微波技术作业
- 格式:ppt
- 大小:712.00 KB
- 文档页数:8
微波漏能测试仪作业指导书一. 简介微波漏能测试仪是一种用于测试微波设备漏能的仪器。
本指导书旨在帮助使用者了解如何正确操作微波漏能测试仪,并提供相关安全注意事项。
二. 仪器组成微波漏能测试仪由以下组成部分构成:1. 控制面板: 用于设定测试参数和操作仪器。
2. 探测器: 用于检测漏能并将结果传输到显示屏上。
3. 显示屏: 显示当前测量结果和测试参数。
三. 安全操作指南1. 请确保在使用微波漏能测试仪前,先阅读并理解本指导书中的所有内容。
2. 在连接或断开电源之前,务必确保仪器开关已处于关闭状态。
3. 仅使用符合相关技术标准和安全要求的电源线和电源插头。
4. 在清洁仪器或更换部件之前,务必先断开电源并等待仪器冷却。
5. 如果发现任何异常情况,如异常噪音、烟雾或异味,请立即关闭设备并与售后服务部门联系。
四. 操作步骤1. 准备测试仪器a. 将微波漏能测试仪连接到电源插座。
b. 打开仪器的开关,等待其启动。
c. 使仪器处于稳定状态,通常需等待数分钟。
2. 设置测试参数a. 使用控制面板上的按钮或旋钮,设定所需的测试频率、功率和持续时间等参数。
b. 确保设置的参数符合测试要求和规范要求。
3. 进行测量a. 将探测器置于待测设备的辐射区域,确保其与待测设备保持适当的距离。
b. 启动测试,等待测试仪器完成对漏能的检测和测量。
c. 检查显示屏上显示的结果,并记录下测量值。
4. 结束测试a. 停止测试并关闭仪器的开关。
b. 将仪器从电源插座上断开,并将其妥善存放。
c. 清理测试环境并确保安全。
五. 维护与保养1. 定期清洁探测器和显示屏,以确保正常工作和准确测量。
2. 定期校准仪器并记录校准结果,以保证测试的准确性。
3. 仪器在不使用时需妥善存放,避免受潮、震动或高温环境等不利因素。
六. 故障排除如果在使用微波漏能测试仪时遇到以下问题,请参考以下故障排除方法:1. 仪器无法启动: 检查电源连接是否正确,确认电源插座工作正常。
M1-211A美的微波炉作业指导书(第一版)文件控制状态:受控□非受控□文件持有人:版号:第一版编制人:批准人:控制编号:发布日期:年月日实施日期:年月日华大质量检测中心有限责任公司发布1.目的保证每次使用均能按使用说明书要求规范操作,避免损坏仪器,保证个人及样品的安全。
2.适用范围适用于本实验室M1-211A美的微波炉。
3.职责本实验室所有技术人员,必须按照本文件相关的操作规程进行操作。
4.操作程序插上电源,微波炉通电后,蜂鸣器叫一声,程序进入演示状态。
按"取消"键退回,返回待机状态。
功能介绍-常用功能1. 微波烹调微波烹调具有5档微波火力,周期T=22秒。
按键次数 1 2 3 4 5 火力100% 80% 50% 30% 10% 显示P100 P80 P50 P30 P10 接通时间(s)22 18 12 8 4(1)按"微波"键,选择相应的微波功率;(2)按"10分"、"1分"、"10秒"键,调整烹调时间,最大烹调时间为99分90秒;(3)按"开始"键,烹调开始;(4)在运行过程中按"开始/+30秒"键,烹调时间增加30秒,火力不变。
2. 光2、光波脆烤/组合烧烤(1)按"光波/组合烧烤"键,选定组合档位;(2)按"10分"、"1分"、"10秒"键,调整烹调时间,最大烹调时间为99分90秒;(3)按"开始"键,烹调开始;(4)在运行过程中按"开始/+30秒",烹调时间将增加30秒,火力不变。
注意:烧烤时间运行到设定时间的一半时,蜂鸣器鸣叫二声,提醒开门翻转食物。
5、使用注意事项1、使用时请等到运转时间停止(或取消时间)后再打开微波炉;严禁工作状态下打开;2、请不要将饭盒袋、塑料袋放在微波炉上面的散热口,容易引起微波炉着火;3、请使用微波炉专用饭盒,不可以将一次性饭盒、不锈钢饭盒放入微波炉,这样容易引起着火或爆炸;4、请不要使用微波炉进行生食(大米,面食,蔬菜,肉类等)的蒸、煮,这样容易引起着火或爆炸;5、微波炉一次热饭的数量不宜过多,一般宜为大饭盒一个,小饭盒放两个(放太多饭盒会造成微波炉运转不正常);6、热饭的时间不宜过长(容易引起爆炸),一般时间不超过3分钟,不放饭盒的时候请不要启动微波炉;7、微波炉的按键是轻触式的,使用时不需要太用力,如遇按键错误请按停止键取消。
