电磁场与电磁波课后习题及答案四章习题解答
- 格式:doc
- 大小:171.50 KB
- 文档页数:16
电磁场与电磁波(第四版)习题解答第1章习题习题1.1给定三个矢量A 、B 和C 如下:23x y z =+-A e e e .4y z=-+B e e ,52x z =-C e e ,解:(1)22323)12(3)A x y z e e e A a e e e A+-===+-++- (2)2641x y z A B e e e -=+-==(3)(23)(4)11x y z y z A B e e e e e •=+-•-+=-(4)arccos135.5A B AB θ•===︒ (5)1711cos -=⋅=⋅⋅==B B A A B B A A A A AB Bθ(6)12341310502xy zx Y Z e e e A C e e e ⨯=-=---- (7)0418520502xy zx Y Z e e e B C e e e ⨯=-=++-()(23)(8520)42x Y Z x Y Z A B C e e e e e e •⨯=+-•++=-123104041xy zx Y Z e e e A B e e e ⨯=-=---- ()(104)(52)42x Y Z x Z A B C e e e e e ⨯•=---•-=-(8)()10142405502x y zx Y Z e e e A B C e e e ⨯⨯=---=-+-()1235544118520xy zx Y Z e e e A B C e e e ⨯⨯=-=-- 习题1.4给定两矢量 234x y z =+-A e e e 和 456x y z =-+B e e e ,求它们之间的夹角和 A 在 B上的分量。
解:29)4(32222=-++=A776)5(4222=+-+=B31)654()432(-=+-⋅-+=⋅z y x z y x e e e e e e B A则A 与B之间的夹角为131772931cos =⎪⎪⎭⎫ ⎝⎛⋅-=⎪⎪⎪⎭⎫⎝⎛⋅⋅=ar BA B A arcis ABθ A 在B上的分量为532.37731cos -=-=⋅=⋅⋅⋅==B B A BA B A A A A AB Bθ习题1.9用球坐标表示的场225rr =E e , (1)求在直角坐标中点(3,4,5)--处的E 和x E ;(2)求在直角坐标中点(3,4,5)--处E 与矢量22x y z =-+B e e e 构成的夹角。
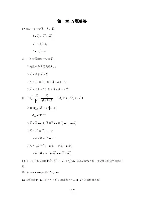
电磁场 与电磁波(第四版) 课后答案第一章 习 题 解答1.1 给定三个矢量A 、B 和C 如下: 23x y z =+-A e e e4y z =-+B e e 52x z =-C e e求:(1)A a ;(2)-A B ;(3)A B ;(4)AB θ;(5)A 在B 上的 分量;(6)⨯A C ;(7)()⨯A B C 和()⨯A B C ;(8)()⨯⨯A B C 和()⨯⨯A B C 。
解 (1)23A x y z +-===+-e e e A a e e e A (2)-=A B (23)(4)x y z y z +---+=e e e ee 64x y z +-=e e e (3)=A B (23)x y z +-e e e (4)y z -+=e e -11 (4)由c o sAB θ=11238=A B A B ,得1c o s AB θ-=(135.5= (5)A 在B 上的分 量 B A =A c o s AB θ==A B B (6)⨯=A C 123502xyz-=-e e e 41310x y z ---e e e (7)由于⨯=B C 041502xyz-=-e e e 8520x y z ++e e e⨯=A B 123041xyz-=-e e e 1014x y z ---e e e所以 ()⨯=A B C (23)x y z +-e e e (8520)4x y z ++=-e e e ()⨯=A B C (1014)x y z ---e e e (52)42x z -=-e e (8)()⨯⨯=A B C 1014502xyz---=-e e e 2405x y z -+e e e()⨯⨯=A B C 1238520x y z -=e e e 554411x y z --e e e1.2 三角形的三个顶点 为1(0,1,2)P -、2(4,1,3)P -和3(6,2,5)P 。
