高一数学《函数的定义域值域》练习题
- 格式:doc
- 大小:368.00 KB
- 文档页数:6
函数定义域值域练习题一、选择题1. 若函数f(x) = √(4 x^2),则f(x)的定义域是:A. x ≤ 2B. 2 ≤ x ≤ 2C. x ≥ 2D. 2 < x < 22. 已知函数g(x) = 1/(x 1),则g(x)的定义域是:A. x ≠ 1B. x > 1C. x < 1D. x ≥ 13. 设函数h(x) = (x + 3)/(x^2 9),h(x)的定义域是:A. x ≠ 3B. x ≠ 3C. x ≠ 3 且x ≠ 3D. x ∈ R4. 若函数f(x) = (x 2)^2,则f(x)的值域是:A. x ≥ 0B. x ≤ 4C. x ≥ 4D. x ≤ 05. 已知函数g(x) = |x 1|,则g(x)的值域是:A. x ≥ 0B. x ≤ 1C. x ≠ 0D. x ≠ 1二、填空题1. 函数f(x) = √(x 3)的定义域是______。
2. 函数g(x) = 2/(x 2)^2的值域是______。
3. 若函数h(x) = (x + 1)/(x^2 + x),则h(x)的定义域是______。
4. 已知函数f(x) = (x 1)(x + 2),求f(x)的值域是______。
5. 设函数g(x) = |x| 3,则g(x)的值域是______。
三、解答题1. 求函数f(x) = 3x^2 4x + 1的定义域和值域。
2. 已知函数g(x) = 1/(x^2 5x + 6),求g(x)的定义域。
3. 设函数h(x) = (x 2)^3,求h(x)的值域。
4. 已知函数f(x) = √(x^2 6x + 9),求f(x)的定义域和值域。
5. 设函数g(x) = |x^2 4|,求g(x)的值域。
四、判断题1. 函数f(x) = 1/(x^2)的定义域是所有实数。
()2. 函数g(x) = √(x + 4)的值域是所有非负实数。
()3. 若函数h(x) = (x 1)/(x + 2),则h(x)的定义域是x ≠ 2。
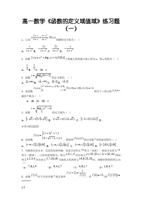
高一数学《函数的定义域值域》练习题(一)1.已知)(,11)11(22x f x x x x f 则+-=+-的解析式可取为( )A .21x x +B .212x x +-C .212x x +D .21x x+-2.函数]1,0[)1(log )(2在++=x a x f a 上的最大值和最小值之和为a ,则a 的值为( )A .41B .21C .2D .43.函数y = )A .[1,)+∞B .23(,)+∞C .23[,1]D .23(,1]4.设函数,2)2(),0()4(.0,2,0,0,)(2-=-=-⎩⎨⎧>≤≤++=f f f x x x c bx x x f 若则关于x 的方程xx f =)(解的个数为( )A .1B .2C .3D .45、函数)1(log 221-=x y 的定义域为( )A 、[)(]2,11,2 --B 、)2,1()1,2( --C 、[)(]2,11,2 --D 、)2,1()1,2( --6、设函数⎪⎩⎪⎨⎧≥--<+=1,141,)1()(2x x x x x f ,则使得1)(≥x f 的自变量x 的取值范围为( ) A 、(][]10,02, -∞- B 、(][]1,02, -∞- C 、(][]10,12, -∞- D 、[)[]10,10,2 - 7.为确保信息安全,信息需加密传输,发送方由明文→密文(加密),接收方由密文→明文(解密),已知加密规则为:明文,,,a b c d 对应密文2,2,23,4.a b b c c d d +++例如,明文1,2,3,4对应密文5,7,18,16.当接收方收到密文14,9,23,28时,则解密得到的明文为()(A )7,6,1,4 (B )6,4,1,7 (C )4,6,1,7 (D )1,6,4,78.函数()f x 对于任意实数x 满足条件()()12f x f x +=,若()15,f =-则()()5f f =_______。
函数的概念、定义域、值域练习题班级:高一(3)班 姓名: 得分:一、选择题(4分×9=36分)1.集合A ={x |0≤x ≤4},B ={y |0≤y ≤2},下列不表示从A 到B 的函数是( )A .f (x )→y =12xB .f (x )→y =13xC .f (x )→y =23x D .f (x )→y =x2.函数y =1-x 2+x 2-1的定义域是( )A .[-1,1]B .(-∞,-1]∪[1,+∞)C .[0,1]D .{-1,1}3.已知f (x )的定义域为[-2,2],则f (x 2-1)的定义域为( )A .[-1,3]B .[0,3]C .[-3,3]D .[-4,4]4.若函数y =f (3x -1)的定义域是[1,3],则y =f (x )的定义域是( )A .[1,3]B .[2,4]C .[2,8]D .[3,9]5.函数y =f (x )的图象与直线x =a 的交点个数有( )A .必有一个B .一个或两个C .至多一个D .可能两个以上6.函数f (x )=1ax 2+4ax +3的定义域为R ,则实数a 的取值范围是( ) A .{a |a ∈R }B .{a |0≤a ≤34}C .{a |a >34}D .{a |0≤a <34}7.某汽车运输公司购买了一批豪华大客车投入运营.据市场分析,每辆客车营运的利润y 与营运年数x (x ∈N )为二次函数关系(如图),则客车有营运利润的时间不超过( )年.A .4B .5C .6D .78.(安徽铜陵县一中高一期中)已知g (x )=1-2x ,f [g (x )]=1-x 2x 2(x ≠0),那么f ⎝⎛⎭⎫12等于( )A .15B .1C .3D .30 9.函数f (x )=2x -1,x ∈{1,2,3},则f (x )的值域是( )A .[0,+∞)B .[1,+∞)C .{1,3,5}D .R二、填空题(4分)10.某种茶杯,每个2.5元,把买茶杯的钱数y (元)表示为茶杯个数x (个)的函数,则y =________,其定义域为________.(5分)11.函数y =x +1+12-x的定义域是(用区间表示)________. 三、解答题(5分×3=15分)12.求下列函数的定义域.(1)y =x +1x 2-4; (2)y =1|x |-2;(3)y =x 2+x +1+(x -1)0.(10分×2=20分)13.(1)已知f (x )=2x -3,x ∈{0,1,2,3},求f (x )的值域.(2)已知f (x )=3x +4的值域为{y |-2≤y ≤4},求此函数的定义域.(10分×2=20分)14.(1)已知f (x )的定义域为 [ 1,2 ] ,求f (2x -1)的定义域;(2)已知f (2x -1)的定义域为 [ 1,2 ],求f (x )的定义域;1.2.1 函数的概念答案一、选择题1.[答案] C[解析] 对于选项C ,当x =4时,y =83>2不合题意.故选C. 2.[答案] D[解析] 使函数y =1-x 2+x 2-1有意义应满足⎩⎪⎨⎪⎧1-x 2≥0x 2-1≥0,∴x 2=1,∴x =±1. 3.[答案] C[解析] ∵-2≤x 2-1≤2,∴-1≤x 2≤3,即x 2≤3,∴-3≤x ≤ 3.4.[答案] C[解析] 由于y =f (3x -1)的定义域为[1,3],∴3x -1∈[2,8],∴y =f (x )的定义域为[2,8]。
函数定义域、值域、解析式综合练习一、 求函数的定义域1、求下列函数的定义域:⑴y =⑵y =⑶01(21)111y x x =+-+-2、设函数f x ()的定义域为[]01,,则函数f x ()2的定义域为 ;函数f x ()-2的定义域为________;3、若函数(1)f x +的定义域为[]-23,,则函数(21)f x -的定义域是 ;函数1(2)f x+的定义域为 。
4、 知函数f x ()的定义域为 [1,1]-,且函数()()()F x f x m f x m =+--的定义域存在,求实数m 的取值范围。
二、求函数的值域5、求下列函数的值域:⑴223y x x =+- ()x R ∈ ⑵223y x x =+- [1,2]x ∈⑶311x y x -=+ ⑷311x y x -=+ (5)x ≥⑸y = ⑹ 225941x x y x +=-+⑺31y x x =-++ ⑻2y x x =-⑼y = ⑽4y =⑾y x =6、已知函数222()1x ax b f x x ++=+的值域为[1,3],求,a b 的值。
三、求函数的解析式1、 已知函数2(1)4f x x x -=-,求函数()f x ,(21)f x +的解析式。
2、 已知()f x 是二次函数,且2(1)(1)24f x f x x x ++-=-,求()f x 的解析式。
3、已知函数()f x 满足2()()34f x f x x +-=+,则()f x = 。
