五 大数定律与中心极限定理一、填空题.1.设随机变量X 具有2(),()E X D X μσ==,则有切比雪夫不等式,有{3}P X μσ-≥≤2.设12,,,,n X X X L L 相互独立同分布,且()n E X =0,则1lim {}ni n i P X n →∞=<=∑二、计算题.1.计算器在进行加法时,将每个加数舍入最靠近它的整数.设所有舍入误差是独立的且在(-0.5,0.5)上服从均匀分布.(1)若将1500个数相加,问误差总和的绝对值超过15的概率是多少?(2)最多可有几个数相加使得误差总和的绝对值小于10的概率不小于0.90?2.设有1000个人独立行动,每个人能够按时进入掩蔽体的概率为0.9,以95%概率估计,在一次行动中,至少有多少人能够进入?3.在一家保险公司里有10000人参加保险,每人每年付12元保险费,在一年内一个人死亡的概率为0.006,死亡者其家属可向保险公司领得1000元赔偿费,求:(1)保险公司没有利润的概率为多大?(2)保险公司一年的利润不少于60000元的概率为多大?4.一复杂的系统由n个相互独立起作用的部件所组成,每个部件的可靠性为0.90,且必须至少有80%的部件工作才能使整个系统正常工作,问n至少为多大才能使系统的可靠性不低于0.95?班级 姓名 班内序号习题十六 样本及抽样分布(一)一、填空题.1.设12,,,n X X X L 为来自总体2(0,)N σ的样本,且随机变量221()~(1)ni i Y C X χ==∑,则常数C =2.设1234(,,,)X X X X 取自正态总体2~(0,2)X N 的样本,且22123411(2)(34)20100Y X X X X =-+-,则,~Y 分布. 二、计算题.1.在总体2(52,3)N 中随机抽一容量为36的样本,求样本均值X 落在50.8到53.8之间的概率.2.求总体(20,3)N 的容量分别为10,15的两独立样本均值差的绝对值大于0.3的概率.3.设1210,,,X X X L 为2(0,0.3)N 的一个样本,求1021{ 1.44}ii P X=>∑.4.设总体2~()X n χ,1210,,,X X X L 是来自X 的样本,求2(),(),()E X D X E S .班级 姓名 班内序号习题十七 样本及抽样分布(二)二、填空题.1.设总体2~(,)X N μσ,12,,,n X X X L 为来自X 的样本,则22221()(1)~ni i X X n S σσ=--=∑分布,221()~ni i X μσ=-∑分布.2.记()t n α为t 分布的上α分位点,则0.995(29)t = 3.已知~(),X t n 则2~X 分布. 二、解答题.1.设总体~(1,)X B p ,12,,,n X X X L 是来自X 的样本. (1)求12(,,,)n X X X L 的分布律;(2)求1nii X=∑的分布律;(3)求2(),(),()E X D X E S .2.设在总体2(,)N μσ中抽取一容量为16的样本,这里2,μσ均为未知.(1)求222{ 2.041},S P S σ≤其中为样本方差;(2)求2()D S3.设总体2~(,)X N μσ,1234,,,X X X X 为来自X 的样本,Y =~(2).Y t班级 姓名 班内序号习题十八 点估计1. 设12,,,n X X X L 为总体X 的一个样本,X 的密度函数为:1,01(),(0)0,x f x θ≤≤=>⎝其它,求θ的矩估计和最大似然估计.2.设某种元件的使用寿命X 的概率密度为 2()2,(;)0,x e x f x θθθ--⎧>=⎨⎩其它其中0θ>为未知参数,又设12,,,n x x x L 是X 的一组样本观测值,求参数θ的最大似然估计值.3.设12,,,n X X X L 是来自总体X 的一个样本,且~()X πλ.求{0}P X =的最大似然估计.4.设总体X 具有分布律(如下表)其中(01)θθ<<为未知参数.已知取得了样本值1231,2,1x x x ===.试求θ的矩估计值和最大似然估计值.班级 姓名 班内序号习题十九 估计量的评价标准一、填空题.1.