化工热力学第三版课后习题答案
- 格式:pdf
- 大小:2.27 MB
- 文档页数:17
化工热力学第三版课后习题答案第一章比较简单略第二章2-1.使用下述方法计算1kmol 甲烷贮存在体积为0.1246m 3、温度为50℃的容器中产生的压力:(1)理想气体方程;(2)R-K 方程;(3)普遍化关系式。
解:甲烷的摩尔体积V =0.1246 m 3/1kmol=124.6 cm 3/mol查附录二得甲烷的临界参数:T c =190.6K P c =4.600MPa V c =99 cm 3/mol ω=0.008 (1) 理想气体方程P=RT/V=8.314×323.15/124.6×10-6=21.56MPa(2) R-K 方程22.522.560.5268.314190.60.427480.42748 3.2224.610c cR T a Pa m K mol P -⨯===⋅⋅⋅⨯53168.314190.60.086640.08664 2.985104.610c c RT b m mol P --⨯===⨯⋅⨯ ∴()0.5RT aP V b T V V b =--+()()50.5558.314323.15 3.22212.46 2.98510323.1512.461012.46 2.98510---⨯=--⨯⨯⨯+⨯=19.04MPa (3) 普遍化关系式323.15190.61.695r c T T T === 124.699 1.259r c V V V ===<2∴利用普压法计算,01Z Z Z ω=+∵ c r ZRTP P P V == ∴c r PV Z P RT =654.61012.46100.21338.314323.15cr r r PV Z P P P RT -⨯⨯⨯===⨯迭代:令Z 0=1→P r0=4.687 又Tr=1.695,查附录三得:Z 0=0.8938 Z 1=0.462301Z Z Z ω=+=0.8938+0.008×0.4623=0.8975此时,P=P c P r =4.6×4.687=21.56MPa同理,取Z 1=0.8975 依上述过程计算,直至计算出的相邻的两个Z 值相差很小,迭代结束,得Z 和P 的值。
第二章流体的压力、体积、浓度关系:状态方程式2-1试分别用下述方法求出400℃、4.053MPa 下甲烷气体的摩尔体积。
(1)理想气体方程;(2)RK 方程;(3)PR 方程;(4)维里截断式(2-7)。
其中B 用Pitzer 的普遍化关联法计算。
[解](1)根据理想气体状态方程,可求出甲烷气体在理想情况下的摩尔体积idV 为33168.314(400273.15)1.381104.05310id RT V m mol p --⨯+===⨯⋅⨯(2)用RK 方程求摩尔体积将RK 方程稍加变形,可写为0.5()()RT a V b V b p T pV V b -=+-+(E1)其中2 2.50.427480.08664c c ccR T a p RT b p ==从附表1查得甲烷的临界温度和压力分别为c T =190.6K,c p =4.60MPa ,将它们代入a,b 表达式得2 2.56-20.560.427488.314190.6 3.2217m Pa mol K4.6010a ⨯⨯==⋅⋅⋅⨯53160.086648.314190.6 2.9846104.6010b m mol--⨯⨯==⨯⋅⨯以理想气体状态方程求得的idV 为初值,代入式(E1)中迭代求解,第一次迭代得到1V 值为5168.314673.152.9846104.05310V -⨯=+⨯⨯350.563353.2217(1.38110 2.984610)673.15 4.05310 1.38110(1.38110 2.984610)-----⨯⨯-⨯-⨯⨯⨯⨯⨯⨯+⨯3553311.381102.984610 2.1246101.389610m mol -----=⨯+⨯-⨯=⨯⋅第二次迭代得2V 为353520.563353553313.2217(1.389610 2.984610)1.381102.984610673.154.05310 1.389610(1.389610 2.984610)1.381102.984610 2.1120101.389710V m mol ------------⨯⨯-⨯=⨯+⨯-⨯⨯⨯⨯⨯⨯+⨯=⨯+⨯-⨯=⨯⋅1V 和2V 已经相差很小,可终止迭代。
化工热力学课后答案第1章 绪言一、是否题1. 封闭体系的体积为一常数。
(错)2. 封闭体系中有两个相βα,。
在尚未达到平衡时,βα,两个相都是均相敞开体系;达到平衡时,则βα,两个相都等价于均相封闭体系。
(对)3. 理想气体的焓和热容仅是温度的函数。
(对)4. 理想气体的熵和吉氏函数仅是温度的函数。
(错。
还与压力或摩尔体积有关。
)5. 封闭体系的1mol 气体进行了某一过程,其体积总是变化着的,但是初态和终态的体积相等,初态和终态的温度分别为T 1和T 2,则该过程的⎰=21T T V dT C U ∆;同样,对于初、终态压力相等的过程有⎰=21T T P dT C H ∆。
(对。
状态函数的变化仅决定于初、终态与途径无关。
)二、填空题1. 状态函数的特点是:状态函数的变化与途径无关,仅决定于初、终态 。
2. 封闭体系中,温度是T 的1mol 理想气体从(P i ,V i )等温可逆地膨胀到(P f ,V f ),则所做的功为()f i rev V V RT W ln =(以V 表示)或()i f rev P P RT W ln = (以P 表示)。
3. 封闭体系中的1mol 理想气体(已知igP C ),按下列途径由T 1、P 1和V 1可逆地变化至P 2,则A 等容过程的 W = 0 ,Q =()1121T P P R C igP⎪⎪⎭⎫ ⎝⎛--,错误!未找到引用源。
U =()1121T PP R C igP⎪⎪⎭⎫⎝⎛--,错误!未找到引用源。
H = 1121T P P C ig P ⎪⎪⎭⎫ ⎝⎛-。
B 等温过程的 W =21lnP P RT -,Q =21ln P PRT ,错误!未找到引用源。
U = 0 ,错误!未找到引用源。
H = 0 。
C 绝热过程的 W =()⎥⎥⎥⎦⎤⎢⎢⎢⎣⎡-⎪⎪⎭⎫ ⎝⎛--11211igPC RigPP P R V P R C ,Q = 0 ,错误!未找到引用源。
化工热力学课后答案(第三版)陈钟秀编著 2-1.使用下述方法计算1kmol 甲烷贮存在体积为0.1246m 3、温度为50℃的容器中产生的压力:(1)理想气体方程;(2)R-K 方程;(3)普遍化关系式。
解:甲烷的摩尔体积V =0.1246 m 3/1kmol=124.6 cm 3/mol查附录二得甲烷的临界参数:T c =190.6K P c =4.600MPa V c =99 cm 3/mol ω=0.008(1) 理想气体方程P=RT/V=8.314×323.15/124.6×10-6=21.56MPa(2) R-K 方程 ∴()0.5RT aP V b T V V b =--+ =19.04MPa (3) 普遍化关系式323.15190.61.695r c T T T === 124.6991.259r c V V V ===<2 ∴利用普压法计算,01Z Z Z ω=+∵ c r ZRTP P P V == ∴ c r PVZ P RT=迭代:令Z 0=1→P r0=4.687 又Tr=1.695,查附录三得:Z 0=0.8938 Z 1=0.4623 01Z Z Z ω=+=0.8938+0.008×0.4623=0.8975此时,P=P c P r =4.6×4.687=21.56MPa同理,取Z 1=0.8975 依上述过程计算,直至计算出的相邻的两个Z 值相差很小,迭代结束,得Z 和P 的值。
∴ P=19.22MPa2-2.分别使用理想气体方程和Pitzer 普遍化关系式计算510K 、2.5MPa 正丁烷的摩尔体积。
已知实验值为1480.7cm 3/mol 。