《微波技术》复习资料一、填空题30%;二、问答题25%(3题);三、作图题10%;四、计算题35% 3题(10+10+15)引论1、掌握微波定义、特点。
书上P1-4 填空2、了解微波的应用。
第一章:微波传输线1、掌握微波传输的波动方程(2个)填空 P12式1-11是一般形式的波动方程P13式1-13是真空中的波动方程边界条件:书P11 式1-5 4个导行波的类型及特点 TEM 书P20TE/TM 书P19表面波微波传输线的类型 TEM TE/TM2、掌握矩形波导传输波的导模类型 TEMN TMMN为什么矩形波导不能传输TEM波?简答答:假定矩形波导能传输TEM波,根据TEM波的定义可知,电磁场为横向波。
由高斯定理可知,磁力线在波导横面是闭合曲线。
由安培环路定理可知,要产生这种磁场,必须存在纵向电流。
由于矩形波导是单导体,所以不能有传导电流,只能有位移电流,必存在纵向电场,与假设矛盾,故矩形波导传输波的主模TE10及场结构作图题P34图1-8 1-9掌握矩形波导的壁电流分布,会判别辐射缝和无辐射缝;作业1-17掌握矩形波导的尺寸选择依据及尺寸的经验确定。
简答3、掌握圆柱波导的常用模的类型及主要应用。
T11(主模) 应用:矩圆过渡段TE10 应用:天线铰链 TE01应用:远距离传输4、掌握同轴线传输波的类型任意波主模 TEM波场结构;书P66图1-37掌握同轴线的尺寸选择依据及尺寸的经验确定。
简答5、掌握微带线的构成书P71图导带,接地板,介质基片传输波的类型。
准TEM波P99:1-1、1-2、1-12、第二章:微波等效电路1、掌握微波长线的传输线方程及解,书P108掌握均匀无耗线波的工作状态输入阻抗反射系数功率能量行波特点 ZL (Z) 0 全部被负载吸收纯驻波特点为纯电抗()反射系数模为1 负载不吸收行驻波特点公式要记??终端的反射系数在(0,1)一部分被负载吸收掌握传输线上特性参数Zin . Γ(d)(位置为d时的反射系数). ΓL(终端反射系数). .K的含义,并会计算1。
微波试题及答案在现代社会中,微波技术已经广泛应用于通信、雷达、天文学等领域。
掌握微波知识对于从事相关行业的人士来说至关重要。
本篇文章将介绍一些微波试题及其答案,帮助读者深入了解微波技术。
试题一:什么是微波?答案:微波是电磁波的一种,具有较短的波长和高频率特点,通常波长在1毫米至1米之间。
微波具有很强的穿透力和方向性,被广泛应用于通信、雷达、医疗等领域。
试题二:什么是微波导?答案:微波导是一种用于传输微波信号的特殊波导结构。
微波导常见的形式有矩形波导、圆柱波导等,其内部壁面具有优良的导波性能,能够有效地传输微波信号。
试题三:微波的功率和频率有何关系?答案:微波的功率和频率之间呈正比关系。
功率越大,频率也相应增加。
这是因为微波的功率与电磁波的幅度相关,而频率则与波的周期有关。
试题四:什么是微波障碍物?答案:微波障碍物是指在微波传输过程中会对信号产生干扰或反射的物体。
微波障碍物可能导致信号衰减、多径效应等问题,影响信号的传输质量。
试题五:微波天线的作用是什么?答案:微波天线是用于接收和发射微波信号的装置。
它能够将电磁波能量转换成电流或电流转换成电磁波能量,并将其传输到空间中进行无线通信或能量传输。
试题六:什么是微波功率放大器?答案:微波功率放大器是一种用于增加微波信号功率的装置。
它通过引入恒定的电源电压来驱动微波管或半导体器件,实现对微波信号电压的放大。
试题七:什么是微波衰减器?答案:微波衰减器是一种用于降低微波信号功率的装置。
它通过引入衰减材料或实现信号的反向传播等方式,对微波信号进行衰减,用于调节微波信号的强度。
试题八:什么是微波干扰?答案:微波干扰是指在微波传输过程中,由于不同信号的干涉或其他外界干扰因素而导致的信号失真或中断现象。
微波干扰可能影响通信、雷达等应用的正常运行。
试题九:如何解决微波干扰问题?答案:解决微波干扰问题可以采取多种方法。