第一章 习题解答1.2给定三个矢量A ,B ,C : A =x a +2y a -3z a B = -4y a +z aC =5x a -2za求:⑴矢量A 的单位矢量A a ; ⑵矢量A 和B 的夹角AB θ; ⑶A ·B 和A ⨯B⑷A ·(B ⨯C )和(A ⨯B )·C ;⑸A ⨯(B ⨯C )和(A ⨯B )⨯C解:⑴A a =A A=(x a +2y a -3z a ) ⑵cos AB θ=A ·B /A BAB θ=135.5o⑶A ·B =-11, A ⨯B =-10x a -y a -4z a ⑷A ·(B ⨯C )=-42(A ⨯B )·C =-42⑸A ⨯(B ⨯C )=55x a -44y a -11z a(A ⨯B )⨯C =2x a -40y a +5z a1.3有一个二维矢量场F(r)=x a (-y )+y a (x),求其矢量线方程,并定性画出该矢量场图形。
解:由dx/(-y)=dy/x,得2x +2y =c1.6求数量场ψ=ln (2x +2y +2z )通过点P (1,2,3)的等值面方程。
解:等值面方程为ln (2x +2y +2z )=c 则c=ln(1+4+9)=ln14 那么2x +2y +2z =141.9求标量场ψ(x,y,z )=62x 3y +ze 在点P (2,-1,0)的梯度。
解:由ψ∇=x a x ψ∂∂+y a y ψ∂∂+z a zψ∂∂=12x 3y x a +182x 2y y a +ze z a 得ψ∇=-24x a +72y a +z a1.10 在圆柱体2x +2y =9和平面x=0,y=0,z=0及z=2所包围的区域,设此区域的表面为S: ⑴求矢量场A 沿闭合曲面S 的通量,其中矢量场的表达式为A =x a 32x +y a (3y+z )+z a (3z -x)⑵验证散度定理。
四章习题解答4.1如题4.1图所示为一长方形截面的导体槽,槽可视为无限长,其上有一块与槽相绝缘的 盖板,槽的电位为零,上边盖板的电位为 U o ,求槽内的电位函数。
解根据题意,电位 (0, y) (x,0) (x,b)电位y b ( x )。
上板和薄片保持电位 U °,下板保持零电位,求板间电位的解。
设在薄片平面上,从y 0到y d ,电位线性变化,(0, y) U 0y d 。
解 应用叠加原理,设板间的电位为(x,y )1(x, y) 2(x, y)其中,1 (x, y)为不存在薄片的平行无限大导体平面间(电压为(x, y) n 1aa两边同乘以 题4.1图由条件③,有sin(nA nU oAsinh(— b)sin( n x)aa2U on sinh( n ba)(1 x―),并从 a cos n 0到a 对x 积分,得到an xsin( -- )dxasinh( n b a) 0 a4U 02U o ) n sinh(n ,n b a)1,3,5,L2,4,6,L sin h(^^)s135,L nsinh(n b a) aa4.2两平行无限大导体平面,距离为b ,其间有故得到槽内的电位分布(x,y)型 n y a 极薄的导体片由y d 到 (x, y)满足的边界条件为 (a, y) 0 0U 。
(x, y)的通解应取为 ① ② ③ 根据条件①和②, ②2(x,y) 0 (x )U°)的电位,即1(x,y) U0yb ;2(x,y)是两个电位为零的平行导体板间有导体薄片时的电位,其边界条件为:①2(x,0) 2(x,b) 0根据条件①和②, 由条件③有 U o③ 2(0, y) (0,y) 可设 2(x, y )的通解为 2(x,y ) U o n y A sin(- 1 b U T yU E y(0 (d 1(o, y) Un y )e A V )eA n Sin( 1d) b) by(0 (dy d) y b)n y两边同乘以sin(- b 2U o d b o ),并从 o 到b 对y 积分,得到b )ysin( / 、U o 2bU o El L 厂求在上题的解中,除开 2W e 故得到 4.3 C f 厂定出边缘电容。
