最新重庆大学研究生数理统计期末考试题
- 格式:doc
- 大小:295.00 KB
- 文档页数:5
概率论与数理统计》期末考试试题及解答1.设事件A,B仅发生一个的概率为0.3,且P(A)+P(B)=0.5,则A,B至少有一个不发生的概率为0.3.解:由题意可得:P(AB+AB)=0.3,即0.3=P(AB)+P(AB)=P(A)-P(AB)+P(B)-P(AB)=0.5-2P(AB),所以P(AB)=0.1,P(A∪B)=P(AB)=1-P(AB)=0.9.2.设随机变量X服从泊松分布,且P(X≤1)=4P(X=2),则P(X=3)=1/e6.解答:由P(X≤1)=P(X=0)+P(X=1)=e^(-λ)+λe^(-λ)=5λe^(-λ/2)得e^(-λ/2)=0.4,即λ=ln2,所以P(X=2)=e^(-λ)λ^2/2!=1/6,又因为P(X≤1)=4P(X=2),所以P(X=0)+P(X=1)=4P(X=2),即e^(-λ)+λe^(-λ)=4λe^(-λ),解得λ=ln2,故P(X=3)=e^(-λ)λ^3/3!=1/e6.3.设随机变量X在区间(0,2)上服从均匀分布,则随机变量Y=X在区间(0,4)内的概率密度为f_Y(y)=1/2,0<y<4;其它为0.解答:设Y的分布函数为F_Y(y),X的分布函数为F_X(x),密度为f_X(x),则F_Y(y)=P(Y≤y)=P(X≤y)=F_X(y)-F_X(0)。
因为X~U(0,2),所以F_X(0)=0,F_X(y)=y/2,故F_Y(y)=y/2,所以f_Y(y)=F_Y'(y)=1/2,0<y<4;其它为0.4.设随机变量X,Y相互独立,且均服从参数为λ的指数分布,P(X>1)=e^(-λ),则λ=2,P{min(X,Y)≤1}=1-e^(-λ)。
解答:因为P(X>1)=1-P(X≤1)=e^(-λ),所以λ=ln2.因为X,Y相互独立且均服从参数为λ的指数分布,所以P{min(X,Y)≤1}=1-P{min(X,Y)>1}=1-P(X>1)P(Y>1)=1-e^(-λ)。
()(){}{}()22222111221121221164~,~(8),89111,01(1)11~(0,1)1.28 1.280.281(2)0.261 1.8360.2619818ni i n X N S S X S n X X X X E X X n n n n n D X X DX DX DX X X N n n n P X X P U X P X S P μχσμ=-=--=--=---⎛⎫-=+==⇒- ⎪⎝⎭->=>=⎛ -⎧⎫ <-+<=<⎨⎬ ⎩⎭⎝∑解:由题可知(,)且与相互独立(){}22222222241164. 1.836896464 = 2.08814.688=~(9)991188= 2.08814.688=0.90.01=0.89423948i i i S X X P S S P X X χχχμ=⎧⎫⎫⎪⎪⎪⎪⎪⎪+<⎨⎬⎪⎪⎪⎪⎪⎪⎭⎩⎭⎧⎫⎛⎫⎛⎫⎪⎪ ⎪ ⎪--⎪⎪⎪ ⎪<+<+⎨⎬ ⎪ ⎪⎪⎪⎪ ⎪⎪⎪⎝⎭⎝⎭⎩⎭<<-⎛⎫- ⎪⎝⎭=⋅∑,其中原式()()()()(){}24882255448822554821584~(0,1)=~4998244~(4)8944 2.132= 2.132=0.1i ii i i i i i i i i ii i N X X X t t X XP X XP t μμχμμμμμμ======⎛⎫ ⎪⎛⎫⎛⎫ ⎪-- ⎪ ⎪ ⎪⎝⎭⎝⎭ ⎪⎝⎭⎛⎫⎛⎫⎛⎫-- ⎪⎪⎪⎝⎭⎝⎭==--⎧⎫⎛⎫⎪⎪-≤-≤⎨⎬ ⎪⎝⎭⎪⎪⎩⎭∑∑∑∑∑∑∑∑∑()则,()()()(){}222222222891(4)=8~1~(1,8)6498911=(1,8)58.82(8,1)10.90.158.8258.82XXX F FSSXP P F P FSμμμχμ-⎛⎫⎪--==⎧⎫-⎪⎪⎧⎫<<=<=-=⎨⎬⎨⎬⎩⎭⎪⎪⎩⎭(),则也可以用T分布与F分布的关系.0020001111()()1ln(1)11,,ˆˆˆ1ln(1),,ln(1)ln(1)2(;,...,)(;)ln (;,...,)=01ˆ=()()似然方程:得到参数的极大似然估计,再由i A nnx n n xn i i i n P X A F A e p p A EX DX A EX p EX X A EX p X p L x x f x e