概率论与随机过程习题答案
- 格式:docx
- 大小:611.69 KB
- 文档页数:16
《概率论与随机过程》第一章习题答案1. 写出下列随机试验的样本空间。
(1) 记录一个小班一次数学考试的平均分数(设以百分制记分)。
解:⎭⎬⎫⎩⎨⎧⨯=n n nn S 100,,1,0 ,其中n 为小班人数。
(2) 同时掷三颗骰子,记录三颗骰子点数之和。
解:{}18,,4,3 =S 。
(3) 10只产品中有3只是次品,每次从其中取一只(取出后不放回),直到将3只次品都取出,记录抽取的次数。
解:{}10,,4,3 =S 。
(4) 生产产品直到得到10件正品,记录生产产品的总件数。
解:{} ,11,10=S 。
(5) 一个小组有A ,B ,C ,D ,E5个人,要选正副小组长各一人(一个人不能兼二个职务),观察选举的结果。
解:{}ED EC EB EA DE DC DB DA CE CD CB CA BE BD BC BA AE AD AC AB S ,,,,,,,,,,,,,,,,,,,=其中,AB 表示A 为正组长,B 为副组长,余类推。
(6) 甲乙二人下棋一局,观察棋赛的结果。
解:{}210,,e e e S =其中,0e 为和棋,1e 为甲胜,2e 为乙胜。
(7) 一口袋中有许多红色、白色、蓝色乒乓球,在其中任意取4只,观察它们具有哪几种颜色。
解:{}rwb wb rb rw b w r S ,,,,,,=其中,,,,b w r 分别表示红色、白色、蓝色。
(8) 对某工厂出厂的产品进行检查,合格的盖上“正品”,不合格的盖上“次品”,如连续查出二个次品就停止检查,或检查4个产品就停止检查,记录检查的结果。
解:{}1111,1110,1101,0111,1011,1010,1100,0110,0101,0100,100,00=S 其中,0为次品,1为正品。
(9) 有A ,B ,C 三只盒子,a ,b ,c 三只球,将三只球装入三只盒子中,使每只盒子装一只球,观察装球的情况。
解:{}Ca Bb Ac Cc Ba Ab Cb Bc Aa Cb Ba Ac Ca Bc Ab Cc Bb Aa S ,,;,,;,,;,,;,,;,,=其中,Aa 表示球a 放在盒子A 中,余者类推。
随机过程课后习题答案随机过程课后习题答案随机过程是概率论和数理统计中的一个重要分支,研究的是随机事件在时间上的演变规律。
在学习随机过程的过程中,习题是不可或缺的一部分。
通过解习题,我们可以更好地理解和掌握随机过程的基本概念和性质。
下面是一些随机过程课后习题的答案,希望对大家的学习有所帮助。
1. 假设随机过程X(t)是一个平稳过程,其自协方差函数为Cov[X(t), X(t+h)] =e^(-2|h|),求该过程的自相关函数。
解:首先,自协方差函数Cov[X(t), X(t+h)]可以通过自相关函数R(t, h)来表示,即Cov[X(t), X(t+h)] = R(t, h) - E[X(t)]E[X(t+h)]。
由于该过程是平稳过程,所以E[X(t)]和E[X(t+h)]是常数,可以将其记为μ。
因此,Cov[X(t), X(t+h)] = R(t, h) - μ^2。
根据题目中给出的自协方差函数,我们有e^(-2|h|) = R(t, h) - μ^2。
将μ^2移到等式左边,得到R(t, h) = e^(-2|h|) + μ^2。
所以,该过程的自相关函数为R(t, h) = e^(-2|h|) + μ^2。
2. 假设随机过程X(t)是一个平稳过程,其自相关函数为R(t, h) = e^(-3|h|),求该过程的均值和方差。
解:由于该过程是平稳过程,所以均值和方差是常数,可以将均值记为μ,方差记为σ^2。
根据平稳过程的性质,自相关函数R(t, h)可以表示为R(h) = E[X(t)X(t+h)] =E[X(0)X(h)]。
根据题目中给出的自相关函数,我们有R(h) = e^(-3|h|)。
将t取为0,得到R(h) = E[X(0)X(h)] = μ^2。
所以,该过程的均值为μ。
根据平稳过程的性质,方差可以表示为Var[X(t)] = R(0) - μ^2。