解:查附录二得正丁烷的临界参数:T c =425.2K P c =3.800MPa V c =99 cm 3/mol ω=0.193(1)理想气体方程V=RT/P=8.314×510/2.5×106=1.696×10-3m 3/mol误差:1.696 1.4807100%14.54%1.4807-⨯=(2)Pitzer 普遍化关系式对比参数:510425.2 1.199r c T T T === 2.53.80.6579r c P P P ===—普维法∴ 01.61.60.4220.4220.0830.0830.23261.199rB T =-=-=-01cc BP B B RT ω=+=-0.2326+0.193×0.05874=-0.2213 11c r c rBP BP PZ RT RT T =+=+=1-0.2213×0.6579/1.199=0.8786 ∴ PV=ZRT→V= ZRT/P=0.8786×8.314×510/2.5×106=1.49×10-3 m 3/mol 误差:1.49 1.4807100%0.63%1.4807-⨯=2-3.生产半水煤气时,煤气发生炉在吹风阶段的某种情况下,76%(摩尔分数)的碳生成二氧化碳,其余的生成一氧化碳。
第二章 流体的压力、体积、浓度关系:状态方程式2-1试分别用下述方法求出400C 、4.053MPa 下甲烷气体的摩尔体积。
(1)理想气体 方程;(2) RK 方程;(3)PR 方程;(4)维里截断式(2-7)。
其中B 用Pitzer 的普遍化 关联法计算。
[解](1)根据理想气体状态方程,可求出甲烷气体在理想情况下的摩尔体积 V id 为(2)用RK 方程求摩尔体积将RK 方程稍加变形,可写为RT b a(V b) p T 0.5 pV (V b)其中从附表1查得甲烷的临界温度和压力分别为T c =190.6K, p c =4.60MPa ,将它们代入a, b 表达式得以理想气体状态方程求得的V id为初值,代入式(E1)中迭代求解,第一次迭代得到y 值为第二次迭代得V 2为1.3897 10 3m 3 molV 1和V 2已经相差很小,可终止迭代。
故用 RK 方程求得的摩尔体积近似为(E1)V 231.381 102.9846 10353.2217 (1.3896 102.9846 10 )0 56335673.15 . 4.053 10 1.3896 10 (1.3896 10 2.9846 10 )1.381 102.9846 102.1120 10(3)用PR方程求摩尔体积将PR方程稍加变形,可写为V RT b a(^—(E2)p pV(V b) pb(V b)R1 2? 3式中a 0.45724—-P c从附表1查得甲烷的=0.008。
将T c与代入上式用P c、T c和求a和b,以RK方程求得的V值代入式(E2),同时将a和b 的值也代入该式的右边,藉此求式(E2) 左边的V值,得V &4 5615 2.68012 10 5 4.053 1060.10864 (1.390 10 3 2.68012 10 5)6 3 3 5 5 3 54.053 10 [1.390 10 (1.390 10 2.68012 10 ) 2.68012 10 (1.390 10 2.68012 10 )]1.381 10 32.68012 10 5 1.8217 10 51.3896 10 3m3mol 1再按上法迭代一次,V值仍为1.3896 10 3m3 mol 1,故最后求得甲烷的摩尔体积近似为3 3 11.390 10 m mol 。
《化⼯热⼒学》(第⼆、三版_陈新志)课后习题答案第1章绪⾔⼀、是否题3. 封闭体系中有两个相。
在尚未达到平衡时,两个相都是均相敞开体系;达到平衡时,则两个相都等价于均相封闭体系。
(对)4. 理想⽓体的焓和热容仅是温度的函数。
(对)5. 理想⽓体的熵和吉⽒函数仅是温度的函数。
(错。
还与压⼒或摩尔体积有关。
)第2章P-V-T关系和状态⽅程⼀、是否题2. 纯物质由蒸汽变成液体,必须经过冷凝的相变化过程。
(错。
可以通过超临界流体区。
)3. 当压⼒⼤于临界压⼒时,纯物质就以液态存在。
(错。
若温度也⼤于临界温度时,则是超临界流体。
)4. 由于分⼦间相互作⽤⼒的存在,实际⽓体的摩尔体积⼀定⼩于同温同压下的理想⽓体的摩尔体积,所以,理想⽓体的压缩因⼦Z=1,实际⽓体的压缩因⼦Z<1。
(错。
如温度⼤于Boyle温度时,Z>1。
)7. 纯物质的三相点随着所处的压⼒或温度的不同⽽改变。
(错。
纯物质的三相平衡时,体系⾃由度是零,体系的状态已经确定。
)8. 在同⼀温度下,纯物质的饱和液体与饱和蒸汽的热⼒学能相等。
(错。
它们相差⼀个汽化热⼒学能,当在临界状态时,两者相等,但此时已是汽液不分)9. 在同⼀温度下,纯物质的饱和液体与饱和蒸汽的吉⽒函数相等。
(对。
这是纯物质的汽液平衡准则。
)10. 若⼀个状态⽅程能给出纯流体正确的临界压缩因⼦,那么它就是⼀个优秀的状态⽅程。
(错。
)11. 纯物质的平衡汽化过程,摩尔体积、焓、热⼒学能、吉⽒函数的变化值均⼤于零。
(错。
只有吉⽒函数的变化是零。
)12. ⽓体混合物的virial系数,如B,C…,是温度和组成的函数。
(对。
)13. 三参数的对应态原理较两参数优秀,因为前者适合于任何流体。
(错。
三对数对应态原理不能适⽤于任何流体,⼀般能⽤于正常流体normal fluid)14. 在压⼒趋于零的极限条件下,所有的流体将成为简单流体。
(错。
简单流体系指⼀类⾮极性的球形流,如Ar等,与所处的状态⽆关。
化工热力学课后答案第1章 绪言一、是否题1. 封闭体系的体积为一常数。
(错)2. 封闭体系中有两个相βα,。
在尚未达到平衡时,βα,两个相都是均相敞开体系;达到平衡时,则βα,两个相都等价于均相封闭体系。
(对)3. 理想气体的焓和热容仅是温度的函数。
(对)4. 理想气体的熵和吉氏函数仅是温度的函数。
(错。
还与压力或摩尔体积有关。
)5. 封闭体系的1mol 气体进行了某一过程,其体积总是变化着的,但是初态和终态的体积相等,初态和终态的温度分别为T 1和T 2,则该过程的⎰=21T T V dT C U ∆;同样,对于初、终态压力相等的过程有⎰=21T T P dT C H ∆。
(对。
状态函数的变化仅决定于初、终态与途径无关。
)二、填空题1. 状态函数的特点是:状态函数的变化与途径无关,仅决定于初、终态 。
2. 封闭体系中,温度是T 的1mol 理想气体从(P i ,V i )等温可逆地膨胀到(P f ,V f ),则所做的功为()f i rev V V RT W ln =(以V 表示)或()i f rev P P RT W ln = (以P 表示)。
3. 封闭体系中的1mol 理想气体(已知igP C ),按下列途径由T 1、P 1和V 1可逆地变化至P 2,则A 等容过程的 W = 0 ,Q =()1121T P P R C igP⎪⎪⎭⎫ ⎝⎛--,错误!未找到引用源。
U =()1121T PP R C igP⎪⎪⎭⎫⎝⎛--,错误!未找到引用源。
H = 1121T P P C ig P ⎪⎪⎭⎫ ⎝⎛-。
B 等温过程的 W =21lnP P RT -,Q =21ln P PRT ,错误!未找到引用源。
U = 0 ,错误!未找到引用源。
H = 0 。
C 绝热过程的 W =()⎥⎥⎥⎦⎤⎢⎢⎢⎣⎡-⎪⎪⎭⎫ ⎝⎛--11211igPC RigPP P R V P R C ,Q = 0 ,错误!未找到引用源。
第二章 流体的压力、体积、浓度关系:状态方程式2-1 试分别用下述方法求出400℃、下甲烷气体的摩尔体积;1 理想气体方程;2 RK 方程;3PR 方程;4 维里截断式2-7;其中B 用Pitzer 的普遍化关联法计算;解 1 根据理想气体状态方程,可求出甲烷气体在理想情况下的摩尔体积id V 为2 用RK 方程求摩尔体积将RK 方程稍加变形,可写为0.5()()RT a V b V b p T pV V b -=+-+ E1其中从附表1查得甲烷的临界温度和压力分别为c T =, c p =,将它们代入a, b 表达式得以理想气体状态方程求得的id V 为初值,代入式E1中迭代求解,第一次迭代得到1V 值为第二次迭代得2V 为353520.563353553313.2217(1.389610 2.984610)1.381102.984610673.154.05310 1.389610(1.389610 2.984610)1.381102.984610 2.1120101.389710V m mol ------------⨯⨯-⨯=⨯+⨯-⨯⨯⨯⨯⨯⨯+⨯=⨯+⨯-⨯=⨯⋅1V 和2V 已经相差很小,可终止迭代;故用RK 方程求得的摩尔体积近似为3用PR 方程求摩尔体积将PR 