电磁场与电磁波第四版课后答案第一章:电磁场与电磁波简介1.电场与磁场是电磁场的两个基本概念。
电磁场是由电荷和电流产生的。
第二章:静电场2.静电场是指电荷分布不随时间变化的电场。
3.庞加莱定理:在任意封闭曲面内,电场的通量等于该曲面内的电荷代数和除以介电常数。
第三章:电磁场的数学描述4.麦克斯韦方程组是描述电磁场的基本方程组。
5.麦克斯韦方程组包括4个方程,分别是高斯定律、高斯磁定律、法拉第电磁感应定律和安培环路定律。
第四章:静磁场6.静磁场是指磁场随时间不变的情况。
7.安培环路定律描述了静磁场中的磁场强度与电流的关系。
第五章:电磁波的产生与传播8.电磁波是由振荡的电场和磁场组成的波动现象。
9.麦克斯韦方程组的解可以得到电磁波的传播方程,即波动方程。
第六章:电磁波谱10.电磁波谱是按照电磁波的频率或波长划分的。
第七章:矢量分析与场11.矢量分析是用来描述场的数学工具。
12.二、三维坐标系下的矢量分析公式包括梯度、散度、旋度等概念。
第八章:电磁波在介质中的传播13.介质中的电磁波传播速度小于真空中的光速。
14.介质中的电磁波受到折射和反射的影响。
第九章:光的偏振与吸收15.光的偏振是指电磁波在传播方向上的振动方向。
16.介质对电磁波的吸收会产生能量损耗。
总结本文简要介绍了《电磁场与电磁波第四版》课后习题答案。
通过对电磁场与电磁波的基本概念、静电场、电磁场的数学描述、静磁场、电磁波的产生与传播、电磁波谱、矢量分析与场、电磁波在介质中的传播以及光的偏振与吸收等内容的讨论,我们对电磁场与电磁波的相关知识有了更深入的了解。
理解这些知识对于学习和应用电磁场与电磁波有着重要的意义。
希望本文的内容能够帮助读者更好地掌握《电磁场与电磁波第四版》的相关知识。
《电磁场与电磁波》(第四版)习题集:第4章时变电磁场第4章时变电磁场在时变的情况下,电场和磁场相互激励,在空间形成电磁波,时变电磁场的能量以电磁波的形式进行传播。
电磁场的波动方程描述了电磁场的波动性,本章首先对电磁场的波动方程进行讨论。
在时变电磁场的情况下,也可以引入辅助位函数来描述电磁场,使一些复杂问题的分析求解过程得以简化。
本章对时变电磁场的位函数及其微分方程进行了讨论。
电磁能量一如其它能量服从能量守恒原理,本章将讨论电磁场的能流和表征电磁场能量守恒关系的坡印廷定理。
本章在最后讨论了随时间按正弦函数变化的时变电磁场,这种时变电磁场称为时谐电磁场或正弦电磁场。
4. 1 波动方程由麦克斯韦方程可以建立电磁场的波动方程,揭示了时变电磁场的运动规律,即电磁场的波动性。
下面建立无源空间中电磁场的波动方程。
在无源空间中,电流密度和电荷密度处处为零,即0ρ=、0=J 。
在线性、各向同性的均匀媒质中,E 和H 满足的麦克斯韦方程为t ε=?EH (4.1.1) tμ=-?HE (4.1.2) 0?=H (4.1.3) 0?=E (4.1.4)对式(4.1.2)两边取旋度,有()()tμ=-E H 将式(4.1.1)代入上式,得到22()0t με+=?EE利用矢量恒等式2()()=??-?E E E 和式(4.1.4),可得到2220tμε??-=?EE (4.1.5)此式即为无源区域中电场强度矢量E 满足的波动方程。
同理可得到无源区域中磁场强度矢量H 满足的波动方程为2220tμε??-=?H H (4.1.6)无源区域中的E 或H 可以通过求解式(4.1.5)或式(4.1.6)的波动方程得到。
在直角坐标系中,波动方程可以分解为三个标量方程,每个方程中只含有一个场分量。
例如,式(4.1.5)可以分解为222222220x x x xE E E E x y z tμε++-= (4.1.7) 222222220yyyyE E E E x y z t με++-= (4.1.8)222222220z z z zE E E E x y z t με++-= (4.1.9)在其它坐标系中分解得到的三个标量方程都具有复杂的形式。