e d L x x nnx d Xλλλλλλλλλλλλλλλ---==<==-=-=-===--=∴=--=--====-∏∏ 0000010000ln(1)ˆln(1)ˆln(1)ˆ(3)=ln(1)=ln(1)==ˆln (;,...,)ln(1){[ln(1)][]}ln(1)ˆ()ln(1)ˆˆ极大似然估计的不变性,推出的极大似然估计为是的无偏估计且是的无偏估计是有效n A p A X p p EA E X p p EX A AA d L x x p n n nx X p d p n AA p AA A λλλλλλ-=-=----⎡⎤----⎣⎦∴-=-=-----=--∴ ()202ˆlim ln(1)ˆlim lim 0ˆ估计又是相合估计量n n n EA A p DA n Aλ→∞→∞→∞⎧=⎪⎨-⎪==⎩∴221212121222122222222221222121.422,2~222(1)(1)~01~(2) (1)(1)(1)(1)2=222X YX Y X YX X X X Nn mX X n S m SU N n mn S m S n S m S X X Sn mX Xtωσσμμμμμμχχσσσσ+++++-+--==++----+-+++-+-+==的无偏估计为且(,+)(,)又且与独立,记则()()()()()()()121212212121211221212122222=22=22222=12122t n mP t t n mX XP t n m t n mP X X t n m S X X t n m SX X t n m Sαααααωαμμμμαμμα-----+-⎧⎫≤+-⎨⎬⎩⎭⎧⎫⎪⎪+-+⎪⎪+-≤≤+-⎨⎬⎪⎪⎪⎪⎩⎭⎧⎪+-+-≤+≤+++-⎨⎪⎩-+-+±+-因此构造的置信区间为{}{}121201212120121212121212.222=022,22=02=02=0=的无偏估计为,在:成立的条件下,大于某个常数应该是小概率事件,因此构造拒绝域:以下确定常数由X X H X X c K X X c cP X X c P P t t μμμμμμμμμμα+++++>+>+⎧⎫⎪⎪⎪=>+⎬⎪⎪⎭⎧⎫⎪⎪⎪⎪=>+=⎨⎬⎪⎪⎪⎪⎩⎭()()122n m c t n m S ααω--+-⇒=+-拒绝域为:3133011331122333333111~(1,).~(3)220.220.230.20.20.80.20.104220.4因为所以,类错误(弃真):为真类错误(纳伪):为真i i i i i i i i i i i i i i X B p X B p P X H P X p P X p P X p C C P X H P X p αβ=======I ⎧⎫⎧⎫=≥=≥=⎨⎬⎨⎬⎩⎭⎩⎭⎧⎫⎧⎫===+==⎨⎬⎨⎬⎩⎭⎩⎭=+=II ⎧⎫⎧=<=<=⎨⎬⎨⎩⎭⎩∑∑∑∑∑∑∑313311223333120.4120.430.410.40.60.40.648i i i i i i P X p P X p P X p C C ===⎫⎬⎭⎧⎫=-≥=⎨⎬⎩⎭⎧⎫⎧⎫=-==-==⎨⎬⎨⎬⎩⎭⎩⎭=--=∑∑∑()()221221111211=200ˆnE i i i n n nEi i i i i i i i i ni ii nii S y x dS y x x y x x d x yxββββββ======-=--=⇒-==∑∑∑∑∑∑解:()利用最小二乘估计使残差平方和最小参数的最小二乘估计量为2211222111111221111ˆ2=~(,)ˆˆˆ~(,)111ˆ===11ˆ(),由正态分布的性质推知服从正态分布ni ii i i i ni ii nnni i iiiinnni i i i i ii i i ni i nn i i i i i x YY x N x xN E D E E x Y x EY x x x x xD D x Y x x ββεβσβββββββ============+⎛⎫ ⎪ ⎪= ⎪ ⎪⎝⎭⎛⎫⎛ ⎪ ⎪ == ⎪ ⎪⎝⎭⎝∑∑∑∑∑∑∑∑∑∑∑()()()()()222211221222111112211ˆ~(,)ˆˆˆ3=ˆˆˆ2(,)ˆ(,)(,)因此,()nii ni ii n i i nnE i iiiiii i nni i i i i ii i ni ii ii i i i nniii i xDY