东北大学16春《物理化学》在线作业123(标准答案)
- 格式:pdf
- 大小:138.67 KB
- 文档页数:9
一、单选题:1.我国编制工作采取的领导体制是( )A. 分级领导、统一管理B. 统一领导、分级管理C. 垂直领导D. 双重领导2.下面哪个机构不是政府机构?( )A. 监察局B. 公安局C. 财政局D. 纪检委3.职务和( )是构成行政领导者职位的必要要素A. 权威B. 权利C. 责任D. 气质4.属于国家行政机关的是( )A. 市财政局B. 区人大常委会C. 省政协D. 村民委员合5.被称为“尖形结构”的行政组织结构表现为( )A. 管理层次多,管理幅度小B. 管理层次少,管理幅度大C. 管理层次多,管理幅度大D. 管理层次少,管理幅度小6.公务员有一般职和特殊职之分的国家是( )A. 英国B. 美国C. 日本D. 法国7.“帕累托分析法”又称( )A. PDCA循环方法B. ABC重点管理方法C. CBA重点管理方法D. ACDP循环方法8.调研员是对应于( )的非领导职务A. 厅、司级副职B. 县、处级正职C. 县、处级副职D. 乡、处级正职9.在行政决策子系统中具有权威性和主导性特点的是( )A. 决断子系统B. 信息子系统C. 参谋子系统D. 监控于系统10.经济手段最根本的特点是( )A. 客观性B. 利益性C. 间接性D. 多样性11.政府充当“守夜人”角色是( )时期政府行政职能的待点A. 前资本主义B. 自由资本主义C. 垄断资本主义D. 当代资本主义12.凡税源大、波动性也大的税种属于( )A. 中央税B. 中央与地方共享税C. 地方税D. 增值税13.人际关系组织理论的代表人物是( )A. 梅奥B. 马斯洛C. 韦伯D. 泰勒14.解放以来我国历次行政组织改革中规模最大、力度最大的一次是( )A. 1982年的改革B. 1988年的改革C. 1993年的改革D. 2005年的改革15.从行政功能的角度看,行政方法不包括( )A. 决策方法B. 组织方法C. 评估方法16.按国家公务员领导职务序列,行政领导者可以分为( )个职务等次名称和相应的13个级别A. 20B. 12C. 10D. 817.行政干预不包括( )A. 行政处置B. 事前预防性干预C. 事中干预D. 事后干顶18.行政机关和权力机关的关系是( )A. 平行关系B. 上下级关系C. 从属关系D. 没有任何关系19.受理国家公务员申诉的机关是( )A. 原处理机关B. 检察机关C. 审判机关D. 党委组织部20.我国国家行政机关实行( )A. 职务分类制B. 职位分类制C. 品位分类制D. 职级分类制16春学期《行政管理学Ⅰ》在线作业2一、单选题:1.各级政府领导统辖全局的决策核心是( )A. 决策机关B. 领导机关C. 职能机关D. 幕僚机关2.经济手段最根本的特点是( )A. 客观性B. 利益性C. 间接性3.财政部就国家财政收支实施的监督是( )A. 职能监督B. 专管监督C. 专门监督D. 一般监督4.一般监督和专门监督构成( )A. 一般专门监管B. 行政系统的内部监督C. 行政系统的外部监督D. 政党监督5.各级政府领导统辖全局的决策核心是( )A. 决策机关B. 领导机关C. 职能机关D. 幕僚机关6.从行政功能的角度看,行政方法不包括( )A. 决策方法B. 组织方法C. 评估方法D. 系统方法7.县、处级副职相对应于( )级A. 9—12B. 9—11C. 7—10D. 8—118.行政决策通常都是( )A. 满意决策B. 最优决策C. 常规决策D. 战略决策9.网络规划源于( )美国学者甘特创制的甘特图表A. 19世纪末B. 20世纪40年代C. 20世纪末D. 20世纪50年代10.我国政府职能的主要实施手段是( )A. 依法行政B. 行政手段C. 经济手段D. 其他手段11.当代资本主义行政职能的重点是A. 政治职能B. 经济职能C. 暴力职能D. 社会服务职能12.中国目前正在进行的行政管理体制和机构,改革能否成功的关键是( )A. 减少机构和部门的数量B. 裁减人员的数量C. 政府职能的转变D. 行政效率的提高13.从行政方法涵盖面广泛与否的角度看,行政方法可分为( )A. 广义的行政方法和狭义的行政方法B. 政治性的行政方法和自然性的行政方法C. 一般的行政方法和具体的行政方法D. 传统行政方法和现在行政方法14.行政管理过程的首要职能是( )A. 决策职能B. 组织职能C. 协调职能D. 控制职能15.人际关系组织理论的代表人物是( )A. 梅奥B. 马斯洛C. 韦伯D. 泰勒16.行政机关和权力机关的关系是( )A. 平行关系B. 上下级关系C. 从属关系D. 没有任何关系17.我国《国家公务员法》正式施行于( ) 年A. 1995年1月1日B. 2006年1月1日C. 1993年10月1日D. 1993年8月14日18. 认为行政组织是一个“结构的社会技术系统”,并由许多分系统组成的理论是( )A. 权变组织理论B. 科层组织理论C. 组织平衡理论D. 系统分析组织理论19.人际关系组织理论的代表人物是( )A. 梅奥B. 马斯洛C. 韦伯D. 泰勒20.条块结合,以条为主的形式,是我国现行编制管理工作所采取的一种形式,这种形式适用于( )A. 包括公安、安全、司法等政府机构在内的政法工作部门B. 上级业务主管部门垂直领导的工作部门C. 地方党、政、群机关的大部分工作部门D. 地方各级人民政府机构的大部分工作部门16春学期《行政管理学Ⅰ》在线作业3一、单选题:1.提高行政领导效能的最直接方式是( )A. 说服式B. 激励式C. 诱导式D. 人事并重式2.在行政决策子系统中具有权威性和主导性特点的是( )A. 决断子系统B. 信息子系统C. 参谋子系统D. 监控于系统3.行政职能在本质上是( )A. 行政事务的管理和执行B. 行政部门利益的实现C. 国家权力的执行D. 各种社会利益的行政协调4.“PDCA”循环方法中的“P”指的是( )A. 计划B. 处置C. 实施D. 检查5.下面( )不是国家机构。