例如,可以提高微波系统的抗干扰能力,使用合适的隔离器或拐角衰减器,合理安排微波设备的布局等,从而减少微波干扰。
先进陶瓷制备技术(学习论文)——自蔓延高温烧结、微波烧结、爆炸烧结制备技术概述完成日期2012年6月22日1.1 自蔓延高温烧结技术简介自蔓延高温烧结技术(SHS烧结)就是通过固相反应烧结,从而制得一定形状和尺寸的产品,它可以在空气、真空或特殊气氛中烧结。
SHS烧结技术能制得高质量的高熔点难熔化合物产品,其强度受温度变化的影响不大。
该技术是在一定的气氛中点燃粉末压胚,产生化学反应,其放出的生成热使临近的物体温度骤然升高而引发新的化学反应,以燃烧波的形式反映蔓延用过整个反应物,同时反应物转变成为生成物,并通过固相烧结原理完成烧结(如图1),当然在反应物中适当的添加相应的助剂,也可以实现陶瓷的液相烧结。
图1 SHS烧结反应过程示意图1.2 自蔓延烧结技术的发展历史自蔓延高温烧结技术(SHS烧结)就是通过固相反应烧结,从而制得一定形状和尺寸的产品,它可以在空气、真空或特殊气氛中烧结。
因为SHS烧结炉技术是基于SHS合成技术发展起来的,因此对于该技术的历史发展,我们需要追溯到SHS合成技术的历史与发展。
人们很早就发现了化学反应中的放热现象,在上个世纪就已发现了气-固相和固-固相的燃烧合成现象。
1967年,原苏联科学院化学物理研究所Borovinskaya 等人发现钛-硼混合物的自蔓延燃烧合成现象,“火焰”。
60年代末,又发现了许多金属和非金属难熔化合物的燃烧合成现象,并首先将这种靠反应自身放热来合成材料的技术称为自蔓延高温合成(Self-propa-gating High- temperature Synthesis),即SHS。
1972年,SHS开始用于粉末的工业生产。
1975年,开始把SHS和烧结、热压、热挤、轧制、爆炸、堆焊和离心铸造等技术结合,研究通过SHS法直接制备陶瓷、金属陶瓷和复合管等致密材料。
由此自蔓延烧结合成技术开始应用于陶瓷制品的合成。
70年代末,一些致密SHS 制品,例如MoSi2加热元件已工业化生产。
《微波通信与卫星通信》课程作业注意事项:要求该课程作业全部手写在浙江理工大学标准作业本上;每一章的作业题目要另起一页从新开始;本文档中所列出的题目必须把原题抄写在作业本上,随后再写答案;所有题目都是必选的,请全部做完并且独立完成;要求字迹清晰工整。
请于2015年1月7日上课时随课程论文一起上交。
第1章微波与卫星通信概述1-1 微波通信有哪些特点?卫星通信有哪些特点?微波通信具有良好的抗灾性能,对水灾、风灾以及地震等自然灾害,微波通信一般都不受影响。
但微波经空中传送,易受干扰,在同一微波电路上不能使用相同频率于同一方向,因此微波电路必须在无线电管理部门的严格管理之下进行建设。
此外由于微波直线传播的特性,在电波波束方向上,不能有高楼阻挡,因此城市规划部门要考虑城市空间微波通道的规划,使之不受高楼的阻隔而影响通信卫星通信①通信距离远,且费用与通信距离无关。
②广播方式工作,可以进行多址通信。
③通信容量大,适用多种业务传输。
④可以自发自收进行监测。
⑤无缝覆盖能力。
⑥广域复杂网络拓扑构成能力。
⑦安全可靠性。
1-2 请阐述智能天线的概念。
智能天线又称自适应天线阵列、可变天线阵列、多天线。
智能天线指的是带有可以判定信号的空间信息(比如传播方向)和跟踪、定位信号源的智能算法,并且可以根据此信息,进行空域滤波的天线阵列。
智能天线是一种安装在基站现场的双向天线,通过一组带有可编程电子相位关系的固定天线单元获取方向性,并可以同时获取基站和移动台之间各个链路的方向特性。
[1]智能天线采用空分复用(SDMA)方式,利用信号在传播路径方向上的差别,将时延扩散、瑞利衰落、多径、信道干扰的影响降低,将同频率、同时隙信号区别开来,和其他复用技术相结合,最大限度地有效利用频谱资源。
早期应用集中于雷达和声呐信号处理领域,20世纪70年代后被引入军事通信中。
随着移动通信技术的发展,阵列处理技术被引入到移动通信领域,很快就形成了智能天线的研究领域。
微波技术与微波器件课程设计1. 课程概述本课程是一门关于微波技术及微波器件的课程设计,旨在提高学生对微波技术及器件理论的认识,并通过实践操作来加深对微波器件的理解与掌握实现自我设计和制造微波器件的能力。