xN x ES E Y x D Y x E Y x D Y x DY D x Cov Y x x Yx Cov Y x Cov Y x C xxσσβββββββββ==========⎫⎪⎪=⎪ ⎪⎭⎡⎤-=-+-⎣⎦⎡⎤=-=+-⎣⎦==∑∑∑∑∑∑∑∑∑∑()222221112222222222221111(,)(,)221则ni i i i i i i nni iii i nni i Enni i iii i x x ov Y x Y Cov Y Y xxx x ESn n n xxσσσσσσσσ==========+-=+-=-∑∑∑∑∑∑∑因素:车型水平:3种不同的车型A,B,C方差分析前提假设:正态性,方差齐次性,独立性对比分位数:0.95(2,9) 4.26F F >=,拒绝原假设0123:H μμμ==,认为这三种车型耗油量有显著差异。
数理统计学复习题1.设总体(0,1)X N ,125,,,X X X 是来自总体X 的简单随机样本,试确定C 使统计量1212222345()()C X X Y X X X +=++服从t 分布。
2.设12,,,n X X X 是来自总体2(0,)X N σ 的简单随机样本,问统计量2221(1)nii X U n X ==-∑服从什么分布?试说明你的理由。
3.求总体(20,3)N 的容量分别为10、15的两独立样本的均值差的绝对值大于0.3的概率。
4.设12,,,n X X X 为取自总体2(,)X N μσ 的简单随机样本,求常数C ,使得12111()n i i i X X C-+=-∑为2σ的无偏估计量。
5.设总体X 服从参数为θ的指数分布,其分布密度函数为11,0()0,0x ex f x x θθ-⎧>⎪=⎨⎪≤⎩12,,,n X X X 为取自总体X 的样本,试求参数θ的矩估计、极大似然估计,并讨论估计的无偏性、有效性、相合性和充分性。
6.设总体X 的密度函数为22(),0xxf x ex θθ-=>,12,,,n X X X 为取自总体X 的样本,试求参数θ的极大似然估计,并讨论估计的无偏性、有效性、相合性和充分性。
7.设总体X 服从参数为λ的泊松分布,12,,,n X X X 为取自总体X 的样本,试求参数λ的矩估计、极大似然估计,并讨论估计的无偏性、有效性、相合性和充分性。
8.设总体X 的密度函数为111()(01)f x x x θθ-=<<,12,,,n X X X 为取自总体X 的简单随机样本,求参数θ的矩估计和极大似然估计量,并讨论极大似然估计量的无偏性、有效性、相合性和充分性。
9.设铅的比重近似服从正态分布,今测量比重16次,得 2.705x =,0.029s =,试求铅的比重的均值μ和标准差σ的置信水平为0.95的置信区间。
已知0.025(15) 2.1315t =,20.025(15)27.488χ=,20.975(15) 6.262χ=。
研究生课程考核试卷(适用于课程论文、提交报告)科目:数理统计教师:刘琼荪姓名: xxx 学号: 20150702xxx 专业:机械工程类别:学术上课时间: 2016 年 3 月至 2016 年 4 月考生成绩:卷面成绩平时成绩课程综合成绩阅卷评语:阅卷教师 (签名)我国上世纪70-90年代民航客运量回归分析摘要:中国民航从上实际50年代发展至今已有60多年的历史,这期间中国民航经历了曲折的发展。
随着改革开发以来,中国人民的生活水平日渐提高,出行坐乘飞机逐渐人们可选的交通方式。
我国民航客运量逐年提高,为了研究其历史变化趋势及其成因,现以民航客运量作为因变量y,假设以国民收入x1、消费额x2、铁路客运量x3、民航航线里程x4、来华旅游入境人数x5为影响民航客运量的主要因素。
利用SPSS和excel软件通过建立回归模型分析我国民航客运量主要受到其中哪些因素的影响,并就回归模型分析具体可能的成因。
关键词:民航客运量影响因素回归模型一、问题提出及问题分析2004年,民航行业完成运输总周转量230亿吨公里、旅客运输量1.2亿人、货邮运输量273万吨、通用航空作业7.7万小时。
截止2004年底,我国定期航班航线达到1200条,其中国内航线(包括香港、澳门航线)975条,国际航线225条,境内民航定期航班通航机场133个(不含香港、澳门),形成了以北京、上海、广州机场为中心,以省会、旅游城市机场为枢纽,其它城市机场为支干,联结国内127个城市,联结38个国家80个城市的航空运输网络。