第四章 习题4-1、 电量为nC 500的点电荷,在磁场)(ˆ2.1T zB =中运动,经过点)5,4,3(速度为 s m y x/ˆ2000ˆ500+ 。
求电荷在该点所受的磁场力。
解:根据洛仑兹力公式B v q F⨯=N x y z y x 4491012ˆ103ˆ2.1ˆ)ˆ2000ˆ500(10500---⨯+⨯-=⨯+⨯⨯= N y x4103)ˆˆ4(-⨯-= 4-2、真空中边长为a 的正方形导线回路,电流为I ,求回路中心的磁场。
解:设垂直于纸面向下的方向为z 方向。
长为a 的线电流I 在平分线上距离为a/2的点上的磁感应强度为aIzB πμ2ˆ01= 因而,边长为a 的正方形导线回路在中心点上的磁感应强度为aIz B B πμ24ˆ401==题4-2图 题4-3图4-3、真空中边长为a 的正三角形导线回路,电流为I ,求回路中心的磁场.解:设垂直于纸面向下的方向为z 方向。
由例4-1知,长为a 的线电流I 在平分线上距离为b 的点上的磁感应强度为2201)2(ˆa b a bIz B +=πμ所以220)2(3ˆa b a bIz B +=πμ ,其中)6(2πtg a b =4-4、真空中导线绕成的回路形状如图所示,电流为I 。
求半圆中心处的磁场。
(c)题4-4 图解:设垂直于纸面向内的方向为z 方向。
由例4-2知,半径为a 的半圆中心处的磁场为aIz B 4ˆ01μ= (1)因为在载流长直导线的延长线上磁场为零,因此aIz B 4ˆ0μ= (2)由例4-1知,本题半无限长的载流长直导线在距离为a 处的磁场为aIz B πμ4ˆ02= 因此本题磁场为半圆环的磁场与两半无限长的直导线的磁场之和)2(4ˆ0+-=ππμaIz B (3)本题磁场为电流方向相反的两不同半径的半圆环的磁场之和,即)11(4ˆ0ba I zB -=μ 4-5、 在真空中将一个半径为a 的导线圆环沿直径对折,使这两半圆成一直角。
如题图所示为一长方形截面的导体槽,槽可视为无限长,其上有一块与槽相绝缘的盖板,槽的电位为零,上边盖板的电位为,求槽内的电位函数。
解根据题意,电位满足的边界条件为①②③根据条件①和②,电位的通解应取为题图由条件③,有两边同乘以,并从0到对积分,得到故得到槽内的电位分布两平行无限大导体平面,距离为,其间有一极薄的导体片由到。
上板和薄片保持电位,下板保持零电位,求板间电位的解。
设在薄片平面上,从到,电位线性变化,。
题图解应用叠加原理,设板间的电位为其中,为不存在薄片的平行无限大导体平面间(电压为)的电位,即;是两个电位为零的平行导体板间有导体薄片时的电位,其边界条件为:①②③根据条件①和②,可设的通解为由条件③有两边同乘以,并从0到对积分,得到故得到求在上题的解中,除开一项外,其他所有项对电场总储能的贡献。
并按定出边缘电容。
解在导体板()上,相应于的电荷面密度则导体板上(沿方向单位长)相应的总电荷相应的电场储能为其边缘电容为如题图所示的导体槽,底面保持电位,其余两面电位为零,求槽内的电位的解。
解根据题意,电位满足的边界条件为①题图②③根据条件①和②,电位的通解应取为由条件③,有两边同乘以,并从0到对积分,得到故得到槽内的电位分布为一长、宽、高分别为、、的长方体表面保持零电位,体积内填充密度为的电荷。
求体积内的电位。
解在体积内,电位满足泊松方程(1)长方体表面上,电位满足边界条件。
由此设电位的通解为代入泊松方程(1),可得由此可得或(2)由式(2),可得故如题图所示的一对无限大接地平行导体板,板间有一与轴平行的线电荷,其位置为。
求板间的电位函数。
解由于在处有一与轴平行的线电荷,以为界将场空间分割为和两个区域,则这两个区域中的电位和都满足拉普拉斯方程。
而在的分界面上,可利用函数将线电荷表示成电荷面密度。
电位的边界条件为题图①②③由条件①和②,可设电位函数的通解为由条件③,有(1)(2)由式(1),可得(3)将式(2)两边同乘以,并从到对积分,有(4)由式(3)和(4)解得故如题图所示的矩形导体槽的电位为零,槽中有一与槽平行的线电荷。
求槽内的电位函数。
题图解由于在处有一与轴平行的线电荷,以为界将场空间分割为和两个区域,则这两个区域中的电位和都满足拉普拉斯方程。