本课程的重点内容包括微波器件设计的基本原理、微波器件市场现状、微波器件测试方法和仿真分析等,课程主要由理论和实践两部分组成。
2. 课程设计目的本课程设计旨在让学生掌握基本的微波器件的原理与技术,了解微波器件市场现状,能够进行微波器件的设计、测试与仿真,同时培养学生的实践操作能力。
通过本课程的学习,学生能够了解微波器件的基本结构、参数和工作原理,能够进行微波器件的设计和仿真,掌握微波器件的测试与分析方法,使学生在将来的工作中更加游刃有余。
3. 课程设计内容3.1 微波器件设计的基本原理本章主要介绍微波电路的基本概念,学习常用的微波电路模型以及微波器件的基本参数及其影响因素。
本章主要介绍微波器件市场的现状以及微波器件的应用,包括微波器件的种类、主要应用领域,以及市场上常用的微波器件厂家等。
3.3 微波器件测试方法本章主要介绍微波器件的测试方法,包括微波器件常用的测试仪器、测试方法和测试数据分析等。
3.4 微波器件仿真分析本章主要介绍微波器件的仿真分析方法,包括微波器件的电磁仿真分析、电路仿真分析和系统仿真分析等。
4. 课程设计实验4.1 微波器件的设计与制造学生需按照老师布置的作业,独立完成一个微波器件的设计与制造,设计出一个具体微波器件并制造出实物,并通过测试和仿真分析来验证器件的性能。
4.2 微波器件测试与数据分析学生需完成一个对微波器件进行测试的实验,并对实验数据进行分析,包括对接头损耗、器件的S参数、带宽等参数的测试和分析。
学生需完成一个微波器件系统的仿真实验,根据具体的实验任务和要求,设计仿真实验方案、仿真算法以及验证仿真结果等。
5. 总结本课程的设计和实验旨在提高学生对微波技术及器件的理解,并通过实践操作来加深对微波器件的认识,使学生具备一定的自主设计、制造和测试微波器件的能力。
电视台微波作业职业危害的调查吴必军1高萍2摘要:本文调查了微波作业人员56人(接触组)和非微波作业人员58人(对照组),调查结果表明:接触组有神衰症候群者占39%(P< 0.01),脱发17.9%(P <0.01),视力减退25%(P< 0.01),与对照组比较有非常显著性差异。
同样,心电图异常28.6%(P<0.05),脑血流图异常23.3%(P<0.05),眼晶状体不同程度浑浊37.5%(P<0.05),两组相比差异显著。
观察到接触组自觉症状的发生率及上述体征的检出率与工龄长短有关。
关键词:微波职业危害健康调查微波辐射作为一种职业危害因素,愈来愈引起国内外的高度重视。
广播电视台是应用微波技术的主要部门。
随着大功率发射设备的不断增加,其职业危害日渐显露。
为了解微波辐射对作业人员健康的影响,我们对某省电视台微波作业场所及微波作业人员进行了三年动态观察,现将调查结果报告如下。
一、对象与方法(一)调查对象1、接触组:为电视台发射机房、微波机房、播出机房等从事微波作业的工作人员56 人(男31人,女25人),平均年龄30.12岁(19~57岁),平均接触工龄8.11年(0.5—30年)。
2、对照组:均为不从事微波和其它有毒有害作业的普通工作人员58人(男34人,女24人),平均年龄32.3岁(18—56岁),平均接触工龄9.23年(0.5—25年)。
(二)调查方法1、微波漏能测试:采用国产RCQ—1型微波漏能测试仪,仪器使用前经过校准,并由专人测试。
2、其他职业危害因素测试:包括超短波、X射线、噪声、一氧化碳、二氧化碳、臭氧、细菌总数、致病菌、微小气候及照度等测试,均按有关检测规范进行。
3、体验检查:包括详细询问职业史、疾病史、内科、神经科、心电图、脑血流图、临床化验(血常规、尿11项、转氨酶加乙肝两对半、染色体、微核、免疫球蛋白)及五官科、眼底、裂隙灯检查。
接触组与对照组均由眼科医生使用同一台裂隙灯显微镜检查。
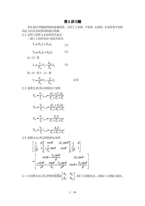
第2讲习题本作业针对微波网络的参量矩阵,介绍了Z 矩阵,Y 矩阵,A 矩阵,S 矩阵和T 矩阵的定义以及各矩阵间的相互转换。
