销轴拉伸计算
- 格式:xls
- 大小:61.50 KB
- 文档页数:4
常用计算公式:1、钢板拉伸:原始截面积=长×宽原始标距=原始截面积的根号×5.65 L0=K S0k为5.65 S0为原始截面积断后标距-原始标距断后伸长率= ×100%原始标距原始截面积—断后截面积断面收缩率= ×100%原始截面积Z=[(A0—A1)/A0]100%2、圆材拉伸:2原始截面积= 4(=3.1416 D=直径)标距算法同钢板3、光圆钢筋和带肋钢筋的截面积以公称直径为准,标距=5×钢筋的直径。
断后伸长同钢板算法。
4、屈服力=屈服强度×原始截面积最大拉力=抗拉强度×原始截面积抗拉强度=最大拉力÷原始截面积屈服强度=屈服力÷原始截面积5、钢管整体拉伸:原始截面积=(钢管外径—壁厚)×壁厚×(=3.1416)标距与断后伸长率算法同钢板一样。
6、抗滑移系数公式:N V=截荷KNP1=预拉力平均值之和nf=2预拉力(KN)预拉力之和滑移荷载Nv(KN) 第一组171.4 342.8 425第二组172.5 345 428第三组171.5 343 4247、螺栓扭矩系数计算公式:K=P ·dT=施工扭矩值(机上实测) P=预拉力 d=螺栓直径已测得K 值(扭矩系数)但不知T 值是多少?可用下列公式算出:T=k*p*d T 为在机上做出实际施拧扭矩。
K 为扭矩系数,P 为螺栓平均预拉力。
D 为螺栓的公称直径。
8、螺栓标准偏差公式:K i =扭矩系数 K 2=扭矩系数平均值 用每一组的扭矩系数减去平均扭矩系数值再开平方,八组相加之和,再除于7。
再开根号就是标准偏差。
例:随机从施工现场抽取8 套进行扭矩系数复验,经检测: 螺栓直径为22螺栓预拉力分别为:186kN ,179kN ,192kN ,179kN ,200kN ,205kN ,195kN ,188kN ; 相应的扭矩分别为:530N ·m ,520N ·m ,560N ·m ,550N ·m ,589N ·m ,620N ·m , 626N ·m ,559N ·mK=T/(P*D) T —旋拧扭矩 P —螺栓预拉力 D —螺栓直径(第一步先算K 值,如186*22=409221()1nii K K n σ=-=-∑再用530/4092=0.129,共算出8组的K 值,再算出这8组的平均K 值,第二步用每组的K 值减去平均K 值,得出的数求出它的平方,第三步把8组平方数相加之和,除于7再开根号。
销轴的计算销轴连接常用于两个结构构件之间的连接,以满足构件之间的相对转动的需要,也用于一些结构构件吊装过程中。
无论是构件连接节点还是吊装节点,其节点都需要进行必要的验算,以满足结构安全及吊装安全的需要。
销轴连接方式多种多样,最常采用的连接的结构方式为单剪连接、双剪连接和多耳板连接。
而建筑结构销轴连接的结构形式受到加工精度的限制比较单一,多为三耳板(下二上一或下一上二)组成的双剪结构,这种结构形式由一根销轴将一侧耳板与另一侧耳板连接起来,销轴与耳板之间可以发生相对转动,相互间的荷载通过销轴和耳板的接触面来传递。
以吊装耳板为例(图中数值为假定,并不一定为常规数值),简要说明一般常用的计算方法及公式,以供大家讨论。
销轴大样如下:P1=400KN,P2=300KN (合力Ta=500KN)其中销轴采用45号钢,耳板采用Q345B销轴连接计算分为销轴的强度计算和耳板的强度计算。
一、销轴计算:1、销轴弯曲强度验算把销轴当作简支梁进行分析销轴弯曲强度验算最大弯矩值:销轴弯曲强度计算计算满足。
公式中:M——把销轴作为简支梁分析所求得的最大弯矩值W——销轴截面的抗弯模量,——销轴的许用弯曲应力,这里采用45号钢2、销轴剪切强度验算把销轴当作简支梁进行分析销轴剪切强度计算最大剪应力值(取在中和轴位置,此位置剪应力最大):计算满足。
公式中:Q——把销轴作为简支梁分析所求得的最大剪力值d——销轴直径——销轴的许用剪切应力,这里采用45号钢3、平均剪应力复核:将销轴按双剪进行平均剪应力计算计算满足。