民航机队规模不断扩大,截止至2004年底,中国民航拥有运输飞机754架,其中大中型飞机680架,均为世界上最先进的飞机。
2004年中国民航运输总周转量达到230亿吨公里(不包括香港、澳门特别行政区以及台湾省),在国际民航组织188个缔约国中名列第3位。
从上述事实可以看出我国民航的发展所取得的成果显著。
当前我国民航客运量相当巨大,而影响我国航运客运量的因素有很多,例如第三产业增加值(亿元),城市居民消费水平(绝对元),定期航班航线里程(万千里)等[1]。
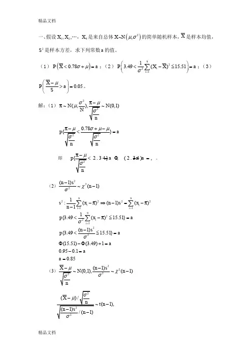
一、假设129,,X X X …,是来自总体()2~,X N μσ的简单随机样本,X 是样本均值,2S 是样本方差,求下列常数a 的值。
(1)()0.78P X a σμ<+=;(2)922113.49()15.51i i P X X a σ=⎛⎫<-≤= ⎪⎝⎭∑;(3)0.05X P a S μ⎛⎫->= ⎪⎝⎭。
解:(1)2~(,~(0,1)x x N N N σμx p a <=即2.34},(2.34),0.99x p a a a <=Φ==。
(2)222(1)~(1)n s n χσ--992222119221221:()(1)()11{3.49()15.51}(1){3.4915.51}(15.51)(3.49)10.950.10.85i i i i ii s x x n s x x n p x x an s p aa a a σσ===-⇒-=--<-≤=-<≤=Φ-Φ+=-==∑∑∑(3222(1)~(0,1),~(1)X n s N n χσ--~(1),t n -即()~(1)3(){}0.053()1{}0.053(){}0.951.86X t n sX p a sX p a s X p a s a μμμμ--->=--≤=-≤==二、设总体X 的密度函数()2,0()00,0x xe x f x x λλλ-⎧>=>⎨≤⎩其一个样本为12,,n X X X …,(1)求()1g λλ=的最大似然估计量T ;(2)验证T 是否为()1g λλ=的有效估计量,若是,写出信息量()I λ; (3)验证T 是否为()1g λλ=的相合估计量。
解:(1)122111()(,)()()niii nnnx x nii i I I i L f x x ex eλλλλλλ=--===∑===∏∏∏1111ln ()2ln ln 2ln ()01112212n ni ii i ni i n i i L n x x d n L x d x x n T Xλλλλλλλ=====+-=-===∴=∑∑∑∑(2)由(1)121220211ln (,,,)2()21,()221111()()222n n i i x d n L X X X X n X d T X c nE T E X EX x e dx λλλλλλλλ=+∞-=-=--==-====∑⎰ T 是1λ得无偏估计量因而T 是1λ的有偏估计量。
涉及到的有关分位数:()()()()()()()()()()()()20.950.950.950.9750.9750.9752222220.9750.0250.0250.9750.950.97520.95 1.645,16 1.746,15 1.753,16 2.12,15 2.131,1628.851527.49,16 6.91,15 6.26,1 5.02,1 3.84,27.382 5.99u t t t t χχχχχχχχ=============一、设123,,X X X 是来自总体~(0,3)X N 的样本。
记()2332i 1111,32i i i X X S X X====-∑∑,试确定下列统计量的分布:(1)3113i i X =∑;(2)23119i i X =⎛⎫⎪⎝⎭∑;(3)()23113i i X X=-∑;(4X解:(1)由抽样分布定理,311~(0,1)3i i X X N ==∑(2)因311~(0,1)3i i X N =∑,故223321111~(1)39i i i i X X χ==⎛⎫⎛⎫= ⎪ ⎪⎝⎭⎝⎭∑∑(3)由抽样分布定理,()()()2223321131211~(2)3323i i i i S X X X X χ==-=⋅-=-∑∑(4)因()222~(0,1),~23X N S χ,X 与2S独立,故()~2X t 。