设12,,,n X X X L 是来自总体(,)B n p 的样本,若2X kS +为2np 的无偏估计,则k =2.设12,,,n X X X L 是来自总体2(,)N μσ的样本,若21()n i i aX μ=-∑和21()n i i b X X =-∑都是2σ的无偏估计,则a = ,b = 二、解答题.1.设12,,,n X X X L 是来自总体X 的一个样本,设2(),()E X D X μσ==(1)确定常数c 使1211()n i i i cX X -+=-∑为2σ的无偏估计;(2)确定常数c 使22()X cS -为2μ的无偏估计.2.设1234,,,X X X X 是来自均值为θ的指数分布总体的样本.其中θ未知.设有估计量: 1123411()()63T X X X X =+++, 212341(234)5T X X X X =+++, 312341()4T X X X X =+++ (1)指出中哪几个是θ的无偏估计量;(2)在上述θ的无偏估计量中指出哪一个较为有效.3.设ˆθ是参数θ的无偏估计,且有ˆ()0D θ>,试证^22ˆ()θθ=不是2θ的无偏估计.班级 姓名 班内序号习题二十 正态总体均值与方差的区间估计1.设总体~(,8)X N μ,1236(,,,)X X X L 为其简单随机样本,[1,1]X X -+是μ的一个置信区间,求该置信区间的置信水平.2.设某种油漆的9个样品,其干燥时间(单位:小时)分别为: 6.0 5.7 5.8 6.5 7.0 6.3 5.6 6.1 5.3设干燥时间总体服从正态分布2(,)N μσ,求μ的置信水平为0.95的置信区间.(1)若由以往的经验知σ=0.6(小时);(2)若σ为未知.3.随机地取某种炮弹9发做实验,得炮口速度的样本标准差11(/)S m s =,设炮口速度服从正态分布,求这种炮弹的炮口速度的标准差σ的置信水平为0.95的置信区间.4.研究两种固体燃料火箭推进器的燃烧率,设两者都服从正态分布,并且已知燃烧率的标准差均近似地为0.05/cm s ,取样本容量为1220n n ==,得燃烧率的样本均值分别为1218/,24/x cm s x cm s ==,求两燃烧率总体均值差12μμ-的置信水平为0.99的置信区间.5.设2~(,)X N μσ,2σ已知,问需抽取容量n 多大的样本,才能使μ的置信水平为1α-,且置信区间的长度不大于L ?班级 姓名 班内序号习题二十一 单侧置信区间1.为研究某种汽车轮胎的磨损特性,随机地选择16只轮胎,每只轮胎行使到磨损为止,所行使的路程为1216,,,X X X L ,假设这些数据来自正态总体2(,)N μσ,其中2,μσ未知,计算得出41117,1347X S ==,试求:(1)求μ的置信水平为0.95的单侧置信下限;(2)求方差2σ的置信水平为0.95的单侧置信上限.2.设两位化验员,A B 独立地对某种聚合物含氯量用相同的方法各作10次测定,其测定值的样本方差依次为220.5419,0.6065A B S S ==.设22,A B σσ分别为,A B 所测定的测定值总体的方差,设总体均为正态的,(1)求方差比22/A B σσ的置信水平为0.95的置信区间;(2)求方差比22/A B σσ的置信水平为0.95的单侧置信上限.班级 姓名 班内序号习题二十二 假设检验一、填空题.1.在假设检验中,0H 表示原假设,1H 为备择假设,则犯第一类错误指的是 不真,接受 ;犯第二类错误指的是 不真,接受 .2.设12(,,,)n X X X L 为来自正态总体2(,)N μσ的样本,2σ已知,现要检验假设00:H μμ=,则应选取的统计量是 ;当0H 成立时,该统计量服从 分布.3.在显著性检验中,若要使犯两类错误的概率同时变小,则只有增加 .二、计算题.1.已知某炼钢厂铁水含碳量服从正态分布2(4.55,0.108)N ,现在测定了9种铁水,其平均含碳量4.84.若估计方差没有变化,可否认为现在生产的铁水平均含碳量仍为4.55(0.05α=)?2.设某次考试的考生成绩服从正态分布,从中随机地抽取36位考生的成绩,算得平均成绩为66.5分,样本标准差为15分,问在显著性水平0.05下,是否可以认为这次考试全体考生的平均成绩仍为70分?(给出检验过程)3.要求一种元件平均使用寿命不得低于1000小时。