4、设()f x 是R 上的奇函数,且当[0,)x ∈+∞时, ()(1f x x =,则当(,0)x ∈-∞时()f x =____ _()f x 在R 上的解析式为5、设()f x 与()g x 的定义域是{|,1}x x R x ∈≠±且,()f x 是偶函数,()g x 是奇函数,且1()()1f x g x x +=-,求()f x 与()g x 的解析表达式四、求函数的单调区间6、求下列函数的单调区间:⑴223y x x =++ ⑵y = ⑶ 261y x x =--7、函数()f x 在[0,)+∞上是单调递减函数,则2(1)f x -的单调递增区间是8、函数236x y x -=+的递减区间是 ;函数y =的递减区间是五、综合题9、判断下列各组中的两个函数是同一函数的为 ( )⑴3)5)(3(1+-+=x x x y , 52-=x y ; ⑵111-+=x x y , )1)(1(2-+=x x y ;⑶x x f =)(, 2)(x x g = ; ⑷x x f =)(, ()g x = ⑸21)52()(-=x x f , 52)(2-=x x f 。
完整版)高一数学函数经典习题及答案函数练题一、求函数的定义域1、求下列函数的定义域:⑴y = (x-1)/(2x^2-2x-15)⑵y = 1-[(2x-1)+4-x^2]/[1/(x+1)+1/(x+3)-3]2、设函数f(x)的定义域为[0,1],则函数f(x-2)的定义域为[-2,-1];函数f(2x-1)的定义域为[(1/2,1)]。
3、若函数f(x+1)的定义域为[-2,3],则函数f(2x-1)的定义域为[-3/2,2];函数f(2)的定义域为[1,4]。
4、已知函数f(x)的定义域为[-1,1],且函数F(x) = f(x+m)-f(x-m)的定义域存在,求实数m的取值范围。
二、求函数的值域5、求下列函数的值域:⑴y = x+2/x-3 (x∈R)⑵y = x+2/x-3 (x∈[1,2])⑶y = 2/(3x-1)-3/(x-1) (x∈R)⑷y = (x+1)/(x+1) if x≥5y = 5x^2+9x+4/2x-6 (x<5)⑸y = (x-3)/(x+2)⑹y = x-3+x+1⑺y = (x^2-x)/(2x-1)(x+2)⑼y = -x^2+4x+5⑽y = 4-1/(x^2+4x+5)⑾y = x-1-2x/(2x^2+ax+b)6、已知函数f(x) = 2x+1/(x∈R)的值域为[1,3],求a,b的值。
三、求函数的解析式1、已知函数f(x-1) = x-4x,求函数f(x),f(2x+1)的解析式。
2、已知f(x)是二次函数,且f(x+1)+f(x-1) = 2x-4x,求f(x)的解析式。
3、已知函数2f(x)+f(-x) = 3x+4,则f(x) = (3x+4)/5.4、设f(x)是R上的奇函数,且当x∈[0,+∞)时,f(x) =x/(1+x),则f(x)在R上的解析式为f(x) = x/(1+x)-2/(1-x^2)。
5、设f(x)与g(x)的定义域是{x|x∈R,且x≠±1},f(x)是偶函数,g(x)是奇函数,且f(x)+g(x) = 3x,则f(x) = x,g(x) = 3x-x^3.四、求函数的单调区间6、求下列函数的单调区间:⑴y = x+2/x+3⑵y = -x^2+2x+3⑶y = x-6/x-127、函数f(x)在[0,+∞)上是单调递减函数,则f(1-x)的单调递增区间是(0,1]。
高中数学函数的概念、定义域、值域和图象练习题(带解析)数学必修1(苏教版)2.1函数的概念和图象2.1.1 函数的概念、定义域、值域和图象“神舟七号”载人航天飞船离地面的距离随时刻的变化而变化;上网费用随着上网的时刻变化而变化;近几十年来,出国旅行人数日益增多,考古学家推算古生物生活的年代……这些问题如何描述和研究呢?基础巩固1.下列各图中,不可能表示函数y=f(x)的图象的是()答案:B2.下列四组中,f(x)与g(x)表示同一个函数的是()A.f(x)=4x4,g(x)=(4x)4B.f(x)=x,g(x)=3x3C.f(x)=1,g(x)=1x0,1x0D.f(x)=x2-4x+2,g(x)=x-2解析:选项A、C、D中两个函数的定义域不相同.答案:B3.已知函数f(x)=2x,x0,x+1,x0,且f(a)+f(1)=0,则a=()A.-3 B.-1C.1 D.3解析:当a0时,f(a)+f(1)=2a+2=0a=-1,与a0矛盾;当a0时,f (a)+f(1)=a+1+2=0a=-3,适合题意.答案:A4.定义域在R上的函数y=f(x)的值域为[a,b],则函数y=f(x+a)的值域为()A.[2a,a+b] B.[0,b-a]C.[a,b] D.[-a,a+b]答案:C5.已知f(x)=x2,x0,fx+1,x0,则f(2)+f(-2)的值为()A.6 B.5C.4 D.2解析:f(2)=22=4,f(-2)=f(-2+1)=f(-1)=f(-1+1)=f(0)=f(0+1)=f(1)=12=1,f(2)+f(-2)=4+1=5.答案:B6.函数y=x+1x的定义域为________.解析:利用解不等式组的方法求解.要使函数有意义,需x+10,x0,解得x-1,x0.原函数的定义域为{x|x-1且x0}.答案:{x|x-1且x0}7.函数f(x)=11-2x的定义域是________解析:由1-2xx12.答案:xx128.已知f(x)=3x+2,x1,x2+ax,x1.若f(f(0))=4a,则实数a=____ ____.解析:∵f(0)=2,f(f(0))=f(2)=4+2a.4+2a=4aa=2.答案:29.已知函数f(x)的定义域为[0,1],值域为[1,2],则f(x+2)的定义域是_ _______,值域是________.解析:∵f(x)的定义域为[0,1],0x+21,-2-1.即f(x+2)的定义域为[-2,-1],值域仍旧为[1,2].答案:[-2,-1][1,2]10.关于每一个实数x,设f(x)是y=4x+1,y=x+2和y=-2x+4三个函数中的最小值,则f(x)的最大值是________.解析:在同一坐标系中作出如下图象:图中实线部分为f(x),则A的纵坐标为f(x)的最大值,答案:8311.方程x2-|x|+a-1=0有四个相异实根,求实数a的取值范畴.解析:原方程可化为x2-|x|-1=-a,画出y=x2-|x|-1的图象.∵x0时,y=-54.x<0时,y=-54.由图象可知,只有当-54-1时,即a1,54时,方程才有四个相异实根.a的取值范畴是1,54.能力提升12.下列函数中,不满足f(2x)=2f(x)的是()A.f(x)=|x| B.f(x)=x-|x|C.f(x)=x+1 D.f(x)=-x解析:∵|2x|=2|x|,A满足;2x-|2x|=2(x-|x|)B满足;-2x=2(-x),D满足;2x+12(x+1);C不满足.答案:C13.(2021全国卷)已知f(x)的定义域为(-3,0),则函数f(2x-1)的定义域为()A.(-1,1) B.-1,12C.(-1,0) D.12,1解析:∵f(x)的定义域(-3,0),-32x-1-112.答案:B14.如左下图所示,液体从一圆锥形漏斗漏入圆柱形桶中,H是圆锥形漏斗中液面下降的距离,则H与下降时刻t(分钟)的函数关系用图象表示只可能是()答案:B15.已知函数f(x)=x21+x2,那么f(1)+f(2)+f12+f(3)+f13+f(4)+f 14=______.解析:f(x)=x21+x2,f1x=1x2+1,f(1)+f(2)+f12+f(3)+f13+f(4)+f14=12+1+1+1=72.答案:7216.已知函数f(3x+2)的定义域是(-2,1),则函数f(x2)-fx+23的定义域为________解析:∵f(3x+2)的定义域为(-2,1),-21,-43x+25.-45,-4x+235.-55.答案:(-5,5)17.已知a-12,0,函数f(x)的定义域是(0,1],求g(x)=f(x+a)+f(x -a)+f(x)的定义域.解析:由题设得0x+a1,0x-a1,01,即-a1-a,a1+a,01,∵-120,012,11-a32,121.不等式组的解集为-a1+a.g(x)的定义域为(-a,1+a].18.已知m,nN*,且f(m+n)=f(m)f(n),f(1)=2.求f2f1+f3f2+…+f 2021f2021的值.解析:∵f(1)=2,f(m+n)=f(m)f(n)(m,nN*),关于任意xN*,有f(x)=f(x-1+1)=f(x-1)f(1)=2f(x-1).“教书先生”可能是市井百姓最为熟悉的一种称呼,从最初的门馆、私塾到晚清的学堂,“教书先生”那一行当如何说也确实是让国人景仰甚或敬畏的一种社会职业。
函数的定义域与值域计算练习题函数是数学中的一个重要概念,它描述了一种关系,将一个集合中的每个元素映射到另一个集合中的唯一元素。
在函数的定义中,一个关键的要素就是定义域和值域。
定义域指的是函数接受输入的所有可能值的集合,值域则是函数所能取到的所有输出值的集合。
在本文中,我们将探讨函数的定义域和值域的计算方法,并通过练习题加深理解。
练习题 1:考虑函数f(x) = √(x-2)。
1. 计算函数 f(x) 的定义域。
2. 计算函数 f(x) 的值域。
解答:1. 函数 f(x) 为平方根函数,要使得函数有实数解,必须满足 x-2 ≥ 0,即x ≥ 2。
因此,函数 f(x) 的定义域为[2, +∞)。
2. 对于定义域内的任意 x 值,我们可以计算出对应的函数值。
由于平方根函数的性质,函数值必须大于等于 0。
因此,函数 f(x) 的值域为[0, +∞)。
练习题 2:考虑函数 g(x) = 1 / (x+3)。
1. 计算函数 g(x) 的定义域。
2. 计算函数 g(x) 的值域。
解答:1. 函数 g(x) 中分母为 x+3,因此要使得函数有意义,分母不能为零。
即 x+3 ≠ 0,解得x ≠ -3。
因此,函数 g(x) 的定义域为 R - {-3},即全体实数集去掉 -3 所在的点。
