51非简并定态微扰理论
- 格式:ppt
- 大小:411.56 KB
- 文档页数:6
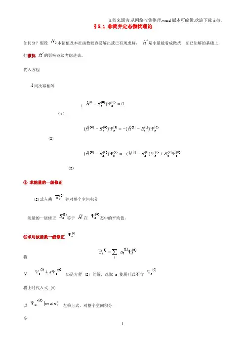
§5.1 非简并定态微扰理论如何分?假设本征值及本征函数较容易解出或已有现成解,是小量能看成微扰,在已知解的基础上,把微扰的影响逐级考虑进去。
代入方程同次幂相等((1)(2)(3)①求能量的一级修正(2)式左乘并对整个空间积分能量的一级修正等于在态中的平均值。
②求对波函数一级修正将仍是方程 (2) 的解,选取 a 使展开式不含将上时代入式 (2)以左乘上式,对整个空间积分令上式化简为:③求能量二级修正把代入(3)式,左乘方程(3)式,对整个空间积分左边为零讨论:(1)微扰论成立的条件:(a)可分成,是问题主要部分,精确解已知或易求(b) <<1(2)可以证明例:一电荷为e的线性谐振子受恒定弱电场作用,电场沿x正方向,用微扰法求体系的定态能量和波函数。
【解】是的偶函数利用递推公式波函数的一级修正利用能级移动可以直接准确求出令:§5.2 简并情况下的微扰理论假设是简并的k 度简并已正交归一化代入上式以左乘上式两边,对整个空间积分左边右边不全为零解的条件是由久期方程可得到能量一级修正的k个根由于具有某种对称性,因此不考虑时,能级是k度简并的,考虑后,哈密顿量的对称性破坏,使能级的简并度降低或完全消除。
要确定,需求出,将代入上式,可求出。
§5.3 氢原子的一级斯塔克效应斯塔克(stark)效应:氢原子在外电场作用下所产生的谱线分裂现象。
( 是均匀的,沿z轴)下面研究n=2时的能级分裂现象:n=2,有4个简并度求只有两个态角量子数差, 时, 矩阵元才不为零和不为零为实的厄密算符带入久期方程没有外电场时,原来简并的能及在一级修正中分裂为三个,兼并部分消除①当时②当时③当时,和为不同时为零的常数。
§5.4 变分法应用微扰论应很小,否则微扰论不能应用,本节所介绍的变分法不受上述条件限制。
对任意一个归一波函数能量平均值即用任意波函数算出的平均值总是大于体系基态能量,而只有当恰好是体系的基态波函数时,的平均值才等于。
简并和非简并定态微扰统一理论与能量二级
修正公式
1简单并和非简单并定态的微扰理论
微扰理论是物理上最重要的框架,用来研究量子多体系统的结构和性质。
简单和非简单并定态的微扰理论是用来描述不可能的多原子系统的极端的应用。
它们的重要性在于能够提供一条整合多种量子效应的清楚的理论框架。
2简单并和非简单并定态微扰统一理论
简单并和非简单并定态的微扰理论是一个统一理论,用来描述在量子多体系统中发生的各种效应。
它使用一般的有效势来说明系统的性质,并预测结果。
它也包含有第一性原理,基准状态,以及不同形式的高阶内部势。
简单并和非简单并定态的微扰理论通过集中许多低能量的可解象的状态而形成的,认为它能够获得较低的能量,而且也能够提供更精确的描述。
3能量二级修正公式
能量二级修正公式是根据简单并和非简单并定态微扰理论建立起来的公式。
它使用一系列数学符号来表示量子系统的位置和力应力,以及它们之间的关系。
它的核心是一种叫做单自由维度的方法,用来对多体系统的有效势进行无穷展开,从而发现能量级修正的效应。
经
过此种修正,结果可以优化到更高的能量水平,从而更好地描述多原子系统的性质。
4结论
简单并和非简单并定态的微扰理论和能量二级修正公式是用来描述量子多体系统的重要框架。
它们统一了许多量子效应,提供了较低的能量水平,以及更可靠的结果。
它们对于更好地描述和预测多体系统的性质至关重要。
多体系统中的微扰理论简介引言:多体系统是指由多个粒子组成的系统,其中每个粒子都与其他粒子相互作用。
研究多体系统的行为和性质是理论物理学的重要课题之一。
微扰理论是一种常用的方法,用于描述多体系统中微小扰动引起的变化。
本文将简要介绍多体系统中的微扰理论。
一、微扰理论的基本思想微扰理论是一种近似方法,通过将系统的哈密顿量分解为一个已知的简单系统和一个微小的扰动,来研究系统的性质。
基本思想是将扰动项视为小量,通过级数展开的方式求解。
微扰理论在量子力学、统计物理学等领域有广泛应用。
二、微扰理论的形式表达微扰理论的形式表达通常采用级数展开的形式,可以通过求解一系列的微扰项来逐步逼近真实的系统。
一般而言,微扰理论可以分为非简并微扰理论和简并微扰理论两种情况。
1. 非简并微扰理论非简并微扰理论适用于系统的能级不发生简并的情况。
在这种情况下,通过将扰动项加入到系统的哈密顿量中,可以得到一系列的修正能级。
通过逐阶计算修正能级,可以得到系统的能级结构的近似解。
2. 简并微扰理论简并微扰理论适用于系统的能级发生简并的情况。
在这种情况下,需要通过对简并子空间进行对角化来求解系统的能级结构。
简并微扰理论中,还存在一阶微扰和高阶微扰的概念,通过求解一系列的微扰项,可以得到系统能级的修正。
