高中数学必修1幂函数练习题
- 格式:pdf
- 大小:25.51 KB
- 文档页数:1
高中数学必修一《幂函数》精选习题(含详细解析)一、选择题1.下列函数中,是幂函数的是( )A.y=2xB.y=2x3C.y=D.y=2x22.若幂函数y=(m2-3m+3)x m-2的图象不过原点,则m的取值范围为( )A.1≤m≤2B.m=1或m=2C.m=2D.m=13.函数y=x-2在区间上的最大值是( )A. B. C.4 D.-44若本题的条件不变,则此函数在区间上的最大值和最小值之和为多少?5.在下列函数中,定义域为R的是( )A.y=B.y=C.y=2xD.y=x-16函数y=|x(n∈N,n>9)的图象可能是( )7下列幂函数在(-∞,0)上为减函数的是( )A.y=B.y=x2C.y=x3D.y=8下列幂函数中过点(0,0),(1,1)且为偶函数的是( )A.y=B.y=x4C.y=x-2D.y=9.在同一坐标系内,函数y=x a(a≠0)和y=ax-的图象可能是( )二、填空题10幂函数f(x)=xα过点,则f(x)的定义域是.11若y=a是幂函数,则该函数的值域是.12若函数f(x)是幂函数,且满足=3,则f的值等于.13.设a=,b=,c=,则a,b,c的大小关系是.14已知幂函数f=(m∈Z)的图象与x轴,y轴都无交点,且关于原点对称,则函数f的解析式是.三、解答题15.比较下列各组数的大小:(1)1.10.1,1.20.1;(2)0.24-0.2,0.25-0.2;(3)0.20.3,0.30.3,0.30.2.16.已知幂函数y=x3-p(p∈N*)的图象关于y轴对称,且在(0,+∞)上为增函数,求满足条件(a+1<(3-2a的实数a的取值范围.17幂函数f的图象经过点(,2),点在幂函数g的图象上,(1)求f,g的解析式.(2)x为何值时f>g,x为何值时f<g?18已知幂函数f(x)=(m2-m-1)·x-5m-3在(0,+∞)上是增函数,又g(x)=lo(a>1).(1)求函数g(x)的解析式.(2)当x∈(t,a)时,g(x)的值域为(1,+∞),试求a与t的值.参考答案与解析1【解析】选C.由幂函数所具有的特征可知,选项A,B,D中x的系数不是1;故只有选项C中y==x-1符合幂函数的特征.2【解析】选D.由题意得解得m=1.3【解析】选C.y=x-2在区间上单调递减,所以x=时,取得最大值为4.4【解析】y=x-2在区间上单调递减,所以x=2时,取得最小值为,当x=时,取得最大值为4.故最大值和最小值的和为.5【解析】选C.选项A中函数的定义域为[0,+∞),选项B,D中函数的定义域均为(-∞,0)∪(0,+∞).6【解析】选C.因为y=|x为偶函数,所以排除选项A,B.又n>9,所以<1.由幂函数在(0,+∞)内幂指数小于1的图象可知,只有选项C符合题意.7【解析】选B.函数y=,y=x3,y=在各自定义域上均是增函数,y=x2在(-∞,0)上是减函数. 8【解析】选B.函数y=x4是过点(0,0),(1,1)的偶函数,故B正确;函数y=x-2不过点(0,0),故C 不正确;函数y=,y=是奇函数,故A,D不正确.9【解析】选C.当a<0时,函数y=ax-在R上是减函数,此时y=x a在(0,+∞)上也是减函数,同时为减的只有D选项,而函数y=ax-与y轴相交于点,此点在y轴的正半轴上,故D选项不适合.当a>0时,函数y=ax-在R上是增函数,与y轴相交于点,此点在y轴的负半轴上,只有A,C适合,此时函数y=x a在(0,+∞)上是增函数,进一步判断只有C适合.10【解析】因为幂函数f(x)过点,所以=2α,所以α=-1,所以f(x)=x-1=,所以函数f(x)的定义域是(-∞,0)∪(0,+∞).答案:(-∞,0)∪(0,+∞)11【解析】由已知y=a是幂函数,得a=1,所以y=,所以y≥0,故该函数的值域为[0,+∞).答案:[0,+∞)3,12【解析】依题意设f(x)=xα,则有=3,得α=log2则f(x)=,于是f====.答案:13【解析】因为y=在x∈(0,+∞)上递增,所以>,即a>c,因为y=在x∈(-∞,+∞)上递减,所以>,即c>b,所以a>c>b.答案:a>c>b14【解析】因为函数的图象与x轴,y轴都无交点,所以m2-1<0,解得-1<m<1;因为图象关于原点对称,且m∈Z,所以m=0,所以f=x-1.答案:f=x-115【解析】(1)由于函数y=x0.1在第一象限内单调递增,又因为1.1<1.2,所以1.10.1<1.20.1.(2)由于函数y=x-0.2在第一象限内单调递减,又因为0.24<0.25,所以0.24-0.2>0.25-0.2.(3)首先比较指数相同的两个数的大小,由于函数y=x0.3在第一象限内单调递增,而0.2<0.3,所以0.20.3<0.30.3.再比较同底数的两个数的大小,由于函数y=0.3x在定义域内单调递减,而0.2<0.3,所以0.30.3<0.30.2.所以0.20.3<0.30.3<0.30.2.16【解析】因为幂函数y=x3-p(p∈N*)的图象关于y轴对称,所以函数y=x3-p是偶函数.又y=x3-p在(0,+∞)上为增函数,所以3-p是偶数且3-p>0.因为p∈N*,所以p=1,所以不等式(a+1<(3-2a化为:(a+1<(3-2a.因为函数y=是[0,+∞)上的增函数,所以⇒⇒-1≤a<,故实数a的取值范围为.17【解析】(1)设f=xα,则()α=2,所以α=2,所以f=x2.设g=xβ,则(-2)β=,所以β=-2,所以g=x-2(x≠0).(2)从图象可知,当x>1或x<-1时,f>g;当-1<x<0或0<x<1时,f<g.18【解析】(1)因为f(x)是幂函数,且在(0,+∞)上是增函数,所以解得m=-1,所以g(x)=loga.(2)由>0可解得x<-1或x>1,所以g(x)的定义域是(-∞,-1)∪(1,+∞).又a>1,x∈(t,a),可得t≥1,设x1,x2∈(1,+∞),且x1<x2,于是x2-x1>0,x1-1>0,x2-1>0,所以-=>0, 所以>.由a>1,有loga >loga,即g(x)在(1,+∞)上是减函数.又g(x)的值域是(1,+∞),所以得g(a)=loga=1,可化为=a, 解得a=1±,因为a>1,所以a=1+,综上,a=1+,t=1.。
高中数学必修1幂函数试题月考卷一、选择题(每题1分,共5分)1. 下列函数中,哪一个不是幂函数?A. y = x²B. y = x³C. y = 2xD. y = x¹/²2. 当x>0时,函数y=x^α是增函数,则α的取值范围是?A. α>0B. α<0C. α=0D. α≠03. 幂函数y=x^α的图象在第一象限,则α的取值范围是?A. α>0B. α<0C. α=0D. α≠04. 已知幂函数y=x^α在区间(0,+∞)上是减函数,则α的值是?A. α<0B. α=0C. α>0D. α=15. 若幂函数y=x^α在区间(∞,0)上单调递增,则α的值是?A. α>0B. α<0C. α=0D. α=1二、判断题(每题1分,共5分)1. 所有幂函数的图象都过原点。
()2. 幂函数的图象一定关于y轴对称。
()3. 当α为负数时,幂函数的图象在第一象限。
()4. 幂函数y=x^α中,当α为正偶数时,函数为偶函数。
()5. 幂函数y=x^α中,当α为正奇数时,函数为奇函数。
()三、填空题(每题1分,共5分)1. 幂函数y=x^α的图象在第二象限,则α的取值范围是______。
2. 当α=______时,幂函数y=x^α为常数函数。
3. 幂函数y=x^α在区间(∞,0)上单调递减,则α的取值范围是______。
4. 若幂函数y=x^α的图象关于y轴对称,则α的值是______。
5. 幂函数y=x^α的图象在第一、三象限,则α的取值范围是______。
四、简答题(每题2分,共10分)1. 简述幂函数的定义。
2. 幂函数y=x^α的图象可能经过哪些象限?3. 请举例说明什么是偶函数。
4. 请举例说明什么是奇函数。
5. 简述幂函数的性质。
五、应用题(每题2分,共10分)1. 已知幂函数y=x^α,当x=2时,y=8,求α的值。
高中数学幂函数的定义练习及答案题型一:幂函数的定义【例1】 下列所给出的函数中,是幂函数的是( )A .3x y -=B .3-=x yC .32x y =D .13-=x y【考点】幂函数的定义 【难度】1星【题型】选择【关键词】无【解析】 形如(01)x y a a a =>≠且的函数叫做幂函数,答案为B .【答案】B【例2】 11.函数的定义域是 .【考点】幂函数的定义 【难度】1星【题型】填空【关键词】无 【解析】【答案】【例3】 如果幂函数()f x x α=的图象经过点,则(4)f 的值等于( ). A. 16 B. 2 C. 116 D. 12【考点】幂函数的定义 【难度】1星 【题型】选择 【关键词】无 【解析】 【答案】D【例4】 幂函数()y f x =的图象过点1(4,)2,则(8)f 的值为 .【考点】幂函数的定义 【难度】1星 【题型】填空 【关键词】无 【解析】典例分析【例5】 下列幂函数中过点(0,0),(1,1)的偶函数是( ).A.12y x = B. 4y x = C. 2y x -= D.13y x =【考点】幂函数的定义 【难度】1星【题型】选择【关键词】无 【解析】 【答案】B【例6】 下列命题中正确的是( )A .当0=α时函数αx y =的图象是一条直线B .幂函数的图象都经过(0,0)和(1,1)点C .若幂函数αx y =是奇函数,则αx y =是定义域上的增函数D .幂函数的图象不可能出现在第四象限【考点】幂函数的定义 【难度】2星 【题型】选择【关键词】无【解析】 A 错,当0α=时函数y x α=的图象是一条直线(去掉点(0,1));B 错,如幂函数1y x -=的图象不过点(0,0);C 错,如幂函数1y x -=在定义域上不是增函数;D 正确,当0x >时,0x α>.【答案】D【例7】 函数2221(1)mm y m m x --=--是幂函数,求m 的值.【考点】幂函数的定义 【难度】2星 【题型】解答【关键词】无 【解析】 幂函数需要保证系数为1,同时指数为有理数,从此两个条件入手,可以得到关于m 的等式和不等式,从而解出m 的值. ∵2221(1)mm y m m x --=--是幂函数,∴函数可以写成如下形式a y x =(a 是有理数) ∴211m m --=,解得121,2m m =-= 当11m =-时,211212m m Q --=∈22m =时,222211m m Q --=-∈∴m 的值域为-1或2.【点评】本题为幂函数的基本题目,注意不要忘了检验a 是有理数. 【答案】-1或2【例8】 求函数1302(3)y x x x -=+--的定义域.【考点】幂函数的定义 【难度】2星 【题型】解答 【关键词】无 【解析】 这是几个幂函数的复合函数,求复合函数的定义域需要保证每一个函数都有意义,即分母不为0、被开方数大于等于0.使函数有意义,则x 必须满足0030x x x ≥⎧⎪≠⎨⎪-≠⎩,解得:0x >且3x ≠即函数的定义域为{|0,3}x x x >≠且.【答案】{|0,3}x x x >≠且【例9】 函数1224(42)(1)y mx x m m mx -=++++-+的定义域是全体实数,则实数m 的取值范围是( ).A.12),B.1)+,∞ C.(22)-,D.(11--+ 【考点】幂函数的定义【难度】2星【题型】选择【关键词】无【解析】 要使函数1224(42)(1)y mx x m m mx -=++++-+的定义域是全体实数,可转化为2420mx x m +++>对一切实数都成立,即0m >且244(2)0m m ∆=-+<.解得1m >.故选(B) 【答案】B【例10】 讨论幂函数a y x =(a 为有理数)的定义域. 【考点】幂函数的定义 【难度】2星【题型】解答【关键词】无【解析】 (1)若*a N ∈,则x ∈R ,这是函数的定义域为R .(2)若a ∈{负整数} {0}U ,则(,0)(0,)x ∈-∞+∞U ,这时函数的定义域是(,0)(0,)-∞+∞U (3)若na m=*(,,,)m n N m n ∈且互质,则: ①m 是偶数,x R -∈,这是函数的定义域是R -; ②m 是奇数,x R ∈,这时函数的定义域为R(4)若na m=-*(,,,)m n N m n ∈且互质,则:①m 是偶数,x R +∈,这是函数的定义域是R +;②m 是奇数,(,0)(0,)x ∈-∞⋃+∞,这时函数的定义域是(,0)(0,)-∞⋃+∞.【答案】(1)若*a N ∈,则x ∈R ,这是函数的定义域为R .(2)若a ∈{负整数} {0}U ,则(,0)(0,)x ∈-∞+∞U ,这时函数的定义域是(,0)(0,)-∞+∞U(3)若na m=*(,,,)m n N m n ∈且互质,则: ①m 是偶数,x R -∈,这是函数的定义域是R -; ②m 是奇数,x R ∈,这时函数的定义域为R(4)若na m=-*(,,,)m n N m n ∈且互质,则:①m 是偶数,x R +∈,这是函数的定义域是R +;②m 是奇数,(,0)(0,)x ∈-∞⋃+∞,这时函数的定义域是(,0)(0,)-∞⋃+∞.【例11】 已知幂函数6()m y x m Z -=∈与2()m y x m Z -=∈的图象都与x 、y 轴都没有公共点,且2()m y x m Z -=∈的图象关于y 轴对称,求m 的值.【考点】幂函数的定义 【难度】2星 【题型】解答【关键词】无【解析】 ∵ 幂函数图象与x 、y 轴都没有公共点,∴ 6020m m -<⎧⎨-<⎩,解得26m <<.又 ∵ 2()m y x m Z -=∈的图象关于y 轴对称, ∴ 2m -为偶数,即得4m =.【答案】4m =【例12】 幂函数273235()(1)t t f x t t x +-=-+是偶函数,且在(0,)+∞上为增函数,求函数解析式.【考点】幂函数的定义 【难度】2星【题型】解答【关键词】无【解析】 ∵ ()f x 是幂函数, ∴ 311t t -+=,解得1,10t =-或.当0t =时,75()f x x =是奇函数,不合题意;当1t =-时;25()f x x =是偶函数,在(0,)+∞上为增函数; 当1t =时;85()f x x =是偶函数,在(0,)+∞上为增函数. 所以,25()f x x =或85()f x x =.【答案】25()f x x =或85()f x x =.【例13】 已知幂函数223()()mm f x x m Z --=∈ 的图形与x 轴对称,y 轴无交点,且关于y 轴对称,试确定的解析式.【考点】幂函数的定义 【难度】2星【题型】解答【关键词】无【解析】 由()22230232m m m m n n N m Z ⎧--≤⎪--∈∈⎨⎪∈⎩得113m =-,, 1m =-和3时解析式为()0f x x =,1m =是解析式为()4f x x -=【答案】()4f x x -=题型二:幂函数的性质与应用【例14】 下列函数在区间(0,3)上是增函数的是( ).A. 1y x =B. 12y x = C. 1()3x y = D. 2215y x x =--【考点】幂函数的性质与应用 【难度】1星 【题型】选择【关键词】无 【解析】 【答案】B【例15】 下列函数中既是偶函数又是(,0)-∞上是增函数的是( )A .43y x = B .32y x = C .2y x -= D .14y x-=【考点】幂函数的性质与应用 【难度】1星 【题型】选择 【关键词】无 【解析】 A 、D 中的函数为偶函数,但A 中函数在(,0)-∞为减函数.【答案】C【例16】 942--=a ax y 是偶函数,且在),0(+∞是减函数,则整数a 的值是 .【考点】幂函数的性质与应用 【难度】1星【题型】填空【关键词】无 【解析】【答案】5;【例17】 比较下列各组中两个值大小(1)6110.6与6110.7(2)5533(0.88)(0.89).--与【考点】幂函数的性质与应用 【难度】1星 【题型】解答【关键词】无【解析】 (1)∵函数611y x =在(0,)+∞上是增函数且00.60.7<<<+∞∴6611110.60.7<(2)函数53y x =在(0,)+∞上增函数且89.088.00<< ∵55330.880.89<∴55330.880.89->-,即5533(0.88)(0.89).-<-【答案】(1)6611110.60.7<(2)5533(0.88)(0.89).-<-【例18】 幂函数(1)knmy x-=(,,*,,m n k N m n ∈互质)图象在一、二象限,不过原点,则n m k ,,的奇偶性为 .【考点】幂函数的性质与应用 【难度】2星 【题型】填空【关键词】无 【解析】【答案】k m ,为奇数,n 是偶数;【例19】 求证:函数3x y =在R 上为奇函数且为增函数. 【考点】幂函数的性质与应用 【难度】2星【题型】解答【关键词】无 【解析】【答案】显然)()()(33x f x x x f -=-=-=-,奇函数;令21x x <,则))(()()(22212121323121x x x x x x x x x f x f ++-=-=-, 其中,显然021<-x x ,222121x x x x ++=2222143)21(x x x ++,由于0)21(221≥+x x ,04322≥x ,且不能同时为0,否则021==x x ,故043)21(22221>++x x x .从而0)()(21<-x f x f . 所以该函数为增函数.【例20】 设120.7a =,120.8b =,c 3log 0.7=,则( ).A. c <b <aB. c <a <bC. a <b <cD. b <a <c 【考点】幂函数的性质与应用 【难度】2星 【题型】选择 【关键词】无 【解析】 【答案】B【例21】 比较下列各组数的大小: 32(2)a + 32a ; 223(5)a -+ 235-; 0.50.4 0.40.5.【考点】幂函数的性质与应用 【难度】2星 【题型】填空【关键词】无 【解析】【答案】>,≤, <,【例22】 (1)若0a <,比较12,(),0.22aa a 的大小;(2)若10a -<<,比较1333,,a a a 的大小.【考点】幂函数的性质与应用 【难度】2星 【题型】解答 【关键词】无 【解析】 (1)当0a <时,幂函数a y x =在(0,)+∞上单调减,∵10.222<<,∴12()0.22a a a <<. (2)当10a -<<时,13330,0,0aa a ><<, 指数函数()x y a =-在(0,)+∞上单调减,∵133>,∴1330()()a a <-<-,∴ 1330a a >>, ∴ 1333a a a >>【答案】(1)12()0.22aa a <<(2)1333a a a >>【例23】 函数2-=x y 在区间]2,21[上的最大值是( )A .41 B .1- C .4D .4-【考点】幂函数的性质与应用 【难度】1星 【题型】选择 【关键词】无【解析】 函数2y x -=在区间1[,2]2上单调减,当12x =时,max 4y =.【答案】C【例24】 函数2422-+=x x y 的单调递减区间是【考点】幂函数的性质与应用 【难度】2星【题型】填空【关键词】无【解析】 由22240x x +-≥得:46x x ≥≤-或,∵ 函数12y t =在[0,)+∞上为增函数,函数2224t x x =+-在(,6]-∞上为减函数,故所给函数的单调减区间为(,6]-∞-.【答案】(,6]-∞-【例25】 函数R x x x y ∈=|,|,满足( )A .是奇函数又是减函数B .是偶函数又是增函数C .是奇函数又是增函数D .