2. 对于定义域内的任意 x 值,我们可以计算出对应的函数值。
由于分母为 x+3,当 x 趋近于无穷大时,分母趋近于无穷大,函数值趋近于0。
同理,当 x 趋近于负无穷大时,函数值也趋近于 0。
因此,函数 g(x) 的值域为 (-∞, 0) 与(0, +∞)。
通过以上两个练习题的解答,我们可以看出函数的定义域和值域的计算方法:1. 对于定义域,需要考虑函数中存在的限制条件,如根号函数中的非负性,分数函数中的分母不为零等。
根据这些限制条件,我们可以求解出定义域的范围。
2. 对于值域,可以通过将函数中的变量逐渐趋近于无穷大或负无穷大,观察函数的取值变化趋势。
函数的概念同步练习第2课时 函数的定义域与值域1. 函数()xx f 1=的定义域是 【 】(A )R (B ){}0≥x x (C ){}0>x x (D ){}0≠x x 2. 函数112++-=x x y 的定义域是 【 】(A )(]2,1- (B )[]2,1- (C )()2,1- (D )[)2,1- 3. ()()1210++-=x x x f 的定义域是 【 】 (A )()+∞-,1 (B )()1,-∞- (C )R (D )()()+∞-,11,14. 函数()x x x f -+=的定义域为 【 】 (A )[)+∞,0 (B )(]0,∞- (C ){}0 (D ){}15. 函数xy --=112的定义域为 【 】(A )()1,∞- (B )()(]1,00, ∞- (C )()()1,00, ∞- (D )[)+∞,16. 函数()xx x y -+=01的定义域是 【 】(A ){}0>x x (B ){}0<x x (C ){}10-≠<x x x 且 (D ){}10-≠≠x x x 且7. 已知函数()x f y =与函数x x y -++=13是相等的函数,则函数()x f y =的定义域是 【 】 (A )[]1,3- (B )()1,3- (C )()+∞-,3 (D )(]1,∞-8. 函数()132--=x x x f 的定义域是_____________.9. 函数()xx f 211-=的定义域是_____________.10. 函数46--=x xy 的定义域用区间表示为________________. 11. 函数()()R x x x f ∈+=112的值域是 【 】 (A )()1,0 (B )(]1,0 (C )[)1,0 (D )[]1,012. 函数1+=x y 的值域为 【 】 (A )[)+∞-,1 (B )[)+∞,0 (C )(]0,∞- (D )(]1,-∞-13. 下列函数中,值域为()+∞,0的是 【 】 (A )x y = (B )2100+=x y(C )xy 16=(D )12++=x x y 14. 函数()x x x f +=2(1-≤x ≤3)的值域是 【 】 (A )[]12,0 (B )⎥⎦⎤⎢⎣⎡-12,41 (C )⎥⎦⎤⎢⎣⎡-12,21 (D )⎥⎦⎤⎢⎣⎡12,4315. 下列函数中,值域是()+∞,0的是 【 】 (A )()012>+=x x y (B )x y = (C )112-=x y (D )xy 2=16. 函数()()0123>++=x xxx f 的值域是 【 】(A )()3,∞- (B )()+∞,3 (C )()3,2 (D )()3,017. 函数x x y -+=12的值域是 【 】 (A )(]2,∞- (B )⎥⎦⎤ ⎝⎛∞-817,(C )⎪⎭⎫⎢⎣⎡+∞,817 (D )[)+∞,218. 已知[]1,0∈x ,则函数x x y --+=12的值域是 【 】 (A )[]13,12-- (B )[]3,1 (C )[]3,12- (D )[]12,0- 19. 函数()32122+-+=x x x f 的值域是_____________.20. 已知()[]()2,2422-∈++=x x x x f ,则()x f 的值域为_____________. 21. 函数()12+=x x f ,(]3,1-∈x 的值域为_____________.22. 若函数()x f y =的定义域为[]1,1-,则函数()()12-=x x f x g 的定义域是 【 】(A )[)1,1- (B )[)1,0 (C )[)()1,00,1 - (D )[]1,1-23. 函数()x f 的定义域是⎥⎦⎤⎢⎣⎡1,21,则()x f y -=3的定义域是 【 】(A )[]1,0 (B )⎥⎦⎤⎢⎣⎡25,0 (C )⎥⎦⎤⎢⎣⎡25,2 (D )()3,∞-24. 已知函数)(x f 的定义域为[]2,2-,函数()()121+-=x x f x g ,则函数()x g 的定义域为 【 】(A )⎥⎦⎤⎝⎛-3,21 (B )()+∞-,1(C )()3,00,21 ⎪⎭⎫ ⎝⎛- (D )⎪⎭⎫ ⎝⎛-3,2125. 若函数()x f y 23-=的定义域为[]2,1-,则函数()x f y =的定义域是 【 】(A )⎥⎦⎤⎢⎣⎡--1,25 (B )[]2,1- (C )[]5,1- (D )⎥⎦⎤⎢⎣⎡2,2126. 函数()3412++-=x ax x f 的定义域为R ,则实数a 的取值范围是 【 】(A )()⎥⎦⎤ ⎝⎛∞-34,00, (B )⎥⎦⎤ ⎝⎛∞-34,(C )⎪⎭⎫⎢⎣⎡+∞,34 (D )⎪⎭⎫⎝⎛+∞,3427. 函数()1312++=ax ax x f 的定义域为R ,则实数a 的取值范围是 【 】(A )⎪⎭⎫ ⎝⎛94,0 (B )⎥⎦⎤⎢⎣⎡94,0 (C )⎪⎭⎫⎢⎣⎡94,0 (D )⎥⎦⎤ ⎝⎛94,028. 若一系列函数的解析式相同,值域相同,但其定义域不同,则称这些函数为“同族函数”,那么解析式为2x y =,值域为{}4,1的“同族函数”共有 【 】(A )7个 (B )8个 (C )9个 (D )10个29. 若函数442--=x x y 的定义域为[]m ,0,值域为[]4,8--,则实数m 的取值范围是 【 】 (A )(]2,0 (B )(]4,2 (C )[]4,2 (D )()4,030. 已知函数()()132+-+=x m mx x f 的值域是[)+∞,0,则实数m 的取值范围是___________. 31. 已知函数()3422++-=k kx kx x f 的定义域为R ,则k 的取值范围是_______.32. 已知函数2215x x y --=的定义域是A ,函数22x x a y --=的值域是B ,全集为R ,(C R A )=B R ,求实数a 的取值范围.33. 已知函数1822+++=x nx mx y 的定义域为()+∞∞-,,值域为[]9,1,求n m ,的值.函数的概念同步练习第2课时 函数的定义域与值域答案解析1. 函数()xx f 1=的定义域是 【 】(A )R (B ){}0≥x x (C ){}0>x x (D ){}0≠x x解析 解不等式组⎩⎨⎧≠≥00x x 得:0>x∴该函数的定义域是{}0>x x . ∴选择答案【 C 】. 2. 函数112++-=x x y 的定义域是 【 】(A )(]2,1- (B )[]2,1- (C )()2,1- (D )[)2,1-解析 解不等式组⎩⎨⎧>+≥-0102x x 得:x <-1≤2.∴该函数的定义域为(]2,1-. ∴选择答案【 A 】. 3. ()()1210++-=x x x f 的定义域是 【 】 (A )()+∞-,1 (B )()1,-∞- (C )R (D )()()+∞-,11,1解析 解不等式组⎩⎨⎧>+≠-0101x x 得:1->x 且1≠x .∴该函数的定义域为()()+∞-,11,1 . ∴选择答案【 D 】.4. 函数()x x x f -+=的定义域为 【 】 (A )[)+∞,0 (B )(]0,∞- (C ){}0 (D ){}1解析 解不等式组⎩⎨⎧≥-≥00x x 得:0=x . ∴该函数的定义域为{}0. ∴选择答案【 C 】. 5. 函数xy --=112的定义域为 【 】(A )()1,∞- (B )()(]1,00, ∞- (C )()()1,00, ∞- (D )[)+∞,1解析 解不等式组⎩⎨⎧≠--≥-01101x x 得:x ≤1且0≠x .∴该函数的定义域为()(]1,00, ∞-. ∴选择答案【 B 】.6. 函数()xx x y -+=01的定义域是 【 】(A ){}0>x x (B ){}0<x x (C ){}10-≠<x x x 且 (D ){}10-≠≠x x x 且解析 解不等式组⎩⎨⎧>-≠+001x x x 得:0<x 且1-≠x .∴该函数的定义域为{}10-≠<x x x 且. ∴选择答案【 C 】.7. 已知函数()x f y =与函数x x y -++=13是相等的函数,则函数()x f y =的定义域是 【 】 (A )[]1,3- (B )()1,3- (C )()+∞-,3 (D )(]1,∞-解析 本题考查函数定义域的确定和函数相等.只有定义域和对应关系都相同的两个函数才相等.解不等式组⎩⎨⎧≥-≥+0103x x 得:3-≤x ≤1.∴函数x x y -++=13的定义域为[]1,3-.∵函数()x f y =与函数x x y -++=13是相等的函数 ∴函数()x f y =的定义域为[]1,3-. ∴选择答案【 A 】.8. 函数()132--=x x x f 的定义域是_____________.解析 解不等式组⎩⎨⎧≠-≥-01032x x 得:3-≤x ≤3,且1≠x .∴该函数的定义域为[)(]3,11,3 -. 