东北⼤学16春《财务管理》在线作业123(标准答案)东北⼤学16春《财务管理》在线作业123(标准答案)⼀、单选题:1.在基本模型下确定经济批量时,通常应考虑的成本是( )。
A. 订货成本B. 储存成本C. 缺货成本D. 订货成本和储存成本2.企业由于现⾦持有量不⾜,⽽给企业带来的损失,属于现⾦的( )。
A. 管理成本B. 资⾦成本C. 短缺成本D. 机会成本3.⼀般认为,速动⽐率应保持在( )以上。
A. 100%B. 200%C. 50%D. 300%4.⽤来衡量企业运⽤投资者投⼊资本获得收益能⼒的财务⽐率是( )。
A. 净资产收益率B. 总资产收益率C. 销售利润率D. 盈利现⾦⽐率5.“五C”信⽤评估系统中的⾸要因素是( )。
A. 能⼒B. 品质C. 资本D. 抵押品6. 在计算应收账款周转率时,⼀般⽤( )代替赊销收⼊净额。
A. 销售净收⼊B. 销售收⼊C. 赊销净额D. 现销净额7.杜邦系统分析体系主要⽤于( )。
A. 企业偿债能⼒分析B. 企业获利能⼒分析C. 企业营运能⼒分析D. 企业综合财务分析8.当两种证券完全正相关时,它们的相关系数是( )。
A. 0B. 1C. –1D. 不确定9.企业制定的信⽤条件内容不包括()。
A. 确定信⽤期限B. 确定折扣期限C. 确定现⾦折扣D. 确定收账⽅法10.下列各项中,在编制现⾦预算中⼀定不作为现⾦流出的是( )。
A. ⼯资B. 资本⽀出C. 销售费⽤D. 折旧三、判断题:1.不论是赊销引起的应收账款还是销售和收款时间不⼀致形成的应收账款都属于商业信⽤。
A. 错误B. 正确2.债券的实际收益率是使未来现⾦流⼊的现值等于债券⾯值的折现率。
A. 错误B. 正确3.当风险系数等于0时,表明投资⽆风险,期望收益率等于市场平均收益率。
A. 错误B. 正确4.在评价顾客的信⽤品质时,顾客有没有偿债能⼒要⽐顾客是不是愿意偿债更重要。
A. 错误B. 正确5.最佳现⾦持有量确定的随机模型是在现⾦需求量难以预知的情况下,进⾏现⾦持有量控制的⼀种⽅法。
- 1 -2016 年成人高等学校招生全国统一考试高起点物理化学第一、选择题:第1-15 小题,每小题4 分,共60 分。
在每小题给出的四个选项中,选出一项符合题目要求的。
1.两个分子间的作用力的合力F 与两分子间距离r 的关系图如图所示。
当分子间的距离由无穷远到无限接近的过程中()。
A.F 一直为引力B.F 一直为斥力C.当r>r0 时,F 为斥力,r<r0 时,F 为引力D.当r>r0 时,F 为引力;r<r0 时,F 为斥力2.如图,一束光线自介质射向空气,在分界面处发生反射和折射。
当入射角为30。
时,反射光线和折射光线恰好垂直。
则该介质的折射率为()。
A.√3/2B.√2C.3/2D.√33.如图,质量为m 的长木板在光滑水平面上以速度v 匀速运动。
若将一质量为m 的物块无初速地放在长木板上,经过一段时间后,物块与木板保持相对静止。
在此过程中,长木板和物块组成的系统损失的机械能为()。
A.1/2mv 2B.1/4mv 2C.1/6mv 2D.1/8mv 24.一列简谐横波在t 1 =0.5s 时的波形图如图所示。
已知平衡位置在x=0.5m 的A 处的质点,- 2 -- 2 -在t 2 =1.5 s 时第一次回到A 处,且其速度方向指向y 轴负方向。
这列波()。
A.沿x 轴正向传播,波速为1 m/sB.沿x 轴正向传播,波速为2m/sC.沿x 轴负向传播,波速为1m/sD.沿x 轴负向传播,波速为2m/s5.如图,R 1 和R 2 为定值电阻,R 为滑动变阻器,E 为电源。
电路接通后,电流表Ⓐ和电压表Ⓥ均有示数。
现将R 上的滑片由c 点向 a 端滑动,则()。
A. Ⓐ的示数增大,Ⓥ的示数减小B. Ⓐ的示数增大,Ⓥ的示数增大C. Ⓐ的示数减小,Ⓥ的示数增大D. Ⓐ的示数减小,Ⓥ的示数减小6.如图,两根足够长的平行光滑金属导轨CD 和FG 上放置一导体杆ab,导轨一端接电源E;该装置放在一匀强磁场中,磁场方向与导轨平面垂直。
一、单选题:1.就性质而言,我国现阶段的突发群体性事件属于:A. 敌我矛盾B. 人民内部矛盾C. 突出矛盾D. 主要矛盾2.从内政观点研究古巴导弹危机的学者是:A. 斯奈德B. 佩姬C. 科塞D. 阿里森3.危机一词最早用于哪一领域?A. 经济学B. 社会学C. 医学D. 政治学4.罗伯特·希斯提出的危机管理5R模式中的“reduction 减缓”指的是:A. 及时预防B. 有效应对C. 减低风险D. 及时恢复5.认为社会冲突既有分裂作用又有校正功能的学者是:A. 罗森塔尔B. 蒂莉C. 科塞D. 奥斯本"6.认为流言与谣言可以消解由于危机事件造成的心理压力,获得对事件本身的解释,缓解紧张情绪的心理学家是:A. 孙本文B. 奥尔波特C. 阿希D. 海德7.政府危机管理的基本宗旨是A. 提供公共服务B. 提供公共安全C. 确保经济发展D. 保持政府良好形象8.引发并加速我国政府管理和学术研究机构对公共危机的关注和研究的是:A. 2003年的SARS危机B. "1998年中国人民大学许文惠、张成福教授出版的《危机状态下的政府管理》C. 1998年亚洲金融危机D. 2001年美国9·11事件二、多选题:1.社会稳定具有哪些特征:A. 相对性和可变性B. 动态性和过程性C. 形式上的多样性D. 突发性2.在公共危机管理过程中建设法治政府的原因是A. 