是偶函数又是减函数【考点】幂函数的性质与应用 【难度】2星【题型】选择【关键词】无 【解析】【答案】C【例26】 已知幂函数()y f x =的图象过点(27,3),试讨论其单调性. 【考点】幂函数的性质与应用 【难度】2星【题型】解答【关键词】无【解析】 设y x α=,代入点(27,3),得327α=,解得13α=, 所以13y x =,在R 上单调递增.【答案】R 上单调递增【例27】 对于幂函数54)(x x f =,若210x x <<,则)2(21x x f +,2)()(21x f x f +大小关系是( ) A .)2(21x x f +>2)()(21x f x f + B . )2(21x x f +<2)()(21x f x f + C . )2(21x x f +=2)()(21x f x f + D . 无法确定 【考点】幂函数的性质与应用【难度】2星【题型】选择【关键词】无 【解析】【答案】A【例28】 已知0<a <1,试比较()(),,aa a a a a a a 的大小.【考点】幂函数的性质与应用 【难度】2星 【题型】解答 【关键词】无 【解析】 本题考查的是幂函数的单调性知识,这里三个表达式的底数和幂都分别不同,所以需要转化看待,将它们化成同类幂函数进行比较.为比较a a 与()a a a 的大小,将它们看成指数相同的两个幂,由于幂函数()()01a f x x a =<<在区间[0,]+∞上是增函数,因此只须比较底数a 与a a 的大小,由于指数函数x y a = (0<a <1)为减函数,且1>a ,所以a a a <,从而()a a a a a <.比较a a 与()aa a 的大小,也可以将它们看成底数相同(都是a α)的两个幂,于是可以利用指数函数 (),01x a yb b a a ==<<是减函数,由于1>a ,得到a a a <.由于a a a <,函数x y a = (0<a <1)是减函数,因此()aa a a a >.综上,()()aa a a a a a a >>【点评】解答本题的关键都在于适当地选取一个函数,函数选得恰当,问题可以顺利地获得解决..【答案】()()aa a a a a a a >>【例29】 已知1133(1)(32)a a --+<-,求a 的取值范围.【考点】幂函数的性质与应用 【难度】2星 【题型】解答【关键词】无【解析】 13()f x x -=在(,0)-∞、(0,)+∞上是减函数,对于不同的a +1和3-2a 进行讨论,将它们等价转化到同一个单调区间..∵13(1)a -+和13(32)a --是幂函数13()f x x -=的两个函数值, 且13()f x x -=在(,0)-∞、(0,)+∞上是减函数当10,320a a +>->时,有1320a a +>->,解得2332a <<; 当10,320a a +<-<时,有3210a a -<+<,此时无解当(1)(32)0a a +-<时,有10a +<且320a ->,解得1a <-综上可知a的取值范围为23 (,1)(,)32 -∞-⋃.【答案】23(,1)(,)32-∞-⋃.【例30】若11(1)(32)m m--+<-,试求实数m的取值范围.【考点】幂函数的性质与应用【难度】2星【题型】解答【关键词】无【解析】(分类讨论):(1)10320132mmm m+>⎧⎪->⎨⎪+>-⎩,,,解得2332dm<<;(2)10320132mmm m+<⎧⎪-<⎨⎪+>-⎩,,,此时无解;(3)10320mm+<⎧⎨->⎩,,,解得1m<-.综上可得23(1)32m⎛⎫∈-- ⎪⎝⎭U,,∞.【答案】23(1)32m⎛⎫∈-- ⎪⎝⎭U,,∞【例31】若33(1)(32)m m+<-,试求实数m的取值范围.【考点】幂函数的性质与应用【难度】2星【题型】解答【关键词】无【解析】(利用单调性):由于函数3y x=在()-+,∞∞上单调递增,所以132m m+<-,解得23m<.【答案】23m<【例32】若1122(1)(32)m m+<-,试求实数m的取值范围.【考点】幂函数的性质与应用【难度】2星【题型】解答【关键词】无【解析】由图3,10320321mmm m+⎧⎪->⎨⎪->+⎩,,,,解得213m-<≤.【答案】213m-<≤【例33】若44(1)(32)m m+<-,试求实数m的取值范围.【考点】幂函数的性质与应用【难度】2星【题型】解答【关键词】无【解析】作出幂函数4y x=的图象如图4.由图象知此函数在(0)(0)-+U,,∞∞上不具有单调性,若分类讨论步骤较繁,把问题转化到一个单调区间上是关键.考虑4α=时,44x x=.于是有44(1)(32)m m+<-,即44132m m+<-..又∵幂函数4y x=在(0)+,∞上单调递增,∴132m m+<-,解得23m<,或m>4.【答案】23m<,或m>4【例34】已知函数2()f x x=,设函数()[()](21)()1g x qf f x q f x=-+-+,问是否存在实数(0)q q<,使得()g x在区间(]4--,∞是减函数,且在区间(40)-,上是增函数?若存在,请求出来;若不存在,请说明理由.【考点】幂函数的性质与应用【难度】3星【题型】解答【关键词】无【解析】∵2()f x x=,则42()(21)1g x qx q x=-+-+.假设存在实数(0)q q<,使得()g x满足题设条件,设12x x<,则4242121122()()(21)(21)g x g x qx q x qx q x-=-+-+--22122112()()[()(21)]x x x x q x x q =+-+--.若(]124x x ∈--,,∞,易知120x x +<,210x x ->,要使()g x 在(]4--,∞上是减函数,则应有2212()(21)0q x x q +--<恒成立.∵14x <-,24x -≤,∴221232x x +>.而0q <, ∴2212()32q x x q +<.. 从而要使2212()21q x x q +<-恒成立,则有2132q q -≥,即130q -≤. 若12(40)x x ∈-,,,易知1221()()0x x x x +-<,要使()f x 在(40)-,上是增函数,则应有2212()(21)0q x x q +-->恒成立.∵140x -<<,240x -<<,∴221232x x +<,而0q <,∴2212()32q x x q +>. 要使2212()21q x x q +>-恒成立,则必有2132q q -≤,即130q -≥. 综上可知,存在实数130q =-,使得()g x 在(]4-∞-,上是减函数,且在(40)-,上是增函数.【答案】存在,130q =-【例35】 由于对某种商品开始收税,使其定价比原定价上涨x 成(即上涨率为10x),涨价后,商品卖出个数减少bx 成,税率是新定价的a 成,这里a,b 均为正常数,且a <10,设售货款扣除税款后,剩余y 元,要使y 最大,求x 的值.【考点】幂函数的性质与应用 【难度】3星【题型】解答【关键词】无【解析】 设原定价A 元,卖出B 个,则现在定价为A (110x+), 现在卖出个数为110bx B ⎛⎫- ⎪⎝⎭,现在售货金额为111110101010x bx x bx A B AB ⎛⎫⎛⎫⎛⎫⎛⎫+-=+- ⎪ ⎪ ⎪⎪⎝⎭⎝⎭⎝⎭⎝⎭,应交税款为11101010x bx a AB ⎛⎫⎛⎫+-⋅ ⎪⎪⎝⎭⎝⎭,剩余款为21111111010101010010x bx a a b b y AB AB x x -⎛⎫⎛⎫⎛⎫⎛⎫⎛⎫=+-⋅-=--++ ⎪⎪ ⎪ ⎪⎪⎝⎭⎝⎭⎝⎭⎝⎭⎝⎭, 所以5(1)b x b -=时y 最大 要使y 最大,x 的值为5(1)b x b-=.【答案】5(1)b x b-=题型三:幂函数的图像【例36】 函数3x y =和31x y =图象满足( )A .关于原点对称B .关于x 轴对称C .关于y 轴对称D .关于直线x y =对称【考点】幂函数的图像 【难度】1星【题型】选择【关键词】无 【解析】【答案】D【例37】 函数43y x =的图象是( )【考点】幂函数的图像 【难度】1星【题型】选择【关键词】无 【解析】 【答案】A【例38】 幂函数m y x =与n y x =在第一象限内的图象如图所示,则( ).A .101n m -<<<<B .1,01n m <-<<C .10,1n m -<<>D .1,1n m <-> 【考点】幂函数的图像 【难度】2星 【题型】选择 【关键词】无 【解析】 由幂函数图象在第一象限内的分布规律,观察第一象限内直线1x =的右侧,图象由下至上,依次是n y x =,1y x -=,0y x =,m y x =,1y x =,所以有101n m <-<<<. 选B.点评:观察第一象限内直线1x =的右侧,结合所记忆的分布规律. 注意比较两个隐含的图象1y x =与0y x =.【答案】B.【例39】 【答案】如图1—9所示,幂函数αx y =在第一象限的图象,比较1,,,,,04321αααα的大小( )A .102431<<<<<ααααB .104321<<<<<ααααC .134210αααα<<<<<D .142310αααα<<<<<【考点】幂函数的图像 【难度】2星【题型】选择【关键词】无 【解析】 【答案】D【例40】 下图为幂函数y x α=在第一象限的图象,则1234,,,αααα按由小到大的顺序排列为 。
【金版学案】2015-2016高中数学 幂函数的图像、性质与应用练习 新人教A 版必修1基础梳理1.形如y =x α(α∈R)的函数叫做________,其中α为常数,只研究α为有理数的情形.例如:函数y =x 2,y =x 4的幂函数,而函数y =2x 2不是幂函数.2.幂函数y =x ,y =x 12,y =x 2,y =x -1,y =x 3的图象,如下图所示.3.幂函数的性质.(1)过定点:y =x α恒过定点______.当α>0时,所有幂函数都过定点____________.(2)单调性:当α>0时,y =x α在(0,+∞)上单调____;当α<0时,y =x α在(0,+∞)上单调____.(3)奇偶性:当α为整数且为奇数时,y =x α为______;当α为整数且为偶数时,y =x α为______;当x 为分数时可将y =x α化为根式再判断. 基础梳理1.幂函数 3.(1)(1,1) (0,0)和(1,1) (2)递增 递减 (3)奇函数 偶函数,思考应用1.我们知道,形如y =x α(其中幂指数α是常数)的函数叫幂函数,而形如y =a x(其中a 是大于0且不为1的常数)的函数叫指数函数,那么指数函数与幂函数的区别在哪里?解析:这两个函数都具有幂指数m n 的形式,但幂函数y =x α中,自变量在底数的位置,而指数函数y =a x中,自变量在幂指数的位置,这两个函数的自变量所在的位置不同.2.从幂函数的形式:y =x α来看,它的表达式中只含有一个常数字母,确定一个待定系数通常只要一个条件.若已知幂函数y =x α过某个定点,你能确定这个幂函数吗?解析:一般来说,由幂函数y =x α所经过的定点,可以确定这个幂函数.但若只告诉幂函数过原点,那我们只能判断幂指数α>0;若只告诉幂函数过点(1,1),那告诉的这个点没有任何作用,因为所有的幂函数都过点(1,1);若只告诉幂函数过点(-1,1), 那我们只能判断这个幂指数的图象关于y 轴对称,这个幂指数是偶函数.除这三个点之外,由幂函数所经过的定点,可以确定这个幂函数的表达式.3.如何根据幂函数的图象确定幂指数的大小?解析:作直线x =t (t >1),它与各幂函数图象相交,交点在第一象限,按交点从下到上的顺序,幂指数按从小到大的顺序排列.自测自评1.下列函数中,定义域是R 的是( )A .y =x -2B .y =x 12C .y =x 2D .y =x -12.下列四类函数中,具有性质“对任意的x >0,y >0,函数f (x )满足f (x +y )=f (x )f (y )”的是( )A .幂函数B .对数函数C .指数函数D .正比例函数3.已知幂函数f (x )的图象经过点(2,2),则f (4)=____ 自测自评1.解析:函数y =x -2,y =x -1的定义域为{x |x ∈R,x ≠0},函数y =x 12的定义域为{x |x ≥0},函数y =x 2的定义域为R.故选C.答案:C2.解析:本题考查幂的运算性质f (x )f (y )=a x a y =a x +y=f (x +y ). 答案:C3.解析:设f (x )=x n ,则2=2n,解得n =12.∴f (x )=x 12,f (4)=2.答案:2►基础达标1.下列所给出的函数中,属于幂函数的是( )A .y =-x 3B .y =x -3C .y =2x 3D .y =x 3-1 1.解析:由幂函数定义知选B. 答案:B2.已知函数:①y =x x ,②y =-x 2,③y =x 0,④y =2x ,⑤y =x 2+1,⑥y =x ,其中幂函数的个数是( )A .2个B .3个C .4个D .5个2.解析:由幂函数定义知③⑥是幂函数.故选A. 答案:A3.函数y =x -2在区间⎣⎢⎡⎦⎥⎤12,2上的最大值是( )3.解析:∵y =x -2在⎣⎢⎡⎦⎥⎤12,2上是单调递减函数,∴当x =12时,y 有最大值4.答案:C A.14 B .-14C .4D .-44.利用幂函数的性质,比较下列各题中两个值的大小:①2.334____2.434; ②0.3165____0.3565;③(2)-32____(3)-32; ④1.1-12____0.9-12.4.①< ②< ③> ④<5.下图是幂函数y =x m 和y =x n在第一象限内的图象,则( )A .-1<n <0<m <1B .n <-1,0<m <1C .-1<n <0,m >1D .n <-1,m >15.解析:利用幂函数图象的性质及图象的关系知n <-1,0<m <1.故选B. 答案:B6.(2013·某某卷)函数f (x )=x -12的大致图象是( )6.解析:∵y =x -12定义域为(0,+∞),故选A.答案:A7.求下列幂函数的定义域:(1)y =x 3;(2)y =x 13;(3)y =x 12;(4)y =x -2;(5)y =x -12.7.分析:含分数指数幂的要化归为根式的形式.解析:(1)y =x 3,定义域是R.(2)y =x 13=3x ,定义域是R.(3)y =x 12=x ,定义域是[0,+∞).(4)y =x -2=1x2,定义域是{x |x ∈R,且x ≠0}.(5)y =x -12=1x,定义域是(0,+∞).点评:考查函数的定义域要全面,如分母不为零,零次幂的底数不为零,偶次根号下不小于零,等等►巩固提高8.给出两个结论:(1)当α=0时,幂函数y =x α的图象是一条直线;(2)幂函数y =x α的图象都经过(0,0)和(1,1)点,则正确的判断是( ) A .(1)对(2)错 B .(1)错(2)对 C .(1)(2)都错 D .(1)(2)都对 8.C 9.C 4,C 2,C 3,C 19.如图所示的曲线是幂函数y =x α在第一象限内的图象,已知α分别取-1,1,12,2四个值,则相应图象依次为:____________.10.设f (x )=(a -3)x (a +1)(a -2),当a 为何值时,(1)f (x )为常数函数? (2)f (x )为幂函数? (3)f (x )为正比例函数?10.(1){3,-1,2} (2){4} (3)⎩⎪⎨⎪⎧⎭⎪⎬⎪⎫1-132,1+1321.注意幂函数与指数函数的区别,幂函数中底数是自变量,指数函数中指数是自变量.2.将幂指式x nm 写成m x n可以看出x 的取值X 围.3.比较幂值的大小常利用相关函数的单调性.。
必修一幂函数专项练习题1. 下列命题中正确的是( )A. 当α=0时,幂函数y =x α的图象是一条直线B. 幂函数的图象都经过(0,0)、(1,1)两点C. 若幂函数y =x α的图象关于原点对称,则在定义域内y 随x 的增大而增大D. 幂函数的图象不可能在第四象限 2. 幂函数y =x 43,y =x 31,y =x -43的定义域分别是M 、N 、P ,则( )A. M ⊂N ⊂PB. N ⊂M ⊂PC. M ⊂P ⊂ND. A 、B 、C 都不对3. (湖南高考,文)函数f (x )=x 21-的定义域是( ) A. (-∞,0] B. [0,+∞) C. (-∞,0) D. (-∞,+∞)4. (唐山十县联考)函数y =(-21+x )-21的定义域是( ) A. (-∞,-1) B. (-∞,-1] C. (1,+∞) D. [1,+∞) 5. (江西高考,理)已知实数a 、b 满足等式(21)a =(31)b ,下列五个关系式: ①0<b<a ;②a<b<0;③0<a<b ;④b<a<0;⑤a =b ,其中不可能成立的有( )A. 1个B. 2个C. 3个D. 4个6. 下列函数中,是幂函数的为( ) A. y =x x B. y =3x 21 C. y =x 21+1 D. y =x 2-7. 若T1=(21)32,T 2=(51)32,T 3=(21)31,则下列关系式正确的是( ) A. T 1<T 2<T 3 B. T 3< T 1< T 2 C. T 2< T 3< T 1 D. T 2< T 1<T 38. (经典回放)对于幂函数f (x )=x 54,若0<x 1<x 2,则f (221x x +),x x f x f )()(21+的大小关系是( )A. f (221x x +)>x x f x f )()(21+ B. f (221x x +)<x x f x f )()(21+C. f (221x x +)=x x f x f )()(21+D. 无法确定9. 已知函数f (x )=x a +m 的图象经过点(1,3),又其反函数图象经过点(10,2),则f (x )的解析式为_________。
-,-,,- 若)()(12N n xx f n n∈=++,则)(x f 是( )与图像的交点坐标为 .y=设,则使幂函数的....“或③已知幂函数的图象经过点则的值等于④已知向量,则向量在向量影是已知函数若关于的方程有三个不相等的实数根,则实数的取值范围是(.幂函数的图象过点,那么函数的单调..,集合且,则实数的取值范围是f(x) =<f为偶函数,且的值,并确定的解析式;在上值域.已知幂函数)求函数设函数其中仅在处有极值,求,四值,则相应,,-,.-,,-过点,为已知函数(...为方程的解,即为方的根,即的零点,因为据零点存在性定理可得的大致区间为则使幂函数为奇函数且在若是幂函数为奇函数;,上单调递增的,;函数”且或③已知幂函数的图象经过点的值等于④已知向量,,则向量在向量方向上的投影是.”对于任意”③由幂函数的图象经过点(),所以,所以幂函数为,所以④向量方向上的投影是,是已知函数若关于的方程的取值范围是(..线的斜率联立解得,分析图像知,>0,再由图像分析知D答案:D幂函数的图象过点,那么函数的单调递增区.因为函数过点,所以,故函数解析式为,单调增区间为:,集合,则实数的取值范围是f(x) =f(x) >1;则<f.所有正确命题的序号是已知函数.的值,并确定)若,求上值域.) .已知幂函数为偶函数,且在区间)求函数)设函数,其中仅在处有极值,求)f(x)=(2,(2,=即=m=1,f(x)=.∴)1≤a<。
幂函数(简答题:一般)1、已知幂函数的图象经过点.(1)求函数的解析式,并画出图象;(2)证明:函数在上是减函数.2、已知幂函数为偶函数.(1)求的解析式;(2)若函数在区间(2,3)上为单调函数,求实数的取值范围.3、比较大小:1.20.5,1.20.6,0.51.2,0.61.2.4、若,求a的取值范围.5、已知幂函数f(x)=x (m∈N*).(1)试确定该函数的定义域,并指明该函数在其定义域上的单调性;(2)若该函数还经过点(2,),试确定m的值,并求满足条件f(2-a)>f(a-1)的实数a的取值范围.6、点(,2)与点分别在幂函数f(x),g(x)的图象上,问:当x为何值时,有:①f(x)>g(x)?②f(x)=g(x)?③f(x)<g(x)?7、计算下列各式:(1)(2)8、已知幂函数为偶函数.(1)求的解析式;(2)若函数在区间上为单调函数,求实数的取值范围.9、已知,且。