将t取为0,得到Var[X(t)] = R(0) - μ^2 = e^(-3*0) - μ^2 = 1 - μ^2。
第一章习题解答1. 设随机变量X 服从几何分布,即:(),0,1,2,k P X k pq k ===。
求X 的特征函数,EX 及DX 。
其中01,1p q p <<=-是已知参数。
解()()jtxjtkk X k f t E eepq ∞===∑()k jtkk p q e∞==∑ =0()1jt kjtk pp qe qe ∞==-∑又200()kkk k q qE X kpq p kq p p p ∞∞======∑∑222()()[()]q D X E X E X P =-=(其中 00(1)nnn n n n nxn x x ∞∞∞====+-∑∑∑)令 0()(1)n n S x n x ∞==+∑则 1000()(1)1xxnn k n xS t dt n t dt x x∞∞+===+==-∑∑⎰⎰202201()()(1)11(1)1(1)xn n dS x S t dt dxx xnx x x x ∞=∴==-∴=-=---⎰∑同理 2(1)2kkkk k k k k k x k x kx x ∞∞∞∞=====+--∑∑∑∑令20()(1)k k S x k x ∞==+∑ 则211()(1)(1)xkk k k k k S t dt k t dt k xkx ∞∞∞+====+=+=∑∑∑⎰)2、(1) 求参数为(,)p b 的Γ分布的特征函数,其概率密度函数为1,0()0,0()0,0p p bxb x e x p x b p p x --⎧>⎪=>>Γ⎨⎪≤⎩(2) 其期望和方差;(3) 证明对具有相同的参数的b 的Γ分布,关于参数p 具有可加性。
解 (1)设X 服从(,)p b Γ分布,则10()()p jtxp bxX b f t ex e dx p ∞--=Γ⎰ 1()0()p p jt b x b x e dx p ∞--=Γ⎰101()()()()(1)p u p p p p p b e u b u jt b x du jt p b jt b jt b∞----==Γ---⎰ 10(())x p p e x dx ∞--Γ=⎰ (2)'1()(0)X p E X f j b∴== 2''221(1)()(0)X p p E X f j b +== 222()()()PD XE X E X b∴===(4) 若(,)i i X p b Γ 1,2i = 则121212()()()()(1)P P X X X X jt f t f t f t b-++==-1212(,)Y X X P P b ∴=+Γ+同理可得:()()iiP X b f t b jt∑=∑-3、设X 是一随机变量,()F x 是其分布函数,且是严格单调的,求以下随机变量的特征函数。
南京邮电大学概率论与随机过程答案1、已知2x=8,2y=4,则2x+y=()[单选题] *A 、32(正确答案)B 、33C、16D、42、4.已知第二象限的点P(-4,1),那么点P到x轴的距离为( ) [单选题] * A.1(正确答案)B.4C.-3D.33、若39?27?=321,则m的值是()[单选题] *A. 3B. 4(正确答案)C. 5D. 64、若(x+m)(x2-3x+n)展开式中不含x2和x项,则m,n的值分别为( ) [单选题] *A. m=3,n=1B. m=3,n=-9C. m=3,n=9(正确答案)D. m=-3,n=95、若a=-3 ?2,b=-3?2,c=(-)?2,d=(-)?,则( ) [单选题] *A. a<d<c<bB. b<a<d<cC. a<d<c<bD. a<b<d<c(正确答案)6、已知二次函数f(x)=2x2-x+2,那么f(1)的值为()。