9. 函数()xx f 211-=的定义域是_____________.解析 解不等式021>-x 得:21<x . ∴该函数的定义域为⎪⎭⎫ ⎝⎛∞-21,.10. 函数46--=x xy 的定义域用区间表示为________________. 解析 解不等式组⎩⎨⎧≠-≥-0406x x 得:x ≤6且4±≠x .∴该函数的定义域为()()(]6,44,44, --∞- 11. 函数()()R x x x f ∈+=112的值域是 【 】(A )()1,0 (B )(]1,0 (C )[)1,0 (D )[]1,0解析 ∵2x ≥0,∴12+x ≥1∴1102+<x ≤1,即y <0≤1. ∴该函数的值域为(]1,0. ∴选择答案【 B 】.12. 函数1+=x y 的值域为 【 】 (A )[)+∞-,1 (B )[)+∞,0 (C )(]0,∞- (D )(]1,-∞-解析 ∵1+x ≥0,∴y ≥0.∴该函数的值域为[)+∞,0. ∴选择答案【 B 】.13. 下列函数中,值域为()+∞,0的是 【 】 (A )x y = (B )2100+=x y(C )xy 16=(D )12++=x x y 解析 本题考查常见函数值域的求法.对于(A ),∵x ≥0, ∴y ≥0,∴该函数的值域为[)+∞,0;对于(B ),∵02>+x ,∴0>y ,∴该函数的值域为()+∞,0; 对于(C ),函数xy 16=的值域为()()+∞∞-,00, ; 对于(D ),用配方法求其值域.∵4321122+⎪⎭⎫ ⎝⎛+=++=x x x y .∴该函数的值域为⎪⎭⎫⎢⎣⎡+∞,43.∴选择答案【 B 】.14. 函数()x x x f +=2(1-≤x ≤3)的值域是 【 】 (A )[]12,0 (B )⎥⎦⎤⎢⎣⎡-12,41(C )⎥⎦⎤⎢⎣⎡-12,21(D )⎥⎦⎤⎢⎣⎡12,43解析 ∵()412122-⎪⎭⎫ ⎝⎛+=+=x x x x f∴该函数图象的对称轴为直线21-=x .∵[]3,1-∈x ,∴()4121min -=⎪⎭⎫⎝⎛-=f x f .()()123332max =+==f x f .∴函数()x x x f +=2(1-≤x ≤3)的值域是⎥⎦⎤⎢⎣⎡-12,41.∴选择答案【 B 】.15. 下列函数中,值域是()+∞,0的是 【 】 (A )()012>+=x x y (B )x y = (C )112-=x y (D )xy 2=解析 对于(A ),当0>x 时,112>+x ,∴1>y ,即该函数的值域为()+∞,1;对于(B ),函数x y =的值域为R ;对于(C ),∵012>-x ,∴0112>-x ,∴0>y ,即该函数的值域为()+∞,0;对于(D ),函数xy 2=的值域为()()+∞∞-,00, . ∴选择答案【 C 】. 16. 函数()()0123>++=x xxx f 的值域是 【 】(A )()3,∞- (B )()+∞,3 (C )()3,2 (D )()3,0解析 本题考查用分离常数法求函数的值域.形如bax dcx y ++=的函数常用分离常数法求值域,分离过程为:()b ax a bc d a c b ax a bc d b ax a c b ax d cx y +-+=+-++=++=. ∵0≠+-bax a bc d ,∴a c y ≠. ∴此类函数的值域为⎪⎭⎫⎝⎛+∞⎪⎭⎫ ⎝⎛∞-,,a c a c .()()xx x x x x f ++=+++=++=1121112123 ∵0>x ∴1110<+<x ,∴31122<++<x. ∴32<<y ,即该函数的值域为()3,2. ∴选择答案【 C 】.注意 在求函数的值域时,要先确定函数的定义域.17. 函数x x y -+=12的值域是 【 】 (A )(]2,∞- (B )⎥⎦⎤ ⎝⎛∞-817,(C )⎪⎭⎫⎢⎣⎡+∞,817 (D )[)+∞,2 解析 本题考查用换元法求函数的值域.形如()0≠+++=a d cx b ax y 的函数常用换元法求值域.具体做法是:先令d cx t +=(t ≥0),用t 表示出x ,并标明t 的取值范围,并代入函数解析式,把y 表示成关于t 的二次函数,最后利用配方法求出值域.用换元法求函数的值域时,值域含有后要标明新元的取值范围. 本题,令x t -=1(t ≥0),则21t x -=.∴()8174122212222+⎪⎭⎫ ⎝⎛--=++-=+-=t t t t t y .∵[)+∞∈,0t∴81741max =⎪⎭⎫ ⎝⎛=f y ,无最小值.∴该函数的值域为⎥⎦⎤⎝⎛∞-817,. ∴选择答案【 B 】.18. 已知[]1,0∈x ,则函数x x y --+=12的值域是 【 】 (A )[]13,12-- (B )[]3,1 (C )[]3,12- (D )[]12,0-解析 ∵[]1,0∈x∴2≤x ≤3,∴2≤2+x ≤3. 当0=x 时,()22min=+x ,当1=x 时,()32max=+x .∵[]1,0∈x∴1-≤x ≤0,∴0≤x -1≤1. ∴0≤x -1≤1,∴1-≤x --1≤0. 当0=x 时,()11min-=--x,当1=x 时,()01max=--x.∴当0=x 时,12min -=y ;当1=x 时,3max =y . ∴该函数的值域为[]3,12-.∴选择答案【 C 】.19. 函数()32122+-+=x x x f 的值域是_____________.解析 ()()2112321222+-+=+-+=x x x x f .∵()21-x ≥0,∴()212+-x ≥2.∴()212+-x ≥2∴()21102+-<x ≤2221=∴()211222+-+<x ≤223,即y <2≤223. ∴该函数的值域是⎥⎦⎤⎝⎛223,2. 20. 已知()[]()2,2422-∈++=x x x x f ,则()x f 的值域为_____________.解析 ∵()()314222++=++=x x x x f∴该函数图象的对称轴为直线1-=x ,顶点坐标为()3,1-. ∵[]2,2-∈x∴()()31min =-=f x f ,()()()1231222max =++==f x f .∴()x f 的值域为[]12,3.21. 函数()12+=x x f ,(]3,1-∈x 的值域为_____________.解析 令012=+x ,解之得:21-=x . ∵(]3,1-∈x ,(]3,121-∈-∴()021min =⎪⎭⎫ ⎝⎛-=f x f ,()()71323max =+⨯==f x f . ∴该函数的值域为[]7,0.方法二: 图象法.函数()12+=x x f ,(]3,1-∈x 的图象如图所示.由函数图象可知,该函数的值域为[]7,0.22. 若函数()x f y =的定义域为[]1,1-,则函数()()12-=x x f x g 的定义域是 【 】 (A )[)1,1- (B )[)1,0 (C )[)()1,00,1 - (D )[]1,1-解析 本题考查抽象函数定义域的求法. 求抽象函数或复合函数定义域的方法(1)已知)(x f 的定义域为A ,求))((x g f 的定义域,其实质是)(x g 的取值范围为A ,求x 的取值范围;(2)已知))((x g f 的定义域为B ,求)(x f 的定义域,其实质是已知))((x g f 中的x 的取值范围为B ,求)(x g 的范围(值域),此范围就是)(x f 的定义域.(3)已知))((x g f 的定义域,求))((x h f 的定义域,要先按(2)求出)(x f 的定义域.由题意可得:⎩⎨⎧≠-≤≤-01112x x ,解之得:1-≤1<x .∴函数()x g 的定义域为[)1,1-. ∴选择答案【 A 】.23. 函数()x f 的定义域是⎥⎦⎤⎢⎣⎡1,21,则()x f y -=3的定义域是 【 】(A )[]1,0 (B )⎥⎦⎤⎢⎣⎡25,0 (C )⎥⎦⎤⎢⎣⎡25,2 (D )()3,∞-解析 ∵函数()x f 的定义域是⎥⎦⎤⎢⎣⎡1,21∴⎪⎩⎪⎨⎧≤-≥-13213x x ,解之得: 2≤x ≤25.∴()x f y -=3的定义域是⎥⎦⎤⎢⎣⎡25,2.∴选择答案【 C 】.24. 已知函数)(x f 的定义域为[]2,2-,函数()()121+-=x x f x g ,则函数()x g 的定义域为 【 】(A )⎥⎦⎤⎝⎛-3,21 (B )()+∞-,1(C )()3,00,21 ⎪⎭⎫ ⎝⎛- (D )⎪⎭⎫ ⎝⎛-3,21解析 由题意可得:⎩⎨⎧>+≤-≤-012212x x ,解之得:x <-21≤3.∴函数()x g 的定义域为⎥⎦⎤⎝⎛-3,21,选择答案【 A 】.25. 若函数()x f y 23-=的定义域为[]2,1-,则函数()x f y =的定义域是 【 】(A )⎥⎦⎤⎢⎣⎡--1,25 (B )[]2,1- (C )[]5,1- (D )⎥⎦⎤⎢⎣⎡2,21解析 ∵函数()x f y 23-=的定义域为[]2,1-∴1-≤x ≤2,∴4-≤x 2-≤2. ∴1-≤x 23-≤5.∴函数()x f y =的定义域是[]5,1-. ∴选择答案【 C 】. 26. 函数()3412++-=x ax x f 的定义域为R ,则实数a 的取值范围是 【 】(A )()⎥⎦⎤ ⎝⎛∞-34,00, (B )⎥⎦⎤ ⎝⎛∞-34,(C )⎪⎭⎫⎢⎣⎡+∞,34 (D )⎪⎭⎫⎝⎛+∞,34解析 由题意可知,对于任意∈x R ,0342≠++x ax 恒成立.