政府要依法管理危机B. 把危机管理纳入法治化轨道是实施依法治国方略的需要C. 建设法治政府是全面推进依法行政的需要D. 建设法治政府是政府有效管理危机的需要3.以下对政府公共危机管理的效率原则表述正确的是:A. 政府在危机管理中要追求经济效率B. 政府在危机管理中要以短小精悍的队伍实现有效救助的目标C. 政府在危机管理中要付出最小的成本D. 世界各国政府均重视危机管理的精干高效的原则4.按照基本动因可将公共危机分为:A. 人为危机B. 政治危机C. 经济危机D. 自然危机5.危机的突发性是指:A. 危机往往是在意想不到、没有准备的情况下突然爆发的B. 危机发生之前,很少有人意识到会发生危机C. 危机往往使人措手不及D. 危机的发生是空穴来风6.新闻传媒在危机管理中发挥作用的必要性主要有:A. 危机管理的实质是信息传播的管理B. 危机管理需要正确的舆论导向C. 危机管理离不开上下的沟通D. 新闻传媒是重要的社会主体7.按照性质可以将智囊机构分为:A. 行政性智囊机构B. 半官方智囊机构C. 民间智囊机构D. 私营公司8.新闻传媒危机传播的模式主要有:A. 新闻宣传模式B. 公众信息模式C. 科学劝说模式D. 双向对称模式9.就组织目标而言,完善的危机管理体系应当:A. 能保证危机应对时各职能部门间协同运作B. " 用法制化的方式明确政府危机管理的管辖范围C. 加强反危机的战略规划和长期预算D. 能够进行危机预警10.按照影响范围可将公共危机分为:A.B. 国内危机C. 区域组织危机D. 以上都不是16春学期《公共危机管理》在线作业2一、单选题:1.罗伯特·希斯提出的危机管理5R模式中的“reduction减缓”指的是:A. 及时预防B. 有效应对C. 减低风险D. 及时恢复2.政府公共危机管理过程中应当遵循的效率原则主要是指:A. 反应迅速B. 精干高效C. 成本最低D. 影响最小3.根据原劳动部对国务院第34号令的解释,一次死亡2人及其以下的事故属于:A. 特大事故B. 重大事故C. 一般事故D. 普通事故4.公共危机管理中的责任政府是指:A. 承担政治责任B. 承担救助责任C. 承担经济责任D. 承担社会责任5.认为流言的强度=事情的重要程度×情况的模糊程度的学者是:A. 奥尔波特B. 罗森塔尔C. 奥斯本D. 费斯汀格6.根据原劳动部对国务院第34号令的解释,一次死亡10人及其以上的事故属于:A. 特大事故B. 重大事故C. 一般事故D. 普通事故7.我国公共危机管理研究最早也是研究最多的是A. 对社会冲突的研究B. 对自然灾害的研究C. 对政治事件的研究D. 对经济危机的研究8.认为社会冲突既有分裂作用又有校正功能的学者是:A. 罗森塔尔B. 蒂莉C. 科塞D. 奥斯本"二、多选题:1.我国现阶段处理突发群体性事件的主要方法有:A. 民主的方法B. 法制的方法C. 经济调节的方法D. 专政的方法2.一般来说,组织危机决策的约束条件主要有:A. 时间有限B. 信息有限C. 人力资源有限D. 技术支持有限3.人们常用的消除认知不协调的方法主要有:A. 改变某种认知因素B. 改变行为C. 增加新的认知因素D. 增加认知因素的重要性4.预警的功能包括A.B. 警示功能C. 警示功能D. 减缓、延缓功能E. 阻止、化解功能5.目前国际上政府公共危机管理的主要体制有政府危机管理体制和体制。
每次物理化学作业及答案§1.1 热力学基本概念第一周(1) 练习1“任何系统无体积变化的过程就一定不对环境作功。
”这话对吗?为什么?答:不对,应该是无体积变化的过程,系统就一定不对环境作体积功。
系统和环境之间交换能量的方式,除体积功外,还有非体积功,如电功,表面功等.2“凡是系统的温度下降就一定放热给环境,而温度不变时则系统既不吸热也不放热。
”这结论正确吗?举例说明之。
答:不正确。
系统的温度下降,内能降低,可以不放热给环境.例如: (13页例1-4) 绝热容器中的理想气体的膨胀过程,温度下降释放的能量,没有传给环境,而转换为对外做的体积功.而温度不变时则系统既不吸热也不放热。
不对, 等温等压相变过程,温度不变,但需要吸热(或放热), 如一个大气压下,373.15K 下,水变成同温同压的水蒸汽的汽化过程,温度不变,但需要吸热。
3在一绝热容器中盛有水,其中浸有电热丝,通电加热。
将不同对象看作系统,则上述加热过程的Q或W大于、小于还是等于零?⑴以电热丝为系统Q<0; W>0;⑵以水为系统; Q>0;W=0;⑶以容器内所有物质为系统Q=0; W>0;⑷将容器内物质以及电源和其它一切有影响的物质看作整个系统。
Q=0;W=0.4在等压的条件下,将1mol理想气体加热使其温度升高1K,试证明所作功的数值为R。
证明:∵等压过程则P1=P2=P e∴W=-p(V2-V1)=-p[ nR(T+1)/p- nRT/p]= -p×(nR/p)= -R51mol理想气体,初态体积为25dm3,温度为373.2K,试计算分别通过下列四个不同过程,等温膨胀到终态体积100dm3时,系统对环境作的体积功。
(1)向真空膨胀。
(2)可逆膨胀。
(3)先在外压等于体积50dm3时气体的平衡压力下,使气体膨胀到50dm3,然后再在外压等于体积为100dm3时气体的平衡压力下使气体膨胀到终态。
(4)在外压等于气体终态压力下进行膨胀。