三、微扰理论的应用微扰理论在物理学的各个领域都有广泛的应用。
以下是一些常见的应用领域:1. 量子力学中的微扰理论微扰理论在量子力学中有广泛应用,用于求解各种系统的能级结构。
例如,氢原子中电子的自旋-轨道耦合问题可以通过微扰理论求解。
2. 统计物理学中的微扰理论统计物理学中的微扰理论可以用于求解复杂系统的平均性质。
例如,通过微扰理论可以计算气体的压强、磁化率等宏观性质。
3. 固体物理学中的微扰理论微扰理论在固体物理学中也有重要应用。
例如,可以通过微扰理论来计算固体中电子的能带结构和输运性质。
结论:微扰理论是一种重要的近似方法,用于描述多体系统中微小扰动引起的变化。
§5.1 非简并定态微扰理论重点:微扰的条件,微扰能量二级修正的求解(一)基本方程假设体系的哈密顿算符H不显含时间,所以体系有确定的能量,而且可分为两部分:一部分是,表示体系未受微扰的哈密顿算符;另一部分是,是加于上的微扰(5.1-1)以和表示的本征函数与相应的本征值,对未受扰的体系,薛定谔方程(5.1-2)的解是已知的,对于被微扰的体系有(5.1-3a)即(5.1-3b)(5.1-4)并在最后运算结果令,利用(5.1-4),则(5.1-3b)可写成(5.1-5)、E n都和微扰有关,可把它们看作是表征微扰程度参数的函数,将它们展为由于的幂级数。
(5.1-6)(5.1-7)式中、依次是体系未受微扰时的能量和波函数,称为零级近似能量和零级近似波函数,和是能量和波函数的一级修正,等等。
将(5.1-6),(5.1-7)式代入(5.1-5)式中,得(5.1-8)同次幂的系数应相等,由此得到下面一系列方程:空虚等式两边(5.1-9)(5.1-10)(5.1-11)将省去,为此在(5.1-4)式中令,得出,故可把,把,理解为能量和波函数的一级修正。
(二)一级微扰(1)能量的一级修正为了求,以左乘(5.1-10)式两边,并对整个空间积分(5.1-12)注意是厄密算符,是实数,则上式左边(5.1-13)于是由(5.1-12)式,注意到的正交归一性,得到(5.1-14)即能量的一级修正值等于在态中的平均值。
(2)波函数的一级修正已知,由(5.1-10)式可求得。
为此我们将按的本征函数系展开(5.1-15)在上式中,若决定,便可求得。
为此,将上式代入(5.1-10)式,并注意,得以左乘上式两边后,对整个空间积分,并注意到的正交归一性:得到(5.1-16)令(5.1-17)称为微扰矩阵元,于是由(5.1-16)式可得(5.1-18)代入(5.1-15)式,得(5.1-19)上式求和号上角加撇表示求和时除去m=n的项。
量子力学中的非简并微扰理论量子力学是一门研究微观粒子如何运动和相互作用的学科。
在这个领域中,非简并微扰理论是一个重要的工具,用于处理系统在微弱扰动下的行为。
本文将介绍非简并微扰理论的基本概念和数学表达,并探讨其在量子力学中的应用。
一、非简并微扰理论的基本概念在量子力学中,当一个系统受到外界微弱扰动时,我们可以使用微扰理论来分析系统的行为。
非简并微扰理论适用于系统的能级之间无简并(即不存在多个能级具有相同能量的情况)的情形。
根据非简并微扰理论,系统的扰动可以看作是一个微弱的干扰,该干扰可以通过一个微扰项来描述。
微扰项通常具有形式H',其中H'是一个小的、可控制的微扰算符。
二、非简并微扰理论的数学表达非简并微扰理论可以通过微扰展开的方法来计算系统的性质。
在微扰展开中,我们通过将系统的哈密顿算符表示为扰动前的哈密顿算符H0和微扰项H'的和来处理系统。
即H = H0 + H'。
在非简并微扰理论中,我们通常使用微扰哈密顿算符的矩阵元表示。
设系统的基态为|0⟩,它的能量为E0。
我们可以得到微扰哈密顿算符的矩阵元为⟨n|H'|0⟩,其中|n⟩表示系统的激发态。
利用微扰展开方法,我们可以得到系统的能量修正。
一般而言,我们将系统的能量E表示为E = E0 + ΔE,其中ΔE是能级的修正。
通过计算各阶修正的贡献,我们可以得到能级修正的近似表达式。
三、非简并微扰理论的应用非简并微扰理论在量子力学中有着广泛的应用。
它在原子物理、固体物理等领域中被广泛运用。
以原子物理为例,非简并微扰理论可以用于计算原子能级的修正。
通过引入微弱的外场,如电磁场,我们可以使用微扰理论来计算这些能级的修正。
这对于解释原子光谱和原子发射光谱线的偏移具有重要意义。
在固体物理中,非简并微扰理论可以用于计算晶格的力常数、声子的能谱等。
通过引入微小的势场或外界扰动,我们可以分析晶格的变形和介质的声学性质。
除了原子物理和固体物理,非简并微扰理论还在其他领域具有重要的应用。
分类号编号毕业论文题目非简并定态微扰理论学院物理与信息科学学院姓名崔骁专业物理学学号271040106研究类型研究综述指导教师方玉田提交日期原创性声明本人郑重声明:本人所呈交的论文是在指导教师的指导下独立进行研究所取得的成果。