二、耳板强度验算首先耳板的尺寸必须满足构造要求(这里我们可以参照螺栓构造要求其满足1.5~2d,在此构造满足的情况下,可不进行耳板孔周的抗拉验算,直接进行抗剪验算,此理解可供大家讨论,此处仅为笔者个人理解),在满足这一条件下进行计算。
1、耳板孔壁承压应力验算上耳板:计算满足。
下耳板:计算满足。
公式中:N——构件中的轴力,即构件通过承压传给销轴的力;——构件的承压面积,,其中d为销轴直径,为孔壁的承压总厚度——耳板孔壁的许用承压应力,采用Q345钢取值为注意:此处取承压面面积时,近似取用销轴直径为承压面长度,一般是可以满足结构安全的需求的,但是实际上圆柱体体侧承压,经试验表明多为沿圆周45度到135度范围内承压面接触,也就是圆柱销轴的圆周的1/4范围进行接触,所以此处的承压面长度(上文公式取为d)取为销轴周长的1/4更为准确,即:。
创作编号:GB8878185555334563BT9125XW创作者:凤呜大王*销轴连接常用于两个结构构件之间的连接,以满足构件之间的相对转动的需要,也用于一些结构构件吊装过程中。
无论是构件连接节点还是吊装节点,其节点都需要进行必要的验算,以满足结构安全及吊装安全的需要。
销轴连接方式多种多样,最常采用的连接的结构方式为单剪连接、双剪连接和多耳板连接。
而建筑结构销轴连接的结构形式受到加工精度的限制比较单一,多为三耳板(下二上一或下一上二)组成的双剪结构,这种结构形式由一根销轴将一侧耳板与另一侧耳板连接起来,销轴与耳板之间可以发生相对转动,相互间的荷载通过销轴和耳板的接触面来传递。
以吊装耳板为例(图中数值为假定,并不一定为常规数值),简要说明一般常用的计算方法及公式,以供大家讨论。
销轴大样如下:P1=400KN,P2=300KN (合力Ta=500KN)其中销轴采用45号钢,耳板采用Q345B销轴连接计算分为销轴的强度计算和耳板的强度计算。
一、销轴计算:1、销轴弯曲强度验算把销轴当作简支梁进行分析销轴弯曲强度验算最大弯矩值:销轴弯曲强度计算计算满足。
公式中:M——把销轴作为简支梁分析所求得的最大弯矩值W——销轴截面的抗弯模量,——销轴的许用弯曲应力,这里采用45号钢2、销轴剪切强度验算把销轴当作简支梁进行分析销轴剪切强度计算最大剪应力值(取在中和轴位置,此位置剪应力最大):计算满足。
公式中:Q——把销轴作为简支梁分析所求得的最大剪力值d——销轴直径——销轴的许用剪切应力,这里采用45号钢3、平均剪应力复核:将销轴按双剪进行平均剪应力计算计算满足。
二、耳板强度验算首先耳板的尺寸必须满足构造要求(这里我们可以参照螺栓构造要求其满足1.5~2d,在此构造满足的情况下,可不进行耳板孔周的抗拉验算,直接进行抗剪验算,此理解可供大家讨论,此处仅为笔者个人理解),在满足这一条件下进行计算。
1、耳板孔壁承压应力验算上耳板:计算满足。
常用计算公式:1、钢板拉伸:原始截面积=长×宽原始标距=原始截面积的根号×5.65 L0=K S0k为5.65 S0为原始截面积断后标距-原始标距断后伸长率= ×100%原始标距原始截面积—断后截面积断面收缩率= ×100%原始截面积Z=[(A0—A1)/A0]100%2、圆材拉伸:2原始截面积= 4(=3.1416 D=直径)标距算法同钢板3、光圆钢筋和带肋钢筋的截面积以公称直径为准,标距=5×钢筋的直径。
断后伸长同钢板算法。
4、屈服力=屈服强度×原始截面积最大拉力=抗拉强度×原始截面积抗拉强度=最大拉力÷原始截面积屈服强度=屈服力÷原始截面积5、钢管整体拉伸:原始截面积=(钢管外径—壁厚)×壁厚×(=3.1416)标距与断后伸长率算法同钢板一样。