求满足的实数的取值范围。
10、已知函数的图象与x、y轴都无公共点,且关于y轴对称,求p的值,并画出图象。
11、已知函数为幂函数,且为奇函数.(1)求的值;(2)求函数在的值域.12、已知幂函数在上是增函数,又(),(1)求函数的解析式;(2)当时,的值域为,试求与的值.13、已知幂函数为偶函数,且在区间上是单调递增函数。
(Ⅰ)求函数的解析式;(Ⅱ)设,若能取遍内的所有实数,求实数的取值范围.14、已知幂函数f(x)=,其中−2<m<2,m∈Z,满足:(1)f(x)是区间(0,+∞)上的增函数;(2)对任意的x∈R,都有f(−x) +f(x)=0.求同时满足条件(1)、(2)的幂函数f(x)的解析式,并求x∈[0,3]时,f(x)的值域.15、已知点在幂函数f(x)的图象上,点在幂函数g(x)的图象上,问当x为何值时,(1)f(x)>g(x);(2)f(x)=g(x);(3)f(x)<g(x).16、已知函数f(x)=−且f(4)=.(1)求的值;(2)判定f(x)的奇偶性;(3)判断f(x)在(0,+∞)上的单调性,并给予证明.17、已知幂函数为偶函数.(1)求的解析式;(2)若函数在区间上为单调函数,求实数的取值范围.18、如图,幂函数的图象关于轴对称,且与轴,轴均无交点,求此函数的解析式及不等式的解集.19、已知函数()是偶函数,且(1)求的解析式;(2)若(,)在区间上为增函数,求实数的取值范围20、已知(是常数)为幂函数,且在第一象限单调递增.(1)求的表达式;(2)讨论函数在上的单调性,并证之.21、已知函数y= (n∈Z)的图像与两坐标轴都无公共点,且其图像关于y轴对称,求n的值,并画出函数图像.22、(本题满分12分)已知幂函数在上单调递增,函数.(1)求的值;(2)当时,记、的值域分别为集合、,若,求实数的取值范围.23、(本小题满分10分)已知幂函数在上单调递增,函数(1)求的值;(2)当时,记的值域分别为,若,求实数的取值范围.24、已知命题P:若幂函数过点,实数满足。
幂函数(填空题:容易)1、若<,则a的取值范围是.2、幂函数的图像经过点,则的值为 .3、幂函数的图像经过点(2,4),则=4、已知幂函数的图象过点,则k+α=_______.5、已知幂函数经过点,则_________.6、已知幂函数的图象过点,则__________.7、已知幂函数的图象经过点,则__________.8、若幂函数的图象经过点,则的值是________;9、已知幂函数的图象过点,则__________.10、已知幂函数的图象经过点,则__________.11、与的大小关系是________________12、已知幂函数的图象经过点(2,),则这个函数的解析式为________13、已知幂函数的图像经过点,则的值为__________.14、幂函数的图像经过点,则的解析式是____________.15、已知幂函数的图像经过点,则的值为__________.16、已知幂函数的图像经过点,则实数___________.17、若幂函数的图象不经过原点,则的值是__________.18、若真函数的图像过点,则________.19、若幂函数在区间上是增函数,则实数的值为_______20、已知幂函数的图象过点,则__________.21、幂函数的图象经过点(4,2),那么的值是22、已知幂函数的图象过点,则它的解析式为.23、已知幂函数的图象过点,则__________.24、已知幂函数的图像过点,则.25、已知幂函数的图像经过点,则实数___________.26、若幂函数的图象经过点,则.27、幂函数过点,则_____________.28、已知幂函数y=f(x)的图象过点= .29、已知幂函数为奇函数,且在上是减函数,则.30、已知幂函数的图象过,则.31、已知幂函数的图象过点,则为.32、已知幂函数f(x)的图象经过(3,27),则f(2)=________.33、幂函数的图象经过点,则的值为34、已知幂函数的图象过点,则=35、已知函数f(x)=,其中a∈R.若对任意的非零实数x1,存在唯一的非零实数x2(x2≠x1),使得f(x2)=f(x1)成立,则实数k的取值范围是________.36、设,则使函数的定义域为且为奇函数的所有的值为 .37、幂函数的图像经过点,则的值为 .38、已知幂函数的图象过点,则.39、若幂函数的图象经过点,则的值是 .40、幂函数的图像经过,则= ________.41、已知幂函数的图像经过点,则的值为__________.42、已知幂函数的图象过点 .43、当α∈时,幂函数y=xα的图象不可能经过第________象限.44、已知幂函数的部分对应值如图表:则不等式的解集是45、若幂函数的图像经过点,则它在A点处的切线的斜率为 .46、已知幂函数的图象过点,则= ;47、若幂函数的图象经过点(,),则该函数在(0,上是函数(只填单调性).48、幂函数满足,则曲线与直线围成的封闭图形的面积为___________.49、幂函数的图象过点,则 .50、已知幂函数过点,则的值为 ;51、幂函数的图像过点,则=_______.52、幂函数f(x)=xα(α为常数)的图象经过,则f(x)的解析式是.53、已知幂函数的图像过点,则此幂函数的解析式是_____________.54、幂函数=(m2-m-5)x2m-3 的图象在第一象限内递减,则m的值是。
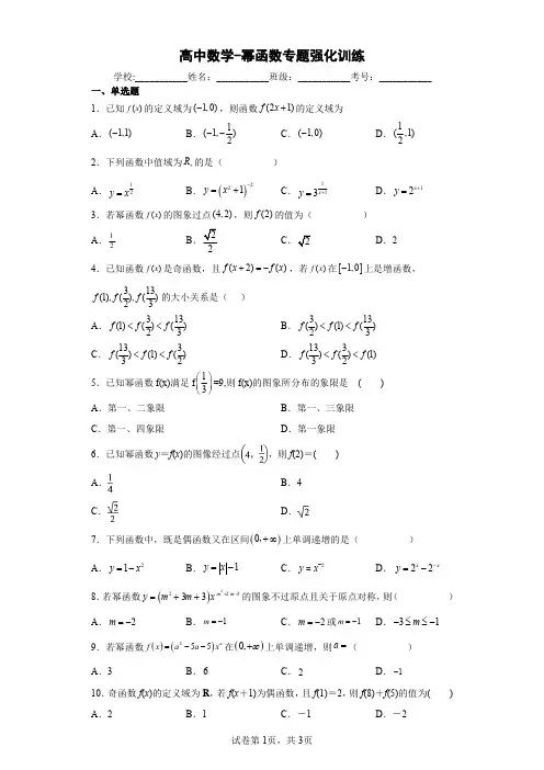
高中数学-幂函数专题强化训练学校:___________姓名:___________班级:___________考号:___________一、单选题1.已知()f x 的定义域为(1,0)-,则函数(21)f x +的定义域为A .(1,1)-B .1(1,)2--C .(1,0)-D .1(,1)22.下列函数中值域为R +的是()A .12y x =B .()221y x -=+C .113x y +=D .12x y +=3.若幂函数()f x 的图象过点(4,2),则(2)f 的值为()A .12B .22C D .24.已知函数()f x 是奇函数,且(2)()f x f x +=-,若()f x 在[]1,0-上是增函数,313(1),(),()23f f f 的大小关系是()A .313(1)()()23f f f <<B .313()(1)()23f f f <<C .133()(1)()32f f f <<D .133(()(1)32f f f <<5.已知幂函数f(x)满足f 13⎛⎫⎪⎝⎭=9,则f(x)的图象所分布的象限是()A .第一、二象限B .第一、三象限C .第一、四象限D .第一象限6.已知幂函数y =f (x )的图像经过点,则f (2)=()A .B .4C .D .7.下列函数中,既是偶函数又在区间()0+∞,上单调递增的是()A .21y x =-B .1y x =-C .2y x -=D . 22x xy -=-8.若幂函数()222333mm y m m x+-=++的图象不过原点且关于原点对称,则()A .2m =-B .1m =-C .2m =-或1m =-D .31m -≤≤-9.若幂函数()()255af x a a x =--在()0,∞+上单调递增,则=a ()A .3B .6C .2D .1-10.奇函数f (x )的定义域为R ,若f (x +1)为偶函数,且f (1)=2,则f (8)+f (5)的值为()A .2B .1C .-1D .-2二、多选题11.下列函数中,在区间()0,2上是增函数的是()A .3y x =-B .21y x =+C .1y x=-D .3y x =12.下列命题中是真命题的有A .幂函数的图象都经过点(1,1)和(0,0)B .幂函数的图象不可能过第四象限C .当0n >时,幂函数n y x =是增函数D .当0n <时,幂函数n y x =在第一象限内函数值随x 值的增大而减小13.已知幂函数()()2mf x m x =-,则()A .3m =B .定义域为[)0,∞+C .(1.5)(1.4)m m -<-D 2=三、填空题14.函数()12f x x -=的定义域为_______.15.若一个函数为幂函数,又是二次函数,则该函数的表达式为______.16.已知()f x 为幂函数,若1142f ⎛⎫= ⎪⎝⎭,则()f x =________.17.幂函数()f x x α=的图像经过点,则1()4f 的值为____.18.已知幂函数()y f x =的图象过点(,则()25f =___________.19.已知函数21()(3)m f x m x -=-是幂函数,则实数m =___________.20.已知幂函数2232(5)m m y m m x --=--在区间()0,∞+是减函数,则实数m 的值是_______.21.已知幂函数()()22nf x n n x =-在()0,∞+上单调递减,则实数n 的值为___________.22.已知()f x 为偶函数,当0x ≤时,()11x f x x e e=- ,则曲线()y f x =在点()12,处的切线方程是______.23.已知定义在R 上的奇函数()f x 和偶函数()g x 满足:()()()+xf xg x e e =是自然对数的底,则()()()()()21212222n n ng g g g f -⋅=_____________.四、解答题24.已知函数2()lg[(1)]f x x a x a =+--.(1)求函数()f x 的定义域.(2)若()f x 为偶函数,求实数a 的值.25.已知幂函数()f x 的图象过点()2,4.(1)求函数()f x 的解析式;(2)设函数()()48h x f x x =--在[],2k k +上是单调函数,求实数k 的取值范围.26.已知函数()()3log 0,16axf x a a x-=>≠-.(1)判断f(x)的奇偶性,并说明理由;(2)当0<a<1时,求函数f(x)的单调区间.27.已知函数()()20f x x mx m =->在区间[]0,2上的最小值为()g m .(1)求函数()g m 的解析式.(2)定义在()(),00,-∞⋃+∞上的函数()h x 为偶函数,且当0x >时,()()h x g x =.若()()4h t h >,求实数t 的取值范围.28.已知幂函数()232mm f x m x ⎛⎫=+ ⎪⎝⎭在()0,∞+上单调递增.(1)求m 的值;(2)设函数()()g x f x x =+,求关于a 的不等式()()21g a g a +>-的解集.参考答案:1.B 【解析】【详解】试题分析:因为函数()f x 的定义域为(1,0)-,故函数(21)f x +有意义只需-1210x <+<即可,解得1-1-2x <<,选B .考点:1、函数的定义域的概念;2、复合函数求定义域.2.D 【解析】【分析】利用指数函数或幂函数的性质,分别求出函数的值域即可.【详解】解:对A.120y x =≥,不符合;对B.22,(11)y t t x -==+≥,此时01y <≤,不符合;对C.13,(0)1ty t x ==≠+,此时0y <且1y ≠,不符合;对D.2,(1)t y t x R ==+∈,此时0y >,符合.故选D .【点睛】本题考查复合函数的值域的求法,将内层函数的值域求出并作为外层函数的定义域,难度不大.3.C 【解析】【分析】设()f x x α=,利用待定系数法求出函数解析式,再代入求值即可;【详解】解:设()f x x α=,因为幂函数()f x 的图象过点(4,2),所以42α=,解得12α=,所以12()f x x =,所以()1222f ==故选:C4.D【解析】【分析】由f(x+2)=﹣f(x),得f(x+4)=f(x),利用函数奇偶性单调性之间的关系,即可比较大小.【详解】∵f(x+2)=﹣f(x),函数f(x)是奇函数,∴f(x+2)=﹣f(x)=f(﹣x),∴函数f(x)关于x=1对称,且f(x+4)=f(x),∴函数是周期为4的周期数列.∵f(x)在[﹣1,0]上是增函数,∴f(x)在[﹣1,1]上是增函数,f(x)在[1,2]上是减函数,f(133)=f(4+13)=f(13)=f(53),∵f(x)在[1,2]上是减函数,且1<32<53,∴f(1)>f(32)>f(53),即f(133)<f(32)<f(1),故选D.【点睛】本题主要考查函数值的大小比较,利用函数的奇偶性,对称性和单调性是解决本题的关键,综合考查函数的性质,考查学生的转化意识,属于中档题.5.A【解析】【详解】设幂函数()af x x=∵1()9 3f∴1()93a=,即2a =-∴2()f x x -=∴()f x 的图象分布在第一、二象限故选A 6.C 【解析】【分析】设幂函数解析式,将点(4,12)代入,解得参数,从而得解析式,再代入2求函数值.【详解】设f (x )=xα,因为图像过点(4,12),代入解析式得α=-12,∴f (2)=122-=,故选C.【点睛】本题考查了待定系数法求幂函数解析式和求函数值等基础知识.7.B 【解析】A.利用二次函数的性质判;B.利用函数1y x =-的图象判断;C.利用幂函数的性质判断;D.利用函数奇偶性判断.【详解】A.由二次函数的单调性得21 y x =-在()0+∞,上递减,故错误;B.函数1y x =-的图象如图所示:所以函数是偶函数又在区间()0+∞,上单调递增,故正确;C.由幂函数的单调性得2y x -=在()0+∞,上递减,故错误;D.因为()()()2222x x x xf x f x ---=-=--=-,所以函数是奇函数,故错误;故选:B 8.A 【解析】根据幂函数的概念,可得2331m m ++=,进而可求出1m =-或2m =-,然后分两种情况,分别讨论函数的奇偶性,即可选出答案.【详解】根据幂函数的概念,得2331m m ++=,解得1m =-或2m =-,①若1m =-,则4y x -=,令()4f x x -=,其定义域为()(),00,-∞⋃+∞,且()()()44f x x x f x ---=-=≠-,显然幂函数为偶函数,不是奇函数,图象不关于原点对称,不符合题意,舍去;②若2m =-,则3y x -=,令()3f x x -=,其定义域为R ,且()()()33f x x x f x ---=-=-=-,即幂函数为奇函数,图象关于原点对称,符合题意.所以2m =-.故选:A.【点睛】关键点睛:利用幂函数的概念,先求出m ,再根据幂函数的性质,进分类讨论,属于基础题9.B 【解析】【分析】根据幂函数的概念可得2551a a --=,然后结合单调性可得0a >,进而可以求出结果.【详解】因为()()255af x a a x =--为幂函数,则2551a a --=,解得6a =或1a =-,又因为在()0,∞+上单调递增,则0a >,因此6a =,故选:B.10.A 【解析】【详解】∵f (x+1)为偶函数,f (x )是奇函数,∴设g (x )=f (x+1),则g (-x )=g (x ),即f (-x+1)=f (x+1),∵f (x )是奇函数,∴f (-x+1)=f (x+1)=-f (x-1),即f (x+2)=-f (x ),f (x+4)=f (x+2+2)=-f (x+2)=f (x ),f (8)=()00f =,f (5)=()12f =,所以f (8)+f (5)=2故选A点睛:本题主要考查函数值的计算,利用函数奇偶性的性质,得到函数的周期是解决本题的关键.11.BCD 【解析】【分析】根据基本初等函数的单调性可得出合适的选项.【详解】函数3y x =-在区间()0,2上是减函数,函数21y x =+、1y x=-、3y x =在区间()0,2上均为增函数.故选:BCD.12.BD 【解析】【分析】根据幂函数的图象与性质,以及合理利用举反例的方法,逐项判定,即可求解.【详解】由题意,对于A 中,例如幂函数()1f x x -=的图象不经过点(0,0),所以不正确;对于B 中,根据函数的概念,可得幂函数的图象不可能过第四象限是正确的;对于C 中,例如幂函数()23f x x =在其定义域上不是单调函数,所以不正确;对于D 中,根据幂函数的图象与性质,可得当0n <时,幂函数n y x =在第一象限内是减函数,所以是正确的.故选BD.【点睛】本题主要考查了幂函数的图象与性质的判定及应用,其中解答中熟记幂函数的图象与性质,以及合理利用举反例进行逐项判定是解答的关键,着重考查了分析问题和解答问题的能力,属于基础题.13.AC 【解析】【分析】根据()f x 为幂函数得m 可判断A ;根据幂函数的解析式可判断B ;利用单调性可判断C ;D.【详解】()f x 为幂函数,21m ∴-=,得()33,=∴=m f x x ,A 对;函数()f x 的定义域为R ,B 错误;由于()f x 在R 上为增函数,331.5 1.4,(1.5)(1.4)-<-∴-<-,C 对;()3228f ==,=,D 错误,故选:AC.14.()0,∞+【解析】将函数解析式变形为()f x=.【详解】()12f x x-= 0x >.因此,函数()12f x x -=的定义域为()0,∞+.故答案为:()0,∞+.15.2y x =【解析】【分析】设幂函数为,y x R =Îa a ,根据该函数为二次函数,即可求出α的值,进而求出结果.【详解】设幂函数为,y x R =Îa a ,又y x α=是二次函数,所以2α=,所以2y x =.故答案为:2y x =.16.12x 【解析】设函数()a f x x =,代入1142f ⎛⎫= ⎪⎝⎭求解.【详解】因为()f x 为幂函数,设()af x x =,因为1142f ⎛⎫= ⎪⎝⎭,所以1142⎛⎫= ⎪⎝⎭a,12a =.故答案为:12x .17.2【解析】【详解】因为幂函数11422y x ααα=∴=∴=-,因此可知f(14)=218.5【解析】【分析】设()y f x x α==,根据函数过点(,即可求出α的值,即可取出函数解析式,再代入计算可得;【详解】解:设()y f x x α==,因为幂函数()y f x =的图象过点(,所以()22f α==12α=,所以()12f x x =,所以()1225255f ==故答案为:519.2±【解析】根据幂函数的定义求解即可.【详解】因为21()(3)m f x m x -=-是幂函数,所以231m -=,解得2m =±,故答案为:2±20.3【解析】【分析】由幂函数的定义可构造方程求得m ,代入解析式验证,满足在()0,∞+上为减函数的即为结果.【详解】()22325m m y m m x --=-- 为幂函数251m m ∴--=,解得:2m =-或3当2m =-时,函数为8y x =,在区间()0,∞+上是增函数,不合题意当3m =时,函数为2y x -=,在区间()0,∞+上是减函数,符合题意综上所述:3m =故答案为:3【点睛】本题考查根据幂函数的定义与性质求解参数值的问题,关键是熟练掌握幂函数的定义,并能根据解析式特征确定函数的单调性.21.12-##0.5-【解析】【详解】由题意,幂函数()()22n f x n n x =-,可得221n n -=,解得1n =或12n =-,当12n =-时,函数12y x -=在区间()0,∞+上单调递减,符合题意;当1n =时,函数y x =在区间()0,∞+上单调递增,不符合题意,所以实数n 的值为12-.故答案为:12-.22.2y x=【解析】【详解】已知()f x 为偶函数,且当0x ≤时,()1x f x ex --=-,当0x >,则0x -<,()()1x f x f x e x -∴=-=+,∴()1'1x f x e -=+,∴()0'112f e =+=.