卫星链路中CN值的计算
- 格式:docx
- 大小:18.56 KB
- 文档页数:6
卫星链路中C N值的计算一、我们接收站所在位置接收中星九的方位角、仰角我站所在地点的径纬度北纬40°03′(40.05°)、东径116°16′(116.27°)直播星中星九号定点于92.2°E,上式中地球站径度φ′=116.27°纬度θ=40.05°卫星星下点径度φ=92.2°r是地球的半径r=6378Km,R是卫星同步轨道的半径R=42218Km代入数值得到方位角A=35.08°(南偏西)仰角E=37.48°二、我站到中星九的距离星站距离公式:d=√63782+422182-2×6378×42218×cos(92.2-116.27)cos40.05=38034(Km)三、自由空间损耗自由空间损失又叫扩散损失。
在自由空间有一发射天线发射功率为PT,经自由空间传播到接收端时,由于能量分布空间加大,因而通过单位面积上的能量要减少,所以接收点接收到的功率将减少为Pc',发射功率和接收功率之比就是自由空间传输损失,用Lf表示,即:式中d是接收点与发射点之间的距离,以米为单位,λ是电波波长,以米单位。
用dB表示时:那么中星九号卫星到我们地球站的自由空间损耗计算如下上式中:λ=c/ff:载波频率=11750MHzc:光速300000km/sd:星站距离38034×103mKu波段的波长λ=300000×103/11750×106=0.0255m将上边数据代入Lf(dB)=20㏒10〔4π×38034×103/0.0255〕=205.45dB其它损耗:大气损耗L1=0.5dB指向误差损耗L2=0.5dB卫星非线性损耗L3=0.5dB其它可能性损耗L4=0.5dB考虑到天气好时,上边四项对自由相比较可以不记,这样总的空间损耗为Ls=Lf+L1+L2+L3+L4=205.45dB四、有效全向辐射功率EIRP实际上往往采用定向发射天线,使发射机发射功率集中在特定的方向,在这个特定的方向上能量大大增强。
卫星通信链路计算过程Revised on November 25, 2020卫星通信链路计算过程星通信载波的链路计算方法为,先分别计算上行和下行链路的载波功率与等效噪声温度比C/T或者载波与噪声功率比C/N、以及载波与干扰功率比C/I,再求出考虑干扰因素的系统载噪比C/(N+I)和载波的系统余量。
上下行C/T上行和下行C/T的计算公式分别为C/TU = EIRPE– LossU+ G/TSatC/TD = EIRPS– LossD+ G/TE/S式中的EIRPE 和EIRPS分别为载波的上行和下行EIRP,LossU和LossD分别为总的上行和下行传输衰耗,G/TSat 和G/TE/S分别为卫星转发器和地球站的接收系统品质因数。
上式中的数据均为对数形式。
C/N与C/T 的关系C/N与C/T的关系式为C/N = C/T – k – BWN = C/T + – BWN式中的k为波兹曼常数,BWN为载波噪声带宽。
式中的数据均为对数形式。
C/I与C/IM卫星通信载波需要考虑的干扰因素主要有,上行和下行反极化干扰C/IXP_U和C/IXP_D 、以及上行和下行邻星干扰C/IAS_U和C/IAS_D。
此外,还需考虑转发器在多载波工作条件下的交调干扰 C/IM 。
C/N与C/I的合成由多项 C/N和C/I求取总的C/N、C/I、以及C/(N+I)的算式为(C/NTotal )-1 = (C/NU)-1 + (C/ND)–1(C/ITotal )-1 = (C/IXP_U)-1 + (C/IAS_U)–1 + (C/IM)-1 + (C/IXP_D)-1 + (C/IAS_D)-1(C/(N+I))-1 = (C/NTotal )-1 + (C/ITotal)–1上述三个算式中的数据均为真数形式。
由多项C/N和C/I求取总的C/(N+I)的步骤也可为(C/(N+I)U )-1 = (C/NU)-1 + (C/IXP_U)–1 + (C/IAS_U)–1(C/(N+I)D )-1 = (C/ND)-1 + (C/IXP_D)-1 + (C/IAS_D)-1 + (C/IM)-1(C/(N+I))-1 = (C/(N+I)U )-1 + (C/(N+I)D)–1上述两种不同计算步骤所得到的结果是相同的。