当0=a 时,034≠+x ,解之得:43-≠x ,不符合题意;当0≠a 时,函数342++=x ax y 的图象与x 轴无交点.∴⎩⎨⎧<-=∆≠012160a a ,解之得:34>a .综上所述,实数a 的取值范围是⎪⎭⎫⎝⎛+∞,34.∴选择答案【 D 】. 27. 函数()1312++=ax ax x f 的定义域为R ,则实数a 的取值范围是 【 】(A )⎪⎭⎫ ⎝⎛94,0 (B )⎥⎦⎤⎢⎣⎡94,0 (C )⎪⎭⎫⎢⎣⎡94,0 (D )⎥⎦⎤⎝⎛94,0解析 由题意可知,对于任意∈x R ,0132>++ax ax 恒成立.当0=a 时,()1=x f ,符合题意;当0≠a 时,函数()132++=ax ax x g 的图象开口向上,且与x 轴无交点.∴()⎩⎨⎧<-=∆>04302a a a ,解之得:940<<a . 综上所述,实数a 的取值范围是⎪⎭⎫⎢⎣⎡94,0.∴选择答案【 C 】.28. 若一系列函数的解析式相同,值域相同,但其定义域不同,则称这些函数为“同族函数”,那么解析式为2x y =,值域为{}4,1的“同族函数”共有 【 】(A )7个 (B )8个 (C )9个 (D )10个解析 注意,该函数的定义域为{}4,1,只含有2个元素,而不是区间[]4,1.令12=x ,解之得:1±=x ;令42=x ,解之得:2±=x . ∴根据“同族函数”的定义,符合题意的定义域为:{}2,1-,{}2,1--,{}2,1-,{}2,1,{}2,1,1-,{}2,1,1--,{}2,2,1-,{}2,2,1--,{}2,2,1,1--.∴值域为{}4,1的“同族函数”共有9个. ∴选择答案【 C 】.29. 若函数442--=x x y 的定义域为[]m ,0,值域为[]4,8--,则实数m 的取值范围是 【 】 (A )(]2,0 (B )(]4,2 (C )[]4,2 (D )()4,0解析 根据题意,画出函数的简图,结合简图进行求解.()824422--=--=x x x y .∴()()82min -==f x f .∵[][]4,8,,0--∈∈y m x ,∴[]m ,02∈. 令4442-=--x x ,解之得:4,021==x x .根据二次函数图象的对称性并结合函数442--=x x y 的简图可知:2≤m ≤4. ∴实数m 的取值范围是[]4,2,选择答案【 C 】.30. 已知函数()()132+-+=x m mx x f 的值域是[)+∞,0,则实数m 的取值范围是___________.解析 当0=m 时,()13+-=x x f ,符合题意;当0≠m 时,可知函数()()132+-+=x m mx x g 的图象开口向上,且与x 轴有交点.∴()⎩⎨⎧≥--=∆>04302m m m ,解之得:m <0≤1或m ≥9. 综上所述,实数m 的取值范围是[][)+∞,91,0 .注意 设函数()()132+-+=x m mx x g 的值域为A ,则区间[)⊆+∞,0A .变式训练 已知函数()12++=mx mx x f 的值域为[)+∞,0,则实数m 的取值范围是 【 】 (A )[]4,0 (B )(]4,0 (C )()4,0 (D )[)+∞,4 答案 【 D 】. 31. 已知函数()3422++-=k kx kx x f 的定义域为R ,则k 的取值范围是_______.解析 当0=k 时, 03>恒成立,符合题意;当0≠k 时,则有:()()⎩⎨⎧<+-->034402k k k k ,解之得:10<<k . 综上所述,k 的取值范围是[)1,0.32. 已知函数2215x x y --=的定义域是A ,函数22x x a y --=的值域是B ,全集为R ,(C R A )=B R ,求实数a 的取值范围.解析 解不等式2215x x --≥0得:5-≤x ≤3.∴{}35≤≤-=x x A ∴(C R A ){}35>-<=x x x 或 ∵()11222+++-=--=a x x x a y∴{}1+≤=a y y B . ∵(C R A )=B R ∴1+a ≥3,解之得:a ≥2. ∴实数a 的取值范围是[)+∞,2.33. 已知函数1822+++=x nx mx y 的定义域为()+∞∞-,,值域为[]9,1,求n m ,的值.解析 n x mx y yx ++=+822整理得:()()082=-+--n y x x m y .当0=-m y 时,n x y +=8,∵∈x R ,∴函数1822+++=x nx mx y 的值域为R ,不符合题意;当0≠-m y 时,则()()()n y m y ----=∆482≥0.整理得:()()162-++-mn y n m y ≤0. ∵[]9,1∈y∴()()0162=-++-mn y n m y 的两个实数根分别为1和9. ∴由根与系数的关系定理可得:⎩⎨⎧=⨯=-=+=+991161091mn n m ,解之得:⎩⎨⎧==55n m . 综上所述,n m ,分别为5,5==n m .。
高一数学函数的定义域与值域试题答案及解析1.已知函数的定义域为,的定义域为,则A.B.C.D.【答案】D【解析】函数的定义域M=,的定义域为N=;则【考点】函数的定义域2.函数的值域是()A.[0,12]B.[-,12]C.[-,12]D.[,12]【答案】B.【解析】因为函数,所以,当时,;当时,;所以函数的值域为.故应选B.【考点】二次函数的性质.3.已知函数的定义域为,则函数的定义域为()A.(-,-1)B.(-1,-)C.(-5,-3)D.(-2,-)【答案】B.【解析】因为函数的定义域为,即,所以,所以函数的定义域为,所以,即,所以函数的定义域为.故选B.【考点】函数的定义域及其求法.4.已知函数在时取得最大值4.(1)求的最小正周期;(2)求的解析式;(3)若,求的值域.【答案】(1);(2);(3).【解析】(1)直接利用正弦函数的周期公式,求f(x)的最小正周期;(2)利用函数的最值求出A,通过函数经过的特殊点,求出φ,然后求f(x)的解析式;(3)通过,求出相位的范围,利用正弦函数的值域直接求f(x)的值域..试题解析:解:(1),(3)时,的值域为【考点】1.由y=Asin(ωx+φ)的部分图象确定其解析式;2.三角函数的周期性及其求法.5.函数的定义域是 ( )A.B.C.D.【答案】D【解析】要使函数式有意义,则.【考点】本题考查函数的定义域即使函数式有意义的自变量的取值范围.6. (1)求不等式的解集:.(2)求函数的定义域:.【答案】(1);(2).【解析】(1)首先将首项系数化为正数,然后分解因式,进而可求得不等式的解集;(2)首先根据根式要有意义建立不等式,然后通过解分式不等式可求得结果.试题解析:(1)∵,∴,∴,∴或,∴原不等式的解集为.(2)要使函数有意义,须,解得或,∴函数的定义域是.【考点】1.一元二次不等式的解法;2.函数定义域.7.函数的定义域是.【答案】【解析】要是此函数有意义,所以有,所以定义域为【考点】(1)函数定义域的求法,(2)偶次根号下被开方数大于等于0,对数中真数大于08.计算:(2)已知函数,求它的定义域和值域。
函数定义域值域经典习题及答案练习题1.求函数的定义域1) 求下列函数的定义域:a) $y=\frac{x^2-2x-15}{x+3-3}$b) $y=1-\frac{1}{x-1}$c) $y=\frac{1}{1+(x-1)}+\frac{(2x-1)+4-x^2}{2}$2) 设函数$f(x)$的定义域为$[0.1]$,则函数$f(x^2)$的定义域为$[0.1]$;函数$f(x-2)$的定义域为$[-2.1]$;函数$f(x+1)$的定义域为$[-2.3]$,则函数$f(2x-1)$的定义域为$[0.5]$;函数$f(-2)$的定义域为$[0.1]$。
3) 已知函数$f(x)=\sqrt{\frac{x-1}{x+1}}$,则函数$f\left(\frac{1}{x}\right)$的定义域为$x\neq0$。
2.求函数的值域5) 求下列函数的值域:a) $y=x^2+2x-3$,$x\in\mathbb{R}$b) $y=x^2+2x-3$,$x\in[1.2]$c) $y=\frac{3x-1}{x+1}$d) $y=\begin{cases}0.& x<5\\ \frac{1}{x+1}。
& x\geq 5\end{cases}$e) $y=\frac{5x^2+9x+4}{x^2-1}$f) $y=x-3+x+1$g) $y=x^2-x$h) $y=-x^2+4x+5$i) $y=4-\frac{x^2+4x+5}{x^2-1}$6) 已知函数$f(x)=\frac{2x^2+ax+b}{x^2+1}$的值域为$[1.3]$,求$a$和$b$的值。
3.求函数的解析式1) 已知函数$f(x-1)=x^2-4x$,求函数$f(x)$和$f(2x+1)$的解析式。
2) 已知$f(x)$是二次函数,且$f(x+1)+f(x-1)=2x^2-4x$,求$f(x)$的解析式。
高一数学专题练习:函数的定义域、值域(含答案)高一函数同步练2(定义域、值域)一.选择题1.函数y=(2+x+x^2-x-2)的定义域是()A) x-2≤x≤-1B) x-2≤x≤1C) x>x^2-2D) x∈R且x≠12.函数y=(x-4)/(x+5)(x-6)的定义域是A) {x|x>4}B) {x|2<x<3}C) {x|x3}D) {x∈R|x≠2且x≠3}3.函数y=x-2x+1的值域是A) [0,+∞)B) (-∞,+∞)C) (-∞,+∞)D) [1,+∞]4.下列函数中,值域是(-∞,+∞)的是A) y=2/(x^2-3x+1)B) y=2x+1(x>0)C) y=x^2+x+1D) y=1/(2x)5.若f(2x-1)的定义域是(-∞,1),则f(1-3x)的定义域是A) (-2,4]B) (-2,-1)C) (-∞,1/3)D) (1/3,3/2]6.若函数y=f(x)的定义域为(0,2),则函数y=f(-2x)的定义域是A) (0,2)B) (-1,0)C) (-4,0)D) (-∞,2)7.函数y=x+3-x+1的值域是A) (0,2)B) [-2,0]C) [-2,2]D) (-2,2)二.填空题:21.函数y=1-x+x^2-1的定义域是[-∞,∞)。