6、抗滑移系数公式:N V=截荷 KNP1=预拉力平均值之和nf=2预拉力(KN)预拉力之和滑移荷载Nv(KN) 第一组171.4 342.8 425第二组172.5 345 428第三组171.5 343 4247、螺栓扭矩系数计算公式:K=P ·dT=施工扭矩值(机上实测) P=预拉力 d=螺栓直径已测得K 值(扭矩系数)但不知T 值是多少?可用下列公式算出:T=k*p*d T 为在机上做出实际施拧扭矩。
K 为扭矩系数,P 为螺栓平均预拉力。
D 为螺栓的公称直径。
8、螺栓标准偏差公式:K i =扭矩系数 K 2=扭矩系数平均值 用每一组的扭矩系数减去平均扭矩系数值再开平方,八组相加之和,再除于7。
再开根号就是标准偏差。
例:随机从施工现场抽取8 套进行扭矩系数复验,经检测: 螺栓直径为22螺栓预拉力分别为:186kN ,179kN ,192kN ,179kN ,200kN ,205kN ,195kN ,188kN ; 相应的扭矩分别为:530N ·m ,520N ·m ,560N ·m ,550N ·m ,589N ·m ,620N ·m , 626N ·m ,559N ·mK=T/(P*D) T —旋拧扭矩 P —螺栓预拉力 D —螺栓直径(第一步先算K 值,如186*22=4092再用530/4092=0.129,共算出8组的K 值,再算出这8组的平均K 值,第二步用每组的K 值减去平均K 值,得出的数求出它的平方,第三步把8组平方数相加之和,除于7再开根号。
支座销轴计算书销轴计算简图销轴轴体材料采用符合《合金结构钢》(GB/T 3077-1999)要求的40Cr ,其屈服应力为:785MPa s =。
根据《起重机设计规范》(GBT3811-2008)表25,可以得到销轴轴体的弯曲容许应力为:785/1.48530f MPa ==,抗剪容许应力为:0.6530318v f MPa=´=承压容许应力为: 1.4530742c f MPa =´=销轴轴体可按简支梁计算,拟用直径D=50mm 的销轴体。
计算作用力:Fx=35.53kN (平行于销轴长度方向),Fz=635.22kN (垂直于销轴)。
最大弯矩:635.220.0914.29.44z X F l M kN m ´=== 弯曲应力:6221414.291046.58/530/30.6810X X M N mm f N mm W s ´===<=´ 剪应力:322max 244(635.22/2)10215.78/318/33 3.1425V V N mm f N mm A t ´´===<=´´ 拉应力:3222235.531018.11/530/3.1425X F N mm f N mm A s ´===<=´ 折算应力:22379.31/530/N mm f N mm ==<= 承压承载力计算:35050742101855635.22b c c N d t f kN kN -==´´´=>å经以上计算,采用材质为40Cr ,直径D=50mm 的销轴体能满足规范要求。
销轴连接常用于两个结构构件之间的连接,以满足构件之间的相对转动的需要,也用于一些结构构件吊装过程中。
无论是构件连接节点还是吊装节点,其节点都需要进行必要的验算,以满足结构安全及吊装安全的需要。
销轴连接方式多种多样,最常采用的连接的结构方式为单剪连接、双剪连接和多耳板连接。
而建筑结构销轴连接的结构形式受到加工精度的限制比较单一,多为三耳板(下二上一或下一上二)组成的双剪结构,这种结构形式由一根销轴将一侧耳板与另一侧耳板连接起来,销轴与耳板之间可以发生相对转动,相互间的荷载通过销轴和耳板的接触面来传递。
以吊装耳板为例(图中数值为假定,并不一定为常规数值),简要说明一般常用的计算方法及公式,以供大家讨论。
销轴大样如下:P1=400KN,P2=300KN (合力Ta=500KN)其中销轴采用45号钢,耳板采用Q345B销轴连接计算分为销轴的强度计算和耳板的强度计算。
一、销轴计算:1、销轴弯曲强度验算把销轴当作简支梁进行分析销轴弯曲强度验算最大弯矩值:销轴弯曲强度计算计算满足。