卫星链路计算公式天线的增益与波束宽度有效全向辐射功率自由空间传输损耗转发器的工作点噪声与损耗1. 天线增益:G=收点收到的功率无方向天线辐射时,接点收到的最大功率定向天线辐射时,接收 微波天线增益:G=ηλπ24A半功率角:)(7021度D λθ≈【半功率角是指主叶瓣上场强为主射方向场强的1/2= 0.707时(即 功率下降1/2时),两个方向间的夹角。
】2. 接收点的功率密度(单位面积上的功率)为:)/(422m W dG P W T T E π=接收天线收到的功率: 22)4(4dG G P d A G P A W P R T T T T E R πλπηη==⋅=① fR T T R L G G P P = ② 【式②一般性地描述通信线路中信号的传输,称之为“通信距离方程”】3.自由空间传输损耗:2)4(cdf L f π=时,式②与式①相等。
此即自由空间传输损耗。
【物理解释 物理解释:由于电磁波在自由空间无方向性地辐射,使得只有少部分信号被接收点收到,而其他大部分无法被收到的能量即视为损耗。
】4.有效全向辐射功率:T T G P EIRP =若考虑馈线损耗,则 FT T L G P EIRP = 【物理解释:在接收点进行测量时,将T P 功率送入增益为T G 、最大辐射方向指向接收点的发射天线时所测得的结果与将T P T G 功率送入无方向性发射天线时所测得的结果是相同的。
】4. 转发器的工作参数:工作点:输入补偿输出补偿多载波与单载波工作时的输出功率1) 2244λπλπηη⋅=⋅===f ES f T T f R T T R L EIRP L G P A L G G P A P W 即 )/)(4lg(10][[EIRP][W]22ES m dBW L f λπ+-=【为使卫星转发器单载波饱和工作,在其接收天线的单位有效面积上应输入的功率,一般以W 或SFD 表示】2)G/T 值:接收天线增益与接收系统总的等效噪声温度的比值称为地球站的G/T 值,也称性能因数或品质因数。
卫星链路计算公式
1.链路预算
链路预算是用于确定卫星链路的信号强度和传输损耗的公式。
它用于计算链路损耗、可用信号功率和接收信噪比等参数。
链路预算公式通常由以下几个部分组成:发射端天线增益、发射机功率、传输路线损耗、接收端天线增益、接收机灵敏度和链路容量等。
链路预算的目的是确定链路的可靠性和传输性能。
2.接收信噪比计算公式
接收信噪比是用于评估卫星链路接收端性能的指标。
接收信噪比计算公式通常由以下几个参数组成:信号功率、噪声功率和信道带宽。
接收信噪比公式可以用于确定链路的接收能力和系统的传输性能。
3.系统容量计算公式
系统容量是用于评估卫星通信系统吞吐量的指标。
系统容量计算公式通常由以下几个参数组成:带宽、调制方式、编码方式和误码率。
系统容量的计算公式可以用于确定链路的传输容量和系统的传输性能。
4.链路可靠性计算公式
链路可靠性是用于评估卫星链路稳定性和可靠性的指标。
链路可靠性计算公式通常由以下几个参数组成:链路错误率、链路间隔、链路失效概率和故障修复时间。
链路可靠性的计算公式可以用于确定链路的稳定性和系统的可靠性。
5.链路质量计算公式
链路质量是用于评估卫星链路传输质量的指标。
链路质量计算公式通常由以下几个参数组成:误码率、帧错误率、比特错误率和信号失真度。
链路质量的计算公式可以用于确定链路的传输质量和系统的性能。
需要注意的是,卫星链路计算公式的具体形式和参数可能会因具体的应用场景和卫星通信系统而有所不同。
因此,使用者在进行卫星链路计算时应根据具体情况选择适当的计算公式,并结合实际数据进行计算。
卫星传输系统链路的计算简析作者:周轩宇来源:《硅谷》2012年第21期摘要:首先针对卫星传输系统中链路计算的相关概念做出必要阐述,而后介绍在链路计算中涉及到的几个主要参数,最后针对工作中需要确定的相关计算量给出计算表达式。