物理化学习题课答案(一)班级:_______________ 姓名:_______________ 学号:_______________一. 选择题1. 对于理想气体的内能有下述四种理解:(1) 状态一定,内能也一定(2) 对应于某一状态的内能是可以直接测定的(3) 对应于某一状态,内能只有一个数值,不可能有两个或两个以上的数值(4) 状态改变时,内能一定跟着改变其中正确的是:( D )(A)(1)(2)(B)(3)(4)(C)(2)(4)(D)(1)(3)2. 下列宏观过程:(1) p ,273 K 下冰融化为水(2) 电流通过金属发热(3) 往车胎内打气(4) 水在101 325 Pa,373 K 下蒸发可看作可逆过程的是:( A )(A)(1)(4)(B)(2)(3)(C)(1)(3)(D)(2)(4)3. 一定量的理想气体从同一始态出发,分别经(1) 等温压缩,(2) 绝热压缩到具有相同压力的终态,以H1,H2分别表示两个终态的焓值,则有:( C )(A) H1> H2(B) H1= H2(C) H1< H2(D) 不能确定4. 对于下列的四种表述:(1) 因为ΔH = Q p,所以只有等压过程才有ΔH(2) 因为ΔH = Q p,所以Q p也具有状态函数的性质(3) 公式ΔH = Q p只适用于封闭体系(4) 对于封闭体系经历一个不作其它功的等压过程,其热量只决定于体系的始态和终态上述诸结论中正确的是:( B )(A)(1)(4)(B)(3)(4)(C)(2)(3)(D)(1)(2)5. ΔH = Q p适用于下列哪个过程?( B )(A) 理想气体从1×107Pa反抗恒定的外压1×105Pa膨胀到1×105Pa(B) 0℃、101325Pa下冰融化成水(C) 101325Pa下电解CuSO4水溶液(D) 气体从298K,101325Pa可逆变化到373K、10132.5Pa6. 在体系温度恒定的变化中,体系与环境之间:( CD )(A) 一定产生热交换(B) 一定不产生热交换(C) 不一定产生热交换(D) 温度恒定与热交换无关7. 在一个刚性的绝热容器中燃( B )C6H6(l) + (15/2) O2(g) 6CO2(g)+ 3H2O(g)(A) ΔU = 0 , ΔH < 0 , Q = 0 (B) ΔU = 0 , ΔH > 0 , W = 0 (C) ΔU = 0 , ΔH = 0 , Q = 0 (D) ΔU ≠ 0 , ΔH ≠ 0 , Q = 08. 体系的压力p(体系)与环境的压力p(环境)有何关系? ( D )(A) 相等 (B) 无关系(C) p(体系)> p(环境) (D) 可逆变化途径中p(体系)=p(环境)9. 如图,在绝热盛水容器中,浸有电阻丝,通以电流一段时间,如以电阻丝为体系,则上述过程的Q 、W 和体系的ΔU 值的符号为: ( B )(A) W = 0, Q < 0, ΔU <0 (B) W > 0, Q < 0, ΔU >0 (C) W = 0, Q > 0, ΔU > 0 (D)W < 0, Q = 0, ΔU > 010. 理想气体卡诺循环的图为下列四种情况中的哪一种? ( BC )11. 测定有机物燃烧热Q p ,一般使反应在氧弹中进行,实测得热效应为Q V 。
2016年普通高等学校招生全国统一考试理科综合能力测试(全国卷1)第Ⅰ卷(选择题共126分)本卷共21小题,每小题6分,共126分。
可能用到的相对原子质量:H 1 C12 N 14 O 16 Na 23 Cl 35.5 K 39 Cr 52Mn 55 Ge 73 Ag 108一、选择题:本大题共13小题,每小题6分。
在每小题给出的四个选项中,只有一项是符合题目要求的。
7、化学与生活密切相关。
下列有关说法错误的是A 、用灼烧的方法可以区别蚕丝和人造纤维B 、食用油反复加热会产生稠环芳烃等有害物质C 、加热能杀死流感病毒是因为蛋白质受热变性D 、医用消毒酒精中乙醇的浓度为95%8、设N A 为阿伏加德罗常数值。
下列有关叙述正确的是A 、14g 乙烯和丙烯混合气体中氢原子数为2N AB 、1molN 2和4molH 2反应生成的NH 3分子数为2N AC 、1molFe 溶于过量硝酸,电子转移数为2N AD 、标准状况下,2.24LCCl 4含有的共价键数为0.4N A9、下列关于有机化合物的说法正确的是A 、2-甲基丁烷也称为异丁烷B 、由乙烯生成乙醇属于加成反应C 、C 4H 9Cl 有3种同分异构体D 、油脂和蛋白质都属于高分子化合物10、下列实验操作能达到实验目的的是A 、用长颈漏斗分离出乙酸与乙醇反应的产物B 、用向上排空气法收集铜粉与稀硝酸反应产生的NOC 、配制氯化铁溶液时,将氯化铁溶解在较浓的盐酸中再加水稀释D 、将Cl 2与HCl 混合气体通过饱和食盐水可得到纯净的Cl 211、三室电渗析法处理含Na 2SO 4废水的原理如图所示,常用惰性电极,ab 、cd 均为离子交换膜,在直流电场的作用下,两膜中间的Na +和SO 42-可通过离子交换膜,而两端隔室中离子被阻挡不能进入中间隔室。
下列叙述正确的是A 、通电后中间隔室的SO 42-离子向正极迁移,正极区溶液pH 增大B 、该法在处理含Na 2SO 4废水时可以得到NaOH 和H 2SO 4产品 C 、负极反应式为2H 2O-4e -=O 2↑+4H +,负极区溶液pHD 、当电路中通过1mol 电子的电量时,会有0.5mol 的O 2生成12、298K 时在20.0mL0.10mol·L - 1氨水滴入0.10mol·L -1的盐酸,溶液的pH 与所加盐酸的体积关系如图所示。
(单选题)1: A: AB: BC: CD: D正确答案:(单选题)2: 绝热过程中外界对理想气体作功,经该过程气体的温度与体积的变化为A: 温度升高,体积变大B: 温度升高,体积变小C: 温度降低,体积变大D: 温度降低,体积变小正确答案:(单选题)3: 题面为图片A: (a)作功为正;(b)作功为负B: (a)作功为负;(b)作功为正C: (a)作功为正;(b)作功为零D: (a)作功为负;(b)作功为零正确答案:(单选题)4: 题面为图片A: A点比B点电势高B: A点与B点电势相等C: A点比B点电势低D: 有时A点比B点电势高。