∴曲线()y f x =在点()12,处的切线方程是()221y x -=-,即2y x =.答案:2y x =.23.221ee -【解析】【详解】∵()()+x f x g x e =,()f x 和()g x 分别为R 上的奇函数和偶函数,∴()()()()++x f x g x f x g x e ---=-=,∴()()22x x x xe e e ef xg x ---+==,∴(2)2()()f x f x g x =⋅,∴()()()()()()()()()()()()()2121212222112221=1212n n n n n n g g g g f g g g g f f f f --⋅⋅= 221e e =-.24.(1){|1x x <-或}x a >;(2)1a =.【解析】【详解】试题分析:(1)由()210x a x a +-->即()()10x x a +->,讨论a 和-1的大小求解即可;(2)若()f x 是偶函数,则其定义域关于原点对称,由(1)知,1a =,再检验即可.试题解析:(1)因为()210x a x a +-->即()()10x x a +->,当1a <-时,不等式的解为x a <或1x >-,所以函数()f x 的定义域为{|x x a <或1}x >-.当1a =-时,不等式的解为1x ≠-,所以函数()f x 的定义域为{|1}x x ≠-.当1a >-时,不等式的解为1x <-或x a >,所以函数()f x 的定义域为{|1x x <-或}x a >.(2)如果()f x 是偶函数,则其定义域关于原点对称,由(1)知,1a =,检验:当1a =时,定义域为{|1x x <-或1}x >关于原点对称,()()2lg 1f x x =-,()()()()22lg 11f x x lg x f x ⎡⎤-=--=-=⎣⎦,因此当1a =时,()f x 是偶函数.25.(1)2()f x x =(2)(,0][2,)-∞+∞ 【解析】【分析】(1)根据幂函数的图象过点(2,4),列方程求出α的值,写出f (x )的解析式;(2)写出函数h (x )的解析式,根据二次函数的对称轴与单调性求出k 的取值范围.【详解】解:(1)设()()f x x R αα=∈,因为()f x 的图象过点()2,4,∴(2)24f α==,∴2α=,∴2()f x x =;(2)函数22()()4848(2)12h x f x x x x x =--=--=--,对称轴为2x =;当()h x 在[],2k k +上为增函数时,2k ≥当()h x 在[],2k k +上为减函数时,22k +≤,解得0k ≤所以k 的取值范围是(,0][2,)-∞+∞ 【点睛】本题考查了幂函数的定义与应用问题,也考查了分类讨论思想,是中档题.26.(1)见解析;(2)()3,3-【解析】【分析】(1)换元,令x ﹣3=t ,可求t 的范围:﹣3<t <3,这样便得到f (t )=33at log t +-,从而得出f (x ),并求f (﹣x ),这样即可判断f (x )的奇偶性;(2)函数f (x )=33a x log x +-是由函数u=33x x+-和y=log a u 复合而成,根据a 的范围可判断y=log a u 为减函数,从而判断33x u x +=-在(﹣3,3)上单调性,并求其单调区间便可得出函数f (x )的单调区间.【详解】(1)令x ﹣3=t ,﹣3<t <3,则x=t+3;f (t )=33a t log t+-;∴()3333a x f x log x x+=--,<<;∴()()3333aa x x f x log log f x x x -+-==-=-+-;∴f (x )为奇函数;(2)令u=33x x +-=()363x x--+-=613x -+-,该函数在(﹣3,3)上为增函数;又0<a <1;∴函数log a u 为减函数;∴复合函数f (x )单调减区间为(﹣3,3).【点睛】考查换元法求函数解析式,奇函数的定义,以及根据奇偶函数的定义判断函数奇偶性的方法,复合函数的定义,对数函数的单调性,复合函数单调性的判断方法.27.(1)()2,04 442,4m m g m m m ⎧-<≤⎪=⎨⎪->⎩(2)()()4,00,4- 【解析】【分析】(1)函数的对称轴2m x =,讨论对称轴所在的区间即可求解.(2)根据已知定义在()(),00,-∞⋃+∞的函数()h x 为偶函数,再对其单调性进行研究可知()()4h t h >,即04t <<,实数t 的取值范围即可求解.【详解】(1)因为()()222024m m f x x mx x m ⎛⎫=-=--> ⎪⎝⎭,所以当04m <≤时,022m <≤,此时()224m m g m f ⎛⎫==- ⎪⎝⎭.当4m >时,函数()2224m m f x x ⎛⎫=-- ⎪⎝⎭在区间[]0,2上单调递减,所以()()242g m f m ==-.综上可知()2,04442,4m m g m m m ⎧-<≤⎪=⎨⎪->⎩.(2)因为当0x >时,()()h x g x =,所以当0x >时,()2,04442,4x x h x x x ⎧-<≤⎪=⎨⎪->⎩.易知函数()h x 在()0,+∞上单调递减,因为定义在()(),00,-∞⋃+∞上的函数()h x 为偶函数,且()()4h t h >,所以04t <<,解得40t -<<或04t <<.综上所述,实数t 的取值范围为()()4,00,4-⋃.【点睛】本题主要考查函数的性质,求二次函数在闭区间上的最值问题主要有三种类型:轴定区间定、轴动区间定、轴定区间动,不论是哪种类型,解决的关键是明确对称轴与区间的位置关系,当含有参数时,要依据对称轴与区间的位置关系进行分类讨论.28.(1)12(2)1,12⎛⎤- ⎥⎝⎦【解析】【分析】(1)根据幂函数的定义得到2312m m +=,解得12m =或2m =-,再由函数()232m m f x m x ⎛⎫=+ ⎪⎝⎭在()0,+∞上单调递增,做出取舍;(2)根据题意得到()g x 在[)0,+∞上单调递增,列出不等式组,求得结果.(1)因为()232m m f x m x ⎛⎫=+ ⎪⎝⎭为幂函数,所以2312m m +=,解得12m =或2m =-.当2m =-时,()2f x x -=在()0,+∞上单调递减,不符合题意;当12m =时,()f x =()0,+∞上单调递增,符合题意.综上,m 的值为12.(2)()f x 的定义域为[)0,+∞,且()f x 在[)0,+∞上单调递增.又因为函数y x =在[)0,+∞上单调递增,所以()g x 的定义域为[)0,+∞,且()g x 在[)0,+∞上单调递增.由()()21g a g a +>-,得20,10,21,a a a a +⎧⎪-⎨⎪+>-⎩解得112a -< 故所求不等式的解集为1,12⎛⎤- ⎥⎝⎦.。
第二章 函数2.6.2 幂函数(针对练习)针对练习针对练习一 幂函数的概念1.给出下列函数:①31y x=;①32y x =-;①42y x x =+;①y =①()21y x =-;①0.3x y =,其中是幂函数的有( ) A .1个 B .2个 C .3个 D .4个2.下列函数中,值域是R 的幂函数是( ) A .13y x = B .13xy ⎛⎫= ⎪⎝⎭C .23y x =D .23xy ⎛⎫= ⎪⎝⎭3.下列函数是幂函数的是( ) A .3y x =- B .3y x -=C .32y x = D .32y x =-4.已知幂函数y = f (x )的图像过(36, 6),则此幂函数的解析式是( ) A .13y x = B .3y x =C .12y x =D .2y x5.已知幂函数(1)y k x α=-的图象过点()2,4,则k α+等于( ) A .32B .3C .12D .4针对练习二 幂函数的图像6.下列四个图像中,函数34y x =的图像是( )A .B .C .D .7.如图是幂函数y x α=的部分图象,已知α取12,2,2-,12-这四个值,则与曲线1C ,2C ,3C ,4C 相应的α依次为( )A .2,12,12-,2- B .2-,12-,12,2 C .12-,2,2-,12 D .2,12,2-,12-8.如图,①①①①对应四个幂函数的图像,其中①对应的幂函数是( )A .3y x =B .2y xC .y x =D .y =9.若幂函数()m nf x x = (m ,n ①N *,m ,n 互质)的图像如图所示,则( )A .m ,n 是奇数,且m n<1 B .m 是偶数,n 是奇数,且m n>1 C .m 是偶数,n 是奇数,且m n <1 D .m 是奇数,n 是偶数,且m n>110.下列结论中,正确的是( ) A .幂函数的图象都经过点(0,0),(1,1) B .幂函数的图象可以出现在第四象限C .当幂指数α取1,3,12时,幂函数y =xα是增函数 D .当α=-1时,幂函数y =xα在其整个定义域上是减函数针对练习三 幂函数的定义域11.函数()12ln 1xf x x x =-+的定义域A .()0,∞+B .()1,-+∞C .()0,1D .()()0,11,+∞12.幂函数32y x -=的定义域为( ) A .(0,+∞) B .[0,+∞)C .RD .(-∞,0)①(0,+∞)13.下列幂函数中,定义域为R 的幂函数是( ) A .34y x = B .12y x -= C .6y x -= D .25y x =14.若幂函数()f x 的图象经过点⎛⎝⎭,则()f x 的定义域为( )A .2,2⎛⎝⎭B .()(),00,-∞+∞C .[)0,+∞D .(0,+∞)15.下列函数中,与幂函数12y x -=有相同定义域的是( ) A .2log y x =; B .1y x=C .y x =;D .2x y =.针对练习四 幂函数的值域16.幂函数a y x =中a 的取值集合C 是11,0,,1,2,32⎧⎫-⎨⎬⎩⎭的子集,当幂函数的值域与定义域相同时,集合C 为( ) A .11,0,2⎧⎫-⎨⎬⎩⎭B .1,1,22⎧⎫⎨⎬⎩⎭C .11,,32⎧⎫-⎨⎬⎩⎭D .1,1,2,32⎧⎫⎨⎬⎩⎭17.下列函数中,值域为[0,)+∞的是( ) A .2x y = B .12y x =C .ln y x =D .3y x =18.下列函数中,定义域、值域相同的函数是( ) A .2x y =B .ln y x =C .4y x -=D .12y x -=19.当α①11,,1,2,32⎧⎫-⎨⎬⎩⎭时,函数a y x =的值域为R 的α值有( )A .1个B .2个C .3个D .4个20.以下函数12y x =,2y x ,23y x =,1y x -=中,值域为[0,)+∞的函数共( )个A .1B .2C .3D .4针对练习五 幂函数的单调性21.下列函数中是减函数的为( )A .()2f x x =-B .()3f x x = C.()32⎛⎫= ⎪⎝⎭xf xD .()=f x22.在区间()0,1上单调递减的函数是( )A .3y x =B .y =C .1y x =-D .ln y x =23.已知幂函数()2()5f x x ααα=--在(0,)+∞内单调递增,则α的值为( )A .3B .12C .3或12D .-224.若幂函数223()m m f x x +=在(0,)+∞上是减函数,则实数m 值可以是下列的( ) A .2 B .1 C .1- D .2-25.幂函数()()223169m m f x m m x -+=-+在0,上单调递增,则m 的值为( )A .2B .3C .4D .2或4针对练习六 幂函数的奇偶性26.下列幂函数中,其图像关于y 轴对称且过点()0,0、()1,1的是( ) A .12y x =;B .4y x =;C .2y x ;D .13y x =.27.设10,,2,32α⎧⎫∈⎨⎬⎩⎭,则使幂函数()f x x α=的定义域为R ,且为偶函数的α的值是( ) A .0 B .12 C .2 D .328.下列命题中,不正确的是( ) A .幂函数y =x -1是奇函数 B .幂函数y =x 2是偶函数C .幂函数y =x 既是奇函数又是偶函数D .y =12x 既不是奇函数,又不是偶函数29.使幂函数y x α=为偶函数,且在(0,)+∞上是减函数的α值为( ) A .1- B .23-C .12-D .230.下列幂函数中,定义域为R 且为偶函数是( ) A .2yxB .y x =C .13y x =D .23y x =针对练习七 比较大小与解不等式31.已知 1.13.3a =, 1.14b =,0.93c =,则a ,b ,c 的大小关系为( ) A .c a b << B .c b a << C .b a c << D .b c a <<32.已知0.2log 2a =,0.32b =,0.30.2c =,则( ) A .a c b << B .a b c << C .c a b << D .b c a <<33.已知幂函数12f x x ()=,若()()132f a f a +<-,则实数a 的取值范围是( ) A .[-1,3] B .21,3⎡⎫-⎪⎢⎣⎭C .[-1,0)D .21,3⎛⎤- ⎥⎝⎦34.“()()112212a a +<-”是“122a -<<”的( )A .充分不必要条件B .必要不充分条件C .充要条件D .既不充分也不必要条件35.已知幂函数()12f x x -=,若()()1102f a f a +<-,则a 的取值范围为( )A .()3,5-B .()5,3-C .()5,3--D .()3,5第二章 函数2.6.2 幂函数(针对练习)针对练习针对练习一 幂函数的概念1.给出下列函数:①31y x=;①32y x =-;①42y x x =+;①y =①()21y x =-;①0.3x y =,其中是幂函数的有( ) A .1个 B .2个 C .3个 D .4个【答案】B 【解析】由幂函数的定义即可判断. 【详解】由幂函数的定义:形如y x α=(α为常数)的函数为幂函数, 则可知①331y x x -==和①53y x =是幂函数. 故选;B.2.下列函数中,值域是R 的幂函数是( ) A .13y x = B .13xy ⎛⎫= ⎪⎝⎭C .23y x =D .23xy ⎛⎫= ⎪⎝⎭【答案】A【分析】根据幂函数的定义与性质,对选项中的函数进行分析、判断即可. 【详解】由题意可得选项B 、D 的函数为指数函数,故排除B 、D ; 对于A :函数13y x ==R ,所以值域为R ,满足条件;对于C :函数23y x ==R ,在第一象限内单调递增,又20x ≥,所以值域为[)0+∞,,不满足条件; 故选:A3.下列函数是幂函数的是( ) A .3y x =- B .3y x -= C .32y x = D .32y x =-【答案】B 【解析】根据幂函数的概念判断各选项中的函数是否为幂函数,由此可得出合适的选项. 【详解】形如a y x =(a 为常数且a R ∈)为幂函数,所以,函数3y x -=为幂函数,函数3y x =-、32y x =、32y x =-均不是幂函数, 故选:B.4.已知幂函数y = f (x )的图像过(36, 6),则此幂函数的解析式是( ) A .13y x = B .3y x =C .12y x =D .2y x【答案】C 【解析】设()a f x x ,代入已知点坐标求解即得. 【详解】由题意设()a f x x ,①366a =,12a =,①12()f x x =.故选:C .5.已知幂函数(1)y k x α=-的图象过点()2,4,则k α+等于( ) A .32B .3C .12D .4【解析】 【分析】根据幂函数解析式的特点可得k 的值,再将点()2,4代入解析式可得α的值,进而可得k α+的值. 【详解】因为(1)y k x α=-是幂函数, 所以11k -=可得:2k =, 因为y x α=的图象过点()2,4, 所以42α=,解得:2α=, 所以4k α+=, 故选:D.针对练习二 幂函数的图像6.下列四个图像中,函数34y x =的图像是( )A .B .C .D .【答案】B 【解析】 【分析】首先判断函数的定义域,再根据幂函数的性质判断即可;解:因为34y x =,即34y x ==30x ≥,解得0x ≥,即函数的定义域为[)0,+∞,故排除A 、C 、D ,且函数在定义域上单调递增,故B 正确; 故选:B7.如图是幂函数y x α=的部分图象,已知α取12,2,2-,12-这四个值,则与曲线1C ,2C ,3C ,4C 相应的α依次为( )A .2,12,12-,2- B .2-,12-,12,2 C .12-,2,2-,12 D .2,12,2-,12-【答案】A 【解析】 【分析】由幂函数的图象性质进行判定. 【详解】因为在直线1x =右侧,指数越大,幂函数的图象越靠上, 所以曲线1C ,2C ,3C ,4C 相应的α依次为2,12,12-,2-. 故选:A.8.如图,①①①①对应四个幂函数的图像,其中①对应的幂函数是( )A .3y x =B .2y xC .y x =D .y =【答案】C 【解析】 【分析】根据常见幂函数的图像即可得出答案. 【详解】解:由图知:①表示y =①表示y x =,①表示2y x ,①表示3y x =.故选:C.9.若幂函数()m nf x x = (m ,n ①N *,m ,n 互质)的图像如图所示,则( )A .m ,n 是奇数,且m n<1 B .m 是偶数,n 是奇数,且m n>1 C .m 是偶数,n 是奇数,且m n <1 D .m 是奇数,n 是偶数,且m n>1 【答案】C 【解析】 【分析】根据幂函数的图像和性质利用排除法求解 【详解】由图知幂函数f (x )为偶函数,且1mn<,排除B ,D ; 当m ,n 是奇数时,幂函数f (x )非偶函数,排除A ; 故选:C.10.下列结论中,正确的是( ) A .幂函数的图象都经过点(0,0),(1,1) B .幂函数的图象可以出现在第四象限C .当幂指数α取1,3,12时,幂函数y =xα是增函数 D .当α=-1时,幂函数y =xα在其整个定义域上是减函数 【答案】C 【解析】 【分析】对于AD ,举例判断,对于BC ,由幂函数的性质判断即可 【详解】当幂指数α=-1时,幂函数y =x -1的图象不经过原点,故A 错误;因为所有的幂函数在区间(0,+∞)上都有定义,且y =xα(α①R )>0,所以幂函数的图象不可能出现在第四象限,故B 当α>0时,y =xα是增函数,故C 正确;当α=-1时,y =x -1在区间(-∞,0),(0,+∞)上是减函数,但在整个定义域上不是减函数,故D 错误. 故选:C.针对练习三 幂函数的定义域11.函数()12ln 1xf x x x =-+的定义域A .()0,∞+B .()1,-+∞C .()0,1D .()()0,11,+∞【答案】A 【解析】解不等式010xx x ⎧>⎪+⎨⎪≥⎩即得函数的定义域. 【详解】由题得010,0100xx x x x x x ⎧><->⎧⎪∴∴>+⎨⎨≥⎩⎪≥⎩或 所以函数的定义域为()0,∞+. 故选A 【点睛】本题主要考查函数的定义域的求法,考查对数函数和幂函数的定义域,意在考查学生对这些知识的理解掌握水平和分析推理能力. 12.幂函数32y x -=的定义域为( ) A .(0,+∞) B .[0,+∞)C .RD .(-∞,0)①(0,+∞)【答案】A 【解析】 【详解】333221y xx -⎛⎫=== ⎪⎝⎭, 所以10x≥,解得0x >,即定义域为()0,∞+,故选A . 13.