关键词:卫星;传输;链路;计算科技和社会的发展,推动的卫星通信事业的不断向前推进。
相对于传统的有线或无线通信方式而言,卫星通信有着覆盖广、通信容量大、不惧距离、地理环境限制弱等优点,与光纤通信以及数字微波通信一同成为当前我国远距离数字传输的三大支柱。
1卫星传输系统中链路计算的相关概念卫星通信的本质,是以人造通信卫星作为通信中继站而展开的微波中继通信。
在这种通信方式中,信号从发送端出发,经过卫星的接收和放大,然后传送到接收端,因此可以有效实现横跨地域较大的信号传输,而不必过多考虑地理情况,从而其传输成本不在与地理距离正相关。
但是应当注意到,通过卫星中继进行的数据传输,虽然受到地理影响很弱,但是由于信号需要穿透大气层,因此受到气象因素影响相对严重,且传输时延和功损都不能忽视。
这就从客观上要求链路计算的出现。
在针对地球站进行设计和工作的过程中,用户需要对信号传输质量和时间等问题提前作出判断,因此需要进行各种参数展开定量分析判断,以便通过参数的合理选择来实现数字传输的最优化,这就是所谓的链路计算。
链路计算工作包括对于卫星上行以及下行过程中各个环节进行详细推敲和计算,包括诸如天线大小增益、调制方式、对于LNA或LNB的选择等多个方面,其目的在于满足对于整个数据传输过程的质量、价格以及可扩展性等方面的要求。
2卫星传输系统链路计算过程中的主要参数卫星传输系统中,信号的传输质量受到多方面的影响,因此对链路计算是实施有效传输的必要途径。
在链路计算过程中,首先应当明确几个必要的参数,包括天线增益、自由空间传输损耗以及全向辐射功率。
在卫星通信系统中,一般使用定向天线,这种天线能够将电磁能量集中朝向某一特定方向辐射,天线增益定义可以表达为:对于抛物面天线以及其他类似天线而言,增益的表达式为:在上式中。
5G频点计算过程——非常详细计算GSCN是Global ___的缩写,是5G中用于标识频段的一个重要概念。
每个频段都有一个对应的GSCN值,用于在不同频段之间进行转换。
GSCN的计算公式如下:GSCN=NREF-Offs+Koffset*NREF其中,NREF为频点号,NREF-Offs为频点号的偏移量,Koffset为频段相关的参数。
GSCN的具体计算方法因频段而异,需要根据具体频段的参数进行计算。
改写:在研究5G频点的计算方法之前,需要先了解几个基础概念,以便更好地理解5GNR网络的基本原理和5G与4G之间的差异。
这些概念包括Global Raster、Channel Raster、___和GSCN。
接下来我们逐一解释这些概念。
Global Raster是全局频点栅格,用于计算5G频点号(NR-ARFCN)。
计算公式中的ΔFGlobal表示每个频点栅格的间隔,这个间隔与具体的频段相关,不是固定值。
Channel Raster用于指示空口信道的频域位置,进行资源映射,即小区的实际频点位置必须满足Channel Raster的映射。
Channel Raster的大小为1个或多个Global Raster,与具体的频段相关。
各个常见频段的Channel Raster定义不同。
n Raster是5G中第一次出现的概念,其目的是加快终端扫描SSB所在频率位置,以便UE在开机时能够搜索SS/PBCH block。
在UE不知道频点的情况下,需要按照一定的步长盲检UE支持频段内的所有频点。
由于NR中小区带宽非常宽,按照Channel Raster去盲检会导致UE接入速度非常慢,因此UE专门定义了___的搜索步长与频率有关,不同频段的搜索步长不同。
GSCN是5G中用于标识频段的一个重要概念,每个频段都有一个对应的GSCN值,用于在不同频段之间进行转换。
GSCN的计算方法因频段而异,需要根据具体频段的参数进行计算。