有时A点比B点电势低正确答案:(单选题)5: 题面为图片A: AB: BC: CD: D正确答案:(单选题)6: 题面为图片A: AB: BC: CD: D正确答案:(单选题)7: 感生电场是变化的磁场产生的, 把感生电场与静电场相比较可知:A: 它们都不能对场中运动的的电荷产生力的作用B: 感生电场不能对场中的电荷产生力的作用C: 只有静电场不能对场中的运动电荷产生力的作用D: 它们都能对场中的电荷产生力的作用正确答案:(单选题)8: 题面为图片A: AB: BC: CD: D正确答案:(单选题)9: 题面为图片A: abc过程吸热,def过程放热.B: abc过程放热,def 过程吸热.C: abc过程def过程都吸热.D: abc过程def过程都放热.正确答案:(单选题)10: 题面为图片A: AB: BC: CD: D正确答案:(单选题)11: A: 线圈(1)顺时针;线圈(2)逆时针B: 线圈(1)逆时针;线圈(2)顺时针C: 都是顺时针D: 都是逆时针正确答案:(单选题)12: 题面为图片A: AB: BC: CD: D正确答案:(单选题)13: A: AB: BC: CD: D正确答案:(单选题)14: 题面为图片A: AB: BC: CD: D正确答案:(单选题)15: 题面为图片A: AB: BC: CD: D正确答案:(单选题)16: 在热力学中,“作功”和“传递热量”都能使系统的内能发生变化,但它们有本质的区别。
**大学网络教育课程《物理化学》课程习题集一、单选题1.焓的定义式中H=U+pV,式中的p代表()A.体系的总压力B.体系中各组分的分压C.100kPaD.外压2.某体系经不可逆循环后,下列答案中不正确的是()A.Q=0B.△U=0C.△H=0D.△C P=03.某理想气体进行绝热自由膨胀,其热力学能和焓的变化为()A.△U=0,△H=0B.△U﹥0,△H﹥0C.△U=0,△H≠0D.△U﹤0,△H﹤04.某理想气体的γ=C P/C V=1.40,则该气体应为( )A.单原子分子气体B.双原子分于气体C.三原子分子气体D.四原子分子气体5. H2的标准摩尔燃烧焓与下列哪一物质的标准摩尔生成焓相等()A.H2O(g)B.H2O(l)C.H2O(s)D.都不是6.隔离系统内发生的可逆变化过程( )A.△S=0,△S(环)=0B.△S﹥0,△S(环)=0C.△S=0,△S(环)﹥0D.△S﹥0,△S(环)﹥07.过冷水结成同温度下冰,则该过程中( )A.△S系统﹥0B.△S系统+△S环境﹥0C.△S环境﹤0D.△S系统+△S环境﹤08.下列说法中,哪一种是不正确的( )A.隔离物系中的熵永不减少B.在绝热过程中物系的熵决不会减少C.物系处于平衡态时熵值最大D.任何热力学过程不可能出现△S﹤09.气体CO与O2在一坚固的绝热箱内发生化学反应,系统的温度升高,该过程()A.△U=0B.△H=0C.△S=0D.△G=010.电解CuSO4 溶液时,当通过溶液的电量为2F 时,则在阴极上将析出Cu 的量为( )A. 0.5 molB. 1 molC. 1.5 molD. 2 mol11.重结晶制取纯盐的过程中,析出的NaCl固体的化学势比母液中NaCl的化学势()A.高B.低C.相等D.不可比较12. 为马拉松运动员沿途准备的饮料应该是( )A.白开水B.含适量维生素的等渗饮料C.20%的葡萄糖水D.高脂肪、高蛋白、高能量饮料13. B 物质在α相中浓度大于在β相中的浓度,当两相接触时:( )A. B 由α相向β相扩散B. B 由β相向α相扩散C. B 在两相中处于扩散平衡D. 无法确定14. 在100℃,101.325kPa 下液态水的化学势为μ1,100℃,150kPa 下水蒸气的化学势为μ2,则μ1( )μ2.。
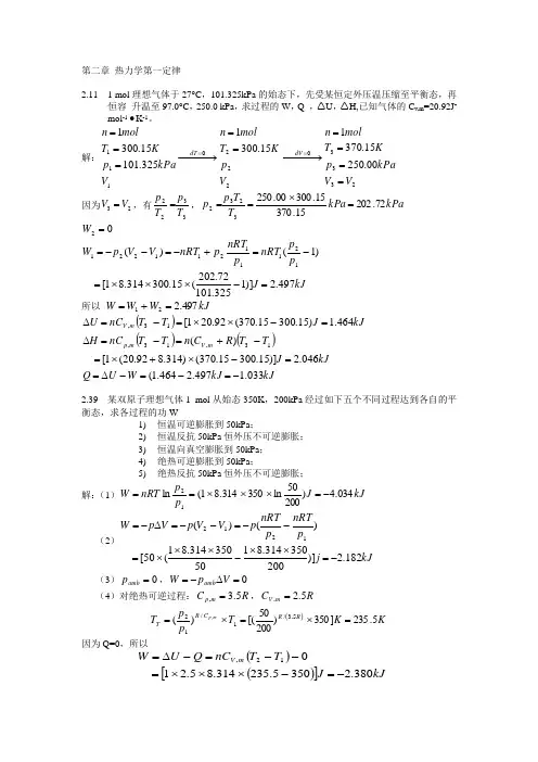
第二章 热力学第一定律2.11 1 mol 理想气体于27°C ,101.325kPa 的始态下,先受某恒定外压温压缩至平衡态,再恒容 升温至97.0°C ,250.0 kPa ,求过程的W ,Q , U , H,已知气体的C v,m =20.92J 。
mol -1•K -1。
解:111325.10115.3001V kPa p K T mol n ===−−→−=0dT 22215.3001V p K T moln ==−−→−=0dV 233300.25015.3701V V kPap K T moln ====因为23V V =,有3322T p T p=,kPa kPa T T p p 72.20215.37015.30000.2503232=⨯==02=WkJJ p pnRT p nRT p nRT V V p W 497.2)]1325.10172.202(15.300314.81[)1()(12111211221=-⨯⨯⨯=-=+-=--=所以 kJ W W W 497.221=+=()()()kJkJ W U Q kJ J T T R Cn T TnC H kJJ T T nC U mV mp m V 033.1497.2464.1(046.2)]15.30015.370()314.892.20(1[)(464.1)15.30015.370(92.201[13,13,13,-=-=-∆==-⨯+⨯=-+=-=∆=-⨯⨯=-=∆2.39 某双原子理想气体1 mol 从始态350K ,200kPa 经过如下五个不同过程达到各自的平衡态,求各过程的功W1) 恒温可逆膨胀到50kPa ;2) 恒温反抗50kPa 恒外压不可逆膨胀; 3) 恒温向真空膨胀到50kPa ; 4) 绝热可逆膨胀到50kPa ;5) 绝热反抗50kPa 