学位论文中凡是引用他人已经发表或未经发表的成果、数据、观点等均已明确注明出处。
除文中已经注明引用的内容外,不包含任何其他个人或集体已经发表或撰写过的科研成果。
本声明的法律责任由本人承担。
论文作者签名:年月日论文指导教师签名:目录正文 ................................................................... .11 引言 .................................................. 错误!未定义书签。
2 非简并定态微扰理论 .................................... 错误!未定义书签。
2.1 理论定义 (1)2.1 非简并 (1)2.1.2定态 (1)2.2理论推导 (2)2.2.1一级近似计算 (3)2.2.2二级近似计算 (4)2.2.3三级近似计算 (7)3 能量和波函数的修正关系 (9)5 参考文献 (10)非简并定态微扰理论崔骁(天水师范学院物理与信息科学学院,甘肃天水 741000)摘要采用逐级近似的方法,求解非简并定态微扰理论能量和波函数的修正,能量和波函数分别修正计算至三级,并找出了能量逐级修正和波函数逐级修正之间的关系。
关键词非简并;定态微扰理论;逐级近似;能量修正;波函数修正Non-degenerate Stationary Perturbation TheoryCui xiao(College of Physics and Information Science,Tianshui Normal University,Tianshui Gansu 741001)Abstract:Using the method of Progressive approximation to solve Energy level correction and Wave function in non-degenerate Stationary Perturbation Theory, energy and wave function were modified computing to level 3, and find out the relationship between Energy level correction and Wave function correction.Key words: Non-degenerate,Stationary Perturbation Theory,Energy level correction,Wave function correction,Progressive approximation1.引言学习了量子力学的基本理论之后,我们方知以前讨论的一维无限深势阱中的粒子、线性谐振子、势垒贯穿和氢原子等问题,归根到底是解这些体系的哈密顿算符的本征方程(即定态薛定谔方程),从而求出其本征值和本征函数。
简并和非简并定态微扰统一理论与能量二级修正公式定态微扰理论是量子力学中的一种方法,用于计算一个系统在加入微弱扰动后的能量和波函数的变化。
该理论可以分为简并和非简并两种情况。
在简并情况下,系统具有多个能量本征态对应于相同的能量值,而在非简并情况下,每个能量本征态都对应于一个唯一的能量值。
对于简并情况下的定态微扰,我们可以使用微扰能量的二级修正公式来计算能量的修正。
假设系统的哈密顿量可以分解为一个无微扰部分H0和一个微弱扰动V,那么系统的总的哈密顿量可以写为H=H0+λV,其中λ是微扰的强度参数。
简并情况的定态微扰理论包括以下步骤:1.通过求解无微扰哈密顿量H0的本征值问题,得到H0的能量本征值和能量本征态。
2.将微扰哈密顿量V加入,并求解H=H0+λV的本征值问题,得到一阶微扰能量E^(1)和能量本征态。
3.计算一阶微扰能量E^(1)对应的一阶微扰修正本征矢量:ψ^(1)=Σ(,n><n,V,ψ^(0)>)/(E^(0)-E^(n))其中,n>表示无微扰能量本征态,ψ^(0)>表示无微扰波函数。
4.计算二阶微扰修正能量E^(2):E^(2)=Σ(,ψ^(1)><ψ^(1),H,ψ^(0)>)/(E^(0)-E^(n))其中,ψ^(1)>表示一阶微扰修正本征矢量,H是总哈密顿量。
5.总的能量修正为E=E^(0)+E^(1)+E^(2)。
对于非简并情况下的定态微扰,可以使用非简并微扰理论来计算能量的修正。
非简并情况下定态微扰的步骤如下:1.求解无微扰哈密顿量H0的本征值问题,得到H0的能量本征值和能量本征态。
2.计算一阶能量修正:E^(1)=Σ(,<n,V,m>,^2)/(E^(0)n-E^(0)m)其中,n>和,m>表示无微扰的能态,V是微扰哈密顿量。
3.总的能量修正为E=E^(0)+E^(1)。
总的来说,简并和非简并定态微扰统一理论提供了一种计算系统在微弱扰动下能量和波函数的修正的方法。