[单选题] *12283(正确答案)7、?方程x2?+2X-3=0的根是(? ? ? ??)[单选题] *A、X1=-3, X2=1(正确答案)B、X1=3 ,X2=-1C、X1=3, X2=1D. X1=-3, X2=-18、13.在数轴上,下列四个数中离原点最近的数是()[单选题] *A.﹣4(正确答案)B.3C.﹣2D.69、29.已知2a=5,2b=10,2c=50,那么a、b、c之间满足的等量关系是()[单选题] * A.ab=cB.a+b=c(正确答案)C.a:b:c=1:2:10D.a2b2=c210、9.下列说法中正确的是()[单选题] *A.正分数和负分数统称为分数(正确答案)B.正整数、负整数统称为整数C.零既可以是正整数,也可以是负整数D.一个有理数不是正数就是负数11、手表倒拨1小时20分,分针旋转了多少度?[单选题] *-480°120°480°(正确答案)-120°12、6.若x是- 3的相反数,|y| = 5,则x + y的值为()[单选题] *A.2B.8C. - 8或2D.8或- 2(正确答案)13、2.(2020·新高考Ⅱ,1,5分)设集合A={2,3,5,7},B={1,2,3,5,8},则A∩B=( ) [单选题] * A.{1,8}B.{2,5}C.{2,3,5}(正确答案)D.{1,2,3,5,7,8}14、下列各式:①(x-2y)(2y+x);②(x-2y)(-x-2y);③(-x-2y)(x+2y);④(x-2y)(-x+2y).其中能用平方差公式计算的是()[单选题] *A. ①②(正确答案)B. ①③C. ②③D. ②④15、二次函数y=3x2-4x+5的常数项是()。
《概率论与随机过程》第三章习题答案3.2 随机过程()t X 为()()ΦωX +=t cos A t 0式中,A 具有瑞利分布,其概率密度为()02222>=-a eaa P a A ,σσ,()πΦ20,在上均匀分布,A Φ与是两个相互独立的随机变量,0ω为常数,试问X(t)是否为平稳过程。
解:由题意可得:()[]()()002121020022222002222=⇒+=*+=⎰⎰⎰⎰∞--∞φφωπσφπσφωX E πσσπd t cos da e a a dad eat cos a t a a ()()()[]()()()()()()[]()()()()()12021202120202120202221202022021012022022202010022222200201021212122112210212212121221212222222222222t t cos t t cos t t cos det t cos da e e a t t cos dea d t t cos t t cos a d ea d t cos t cos da eaadad e at cos a t cos a t t t t R a a a a a a a -=-⨯=-⨯-=-⨯⎪⎩⎪⎨⎧⎪⎭⎪⎬⎫-∞+-=-⨯-=⎩⎨⎧⎭⎬⎫+++---=++=++==-∞∞---∞∞-∞--∞⎰⎰⎰⎰⎰⎰⎰⎰⎰ωσωσωσωωφφωωπσφπφωφωσφσπφωφωX X E σσσσπσπσσπXX )(,可见()[]t X E 与t 无关,()21t t R ,XX 与t 无关,只与()12t t -有关。
∴()t X 是平稳过程另解:()[][]0022000000[cos()][cos()][];(,)cos()cos(())cos()cos(())t E A t E A E t E A R t t E A t t E A E t t E X ωΦωΦτωΦωτΦωΦωτΦ⎡⎤=+=+=⨯=⎣⎦⎡⎤⎡⎤+=+++=+++⎣⎦⎣⎦[][][])cos()cos())cos((τωτωτωω0200022222A E t E A E =+Φ++= ∴()t X 是平稳过程3.3 设S(t) 是一个周期为T 的函数,随机变量Φ在(0,T )上均匀分布,称X(t)=S (t+Φ),为随相周期过程,试讨论其平稳性及各态遍历性。
《概率论与随机过程》概率论部分习题解答参考一、ABC BC A C B A C AB C B A C B A .3;.2;.1C B A C B A C B A C B A .4 二、填空1.(1)0.2, (2)52; 2.1 0.4 3.P (A )+P (B )-P (AB ) , 1-P (A );4.3213211,)1)(1)(1(1p p p p p p ----- ;5.)002.0028.0()3.0()7.0()3.0(,)135.0()7.0()3.0(55514452335++或或C C C ; 6.3125864)6.0()4.0(,6,,2,1,0,)6.0()4.0(333666或C k C k k k =- ; 7.1 , 4,+∞<<∞---∞-⎰x dt et x,2218)1(2π ;8.0.7612 ; 9.1 ; 10.3 ; 11.3ln 21; 12.1 ;13.σπ2; 14.91,92 ; 15. 2, 0。