恒外压不可逆膨胀; 解:(1)kJ J p p nRT W 034.4)20050ln 350314.81(ln12-=⨯⨯⨯== (2)kJj p nRTp nRT p V V p V p W 182.2)]200350314.8150350314.81(50[)()(1212-=⨯⨯-⨯⨯⨯=--=--=∆-=(3)0=amb p ,0=∆-=V p W amb(4)对绝热可逆过程:R C m p 5.3,=,R C m V 5.2,=()K K T p p T R R C R T m p 5.235]350)20050[()(5.3/1/12,=⨯=⨯= 因为Q=0,所以()()[]kJJ T T nC Q U W m V 380.23505.235314.85.21012,-=-⨯⨯⨯=--=-∆=(5)Q=0,所以 ()12,T T nC U Q U W m V -=∆=-∆=而 )(11222p nRT p nRT p V p W --=∆-= 联合上述二式可得)350(314.85.21350314.8120050314.8)1(22K T K T -⨯⨯=⨯⨯⨯+⨯- 解出 K T 2752=于是()()[]kJ J T T nC U W m V 559.13505.235314.85.2112,-=-⨯⨯⨯=-=∆= 第三章 热力学第二定律 3.1 卡诺热机在的高温热源和的低温热源间工作。
16秋学期《大学物理》在线作业2一、单选题(共20 道试题,共100 分。
)1.A. AB. BC. CD. D正确答案:2. 题面为图片A.B.C.D.正确答案:3. 题面为图片A.B.C.D.正确答案:4.理想气体经历一等温过程,在该过程中系统从外界吸收热量,在该过程中:A. 气体的内能增加,系统对外作正功。
B. 气体的内能增加,系统对外作负功C. 气体的内能不变,系统对外作负功。
D. 气体的内能不变,系统对外作正功。
正确答案:5. 题面为图片A.B.C.D.正确答案:6. 一个质点作圆周运动时,下列说法中正确的是:A. 切向加速度一定改变,法向加速度也改变。
B. 切向加速度可能不变,法向加速度一定改变切向加速度可能不变,法向加速度不变。
D. 切向加速度一定改变,法向加速度不变。
正确答案:7. 对在电磁学中讨论过的两种场:静电场和恒定磁场。
下面的说法正确的是:A. 静电场是保守场。
恒定磁场也是保守场。
B. 静电场不是保守场。
恒定磁场是保守场。
C. 静电场不是保守场。
恒定磁场也不是保守场。
D. 静电场是保守场。
恒定磁场不是保守场。
正确答案:8. 对静电场和由变化的磁场所产生的感生电场,下面的说法正确的是A. 都对电荷有静电力的作用。
B. 只有静电场对电荷有力的作用。
C. 对电荷都有力的作用。
D. 只有感生电场对电荷有力的作用。
正确答案:9. 题面为图片A.B.C.D.正确答案:10. 题面为图片A.B.C.D.正确答案:11. 将一个带正电的带电体A从无穷远处移到一个不带电的导体B附近,则导体B的电势将:A. 降低。
B. 升高。
C. 不发生变化。
D. 不能准确判断。
正确答案:12.A. AB. BC. CD. D正确答案:13. 题面为图片A.B.D.正确答案:14.因电介质的性质不同使得电介质的极化过程也不同,电介质的极化过程通常可被划分为两大类。
它们分别被称为:A. 取向极化和位移极化B. 有极极化和无极极化C. 分子极化和位移极化D. 取向极化和分子极化正确答案:15.建立一种温标,需要包含的要素有:A. ①被选定的某种测温物质B. ①被选定的某种测温物质。
《物理化学》复习题一、选择题:1.体系的状态改变了,其内能值( )A 必定改变B 必定不变状态与内能无关 2.μ=0 3. ( )A. 不变B. 可能增大或减小C. 总是减小4.T, p, W ‘=0≥0 C. (dG)T,V, W=0≤0 D. (dG) T, V, W ‘=0≥0 5.A. (dA)T, p, W ‘=0≤0B. (dA) T, p, W ‘=0≥ T, V, W ‘=0≥0 6.下述哪一种说法正确? 因为A. 恒压过程中,焓不再是状态函数B. 恒压过程中,焓变不能量度体系对外所做的功 D. 恒压过程中, ΔU 不一定为零 7. NOCl 2(g )=NO (g ) + Cl 2(g )为吸热反应,改变下列哪个因素会使平衡向右移动。
( )增大压力 C. 降低温度 D. 恒温、恒容下充入惰性气体 8. )A. 溶液中溶剂化学势较纯溶剂化学势增大B. 沸点降低C. 蒸气压升高 9.ΔA=0 的过程应满足的条件是 ( )C. 等温等容且非体积功为零的过程10.ΔG=0 的过程应满足的条件是 ( ) C. 等温等容且非体积功为零的过程D. 等温等容且非体积功为零的可逆过程 11. 300K 将1molZn Q p ,恒容反应热效应为Q v ,则Q p -Q v = J 。
无法判定12.已知FeO(s)+C(s)=CO(g)+Fe(s),反应的Δr H m 0为正,Δr S m 0为正(设Δr H m 0和Δr S m 0不随温度而变化)A. 高温有利B. 低温有利与压力无关13.化学反应 N 2(g) +3H 2(g) = 2NH 3(g)A. 3NH 2H 2N μμμ==B. 032=++3NH 2H 2N μμμC. NH 2H 2N μμμ32==14. 某化学反应的方程式为2A →P ,则在动力学研究中表明该反应为 ( )A.二级反应B.基元反应C.双分子反应15. 已知298 K 时, Hg 2Cl 2 + 2e - === 2Hg + 2Cl -, E 1 AgCl + e - === Ag + Cl -, E 2= 0.2224 V 。