二、在某个电视节目的收视率调查中,随机调查了1000人,有633人收看了该节目,试根据调查结果,解答下列问题:(1)用矩估计法给出该节目收视率的估计量;(2)求出该节目收视率的最大似然估计量,并求出估计值;(3)判断该节目收视率的最大似然估计是否是无偏估计;(4)判断该节目收视率的最大似然估计是否是有效估计。
解:总体X 为调查任一人时是否收看,记为~(1,)X B p ,其中p 为收视率(1)因EX p =,而^E X X =,故收视率的矩估计量为^Xp =(2)总体X 的概率分布为()1()1,0,1xxf x p p x -=-=1111()(1)(1)(1)ln ()ln (1)ln(1)ln ()(1)01nniii ii i nx n x x x n X n n Xi L p p p pp p p L p nX p n X p d L p nX n X dp p p==---=∑∑=-=-=-=+---=-=-∏解得收视率p 的最大似然估计量为^Xp =现有一参量为1000的样本121000,,X X X ……,,且10001633ii X==∑则6330.6331000X ==,故收视率的极大似然估计值为0.633.(3)因E X p =,故^X p =是无偏估计(4)因()ln ()(1)1(1)d L p nX n X nX p dp p p p p -=-=---,又E X p=故收视率的最大似然估计X 是p 的有效估计。
概率论和数理统计期末考试复习题库数理统计练习一、填空题1、设A 、B 为随机事件,且P (A)=0.5,P (B)=0.6,P (B |A)=0.8,则P (A+B)=__ 0.7 __。
2、某射手对目标独立射击四次,至少命中一次的概率为8180,则此射手的命中率32。
3、设随机变量X 服从[0,2]上均匀分布,则=2)]([)(X E X D 1/3 。
4、设随机变量X 服从参数为λ的泊松(Poisson )分布,且已知)]2)(1[(--X X E =1,则=λ___1____。
5、一次试验的成功率为p ,进行100次独立重复试验,当=p 1/2_____时,成功次数的方差的值最大,最大值为 25 。
6、(X ,Y )服从二维正态分布),,,,(222121ρσσμμN ,则X 的边缘分布为 ),(211σμN 。
7、已知随机向量(X ,Y )的联合密度函数≤≤≤≤=其他,010,20,23),(2y x xy y x f ,则E (X )=34。
8、随机变量X 的数学期望μ=EX ,方差2σ=DX ,k 、b 为常数,则有)(b kX E += ,k b μ+;)(b kX D +=22k σ。
9、若随机变量X ~N (-2,4),Y ~N (3,9),且X 与Y 相互独立。
设Z =2X -Y +5,则Z ~ N(-2, 25) 。
10、θθθ是常数21? ,?的两个无偏估计量,若)?()?(21θθD D <,则称1?θ比2?θ有效。
1、设A 、B 为随机事件,且P (A )=0.4, P (B )=0.3, P (A ∪B )=0.6,则P (B A )=_0.3__。
2、设X ~B (2,p ),Y ~B (3,p ),且P {X ≥ 1}=95,则P {Y ≥ 1}=2719。
3、设随机变量X 服从参数为2的泊松分布,且Y =3X -2, 则E (Y )=4 。
4、设随机变量X 服从[0,2]上的均匀分布,Y =2X +1,则D (Y )= 4/3 。
重庆大学全日制学术型硕士研究生 《数理统计》(A )课程试卷2013-2014学年第一学期(秋)请保留四位小数,部分下侧分位数为:0.95 1.65u =,0.99 2.33u =,20.95(1) 3.841χ=,0.95(3,6)9.78f =一、(18分)设1X ,2X ,…,64X 是来自总体N (0,2σ)的样本,X ,2S 分别是样本均值和样本方差:(1)求参数c 满足{}0.1P X S c >⋅=;(2)求概率22122234{1}X X P X X +>+;(3)求322321(2)i i i D X X X +=⎡⎤+-⎢⎥⎣⎦∑。