下列幂函数中,定义域为R 的幂函数是( ) A .34y x = B .12y x -= C .6y x -= D .25y x =【答案】D 【解析】 【分析】利用分数指数式与根式的互化,结合具体函数的定义域的求法逐项分析即可求出结果. 【详解】A 34y x =30x ≥,即0x ≥,所以函数34y x =的定义域为[)0,+∞,故A不符合题意; B 12-==y x0x >,所以函数12y x -=的定义域为()0,∞+,故B 不符合题意; C 661xy x -==,则需要满足0x ≠,所以函数6y x -=的定义域为()(),00,-∞⋃+∞,故C 不符合题意;D 25y x ==25y x =的定义域为R ,故D 正确;故选:D.14.若幂函数()f x 的图象经过点⎛⎝⎭,则()f x 的定义域为( )A .⎛⎝⎭B .()(),00,-∞+∞C .[)0,+∞D .0,【答案】D 【解析】求出幂函数的解析式,()12f x x-==. 【详解】设()f x x α=,已知()f x 的图象经过点2⎛ ⎝⎭1222α-==,12α∴=-,()12f x x -∴==其定义域为0,.故选:D. 【点睛】此题考查幂函数的概念,根据概念求解析式,再求函数定义域,需要注意定义域写成集合或区间形式.15.下列函数中,与幂函数12y x -=有相同定义域的是( )A .2log y x =;B .1y x=;C .y x =;D .2x y =.【答案】A【解析】 【分析】 由题知幂函数12-==y x()0,∞+,再依次讨论各选项即可得答案. 【详解】 解:幂函数12-==y x()0,∞+, 对于A 选项,2log y x =定义域为()0,∞+,故正确; 对于B 选项,1y x=定义域为()(),00,-∞⋃+∞,故错误; 对于C 选项,y x =定义域为R ,故错误; 对于D 选项,2x y =定义域为R ,故错误; 故选:A针对练习四 幂函数的值域16.幂函数a y x =中a 的取值集合C 是11,0,,1,2,32⎧⎫-⎨⎬⎩⎭的子集,当幂函数的值域与定义域相同时,集合C 为( ) A .11,0,2⎧⎫-⎨⎬⎩⎭B .1,1,22⎧⎫⎨⎬⎩C .11,,32⎧⎫-⎨⎬⎩⎭D .1,1,2,32⎧⎫⎨⎬⎩⎭【答案】C 【解析】 【分析】分别求出各幂函数的定义域和值域,得到答案. 【详解】当1a =-时,1y x -=定义域和值域均为()(),00,∞-+∞,符合题意;0a =时,0y x =定义域为()(),00,∞-+∞,值域为{}1,故不合题意;12a =时,y =[)0,∞+,值域为[)0,∞+,符合题意; 1a =时,y x =定义域与值域均为R ,符合题意;2a =时,2yx 定义域为R ,值域为[)0,∞+,不符合题意;3a =时,3y x =定义域与值域均为R ,符合题意.故选:C17.下列函数中,值域为[0,)+∞的是( ) A .2xy =B .12y x =C .ln y x =D .3y x =【答案】B 【解析】 【分析】由题意利用基本初等函数的定义域和值域,得出结论. 【详解】解:由于2x y =的定义域为R ,值域为(0,)+∞,故A 不满足条件; 由于12y x ==[0,)+∞,值域为[0,)+∞,故B 满足条件; 由于ln y x =的定义域为(0,)+∞,值域为R ,故C 不满足条件; 由于3y x =的定义域为R ,值域为R ,故D 不满足条件, 故选:B.18.下列函数中,定义域、值域相同的函数是( ) A .2x y = B .ln y x = C .4y x -=D .12y x -=【答案】D 【解析】分别确定函数的定义域与值域.可得正确选项. 【详解】2x y =的定义域是R ,值域是(0,)+∞,ln y x =的定义域是(0,)+∞,值域是R , 4y x -=的定义域是{|0}x x ≠,值域是(0,)+∞,12y x -=的定义域是{|0}x x >,值域是(0,)+∞,D 中函数的定义域、值域相同. 故选:D .19.当α①11,,1,2,32⎧⎫-⎨⎬⎩⎭时,函数y =xα的值域为R 的α值有( ) A .1个 B .2个C .3个D .4个【答案】B 【解析】 【分析】根据幂函数的性质可得. 【详解】解:11,,1,2,32α⎧⎫∈-⎨⎬⎩⎭,y x α=1y x -∴=的值域为()(),00,-∞⋃+∞;12y x =的值域为[)0,+∞; y x =的值域为R ;2yx 的值域为[)0,+∞;3y x =的值域为R ;所以使函数y x α=满足值域为R 的α有2个; 故选:B 【点睛】本题考查幂函数的性质,属于基础题. 20.以下函数12y x =,2y x ,23y x =,1y x -=中,值域为[0,)+∞的函数共( )个A .1B .2C .3D .4【答案】C 【解析】 【分析】根据四个函数的定义域结合函数的解析式,分别求出四个幂函数的值域即可得答案. 【详解】函数12y x ==[0,)+∞,值域为[0,)+∞; 函数2yx 的定义域为R ,值域为[0,)+∞;函数23y x ==20x ≥,∴函数值域为[0,)+∞;函数331y x x -==,值域为(,0)(0,)-∞+∞. ∴值域为[0,)+∞的函数共3个.故选C. 【点睛】本题考查对幂函数简单性质的考查,即函数的三要素,考查基本运算求解能力.针对练习五 幂函数的单调性21.下列函数中是减函数的为( )A .()2f x x =-B .()3f x x =C .()32⎛⎫= ⎪⎝⎭xf xD .()=f x 【答案】D 【解析】 【分析】根据二次函数、正比例函数、指数函数、幂函数的单调性逐一判断即可. 【详解】A :因为函数()2f x x =-在(,0)-∞上单调递增,所以该函数不是减函数,不符合题意;B :因为函数()3f x x =是增函数,所以不符合题意;C :因为函数()32⎛⎫= ⎪⎝⎭xf x 是增函数,所以不符合题意;D :因为函数()=f x故选:D22.在区间()0,1上单调递减的函数是( )A .3y x =B .y =C .1y x =-D .ln y x =【答案】C 【解析】 【分析】依次判断四个选项的单调性即可. 【详解】A 选项:增函数,错误;B 选项:增函数,错误;C 选项:当01x <<时,1y x =-+,为减函数,正确;D 选项:增函数,错误. 故选:C.23.已知幂函数()2()5f x x ααα=--在(0,)+∞内单调递增,则α的值为( )A .3B .12C .3或12D .-2【答案】A【解析】 【分析】由幂函数的定义及幂函数的图象与性质即可求解. 【详解】解:因为幂函数()2()5f x x ααα=--在(0,)+∞内单调递增,所以2510ααα⎧--=⎨>⎩,解得3α=,故选:A.24.若幂函数223()m m f x x +=在(0,)+∞上是减函数,则实数m 值可以是下列的( ) A .2 B .1 C .1- D .2-【答案】C 【解析】 【分析】根据幂函数的单调性即可得出答案. 【详解】解:因为幂函数223()m m f x x +=在(0,)+∞上是减函数, 所以2230m m +<,解得302m -<<. 故选:C.25.幂函数()()223169m m f x m m x -+=-+在0,上单调递增,则m 的值为( )A .2B .3C .4D .2或4【答案】C 【解析】 【分析】利用幂函数的定义和性质求解即可 【详解】2691m m -+=且2310m m -+>解得4m = 故选:C针对练习六 幂函数的奇偶性26.下列幂函数中,其图像关于y 轴对称且过点()0,0、()1,1的是( ) A .12y x =; B .4y x =; C .2y x ;D .13y x =.【答案】B 【解析】 【分析】根据幂函数的性质,逐项判断,即可得到结果. 【详解】由于函数12y x =的定义域为[)0,∞+,所以函数12y x =图像不关于y 轴对,故A 错误; 由于函数4()y f x x ==的定义域为(),-∞+∞,且()4()()f x x f x =-=-,所以函数4y x =关于y 轴对称,且经过了点()0,0、()1,1,故B 正确; 由于2yx 的定义域为()(),00,∞-+∞,所以函数2yx 不过点()0,0,故C 错误;由于13()y f x x ==的定义域为(),-∞+∞,且1133()()f x xxf x ,所以13y x =图像关于原点中心对称,故D 错误. 故选:B.27.设10,,2,32α⎧⎫∈⎨⎬⎩⎭,则使幂函数()f x x α=的定义域为R ,且为偶函数的α的值是( ) A .0 B .12 C .2 D .3【答案】C 【解析】 【分析】分别对0α=,12,2,3时的幂函数分析判断即可 【详解】当0α=时,()0f x x =,其定义域为{}0x x ≠,所以不合题意, 当12α=时, ()12f x x =,其定义域为{}0x x ≥,所以不合题意,当2α=时,2()f x x =,其定义域为R ,且为偶函数,所以符合题意, 当3α=时,3()f x x =,其定义域为R ,而此函数为奇函数,所以不合题意,故选:C28.下列命题中,不正确的是( ) A .幂函数y =x -1是奇函数 B .幂函数y =x 2是偶函数C .幂函数y =x 既是奇函数又是偶函数D .y =12x 既不是奇函数,又不是偶函数 【答案】C 【解析】 【分析】根据奇偶函数的定义依次判断即可. 【详解】因为11x x-=,11=--x x,所以A 正确;因为22()x x -=,所以B 正确; 因为x x -=不恒成立,所以C 不正确;因为12y x =定义域为[0,+∞),不关于原点对称,所以D 正确. 故选:C. 【点睛】本题主要考查奇偶函数的定义,属于简单题.29.使幂函数y x α=为偶函数,且在(0,)+∞上是减函数的α值为( ) A .1- B .23-C .12-D .2【答案】B 【解析】 【分析】根据幂函数的性质确定正确选项. 【详解】A 选项,1y x=是奇函数,不符合题意. B 选项,y =(0,)+∞上是减函数,符合题意.C 选项,y=.D 选项,2y x ,在()0,∞+上递增,不符合题意.故选:B30.下列幂函数中,定义域为R 且为偶函数是( ) A .2yxB .y x =C .13y x =D .23y x =【答案】D 【解析】 【分析】根据函数解析式,判断函数的定义域,并根据偶函数定义()()f x f x =-,来判断函数是否满足,一一判断即可. 【详解】 对于A ,函数2yx 的定义域为{}|0x x ≠,不符合题意,故A 错误;对于B ,函数y x =为奇函数,不符合,故B 错误; 对于C ,函数13y x =为奇函数,不符合,故C 错误;对于D ,函数23y x =的定义域为R ,满足偶函数定义()()f x f x =-,故D 正确. 故选:D.针对练习七 比较大小与解不等式31.已知 1.13.3a =, 1.14b =,0.93c =,则a ,b ,c 的大小关系为( ) A .c a b << B .c b a <<C .b a c <<D .b c a <<【答案】A 【解析】 【分析】根据指数函数、幂函数的单调性可得三者的大小关系. 【详解】因为 3.3x y =为R 上增函数,0.9y x =在()0,∞+上为增函数, 故 1.10.90.93.3 3.33>>即a c >,因为 1.1y x =在()0,∞+上为增函数,故 1.1 1.13.34<即a b <, 故c a b <<, 故选:A .32.已知0.2log 2a =,0.32b =,0.30.2c =,则( ) A .a c b << B .a b c << C .c a b << D .b c a <<【答案】A 【解析】 【分析】把三个数与“0,1”比较即可. 【详解】因为0.20.2log 2log 10a =<=,0a ∴<,0.30221b =>=,1b ∴>,0.300.21<<,01c ∴<<,所以a c b << 故选: A .33.已知幂函数12f x x ()=,若()()132f a f a +<-,则实数a 的取值范围是( ) A .[-1,3] B .21,3⎡⎫-⎪⎢⎣⎭C .[-1,0)D .21,3⎛⎤- ⎥⎝⎦【答案】B 【解析】 【分析】由题得函数()f x 在定义域[0,)+∞单调递增,解不等式组10320132a a a a +≥⎧⎪-≥⎨⎪+<-⎩即得解.【详解】因为幂函数12f x x ()=,所以函数在定义域[0,)+∞单调递增, 因为()()132f a f a +<-,所以10320,132a a a a +≥⎧⎪-≥⎨⎪+<-⎩解之得213a -≤<. 故选:B 【点睛】本题主要考查幂函数的单调性及其应用,意在考查学生对这些知识的理解掌握水平. 34.“()()112212a a +<-”是“122a -<<”的( ) A .充分不必要条件 B .必要不充分条件 C .充要条件 D .既不充分也不必要条件 【答案】A 【解析】 【分析】根据幂函数的单调性求出a 的范围,再根据充分条件和必要条件的定义即可得出答案. 【详解】解:因为12y x =是定义在[)0,∞+上的增函数,又()()112212a a +<-,所以102012a a a a+≥⎧⎪-≥⎨⎪+<-⎩,解得112a -≤<,因为由112a -≤<可推出122a -<<,而由122a -<<无法推出112a -≤<, 故“()()112212a a +<-”是“122a -<<”的充分不必要条件. 故选:A.35.已知幂函数()12f x x -=,若()()1102f a f a +<-,则a 的取值范围为( ) A .()3,5- B .()5,3- C .()5,3-- D .()3,5【答案】D 【解析】 【分析】根据幂函数()12f x x -=的单调性与定义域可解不等式()()1102f a f a +<-.【详解】因为幂函数()12f x x -=的定义域为()0,∞+,且()f x 是定义域上的减函数,所以若()()1102f a f a +<-,则10,1020,1102,a a a a +>⎧⎪->⎨⎪+>-⎩解得35a <<.故选:D.。
第二章 函数2.6.1幂函数(题型战法)知识梳理一 幂函数的概念一般地,函数y x α=称为幂函数,其中α为常数.注意:幂函数中底数是自变量,而指数函数中指数为自变量.二 幂函数的图像与性质(1)五个常见幂函数的图像: 如右图所示(2)五个常见幂函数的性质:函数 性质 y =x12y x =y =x 2 y =x 3 1y x -=定义域 R [)0+∞, R R ()(),00,-∞+∞ 值域 R [)0+∞,[)0+∞,R ()(),00,-∞+∞奇偶性奇非奇非偶偶奇奇单调性 R 上增[)0+∞,上增 (-∞,0)上减 [0,+∞)上增R 上增(-∞,0)上减 (0,+∞)上减公共点(1)所有的幂函数在区间()0+∞,上都有定义,因此在第一象限内都有图像,并且图像都过点()1,1.(2)如果0α>,幂函数图像过原点,并且在[)0+∞,上是增函数 (3)如果0α<,幂函数图像过原点,并且在[)0+∞,上是减函数 题型战法题型战法一 幂函数的概念典例1.下列函数是幂函数的是( )A .2y x =B .21y x =-C .3y x =D .2x y =变式1-1.下列函数是幂函数的是( ) A .22y x = B .1y x -=- C .31y x = D .2x y =变式1-2.已知幂函数()y f x =的图象过点()2,8,则()2f -的值为( ) A .8 B .8- C .4 D .4-变式1-3.已知幂函数()22233m m y m m x --=-+的图象不过原点,则实数m 的取值为( )A .1B .2C .-2D .1或2变式1-4.已知幂函数()(,)f x kx k R R αα=∈∈的图象过点1(2,则k α+等于( ) A .12 B .1 C .32D .2题型战法二 幂函数的图像典例2.函数y =的图象大致为( )A .B .C .D .变式2-1.已知幂函数()f x 的图象过点()9,3,则函数()f x 的图象是( )A .B .C .D .变式2-2.如图,①①①①对应四个幂函数的图像,其中①对应的幂函数是( )A .3y x =B .2y xC .y x =D .58y x =变式2-3.图中C 1、C 2、C 3为三个幂函数y x α=在第一象限内的图象,则解析式中指数α的值依次可以是( )A .12、3、1- B .1-、3、12C .12、1-、3D .1-、12、3变式2-4.已知幂函数()f x x α=和()g x x β=,其中0αβ>>,则有下列说法: ①()f x 和()g x 图象都过点()1,1; ①()f x 和()g x 图象都过点(1,1)-;①在区间[1,)+∞上,增长速度更快的是()f x ; ①在区间[1,)+∞上,增长速度更快的是()g x . 则其中正确命题的序号是( ) A .①① B .①①C .①①D .①①题型战法三 幂函数的定义域典例3.下列幂函数中,定义域为R 的是( ) A .1y x -= B .12y x -=C .13y x =D .12y x =变式3-1.若()342x --有意义,则实数x 的取值范围是( ) A .[)2,+∞ B .(],2-∞ C .()2,+∞ D .(),2-∞变式3-2.函数()()()102121f x x x -=-+-的定义域是( ) A .(],1-∞ B .11,,122⎛⎫⎛⎫-∞⋃ ⎪ ⎪⎝⎭⎝⎭C .(),1-∞-D .1,12⎛⎫⎪⎝⎭变式3-3.5个幂函数:①2y x ;①45y x =;①54y x =;①23y x =;①45y x -=.其中定义域为R 的是( ) A .只有①① B .只有①① C .只有①① D .只有①①变式3-4.若函数()12f x x -=则函数y =f (4 x -3)的定义域是( )A .(-∞,+∞)B .3,4⎛⎫-∞ ⎪⎝⎭C .3,4⎡⎫+∞⎪⎢⎣⎭D .3,4⎛⎫+∞ ⎪⎝⎭题型战法四 幂函数的值域典例4.函数2y x 在区间1,22⎡⎤⎢⎥⎣⎦上的最小值是( )A .14B .14-C .4D .4-变式4-1.在下列函数中,定义域和值域不同的是( ) A .13y x = B .12y x =C .53y x =D .23y x =变式4-2.幂函数()y f x =的图象过点(,则函数()y x f x =-的值域是( ) A .(),-∞+∞ B .1,4⎛⎫-∞ ⎪⎝⎭C .1,4⎡⎫-+∞⎪⎢⎣⎭D .1,4⎛⎫-+∞ ⎪⎝⎭变式4-3.已知函数f (x )={3x −2,x ⩽1,x 12,1<x ⩽4,则函数()f x 值域是( )A .(],2-∞B .(]2,2-C .(]1,4D .(],4∞-变式4-4.已知幂函数()f x x α=1(2,)2,则函数()f x 的值域为 A .(,0)-∞ B .(0,)+∞C .(,0)(0,)-∞⋃+∞D .(,)-∞+∞题型战法五 幂函数的单调性典例5.下列函数在(0,)+∞上为减函数的是( )A .y =B .1y x=C .2y xD .y x =变式5-1.已知函数()122()43f x x x =-+的增区间为( )A .(3,)+∞B .(2,)+∞C .(,2)-∞D .(,1)-∞变式5-2.已知函数()()()2,16,(1aa x x f x x x ⎧+≤=⎨->⎩)是减函数,则实数a 的取值范围是( )A .[)7,2--B .(),2-∞-C .(),7-∞-D .()7,2--变式5-3.已知幂函数()()22244m m f x m m x -=-+在()0,∞+上是增函数,则实数m 的值为( ) A .1或3- B .3 C .1- D .1-或3变式5-4.