2.1 证明Z 矩阵与A 矩阵的关系式二端口Z 矩阵电压-电流关系为2121111I Z I Z V +=(1)2221212I Z I Z V +=(2)由(2)得2212222111I Z ZV Z I -=(3)将(3)带入(1)得221221111I Z V Z Z V ∆-=证毕2.2 求图2-13所示网络的Z 矩阵c b a b c aI Z Z Z Z Z Z I V Z +++===)(|011112 c b a c b a I Z Z Z Z Z Z I V Z +++===)(|022221 c b a c b I Z Z Z Z Z I V Z ++===021121|cb ac b I Z Z Z Z Z I V Z ++===012212| 2.3 求图2-14所示网络的A 矩阵⎥⎥⎥⎥⎦⎤⎢⎢⎢⎢⎣⎡++++=⎥⎥⎦⎤⎢⎢⎣⎡⎥⎥⎦⎤⎢⎢⎣⎡⎥⎥⎦⎤⎢⎢⎣⎡βθθβθθβθθβθθβθθθθβsin cos sin sin cos 2sin sin cos 1101cos sin 1sin cos 110102000000Z j Z Z j j jZ Z j Z j jZ j2.4 已知图2-11所示网络的[]⎥⎦⎤⎢⎣⎡=22211211A A A A A ,端口2接阻抗l Z ,求端口1的输入阻抗。
⎩⎨⎧-=-=22222112122111I A V A I I A V A V 则 2221121122222121221111A Z A A Z A I A V A I A V A I V Z l l in ++=--==2.5⎩⎨⎧+=+=22222122122111i a u a i i a u a u 利用111b a u += 222b a u += 111b a i -=222b a i -=得⎩⎨⎧--+=---+=+)()()()()()(22222221112212221111b a a b a a b a b a a b a a b a两式相加2222112112222112111)()(2b a a a a a a a a a a ++++-+-=2222112112221121112221121122a a a a a aa a a a a a a ab ++++-+-++++=即 22211211212a a a a s +++=222112112221121122a a a a a a a a s ++++-+-=222112112221121111--a a a a a a a a s ++++=[]2221121112det 2a a a a a s +++=2.6 (a )[]⎥⎦⎤⎢⎣⎡=101z A 根据电路理论,得⎩⎨⎧-=-=22121ZI V V I I 利用01111)(Z b a I -= 02222)(Z b a I -= 01111)(Z b a V += 02222)(Z b a V +=得01220211)()(Z b a Z b a --=-Z b a Z b a Z Z b a )()()(220222020111--+=+于是⎥⎦⎤⎢⎣⎡⎥⎥⎦⎤⎢⎢⎣⎡--=⎥⎦⎤⎢⎣⎡⎥⎥⎦⎤⎢⎢⎣⎡+-210202010102210202010102)(a a Z Z Z Z Z Z b b Z Z Z Z Z Z ⎥⎦⎤⎢⎣⎡⎥⎥⎦⎤⎢⎢⎣⎡+-+-++=⎥⎦⎤⎢⎣⎡⎥⎥⎦⎤⎢⎢⎣⎡--⎥⎥⎦⎤⎢⎢⎣⎡-+++=⎥⎦⎤⎢⎣⎡2102020101020102020102020102210202010102020201010202010221)(22)()(1)(1a a Z Z Z Z Z Z Z Z Z Z Z Z Z Z Z Z a a Z Z Z Z Z Z Z Z Z Z Z Z Z Z Z Zb b 即ZZ Z ZZ Z s +++-=020*******ZZ Z ZZ Z s +++-=020*******ZZ Z Z Z s s ++==0201020121122由t 矩阵与s 矩阵的关系得02010*********Z Z ZZ Z s t ++== 020102012122122Z Z Z Z Z s s t +--=-=020101022111212Z