公式中:M——把销轴作为简支梁分析所求得的最大弯矩值W——销轴截面的抗弯模量,——销轴的许用弯曲应力,这里采用45号钢2、销轴剪切强度验算把销轴当作简支梁进行分析销轴剪切强度计算最大剪应力值(取在中和轴位置,此位置剪应力最大):计算满足。
公式中:Q——把销轴作为简支梁分析所求得的最大剪力值d——销轴直径——销轴的许用剪切应力,这里采用45号钢3、平均剪应力复核:将销轴按双剪进行平均剪应力计算计算满足。
二、耳板强度验算首先耳板的尺寸必须满足构造要求(这里我们可以参照螺栓构造要求其满足1.5~2d,在此构造满足的情况下,可不进行耳板孔周的抗拉验算,直接进行抗剪验算,此理解可供大家讨论,此处仅为笔者个人理解),在满足这一条件下进行计算。
1、耳板孔壁承压应力验算上耳板:计算满足。
下耳板:计算满足。
公式中:N——构件中的轴力,即构件通过承压传给销轴的力;——构件的承压面积,,其中d为销轴直径,为孔壁的承压总厚度——耳板孔壁的许用承压应力,采用Q345钢取值为注意:此处取承压面面积时,近似取用销轴直径为承压面长度,一般是可以满足结构安全的需求的,但是实际上圆柱体体侧承压,经试验表明多为沿圆周45度到135度范围内承压面接触,也就是圆柱销轴的圆周的1/4范围进行接触,所以此处的承压面长度(上文公式取为d)取为销轴周长的1/4更为准确,即:。
经常使用计算公式:1、钢板拉伸:原始截面积=长×宽原始标距=原始截面积的根号×5.65 L0=K S0k为5.65 S0为原始截面积断后标距-原始标距断后伸长率=×100%原始标距原始截面积—断后截面积断面收缩率=×100%原始截面积Z=[(A0—A1)/A0]100%2、圆材拉伸:2原始截面积=4(=3.1416 D=直径)标距算法同钢板3、光圆钢筋和带肋钢筋的截面积以公称直径为准,标距=5×钢筋的直径。
断后伸长同钢板算法。
4、屈服力=屈服强度×原始截面积最大拉力=抗拉强度×原始截面积抗拉强度=最大拉力÷原始截面积屈服强度=屈服力÷原始截面积5、钢管整体拉伸:原始截面积=(钢管外径—壁厚)×壁厚×(=3.1416)标距与断后伸长率算法同钢板一样。
6、抗滑移系数公式:NV=截荷 KNP1=预拉力平均值之和nf=2预拉力(KN)预拉力之和滑移荷载Nv(KN)第一组171.4342.8425第二组172.5345428第三组171.53434247、螺栓扭矩系数计算公式:K=P·dT=施工扭矩值(机上实测) P=预拉力d=螺栓直径已测得K值(扭矩系数)但不知T值是多少?可用下列公式算出:T=k*p*d T为在机上做出实际施拧扭矩。
K为扭矩系数,P为螺栓平均预拉力。
D为螺栓的公称直径。
8、螺栓尺度偏差公式:Ki=扭矩系数 K2=扭矩系数平均值用每一组的扭矩系数减去平均扭矩系数值再开平方,八组相加之和,再除于7。
再开根号就是尺度偏差。
例:随机从施工现场抽取8 套进行扭矩系数复验,经检测:螺栓直径为22螺栓预拉力分别为:186kN,179kN,192kN,179kN,200kN,205kN,195kN,188kN;相应的扭矩分别为:530N·m,520N·m,560N·m,550N·m,589N·m,620N·m, 626N·m,559N·mK=T/(P*D) T—旋拧扭矩 P—螺栓预拉力 D—螺栓直径(第一步先算K值,如186*22=4092再用530/4092=0.129,共算出8组的K值,再算出这8组的平均K值,第二步用每组的K值减去平均K值,得出的数求出它的平方,第三步把8组平方数相加之和,除于7再开根号。
销轴的计算(实例)时间:2017-06-15 22:22:22 作者:来源:阅读:5142 评论:0 销轴连接常用于两个结构构件之间的连接,以满足构件之间的相对转动的需要,也用于一些结构构件吊装过程中。
无论是构件连接节点还是吊装节点,其节点都需要进行必要的验算,以满足结构安全及吊装安全的需要。