方程稍加变形,可写为()()()RT a V b V b p pV V b pb V b -=+-++- E2式中 220.45724c cR T a p α=从附表1查得甲烷的ω=;将c T 与ω代入上式 用c p 、c T 和α求a 和b,以RK 方程求得的V 值代入式E2,同时将a 和b 的值也代入该式的右边,藉此求式E2左边的V 值,得563563355353558.314673.152.68012104.053100.10864(1.39010 2.6801210)4.05310[1.39010(1.39010 2.6801210) 2.6801210(1.39010 2.6801210)]1.381102.6801210 1.8217101.3896V ------------⨯=+⨯-⨯⨯⨯-⨯⨯⨯⨯⨯⨯+⨯+⨯⨯⨯-⨯=⨯+⨯-⨯=33110m mol --⨯⋅再按上法迭代一次,V 值仍为3311.389610m mol --⨯⋅,故最后求得甲烷的摩尔体积近似为3311.39010m mol --⨯⋅; 4维里截断式求摩尔体积根据维里截断式2-711()c r c rBp p BpZ RT RT T =+=+ E3 01ccBp B B RT ω=+ E40 1.60.0830.422/r B T =- E5 1 4.20.1390.172/r B T =-E6其中已知甲烷的偏心因子ω=,故由式E4~E6可计算得到从式E3可得 因pVZ RT=,故 四种方法计算得到的甲烷气体的摩尔体积分别为31.38110-⨯、31.39010-⨯、31.39010-⨯和31.39110-⨯31m mol -⋅;其中后三种方法求得的甲烷的摩尔体积基本相等,且与第一种方法求得的值差异也小,这是由于该物系比较接近理想气体的缘故;2-2 含有丙烷的3m 的容器具有的耐压极限;出于安全考虑,规定充进容器的丙烷为127℃,压力不得超过耐压极限的一半;试问可充入容器的丙烷为多少千克解 从附表1查得丙烷的c p 、c T 和ω,分别为,和;则用普遍化压缩因子关联求该物系的压缩因子Z;根据r T 、r p 值,从附表7-2,7-3插值求得:(0)0.911Z = ,(1)0.004Z =,故丙烷的分子量为,即丙烷的摩尔质量M 为0.00441 kg;所以可充进容器的丙烷的质量m 为从计算知,可充9.81 kg 的丙烷;本题也可用合适的EOS 法和其它的普遍化方法求解;2-3 根据RK 方程、SRK 方程和PR 方程,导出其常数a 、b 与临界常数的关系式;解 1RK 方程式,0.5()RT ap V b T V V b =--+ E1利用临界点时临界等温线拐点的特征,即22()()0c c T T T T p pV V==∂∂==∂∂ E2将式E1代入式E2得到两个偏导数方程,即20.52211()0()()c c c c c RT a V b T b V V b -+-=-+E330.53311()0()()c c c c c RT a V b T b V V b --=-+ E4临界点也符合式E1,得0.5()c c c c c c RT ap V b T V V b =--+ E5式E3~E5三个方程中共有a 、b 、c p 、c T 和c V 五个常数,由于c V 的实验值误差较大,通常将其消去,用c p 和c T 来表达a 和b;解法步骤如下:令c c c c p V Z RT =临界压缩因子,即 c c c cZ RTV p =; 同理,令2 2.5a c cR T a p Ω=,b c c RT b p Ω=,a Ω和b Ω为两个待定常数;将a 、b 、c V 的表达式代入式E3~E5,且整理得222(2)1()()a cbc c b c b Z Z Z Z Ω+Ω=+Ω-Ω E622333(33)1()()a cbc b c c b c b Z Z Z Z Z Ω+Ω+Ω=+Ω-Ω E711()a c c b c bZ Z Z Ω=-+Ω-ΩE8式E6除以式E7,式E6除以式E8得3223330c b c b c b Z Z Z -Ω-Ω-Ω=E9322232320c c b c b c b b Z Z Z Z -++Ω-Ω-Ω-Ω=E10对式E8整理后,得()(1)c c b c b a c bZ Z Z Z +Ω-+ΩΩ=-ΩE11式E9减去E10,得22(13)(2)0c b b c c Z Z Z -Ω+Ω-=E12由式E12解得13c Z =,或1)b c Z Ω=此解不一定为最小正根,或1)b c Z Ω=-b Ω不能为负值,宜摒弃再将13c Z =代入式E9或式E10,得32110327b b b Ω+Ω+Ω-=E13解式E13,得最小正根为将13c Z =和0.08664b Ω=代入式E11,得0.42748a Ω=,故2 2.50.42748c cR T a p =E140.08664ccRT b p =E15式E14和式E15即为导出的a 、b 与临界常数的关系式;2 SRK 方程立方型状态方程中的a 、b 与临界常数间的通用关系式可写为 SRK 方程的α是c T 与ω的函数,而RK 方程的0.5r T α=,两者有所区别;至于a Ω与b Ω的求算方法对RK 和SRK 方程一致;因此就可顺利地写出SRK 方程中a 、b与临界常数间的关系式为220.42748c cR T a p α=⋅E160.08664ccRT b p =E173PR 方程由于PR 方程也属于立方型方程,a 、b 与临界常数间的通用关系式仍然适用,但a Ω、b Ω的值却与方程的形式有关,需要重新推导PR 方程由下式表达 因()c T T pV=∂∂=0 22()20()[()()]c c c T T c c c c c RT V b pa V Vb V V b b V b =+∂=-+=∂-++- E18 经简化,上式可写为2222222()()()4()c c c c c c c RT a V b V b V b bV V b +=-++-E19把c c c c Z RT V p =、22a c c cR T a p Ω=、b c c RT b p Ω=代入式E19中,化简得出222222()1()()4()a cbc b c b c b c b Z Z Z Z Z Ω+Ω=-Ω+Ω-Ω-ΩE20对式E18再求导,得22222322322322222222[()4()()(44124)]()()[()4()]c c c c c c c c c c T T c c c c RT a V b bV V b V b V b V bV b pV V b V b bV V b =++--+++-∂=+∂-++- 0= E21将上式化简后得出E22再将c c c c Z RT V p =、22a c c cR T a p Ω=、b c c RT b p Ω=代入式E22中,化简得出432234387263544536278(3121445)1()8208268208a c b c b c b c b c b c b c b c b c b c b c b c b c b Z Z Z Z Z Z Z Z Z Z Z Z Z Ω+Ω+Ω+Ω-Ω=-Ω+Ω+Ω+Ω-Ω-Ω+Ω-Ω+ΩE23 PR 方程的c Z =,将其分别代入式E21和E23后,就可联立解出a Ω与b Ω,得到a Ω=和b Ω=;最后得到2 2.50.45724c cR T a p =和 2-4 反应器的容积为3m ,内有45.40kg 乙醇蒸气,温度为227℃;试用下列四种方法求算反应器的压力;已知实验值为;1RK 方程;2SRK 方程;3PR 方程;4 三参数普遍化关联法;解 1用R-K 方程法计算从附表1查得乙醇的c p 和T c 分别为 和;则RK 方程参数a, b 为 再求乙醇在该状态下的摩尔体积,V 按R-K 方程求算压力,有350.5335668.314(227273.15)28.0391.22910 5.82810500.15 1.229*10(1.22910 5.82810)(3.55190.7925)10 2.75910 2.759Pa MPa-----⨯+=-⨯-⨯⨯⨯⨯+⨯=-⨯=⨯=2用SRK 方程计算从附表1查得乙醇的ω为;SRK 方程中的a 和b 分别计算如下: 在给定条件下乙醇摩尔体积为3311.22910m mol --⨯⋅,将上述有关数值代入SRK 方程,得3用PR 方程计算 将上述数值代入PR 