卫星链路中C N值的计算卫星链路中C/N值的计算一、我们接收站所在位置接收中星九的方位角、仰角我站所在地点的径纬度北纬40°03′(40.05°)、东径116°16′(116.27°)直播星中星九号定点于92.2°E,上式中地球站径度φ′=116.27°纬度θ=40.05°卫星星下点径度φ=92.2°r是地球的半径r=6378Km,R是卫星同步轨道的半径R=42218Km代入数值得到方位角A=35.08°(南偏西)仰角E=37.48°二、我站到中星九的距离星站距离公式:d=√63782+422182-2×6378×42218×cos(92.2-116.27)cos40.05=38034(Km)三、自由空间损耗自由空间损失又叫扩散损失。
在自由空间有一发射天线发射功率为PT,经自由空间传播到接收端时,由于能量分布空间加大,因而通过单位面积上的能量要减少,所以接收点接收到的功率将减少为Pc',发射功率和接收功率之比就是自由空间传输损失,用Lf表示,即:式中d是接收点与发射点之间的距离,以米为单位,λ是电波波长,以米单位。
用dB表示时:那么中星九号卫星到我们地球站的自由空间损耗计算如下上式中:λ=c/ff:载波频率=11750MHzc:光速300000km/sd:星站距离38034×103mKu波段的波长λ=300000×103/11750×106=0.0255m将上边数据代入Lf(dB)=20㏒10〔4π×38034×103/0.0255〕=205.45dB其它损耗:大气损耗L1=0.5dB指向误差损耗L2=0.5dB卫星非线性损耗L3=0.5dB其它可能性损耗L4=0.5dB考虑到天气好时,上边四项对自由相比较可以不记,这样总的空间损耗为Ls=Lf+L1+L2+L3+L4=205.45dB四、有效全向辐射功率EIRP实际上往往采用定向发射天线,使发射机发射功率集中在特定的方向,在这个特定的方向上能量大大增强。
卫星通信链路计算过程卫星通信链路是指卫星与地面站之间的通信路径,主要用于传输语音、数据和视频等信息。
在设计卫星通信链路时,需要考虑到多种因素,包括传输距离、频率选择、传输速率、信道容量和信号质量等,并进行相应的计算和分析。
首先,为了计算卫星通信链路的传输距离,需要确定地面站到卫星的距离。
这一距离通常通过地面站和卫星之间的视距来估算。
视距的计算可以使用下述公式:视距=√(2Rh+H^2)其中,R为地球半径,H为卫星的轨道高度。
接下来,为了确定适当的频率选择,需要对卫星通信链路的频带进行计算。
频带的选择通常由频率规划规定。
在进行频带计算时,需要考虑传输的数据速率和卫星通信系统的要求。
一般来说,高速数据传输需要使用高频段,而低速数据传输可以使用低频段。
传输速率的计算是卫星通信链路设计的重要一环。
传输速率通常受到频带宽度和调制方式的限制。
传输速率的计算可以使用香农公式来估算:C=Blog2(1+SNR)其中,C为信道容量,B为频带宽度,SNR为信噪比。
信道容量是指在给定的频带宽度下,信号可以传输的最大速率。
在进行信道容量计算时,必须考虑到信噪比、调制方式以及频带宽度等因素。
常见的调制方式包括调幅调制(AM)、频移键控调制(FSK)和相移键控调制(PSK)等。
最后,信号质量的计算可以通过信号功率的计算来完成。
可通过对信号功率进行估计,以评估信号在传输过程中的衰减情况。
P=P0GtGr(λ/4πR)^2其中,P为接收信号的功率,P0为发射功率,Gt为发射天线增益,Gr为接收天线增益,λ为信号波长,R为传输距离。
通过上述计算过程,可以得到卫星通信链路的关键参数,从而确定适当的设备和调整相关参数。
这些计算和分析能够为卫星通信系统的设计、优化和运维提供重要的依据。
总结起来,卫星通信链路的计算过程包括传输距离的估算、频率选择和频带计算、传输速率的估算、信道容量的计算以及信号质量的估计。
这些计算过程是卫星通信链路设计中的重要一环,能够帮助优化卫星通信系统的性能和可靠性。
卫星通信链路计算过程 LG GROUP system office room 【LGA16H-LGYY-LGUA8Q8-LGA162】卫星通信链路计算过程星通信载波的链路计算方法为,先分别计算上行和下行链路的载波功率与等效噪声温度比C/T或者载波与噪声功率比C/N、以及载波与干扰功率比C/I,再求出考虑干扰因素的系统载噪比C/(N+I)和载波的系统余量。