销轴连接方式多种多样,最常采用的连接的结构方式为单剪连接、双剪连接和多耳板连接。
而建筑结构销轴连接的结构形式受到加工精度的限制比较单一,多为三耳板(下二上一或下一上二)组成的双剪结构,这种结构形式由一根销轴将一侧耳板与另一侧耳板连接起来,销轴与耳板之间可以发生相对转动,相互间的荷载通过销轴和耳板的接触面来传递。
以吊装耳板为例(图中数值为假定,并不一定为常规数值),简要说明一般常用的计算方法及公式,以供大家讨论。
销轴大样如下:P1=400KN,P2=300KN (合力Ta=500KN) 其中销轴采用45号钢,耳板采用Q345B销轴连接计算分为销轴的强度计算和耳板的强度计算。
一、销轴计算:1、销轴弯曲强度验算把销轴当作简支梁进行分析销轴弯曲强度验算最大弯矩值:销轴弯曲强度计算计算满足。
公式中:M——把销轴作为简支梁分析所求得的最大弯矩值W——销轴截面的抗弯模量,——销轴的许用弯曲应力,这里采用45号钢2、销轴剪切强度验算把销轴当作简支梁进行分析销轴剪切强度计算最大剪应力值(取在中和轴位置,此位置剪应力最大):计算满足。
公式中:Q——把销轴作为简支梁分析所求得的最大剪力值d——销轴直径——销轴的许用剪切应力,这里采用45号钢3、平均剪应力复核:将销轴按双剪进行平均剪应力计算计算满足。
二、耳板强度验算首先耳板的尺寸必须满足构造要求(这里我们可以参照螺栓构造要求其满足1.5~2d,在此构造满足的情况下,可不进行耳板孔周的抗拉验算,直接进行抗剪验算,此理解可供大家讨论,此处仅为笔者个人理解),在满足这一条件下进行计算。
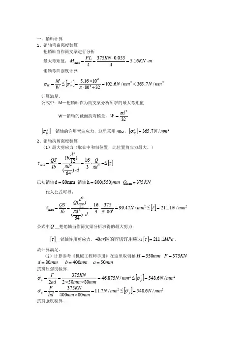
一、销轴计算1、销轴弯曲强度验算把销轴当作简支梁进行分析最大弯矩值:m KN KN PL M ⋅=⋅==16.54055.03754max 销轴弯曲强度计算 []2236/7.365/6.10232801016.5mm N mm N W M x W W <=÷⋅⨯=≤=πσσ 计算满足。
公式中:M —把销轴作为简支梁分析所求的最大弯矩值W —销轴的截面抗弯模量,322d W π=[]xW σ—销轴的许用弯曲应力,这里采用40cr ,[]2/7.365mmN x W =σ2、销轴抗剪强度验算(1)最大剪应力(取在中和轴位置,此位置剪应力最大。
) []τππτ=≤⋅=⋅==243max 316)64()12(d Q d d d Q Ib QS 已知销轴mm 80d = 销轴mm )550(800h = KN Q 375max =代入公式可得:[]22243max /1.211/47.9980375316)64()12(mm N mm N d d d Q Ib QS =≤=⋅⋅=⋅==τππτ 公式中Q —把销轴当作简支梁分析求得的最大剪力;[]τ—销轴许用剪应力,[]MPa cr 1.21140=τ钢的剪切许用应力。
故计算满足。
(2)计算参考《机械工程师手册》在这里取销轴mm H 550= KN F 375= mm d 80= mm b 400= mm a 50=抗挤压强度验算:[]22/6.548/875.46805023752mm N mm N mmmm KN ad F p p =≤=⨯⨯==σσ []22/6.548/7.1180400375mm N mm N mm mm KN bd F p p =≤=⨯==σσ 抗剪强度验算:[]2222/1.211/3.37)80(37522mm N mm N mm KN d F =≤=⋅⨯==τππτ 抗弯强度验算:[]bb b mm N mm mm mm KN d b a F σσ≤=⨯⨯+⨯=+=233/8.457)80(4.04005.0503754.0)5.0()(。
销轴强度校核计算
《销轴强度校核计算》
一、计算背景:
1.1 叶片销轴强度校核
1.2 销轴的材料特性:
材料特性:45#钢
抗拉强度σb:≥800MPa
屈服强度σp:≥500MPa