《概率论与数理统计》期末试题(2)与解答一、填空题(每小题3分,共15分)1. 设事件B A ,仅发生一个的概率为,且5.0)()(=+B P A P ,则B A ,至少有一个不发生的概率为__________.2. 设随机变量X 服从泊松分布,且)2(4)1(==≤X P X P ,则==)3(X P ______.3. 设随机变量X 在区间)2,0(上服从均匀分布,则随机变量2X Y =在区间)4,0(内的概率密度为=)(y f Y _________.4. 设随机变量Y X ,相互独立,且均服从参数为λ的指数分布,2)1(-=>e X P ,则=λ_________,}1),{min(≤Y X P =_________.5. 设总体X 的概率密度为⎪⎩⎪⎨⎧<<+=其它,0,10,)1()(x x x f θθ 1->θ.n X X X ,,,21 是来自X 的样本,则未知参数θ的极大似然估计量为_________.解:1.3.0)(=+B A B A P即 )(25.0)()()()()()(3.0AB P AB P B P AB P A P B A P B A P -=-+-=+= 所以 1.0)(=AB P9.0)(1)()(=-==AB P AB P B A P . 2.λλλλλ---==+==+==≤e X P e e X P X P X P 2)2(,)1()0()1(2由 )2(4)1(==≤X P X P 知 λλλλλ---=+e e e 22即 0122=--λλ 解得 1=λ,故161)3(-==e X P . 3.设Y 的分布函数为(),Y F y X 的分布函数为()X F x ,密度为()X f x 则2()()()((Y X X F y P Y y P X y P X F F =≤=≤=≤≤=- 因为~(0,2)X U,所以(0X F =,即()Y X F y F = 故04,()()0,.Y Y X y f y F y f <<'===⎩其它另解 在(0,2)上函数2y x =严格单调,反函数为()h y =所以04,()0,.Y X y f y f <<==⎩其它4.2(1)1(1)P X P X e e λ-->=-≤==,故 2λ={min(,)1}1{min(,)1}P X Y P X Y ≤=->1(1)(1)P X P Y =->>41e -=-. 5.似然函数为 111(,,;)(1)(1)(,,)nn n i n i L x x x x x θθθθθ==+=+∏1ln ln(1)ln nii L n xθθ==++∑1ln ln 01ni i d L nx d θθ==++∑解似然方程得θ的极大似然估计为 1111ln ni i x n θ==-∑.二、单项选择题(每小题3分,共15分)1.设,,A B C 为三个事件,且,A B 相互独立,则以下结论中不正确的是 (A )若()1P C =,则AC 与BC 也独立. (B )若()1P C =,则AC 与B 也独立.(C )若()0P C =,则A C 与B 也独立.(D )若C B ⊂,则A 与C 也独立. ( ) 2.设随机变量~(0,1),X N X 的分布函数为()x Φ,则(||2)P X >的值为 (A )2[1(2)]-Φ. (B )2(2)1Φ-.(C )2(2)-Φ. (D )12(2)-Φ. ( ) 3.设随机变量X 和Y 不相关,则下列结论中正确的是(A )X 与Y 独立. (B )()D X Y DX DY -=+.(C )()D X Y DX DY -=-. (D )()D XY DXDY =. ( ) 4.设离散型随机变量X 和Y 的联合概率分布为(,)(1,1)(1,2)(1,3)(2,1)(2,2)(2,3)111169183X Y P αβ若,X Y 独立,则,αβ的值为(A )21,99αβ==. (A )12,99αβ==.