连续介质力学第一章.
- 格式:ppt
- 大小:312.00 KB
- 文档页数:4
第1章连续体力学第一章 连续体力学思考题1-1 在固体的形变中,弹性模量是一个重要的参数。
杨氏模量的物理意义是什么?答:对于一般的固体材料,若形变不超过一定的限度,应力与相关的应变成正比。
在拉伸应变中l l Y∆=拉σ 其中,比例系数Y 称为杨氏模量。
弹性模量实际上反映了材料对形变的抵抗能力。
在拉伸应变中,杨氏模量反映了材料对拉伸形变的抵抗能力。
1-2 生物材料的应力~应变关系与一般固体的应力~应变关系有什么不同? 答:晶体材料的原子排列很有规则,原子间的键合比较紧密,可以产生较大的应力,杨氏模量一般较高;而生物材料绝大多数是由非均匀材料组成的聚合物,这些聚合物的长链大分子互相纠缠在一起,彼此之间相互作用较弱。
当受到外力拉伸时,不仅生物材料的分子本身可以伸长,而且分子之间也容易发生滑动,杨氏模量相对较小。
1-3 液体的表面张力与橡胶弹性膜的收缩力有什么不同?答:前者来源于分子间的吸引力,后者来源于分子的形变;前者只存在于液体表面,后者存在于发生应变的弹性膜的整个横截面上。
1-4 图1-1中表示土壤中的悬着水,其上、下两液面都与大气接触。
已知 上、下液面的曲率半径分别为A R 和B R (B R >A R ),水的表面张力系数为γ,密度为ρ。
问悬着水高度h 为多大?解:在上液面下取A 点,设该点压强为A p ,在下液面内取B 点,设该点压强为B p 。
对上液面应用拉普拉斯公式,得AA R p p γ20=- 对下液面使用拉普拉斯公式,得 BB 02R p p γ=- 图1-1 土壤中的悬着水 又因为gh p p ρ+=A B 将三式联立求解可得 ⎪⎪⎭⎫ ⎝⎛-=B A 112R R g h ργ1-5 在自然界中经常会发现一种现象,在傍晚时地面是干燥的,而在清晨时地面却变得湿润了。
试解释这种现象的成因。
答:由于水的表面张力系数与温度有关,毛细水上升的高度会随着温度的变化而变化,温度越低,毛细水上升的高度越高。
《连续介质力学》例题和习题第一章 矢量和张量分析第一节 矢量与张量代数一、矢量代数令112233A A A =++A e e e ,112233B B B =++B e e e ,则有112233A A A αααα=++A e e e111222333()()()A B A B A B +=+++++A B e e e112233112233112233()()A A A B B B A B A B A B •=++•++=++A B e e e e e e112233112233111112121313212122222323313132323333()() A A A B B B A B A B A B A B A B A B A B A B A B ⨯=++⨯++=⨯+⨯+⨯+⨯+⨯+⨯+⨯+⨯+⨯A B e e e e e e e e e e e e e e e e e e e e e e e e又因为: 11⨯=e e 0;123⨯=e e e ;132⨯=-e e e ;213⨯=-e e e ;22⨯=e e 0;231⨯=e e e ; 312⨯=e e e ;321⨯=-e e e ;33⨯=e e 0则: 233213113212213(_)()()A B A B A B A B A B A B ⨯=+-+-A B e e e 习题:1、证明下列恒等式:1)[]2()()()()⨯•⨯⨯⨯=•⨯A B B C C A A B C2) [][]()()()()⨯•⨯=•⨯-•⨯A B C D A C D B B C D A2、请判断下列矢量是否线性无关?1232=-+A e e e 23=--B e e 12=-+C e e .其中i e 为单位正交基矢量。
3、试判断[]816549782-⎡⎤⎢⎥=⎢⎥⎢⎥--⎣⎦A 是否有逆矩阵;如有,请求出其逆阵[]1-A 。