上下行C/T上行和下行C/T的计算公式分别为C/TU = EIRPE– LossU+ G/TSatC/TD = EIRPS– LossD+ G/TE/S式中的EIRPE 和EIRPS分别为载波的上行和下行EIRP,LossU和LossD分别为总的上行和下行传输衰耗,G/TSat 和G/TE/S分别为卫星转发器和地球站的接收系统品质因数。
上式中的数据均为对数形式。
C/N与C/T 的关系C/N与C/T的关系式为C/N = C/T – k – BWN = C/T + – BWN式中的k为波兹曼常数,BWN为载波噪声带宽。
式中的数据均为对数形式。
C/I与C/IM卫星通信载波需要考虑的干扰因素主要有,上行和下行反极化干扰C/IXP_U 和C/IXP_D、以及上行和下行邻星干扰C/IAS_U 和C/IAS_D。
此外,还需考虑转发器在多载波工作条件下的交调干扰 C/IM 。
C/N与C/I的合成由多项 C/N和C/I求取总的C/N、C/I、以及C/(N+I)的算式为(C/NTotal )-1 = (C/NU)-1 + (C/ND)–1(C/ITotal )-1 = (C/IXP_U)-1 + (C/IAS_U)–1 + (C/IM)-1 + (C/IXP_D)-1 + (C/IAS_D)-1(C/(N+I))-1 = (C/NTotal )-1 + (C/ITotal)–1上述三个算式中的数据均为真数形式。
由多项C/N和C/I求取总的C/(N+I)的步骤也可为(C/(N+I)U )-1 = (C/NU)-1 + (C/IXP_U)–1 + (C/IAS_U)–1(C/(N+I)D )-1 = (C/ND)-1 + (C/IXP_D)-1 + (C/IAS_D)-1 + (C/IM)-1(C/(N+I))-1 = (C/(N+I)U )-1 + (C/(N+I)D)–1上述两种不同计算步骤所得到的结果是相同的。
移动卫星通信中的三态信道模型何涛北京邮电大学无线新技术研究所,北京 (100876)E-mail :buptnimo@摘 要:本文首先介绍了无线信道中主要的损耗和主要的信道模型。
接下来,在理论分析的基础上,提出了一种卫星信道模型。
模型按照卫星直视信号受遮挡的程度不同,将陆地卫星移动通信信道质量的变化描述为三个不同状态。
同时考虑了卫星对接收机仰角不同、不同通信环境等因素对模型的影响。
关键词:信道模型,损耗模型,卫星移动通信1.引言移动卫星信道是一种时变信道,其特性是比较复杂、恶劣的,它带来的多径效应、Doppler 频移和阴影效应严重影响数字信号传输的可靠性,并且可用的频率带宽和功率受到限制[1]。
因此对这样恶劣的信道的建模需要考虑不同的条件,相应不同条件下的信道模型会更加的适用。
由于卫星通信具有通信距离远、覆盖面积大、不受地理条件限制、通信频带宽、传输容量大、通信质量稳定可靠,且费用与通信距离无关,既可以为固定终端,又可为车载、船载和机载移动体以及个人终端提供各种通信业务等特点,所以卫星移动通信在未来的个人通信中将扮演重要的角色。
目前对于高轨道卫星(GEO )来讲,由于卫星轨道高,路径损耗大,延迟时间长,要求地面站用户终端设备具有高增益、大口径的天线装置和大功率发射设备,显然不能满足全球个人移动通信终端设备体积小、重量轻、易于携带的要求。
而低轨道(LEO )卫星系统,由于轨道高度低、路径损耗小,能够达到系统所要求的EIRP 和G/T 值,卫星终端可以做到手机化,是实现全球个人移动通信的有效手段之一[2]。
特别是将陆地蜂窝移动通信系统和低轨道移动卫星通信系统相结合作为相互补充可覆盖全球。
使最终真正实现全球个人通信成为可能[3]。
2.无线通信系统的信道模型卫星通信系统服从无线通信系统的性质,多以首先介绍一下无线通信系统中的主要问题和对应的模型。
2.1信道损耗模型在信道的传输中,人们用平均路径损耗来描述和测量发射机与接收机之间的平均衰落。