方程,得3533553568.314500.151.22910 5.233410 1.372031.22910(1.22910 5.233410) 5.233410(1.22910 5.233410)(3.53390.83848)10 2.695p Pa MPa--------⨯=⨯-⨯-⨯⨯⨯+⨯+⨯⨯-⨯=-⨯=3用普遍化维里系数法计算根据临界常数和以RK 方程求出的p 为初值,求出对比温度和对比压力,即2.7590.43246.38r c p p p ===, 500.150.9689516.2r c T T T === 故已知乙醇的偏心因子ω=,按下式求压缩因子Z 的值, 所以因和比较接近,不需再迭代;将4种方法计算得到的结果列表比较;由上表知,所用四种方法的计算误差都不大,但以RK 方程法求得的值和实验值最为接近;其余的方法稍差;第一和第四种方法得到的是负偏差,而第二和第三种方法却是正偏差;2-5 某气体的p -V -T 关系可用RK 方程表述,当温度高于c T 时,试推导出以下两个极限斜率的关系式:10lim()T P Z p→∂∂ ;2lim()T P Zp →∞∂∂ ;两式中应包含温度T和RK 方程的常数a 和b;解 根据压缩因子的定义pVZ RT=E1将式E1在恒T 下对p 求偏导,得1()()()T T T Z V p V V p p p RT RT p RT RT V-∂∂∂=+=+∂∂∂ E2根据RK 方程 可求出()T pV∂∂, 20.522(2)()()()T p RT a V b V V b T V V b ∂+=-+∂-+ E3将E3代入E2,得120.522(2)()[]()()T Z V p RT a V b p RT RT V b T V V b -∂+=+-+∂-+ E4pRT也用RK 方程来表达,即 1.51()p a RT V b RT V V b =--+ E5将E5代入E4,得(1) 当0p →,V →∞,故 (2) 当p →∞,V b →,故1、2两种情况下得到的结果即为两个极限斜率的关系式;2-6 试分别用普遍化的RK 方程、SRK 方程和PR 方程求算异丁烷蒸气在350K 、下的压缩因子;已知实验值为;解 1 将RK 方程普遍化,可见原书中的2-20c 和2-20d,即1.51 4.9340() 11r hZ h T h =--+ E10.08664h=rrP ZT E2式E2的右边的Z 以1为初值代入进行迭代,直至得到一收敛的Z 值;由附表1查得异丁烷的c p 、c T 分别为c p = ,c T =,则3500.8576408.1r c T T T ===, 1.20.32883.65r c p P p === 以Z=1代入式E2右边,得 把1h 代入式E1右边,得再把1=0.8346Z 代入式E2,解得2h ,代入式E1,得 按此方法不断迭代,依次得3=0.7965Z , 4=0.7948Z , 5=0.7944Z5Z 和4Z 已非常接近,可终止迭代;异丁烷蒸气的压缩因子为=0.7944Z2 SRK 的普遍化形式如下见原书式2-211 4.934011FhZ h h=--+ E3 0.521[1(1)]r rF m T T =+- E4 20.480 1.5740.176m ωω=+- E50.08664rrp h ZT =E6迭代的过程为:求m 和F 值→取0Z =1→求h 值−−−−→←−−−−循环迭代求Z 值→得收敛的Z 值;查得异丁烷的偏心因子,0.176ω=,故根据式E5和式E4可得 以0Z =1代入式E6右边,得 再由式E3可得 按上述方法,依次可得2=0.7947Z ,3=0.7864Z ,4=0.7843Z ,5=0.7839Z ,6=0.7837Z6Z 和5Z 已非常接近,可终止迭代;故=0.7837Z(3) 用普遍化的PR 方程计算若要按例2-4的思路来计算,必先导出类似于式2-21的普遍化的PR 方程; 令bh V=,则 (1)bV b h h+=+,(1)bV b h h-=-,hZRTp b=将上述4式代入式2-18,并简化后,得(1)(1)(1)RTahZRTp b b b bbh h b h h h h h =-=-++-,即 211[][](1)(1)11(1)(1)hRT a a h Z h b h b RTh h h bRT h h h h h=-=-+---++-+ E7将PR 方程中的a 、b 代入式E7,则1 5.8771[]1(1)(1)r h h T h h hα=--++- E8令0.5220.5211[1(1)][1(0.37464 1.542260.26992)(1)]r r r rF k T T T T ωω=+-=++--,则1 5.8771[]1(1)(1)hZ F h h h h =--++- E9且0.0778/0.0778/0.0778/c c c c rrRT p RT p p b h V V ZRT p ZT ==== E10 通过式E9和E10就可迭代求得Z; 第一次迭代,设0Z =1,则继续迭代,依次可得Z 2=,Z 3=,Z 4=,Z 5=,Z 6=;由于前后两次迭代出的Z 值已很接近,从而得出异丁烷的Z =,与实验值相比,误差为%;由RK 和SRK 方程计算得到的异丁烷的Z 分别为和,它们与实验值的计算误差分别为%和%;可见,三种方法中,普遍化PR 方程计算结果显得更好些;2-7 试用下列三种方法计算250℃、2000Kpa 水蒸气的Z 和V ;1维里截断式2-8,已知B 和C 的实验值分别为310.1525B m kmol -=-⋅和2620.580010C m kmol --=-⨯⋅;2式2-7,其中的B 用Pitzer 普遍化关联法求出;3用水蒸气表计算;解 1用维里截断式2-8计算先求出理想气体状态时的摩尔体积,id V 维里截断式2-8为21pV B CZ RT V V==++ 2-8以id V 为初值,即0id V V =,代入上式右边,求得1V10200(1)B C V V V V =++ E1将1V 再代入式E1右边得同理,3313 2.00710V m mol --=⨯⋅;2V 和3V 很接近,停止迭代,则水蒸气的摩尔体积为3312.00710V m mol --=⨯⋅;所以2用维里截断式2-7计算 维里截断式2-7为11()c r c rBp p BpZ RT RT T =+=+ E201ccBp B B RT ω=+ E3由附表1查得水蒸气的c p 、c T 和ω分别为, 和,则2.00.090722.05r c p p p ===, 250273.150.8082647.3r c T T T +=== 根据Pitzer 的普遍化关联式,有再由式E3和式E2得 故33310.9319 2.17510 2.02710id ZRTV ZV m mol p---===⨯⨯=⨯⋅ 3用水蒸气表计算从水蒸气表附表3查得250℃,2000Kpa 时的水蒸气的比容为 由于水的摩尔质量为,故 同理 2.0080.92322.175id pV V Z RT V ==== 将三种方法计算得到的结果列表比较;计算结果表明,1、3两种方法所得的结果比较接近;2方法偏差较大,主要是忽略了第三维里系数之故;2-8 试用Magoulas 等法、Teja 等法、CG 法和Hu 等法等估算正十九烷的临界温度、临界压力原书中有误,没有计算压缩因子的要求;查阅其文献值,并与所得计算值进行比较;解 正十九烷的分子式为1940C H ,故19c N = 1用Magoulas 等法 按式2-36, 按式2-37,2用Teja 等式按式2-38, 按式2-39,3用CG 法 按式2-40, 按式2-41,4用Hu 等式 按式2-42, 按式2-43,经查阅,c T 、c p 的手册值如下表所示:从上表知,文献中的c T 、c p 手册值并不完全一致,特别c p 间的差值还有些大;由于Nikitin 等的数据和Poling B E 等专着的手册值更为接近,以Nikitin 等的数据为基准手册值,计算出上述各法的误差列于下表;由表知,对c T 、c p 的推算,分别以Magoulas 等法和Hu 等法为最好,且c p 的推算误差比c T 要大;Nikitin 等也给出了c T 和c p 的推算方程如下:据此也可推算正十九烷的c T 和c p ;误差:756754.611000.18%756-⨯= 误差:11.6011.551000.43%11.60-⨯=由Nikitin 