(C ) 11,66αβ== (D )51,1818αβ==. ( ) 5.设总体X 的数学期望为12,,,,n X X X μ为来自X 的样本,则下列结论中正确的是(A )1X 是μ的无偏估计量. (B )1X 是μ的极大似然估计量. (C )1X 是μ的相合(一致)估计量. (D )1X 不是μ的估计量. ( )解:1.因为概率为1的事件和概率为0的事件与任何事件独立,所以(A ),(B ),(C )都是正确的,只能选(D ).事实上由图 可见A 与C 不独立.2.~(0,1)X N 所以(||2)1(||2)1(22)P X P X P X >=-≤=--<≤ 1(2)(2)1[2(2)1]2[1(2)]=-Φ+Φ-=-Φ-=-Φ 应选(A ). 3.由不相关的等价条件知应选(B ). 4.若,X Y 独立则有(2,2)(2)(2)P X Y P X P Y α======1121()()()3939αβαα=+++=+ ∴29α=, 19β= 故应选(A ).5.1EX μ=,所以1X 是μ的无偏估计,应选(A ).三、(7分)已知一批产品中90%是合格品,检查时,一个合格品被误认为是次品的概率为0.05,一个次品被误认为是合格品的概率为0.02,求(1)一个产品经检查后被认为是合格品的概率;(2)一个经检查后被认为是合格品的产品确是合格品的概率. 解:设A =‘任取一产品,经检验认为是合格品’ B =‘任取一产品确是合格品’则(1) ()()(|)()(|)P A P B P A B P B P A B =+ 0.90.950.10.020.857.=⨯+⨯= (2) ()0.90.95(|)0.9977()0.857P AB P B A P A ⨯===.四、(12分)从学校乘汽车到火车站的途中有3个交通岗,假设在各个交通岗遇到红灯的事件是相互独立的,并且概率都是2/5. 设X 为途中遇到红灯的次数,求X 的分布列、分布函数、数学期望和方差. 解:X 的概率分布为 3323()()()0,1,2,3.55kkkP X k C k -=== 即01232754368125125125125XPX 的分布函数为0,0,27,01,12581(),12,125117,23,1251,3.x x F x x x x <⎧⎪⎪≤<⎪⎪⎪=≤<⎨⎪⎪≤<⎪⎪≥⎪⎩ 263,55EX =⨯=231835525DX =⨯⨯=.五、(10分)设二维随机变量(,)X Y 在区域{(,)|0,0,1}D x y x y x y =≥≥+≤ 上服从均匀分布. 求(1)(,)X Y 关于X 的边缘概率密度;(2)Z X Y =+的分布函数与概率密度.(1)(,)X Y 的概率密度为 2,(,)(,)0,.x y Df x y ∈⎧=⎨⎩其它22,01()(,)0,X x x f x f x y dy +∞-∞-≤≤⎧==⎨⎩⎰其它(2)利用公式()(,)Z f z f x z x dx +∞-∞=-⎰其中2,01,01(,)0,x z x x f x z x ≤≤≤-≤-⎧-=⎨⎩其它2,01, 1.0,x x z ≤≤≤≤⎧=⎨⎩其它.当 0z <或1z >时()0Z f z = 01z ≤≤时 00()222z zZ f z dx x z ===⎰故Z 的概率密度为2,01,()0,Z z z f z ⎧≤≤⎪=⎨⎪⎩其它.Z 的分布函数为200,00,0,()()2,01,01,1, 1.1,1z z Z Z z z f z f y dy ydy z z z z z -∞<⎧<⎧⎪⎪⎪==≤≤=≤≤⎨⎨⎪⎪>⎩>⎪⎩⎰⎰或利用分布函数法10,0,()()()2,01,1, 1.Z D z F z P Z z P X Y z dxdy z z ⎧<⎪⎪=≤=+≤=≤≤⎨⎪⎪>⎩⎰⎰20,0,,01,1, 1.z z z z <⎧⎪=≤≤⎨⎪>⎩2,01,()()0,Z Z z z f z F z ≤≤⎧'==⎨⎩其它.六、(10分)向一目标射击,目标中心为坐标原点,已知命中点的横坐标X 和纵坐标Y 相互独立,且均服从2(0,2)N 分布. 