二、张量代数例1:令T 是一个张量,其使得矢量a ,b 经其变换后变为2=+Ta a b ,=-Tb a b ,假定一个矢量2=+c a b ,求Tc 。
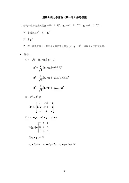
连续介质力学作业(第一章)习题1. 向量~~~~k z j y i x a ++=。
~i ,~j ,~k 表示三维空间中标准正交基。
给定一组协变基~~12i g =,~~~2j i g +=,~~~3k j g +=。
(1)求逆变基1g ,2g ,3g 。
(2)求ij g(3)向量~a 参考逆变基~1g ,~2g ,~3g 表示时,~~i i g a a =,求i a 。
(1)[]222~~~~~~~~~3~2~1= +•= +• +×=• ×=k j k k j j i i g g g g+−=+× += ×=~~~~~~~~3~2~121211i j k k j j i g g g g~~~~~~1~3~22211j k i k j g g g g +−= × += ×=~~~~~2~1~32211k j i i g g gg =+×= ×=(2) g ij =gg ii ⋅gg jj �g ij �=�3/4−11/2−12−11/2−11�(3)a i =aa ⋅gg ii a 1=2x,a 2=x +y,a 3=y +z2. 已知笛卡尔坐标系331e e e ,,,一个新的坐标系定义为−−−= ′′′32132161312161312162310e e e e e e 向量321e e e x 321x x x ++=,给定函数2321x x )f(−=x 。
(1) 求函数f 的梯度)(f grad(2) 求向量x 参考新坐标系的表示形式i ′′=e x i x(3) 求函数f 在新的坐标系下的表达形式),,(321′′′′x x x f (4) 判断)(f grad 的客观性。
3. 二维情况下,一质点应力张量σ主值6.11=σλ,3.22=σλ。
主方向2112123e e N −=,2122321e e N +=。
第一章绪论思考题1.何为粘滞性?它与切应力以及剪切变形速率之间符合何种定律?答:液体一受剪切(尽管切力很小,只要切力存在)就会连续变形(即流动),液体的这种特性称为易流性。
液体在流动(连续不断变形)的过程中,其内部会出现某种力抵抗这一变形。
在流动状态下液体抵抗剪切变形速率能力的度量称为液体的年制性(亦称粘性)。
F = μA du / dy2.试说明为什么可以把液体当作连续介质,这一假说的必要性、合理性以及优越性何在?答:在一般工程问题中所研究的液体空间比分子尺寸远大得多,而且要解决的工程问题是液体大量分子微观运动的物理量统计平均的结果,即宏观特性。
欧拉的连续兼职模型将液体看成是有无数没有微观运动的质点组成的没有空隙的连续体,并且认为表征液体运动的各物理量,例如密度、速度、压强等在空间和时间上都是连续分布和连续变化的。
引入该模型后,不仅可使研究工作大为简化,而且应用以连续函数为基础的数学分析这一强有力的工具。
3.液体内摩擦和固体间的摩擦有何不同性质?答:对于固体,在应力低于比例极限的情况下,切应力与切应变成线性关系(剪切胡克定律),而液体的切应力与切应变率成线性关系。
4.液体和气体产生粘滞性的机理有何不同?答:液体和气体的微观结构不同。
由于液体的分子间距较小,液体的粘性主要取决于液体分子间的相互吸引力,温度越高,液体分子热运动越激烈,分子摆脱互相吸引的能力越强,导致液体的粘度随温度的升高而减小。
气体的粘性主要取决于气体分子间相互碰撞引起的动量交换,温度越高,气体分子间的动量交换越激烈,导致气体的粘度随温度的升高而增大。
5.何为牛顿流体?答:凡事满足牛顿内摩擦定律F = μA du / dy的流体成为牛顿流体。
如空气、水、油和水银。
6.作用于液体上的力有哪几类?它们分别与何种量有关?答:按里的作用范围来分,作用于液体的力可氛围表面力和质量力两类。
表面力是作用在液体的表面或者界面上且与液体或液体与固体的接触面上,故又称为接触力。