物理化学(下)_东北大学中国大学mooc课后章节答案期末考试题库2023年1.298K时,下列电极反应的标准电极电势【图片】【图片】则反应【图片】的【图片】等于()。
参考答案:0.770 V2.电解质溶液的导电能力:()参考答案:随温度升高而增大3.已知反应(1)和(2)具有相同的指前因子,测得在相同的温度下升高20K时,反应(1)和(2)的反应速率分别提高2倍和3倍,说明反应(1)的活化能Ea,1( )反应(2)的活化能Ea,2。
参考答案:小于4.基元反应:【图片】的反应分子数是()。
参考答案:双分子反应5.某反应速率常数与各元反应速率常数的关系为,则该反应的表观活化能与各元反应活化能的关系是( )。
参考答案:Ea=E2+1/2(E1-E4)6.已知某反应的级数为二级,则可确定该反应是()。
参考答案:上述都有可能7.电池在恒温恒压及可逆条件下放电,则系统与环境间的热交换Qr值是()。
参考答案:TΔrSm8.下列所列举的反应中,()反应有可能是基元反应。
【图片】参考答案:(D)9.298K,KNO3水溶液的浓度由1 mol/L增大至2 mol/L,其摩尔电导率将()参考答案:减小10.在电池Pt | H2(g, p) | HCl(1 mol/kg) ‖ CuSO4(0.01 mol/kg)|Cu的阴极中加入下面四种溶液,使电池电动势增大的是()。
参考答案:0.1 mol/kg CuSO411.反应,A → Y,如果反应物 A 的浓度减少一半,它的半衰期也缩短一半,则该反应的级数()。
参考答案:零级12.反应:aA + bB → 产物,若cA一定时,cB加大一倍,其反应速率加倍;cB若一定,cA加倍,则其反应速率为原来的4倍。
则此反应为()。
参考答案:三级反应13.对于大多数体系来说,当温度升高时,表面张力下降。
参考答案:错误14.正离子和负离子迁移数之和等于()。
参考答案:115.空中的水滴大小不等,在运动过程中,这些水滴一般的变化趋势是()。
东北大学16春《物理化学》在线作业123(标准答案)一、单选题:1.反应 2NO(g) + O2(g) == 2NO2(g) 是放热的, 当反应在某温度、压力下达平衡时,若使平衡向右移动。
则应采取的措施是( )。
A. 降低温度和减小压力;B. 降低温度和增大压力;C. 升高温度和减小压力;D. 升高温度和增大压力。
2.影响任意一个化学反应的标准平衡常数值的因素为( )。
A. 催化剂;B. 温度;C. 压力;D. 惰性组分3.设有理想气体反应A(g)+B(g)==C(g),在温度T,体积V的容器中,三个组分的分压分别为pA、pB、pC时达到平衡,如果在T、V恒定时,注入物质的量为nD的惰性组分,则平衡将( )。
A. 向右移动;B. 向左移动;C. 不移动;D. 不能确定4.气体被固体吸附的过程其DS、DH的变化 ( )。
A. DS<0DH>0;B. DS<0DH<0;C. DS>0DH<0;D. DS>0DH>05.已知反应(1)和(2)具有相同的指前因子,测得在相同的温度下升高20K 时,反应(1)和(2)的反应速率分别提高2倍和3倍,说明反应(1)的活化能Ea,1( )反应(2)的活化能Ea,2。
A. 大于;B. 小于;C. 等于;D. 以上都不正确6.已知某反应的反应物无论初始浓度cA,0为多少,反应掉cA,0的1/2时所需时间均相同,该反应为( )。
A. 零级;B. 一级;C. 二级;D. 以上都不正确7.温度升高时,固体氧化物的分解压力(分解反应是吸热反应)( )。
A. 降低;B. 增大;C. 恒定;D. 无法确定。
8.固体六氟化铀的蒸气压p与T的关系为lg(p/Pa)=10.65-2560/(T/K),则其平均升华热为( )kJ·mol-1。
A. 2.128;B. 49.02;C. 9.242;D. 10.339.人工降雨是将AgI微细晶粒喷撒在积雨云层中,目的是为降雨提供()。
A. 冷量;B. 湿度;C. 晶核;D. 温度10.在下列电池中,其电池的电动势与氯离子的活度a(Cl?)无关的是( )。
A. Zn(s) | ZnCl2(aq) | Cl2(p) | Pt;B. Zn(s) | ZnCl2(aq)( ) KCl(aq) | AgCl(s) | Ag(s);C. Pt | H2(p1) | HCl(aq) | Cl2(p2) | Pt;D. Ag(s) | AgCl(s) | KCl(aq) | Cl2(p) | Pt三、判断题:1.任何一个化学反应都可以用ΔrGmq?来判断反应的方向。
A. 错误B. 正确2.隔离系统的熵是守恒的。
A. 错误B. 正确3.不可逆过程一定是自发的,而自发过程一定是不可逆的。
A. 错误B. 正确4.朗缪尔定温吸附理论只适用于单分子层吸附。
A. 错误B. 正确5.恒温恒压且不涉及非体积功条件下,一切吸热且熵减小的反应,均不能自动发生。
A. 错误B. 正确6.从熵的物理意义来看,气体在催化剂上的吸附过程△S。
A. 错误B. 正确7.一定温度下的乙醇水溶液,可应用克-克方程计算其饱和蒸汽压。
A. 错误B. 正确8.在温度T下,气相基元反应 A(g) → B(g) + C(g) 的以压力(Pa)表示的速率常数kp,A=20s-1,若将kp改成以浓度(mol·dm-3)表示时(即kA),则kA=20s-1。
A. 错误B. 正确9.产生过冷、过热、过饱和等亚稳状态的原因是新相种子难以生成。
A. 错误B. 正确10.因为ΔrGmq==-RTlnKq?,所以ΔrGmq是在温度T时,化学反应达到平衡状态时的吉布斯函数变。
A. 错误B. 正确16春学期《物理化学》在线作业2一、单选题:1.从热力学四个基本方程可导出 ( )。