求(1)命中环形区域22{(,)|12}D x y x y =≤+≤的概率;(2)命中点到目标中心距离Z =的数学期望.1){,)}(,)DP X Y D f x y dxdy ∈=⎰⎰2222288111248x y r De dxdy erdrd πθππ+--==⋅⎰⎰⎰⎰2221122888211()8r r red ee e ------=-=-⎰;(2)22818x y EZ E e dxdy π+-+∞-∞-∞==⎰⎰2222881184r r rerdrd e r dr πθπ--+∞+∞==⎰⎰⎰2228882r r r reedr dr +∞---+∞+∞-∞=-+==⎰⎰七、(11分)设某机器生产的零件长度(单位:cm )2~(,)X N μσ,今抽取容量为16的样本,测得样本均值10x =,样本方差20.16s =. (1)求μ的置信度为0.95的置信区间;(2)检验假设20:0.1H σ≤(显著性水平为0.05).(附注)0.050.050.025(16) 1.746,(15) 1.753,(15) 2.132,t t t ===2220.050.050.025(16)26.296,(15)24.996,(15)27.488.χχχ===解:(1)μ的置信度为1α-下的置信区间为 /2/2(((X t n X t n αα--+-0.02510,0.4,16,0.05,(15) 2.132X s n t α===== 所以μ的置信度为0.95的置信区间为(9.7868,10.2132)(2)20:0.1H σ≤的拒绝域为22(1)n αχχ≥-.221515 1.6240.1S χ==⨯=,20.05(15)24.996χ= 因为 220.052424.996(15)χχ=<=,所以接受0H .《概率论与数理统计》期末试题(3)与解答一、填空题(每小题3分,共15分)(1) 设事件A 与B 相互独立,事件B 与C 互不相容,事件A 与C 互不相容,且()()0.5P A P B ==,()0.2P C =,则事件A 、B 、C 中仅C 发生或仅C 不发生的概率为___________.(2) 甲盒中有2个白球和3个黑球,乙盒中有3个白球和2个黑球,今从每个盒中各取2个球,发现它们是同一颜色的,则这颜色是黑色的概率为___________. (3) 设随机变量X 的概率密度为2,01,()0,x x f x <<⎧=⎨⎩其它, 现对X 进行四次独立重复观察,用Y 表示观察值不大于的次数,则2EY =___________. (4) 设二维离散型随机变量(,)X Y 的分布列为(,)(1,0)(1,1)(2,0)(2,1)0.40.2X Y Pa b若0.8EXY =,则Cov(,)X Y =____________.(5) 设1217,,,X X X 是总体(,4)N μ的样本,2S 是样本方差,若2()0.01P S a >=,则a =____________.(注:20.01(17)33.4χ=, 20.005(17)35.7χ=, 20.01(16)32.0χ=, 20.005(16)34.2χ=)解:(1)()()()P ABC ABC P ABC P ABC +=+因为 A 与C 不相容,B 与C 不相容,所以,A C B C ⊃⊃,故ABC C = 同理 ABC AB =.()()()0.20.50.50.45P ABC ABC P C P AB +=+=+⨯=. (2)设A =‘四个球是同一颜色的’,1B =‘四个球都是白球’,2B =‘四个球都是黑球’ 则 12A B B =+. 所求概率为 22212()()(|)()()()P AB P B P B A P A P B P B ==+ 22223322122222555533(),()100100C C C C P B P B C C C C =⋅==⋅=所以 21(|)2P B A =.(3)~(4,),Y B p其中 10.52201(0.5)24p P X xdx x=≤===⎰, 113341,44444EY DY =⨯==⨯⨯=, 2215()144EY DY EY =+=+=.