22.函数y=2/(x-x^2)的定义域为(-∞,0)∪(1,∞)。
23.函数y=-2x^2-8x-9.x∈[0,3]的值域是[-15,-1]。
24.设函数y=f(x)的定义域是[0,2],则f(x-1)的定义域是[1,3]。
25.函数y=x-x^2的值域是[-1/4,1/4];函数y=x-x^3(-1≤x≤1)的值域是[-2/3,2/3];函数y=22/(x-x^2)的值域是(-∞,-4]∪[4,∞)。
三.解答题1.求下列函数的定义域(用区间表示):1)y=2x+3;(-∞,+∞)2)y=(x-1)/(1-x);x∈R且x≠13)y=√(x-1)/(x+1);x∈[1,+∞)4)y=1/(x+|x|)+5;x≠05)y=(x^2-1)/(x-1);x∈(-∞,1)∪(1,+∞)2.求下列函数的值域(用区间表示):1)y=x^2-2x-3;①(-∞,+∞),②[-4,2),③[-3/4,+∞) 2)y=-x^2+x+2;(-∞,9/4]3)y=2x-4/(x+5);(-∞,-4/5)∪(-4/5,+∞)。
专题三函数的定义域和值域一.选择题(共12小题)1.函数f(J二応的定义域是( )A. ( - 1, +00)B. ( 一1, 1) U (1, +8) C・[一1, +00) D. [ - 1, 1)U (1, +oo)2.已知函数f (x)二换的定义域为(1, 2),则函数f(X?)的定义域是()A. (1, 2) B・(1, 4) C. R D・(一伍,-1) U (1, ^2)3. 已知函数f (x)二圻孑的定义域是R,则实数a 的取值范围是()ax +ax~3A. a>丄B・ - 12VaW0 C・ - 12<a<0 D・ aW丄3 34. 集合A二{x|0WxW4}, B二{y|0WyW2},下列不能表示从A到B的函数的是5. 下列图形中,不能表示以x为自变量的函数图象的是()A./°►x x^y=2 x C.C6. 下列函数与函数y二x相等的是()._ 2A・尸(换)2 B.尸存C・尸(饭)$ D.宀下列四组函数,表示同一函数的是(f (x)二J X 2-4‘ £(X )二2f(x)二x, g(x)仝—X{1, V3> B ・(-8, 0] C ・[1, +8) D. R10・若函数y=7ax 2+2ax+3的值域为〔0,+°°),则a 的取值范围是( )A. (3, +8) B ・[3, +8) C ・(-8, 0] U [3, +00)D.(・8,0)U[3, + oo )11. 二次函数 f (x) =x 2 - 4x+l (xe [3, 5])的值域为( )A ・[-2, 6]B ・[一3, +8)C ・[-3, 6]D ・[一 3, - 2] 12. 若函数f(x)=1/-2x+4的定义域、值域都是[2, 2b],则()乙A. b=2B. bG [1, 2]C. be (1, 2) D ・ b 二 1 或 b 二2二. 填空题(共4小题)13. 函数f (x)二(3-2X _ * $的定义域为 _______ ,值域为 _______ ・ 14. 函数f(x)二JI3+佑忑-1的定义域是 __________ .15. 函数y=Vkx 2-4kx+k+6的定义域为R ,则k 的取值范围 _________ 16. 函数f(x)二的值域为 ______________ ・三. 解答题(共6小题)A. ①B-A. f(x)二g Cx) =xB. C. D. f (x) = |x+l | , g (x) =4x+l, -X-1, X-l9. 己知函数 f (x) =V2x-l ,xe {1, 2, 3}.则函数f (x)的值域是( )A. ②③④C. ①③④D.17.求下列函数的定义域:(1)尸厶+8&3-x;(2) 18・已知函数f (x)1+x2(1) 求 f (1) +f (2) +f (3) +f (丄)+f (丄)的值;2 3(2) 求f (x)的值域.19. 已知函数y=V x2+6inx+in+8的定义域为R,求实数m的取值范围.220. 当x>0吋,求函数yz:3+x+x的值域.1+x21-已知函数f (x)二"*+3+』2 '(1)求函数的定义域;(2)求f(-3), f(春)的值.322.求函数f(X)=x2+ x - 2 | , xe [0, 4]的值域.专题三(2)函数的概念参考答案与试题解析一.选择题(共12小题)1. 函数f(£二仮石占的定义域是( )A. ( - 1, +8)B.(・ 1, 1) U (1, +8) C・[一1, +8) D. [ - 1, 1) U (1, +8)【分析】由根式内部的代数式大于等于0,且分式的分母不为0联立不等式组求解.【解答】解:由卩+1空0,解得x^_i且X"Ix-lT^O・・・函数f(£二頁石的定义域是[-1,1)U (1, +oo)・故选:D.【点评】本题考查函数的定义域及其求法,是基础的计算题.2. 已知函数f (x)二仄的定义域为(1, 2),则函数f(X?)的定义域是( )A. (1, 2) B・(1, 4) C. R D・(一典,-1) U (1, ^2)【分析】由已知函数的定义域可得1<X2<2,求解不等式组得答案.【解答】解:・・•数f (x)二换的定义域为(1, 2),・・・由1<X2<2,得- V2<x< - 1或1 <x<“^・即函数f 2)的定义域是(-辺,-1) U (1,V2). 故选:D.【点评】本题考查函数的定义域及其求法,关键是掌握该类问题的求解方法,是基础题.3.已知函数f (x)二圻孑的定义域是R,则实数a的取值范围是( )ax +ax~3A. a>丄B・一12VaW0 C・-12<a<0 D・ aW丄3 3【分析】由函数f (x)二申*一1的定义域是R,表示函数的分母恒不为零,即ax+ax~3方程ax2+ax - 3=0无解,根据-•元二次方程根的个数与判断式△的关系,我们易得数a的取值范围.f曲工o【解答】解:由护0或2,、/-4aX (-3X0可得-12VaW0,故选:B.【点评】求函数的定义域时要注意:(1)当函数是由解析式给岀时,其定义域是使解析式有意义的自变量的取值集合.(2)当函数是由实际问题给岀时,其定义域的确定不仅要考虑解析式有意义,还要有实际意义(如长度、面积必须大于零、人数必须为自然数等).(3)若一函数解析式是由几个函数经四则运算得到的,则函数定义域应是同时使这几个函数有意义的不等式组的解集•若函数定义域为空集,则函数不存在.(4)对于(4)题要注意:①对在同一对应法则f下的量"x〃"x+a〃"x - 所要满足的范围是一样的;②函数g(X)中的自变量是x,所以求g (x)的定义域应求g (x)中的x的范围.4.集合A二{x|0WxW4}, B二{y|0WyW2},下列不能表示从A到B的函数的是A. f:B・ f: x->y=2 x C・ f:D・巳【分析】根据函数的定义分别进行判断即可.【解答】解:C的对应法则是f: xTy二Zx,可得f (4)二邑B,不满足映射的定 3 3义,故C的对应法则不能构成映射.故C的对应f中不能构成A到B的映射.故选:C.【点评】本题给岀集合A、B,要求我们找出从A到B的映射的个数,着重考查了映射的定义及其判断的知识,属于基础题.5. 下列图形中,不能表示以x为自变量的函数图象的是( )【分析】利用函数定义,根据X取值的任意性,以及y的唯一性分别进行判断. 【解答】解:B中,当x>0吋,y有两个值和x对应,不满足函数y的唯一性,A, C, D满足函数的定义,故选:B.【点评】本题主要考查函数的定义的应用,根据函数的定义和性质是解决本题的关键.6. 下列函数与函数y二x相等的是()._ 2A・尸(依)2 B・尸F C・y=(Vx)3 D・尸*■【分析】已知函数的定义域是R,分别判断四个函数的定义域和对应关系是否和己知函数一致即可.【解答】解:A.函数的定义域为{x|xNO},两个函数的定义域不同.B. 函数的定义域为R, y=|x|,对应关系不一致.C. 函数的定义域为R,两个函数的定义域和对应关系相同,是同一函数.D. 函数的定义域为{x|xHO},两个函数的定义域不同.故选:C.【点评】本题主要考查判断两个函数是否为同一函数,判断的标准是判断函数的定义域和对应关系是否一致,否则不是同一函数.7. 如图所示,可表示函数图象的是()【分析】利用函数的定义分别对四个图象进行判断.【解答】解:由函数的定义可知,对定义域内的任何一个变化x,在有唯一的一 个变量y 与x 对应.则由定义可知①③④,满足函数定义.但②不满足,因为②图彖中,当x>0时,一个x 对应着两个y,所以不满足函数 取值的唯一性.所以不能表示为函数图象的是②. 故选:C.【点评】木题主要考查了函数的定义以及函数的应用.要求了解,对于一对一, 多对一是函数关系,一对多不是函数关系.&下列四组函数,表示同一函数的是()A ・ f(x)二g (X )二x氏 f(x)二厶2-4‘ £(X )二V7巨依R2C ・ f(x)二x, g(x)^—X「/、 | | /、 fx+1, X 》-1D. f (x) = |x+l |,g (x)=< l^-x-1, x-1【分析】根据两个函数的定义域相同,对应关系也相同,判断它们是同一函数. 