(请写出计算过程)解:(1)~(1)t n-{}}0.1P X S c P c ∴>⋅=>=得0.95(63)c t = 故 1.650.20638c ==(2)2~(0,)X N σ22212(/)(/)~(2)X X σσχ∴+ 同理22234(/)(/)~(2)X X σσχ+2222223412122234(/)(/)(/)(/)/~(2,2)22X X X X X X F X X σσσσ+++∴=+ 22122234{1}{(2,2)1}X X P P F X X +>=>+ 且0.50.50.51(2,2)(2,2)1(2,2)F F F =⇒= 得2222121222223434{1}1{1}0.5X X X X P P X X X X ++>=-≤=++ (3)令2~(2,2)i i n i Y X X N μσ+=+,112n i i Y Y X n ===∑ 221()(1)ni Y i T Y Y n S =∴=-=-∑3232223211(2)[()]i i i i i D X X X DT D Y Y +==⎡⎤+-==-⎢⎥⎣⎦∑∑2~(0,2(11/))i Y YN n σ-+~(0,1)YN=3222422421[2(11/)4(11/)((32))256(11/32)i Y D n n D σσχσ=+=+=+∑二、(26分)设1X ,2X ,…,n X 是来自总体2~(2,)(0)X N σσ>的样本,{}0.95P X A <=。
重庆师范大学《概率论与数理统计》2020-2021学年第一学期期末试卷学号姓名年级专业成绩一、选择题(每小题3分,共15分):1.设随机变量X 的分布律为),2,1(}{ ===k b k X P kλ,则().(A)10<<λ,且11--=λb (B)10<<λ,且1-=λb (C)10<<λ,且11-=-λb (D)10<<λ,且11-+=λb 2.设随机变量X 的密度函数为xx Ae x f 22)(+-=,则().(A)πe(B)πe 1(C)πe 1(D)πe 23.设随机变量X 的概率密度和分布函数分别是)(xf 和)(x F ,且)()(x f x f -=,则对任意实数a ,有=-)(a F ().(A))(21a F -(B))(21a F +(C)1)(2-a F (D))(1a F -4.设相互独立的随机变量Y X ,具有同一分布,且都服从区间[0,1]上的均匀分布,则在区间或区域上服从均匀分布的随机变量是().(A)(Y X ,)(B)YX +(C)YX -(D)2X5.设)(1x F 与)(2x F 分别为随机变量1X 与2X 的分布函数,为使)()()(21x bF x aF x F -=是某随机变量的分布函数,在下列给定的各组数值中应取().(A)52,53-==b a (B)32,32==b a (C)23,21=-=b a (D)23,21-==b a二、填空题(每小题3分,共15分):1.二维随机变量(Y X ,)的联合分布律为:Y X121α0.22β0.3则α与β应满足的条件是,当Y X ,相互独立时,α=.2.二维随机变量(Y X ,)的联合密度为:])()[(212122221121),(σμσμσπσ-+--=y x e y x f ,则X的边缘概率密度为.3.连续型随机变量X 的概率密度为其它10,0,)(2<<⎩⎨⎧=x kx x f ,则常数=k .4.设)02.0,10(~2N X ,已知Φ(2.5)=0.9938,则=<≤}05.1095.9{X P .5.设Y X ,是相互独立的随机变量,),3(~),,2(~22σσ-N Y N X ,且95.0}7654.8|12{|=≤-+Y X P ,则σ=.三、计算题(3小题,共34分)1.(12分)随机变量X 的概率密度为⎪⎩⎪⎨⎧>≤=4||,04||,cos )(ππx x x A x f ,试求(1)系数A ;(2)X 的分布函数;(3)X 落在⎪⎭⎫⎝⎛6,0π内的概率.2.(10分)随机变量X 的概率密度为⎩⎨⎧≤>=-0,00)(,x x e x f x ;求2X Y =的概率密度.3.(12分)设Y X ,是两个相互独立的随机变量,其概率密度分别为:⎩⎨⎧≤≤=其它,010,1)(x x f x ⎩⎨⎧≤>=-0,00,)(y y e y f y Y 求随机变量Y X Z +=的概率密度函数.四、解答题(3小题,共36分)1.(12分)假设一设备开机后无故障工作的时间X 服从参数为5=θ的指数分布.设备定时开机,出现故障时自动关机,而在无故障的情况下工作2h 便关机,试求设备每次开机无故障工作的时间Y 的分布函数.2.(12分)随机变量X 和Y 均服从区间[0,1]上的均匀分布且相互独立.①写出二维随机变量(Y X ,)的边缘概率密度和联合概率密度.②求}23{≤+Y X P .3.(12分)已知随机变量Y X 与的分布律为:X -101P1/41/21/4且已知1}0{==XY P .(1)求(Y X ,)的联合分布律;(2)Y X 与是否相互独立?为什么?Y 01P1/21/2。