Z Z Z Z s st +-== )(2)(020102012020122122Z Z Z Z Z Z Z Z s t ++--=∆-= (b)[]⎥⎥⎦⎤⎢⎢⎣⎡=N N A 100根据电路理论,得21nV V = 211I nI -=利用01111)(Z b a I -= 02222)(Z b a I -= 01111)(Z b a V += 02222)(Z b a V +=得02220111)()(Z b a n Z b a +=+ 01220211)()(Z b a Z b a n --=-于是⎥⎦⎤⎢⎣⎡⎥⎥⎦⎤⎢⎢⎣⎡-=⎥⎦⎤⎢⎣⎡⎥⎥⎦⎤⎢⎢⎣⎡-21010202012101020201a a Z Z n Z n Z b b Z Z n Z n Z⎥⎦⎤⎢⎣⎡⎥⎥⎦⎤⎢⎢⎣⎡-+-+=⎥⎦⎤⎢⎣⎡⎥⎥⎦⎤⎢⎢⎣⎡-⎥⎥⎦⎤⎢⎢⎣⎡-+=⎥⎦⎤⎢⎣⎡210220102010201022010220121010202010102020102201212211a a Z n Z Z Z n Z Z n Z n Z Z n Z a a Z Z n Z n Z Z Z n Z n Z Z n Zb b即022010220111Z n Z Z n Z s ++-=022010220122Z n Z Z n Z s +-=02201020121122Z n Z Z Z n s s +==由t 矩阵与s 矩阵的关系得020102201211121Z Z n Z n Z s t +== 02010********122Z Z n Z n Z s s t --=-= 0201022012111212Z Z n Z n Z s s t +-== )(2)(0220102012022012122Z n Z Z Z n Z n Z s t +--=∆-= 2.7 已知一双端口网络的s 矩阵满足21122211,s s s s ==。
#第1讲作业绪论1微波的频率和波长范围分别是多少?答:频率范围从300MHz到3000GHz,波长从到1m。
2微波与其它电磁波相比,有什么特点?答:主要特点是:微波波长可同普通电路或元件的尺寸相比拟,即为分米、厘米、毫米量级,其他波段都不具备这个特点。
普通无线电波的波长大于或远大于电路或元件的尺寸,电路或元件内部的波的传播过程(相移过程)可忽略不计,故可用路的方法进行研究。
光波、X射线、 射线的波长远小于电路或元件的尺寸,甚至可与分子或原子的尺寸相比拟,难以用电磁的或普通电子学的方法去研究它们。
(有同学仅仅写微波的特点,有同学是把课本上微波特点写下来)正是上述特点,使人们对微波产生极大兴趣,并将它从普通无线电波波段划分出来进行单独研究。
3微波技术、天线、电波传播三者研究的对象分别是什么?它们有何区别和联系?答:微波技术:主要研究引导电磁波在微波传输系统中如何进行有效传输,它希望电磁波按一定要求沿传输系统无辐射地传输。
天线:是将微波导行波变成向空间定向辐射的电磁波,或将空间的电磁波变为微波设备中的导行波。
电波传播:研究电波在空间的传播方式和特点。
微波技术、天线与电波传播是微波领域研究的三个重要组成部分,它们共同的基础是电磁场理论,但三者研究的对象和目的有所不同。
(有同学没有写区别和联系) #第2讲作业1.导出如图(C )所示的平行导体板传输线的等效电路参量。
假设平行导体板间填充媒质的电参数为,εμ,其中'''εεεj -=,且W b >>。
解:令传输线上仅传播沿z 向的行波,则传输线上的行波电压为zj e U U γ-=0,行波电流为z j e I I γ-=0。
b从能量或者功率的角度来求,方程中有未知量为E ,H ,所以求得这两个未知量就可以。
由于W b >>的条件,可以忽略不均匀性,视两板间为均匀电场,有b U E =其中,zj e U U γ-=0由于传输线理论和电路理论中传输线单位长度的电场储能相等,可得:S 为电场和磁场所处的横截面积,这里的S 是标量bWWbb U U dSE E UC St t '2020'*20'εεε=⋅⎪⎭⎫⎝⎛⋅=⋅=⎰注意是'ε而不是ed ε,因为点容与损耗无关。