A.B.C.D.2.某实际气体反应,用逸度表示的平衡常数K f0随下列哪些因素而变?( )。
A. 体系的总压力;B. 催化剂;C. 温度;D. 惰性气体的量3.水的三相点附近,其汽化热和熔化热分别为44.82和5.994 kJ·mol-1。
则在三相点附近,冰的升华热约为( ) kJ·mol-1。
A. 38.83;B. 50.81;C. -38.83;D. -50.814.光化学反应的初级反应A +hν=产物,其反应速率应当( )。
A. 与反应物A浓度无关;B. 与反应物A浓度有关;C. 与反应物A浓度和 hν有关;D. 以上答案都不对5.某反应速率系数与各元反应速率系数的关系为,则该反应的表观活化能与各元反应活化能的关系是( )。
A. Ea=E2+1/2E1-E4;B. Ea=E2+E1-2E4;C. Ea=E2+(E1-2E4)1/2;D. Ea=E2+1/2(E1-E4)6.标准态的选择对下列物理量有影响的是( )。
A. f,m,ΔrG m0;B. m,m0,ΔA;C. a,m0,ΔrGm0;D. a,m,(¶G/¶x)TpWf=07.某反应的速率常数,则反应的半衰期为( )。
A. 15min;B. 10min;C. 30min;D. 5min8.气体被固体吸附的过程其DS、DH的变化 ( )。
A. DS<0DH>0;B. DS<0DH<0;C. DS>0DH<0;D. DS>0DH>09.反应A → Y,如果反应物A的浓度减少一半,它的半衰期也缩短一半,则该反应的级数为( )。
A. 零级;B. 一级;C. 二级;D. 以上都不正确10.100℃、101325Pa条件下,1mol液态水的化学势比同温同压下水蒸气的化学势( ).A. 大;B. 小;C. 相等;D. 不能确定三、判断题:1.克拉佩龙方程适用于纯物质的任何两相平衡。
A. 错误B. 正确2.化学吸附没有选择性。
A. 错误B. 正确3.标准平衡常数改变平衡一定会移动,反之,平衡移动了标准平衡常数也一定会改变。
A. 错误B. 正确4.电极是标准氢电极,其。
B. 正确5.当体系变化的始末态确定之后,绝热过程的功有定值。
A. 错误B. 正确6.对于基元反应,反应速率系数总随温度的升高而增大。
A. 错误B. 正确7.不可逆过程一定是自发的,而自发过程一定是不可逆的。
A. 错误B. 正确8.通常物理吸附的速率较小,而化学吸附的速率较大。
A. 错误B. 正确9.反应速率系数kA与反应物A的浓度有关。
A. 错误B. 正确10.某反应的化学方程式为2A → P,则在动力学研究中表明该反应为二级反应。
A. 错误B. 正确16春学期《物理化学》在线作业3一、单选题:1.已知某反应的级数为二级,则可确定该反应是( ).A. 简单反应;B. 双分子反应;C. 复杂反应;D. 上述都有可能2.在T,p时,理想气体反应C2H6(g)=H2(g)+C2H4(g)的Kc/Kx为( )。
A. RT;B. 1/(RT);C. RT/p;D. p/(RT)3.根据水的单元系相图可知,增加压力时冰的熔点( ),原因是同样条件下冰的摩尔体积大于水的摩尔体积。
A. 下降;C. 不变;D. 不能确定4.下列复杂反应由所示的基元反应组成:A.B.C.D.5.设反应 aA(g ) == yY(g) + zZ(g), 在101.325 kPa、300 K下,A的转化率是600 K的2倍,而且在300 K下系统压力为101 325 Pa的转化率是2×101 325 Pa的2 倍,故可推断该反应 ( )。
A. 标准平衡常数与温度,压力成反比;B. 是一个体积增加的吸热反应;C. 是一个体积增加的放热反应;D. 标准平衡常数与温度成正比,与压力成反比。
6.当正反应的活化能E正大于逆反应的活化能E逆时,正反应的热效应△H为( )。
A. 大于零;B. 小于零;C. 等于(E正—E逆)/2;D. 无法确定。
7.以下的状态函数:质量m,压力p,体积V,温度T,粘度η密度D,内能U,焓H,浓度c,下面( )组均是强度性质。
A.(pU,T,D,c);B.(p,T,η,D,c);C.(p,T,m,c,D);D.(V,T,η,c,H)8.物质的量为n的理想气体恒温压缩,当压力由p1变到p2时,其△G是( )。
A.B.C.D.9.在水平放置的玻璃毛细管中注入少许水(水润湿玻璃),在毛细管中水平水柱的两端呈凹液面,当在右端水凹面处加热,毛细管中的水向何端移动?( )A. 向左移动;B. 向右移动;C. 不动;D. 难以确定10.在一定条件下,基元反应为A + B → D,则此反应为( )分子反应。
若实验测定时,起始浓度CA,0>>CB,0 ,即可认为反应过程中CA,0近似不变,则此反应级数为( )。
A.B.C.D.A. 双,2;B. 单,2;C. 双,1;D. 单,1三、判断题:1.当体系变化的始末态确定之后,绝热过程的功有定值。
A. 错误B. 正确2.溶液表面张力总是随溶液浓度的增大而减小。
A. 错误B. 正确3.所有单质的皆为零。
A. 错误B. 正确4.当发生极化现象时,阳极的电极电势将变大,阴极的电极电势将变小。
A. 错误B. 正确5.373.15K,101325Pa的水变为同温同压下水蒸气,该过程△G。
A. 错误B. 正确6.某反应在一定条件下的平衡转化率为25%,当加入合适的催化剂后,反应速率提高10倍,其相应的平衡转化率将大于25%。
A. 错误B. 正确7.分子间力越大的液体,其表面张力越大。
A. 错误B. 正确8.绝热过程都是定熵过程。
A. 错误B. 正确9.对于一个化学计量系数之和为零的放热反应,温度升高时,反应物的平衡转化率也升高。
A. 错误B. 正确10.对于电池,b较小的一端为负极。
A. 错误B. 正确。