而在的分界面上,可利用函数将线电荷表示成电荷面密度,电位的边界条件为①,②③由条件①和②,可设电位函数的通解为由条件③,有(1)(2)由式(1),可得(3)将式(2)两边同乘以,并从到对积分,有(4)由式(3)和(4)解得故若以为界将场空间分割为和两个区域,则可类似地得到如题图所示,在均匀电场中垂直于电场方向放置一根无限长导体圆柱,圆柱的半径为。
求导体圆柱外的电位和电场以及导体表面的感应电荷密度。
解在外电场作用下,导体表面产生感应电荷,圆柱外的电位是外电场的电位与感应电荷的电位的叠加。
由于导体圆柱为无限长,所以电位与变量无关。
在圆柱面坐标系中,外电场的电位为(常数的值由参考点确定),而感应电荷的电位应与一样按变化,而且在无限远处为0。
由于导体是等位体,所以满足的边界条件为题图①②由此可设由条件①,有于是得到故圆柱外的电位为若选择导体圆柱表面为电位参考点,即,则。
导体圆柱外的电场则为导体圆柱表面的电荷面密度为在介电常数为的无限大的介质中,沿轴方向开一个半径为的圆柱形空腔。
沿轴方向外加一均匀电场,求空腔内和空腔外的电位函数。
解在电场的作用下,介质产生极化,空腔表面形成极化电荷,空腔内、外的电场为外加电场与极化电荷的电场的叠加。
外电场的电位为而感应电荷的电位应与一样按变化,则空腔内、外的电位分别为和的边界条件为①时,;②时,为有限值;③时,,由条件①和②,可设带入条件③,有,由此解得,所以一个半径为、无限长的薄导体圆柱面被分割成四个四分之一圆柱面,如题图所示。
第二象限和第四象限的四分之一圆柱面接地,第一象限和第三象限分别保持电位和。
求圆柱面内部的电位函数。
题图解由题意可知,圆柱面内部的电位函数满足边界条件为①为有限值;②;由条件①可知,圆柱面内部的电位函数的通解为代入条件②,有由此得到故如题图所示,一无限长介质圆柱的半径为、介电常数为,在距离轴线处,有一与圆柱平行的线电荷,计算空间各部分的电位。
解在线电荷作用下,介质圆柱产生极化,介质圆柱内外的电位均为线电荷的电位与极化电荷的电位的叠加,即。
线电荷的电位为(1)题图而极化电荷的电位满足拉普拉斯方程,且是的偶函数。
介质圆柱内外的电位和满足的边界条件为分别为①为有限值;②③时,由条件①和②可知,和的通解为(2)(3)将式(1)~(3)带入条件③,可得到(4)(5)当时,将展开为级数,有(6)带入式(5),得(7)由式(4)和(7),有由此解得,故得到圆柱内、外的电位分别为(8)(9)讨论:利用式(6),可将式(8)和(9)中得第二项分别写成为其中。
因此可将和分别写成为由所得结果可知,介质圆柱内的电位与位于(0)的线电荷的电位相同,而介质圆柱外的电位相当于三根线电荷所产生,它们分别为:位于(0)的线电荷;位于的线电荷;位于的线电荷。
将上题的介质圆柱改为导体圆柱,重新计算。
解导体圆柱内的电位为常数,导体圆柱外的电位均为线电荷的电位与感应电荷的电位的叠加,即。
线电荷的电位为(1)而感应电荷的电位满足拉普拉斯方程,且是的偶函数。
满足的边界条件为①;②。
由于电位分布是的偶函数,并由条件①可知,的通解为(2)将式(1)和(2)带入条件②,可得到(3)将展开为级数,有(4)带入式(3),得(5)由此可得,故导体圆柱外的电为(6)讨论:利用式(4),可将式(6)中的第二项写成为其中。
因此可将写成为由此可见,导体圆柱外的电位相当于三根线电荷所产生,它们分别为:位于(0)的线电荷;位于的线电荷;位于的线电荷。
在均匀外电场中放入半径为的导体球,设(1)导体充电至;(2)导体上充有电荷。
试分别计算两种情况下球外的电位分布。
解(1)这里导体充电至应理解为未加外电场时导体球相对于无限远处的电位为,此时导体球面上的电荷密度,总电荷。
将导体球放入均匀外电场中后,在的作用下,产生感应电荷,使球面上的电荷密度发生变化,但总电荷仍保持不变,导体球仍为等位体。
设,其中是均匀外电场的电位,是导体球上的电荷产生的电位。
电位满足的边界条件为①时,;②时,,其中为常数,若适当选择的参考点,可使。
由条件①,可设代入条件②,可得到,,若使,可得到(2)导体上充电荷时,令,有利用(1)的结果,得到如题图所示,无限大的介质中外加均匀电场,在介质中有一个半径为的球形空腔。
求空腔内、外的电场和空腔表面的极化电荷密度(介质的介电常数为)。