(4)(,)X Y 的分布为这是因为 0.4a b +=,由0.8EXY = 得 0.220.8b += 0.1,0.3a b ∴==0.620.4 1.4EX =+⨯=,0.5EY =故 cov(,)0.80.70.1X Y EXY EXEY =-=-=.(5)2216(){4}0.014S P S a P a >=>= 即 20.01(16)4a χ=,亦即 432a = 8a ∴=.二、单项选择题(每小题3分,共15分)(1)设A 、B 、C 为三个事件,()0P AB >且(|)1P C AB =,则有 (A )()()() 1.P C P A P B ≤+- (B )()().P C P A B ≤(C )()()() 1.P C P A P B ≥+- (D )()().P C P A B ≥ ( )(2)设随机变量X 的概率密度为2(2)4(),x f x x +-=-∞<<∞且~(0,1)Y aX b N =+,则在下列各组数中应取(A )1/2, 1.a b == (B )2,a b ==(C )1/2,1a b ==-. (D )2,a b == ( )(3)设随机变量X 与Y 相互独立,其概率分布分别为010.40.6XP010.40.6Y P则有(A )()0.P X Y == (B )()0.5.P X Y ==(C )()0.52.P X Y == (D )() 1.P X Y == ( ) (4)对任意随机变量X ,若EX 存在,则[()]E E EX 等于(A )0. (B ).X (C ).EX (D )3().EX ( ) (5)设12,,,n x x x 为正态总体(,4)N μ的一个样本,x 表示样本均值,则μ的置信度为1α-的置信区间为(A)/2/2(x u x u αα-+ (B)1/2/2(x u x u αα--+ (C)(x u x u αα-+ (D)/2/2(x u x u αα-+ ( ) 解 (1)由(|)1P C AB =知()()P ABC P AB =,故()()P C P AB ≥()()()()()()()1P C P AB P A P B P A B P A P B ≥=+-≥+-应选C. (2)22(2)4()x f x +-==即~(2,)X N -故当a b ===时 ~(0,1)Y aX b N =+ 应选B.(3)()(0,0)(1,1)P X Y P X Y P X Y ====+== 0.40.40.60.60.52=⨯+⨯= 应选C.(4)[()]E E EX EX = 应选C.(5)因为方差已知,所以μ的置信区间为/2/2(X u X u αα-+应选D.三、(8分)装有10件某产品(其中一等品5件,二等品3件,三等品2件)的箱子中丢失一件产品,但不知是几等品,今从箱中任取2件产品,结果都 是一等品,求丢失的也是一等品的概率。
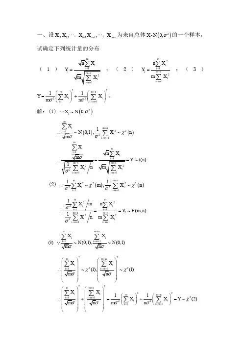
一、假设129,,X X X …,是来自总体()2~,X N μσ的简单随机样本,X 是样本均值,2S 是样本方差,求下列常数a 的值。
(1)()0.78P X a σμ<+=;(2)922113.49()15.51i i P X X a σ=⎛⎫<-≤= ⎪⎝⎭∑;(3)0.05X P a S μ⎛⎫->= ⎪⎝⎭。
解:(1)2~(,~(0,1)x x N N N σμx p a <=即2.34},(2.34),0.99x p a a a <=Φ==。