等法估算正十九烷的T c ,其误差仅比Magoulas 等法稍差,但比其它三种方法都要优越些;相反,该法估算p c 的误差却最小,比以上四种方法都好,误差要小近半个数量级,甚至更好;由此可见经常查阅文献,与时俱进是很重要的;2-9 试用Constantinou, Gani 和O ’Connell 法估算下列化合物的偏心因子和时液体摩尔体积;1甲乙酮,2环乙烷,3丙烯酸;解 此题如何计算首先要查阅原书P34脚注中的文献4;从该文献中知晓应用何种方程、并查表此两表已在附表9和附表10中给出获得一阶和二阶的数据1i ω、1i υ和2j ω、2j υ等;1甲乙酮应注意到式2-48仅能用于正烷烃的偏心因子估算;对于甲乙酮则应从查阅的文献中得出求算方程;先估算甲乙酮的偏心因子,查得一阶计算的方程为0.50501exp() 1.15070.4085i i N ωω-=∑E1式中,i N 为要估算化合物分子中基团i 出现的次数;1i ω为i 的偏心因子一阶基团贡献值;甲乙酮可分解为3CH 、2CH 和3CH CO 三种基团,从附表9中可以查得1i ω和1i υ,并列表如下:将有关数据代入式E1,得 解得 0.376ω=;从附表1中查得甲乙酮的0.329ω=,0.3290.37610014.28%0.329-=⨯=-误差;一阶估算的误差较大,试进行二阶估算;从文献得出的计算方程为0.505012exp() 1.15070.4085i i j j N A M ωωω-=∑+∑ E2式中 1A =;j M 是在要估算的化合物分子中基团j 出现的次数;2j ω为j 的偏心因子二阶基团贡献值;经查附表10知,甲乙酮的二阶基团为32CH COCH ,其2j ω和2j υ分别为了和31m kmol -⋅;将相关1i ω和2j ω值代入式E2,得0.5050exp() 1.150710.2960210.146911 1.015221(0.20789)0.40851.458150.20789 1.25026ω-=⨯+⨯+⨯+⨯-=-=将上式简化并解得 0.314ω=,0.3290.314100 4.56%0.329-=⨯=误差;从文献查得估算298K 时的l V 估算式为120.01211l i i j j V N A M ωω-=∑+∑E3一阶估算时,0A =,将已查得的各基团的一阶饱和液体贡献值代入式E3,得从化学化工物性数据手册查得甲乙酮在20℃和40℃时的密度分别为3kg m -⋅和3kg m -⋅;内插得25℃时液体的摩尔密度为3kmol m -⋅,则可得出其摩尔体积为31m kmol -⋅;以此为文献值,进行一阶估算结果的误差计算,得二阶估算时,A=1,除1i υ外,尚需要2j υ,以上都已查得备用,依次代入式E3,得2环乙烷偏心因子的一阶估算时,环乙烷可作如下分解,得出基团,并查出基团贡献值:按式E1从附表1查得环乙烷的偏心因子为,0.2130.207100 2.82%0.213-=⨯=误差偏心因子的二阶估算时,从附表10中查得六元环的基团贡献值为,A=1,则按式E2得298K 时环乙烷的摩尔体积按式E3作一阶估算,此时A=0,则从Poling B E 等着的气体物性估算手册中查得时环乙烷的饱和液体摩尔体积为31m kmol -⋅;以此为文献值,则0.108750.11057100 1.67%0.10875-=⨯=-误差;按式E3作二阶估算时,A=1,从附表10中查得六元环的基团贡献值为31m kmol -⋅,因此对环乙烷而言,不论是ω或是l V ,二阶估算的结果都没有一阶估算的精确; 3丙烯酸丙烯酸可分解成如下的基团,并查得其基团贡献值;一阶估算ω,按式E1,从化学化工物性数据手册查得丙烯酸的ω值为,以此为文献值,进行误差计算,二阶估算ω,按式E2,A=1,一阶估算V,按式E3,A=0,l丙烯酸的密度数据来自化学化工物性数据手册,经换算,丙烯酸在25℃时的液体摩尔体积为31⋅,以此为文献值,则m kmol-二阶估算V,按式E3,A=1,l二阶估算结果显示出,ω的估算结果不如一阶的好,而V则相反,二阶估算结l果要比一阶的好;现把全部所得结果示于下表;由表的结果可以得出如下一些看法和观点:aConsfantinou, Gani 和O ’Connell 法预测估算法,对上述三种不同化合物的偏心因子和298K 饱和液体的摩尔体积都比较成功地进行了预测,误差也不算太大,在工程计算中应该有其应用价值;b 从预期来说,二阶估算的结果应该要比一阶估算的好;但从实际估算结果知,并非如此,例如环乙烷的ω和l V 两者的二阶估算结果都比一阶估算结果差;丙烯酸的ω估算,情况也与上述相同;估计出现相仿情况的场合,恐怕为数不少,说明该法应有改进的需要;2-10 估算150℃时乙硫醇的液体的摩尔体积;已知实验值为31m kmol -⋅;乙硫醇的物性参数为c T =499K 、c p =、c V =31m kmol -⋅、ω=,20℃的饱和液体密度为8393kg m -⋅;解 方法1:用Rackett 方程计算液体摩尔体积; Rackett 方程为 其中: 635.49100.207100.27398.314 4.99c c c c p V Z RT -⨯⨯⨯===⨯故0.2857(10.8480)310.207(0.2739)0.0972SL V m kmol --=⨯=⋅乙硫醇的摩尔体积为31m kmol -⋅,该值和实验值31m kmol -⋅相比,误差为%; 方法2:用Lyderson 方法计算由20℃时的饱和液体密度求出此状态的摩尔体积1V ,M 为乙硫醇的摩尔质量,则20℃时的对比温度为根据1r T 值,从图2-11的饱和液体线上查得对比度密度,1r ρ=;同理,根据此值,从图2-11的饱和液体线上查得2 2.15r ρ=;故根据Lyderson 方程,有乙硫醇的摩尔体积计算值为31m kmol -⋅,和实验值相比,误差为%; 2-11 50℃、由摩尔分数的氮和摩尔分数的乙烯组成混合气体,试用下列4种方法求算混合气体的摩尔体积;已知从实验数据, 1.40Z =实;1理想气体方程;2Amagat 定律和普遍化压缩因子图;3 虚拟临界常数法Kay 规则;4 混合物的第二维里系数法;解 1 理想气体方程法根据理想气体方程求得混合物的摩尔体积id m V 为 2 Amagat 定律和普遍化压缩因子图法 根据Amagat 定律()(/)()id id m i i i i i i m m m iiiV V y y Z RT p y Z V Z V ====∑∑∑E1从附表1查得2N 和24C H 的c p 和c T ,2N 1: c p =3.39MPa ,c T =126.2K 24C H 2: c p =5.04MPa ,c T =282.4K根据c p 、c T 值,求出2N 1和24C H 2的r T 和r p 为2N 1:150273.15 2.561126.2r T +==, 160.9717.993.39r p ==24C H 2:250273.15 1.144282.4r T +==, 260.9712.105.04r p ==从普遍化二参数压缩因子图查得相应的i Z 值2N : 1 1.49Z =;24C H :2 1.34Z =代入式E1得3 虚拟临界常数法Kay 规则法根据Kay 规则计算混合物虚拟临界常数, 故可求出混合物的对比温度和对比压力,50273.15 1.470219.8rm T +==, 60.9713.924.38rm p ==根据rm T 和rm p ,查二参数普遍化压缩因子图2-4,得 1.45m Z =,故 4混合物的第二维里系数法 根据式2-712-72e,2211112122222m B y B y y B y B =++E2 01()cij ij ij ij ij cijRT B B B p ω=+E31/2()(0)cij ci c j ij T T T ==这里KE41/31/33()2ci c j cij V V V +=E5()/2cij ci c j Z Z Z =+E6()/2ij i j ωωω=+ E7cij cij cij cijZ RT p V =E80ij B 和1ij B 用Pitzer 的普遍化关联法计算,即0 1.60.0830.422/ij rij B T =- E9 1 4.20.1390.174/ij rij B T =-E10其中 /rij cij T T T =,/rij cij p p p = E11 