卫星通信链路计算过程星通信载波的链路计算方法为,先分别计算上行和下行链路的载波功率与等效噪声温度比C/T或者载波与噪声功率比C/N、以及载波与干扰功率比C/I,再求出考虑干扰因素的系统载噪比C/(N+I)和载波的系统余量。
上下行C/T上行和下行C/T的计算公式分别为C/TU = EIRPE– LossU+ G/TSatC/TD = EIRPS– LossD+ G/TE/S式中的EIRPE 和EIRPS分别为载波的上行和下行EIRP,LossU和LossD分别为总的上行和下行传输衰耗,G/TSat 和G/TE/S分别为卫星转发器和地球站的接收系统品质因数。
上式中的数据均为对数形式。
C/N与C/T 的关系C/N与C/T的关系式为C/N = C/T – k – BWN = C/T + 228.6 – BWN式中的k为波兹曼常数,BWN为载波噪声带宽。
式中的数据均为对数形式。
C/I与C/IM卫星通信载波需要考虑的干扰因素主要有,上行和下行反极化干扰C/IXP_U和C/IXP_D 、以及上行和下行邻星干扰C/IAS_U和C/IAS_D。
此外,还需考虑转发器在多载波工作条件下的交调干扰 C/IM 。
C/N与C/I的合成由多项 C/N和C/I求取总的C/N、C/I、以及C/(N+I)的算式为(C/NTotal )-1 = (C/NU)-1 + (C/ND)–1(C/ITotal )-1 = (C/IXP_U)-1 + (C/IAS_U)–1 + (C/IM)-1 + (C/IXP_D)-1 + (C/IAS_D)-1(C/(N+I))-1 = (C/NTotal )-1 + (C/ITotal)–1上述三个算式中的数据均为真数形式。
由多项C/N和C/I求取总的C/(N+I)的步骤也可为(C/(N+I)U )-1 = (C/NU)-1 + (C/IXP_U)–1 + (C/IAS_U)–1(C/(N+I)D )-1 = (C/ND)-1 + (C/IXP_D)-1 + (C/IAS_D)-1 + (C/IM)-1(C/(N+I))-1 = (C/(N+I)U )-1 + (C/(N+I)D)–1上述两种不同计算步骤所得到的结果是相同的。
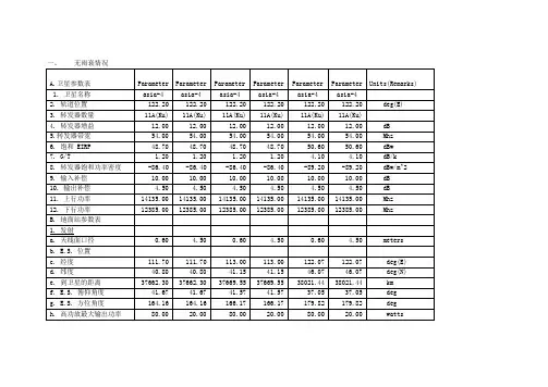
卫星链路中CN值的计算
一、我们接收站所在位置接收中星九的方位角、仰角
我站所在地点的径纬度北纬40°03′(40.05°)、东径116°16′(116.27°)
直播星中星九号定点于92.2°E,
上式中地球站径度φ′=116.27° 纬度θ=40.05° 卫星星下点径度
φ=92.2°r是地球的半径r=6378Km,R是卫星同步轨道的半径R=42218Km代入数值得到
方位角A=35.08°(南偏西)
仰角E=37.48°
二、我站到中星九的距离
星站距离公式:
d=√63782+422182-2×6378×42218×cos(92.2-
116.27)cos40.05=38034(Km)
三、自由空间损耗
自由空间损失又叫扩散损失。
在自由空间有一发射天线发射功率为PT,经自由空间传播到接收端时,由于能量分布空间加大,因而通过单位面积上的能量要减少,所以接收点接收到的功率将减少为Pc’,发射功率和接收功率之比就是自由空间传输损失,用Lf表示,即: 式中d是接收点与发射点之间的距离,以米为单位,λ是电波波长,以米单位。
用dB表示时:
那么中星九号卫星到我们地球站的自由空间损耗计算如下
上式中:λ=c/f f:载波频率=11750MHz c:光速 300000 km/s d:星站距离38034×103m
Ku波段的波长λ=300000×103/11750×106=0.0255 m
将上边数据代入
Lf(dB)=20㏒
10
〔4π×38034×103/0.0255〕=205.45dB
其它损耗:大气损耗 L1=0.5dB
指向误差损耗 L2=0.5dB
卫星非线性损耗 L3=0.5dB
其它可能性损耗L4=0.5dB
考虑到天气好时,上边四项对自由相比较可以不记,这样总的空间损耗为
Ls=Lf+L1+L2+L3+L4=205.45dB
四、有效全向辐射功率EIRP
实际上往往采用定向发射天线,使发射机发射功率集中在特定的方向,在这个特定的方向上能量大大增强。
假设特定方向上的能量比无方向性天线增强了GT倍,在这方向上相当于发射功率扩大了GT倍,发射机输出功率和GT的乘积就是有效全向辐射功率,用EIRP表示:GT就是发射天线的增益,单位是倍。
如果EIRP、PT、GT都用dB表示,即:
(EIRP)dB = (PT)dB + (GT)dB (dBw)
(EIRP)dB一般用分贝瓦表示,记作dBw,以1瓦为0dBw;也可用分贝毫瓦表示,记作dBm,以1毫瓦为0dBm;它们之间相差30dB。
直播星中星九号在北京的EIRP值为:53.1dBw
五、噪声温度
热噪声功率概念:导体中的电子不断作不规则的热运动,温度越高,这种运动就越强烈,由其产生的噪声也越强。
热噪声功率为:式中K为波尔兹曼常数,大小为1.38×10-23焦耳/°K,T为绝对温度,-273°C为绝对温度的0°K,B为频带宽度。
因为热噪声功率与温度有关,所以我们常用等效噪声温度来表示噪声的大小。
六、噪声系数和等效噪声温度
现在有很多高频头给出的是噪声系数F单位是db,那么噪声系数和噪声温度
T LNB 的换算公式是: T
LNB
=(10F/10-1)T
是常温下的绝对温度2900K
我手上有二个高频头,一个标的是噪声温度≤75K,另外一个是标的噪声系数
≤1dB,将后者的换算成噪声温度T
LNB,式中 F=1,T
LNB
=(101/10-1)×290=75°K。
等效噪温度 T=T
a +T
×(L-1)+LT
LNB
,我们接收卫星电视的接收系统中高频头直接
装在天线的馈源上,高频头前面没有馈线,馈线损失等于1。
上式又可以变成:
T=T
a +T
LNB
七、载噪比的计算
C/N=EIRP×G
R
/(Ls×K×B×T)
以分贝表示「C/N」=EIRP+ G
R -L
S
-K-B-T
Ls=205.45dB,
EIRP=53.1dBw,
K=-228.6dB,
B=10㏒
(54×106)=77.32 dB,
45cm偏馈天线的天线噪声温度 T
a
=54°K
天线放大倍数G
R
=34dB,
高频头T
LNB
=75°K
T(dB)=10㏒
10
(54+75)= 21.1dB
代入上式 C/N=11.83dB
八、地面站的G/T值
分析卫星下行传输方程C/N,可看出对某一地区的接收站来讲EIRP、Ls、K、
B都是确定的,是不能改变的,只有G
R /[Ta+To(L-1)+L. T
LNB
]是可以选择的,G
R
/[Ta+To(L-1)+L. T
LNB ]越大,载噪比越好。
我们把G
R
/[Ta+To(L-1)+L. T
LNB
]称
作接收站的品质因素,用G/T来表示。
我们为提高接收性能,在
选用的天线时,天线的噪声温度要尽可能底,天线放大倍数要尽可能是大、高频头的噪声温度也要尽可能底。
九、C/N与E
b /n
的关系
当以数字方式转发时,以[Eb/N0]来表示,[Eb/No]是单位比特的平均信号能量(即传送一个比特的信息所需要的载波功率)与噪声的单边功率谱密度(每赫兹带宽的噪声功率)之比。
[Eb/N0]与[C/T]的关系:
[Eb/N0]=[C/T]-[RI]-[K]
这里需要注意的是,RI为信道编码之前的信息净荷速率,也就是数字电视前端复用器输出信号的速率,而非经过信道编码后的数码流的速率。
[Eb/N0]与[C/N]之间有如下关系:
[C/N]=(Eb/N0) ×(R
b /B)其中R
b
/B是频谱效率,
B=(1+α)×R
S α是滚降系数,在卫星系统中取0.35;R
S
是符号率
R
b =R
S
×log
2
(M) R
b
是总码率
所以有 R
b /B= log
2
(M)/1.35
一般来说卫星信号的调制方式都是QPSK,所以R
b
/B=1.48 有:[C/N]=(Eb/N0)+10lg1.48=(Eb/N0)+1.7
对于我们所接收的(Eb/N0)=11.83-1.7=10.13dB。