(2)222(1)~(1)n s n χσ--992222119221221:()(1)()11{3.49()15.51}(1){3.4915.51}(15.51)(3.49)10.950.10.85i i i i ii s x x n s x x n p x x an s p aa a a σσ===-⇒-=--<-≤=-<≤=Φ-Φ+=-==∑∑∑(3222(1)~(0,1),~(1)X n s N n χσ--~(1),t n -即()~(1)3(){}0.053()1{}0.053(){}0.951.86X t n sX p a sX p a s X p a s a μμμμ--->=--≤=-≤==二、设总体X 的密度函数()2,0()00,0x xe x f x x λλλ-⎧>=>⎨≤⎩其一个样本为12,,n X X X …,(1)求()1g λλ=的最大似然估计量T ;(2)验证T 是否为()1g λλ=的有效估计量,若是,写出信息量()I λ; (3)验证T 是否为()1g λλ=的相合估计量。
解:(1)122111()(,)()()niii nnnx x nii i I I i L f x x ex eλλλλλλ=--===∑===∏∏∏1111ln ()2ln ln 2ln ()01112212n ni ii i ni i n i i L n x x d n L x d x x n T Xλλλλλλλ=====+-=-===∴=∑∑∑∑(2)由(1)121220211ln (,,,)2()21,()221111()()222n n i i x d n L X X X X n X d T X c nE T E X EX x e dx λλλλλλλλ=+∞-=-=--==-====∑⎰ T 是1λ得无偏估计量因而T 是1λ的有偏估计量。
涉及到的有关分位数:()()()()()()()()()()()()20.950.950.950.9750.9750.9752222220.9750.0250.0250.9750.950.97520.95 1.645,16 1.746,15 1.753,16 2.12,15 2.131,1628.851527.49,16 6.91,15 6.26,1 5.02,1 3.84,27.382 5.99u t t t t χχχχχχχχ=============一、设123,,X X X 是来自总体~(0,3)X N 的样本。
记()2332i 1111,32i i i X X S X X====-∑∑,试确定下列统计量的分布:(1)3113i i X =∑;(2)23119i i X =⎛⎫⎪⎝⎭∑;(3)()23113i i X X=-∑;(4X解:(1)由抽样分布定理,311~(0,1)3i i X X N ==∑(2)因311~(0,1)3i i X N =∑,故223321111~(1)39i i i i X X χ==⎛⎫⎛⎫= ⎪ ⎪⎝⎭⎝⎭∑∑(3)由抽样分布定理,()()()2223321131211~(2)3323i i i i S X X X X χ==-=⋅-=-∑∑(4)因()222~(0,1),~23X N S χ,X 与2S独立,故()~2X t 。
二、在某个电视节目的收视率调查中,随机调查了1000人,有633人收看了该节目,试根据调查结果,解答下列问题:(1)用矩估计法给出该节目收视率的估计量;(2)求出该节目收视率的最大似然估计量,并求出估计值;(3)判断该节目收视率的最大似然估计是否是无偏估计;(4)判断该节目收视率的最大似然估计是否是有效估计。
解:总体X 为调查任一人时是否收看,记为~(1,)X B p ,其中p 为收视率(1)因EX p =,而^E X X =,故收视率的矩估计量为^Xp =(2)总体X 的概率分布为()1()1,0,1xxf x p p x -=-=1111()(1)(1)(1)ln ()ln (1)ln(1)ln ()(1)01nniii ii i nx n x x x n X n n Xi L p p p pp p p L p nX p n X p d L p nX n X dp p p==---=∑∑=-=-=-=+---=-=-∏解得收视率p 的最大似然估计量为^Xp =现有一参量为1000的样本121000,,X X X ……,,且10001633ii X==∑则6330.6331000X ==,故收视率的极大似然估计值为0.633.(3)因E X p =,故^X p =是无偏估计(4)因()ln ()(1)1(1)d L p nX n X nX p dp p p p p -=-=---,又E X p=故收视率的最大似然估计X 是p 的有效估计。