纯组分的第二维里系数,可按通常的方法求出,即只须用式E3、式E9和式E10,当然此时i=j;而对交叉第二维里系数,须从式E3式E11求出;先从附表1查得各组分的c p 、c T 、c V 、c Z 和ω,具体数值见后面的表1,具体的计算步骤如下: 对2N 1,根据式E11,1111273.1550/ 2.5606126.2r c T T T +===, 111160.97/17.9853.39r c p p p ===根据式E9和E10,011 1.60.4220.0830.010752.5606B =-=-, 1114.20.1740.1390.13572.5606B =-= 代入式E3,得 对24C H 2,根据式E11,2222273.1550/ 1.1443282.4r c T T T +===, 222260.97/12.0975.04r c p p p ===根据式E9和E10,022 1.60.4220.0830.25711.1443B =-=-, 122 4.20.1740.1390.041351.1443B =-= 代入式E3,得交叉第二维里系数12B 的计算如下: 根据式E4式E8, 根据式E11, 代入式E9和E10,012 1.60.4220.0830.095561.7118B =-=-, 112 4.20.1740.1390.12101.7118B =-= 代入式E3得将上述计算结果综合成表1;表1、维里方程计算混合气体的摩尔体积时的一些中间参数i-j T cKp c /MPa V c /m 3kmol -1Z c ω T r B 0 B 1 B/m 3kmol -11-2注:方框中的数值系从附表1查得,其余的分别根据式E3式E11求得;根据式E2求出m B ,得根据维里截断式2-7,求出混合物的压缩因子为若压缩因子为“负值”,意味着摩尔体积为负值;这是没有任何物理意义的,也是不合理的;说明方法4在高达的压力下是不适合的;将四种方法计算结果综合成表2;由表可知,2、3两种方法求出的结果和实验值很接近,而方法1也即理想气体方程求得的结果偏差很大,这是由于系统非理想的缘故;比较2、3两种方法,可以看出2法,也即Amagat 定律,求出的结果为最优;表2、由4种方法计算混合气体的压缩因子和摩尔体积计算方法压缩因子Z m摩尔体积V m/ m 3kmol -1误差 / %实验值计算值1 2 3 4无意义无意义2-12 以化学计量比的2N 和2H 合成氨,在25℃和下,混合气以3311.666710m s --⨯⋅的流速进入反应器;氨的转化率为15%;从反应器出来的气体经冷却和凝缩,将氨分离出后,再行循环;1计算每小时合成氨的量;2若反应器出口的条件为,150℃,求内径为2510m -⨯的出口管中气体的流速;解 先求出2N 1+2H 2混合气体的摩尔体积m V ,拟用Amagat 定律求解; 由附表1分别查得2N 和2H 的c p 、c T 为2N :1 3.39c p MPa =, 1126.2c T K = 2H :2 1.30c p MPa =, 233.2c T K =然后求2N 和2H 的r p 、r T ,2N : 130.3958.9663.39r P ==, 125273.157.237126.2r T +== 2H : 230.39514.401.300.8106r P ==+, 2298.158.96633.28r T ==+根据r P 、r T 查二参数普遍化Z 图得1 1.13Z =,2 1.22Z =因为2N 和2H 是以化学计量比输入,故10.25y =, 20.75y =根据Amagat 定律 故53161.208.314298.159.791030.39510m m Z RT V m mol p --⨯⨯===⨯⋅⨯ 已知混合气体的进口体积流量,331.666710in v m s -=⨯⋅,则混合气体的进口摩尔流速in m 为根据反应的计量关系,22332N H NH −−→+←−−总量 开始 1 3 0 4 结束 330.15-⨯ 20.15⨯ 则每小时合成氨的量可由下式计算得出,2 先求出口气体的组成;因为出口气体中223::(10.15):(330.15):(20.15)N H NH =--⨯⨯,故20.2297N y =,20.6892H y =,30.0811NH y =, 1.000i iy =∑再求出口气体的摩尔流速利用Amagat 定律求出口气体的摩尔体积m V ;先从附表查得3NH 的11.28c p MPa =,405.6c T K =,则可求出各组分的对比性质为2H : 27.8613.201.300.8106r p ==+, 150273.1510.2733.28r T +==+2N : 27.868.2183.39r p ==, 273.151503.353126.2r T +==3NH : 27.86 2.47011.28r p ==, 273.151501.043405.6r T +==根据上述对比参数,查二参数普遍化Z 图,得2 1.15H Z =,2 1.14N Z =,30.380NH Z =则 1.150.0892 1.140.22970.3800.0811 1.085m i i iZ y Z ==⨯+⨯+⨯=∑故43161.0858.314423.15 1.371027.8610m m Z RT V m mol p --⨯⨯===⨯⋅⨯ 出口管中气体的体积流速为出口管中气体的流速,μ,可按下式计算,式中:A 为管子的截面积;计算得出出口管中混合气体的流速为11.10m s -⋅; 58页第2章2-1 求温度、压力的甲烷气体摩尔体积; 解:a 理想气体方程 b 用R-K 方程① 查表求c T 、c p ;② 计算a 、b ;③ 利用迭代法计算V; c 用PR 方程步骤同b,计算结果:1331103893.1--+⋅⋅⋅=mol m V i ; d 利用维里截断式查表可计算r p 、r T 、0B 、1B 和Z 由13310391.1--⋅⋅⋅==⇒=mol m pZRTV RT pV Z 2-2 V=0.5 m 3,耐压 MPa 容器;规定丙烷在T=时,p<;求可充丙烷多少千克 解:a 用理想气体方程136948.815.400314.85.01035.10441.0--⋅⋅=⋅⋅⋅⋅==⇒=⇒=mol m RT MpV m RT M m pV nRT pV b用R-K 方程① 查表求c T 、c p ;② 计算a 、b ;③ 利用迭代法计算V; 则可充丙烷质量计算如下: c 利用维里截断式:查表可计算r p 、r T 、0B 、1B 和Z 由133610257.21035.115.400314.8916.0--⋅⋅⋅=⋅⋅⋅=⇒=mol m V RT pV Z m m 则可充丙烷质量计算如下:2-4 V=1.213 m 3,乙醇45.40 kg,T=,求压力; 解:a 理想气体状态方程 b 用R-K 方程 c 用SRK 方程计算 d 用PR 方程计算 e 用三参数普遍化关联2-6 本题以计算机编程计算提供参考,考试时不能使用aR-K 方程 S-R-K2-7 计算T=,p=2 MPa 的水蒸气的Z 和V 解:a 用维里截断式221pVCRTpV BRT p RT V V C V B RT pV Z ++=⇒++≈=采用迭代法计算V= 之后求得Z= d 利用维里截断式查表可计算r p 、r T 、0B 、1B 可得到Z=; 由13310025.2--⋅⋅⋅==⇒=mol m pZRTV RT pV Z c 水蒸气表 92页第三章 3-4利用三参数压缩因子计算方法,查图表,得到压缩因子: 3-7: 解:注意:J kPa m ⋅=⋅3310 或者 3-9解:乙腈的Antonie 方程为 160℃时,乙腈的蒸气压 2乙腈的标准沸点320℃、40℃和标准沸点时的汽化焓 117页第四章 4-1 4-2 方法一: 经计算得体积流速为:()132210132.02075.0314.32/-⋅⋅=⎪⎭⎫ ⎝⎛⋅⋅=⋅⋅=s m d u V π摩尔流速为:1015.41500000/15.593314.80132.0/-⋅⋅=⋅===s mol p RT V V V n m 根据热力学第一定律,绝热时W s = -△H,所以 方法二:根据过热蒸汽表,内插法应用可查得35kPa 、80℃的乏汽处在过热蒸汽区,其焓值h 2= kJ ·kg -1; 1500 kPa 、320℃的水蒸汽在过热蒸汽区,其焓值h 1= kJ ·kg -1; 4-6 解: 通过112T C H T pmhR+=迭代计算温度,T 2= K 4-7 解:经迭代计算参考101页例题4-3得到T 2=;∆HT1T 2T C p T ()⎛⎜⎜⎠d H 2R T 2()+H 1R-8.32725-103⨯J ⋅mol1-⋅;146页第五章5-1:b 5-2: c 5-4: a 5-5: a 5-1:解:可逆过程熵产为零,即005<∆⇒=--∆=∆-∆=∆sys sys f sys g S T S S S S ; 5-2:解:不可逆过程熵产大于零,即00505T S T S S S S sys sys f sys g ->∆⇒>--∆=∆-∆=∆;即系统熵变可小于零也可大于零; 5-4:解:不可逆绝热过程熵产大于零,即0>∆=∆-∆=∆sys f sys g S S S S ;所以流体熵变大于零; 5-5:解:不可逆过程熵产大于零,即0010010T S T S S S S sys sys f sys g >∆⇒>-∆=∆-∆=∆; 5-3:解:电阻器作为系统,温度维持100℃,即,属于放热;环境温度,属于吸热,根据孤立体系的熵变为系统熵变加环境熵变,可计算如下: 5-6:解:理想气体节流过程即是等焓变化,温度不变,而且过程绝热,所以系统的熵变等于熵产,计算如下: 所以过程不可逆; 5-7: 解:∆S g204.184⋅ln 339363⎛⎝⎫⎪⎭⋅304.184⋅ln 339323⎛ ⎝⎫⎪⎭⋅+0.345kJ ⋅K1-⋅s1-⋅;不同温度的S 值也可以直接用饱和水表查得;计算结果是; 5-12解:1循环的热效率 2 水泵功与透平功之比H 2= kJ ·kg -1,H 3= kJ ·kg -1,H 4= kJ ·kg -1,H 5= kJ ·kg -1,3 提供1 kw 电功的蒸气循环量 5-15题: 194页第六章 6-1:解:水蒸气的摩尔流量为:nm M 3600⋅16801000⋅183600⋅25.926mol ⋅s1-⋅a 通过内插法求出时对应的温度,如下b 6-3 6-6:解:理想气体经一锐孔降压过程为节流过程,0=∆H ,且0=Q ,故0=S W ,过程恒温;则绝热膨胀过程的理想功和损耗功计算如下: 6-8:解:1产品是纯氮和纯氧时,2产品是98% N 2和50% O 2的空气时,设计计算流程如下:总的功6-12:解:6-13解:由1pmh 31()2pmh 32(),可得3 使用内插法可求得66.03℃时的熵值, 1利用熵分析法计算损耗功,2利用火用分析法:或者241页第七章7-2解:假设需水m kg,则产品酒中含水产品酒中含醇所以酒的体积7-3解:7-498% N 2 50% O 2解:根据吉布斯-杜亥姆公式,恒温恒压时 则有0=∑ii i V d x ,所以所以设计的方程不合理;。
化工热力学课后答案第1章 绪言一、是否题1. 封闭体系的体积为一常数。
(错)2. 封闭体系中有两个相βα,。
在尚未达到平衡时,βα,两个相都是均相敞开体系;达到平衡时,则βα,两个相都等价于均相封闭体系。
(对)3. 理想气体的焓和热容仅是温度的函数。
(对)4. 理想气体的熵和吉氏函数仅是温度的函数。
(错。
还与压力或摩尔体积有关。
)5. 封闭体系的1mol 气体进行了某一过程,其体积总是变化着的,但是初态和终态的体积相等,初态和终态的温度分别为T 1和T 2,则该过程的⎰=21T T V dT C U ∆;同样,对于初、终态压力相等的过程有⎰=21T T P dT C H ∆。
(对。
状态函数的变化仅决定于初、终态与途径无关。
)二、填空题1. 状态函数的特点是:状态函数的变化与途径无关,仅决定于初、终态 。
2. 封闭体系中,温度是T 的1mol 理想气体从(P i ,V i )等温可逆地膨胀到(P f ,V f ),则所做的功为()f i rev V V RT W ln =(以V 表示)或()i f rev P P RT W ln = (以P 表示)。
3. 封闭体系中的1mol 理想气体(已知igP C ),按下列途径由T 1、P 1和V 1可逆地变化至P 2,则A 等容过程的 W = 0 ,Q =()1121T P P R C igP⎪⎪⎭⎫ ⎝⎛--,错误!未找到引用源。
U =()1121T PP R C igP⎪⎪⎭⎫⎝⎛--,错误!未找到引用源。
H = 1121T P P C ig P ⎪⎪⎭⎫ ⎝⎛-。
B 等温过程的 W =21lnP P RT -,Q =21ln P PRT ,错误!未找到引用源。
U = 0 ,错误!未找到引用源。
H = 0 。
C 绝热过程的 W =()⎥⎥⎥⎦⎤⎢⎢⎢⎣⎡-⎪⎪⎭⎫ ⎝⎛--11211igPC RigPP P R V P R C ,Q = 0 ,错误!未找到引用源。
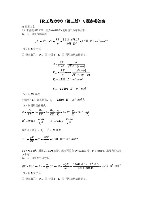
《化工热力学》(第三版)习题参考答案58页第2章2-1 求温度673.15K 、压力4.053MPa 的甲烷气体摩尔体积。
解:(a )理想气体方程133610381.110053.415.673314.8--⋅⋅⋅=⋅⋅==⇒=molm p RT V RT pV(b )用R-K 方程① 查表求c T 、c p ;② 计算a 、b ;③ 利用迭代法计算V 。
()()()133113301103896.110381.1--+--+⋅⋅⋅=⋅⋅⋅⋅⋅⋅=+⋅⋅--+=+⋅⋅--=molm V molm V b V V T b V a b p RT V b V V T a b V RT p i i i i i(c )用PR 方程步骤同(b ),计算结果:1331103893.1--+⋅⋅⋅=molm V i 。
(d )利用维里截断式2.416.101172.0139.0422.0083.0111rrrr rr rr cc T B T BT p B T p B T p RT Bp RT Bp RTpV Z -=-=⋅⋅+⋅+=⋅+=+==ω查表可计算r p 、r T 、0B 、1B 和Z 由13310391.1--⋅⋅⋅==⇒=molm pZRT V RTpV Z2-2 V=0.5 m 3,耐压2.7 MPa 容器。
规定丙烷在T=400.15K 时,p<1.35MPa 。
求可充丙烷多少千克?解:(a )用理想气体方程 136948.815.400314.85.01035.10441.0--⋅⋅=⋅⋅⋅⋅==⇒=⇒=molm RTMpV m RT Mm pV nRT pV (b )用R-K 方程① 查表求c T 、c p ;② 计算a 、b ;③ 利用迭代法计算V 。
()()()13311330110241.210464.2--+--+⋅⋅⋅=⋅⋅⋅⋅⋅⋅=+⋅⋅--+=+⋅⋅--=molm V molm V b V V T b V a b pRT V b V V T a b V RT p i i i i i则可充丙烷质量计算如下:kg M V V M n m i ⋅=⋅⋅=⋅=⋅=-+838.910241.25.00441.031(c )利用维里截断式:2.416.101172.0139.0422.0083.0111rrrr rr rr cc m T B T BT p B T p B T p RT Bp RTBp RTpV Z -=-=⋅⋅+⋅+=⋅+=+==ω查表可计算r p 、r T 、0B 、1B 和Z 由133610257.21035.115.400314.8916.0--⋅⋅⋅=⋅⋅⋅=⇒=molm V RTpV Z m m则可充丙烷质量计算如下:kg M V V M n m i ⋅=⋅⋅=⋅=⋅=-+77.910257.25.00441.0312-4 V=1.213 m 3,乙醇45.40 kg ,T=500.15K ,求压力。
化工热力学(第三版)答案化工热力学(第三版)问题解决集朱自强、吴有庭编著一第二章流体的压力、体积、浓度关系:状态方程式2-1尝试用以下方法计算400℃和4.053mpa下甲烷气体的摩尔体积。
(1)理想气体方程;(2) Rk方程;(3) PR方程;(4)维里截断公式(2-7)。
其中,B是通过Pitzer的广义相关法计算的。
[解](1)根据理想气体状态方程,可求出甲烷气体在理想情况下的摩尔体积v为艾德维德?rt8。
314? (400?273.15)?? 1.381? 10? 3立方米?摩尔?16p4。