已知幂函数()()282mf x m m x =-在()0,∞+上为增函数,则()4f =( )A .2B .4C .6D .8题型战法六 幂函数的奇偶性典例6.下列函数是奇函数的为( ) A .2x y =B .1y x -=C .12log y x= D .2yx变式6-1.下列函数中,值域是[)0,∞+且为偶函数的是( ) A .2y xB .e e x x y -=+C .lg y x =D .23y x =变式6-2.下列函数中,既是奇函数又是定义域内的增函数为( ) A .tan y x = B .2log y x = C .2y x= D .3y x =变式6-3.设1,1,22α⎧⎫∈⎨⎬⎩⎭,使函数y x α=的定义域是R ,且为偶函数的所有α的值是( ) A .2 B .1,2 C .12,2D .12,1,2变式6-4.已知幂函数()()2133a f x a a x +=-+为偶函数,则实数a 的值为( )A .3B .2C .1D .1或2题型战法七 比较大小与解不等式典例7.设0.2 1.20.21.2,0.9,0.3a b c -===,则a ,b ,c 大小关系为( ) A .a b c >> B .a c b >> C .c a b >> D .c b a >>变式7-1.0.20.21210.5,log ,0.43a b c ===,则( )A .a c b >>B .b c a >>C .b a c >>D .c a b >>变式7-2.设120.7a =,120.8b =,31log 2c =,则( ) A .c b a << B .c a b << C .a b c<< D .b a c <<变式7-3.已知1122(52)(1)m m -<-,则m 的取值范围是( ) A .(2,+∞) B .52,2⎛⎤⎥⎝⎦C .(),2-∞ D .[)1,2变式7-4.若1122(1)(32)a a +<-,则实数a 的取值范围是( ) A .31,2⎡⎤-⎢⎥⎣⎦B .21,3⎡⎫-⎪⎢⎣⎭C .2,3⎛⎫-∞ ⎪⎝⎭D .3,2⎛⎤-∞ ⎥⎝⎦第二章 函数2.6.1幂函数(题型战法)知识梳理一 幂函数的概念一般地,函数y x α=称为幂函数,其中α为常数.注意:幂函数中底数是自变量,而指数函数中指数为自变量.二 幂函数的图像与性质(1)五个常见幂函数的图像:如右图所示(2)五个常见幂函数的性质:()0,+∞()0,+∞0)上减∞)上减题型战法题型战法一幂函数的概念典例1.下列函数是幂函数的是()A.2=B.21y x=-y xC.3y=y x=D.2x【答案】C【解析】【分析】由幂函数定义可直接得到结果.【详解】形如y xα=为幂函数.y x=的函数为幂函数,则3故选:C.变式1-1.下列函数是幂函数的是()A .22y x =B .1y x -=-C .31y x =D .2x y =【答案】C 【解析】 【分析】根据幂函数的定义判断. 【详解】形如y x α=(α为常数且R α∈)为幂函数, 所以,函数331=xy x -=为幂函数,函数22y x =、1y x -=-、2x y =均不是幂函数. 故选:C.变式1-2.已知幂函数()y f x =的图象过点()2,8,则()2f -的值为( ) A .8 B .8- C .4 D .4-【答案】B 【解析】 【分析】设()af x x =,由已知条件求出a 的值,可得出函数()f x 的解析式,由此可求得()2f -的值. 【详解】设()a f x x =,由()228a f ==,可得3a =,则()3f x x =,因此,()()3228f -=-=-.故选:B.变式1-3.已知幂函数()22233m m y m m x --=-+的图象不过原点,则实数m 的取值为( )A .1B .2C .-2D .1或2【答案】A 【解析】 【分析】根据题意,可知系数为1,指数应小于0,由此列出不等式组,解得答案. 【详解】由题意可知:2233120m m m m ⎧-+=⎨--<⎩,解得1m = ,经经验,符合题意, 故选:A.变式1-4.已知幂函数()(,)f x kx k R R αα=∈∈的图象过点1(2,则k α+等于( ) A .12 B .1 C .32D .2【答案】A 【解析】 【分析】根据幂函数的定义,结合代入法进行求解即可. 【详解】因为()f x 是幂函数,所以1k =,又因为函数()f x 的图象过点1(2,所以1211()2222ααα-=⇒=⇒=-,因此12k α+=,故选:A题型战法二 幂函数的图像典例2.函数y = )A .B .C .D .【答案】A 【解析】 【分析】根据幂函数的性质判断函数值、增长特点,即可确定大致图象. 【详解】由0y ≥,排除B 、D ,根据对应幂函数的性质,第一象限增速逐渐变慢,排除C. 故选:A.变式2-1.已知幂函数()f x 的图象过点()9,3,则函数()f x 的图象是( )A .B .C .D .【答案】C 【解析】 【分析】设出函数的解析式,根据幂函数()y f x =的图象过点(9,3),构造方程求出指数的值, 【详解】设幂函数的解析式为()f x x α=, ①幂函数()y f x =的图象过点(9,3), ①39α=, 解得12α=①()y f x ==[0,)+∞,且是增函数,当01x <<时,其图象在直线y x =的上方.对照选项可知C 满足题意. 故选:C .变式2-2.如图,①①①①对应四个幂函数的图像,其中①对应的幂函数是( )A .3y x =B .2y xC .y x =D .58y x =【答案】D 【解析】 【分析】根据函数图象求出幂函数的指数取值范围,得到正确答案. 【详解】根据函数图象可得:①对应的幂函数y x α=在[)0,∞+上单调递增,且增长速度越来越慢,故()0,1α∈,故D 选项符合要求. 故选:D变式2-3.图中C 1、C 2、C 3为三个幂函数y x α=在第一象限内的图象,则解析式中指数α的值依次可以是( )A .12、3、1- B .1-、3、12C .12、1-、3D .1-、12、3【答案】D 【解析】 【分析】根据幂函数y x α=在第一象限内的图象性质,结合选项即可得出指数α的可能取值. 【详解】由幂函数y x α=在第一象限内的图象,结合幂函数的性质, 可得:图中C 1对应的0α<,C 2对应的01α<<,C 3对应的1α>, 结合选项知,指数α的值依次可以是11,,32-. 故选:D.变式2-4.已知幂函数()f x x α=和()g x x β=,其中0αβ>>,则有下列说法: ①()f x 和()g x 图象都过点()1,1; ①()f x 和()g x 图象都过点(1,1)-;①在区间[1,)+∞上,增长速度更快的是()f x ; ①在区间[1,)+∞上,增长速度更快的是()g x . 则其中正确命题的序号是( ) A .①① B .①①C .①①D .①①【答案】A 【解析】 【分析】由幂函数的性质进行分析判断即可 【详解】幂函数的图象过定点(1,1),①正确,在区间[1,)+∞上,α越大y x α=增长速度更快,①正确, 故选:A.题型战法三 幂函数的定义域典例3.下列幂函数中,定义域为R 的是( ) A .1y x -= B .12y x -=C .13y x =D .12y x =【答案】C 【解析】 【分析】直接根据幂函数的定义域可直接判断,偶次根式被开方式必须大于等于0才有意义,分式则必须分母不为0 【详解】对选项A ,则有:0x ≠对选项B ,则有:0x > 对选项C ,定义域为:R 对选项D ,则有:0x ≥故答案选:C变式3-1.若()342x --有意义,则实数x 的取值范围是( ) A .[)2,+∞ B .(],2-∞ C .()2,+∞ D .(),2-∞【答案】C 【解析】 【分析】将分式指数幂化为根式,结合根式的性质可得出关于实数x 的不等式,即可解得实数x 的取值范围. 【详解】由负分数指数幂的意义可知,()342x --=所以20x ->,即2x >,因此x 的取值范围是()2,+∞. 故选:C.变式3-2.函数()())10211f x x x -=-+-的定义域是( ) A .(],1-∞ B .11,,122⎛⎫⎛⎫-∞⋃ ⎪ ⎪⎝⎭⎝⎭C .(),1-∞-D .1,12⎛⎫⎪⎝⎭【答案】B 【解析】 【分析】根据函数解析式有意义可得出关于实数x 的不等式组,由此可解得函数()f x 的定义域. 【详解】因为()()()()100212121f x x x x -=-+-=-, 则有10210x x ->⎧⎨-≠⎩,解得1x <且12x ≠,因此()f x 的定义域是11,,122⎛⎫⎛⎫-∞⋃ ⎪ ⎪⎝⎭⎝⎭.故选:B.变式3-3.5个幂函数:①2y x ;①45y x =;①54y x =;①23y x =;①45y x -=.其中定义域为R 的是( ) A .只有①① B .只有①① C .只有①① D .只有①①【答案】C 【解析】 【分析】分别写出所给函数的定义域,然后作出判断即可. 【详解】 ①2yx 的定义域为(,0)(0,)-∞+∞,①45y x =的定义域为R , ①54y x =的定义域为(0,)+∞, ①23y x =的定义域为R ,①45y x -=的定义域为(,0)(0,)-∞+∞,故选:C . 【点睛】本题考查幂函数的定义,侧重考查对基础知识的理解和掌握,属于基础题.变式3-4.若函数()12f x x -=则函数y =f (4 x -3)的定义域是( )A .(-∞,+∞)B .3,4⎛⎫-∞ ⎪⎝⎭C .3,4⎡⎫+∞⎪⎢⎣⎭D .3,4⎛⎫+∞ ⎪⎝⎭【答案】D 【解析】 【分析】 先求出()43f x -=,根据幂函数的定义域求解即可. 【详解】 幂函数()12f x x-==, ()43y f x =-=所以430x ->,所以34x >,所以函数()43y f x =-的定义域是3,4⎛⎫+∞ ⎪⎝⎭,故选D. 【点睛】本题主要考函数的定义域、不等式的解法,属于简单题.定义域的三种类型及求法:(1)已知函数的解析式,则构造使解析式有意义的不等式(组)求解;(2) 对实际问题:由实际意义及使解析式有意义构成的不等式(组)求解;(3) 若已知函数()f x 的定义域为[],a b ,则函数()()f g x 的定义域由不等式()a g x b ≤≤求出.题型战法四 幂函数的值域典例4.函数2y x 在区间1,22⎡⎤⎢⎥⎣⎦上的最小值是( )A .14B .14-C .4D .4-【答案】A 【解析】 【分析】 由于函数2y x 在区间1,22⎡⎤⎢⎥⎣⎦上是减函数,从而可求出其最小值【详解】 ①函数2yx 在区间1,22⎡⎤⎢⎥⎣⎦上是减函数,①2min 124y -==, 故选:A. 【点睛】此题考查由函数的单调性求最值,属于基础题变式4-1.在下列函数中,定义域和值域不同的是( ) A .13y x = B .12y x =C .53y x =D .23y x =【答案】D 【解析】 【分析】把幂函数写成根式的形式即可求出定义域及值域,逐项分析即可得解. 【详解】由13y x ==x ∈R ,y R ∈,定义域、值域相同; 由12y x ==[0,)x ∈+∞,[0,)y ∈+∞,定义域、值域相同; 由53y x ==x ∈R ,,定义域、值域相同y R ∈; 由23y x ==x ∈R ,[0,)y ∈+∞,定义域、值域不相同. 故选:D变式4-2.幂函数()y f x =的图象过点(,则函数()y x f x =-的值域是( ) A .(),-∞+∞ B .1,4⎛⎫-∞ ⎪⎝⎭C .1,4⎡⎫-+∞⎪⎢⎣⎭D .1,4⎛⎫-+∞ ⎪⎝⎭【答案】C 【解析】 【分析】设()af x x =,带点计算可得()12f x x =,得到12y x x =-,令12t x =转化为二次函数的值域求解即可. 【详解】设()af x x =,代入点(得2a =12a ∴=, ()12f x x ∴=则12y x x =-,令12t x =,0t ≥22111244t t t y ⎛⎫=--≥- ⎪⎝⎭∴=-函数()y x f x =-的值域是1,4⎡⎫-+∞⎪⎢⎣⎭. 故选:C.变式4-3.已知函数f (x )={3x −2,x ⩽1,x 12,1<x ⩽4,则函数()f x 值域是( )A .(],2-∞B .(]2,2-C .(]1,4D .(],4∞-【答案】B 【解析】 【分析】结合分段函数的单调性来求得()f x 的值域. 【详解】当1x 吋,32x y =-单调递增,值域为(]2,1-;当14x <时,12y x =单调递增,值域为(]1,2,故函数值域为(]2,2-. 故选:B变式4-4.已知幂函数()f x x α=的图象过点1(2,)2,则函数()f x 的值域为 A .(,0)-∞ B .(0,)+∞ C .(,0)(0,)-∞⋃+∞ D .(,)-∞+∞【答案】C 【解析】 【详解】试题分析:()f x x α=的图象过点1(2,)2()11212a a f x x -∴=∴=-∴=,值域为(,0)(0,)-∞⋃+∞考点:幂函数值域题型战法五 幂函数的单调性典例5.下列函数在(0,)+∞上为减函数的是( )A .y =B .1y x=C .2y xD .y x =【答案】B 【解析】 【分析】依据幂函数的性质去判断各选项的单调性即可解决. 【详解】选项A :由12>可得12y x ==(0,)+∞上单调递增.不符合要求,排除;选项B :由10-<可得11y x x-==在(0,)+∞上单调递减.符合要求,可选;选项C :由20>可得2y x 在(0,)+∞上单调递增.不符合要求,排除;选项D :由10>可得y x =在(0,)+∞上单调递增.不符合要求,排除. 故选:B变式5-1.已知函数()122()43f x x x =-+的增区间为( ) A .(3,)+∞ B .(2,)+∞ C .(,2)-∞ D .(,1)-∞【答案】A 【解析】先求得函数的定义域,再令243t x x =-+,结合12y t =的单调性,利用复合函数的单调性求解. 【详解】 由2430x x -+≥, 解得3x ≥或1x ≤,因为243t x x =-+在(,1]-∞递减,在[3,)+∞递增, 又因为12y t =在[0,)+∞递增, 所以()f x 增区间为(3,)+∞ 故选:A变式5-2.已知函数()()()2,16,(1aa x x f x x x ⎧+≤=⎨->⎩)是减函数,则实数a 的取值范围是( ) A .[)7,2-- B .(),2-∞-C .(),7-∞-D .()7,2--【答案】A 【解析】 【分析】由分段函数()f x 是减函数及幂函数的单调性,可得()2001621a a a a ⎧+<⎪<⎨⎪-≤+⨯⎩,解不等式组即可得答案. 【详解】解:因为函数()()()2,16,(1aa x x f x x x ⎧+≤=⎨->⎩)是减函数,所以()2001621a a a a ⎧+<⎪<⎨⎪-≤+⨯⎩,解得72a -≤<-,所以实数a 的取值范围是[)7,2--, 故选:A.变式5-3.已知幂函数()()22244m m f x m m x -=-+在()0,∞+上是增函数,则实数m 的值为( ) A .1或3- B .3 C .1- D .1-或3【答案】B 【解析】 【分析】由函数是幂函数,解得3m =或1m =,再代入原函数,由函数在()0,∞+上是增函数确定最后的m 值. 【详解】①函数是幂函数,则2441m m -+=,①3m =或1m =.当3m =时()3f x x =在()0,∞+上是增函数,符合题意;当1m =时()1f x x -=在()0,∞+上是减函数,不合题意.故选:B.变式5-4.已知幂函数()()282mf x m m x =-在()0,∞+上为增函数,则()4f =( )A .2B .4C .6D .8【答案】A 【解析】 【分析】由于幂函数在在()0,∞+上为增函数,所以可得282100m m m ⎧--=⎨>⎩,求出m 的值,从而可求出幂函数的解析式,进而可求得答案 【详解】由题意得282100m m m ⎧--=⎨>⎩,得12m =,则()12f x x =,()42f =. 故选:A题型战法六 幂函数的奇偶性典例6.下列函数是奇函数的为( )A .2x y =B .1y x -=C .12log y x =D .2y x【答案】B【解析】【分析】奇函数应该满足()()f x f x =--,且定义域关于原点对称,对选项一一判断即可.【详解】奇函数应该满足()()f x f x =--,22x x -≠-,12log y x=的定义域为()0,∞+显然A,C,不成立,当0x ≠时,有()11x x --=--,所以1y x -=为奇函数,由()22x x -=可知,2y x 为偶函数. 故选:B .变式6-1.下列函数中,值域是[)0,∞+且为偶函数的是( )A .2y xB .e e x x y -=+C .lg y x =D .23y x = 【答案】D【解析】【分析】根据函数的奇偶性和值域确定正确选项.【详解】2y x 的值域为()0,∞+,不符合题意,A 选项错误.e e 2x x y -=≥+,当0x =时等号成立,不符合题意,B 选项错误. lg y x =的定义域为()0,∞+,是非奇非偶函数,不符合题意,C 选项错误. 令()23f x x =,其定义域为R ,()()()2233f x x x f x =-=-=,所以()f x 是偶函数, 且230x ≥,即()f x 的值域为[)0,∞+,符合题意,D 选项正确.故选:D变式6-2.下列函数中,既是奇函数又是定义域内的增函数为( ) A .tan y x =B .2log y x =C .2y x =D .3y x = 【答案】D【解析】【分析】根据初等函数的性质及奇函数的定义结合反例逐项判断后可得正确的选项.【详解】对于A ,tan y x =的定义域为|,2x x k k Z ππ⎧⎫≠+∈⎨⎬⎩⎭,而233ππ>,但2tan tan 33ππ==,故tan y x =在定义域上不是增函数,故A 错误.对于B ,2log y x =的定义域为()0,+∞,它不关于原点对称,故该函数不是奇函数, 故B 错误.对于C ,因为21>时,2221<,故2y x=在定义域上不是增函数,故C 错误. 对于D ,因为3y x =为幂函数且幂指数为3,故其定义域为R ,且为增函数, 而()33-=-x x ,故3y x =为奇函数,符合.故选:D.变式6-3.设1,1,22α⎧⎫∈⎨⎬⎩⎭,使函数y x α=的定义域是R ,且为偶函数的所有α的值是( )A .2B .1,2C .12,2D .12,1,2 【答案】A【解析】【分析】 把1,1,22α=分别代入验证即可.【详解】当12α=时,y x α==[)0,∞+,故12α≠;当1α=时,y x x α==,定义域为R ,但是为奇函数,故1α≠;当2α=时,2y x x α==,定义域为R ,为偶函数,故2α=.故选:A变式6-4.已知幂函数()()2133a f x a a x +=-+为偶函数,则实数a 的值为( ) A .3B .2C .1D .1或2【答案】C【解析】【分析】 由题意利用幂函数的定义和性质,得出结论.【详解】幂函数()()2133a f x a a x +=-+为偶函数,2331a a ∴-+=,且1a +为偶数,则实数1a =,故选:C题型战法七 比较大小与解不等式典例7.设0.2 1.20.21.2,0.9,0.3a b c -===,则a ,b ,c 大小关系为( ) A .a b c >>B .a c b >>C .c a b >>D .c b a >>【答案】C【解析】【分析】利用有理指数幂和幂函数的单调性分别求得a ,b ,c 的范围即可得答案.【详解】200. 1.211.2a >==, 1.200.90.91b =<=, b a ∴<,又0.2y x =在(0,)+∞上单调递增,0.20.20.2101 1.20.3()3a -∴<=<=,b ac ∴<<,变式7-1.0.20.21210.5,log ,0.43a b c ===,则( )A .a c b >>B .b c a >>C .b a c >>D .c a b >>【答案】C【解析】【分析】 利用幂函数的单调性判断a b >,再利用对数函数的单调性、对数的换底公式即可求解.【详解】幂函数0.2y x =在(0,)+∞上单调递增, 00.20.20.50.50.4∴>>,1a c ∴>>, 1221log log 313b ==>, b ac ∴>>,故选:C .变式7-2.设120.7a =,120.8b =,31log 2c =,则( ) A .c b a <<B .c a b <<C .a b c <<D .b a c << 【答案】B【解析】【分析】根据函数单调性和中间值比较函数值大小.【详解】因为12y x =在[)0,∞+上单调递增,0.70.8<,所以121200780..b a <=<=,而331log log 102c =<=,故c a b <<. 故选:B变式7-3.已知1122(52)(1)m m -<-,则m 的取值范围是( ) A .(2,+∞)B .52,2⎛⎤ ⎥⎝⎦C .(),2-∞D .[)1,2【答案】B由幂函数的性质,可得0521m m ≤-<-,解不等式组可得答案【详解】 解:因为1122(52)(1)m m -<-, 所以0521m m ≤-<-, 解得522m <≤,故选:B变式7-4.若1122(1)(32)a a +<-,则实数a 的取值范围是( ) A .31,2⎡⎤-⎢⎥⎣⎦ B .21,3⎡⎫-⎪⎢⎣⎭ C .2,3⎛⎫-∞ ⎪⎝⎭ D .3,2⎛⎤-∞ ⎥⎝⎦ 【答案】B【解析】首先利用幂函数的单调性得到10320132a a a a +≥⎧⎪-≥⎨⎪+<-⎩,再解不等式组即可. 【详解】 因为1122(1)(32)a a +<-,所以10320132a a a a +≥⎧⎪-≥⎨⎪<-⎩,解得213a -≤<. 故选:B。