断裂强度σF:≥1000MPa
2.1 计算方法
2.2 依据:中华人民共和国标准
GB/T1133-1989《机械摩擦销轴》
2.3 对象:叶片销轴
二、设计参数:
3.1 工作条件:
最高工作温度T:≤400℃
最高工作转速n:10000r/min
3.2 校核载荷:
弯矩M:以叶片力学计算结果为准
轴向拉力F:以叶片力学计算结果为准
三、销轴强度校核结果:
销轴材料及特性:45#钢,σb≥800MPa,σp≥500MPa,
σF≥1000MPa
拉力许用应力:σa=σb/3=266.67MPa
弯矩许用应力:σm=σp/2=250MPa
根据叶片力学计算结果,轴向及弯矩载荷为:
F=1000N
M=1500N·m
销轴的计算应力分别为:
向心应力σx=F/πD2=62.83MPa
向轴应力σy=M/πD3=97.82MPa
四、结论:
根据叶片力学计算结果,销轴计算应力小于材料许用应力,满足强度要求,叶片的销轴强度校核计算结果合格。
支座销轴计算书销轴计算简图销轴轴体材料采用符合《合金结构钢》(GB/T 3077-1999)要求的40Cr ,其屈服应力为:785MPa s =。
根据《起重机设计规范》(GBT3811-2008)表25,可以得到销轴轴体的弯曲容许应力为:785/1.48530f MPa ==,抗剪容许应力为:0.6530318v f MPa=´=承压容许应力为: 1.4530742c f MPa =´=销轴轴体可按简支梁计算,拟用直径D=50mm 的销轴体。
计算作用力:Fx=35.53kN (平行于销轴长度方向),Fz=635.22kN (垂直于销轴)。
最大弯矩:635.220.0914.29.44z X F l M kN m ´=== 弯曲应力:6221414.291046.58/530/30.6810X X M N mm f N mm W s ´===<=´ 剪应力:322max 244(635.22/2)10215.78/318/33 3.1425V V N mm f N mm A t ´´===<=´´ 拉应力:3222235.531018.11/530/3.1425X F N mm f N mm A s ´===<=´ 折算应力:22379.31/530/N mm f N mm ==<= 承压承载力计算:35050742101855635.22b c c N d t f kN kN -==´´´=>å经以上计算,采用材质为40Cr ,直径D=50mm 的销轴体能满足规范要求。
销轴的计算精编 Document number:WTT-LKK-GBB-08921-EIGG-22986销轴连接常用于两个结构构件之间的连接,以满足构件之间的相对转动的需要,也用于一些结构构件吊装过程中。
无论是构件连接节点还是吊装节点,其节点都需要进行必要的验算,以满足结构安全及吊装安全的需要。
销轴连接方式多种多样,最常采用的连接的结构方式为单剪连接、双剪连接和多耳板连接。
而建筑结构销轴连接的结构形式受到加工精度的限制比较单一,多为三耳板(下二上一或下一上二)组成的双剪结构,这种结构形式由一根销轴将一侧耳板与另一侧耳板连接起来,销轴与耳板之间可以发生相对转动,相互间的荷载通过销轴和耳板的接触面来传递。
以吊装耳板为例(图中数值为假定,并不一定为常规数值),简要说明一般常用的计算方法及公式,以供大家讨论。
销轴大样如下:P1=400KN,P2=300KN (合力Ta=500KN)其中销轴采用45号钢,耳板采用Q345B销轴连接计算分为销轴的强度计算和耳板的强度计算。
一、销轴计算:1、销轴弯曲强度验算把销轴当作简支梁进行分析销轴弯曲强度验算最大弯矩值:销轴弯曲强度计算计算满足。
公式中:M——把销轴作为简支梁分析所求得的最大弯矩值W——销轴截面的抗弯模量,——销轴的许用弯曲应力,这里采用45号钢2、销轴剪切强度验算把销轴当作简支梁进行分析销轴剪切强度计算最大剪应力值(取在中和轴位置,此位置剪应力最大):计算满足。