涉及到的有关分位数:
()()()()()()()()()()()()2
0.950.950.950.9750.9750.9752222220.9750.0250.0250.9750.950.97520.95 1.645,16 1.746,15 1.753,16 2.12,15 2.131,1628.851527.49,16 6.91,15 6.26,1 5.02,1 3.84,27.382 5.99
u t t t t χχχχχχχχ=============
一、设123,,X X X 是来自总体~(0,3)X N 的样本。
记()2
332
i 11
11,32i i i X X S X X
====-∑∑,
试确定下列统计量的分布:
(1)3113i i X =∑;(2)2
3119i i X =⎛⎫
⎪⎝⎭∑;(3)()
2
31
13i i X X
=-∑;(4
X
解:(1)由抽样分布定理,3
1
1~(0,1)3i i X X N ==∑
(2)因311~(0,1)3i i X N =∑,故2
2
332
1111~(1)39i i i i X X χ==⎛⎫⎛⎫= ⎪ ⎪⎝⎭⎝⎭
∑∑
(3)由抽样分布定理,
()()
()
2
2
23
3
21
1
31211~(2)3
323i i i i S X X X X χ==-=⋅-=-∑∑
(4)因()222~(0,1),
~23
X N S χ,X 与2S
()~2X t 。
二、在某个电视节目的收视率调查中,随机调查了1000人,有633人收看了该节目,试根
据调查结果,解答下列问题:
(1)用矩估计法给出该节目收视率的估计量;
(2)求出该节目收视率的最大似然估计量,并求出估计值; (3)判断该节目收视率的最大似然估计是否是无偏估计; (4)判断该节目收视率的最大似然估计是否是有效估计。
解:总体X 为调查任一人时是否收看,记为~(1,)X B p ,其中p 为收视率 (1)因EX p =,而^
E X X =,故收视率的矩估计量为^
X p =
(2)总体X 的概率分布为()
1()1,0,1x
x
f x p p x -=-=
11
11
()(1)(1)
(1)ln ()ln (1)ln(1)ln ()(1)
01n
n
i
i
i i i i n
x n x x x n X n n X
i L p p p p p p p L p nX p n X p d L p nX n X dp p p
==-
--=∑∑=-=-=-=+---=-=-∏
解得收视率p 的最大似然估计量为
^
X p =
现有一参量为1000的样本121000,,X X X ……,, 且1000
1
633i
i X
==∑
则633
0.6331000
X =
=,故收视率的极大似然估计值为0.633. (3)因E X p =,故^
X p =是无偏估计
(4)因
()
ln ()(1)1(1)
d L p nX n X n
X p dp p p p p -=-=---, 又E X p =
故 收视率的最大似然估计X 是p 的有效估计。
三、甲制药厂进行有关麻疹疫苗效果的研究,用X 表示一个人用这种疫苗注射后的抗体强
度,假定X 服从正态分布。
另一家与之竞争的乙制药厂生产的同种疫苗的平均抗体强度是1.9。
现甲厂声称其产品有更高的平均抗体强度,为证实这一点,检测了16个志愿者注射甲
厂疫苗后的抗体强度,得样本均值 2.225X =,样本方差为2
0.2687S =。
请回答下列问题:
(1)提出该问题的原假设与备择假设;
(2)写出犯第一类错误的概率表达式,并说明犯第一类错误的实际后果;
(3)根据样本数据,在显著性水平0.05α=时,检验你的假设,验证甲厂疫苗是否有更高的平均抗体强度;
(4)求甲厂疫苗抗体强度方差的置信度为0.95的置信区间。
解:设2
2
~(,).,X N μσμσ未知
(1)0010: 1.9;: 1.9H H μμμμ==>=
(2)犯第一类错误的概率为:{}