高中数学:幂函数练习及答案幂函数的概念1.若y=x2,y=()x,y=4x2,y=x5+1,y=(x-1)2,y=x,y=a x(a>1),上述函数中幂函数的个数为()A.0B.1C.2D.32.幂函数f(x)=x3m-5(m∈N)在(0,+∞)上是减函数,且f(-x)=f(x),则m等于()A.0B.1C.2D.0或13.当x∈(0,+∞)时,幂函数y=(m2-m-1)·x-m-1为减函数,则实数m等于()A. B.-1 C.2或-1 D.2求幂函数的解析式4.已知点(,)在幂函数y=f(x)的图象上,则f(x)的表达式是()A.f(x)=3xB.f(x)=x3C.f(x)=x-2D.f(x)=()x5.已知幂函数y=f(x)的图象经过点(16,4),则f()的值为()A.3B.C.D.幂函数的定义域和值域6.若函数f(x)=,则函数y=f(4x-3)的定义域是()A.(-∞,+∞)B.(-∞,)C.[,+∞)D.(,+∞)7.有四个幂函数:①f(x)=x-1;②f(x)=x-2;③f(x)=x3;④f(x)=.某同学研究了其中的一个函数,他给出这个函数的两个性质:(1)定义域是{x|x∈R,且x≠0};(2)值域是{y|y∈R,且y≠0}.如果这个同学给出的两个性质都是正确的,那么他研究的函数是()A.①B.②C.③D.④比较幂值的大小8.下列关系中正确的是()A.<<B.<<C.<<D.<<9.设a=0.60.6,b=0.61.5,c=1.50.6,则a、b、c的大小关系是()A.a<b<cB.a<c<bC.b<a<cD.b<c<a幂函数的图像10.函数y=的图象是()A. B. C. D.11.函数y=ax2+a与y=(a≠0)在同一坐标系中的图象可能是()A. B. C. D.12.如图所示,幂函数y=xα在第一象限的图象,比较0,α1,α2,α3,α4,1的大小()A.α1<α3<0<α4<α2<1B.0<α1<α2<α3<α4<1C.α2<α4<0<α3<1<α1D.α3<α2<0<α4<1<α113.幂函数y=x-1及直线y=x,y=1,x=1将平面直角坐标系的第一象限分成八个“卦限”:①,②,③,④,⑤,⑥,⑦,⑧(如图所示),那么幂函数y=的图象经过的“卦限”是()A.④⑦B.④⑧C.③⑧D.①⑤幂函数的性质14.幂函数y=xα,对于给定的有理数α,其定义域与值域相同,则此幂函数()A.一定是奇函数B.一定是偶函数C.一定不是奇函数D.一定不是偶函数15.函数f(x)=在[-1,1]上是()A.增函数且是奇函数B.增函数且是偶函数C.减函数且是奇函数D.减函数且是偶函数16.函数y=x-2在区间[,2]上的最大值是()A. B.-1 C.4 D.-417.下列结论中,正确的是()A.幂函数的图象都经过点(0,0),(1,1)B.幂函数的图象可以出现在第四象限C.当幂指数α取1,3,时,幂函数y=xα是增函数D.当α=-1时,幂函数y=xα在其整个定义域上是减函数18.已知幂函数的图象过点(2,),则它的单调增区间为________.19.已知幂函数f(x)=x3m-9(m∈N*)的图象与x轴、y轴都无公共点且关于y轴对称,求满足≤的a的取值范围.幂函数的综合应用20.已知幂函数f(x)=x(2-k)(1+k)(k∈Z)满足f(2)<f(3).(1)求实数k的值,并写出相应的函数f(x)的解析式;(2)对于(1)中的函数f(x),试判断是否存在正数m,使函数g(x)=1-mf(x)+(2m-1)x在区间[0,1]上的最大值为5.若存在,求出m的值;若不存在,请说明理由.21.集合A是由具备下列性质的函数f(x)组成的:①函数f(x)的定义域是[0,+∞);②函数f(x)的值域是[-2,4);③函数f(x)在[0,+∞)上是增函数,试分别探究下列两小题:(1)判断函数f1(x)=-2(x≥0)及f2(x)=4-6·()x(x≥0)是否属于集合A?并简要说明理由;(2)对于(1)中你认为属于集合A的函数f(x),不等式f(x)+f(x+2)<2f(x+1)是否对于任意的x≥0恒成立?若不成立,为什么?若成立,请说明你的结论.答案1.若y=x2,y=()x,y=4x2,y=x5+1,y=(x-1)2,y=x,y=a x(a>1),上述函数中幂函数的个数为()A.0B.1C.2D.3【答案】C【解析】由幂函数的定义知,y=x2,y=()x,y=4x2,y=x5+1,y=(x-1)2,y=x,y=ax(a>1)七个函数中,是幂函数的是y=x2和y=x,故选C.2.幂函数f(x)=x3m-5(m∈N)在(0,+∞)上是减函数,且f(-x)=f(x),则m等于()A.0B.1C.2D.0或1【答案】B【解析】因为f(x)=x3m-5(m∈N)在(0,+∞)上是减函数,所以3m-5<0,故m<.又因为m∈N,所以m=0或m=1,当m=0时,f(x)=x-5,f(-x)≠f(x),不符合题意;当m=1时,f(x)=x-2,f(-x)=f(x),符合题意.综上知,m=1.3.当x∈(0,+∞)时,幂函数y=(m2-m-1)·x-m-1为减函数,则实数m等于()A. B.-1 C.2或-1 D.2【答案】D【解析】因当x∈(0,+∞)时,幂函数y=(m2-m-1)·x-m-1为减函数,所以m2-m-1=1,且-m-1<0,解得m=2或-1,且m>-1,即m=2.故选D.4.已知点(,)在幂函数y=f(x)的图象上,则f(x)的表达式是()A.f(x)=3xB.f(x)=x3C.f(x)=x-2D.f(x)=()x【答案】B【解析】幂函数f(x)=xα的图象过点(,),所以=()α,解得α=3,所以幂函数为f(x)=x3,故选B.5.已知幂函数y=f(x)的图象经过点(16,4),则f()的值为()A.3B.C.D.【答案】C【解析】∵幂函数y=f(x)=xα的图象经过点(16,4),∴16α=4,解得α=,∴f(x)=,∴f()==.故选C.6.若函数f(x)=,则函数y=f(4x-3)的定义域是()A.(-∞,+∞)B.(-∞,)C.[,+∞)D.(,+∞)【答案】D【解析】幂函数f(x)==,其定义域为(0,+∞),∴4x-3>0,∴x>,∴函数y=f(4x-3)的定义域是(,+∞).7.有四个幂函数:①f(x)=x-1;②f(x)=x-2;③f(x)=x3;④f(x)=.某同学研究了其中的一个函数,他给出这个函数的两个性质:(1)定义域是{x|x∈R,且x≠0};(2)值域是{y|y∈R,且y≠0}.如果这个同学给出的两个性质都是正确的,那么他研究的函数是()A.①B.②C.③D.④【答案】A【解析】对于①,具有(1)定义域是{x|x∈R,且x≠0};(2)值域是{y|y∈R,且y≠0}.对于②,具有性质(1)定义域是{x|x∈R,且x≠0};但不具有性质(2)值域是{y|y∈R,且y≠0}.对于③,不具有性质(1)定义域是{x|x∈R,且x≠0};也不具有性质(2)值域是{y|y∈R,且y≠0}.对于④,不具有性质(1)定义域是{x|x∈R,且x≠0};也不具有性质(2)值域是{y|y∈R,且y≠0}.故选A.8.下列关系中正确的是()A.<<B.<<C.<<D.<<【答案】D【解析】由于幂函数y=在(0,+∞)上递增,因此<,又指数函数y=()x在(0,+∞)上递减,因此<,故<<.故选D.9.设a=0.60.6,b=0.61.5,c=1.50.6,则a、b、c的大小关系是()A.a<b<cB.a<c<bC.b<a<cD.b<c<a【答案】C【解析】∵0.6∈(0,1),∴y=0.6x是减函数,∴0.60.6>0.61.5,又y=x0.6在(0,+∞)是增函数,∴1.50.6>0.60.6,∴b<a<c,故选C.10.函数y=的图象是()A. B. C. D.【答案】A【解析】设y=f(x)=,f(-x)=====f(x),又函数f(x)的定义域为R,故f(x)为偶函数,即其图象关于y轴对称.又∵>0,∴f(x)在(0,+∞)上为增函数,又∵>1,∴f(x)在第一象限的图象与函数y=x2的图象相类似,故选A.11.函数y=ax2+a与y=(a≠0)在同一坐标系中的图象可能是()A. B. C. D.【答案】D【解析】当a>0时,二次函数y=ax2+a的图象开口向上,且对称轴为x=0,顶点坐标为(0,a),故排除A,C;当a<0时,二次函数y=ax2+a的图象开口向下,且对称轴为x=0,顶点坐标为(0,a),函数y=的图象在第二、四象限,故选D.12.如图所示,幂函数y=xα在第一象限的图象,比较0,α1,α2,α3,α4,1的大小()A.α1<α3<0<α4<α2<1B.0<α1<α2<α3<α4<1C.α2<α4<0<α3<1<α1D.α3<α2<0<α4<1<α1【答案】D【解析】由图知取x=2得0<<<1<<,∴α3<α2<0<α4<α1.又α1>1,0<α4<1,故选D.13.幂函数y=x-1及直线y=x,y=1,x=1将平面直角坐标系的第一象限分成八个“卦限”:①,②,③,④,⑤,⑥,⑦,⑧(如图所示),那么幂函数y=的图象经过的“卦限”是()A.④⑦B.④⑧C.③⑧D.①⑤【答案】D【解析】幂函数y=的图象形状是上凸形,在经过(1,1)点以前在y=x上方,而过了(1,1)点后在y =x下方,故可知y=过①⑤“卦限”.14.幂函数y=xα,对于给定的有理数α,其定义域与值域相同,则此幂函数()A.一定是奇函数B.一定是偶函数C.一定不是奇函数D.一定不是偶函数【答案】D【解析】函数y=的定义域和值域都是[0,+∞),它既不是奇函数,也不是偶函数;函数y=x3的定义域和值域都是R,它是奇函数;如果一个幂函数是偶函数,它的图象一定分布在第一和第二象限,它的值域是(0,+∞)或[0,+∞),与它的定义域不同,所以如果一个幂函数的定义域与值域相同,它一定不是偶函数,答案为D.15.函数f(x)=在[-1,1]上是()A.增函数且是奇函数B.增函数且是偶函数C.减函数且是奇函数D.减函数且是偶函数【答案】A【解析】因为f(-x)==-=-f(x),所以f(x)是奇函数.因为>0,f(x)=在第一象限内是增函数,所以f(x)=在[-1,1]上是增函数,综上可知,f(x)=在[-1,1]上是增函数且是奇函数.16.函数y=x-2在区间[,2]上的最大值是()A. B.-1 C.4 D.-4【答案】C【解析】函数y=x-2在区间[,2]上是减函数,所以x=时,y取最大值,最大值是()-2=4.故选C.17.下列结论中,正确的是()A.幂函数的图象都经过点(0,0),(1,1)B.幂函数的图象可以出现在第四象限C.当幂指数α取1,3,时,幂函数y=xα是增函数D.当α=-1时,幂函数y=xα在其整个定义域上是减函数【答案】C【解析】当幂指数α=-1时,幂函数y=x-1的图象不经过原点,故A错误;因为所有的幂函数在区间(0,+∞)上都有定义,且y=xα>0,所以幂函数的图象不可能出现在第四象限,故B错误;当α>0时,y=xα是增函数,故C正确;当α=-1时,y=x-1在区间(-∞,0),(0,+∞)上是减函数,但在整个定义域上不是减函数,故D 错误,故选C.18.已知幂函数的图象过点(2,),则它的单调增区间为________.【答案】[0,+∞)【解析】设幂函数的解析式为y=xα,∵幂函数y=f(x)的图象过点(2,),∴=2α,解得α=,∴y=,所以其单调增区间为[0,+∞).19.已知幂函数f(x)=x3m-9(m∈N*)的图象与x轴、y轴都无公共点且关于y轴对称,求满足≤的a的取值范围.【答案】由已知得3m-9≤0,∴m≤3.又∵幂函数f(x)的图象关于y轴对称,∴3m-9为偶数,又∵m∈N*,∴m=1,3.当m=1或m=3时,有≤或(a+1)-1≤(3-2a)-1.又∵y=和y=x-1在(-∞,0),(0,+∞)上均单调递减,∴a+1≥3-2a>0或0>a+1≥3-2a或a+1<0<3-2a,解得≤a<或a<-1.故a的取值范围是(-∞,-1)∪[,).20.已知幂函数f(x)=x(2-k)(1+k)(k∈Z)满足f(2)<f(3).(1)求实数k的值,并写出相应的函数f(x)的解析式;(2)对于(1)中的函数f(x),试判断是否存在正数m,使函数g(x)=1-mf(x)+(2m-1)x在区间[0,1]上的最大值为5.若存在,求出m的值;若不存在,请说明理由.【答案】(1)对于幂函数f(x)=x(2-k)(1+k)满足f(2)<f(3),因此(2-k)(1+k)>0,解得-1<k<2.因为k∈Z,所以k=0或k=1.当k=0时,f(x)=x2,当k=1时,f(x)=x2,综上所述,k的值为0或1,f(x)=x2.(2)函数g(x)=1-mf(x)+(2m-1)x=-mx2+(2m-1)x+1,由于要求m>0,因此抛物线开口向下,对称轴方程为x =,当m>0时,=1-<1,因为在区间[0,1]上的最大值为5,所以或解得m =+,满足题意.21.集合A是由具备下列性质的函数f(x)组成的:①函数f(x)的定义域是[0,+∞);②函数f(x)的值域是[-2,4);③函数f(x)在[0,+∞)上是增函数,试分别探究下列两小题:(1)判断函数f1(x )=-2(x≥0)及f2(x)=4-6·()x(x≥0)是否属于集合A?并简要说明理由;(2)对于(1)中你认为属于集合A的函数f(x),不等式f(x)+f(x+2)<2f(x+1)是否对于任意的x≥0恒成立?若不成立,为什么?若成立,请说明你的结论.【答案】(1)函数f1(x )=-2不属于集合A.因为f1(x)的值域是[-2,+∞),所以函数f1(x)=-2不属于集合A.f2(x)=4-6·()x(x≥0)在集合A中,因为①函数f2(x)的定义域是[0,+∞);②f2(x)的值域是[-2,4);③函数f2(x)在[0,+∞)上是增函数.(2)∵f(x)+f(x+2)-2f(x+1)=6·()x (-)<0,∴不等式f(x)+f(x+2)<2f(x+1)对任意的x≥0恒成立.11/11。
高中数学(必修一)第三章 函数的概念与性质幂函数 练习题(含答案解析)学校:___________姓名:___________班级:_____________一、单选题1.下列幂函数中,定义域为R 的是( ) A .1y x -= B .12y x -=C .13y x =D .12y x = 2.已知幂函数n y x =在第一象限内的图像如图所示,若112,2,,22n ⎧⎫∈--⎨⎬⎩⎭则与曲线1C 、2C 、3C、4C 对应的n 的值依次为( )A .12-、2-、2、12B .2、12、2-、12-C .2、12、12-、2-D .12-、2-、12、23.四个幂函数在同一平面直角坐标系中第一象限内的图象如图所示,则幂函数12y x =的图象是( )A .①B .①C .①D .①4.下列函数中,既是偶函数,又满足值域为R 的是( ) A .y =x 2B .1||||y x x =+C .y =tan|x |D .y =|sin x |5.如下图所示曲线是幂函数y =xα在第一象限内的图象,已知α取±2,±12四个值,则对应于曲线C 1,C 2,C 3,C 4的指数α依次为( )A .-2,-12,12,2B .2,12,-12,-2C .-12,-2,2,12 D ..2,12,-2,-126.若幂函数()f x 经过点,且()8f a =,则=a ( )A .2B .3C .128D .5127.函数()0a y x x =≥和函数()0xy a x =≥在同一坐标系下的图像可能是( )A .B .C .D .8.式子)A .1633- B .1633--C .1633+D .1633-+9.对,a b ∈R ,记{},max ,,a a ba b b a b ≥⎧=⎨<⎩,函数()}2maxf x x -=的图象可能是( )A .B .C .D .二、解答题10.设函数()222f x x x =-+,[],1,x t t t R ∈+∈(1)求实数t 的取值范围,使()y f x =在区间[],1t t +上是单调函数; (2)求函数()f x 的最小值. 11.已知幂函数()223m m y x m --=∈Z 的图像与x 、y 轴都无交点,且关于y 轴对称,求m 的值,并画出它的草图.12.已知幂函数()()25mf x m m x =+-在()0,∞+上单调递增.(1)求()f x 的解析式;(2)若()31f x x k >+-在[1,1]-上恒成立,求实数k 的取值范围. 13.设函数()f x 是定义在R 上的奇函数,且()21x ax b f x x +=++.(1)求实数a ,b 的值;(2)当x ∈⎤⎦,不等式()()22f x mx x ≥-有解,求实数m 的取值范围.三、填空题14.若点(2,4)P ,0(3,)Q y 均在幂函数()y f x =的图象上,则实数0y =_____.15.已知实数a ,b 满足等式a 12=b 13,下列五个关系式:①0<b<a<1;①-1<a<b<0;①1<a<b ;①-1<b<a<0;①a =b.其中可能成立的式子有________.(填上所有可能成立式子的序号) 16.函数3223125y x x x =--+在[0,3]上的最大值等于__________.17.定义{}()max ,()a ab a b b a b ≥⎧=⎨<⎩,则{}2max 1,2x x x +--的最小值为_________.参考答案:1.C【分析】直接根据幂函数的定义域可直接判断,偶次根式被开方式必须大于等于0才有意义,分式则必须分母不为0【详解】对选项A,则有:0x≠对选项B,则有:0x>对选项C,定义域为:R对选项D,则有:0x≥故答案选:C2.C【解析】本题可根据幂函数的图像与性质并结合题目中的图像即可得出结果.【详解】由幂函数的图像与性质可知:在第一象限内,在1x=的右侧部分的图像,图像由下至上,幂的指数依次增大,故曲线1C、2C、3C、4C对应的n的值依次为:2、12、12-、2-,故选:C.