公式中:Q——把销轴作为简支梁分析所求得的最大剪力值d——销轴直径——销轴的许用剪切应力,这里采用45号钢3、平均剪应力复核:将销轴按双剪进行平均剪应力计算计算满足。
二、耳板强度验算首先耳板的尺寸必须满足构造要求(这里我们可以参照螺栓构造要求其满足~2d,在此构造满足的情况下,可不进行耳板孔周的抗拉验算,直接进行抗剪验算,此理解可供大家讨论,此处仅为笔者个人理解),在满足这一条件下进行计算。
1、耳板孔壁承压应力验算上耳板:计算满足。
1校核图例:已知:杆件内力:N=98KN 连接耳板抗拉强度f 250N/mm 2销轴直径d=28mm 连接板承压强度设f 400N/mm 2销轴孔径d 0=30mm 等于销轴直径+1mm 连接耳板抗剪强度f 145N/mm 2连接耳板1厚t1=15mm 双快销轴抗剪强度设计值175N/mm 2连接耳板2厚t2=20mm 销轴抗承压强度设计值400N/mm 2连接耳板净边距a=30mm 销轴剪切面数n2块连接耳板净边距b=30mm 销轴抗弯强度设计值300N/mm 21、销轴孔净截面耳板抗拉强度验算t=20mmσ =122.5N/mm2≤f=250b 1=20mm2、耳板端部抗拉(劈开)强度按下式验算σ =245N/mm 2≤f=2503、 耳板抗剪强度按下式验算τ =57.747N/mm 2≤f v =145Z=42mm4、 销轴的承压强度按下式验算σ c =175N/mm 2≤f b c =4005、 销轴抗剪强度按下式验算τ b =80N/mm 2≤f v =175M= 1.0KN.m6、 销轴抗弯强度按下式验算σ b =295.72N/mm 2≤f b =300≤1NO制表:校对:邮箱:OK!1.0857OK!OK!OK!OK!OK!Q34545号钢Q34545号钢计算日期Q345Q345项目名称页码节点名称节点编号ftb N ≤=12σ)3,162min(01d b t b -+=f d a t N≤-=)32(20σvf tZN≤=2τ2020)2/()2/(d d a Z -+=b c c f dtN≤=σbvv b f d n N ≤=42πτb b f d M≤=325.13πσ122≤⎪⎪⎭⎫ ⎝⎛+⎪⎪⎭⎫ ⎝⎛b v b b b f f τσ。
inventor中结构件销轴计算【最新版】目录1.概述2.结构件销轴的计算方法3.inventor 软件中的应用4.结论正文1.概述在机械设计中,结构件的销轴计算是一个重要的环节。
销轴作为连接两个零件的部件,需要承受一定的力,因此,计算其尺寸和材料至关重要。
本文将介绍如何在 inventor 软件中进行结构件销轴的计算。
2.结构件销轴的计算方法结构件销轴的计算主要包括以下几个步骤:(1)确定销轴的受力分析模型。
根据销轴的实际工作情况,确定其受力类型,例如,承受拉伸或压缩力等。
(2)计算销轴的载荷。
根据机械设计的要求,计算销轴在工作过程中可能承受的最大载荷。
(3)确定销轴的材料。
根据销轴的受力类型和载荷,选择合适的材料。
(4)计算销轴的尺寸。
根据销轴的材料和载荷,计算其截面积和直径等尺寸。
3.inventor 软件中的应用inventor 是一款专业的三维机械设计软件,它提供了丰富的工具和功能,可以帮助工程师轻松地进行结构件销轴的计算。
(1)建立模型。
首先,需要在 inventor 中建立一个三维模型,包括需要连接的两个零件和销轴。
(2)添加约束。
添加约束,使得销轴能够在两个零件之间自由旋转。
(3)计算载荷。
在 inventor 中,可以添加力和扭矩等载荷,然后进行计算。
(4)分析结果。
inventor 会根据计算结果,给出销轴的尺寸和材料等建议。
4.结论结构件销轴的计算是机械设计中的重要环节,通过使用 inventor 软件,可以大大提高计算的效率和准确性。