【解答】解:对于A, f (x)二{尹二|x|,与g (x) =x 的对应关系不同,.••不是 同一函数;对于 B, f (x)二J*2-4(x$2 或 xW - 2),与 g (x)二代巨厶-2=厶2-4(x$2) 的定义域不同, ・•・不是同一函数;2对于C, f (x) =x (xWR),与g (x) =—=x (xHO)的定义域不同,・••不是同一A.①B.②③④C.①③④D.②函数;对于D, f (x) =|x+l|=f X+1, xjl ,与(X)二< x+1, 的定义域相同,l^-X-1 , x\ ~1 [~x~l, x<. -1对应关系也相同,是同一函数.故选:D.【点评】本题考查了判断两个函数是否为同一函数的应用问题,是基础题目.9.已知函数f (x) =V2x-l,xe {1, 2, 3}.则函数f (x)的值域是( )A. {1,品、B・(一8, o] C・[1, +8) D. R【分析】直接由已知函数解析式求得函数值得答案.【解答】解:f (x) =V2x-l,xe {1, 2, 3},当x=l 时,f (1) =1;当x=2 时,f (2) =V3;当x=3 时,f (3)二祈.・・・函数f (x)的值域是{1,岳V5).故选:A.【点评】木题考查函数值域的求法,是基础的计算题.10・若函数y=7ax2+2ax+3的值域为+°°),则a的取值范围是( ) A. (3, +°°) B. [3, +°°) C・(-g, 0] U [3, +°°) D・(一oo, Q) U [3, + 8 )【分析】由题意:函数y是一个复合函数,值域为[0, +°° ),则函数f(x)=ax2+2ax+3 的值域要包括0.即最小值要小于等于0.【解答】解:由题意:函数y=V ax2+2ax+3是一个复合函数,要使值域为[0, +8),则函数f (x) =ax2+2ax+3的值域要包括0,即最小值要小于等于0・(a>0 = ( a>0则有:(f(-l)<0 ta-2a+3<0解得:a^3 所以a的取值范围是[3, +°°).故选:B.【点评】本题考查了复合函数的值域的求法,通过值域来求参数的问题.属于基础题.二次函数 f (x) =x2 - 4x+l (xe [3, 5])的值域为( )A・[一2, 6] B・[一3, +8) C・[一3, 6] D. [ - 3, - 2]【分析】利用二次函数的单调性即可求解值域.【解答】解:函数f (x) =x2 - 4x+l,其对称轴x=2,开口向上,Vxe [3, 5],・•・函数f (x)在[3, 5]单调递增,当x=3时,f (x)取得最小值为-2.当x=5时,f(X)取得最小值为6・••二次函数 f (x) =x2 - 4x+l (xe [3, 5])的值域为[・2, 6]. 故选:A.【点评】本题考查二次函数的单调性求解最值问题,属于函数函数性质应用题, 较容易.12.若函数f(x)二丄x2-2x+4的定义域、值域都是[2, 2b],则( )乙A. b=2B. be [1, 2] C・ be (1, 2) D・ b二 1 或b二2【分析】根据二次函数的性质建立关系解得b的值.【解答】解:函数仏)二知2-2X+4乙其对称轴x=2,・•・函数f (x)在定义域[2, 2b]是递增函数,且2b>2,即b>l.那么:f (2b) =2b即2b=— x 4b2 " 4b+42解得:b=2故选:A.【点评】本题考查了定义域、值域的关系,利用二次函数的性质,属于基础题.二.填空题(共4小题)13.函数f (x)二寸3-b-/的定义域为[一3, 1],值域为[0, 2]【分析】根据函数的定义域和值域的定义进行求解即可.【解答】解:要使函数有意义,则3-2X-X2^0,即X2+2X - 3W0,解得故函数的定义域为[-3, 1],设t=3 - 2x - x2,贝!J t=3 - 2x - x2= - (x+1) ?+4,则0WtW4,即0W五W2,即函数的值域为[0, 2],故答案为:[-3, 1], [0, 2]【点评】木题主要考查函数定义域和值域的求解,利用换元法结合一元二次函数的性质是解决本题的关键.14. 函数f (x) = Vl_x +Vx+3T的定义域是[- 3, 1] •【分析】根据使函数的解析式有意义的原则,结合偶次根式的被开方数必须不小于0,我们可以构造关于自变量x的不等式组,解不等式组,可得答案.【解答】解:要使函数f(x)二石+后-1的解析式有意义自变量x须满足(id。
高一数学函数的定义域与值域试题1.函数的值域为()A.[0,3]B.[-1,0]C.[-1,3]D.[0,2]【答案】C.【解析】先将函数方程化为,,再由二次函数的图像知,当时,函数取得最小值且为-1;当时,函数取得最大值且为3.所以函数的值域为[-1,3]. 故应选C.【考点】二次函数的值域.2.函数的定义域为()A.B.C.D.【答案】B【解析】使有意义的的取值必须满足条件:或,所以函数的定义域为,选B.【考点】1.函数的定义域;2.分式不等式.3.已知函数,则的值域为 .【答案】(-2,1).【解析】当x<1时,0<3x<3,故-2<f(x)=1-3x<1,故f(x)的值域为(-2,1).【考点】函数的值域.4.设表示不超过的最大整数,如,若函数,则函数的值域为 .【答案】【解析】因为,所以所以当时,,,,故当时,,,,故当时,,,,故综上可知的值域为.【考点】1.新定义;2.函数的解析式;3.函数的值域.5.已知函数.(1)若,则的定义域为;(2)若在区间上是减函数, 则实数的取值范围是.【答案】(1);(2)【解析】(1)由,求解即可得到,故的定义域为;(2)当时,,在其定义域内单调递减,由复合函数的单调性可知要使在区间单调递减,须满足即,求解得;当时,,由复合函数的单调性可知要使在区间单调递减,则须满足函数在单调递增且最小值必须大于0,此时;综上可知,.【考点】1.函数的定义域;2.函数的单调性;3.分类讨论的思想.6.函数的定义域为()A.B.C.D.【答案】D.【解析】由函数的解析式可得,Lgx-1≠0, x>0,即 0<x<10或10<x,故函数定义域为 ,故选D.【考点】函数定义域.7.已知函数(1)用定义证明在上单调递增;(2)若是上的奇函数,求的值;(3)若的值域为D,且,求的取值范围【答案】(1)详见解析;(2);(3)【解析】(1)在R上任取两个实数,且,然后用作差法比较的大小,再根据单调性定义判断单调性。
高一数学函数的定义域与值域试题答案及解析1.已知(1)若,求x的范围;(2)求的最大值以及此时x的值.【答案】(1)(2),.【解析】(1)根据向量的数量积公式,化简f(x)≥1得cos2x-cosx≤0,从而得到0≤cosx≤1.再由余弦函数的图象与性质解此不等式,即可求出x的范围;(2)由(1)得f(x)=sin2x+cosx,利用同角三角函数的关系化简、配方得f(x)═,由此可得cosx=时,f(x)的最大值为,根据余弦函数的图象与性质,可得相应x的值..试题解析:解:(1),(2)【考点】1.平面向量数量积的运算;2.正弦函数的定义域和值域.2.注:此题选A题考生做①②小题,选B题考生做①③小题.已知函数是定义在R上的奇函数,且当时有.①求的解析式;②(选A题考生做)求的值域;③(选B题考生做)若,求的取值范围.【答案】①;②;③【解析】①当时,,根据可推导出时的解析式。
注意最后将此函数写成分段函数的形式。
②本题属用分离常数项法求函数值域。
当时将按分离常数项法将此函数化为,根据自变量的范围可推导出函数值的范围,因为此函数为奇函数所以值域也对称。
故可得出的值域。
③本题属用单调性“知二求一”解不等式问题。
所以应先判断此函数的单调性。
同②当时将化为,可知在上是增函数,因为为奇函数,所以在上是增函数。
根据单调性得两自变量的不等式,即可求得的取值范围。
试题解析:解:①∵当时有∴当时,∴∴()∴(6分)②∵当时有∴又∵是奇函数∴当时∴(A:13分)③∵当时有∴在上是增函数,又∵是奇函数∴是在上是增函数,(B:13分)∵∴∴【考点】函数的奇偶性及值域,函数的单调性。
考查转化思想。
3.已知函数且的图象经过点.(1)求函数的解析式;(2)设,用函数单调性的定义证明:函数在区间上单调递减;(3)解不等式:.【答案】(1),(2)详见解析,(3)或.【解析】(1)求函数的解析式,只需确定的值即可,由函数且的图象经过点,得,再由得,(2)用函数单调性的定义证明单调性,一设上的任意两个值,二作差,三因式分解确定符号,(3)解不等式,一可代入解析式,转化为解对数不等式,需注意不等号方向及真数大于零隐含条件,二利用函数单调性,去“”,注意定义域.试题解析:(1),解得:∵且∴; 3分(2)设、为上的任意两个值,且,则6分,在区间上单调递减. 8分(3)方法(一):由,解得:,即函数的定义域为; 10分先研究函数在上的单调性.可运用函数单调性的定义证明函数在区间上单调递减,证明过程略.或设、为上的任意两个值,且,由(2)得:,即在区间上单调递减. 12分再利用函数的单调性解不等式:且在上为单调减函数., 13分即,解得:. 15分方法(二): 10分由得:或;由得:,13分. 15分【考点】函数解析式,函数单调性定义,解不等式.4.已知则_ .【答案】7【解析】因为,所以代入,即,因为,所以代入,得,故得.【考点】分段函数及解析式.5.给出以下命题:①若、均为第一象限角,且,且;②若函数的最小正周期是,则;③函数是奇函数;④函数的周期是;⑤函数的值域是.其中正确命题的个数为()A.3B.2C.1D.0【答案】D【解析】对于①来说,取,均为第一象限,而,故;对于②,由三角函数的最小正周期公式;对于③,该函数的定义域为,定义域不关于原点对称,没有奇偶性;对于④,记,若,则有,而,,显然不相等;对于⑤,,而当时,,故函数的值域为;综上可知①②③④⑤均错误,故选D.【考点】1.命题真假的判断;2.三角函数的单调性与最小正周期;3.函数的奇偶性;4.函数的值域.6.函数的定义域为.【答案】【解析】要是此函数有意义,所以有,所以定义域为【考点】(1)函数定义域的求法,(2)偶次根号下被开方数大于等于0,对数中真数大于07.若函数()在上的最大值为23,求a的值.【答案】或【解析】利用整体思想令,则,其图像开口向上且对称轴为,所以二次函数在上单调递减,在上是增函数.下面分两种情况讨论:当时,在R上单调递减,当时是的增区间,所以时y取最大值。