解在电场的作用下,介质产生极化,空腔表面形成极化电荷,空腔内、外的电场为外加电场与极化电荷的电场的叠加。
设空腔内、外的电位分别为和,则边界条件为①时,;②时,为有限值;③时,,由条件①和②,可设题图带入条件③,有,由此解得,所以空腔内、外的电场为空腔表面的极化电荷面密度为如题图所示,空心导体球壳的内、外半径分别为和,球的中心放置一个电偶极子,球壳上的电荷量为。
试计算球内、外的电位分布和球壳上的电荷分布。
解导体球壳将空间分割为内外两个区域,电偶极子在球壳内表面上引起感应电荷分布,但内表面上的感应电荷总量为零,因此球壳外表面上电荷总量为,且均匀分布在外表面上。
球壳外的场可由高斯定理求得为题图外表面上的电荷面密度为设球内的电位为,其中是电偶极子的电位,是球壳内表面上的感应电荷的电位。
满足的边界条件为①为有限值;②,即,所以由条件①可知的通解为由条件②,有比较两端的系数,得到,,最后得到球壳内表面上的感应电荷面密度为感应电荷的总量为欲在一个半径为的球上绕线圈使在球内产生均匀场,问线圈应如何绕(即求绕线的密度)?题图解设球内的均匀场为,球外的场为,如题图所示。
根据边界条件,球面上的电流面密度为若令,则得到球面上的电流面密度为这表明球面上的绕线密度正比于,则将在球内产生均匀场。
一个半径为的介质球带有均匀极化强度。
(1)证明:球内的电场是均匀的,等于;(2)证明:球外的电场与一个位于球心的偶极子产生的电场相同,。
解(1)当介质极化后,在介质中会形成极化电荷分布,本题中所求的电场即为极化电荷所产生的场。
由于是均匀极化,介质球体内不存在极化电荷,仅在介质球面上有极化电荷面密度,题图球内、外的电位满足拉普拉斯方程,可用分离变量法求解。
建立如题图所示的坐标系,则介质球面上的极化电荷面密度为介质球内、外的电位和满足的边界条件为①为有限值;②;③因此,可设球内、外电位的通解为由条件③,有,解得,于是得到球内的电位故球内的电场为(2)介质球外的电位为其中为介质球的体积。
故介质球外的电场为可见介质球外的电场与一个位于球心的偶极子产生的电场相同。
半径为的接地导体球,离球心处放置一个点电荷,如题图所示。
用分离变量法求电位分布。
解球外的电位是点电荷的电位与球面上感应电荷产生的电位的叠加,感应电荷的电位满足拉普拉斯方程。
用分离变量法求解电位分布时,将点电荷的电位在球面上按勒让德多项式展开,即可由边界条件确定通解中的系数。
设,其中是点电荷的电位,是导体球上感应电荷产生的电位。
电位满足的边界条件为①时,;②时,。
由条件①,可得的通解为题图为了确定系数,利用的球坐标展开式将在球面上展开为代入条件②,有比较的系数,得到故得到球外的电位为讨论:将的第二项与的球坐标展开式比较,可得到由此可见,的第二项是位于的一个点电荷所产生的电位,此电荷正是球面上感应电荷的等效电荷,即像电荷。
题图一根密度为、长为2的线电荷沿轴放置,中心在原点上。
证明:对于的点,有解线电荷产生的电位为对于的点,有故得到一个半径为的细导线圆环,环与平面重合,中心在原点上,环上总电荷量为,如题图所示。
证明:空间任意点电位为解以细导线圆环所在的球面把场区分为两部分,分别写出两个场域的通解,并利用函数将细导线圆环上的线电荷表示成球面上的电荷面密度题图再根据边界条件确定系数。
设球面内、外的电位分别为和,则边界条件为:①为有限值;②③,根据条件①和②,可得和的通解为(1)(2)代入条件③,有(3)(4)将式(4)两端同乘以,并从0到对进行积分,得(5)其中由式(3)和(5),解得,代入式(1)和(2),即得到一个点电荷与无限大导体平面距离为,如果把它移到无穷远处,需要作多少功?解利用镜像法求解。
当点电荷移动到距离导体平面为的点处时,其像电荷,与导体平面相距为,如题图所示。
像电荷在点处产生的电场为题图所以将点电荷移到无穷远处时,电场所作的功为外力所作的功为如题图所示,一个点电荷放在的接地导体角域内的点处。
求:(1)所有镜像电荷的位置和大小;(2)点处的电位。
解(1)这是一个多重镜像的问题,共有5个像电荷,分布在以点电荷到角域顶点的距离为半径的圆周上,并且关于导体平面对称,其电荷量的大小等于,且正负电荷交错分布,其大小和位置分别为(2)点处电位一个电荷量为、质量为的小带电体,放置在无限大导体平面下方,与平面相距为。