053? 10(2)用rk方程计算摩尔体积将rk方程稍加变形,可写为五、在…之间rta(v?b)?b?0.5ptpv(v?b)(e1)0.42748r2tc2。
5a?pc0。
08664rtcb?个人计算机从附表1查得甲烷的临界温度和压力分别为tc=190.6k,pc=4.60mpa,将它们代入a,b 表达式得0.42748? 8.3142? 190.62.56-20.5a??3.2217米?帕摩尔?k64。
60? 10b?0.08664? 8.314? 190.6? 53? 1.2.9846? 10米?莫尔64。
60? 10id将从理想气体状态方程获得的V作为初始值,并将其代入方程(E1)进行迭代求解。
在第一次迭代中获得的V1值为v1?8.314?673.15?2.9846?10?564.053?103.2217?(1.381?10?3?2.9846?10?5)?0.56?3?3?5 673.15?4.053?10?1.381?10?(1.381?10?2.9846?10)?1.381?10?3?2.9846?10?5?2.1246?10 ?5?1.3896?10?3m3?mol?1第二次迭代得v2为二3.2217?(1.3896?10?3?2.9846?10?5)v2?1.381?10?2.9846?10?673.150.5?4.053?106?1.38 96?10?3?(1.3896?10?3?2.9846?10?5)?3?5?1.381?10?3?2.9846?10?5?2.1120?10?5?1.389 7?10?3m3?mol?1v1和v2已经相差很小,可终止迭代。
化工热力学(第三版)答案化工热力学习题解答集朱自强、吴有庭编著1 第二章流体的压力、体积、浓度关系:状态方程式2-1 试分别用下述方法求出400℃、下甲烷气体的摩尔体积。
理想气体方程;RK方程;PR方程;维里截断式。
其中B用Pitzer的普遍化关联法计算。
[解] 根据理想气体状态方程,可求出甲烷气体在理想情况下的摩尔体积V为idVid??(400?)???10?3m3?mol?1 ?10 用RK方程求摩尔体积将RK方程稍加变形,可写为V?其中RTa(V?b)?b?(V?b)??pc 从附表1查得甲烷的临界温度和压力分别为Tc=, pc =,将它们代入a, b表达式得?????Pa?mol?K ?10b????53?1 ?? 10m??10id以理想气体状态方程求得的V为初值,代入式中迭代求解,第一次迭代得到V1值为V1????10?5 ??(?10?3??10?5)? ?3?3???10 ??10?(?10??10)??10?3??10?5??10?5 ??10 ?3m3?mol?1第二次迭代得V2为2 ?(?10?3??10?5)V2??10??10?? ?106??10?3?(?10?3??10?5)?3?5??10?3??1 0?5??10?5??10?3m3?mol?1V1和V2已经相差很小,可终止迭代。
故用RK方程求得的摩尔体积近似为V??10?3m3?mol?1 用PR方程求摩尔体积将PR方程稍加变形,可写为V?RTa(V?b)?b?ppV(V?b)?pb(V?b) R2Tc2? 式中a? b? RTpc ??1?(??42??2269T?)(1r92 )从附表1查得甲烷的?=。
将Tc与?代入上式??1?(????)(1?(??? 用pc、Tc和?求a和b,)) ??2a????Pa?mol ?10b????10? 5m3?mol?1 ?10以RK方程求得的V值代入式,同时将a和b的值也代入该式的右边,藉此求式左边的V值,得????10?5???(?10?3??10?5)?106?[ ?10?3?(?10?3??10?5)??10?5?(?10?3??10?5)]??10?3??10?5??10?5??10?3m3?mol?1 3 再按上法迭代一次,V值仍为?10m?mol,故最后求得甲烷的摩尔体积近似为?10m?mol。
化工热力学课后习题答案第1章 绪言一、是否题1. 封闭体系中有两个相βα,。
在尚未达到平衡时,βα,两个相都是均相敞开体系;达到平衡时,则βα,两个相都等价于均相封闭体系。
(对)2. 理想气体的焓和热容仅是温度的函数。
(对)3. 封闭体系的1气体进行了某一过程,其体积总是变化着的,但是初态和终态的体积相等,初态和终态的温度分别为T 1和T 2,则该过程的⎰=21T T V dT C U ∆;同样,对于初、终态压力相等的过程有⎰=21T T P dT C H ∆。
(对。
状态函数的变化仅决定于初、终态与途径无关。
) 二、填空题1. 状态函数的特点是:状态函数的变化与途径无关,仅决定于初、终态 。
2. 封闭体系中,温度是T 的1理想气体从(,)等温可逆地膨胀到(,),则所做的功为(以V 表示)或以P 表示)。
3. 封闭体系中的1理想气体(已知igP C ),按下列途径由T 1、P 1和V 1可逆地变化至P 2,则 A 等容过程的 0 ,()1121T P P R CigP⎪⎪⎭⎫⎝⎛--,()1121T P P R CigP⎪⎪⎭⎫⎝⎛--,1121T P P C ig P ⎪⎪⎭⎫ ⎝⎛-。
B 等温过程的 21lnP P RT -,21lnP P RT , 0 , 0 。
C 绝热过程的()⎥⎥⎥⎦⎤⎢⎢⎢⎣⎡-⎪⎪⎭⎫ ⎝⎛--11211igPC RigPP P R V P R C , 0 ,()⎥⎥⎥⎦⎤⎢⎢⎢⎣⎡-⎪⎪⎭⎫ ⎝⎛-11211ig PC RigPP P R V P R C ,1121T P P C ig P C R ig P⎥⎥⎥⎦⎤⎢⎢⎢⎣⎡-⎪⎪⎭⎫ ⎝⎛。
4. 1106109.86927500.62。
5. 普适气体常数8.314 3 1 1=83.14 3 1 1=8.314 J 1 1 =1.980 1 1。
四、计算题1. 某一服从P ()状态方程(b 是正常数)的气体,在从1000b 等温可逆膨胀至2000b ,所做的功应是理想气体经过相同过程所做功的多少倍?解:000722.12ln 9991999ln ln ln1212=⎪⎭⎫⎝⎛=----=V V RT b V bV RT W W ig revEOSrev2. 对于igP C 为常数的理想气体经过一绝热可逆过程,状态变化符合下列方程 γγ)1(1212-⎥⎦⎤⎢⎣⎡=P P T T ,其中ig VigP C C =γ,试问,对于2cT bT a C igP++=的理想气体,上述关系式又是如何? 以上a 、b 、c 为常数。
化工热力学课后习题答案第1章 绪言一、是否题1. 封闭体系中有两个相βα,。
在尚未达到平衡时,βα,两个相都是均相敞开体系;达到平衡时,则βα,两个相都等价于均相封闭体系。
(对) 2. 理想气体的焓和热容仅是温度的函数。
(对)3. 封闭体系的1mol 气体进行了某一过程,其体积总是变化着的,但是初态和终态的体积相等,初态和终态的温度分别为T 1和T 2,则该过程的⎰=21T T V dT C U ∆;同样,对于初、终态压力相等的过程有⎰=21T T P dT C H ∆.(对。
状态函数的变化仅决定于初、终态与途径无关.)二、填空题1. 状态函数的特点是:状态函数的变化与途径无关,仅决定于初、终态 .2. 封闭体系中,温度是T 的1mol 理想气体从(P i ,V i )等温可逆地膨胀到(P f ,V f ),则所做的功为()f i rev V V RT W ln =(以V 表示)或()i f rev P P RT W ln = (以P 表示)。
3. 封闭体系中的1mol 理想气体(已知igP C ),按下列途径由T 1、P 1和V 1可逆地变化至P 2,则A 等容过程的 W = 0 ,Q =()1121T P P R C ig P ⎪⎪⎭⎫ ⎝⎛--,∆U =()1121T P P R C igP ⎪⎪⎭⎫ ⎝⎛--,∆H =1121T P P C ig P ⎪⎪⎭⎫ ⎝⎛-。
B 等温过程的 W =21lnP P RT -,Q =21ln P PRT ,∆U = 0 ,∆H = 0 .C 绝热过程的 W =()⎥⎥⎥⎦⎤⎢⎢⎢⎣⎡-⎪⎪⎭⎫ ⎝⎛--11211igPC RigPP P R V P R C ,Q = 0 ,∆U =()⎥⎥⎥⎦⎤⎢⎢⎢⎣⎡-⎪⎪⎭⎫ ⎝⎛-11211ig PC RigPP P R V P R C ,∆H =1121T P P C ig P C R ig P⎥⎥⎥⎦⎤⎢⎢⎢⎣⎡-⎪⎪⎭⎫ ⎝⎛. 4. 1MPa=106Pa=10bar=9。