函数值域、定义域、解析式专题一、函数值域的求法1、直接法:例1:求函数y例2:求函数1y =的值域。
2、配方法:例1:求函数242y x x =-++([1,1]x ∈-)的值域。
例2:求 函 数]2,1[x ,5x 2x y 2-∈+-= 的 值域。
例3:求函数2256y x x =-++的值域。
3、分离常数法: 例1:求函数125xy x -=+的值域。
例2:求函数122+--=x x xx y 的值域.例3:求函数132x y x -=-得值域.4、换元法:例1:求函数2y x =+例2: 求 函 数1x x y -+=的 值 域。
5、函数的单调性法:确定函数在定义域(或某个定义域的子集)上的单调性,求出函数的值域。
例1:求函数y x =-例2:求函数()x x x f -++=11的值域。
例3:求 函 数1x 1x y --+=的 值 域。
6、数型结合法:函数图像是掌握函数的重要手段,利用数形结合的方法,根据函数图像求得函数值域,是一种求值域的重要方法。
当函数解析式具有某种明显的几何意义(如两点间距离,直线的斜率、截距等)或当一个函数的图象易于作出时,借助几何图形的直观性可求出其值域。
例1:求函数|3||5|y x x =++-的值域。
7、非负数法根据函数解析式的结构特征,结合非负数的性质,可求出相关函数的值域。
例1、(1)求函数216x y -=的值域。
(2)求函数1322+-=x x y 的值域。
二、函数定义域例1:已知函数()f x 的定义域为[]15-,,求(35)f x -的定义域.例2:若()f x 的定义域为[]35-,,求()()(25)x f x f x ϕ=-++的定义域. 例3:求下列函数的定义域:① 21)(-=x x f ; ② 23)(+=x x f ;③ xx x f -++=211)( 例4:求下列函数的定义域:④ 14)(2--=x x f⑤ ②2143)(2-+--=x x x x f⑥ 373132+++-=x x y ④xx x x f -+=0)1()(三、解析式的求法1、配凑法例1:已知 :23)1(2+-=+x x x f ,求f(x);例2 :已知221)1(x x xx f +=+ )0(>x ,求 ()f x 的解析式. 2、换元法(注意:使用换元法要注意t 的范围限制,这是一个极易忽略的地方。
)例1:已知:x x x f 2)1(+=+,求f(x);例2:已知:11)11(2-=+xx f ,求)(x f 。
例3 :已知x x x f 2)1(+=+,求)1(+x f .3、待定系数法例1.已知:f(x) 是二次函数,且f(2)=-3, f(-2)=-7, f(0)=-3,求f(x)。
例2:设)(x f 是一次函数,且34)]([+=x x f f ,求)(x f .4、赋值(式)法例1:已知函数)(x f 对于一切实数y x ,都有x y x y f y x f )12()()(++=-+成立,且0)1(=f 。
(1)求)0(f 的值;(2)求)(x f 的解析式。
例2:已知:1)0(=f ,对于任意实数x 、y ,等式)12()()(+--=-y x y x f y x f 恒成立,求)(x f . 5、方程法例1:已知:)0(,31)(2≠=⎪⎭⎫ ⎝⎛+x x x f x f ,求)(x f 。
例2:设,)1(2)()(x xf x f x f =-满足求)(x f .6、代入法:求已知函数关于某点或者某条直线的对称函数时,一般用代入法. 例1:已知:函数)(2x g y x x y =+=与的图象关于点)3,2(-对称,求)(x g 的解析式.高考中的试题:1.(2004.湖北理)已知)(,11)11(22x f xx x x f 则+-=+-的解析式可取为 ( ) A .21xx+ B .212xx+-C .212x x+ D .21xx+-2.(2004.湖北理)函数]1,0[)1(log )(2在++=x a x f a 上的最大值和最小值之和为a ,则a的值为( )A .41B .21C .2D .43.(2004. 重庆理)函数y =的定义域是:( )A .[1,)+∞B .23(,)+∞C .23[,1]D .23(,1]4.(2004.湖南理)设函数,2)2(),0()4(.0,2,0,0,)(2-=-=-⎩⎨⎧>≤≤++=f f f x x x c bx x x f 若则关于x 的方程x x f =)(解的个数为( ) A .1B .2C .3D .45、(2004. 人教版理科)函数)1(log 221-=x y 的定义域为( )A 、[)(]2,11,2 --B 、)2,1()1,2( --C 、[)(]2,11,2 --D 、)2,1()1,2( --6.(2006年陕西卷)为确保信息安全,信息需加密传输,发送方由明文→密文(加密),接收方由密文→明文(解密),已知加密规则为:明文,,,a b c d 对应密文2,2,23,4.a b b c c d d +++例如,明文1,2,3,4对应密文5,7,18,16.当接收方收到密文14,9,23,28时,则解密得到的明文为(C )(A )7,6,1,4 (B )6,4,1,7 (C )4,6,1,7 (D )1,6,4,77.(2006年安徽卷)函数()f x 对于任意实数x 满足条件()()12f x f x +=,若()15,f =-则()()5ff =__________。
8.(2006年广东卷)函数)13lg(13)(2++-=x xx x f 的定义域是9. (2006年湖北卷)设()x x x f -+=22lg,则⎪⎭⎫⎝⎛+⎪⎭⎫ ⎝⎛x f x f 22的定义域为 ()A. ()()4,00,4 -B. ()()4,11,4 --C. ()()2,11,2 --D. ()()4,22,4 --10.(2006年辽宁卷)设,0.(),0.x e x g x lnx x ⎧≤=⎨>⎩则1(())2g g =__________11.( 2006年湖南卷)函数y =( )A.(3,+∞)B.[3, +∞)C.(4, +∞)D.[4, +∞)(07高考)1、(安徽文7)图中的图象所表示的函数的解析式为(A)|1|23-=x y (0≤x ≤2) (B) |1|2323--=x y(0≤x ≤2)(C) |1|23--=x y (0≤x ≤2)(D) |1|1--=x y (0≤x ≤2)2、(浙江理10)设21()1x x f x x x ⎧⎪=⎨<⎪⎩,≥,,,()g x 是二次函数,若(())f g x 的值域是[)0+,∞,则()g x 的值域是( ) A .(][)11--+∞,,∞B .(][)10--+∞,,∞C .[)0+,∞D .[)1+,∞3、(陕西文2)函数21lg )(x x f -=的定义域为(A )[0,1](B )(-1,1) (C )[-1,1](D )(-∞,-1)∪(1,+∞)4、(江西文3)函数1()lg 4xf x x -=-的定义域为( ) A.(14),B.[14),C.(1)(4)-∞+∞,, D.(1](4)-∞+∞,,5、(上海理1)函数()()lg 43x f x x -=-的定义域为_____6、(浙江文11)函数()221x y x R x =∈+的值域是______________7、(重庆文16)函数2254()22x x f x x x -+=-+的最小值为 。
(08高考)1.(全国一1)函数(1)y x x x =-+的定义域为( ) A .{}|0x x ≥ B .{}|1x x ≥ C .{}{}|10x x ≥D .{}|01x x ≤≤2.(湖北卷4)函数221()ln(3234)f x x x x x x=-++--+的定义域为A. (,4][2,)-∞-+∞B. (4,0)(0.1)-C. [-4,0)(0,1] D. [4,0)(0,1)-3.(陕西卷11)定义在R 上的函数()f x 满足()()()2f x y f x f y xy +=++(x y ∈R ,),(1)2f =,则(3)f -等于( )A .2B .3C .6D .94.(重庆卷4)已知函数M ,最小值为m ,则mM的值为 (A)14(B)12(C)2(D)25.(安徽卷13)函数2()f x =的定义域为.6.(2009江西卷文)函数y =A .[4,1]-B .[4,0)-C .(0,1]D .[4,0)(0,1]-答案:D7.(2009江西卷理)函数y =的定义域为A .(4,1)--B .(4,1)-C .(1,1)-D .(1,1]-8.(2009北京文)已知函数3,1,(),1,x x f x x x ⎧≤=⎨->⎩若()2f x =,则x = .。