概率论和数理统计期末考试复习题库数理统计练习一、填空题1、设A 、B 为随机事件,且P (A)=0.5,P (B)=0.6,P (B |A)=0.8,则P (A+B)=__ 0.7 __。
2、某射手对目标独立射击四次,至少命中一次的概率为8180,则此射手的命中率32。
3、设随机变量X 服从[0,2]上均匀分布,则=2)]([)(X E X D 1/3 。
4、设随机变量X 服从参数为λ的泊松(Poisson )分布,且已知)]2)(1[(--X X E =1,则=λ___1____。
5、一次试验的成功率为p ,进行100次独立重复试验,当=p 1/2_____时,成功次数的方差的值最大,最大值为 25 。
6、(X ,Y )服从二维正态分布),,,,(222121ρσσμμN ,则X 的边缘分布为 ),(211σμN 。
7、已知随机向量(X ,Y )的联合密度函数≤≤≤≤=其他,010,20,23),(2y x xy y x f ,则E (X )=34。
8、随机变量X 的数学期望μ=EX ,方差2σ=DX ,k 、b 为常数,则有)(b kX E += ,k b μ+;)(b kX D +=22k σ。
9、若随机变量X ~N (-2,4),Y ~N (3,9),且X 与Y 相互独立。
设Z =2X -Y +5,则Z ~ N(-2, 25) 。
10、θθθ是常数21? ,?的两个无偏估计量,若)?()?(21θθD D <,则称1?θ比2?θ有效。
1、设A 、B 为随机事件,且P (A )=0.4, P (B )=0.3, P (A ∪B )=0.6,则P (B A )=_0.3__。
2、设X ~B (2,p ),Y ~B (3,p ),且P {X ≥ 1}=95,则P {Y ≥ 1}=2719。
3、设随机变量X 服从参数为2的泊松分布,且Y =3X -2, 则E (Y )=4 。
4、设随机变量X 服从[0,2]上的均匀分布,Y =2X +1,则D (Y )= 4/3 。
统计学研究生考试真题试卷一、选择题(每题2分,共20分)1. 在统计学中,一个总体的参数通常由样本的哪个量来估计?A. 样本均值B. 样本方差C. 样本中位数D. 样本标准差2. 以下哪个不是统计学中的常见分布?A. 正态分布B. 二项分布C. 泊松分布D. 指数分布3. 假设检验中的零假设(H0)通常表示什么?A. 研究假设是正确的B. 研究假设是错误的C. 没有效应或差异D. 存在效应或差异4. 以下哪个统计量用于衡量变量间的线性关系?A. 方差B. 标准差C. 相关系数D. 回归系数5. 什么是置信区间?A. 一个估计值B. 一个估计值的上下限C. 一个估计值的准确度D. 一个估计值的可信度6. 以下哪个是描述性统计分析的主要目的?A. 推断总体参数B. 预测未来趋势C. 描述数据特征D. 检验假设7. 什么是样本量?A. 总体中所有个体的数量B. 研究中实际观察到的个体数量C. 研究中假设的个体数量D. 研究中随机选择的个体数量8. 以下哪个是多元回归分析中可能遇到的问题?A. 异方差性B. 同方差性C. 线性无关D. 正态性9. 以下哪个统计软件是专门用于统计分析的?A. ExcelB. WordC. PhotoshopD. R10. 什么是抽样误差?A. 由于抽样方法不当导致的误差B. 由于样本量过小导致的误差C. 由于测量不准确导致的误差D. 由于数据录入错误导致的误差二、简答题(每题10分,共30分)1. 解释什么是中心极限定理,并简述其在实际应用中的意义。
2. 描述如何进行一个简单的线性回归分析,并解释其结果如何帮助理解变量之间的关系。
3. 什么是假设检验中的I型错误和II型错误?请举例说明。
三、计算题(每题15分,共30分)1. 给定一组数据:5, 7, 9, 12, 15, 18, 21, 24, 27, 30。
计算样本均值、样本方差和样本标准差。
2. 假设你正在分析一个二项分布的实验,其中成功的概率是0.3,样本量是100。