【点睛】本题考查幂函数的图像与性质,在第一象限内,幂函数在1x=的右侧部分的图像,图像由下至上,幂的指数依次增大,考查数形结合思想,是简单题.3.D【解析】由幂函数12y x=为增函数,且增加的速度比较缓慢作答.【详解】幂函数12y x=为增函数,且增加的速度比较缓慢,只有①符合.故选:D.【点睛】本题考查幂函数的图象与性质,属于基础题.4.C【分析】由函数的值域首先排除ABD,对C进行检验可得.【详解】选项A,B中函数值不能为负,值域不能R,故AB错误,选项D值域为[]0,1,故D也错误,那么选项C为偶函数,当3(,)22xππ∈时,tan tany x x==,值域是R,因此在定义域内函数值域为R,故选:C5.B【分析】在图象中,作出直线1x m =>,根据直线x m =和曲线交点的纵坐标的大小,可得曲线1C ,2C ,3C ,4C 相应的α应是从大到小排列.【详解】在图象中,作出直线1x m =>,直线x m =和曲线的交点依次为,,,A B C D , 所以A B C D y y y y >>>,所以C A B D m m m m αααα>>>, 所以A B C D αααα>>>,所以可得曲线1C ,2C ,3C ,4C 相应的α依次为 2,12,-12,-2 故选:B【点睛】本题主要考查幂函数的图象和性质,意在考查学生对这些知识的理解掌握水平. 6.A【解析】设幂函数()f x x α=,代入点求出3α=,即可求解.【详解】设()f x x α=,因为幂函数()f x 经过点,所以f α==, 解得3α=,所以()38f a a ==,解得2a =, 故选:A 7.C【分析】按照x y a =和a y x =的图像特征依次判断4个选项即可.【详解】()0a y x x =≥必过(0,0),()0xy a x =≥必过(0,1),D 错误;A 选项:由x y a =图像知1a >,由a y x =图像可知01a <<,A 错误;B 选项:由x y a =图像知01a <<,由a y x =图像可知1a >,B 错误;C 选项:由x y a =图像知01a <<,由a y x =图像可知01a <<,C 正确. 故选:C. 8.A【分析】利用根式与分数指数幂互化和指数幂运算求解.【详解】231322333⎛⎫=-÷ ⎪⎝⎭, 21131326223333--=-=-,故选:A 9.A【分析】由()}2maxf x x -=2x -的较大者,在同一平面直角坐标系中作出两个函数的图象,取图象较高者即可得()f x 的图象.【详解】y =2y x 都是偶函数,当0x >时,12y x =在()0,∞+上单调递增,2yx 在()0,∞+上单调递减,当1x =2x -=在同一平面直角坐标系中作出y =和2yx 的图象,如图:()}2maxf x x -=2x -的较大者,所以()f x 图象是两个图象较高的,故选:A.10.(1)(][),01,-∞⋃+∞;(2)()2min21,01,0122,1t t f x t t t t ⎧+≤⎪=<<⎨⎪-+≥⎩【解析】(1)由题可得11t +≤或1t ≥,解出即可;(2)讨论对称轴在区间[],1t t +的位置,根据单调性即可求出. 【详解】(1)()f x 的对称轴为1x =,要使()y f x =在区间[],1t t +上是单调函数, 则11t +≤或1t ≥,解得0t ≤或1t ≥, 即t 的取值范围为(][),01,-∞⋃+∞;(2)()f x 的对称轴为1x =,开口向上,则当1t ≥时,()f x 在[],1t t +单调递增,()()2min 22f x f t t t ∴==-+,当11t t <<+,即01t <<时,()()min 11f x f ==,当11t +≤,即0t ≤时,()f x 在[],1t t +单调递减,()()2min 11f x f t t ∴=+=+,综上,()2min21,01,0122,1t t f x t t t t ⎧+≤⎪=<<⎨⎪-+≥⎩. 11.1m = ;草图见祥解【分析】根据幂函数的性质,可得到2230m m --<,再有图像关于y 对称,即可求得m 的值. 【详解】因为幂函数223()m m y x m Z --=∈的图像与坐标轴无交点,所以2230m m --<,解得13m -<<,又因为m Z ∈,所以0,1,2m =,因为图像关于y 对称,所以幂函数为偶函数, 当0m =时,则3y x -=为奇函数,不满足题意; 当1m =时,则4y x -= 为偶函数,满足题意; 当2m =时,则3y x -=为奇函数,不满足题意; 综上所述:1m = 草图(如下)【点睛】本题考查幂函数的性质和图像,需熟练掌握幂函数的性质和图像. 12.(1)2()f x x = (2)(),1-∞-【分析】(1)根据幂函数的定义和()f x 的单调性,求出m 得值; (2)结合第一问求出的2()f x x =,利用函数的单调性,解决恒成立问题. (1)()f x 是幂函数,则251m m +-=,2m ∴=或-3,()f x 在(0,)+∞上单调递增,则2m =所以2()f x x =; (2)()31f x x k >+-即2310x x k -+->,要使此不等式在[1,1]-上恒成立,只需使函数()231g x x x k =-+-在[1,1]-上的最小值大于0即可.①()231g x x x k =-+-在[1,1]-上单调递减,①()()11min g x g k ==--, 由10k -->,得1k <-.因此满足条件的实数k 的取值范围是(),1-∞-. 13.(1)0a =,0b = (2)1,4⎛⎤-∞ ⎥⎝⎦【分析】(1)根据定义在R 上的奇函数的性质以及定义即可解出;(2)由(1)可知,()21x f x x =+,根据分离参数法可得()()22112m x x ≤+-,再求出()()22112x x +-的最大值,即得解. (1)因为函数()f x 是定义在R 上的奇函数,所以()00f a ==,()()1111022f f b b-+-=+=+-,解得0b =,检验可知函数()21xf x x =+为奇函数,故0a =,0b =. (2)由(1)可知,()21x f x x =+,而x ∈⎤⎦,所以 ()()22f x mx x ≥-可化为()()22112m x x ≤+-,设[]23,4t x =∈,则()()()()[]222219121224,1024x x t t t t t ⎛⎫+-=+-=--=--∈ ⎪⎝⎭,而不等式()()22f x mx x ≥-有解等价于()()22max11412m x x ⎡⎤⎢⎥≤=+-⎢⎥⎣⎦,故实数m 的取值范围为1,4⎛⎤-∞ ⎥⎝⎦.14.9【分析】设出幂函数的解析式,代入P 点坐标求得这个解析式,然后令3x =求得0y 的值.【详解】设幂函数为()f x x α=,将()2,4P 代入得24,2αα==,所以()2f x x =,令3x =,求得2039y ==.【点睛】本小题主要考查幂函数解析式的求法,考查幂函数上点的坐标,属于基础题. 15.①①①【分析】在同一坐标系中画出函数121y x =,132y x =的图象,结合函数图象,进行动态分析可得,当01b a <<<时,当1a b <<时,当1a b ==时,1132a b =可能成立,10b a -<<<、10a b -<<<时,12a 没意义,进而即可得到结论【详解】10b a -<<<、10a b -<<<时,12a 没意义,①①不可能成立;’画出121y x =与132y x =的图象(如图), 已知1132x x m ==,作直线y m =, 若0m =或1,则a b =,①能成立; 若01m <<,则01b a <<<,①能成立;若1m ,则1a b <<,①能成立,所以可能成立的式子有①①①,故答案为①①①.【点睛】本题主要考查幂函数的图象与性质,意在考查灵活应用所学知识解答问题的能力,以及数形结合思想的应用,属于中档题. 数形结合是根据数量与图形之间的对应关系,通过数与形的相互转化来解决数学问题的一种重要思想方法,.函数图象是函数的一种表达形式,它形象地揭示了函数的性质,为研究函数的数量关系提供了“形”的直观性.归纳起来,图象的应用常见的命题探究角度有:1、确定方程根的个数;2、求参数的取值范围;3、求不等式的解集;4、研究函数性质.16.5【分析】对3223125y x x x =--+求导,根据单调性求最大值.【详解】3223125y x x x =--+,则266126(2)(1)y x x x x '=--=-+当2x >时,0y '>,此时函数3223125y x x x =--+单调递增;当12x -<<时,0y '<,此时函数3223125y x x x =--+单调递减;当1x <-时,0y '>,此时函数3223125y x x x =--+单调递增.则函数3223125y x x x =--+在区间[0,2]内单调递减,在区间[2,3]内单调递增当0x =时,5y =,当3x =时,4y =-所以函数3223125y x x x =--+在0x =处取到最大值5所以函数3223125y x x x =--+在区间[0,3]上的最大值是5.故答案为:5.17.1【分析】根据题干中max 函数的定义,可以得到所求函数为分段函数,求出每一段的最小值,取其中的最小值即可 【详解】令212x x x +-=-得:3x =-或1x =,由题意可得:{}2221,3max 1,22,311,1x x x x x x x x x x x ⎧+-≤-⎪+--=--<<⎨⎪+-≥⎩,画出函数对应的图像如下:由图可得:当1x =时,{}2max 1,2x x x +--最小,代入解析式可得:最小值为1故答案为:1。
幂函数练习题求解方程幂函数是高中数学中的一个重要概念,求解幂函数的方程是其中的一项基本操作。
在本文中,我们将通过几个练习题来掌握如何求解幂函数的方程。
练习题1:已知函数f(x) = 2^x - 8,求解方程f(x) = 0的根。
解析:根据题目中给出的函数f(x),我们需要找到使得f(x)等于零的x值。
即求解方程2^x - 8 = 0。
为了解这个方程,我们可以将等式中的8移项,得到2^x = 8。
然后,我们将等式两边取以2为底的对数,得到x = log2(8)。
根据对数的定义,log2(8) = log(8) / log(2) ≈ 3。
因此,方程的解为x ≈ 3。
练习题2:已知函数g(x) = 3^(x+1) - 9,求解方程g(x) = 0的根。
解析:根据题目中给出的函数g(x),我们需要找到使得g(x)等于零的x值。
即求解方程3^(x+1) - 9 = 0。
为了解这个方程,我们可以将等式中的9移项,得到3^(x+1) = 9。
然后,我们将等式两边取以3为底的对数,得到x + 1 = log3(9)。
根据对数的定义,log3(9) = log(9) / log(3) ≈ 2。
因此,方程的解为x ≈ 1。
练习题3:已知函数h(x) = 4^x - 16,求解方程h(x) = 0的根。
解析:根据题目中给出的函数h(x),我们需要找到使得h(x)等于零的x值。
即求解方程4^x - 16 = 0。
为了解这个方程,我们可以将等式中的16移项,得到4^x = 16。
然后,我们将等式两边取以4为底的对数,得到x = log4(16)。
根据对数的定义,log4(16) = log(16) / log(4) ≈ 2。
因此,方程的解为x ≈ 2。
通过以上三个练习题的求解,我们可以看到求解幂函数的方程的基本思路。
对于形如a^x = b的方程,我们先将等式两边取以a为底的对数,然后根据对数的定义求解x的值。
希望通过这些练习题,你对幂函数的方程求解有了更深入的了解。
苏教版高中数学必修第一册第6章幂函数、指数函数和对数函数测试卷(满分150分,时间120分钟)班级姓名评价一、单项选择题:本题共8小题,每小题5分,共40分.在每小题给出的四个选项中,只有一项是符合题目要求的.1.函数f (x )2(3x +1)的定义域为()A.-13,+∞B.-∞,C.-13D.-13,12.设a =log 42.4,b =log 32.9,c =log 32.4,则a ,b ,c 的大小关系为()A.b >c >aB.b >a >cC.c >b >aD.a >c >b3.已知0<m <n <1,则指数函数①y =m x 和②y =n x 的图象为()A.B. C. D.4.已知函数f (x )=log 3(x -1),若f (a )=2,则实数a 的值为()A.3B.8C.9D.105.函数y 2+2的增区间为()A.(-∞,0)B.(-∞,-1]C.[-1,+∞)D.[-2,+∞)6.不论a 为何值,函数y =(a -1)2x-2恒过一定点,则这个定点为()A.1,B.1C.-1,D.-17.已知函数f (x )=log a x (0<a <1),则函数y =f (|x |+1)的图象大致是()A. B. C. D.8.春末夏初,南京玄武湖公园荷花池中的荷花枝繁叶茂,已知每天新长出的荷叶覆盖水面的面积是前一天的两倍,若荷叶20天可以完全长满荷花池水面,则当荷叶刚好覆盖水面面积18时,荷叶已生长了()A.4天B.15天C.17天D.18天二、多项选择题:本题共4小题,每小题5分,共20分.在每小题给出的选项中,有多项符合要求.全部选对的得5分,部分选对的得3分,有选错的得0分.9.下列函数中定义域和值域相同的是()A.y = 23B.y = 15C.y =-xD.y =3x10.已知函数f (x )=log 3( -2), >2,3 -1, ≤2,则下列各式正确的是()A.f (5)=1B.f (f (5))=1C.f (3)=9D.f (f (3))=1311.设函数f (x )=(3-2 ) -1, ≤1,, >1,其中a >0且a ≠1,下列关于函数f (x )的说法正确的是()A.若a =2,则f (log 23)=3B.若f (x )在R 上是增函数,则1<a <32C.若f (0)=-1,则a =32D.函数f (x )为R 上的奇函数12.已知函数f (x )=lo g 12x ,下列四个命题正确的是()A.函数f (|x |)为偶函数B.若f (a )=|f (b )|,其中a >0,b >0,a ≠b ,则ab =1C.函数f (-x 2+2x )在(1,3)上为增函数D.若0<a <1,则|f (1+a )|<|f (1-a )|三、填空题:本题共4小题,每小题5分,共20分.其中第15题第一个空2分,第二个空3分.13.若幂函数y =f (x 2,则f .14.设函数f (x )=lg x ,若f (2x )<f (2),则实数x 的取值范围是.15.函数f (x )=a 2-x-1(a >0,a ≠1)恒过定点,当0<a <1时,f (x 2)的增区间为.16.已知函数f (x )=x 2+log 2|x |,则不等式f (x -1)-f (1)<0的解集为.四、解答题:本题共6小题,共70分.解答时应写出文字说明、证明过程或演算步骤.17.(10分)比较下列各组数的大小:(1)1.8,2.2;(2)0.70.8,0.80.7.18.(12分)已知关于x 的方程5x=15- 有负根,求实数a 的取值范围.19.(12分)已知函数f (x )=log a (-x 2+2x +3)(其中a >0且a ≠1)的值域为[-2,+∞).(1)求实数a 的值;(2)求函数f (x )的单调区间.20.(12分)已知函数f (x )=(a 2-a +1)x a +1为幂函数,且为奇函数.(1)求实数a 的值;(2)求函数g (x )=f (x )+1-2 ( )在0.21.(12分)设函数f (x )=lg (ax )·lg2.(1)当a =0.1时,求f (1000)的值;(2)若f (10)=10,求实数a 的值;(3)若对一切正实数x 恒有f (x )≤98,求实数a 的取值范围.22.(12分)为了预防流感,某学校对教室用药薰消毒法进行消毒,已知药物释放过程中,室内每立方米空气中的含药量y (单位:mg )与t 时间(单位:h )成正比,药物释放完毕后,y 与t之间的函数关系式为y 2+0.9 +(a 为常数),其图象如图所示,根据图中提供的信息回答下列问题:(1)从药物释放开始,求每立方米空气中的含药量y 与时间t 之间的函数关系式.(2)据测定,当空气中每立方米的含药量降低到116mg 以下时,学生方可进入教室,那么从药物释放开始至少需要经过多少小时,学生才可以回到教室?(第22题)参考答案1.D2.A3.C4.D5.B6.C7.A8.C9.BC 10.ABD 11.AB 12.ABD 13.-214.(0,1)15.(2,0)[0,+∞)16.(0,1)∪(1,2)17.(1)1.82.2(2)0.70.8<0.80.718.方程5x=15- 有负根,即0<15-<1,解得a <4,即a ∈(-∞,4)19.(1)a =12(2)函数f (x )的减区间为(-1,1],增区间为[1,3)20.(1)a =0(2)g (x )=x +1-2 ,x ∈0t =1-2 ,t ∈[0,1],则g (t )=t +1- 22=-12(t -1)2+1,所以12≤g (t )≤121.(1)f (1000)=-14(2)f (10)=lg (10a )·lg 100=(1+lg a )(lg a -2)=(lg a )2-lg a -2=10,即(lg a )2-lg a -12=0,解得lg a =4或-3,即a =104或10-3(3)因为对一切正实数x 恒有f (x )≤98,所以lg (ax )·lg 2≤98在(0,+∞)上恒成立,即(lg a +lg x )(lg a -2lg x )≤98,即2(lg x )2+lg a ·lg x -(lg a )2+98≥0在(0,+∞)上恒成立.因为x >0,所以lg x ∈R .由二次函数的性质可知,Δ=(lg a )2-8-(lg )2+,所以(lg a )2≤1,则-1≤lg a ≤1,所以110≤a ≤1022.(1)当0≤t ≤1时,设y =kt ,将点(0.1,1)代入得k =10,所以y =10t ,再将点(0.1,1)代入y 2+0.9 +,得a =-0.1,所以y 0≤ ≤1,2+0.9 -0.1, >1(2)2+0.9 -0.1≤116,所以( 2+0.9 -0.1),所以5(t 2+0.9t -0.1)≥4,所以10t 2+9t -9≥0,所以t ≥35或t ≤-32(舍去),所以学生要在0.6h 后才可以进入教室。
第1页共1页幂函数练习题
一、选择题
1.幂函数35m y x ,其中m ∈N ,且在(0,+∞)上是减函数,又()
()f x f x ,则m= ( ) A .0 B .1 C .2 D
.3 2.函数23y x 的图象是(
)
A B C D
3.在同一坐标系函数
3x y 与31
x y 的两个图象之间()A .关于原点对称
B .关于x轴对称
C .关于y轴对称
D .关于x y 对称
4.已知幂函数Z q N p x y q p ,的图象如图,则()
A .p 为偶数,q 为奇数
B .p 为偶数,q 为负奇数
C .p 为奇数,q 为偶数
D .p 为奇数,q 为负偶数二、填空题
5.幂函数的图象都经过点
,幂函数的图象不可能出现在第象限.6.函数3k x y 为,
0上的增函数,则k ______________ .7.当1x 时,21
x x k ,则实数k 的取值范围是_______________ .
三、解答题
8.已知幂函数)(x f 的图象过点(3,27),求证:)(x f 在R 上为奇函数且为增函数.
9.若幂函数x m m m m y )332(22
的图象不过原点,求:m 值.
10.已知43
43
823a a ,求a 的取值范围.
x x x x
y y y y O O O O x y o。