00P H H 拒绝成立
犯第一类错误误认为甲厂疫苗有更高的平均抗体强度,其实际后果是可能对人的生命健康安全造成威胁。
(3)由于2
σ未知,n 16=,
0H 的拒绝域为:0010.95( 1.9K X t n X t αμ-⎧⎧=->-=->⎨⎨⎩⎩ 又
0.950.51841.9 2.225 1.90.325, 1.7530.2274X t -=-==⨯=
因0.3250.227>,故拒绝0H ,接受1H 。
即在0.05α=时可以认为甲厂疫苗有更高
的平均抗体强度。
(4)因2
~(,).X N μσμ未知,
()()222
0.9750.02510.95,16,0.2687,1527.49,15 6.26n S αχχ-=====
()()()()()()
0.975
0.025
22212
2
222
1150.2687150.26870.14711527.491150.2687150.26870.644115 6.26n S n n S n ααχχχχ-
-⨯⨯===--⨯⨯===-
故方差2
σ的置信度为0.95的置信区间为()0.147,0.644。
试判断慢性支气管炎与吸烟量是否有关系。
(取0.05α=) 解:此为独立性检验
0H :慢性支气管炎与吸烟量无关,1H :慢性支气管炎与吸烟量有关
拒绝域:(){}2
2011K αχ
χ-=
>
()22
2
112221120.951212
() 1.3211 3.84n n n n n n n n n χχ⋅⋅⋅⋅-==<=
故接受0H ,认为慢性气管炎与吸烟量无关。
五、为了决定在老鼠中血糖的减少量和注射胰岛素A 的剂量间的关系,将同样条件下繁殖通过计算得知0.343,43.714,x y ==
()
()
()()
2
2
7
7
7
1
1
1
0.092,1301.429,10.186
xx i yy i xy i i i i i l x x
l y y
l x x y y ====-==-==--=∑∑∑(1)试根据以上数据,建立血糖减少量对胰岛素A 的剂量的样本回归直线方程; (2
)求出
^
σ
=
(3)写出回归系数显著性检验的原假设与备择假设; (4)若用t 检验法,写出回归系数显著性检验的拒绝域;
(5)根据以上数据判断胰岛素A 的剂量与血糖减少量之间是否存在线性关系。
(0.05α=) 解:(1)^
110.186
110.7170.092
xy xx
l l β=
=
=
^
^
0143.714110.7170.343 5.738y x ββ=-=-⨯=
得血糖减少量对胰岛素A 的剂量的回归方程为:^
5.738110.717y x =+。
(2)2
^^
2111301.429110.71710.186173.666E
yy xx yy xy S l l l l ββ=-=-=-⨯=
^
5.893σ
∴
===
(3)0111:0;:0H H ββ=≠
(4) ()^^01122K n αβ-⎧⎫⎪⎪
=>-⎨⎬⎪⎪
⎩⎭
(5
(
)^
0.9755 2.57149.951=
= 因^
1110.71749.951β=>,故拒绝0H ,认为存在线性关系。
六、现有某种型号的电池3批,它们分别是A ,B ,C 这3个工厂生产的,为评比其质量,各随机抽取5只电池为样本,经试验测得其寿命如下表所示:
若用方差分析方法来分析各厂电池寿命有无显著差异,请问: (1)该问题的指标是什么?因素是什么?因素的水平是什么? (2)数据应该满足的基本假定有哪些? (3)提出该问题的原假设与备择假设。
解:(1)指标是寿命,因素是工厂,因素的水平是A ,B ,C 三个不同的工厂 (2)同一工厂的电池寿命数据是来自同一个正态总体的样本
不同工厂的电池寿命数据是来自相互独立的正态总体,各总体方差相同 (3)0H :不同水平下的平均电池寿命相同 1H :至少有两个水平下的平均电池寿命不同
七、请简述为什么正交试验设计可以用较少的试验次数找到较优的水平搭配。
答:正交表保证所做的试验的水平搭配均衡地分散在所有各种水平搭配之中,因而代表性强,容易从中找到较优的水平搭配。
这是正交表的均衡分散性。
另外,对于每个因子,在它各个水平下的jt K 中,其他因子的各个水平出现的次数都相同。
这保证了jt K 中最大限度地排除了其他因子的干扰,因而有可能通过比较好的12,j j jr K K K ,?,值来找出较优的水平。
这是正交表的整齐可比性。