三、单项选择题1.C 2.B 3.B 4.C 5.D 6.D 四、计算题1. 解:设A 1、A 2表示第一、二次取出的为合格品{}{}{}{}{}72960495119532321)()(1)(1132121=⎪⎭⎫ ⎝⎛-=-==⨯-=-=-=-==三批全拒收收三批中至少有一批被接接收接收拒收P P A P A P A A P P P P2. 解:(1)22535523,51288883=⨯⨯⎪⎪⎭⎫⎝⎛===⨯⨯=ΩA N N44.0512225)(===ΩN N A P A(2)1802334523,336678131538=⎪⎪⎭⎫ ⎝⎛=⨯⨯⎪⎪⎭⎫ ⎝⎛===⨯⨯=ΩA A N A N A 54.05630381325)(54.0336180)(==⎪⎪⎭⎫⎝⎛⎪⎪⎭⎫ ⎝⎛⎪⎪⎭⎫ ⎝⎛====ΩA P N N A P A 或3. 解:令{}个盒子各有一球恰有n A =,!!()nA nnN N N N N N N n n N n n P A N Ω⎛⎫=⋅== ⎪⎝⎭⎛⎫ ⎪⎝⎭=因此4. 解:令{}{}有效系统有效系统b B a A ==829.093.01862.092.0)(1)()()(1)()()()()2(988.0862.093.092.0)(862.085.0)92.01(93.0)()()()()()()()()()()()1(85.0)(93.0)(92.0)(=--=--=--===-+==--=-=-=-=-+====B P AB P A P B P AB A P B P B A P B A P B A P A B P A P B P A B P B P A B B P AB P AB P B P A P B A P A B P B P A P 所以其中5. 解:设A 1、A 2、A 3分别为甲、乙、丙的产品,B 表示产品是次品,显然12312311(),()()24()()2%()4%P A P A P A P B A P B A P B A ====== 1111(1)()()()2%1%2P A B P B A P A ==⨯=由乘法公式 025.041%441%221%2)()()()2(31=⨯+⨯+⨯==∑=i i i A P A B P B P 由全概率公式(3)由Bayes 公式 4.0025.021%2)()()()()(31111=⨯==∑=i ii A P A B P A P A B P B A P 6. 解:设A 表示原为正品 )(A P =96% )(A P =4% 设B 表示简易验收法认为是正品 )(A B P =98% )(A B P =5% 所求概率为998.004.005.096.098.098.096.0)()()()()()()()()(≈⨯+⨯⨯=+==A P AB P A P A B P A B P A P B P AB P B A P7. 解:设A ={机器调整良好} B ={合格品})(A P =75% )(A P =25% )(A B P =90% )(A B P =30% 因此 )(B A P =)()()()()()()()(A B P A P A B P A P A B P A P B P AB P +=%90%30%25%90%75%90%75=⨯+⨯⨯=8. 解:设A 1、A 2分别表示第一次取到有次品产品的事件和无次品产品的事件,B 为第一次取出的合格品,显然有1)(,43)(,21)()(2121====A B P A B P A P A P由Bayes 公式111112213()()324()131()()()()71242P A P B A P A B P A P B A P A P B A ⨯===+⨯+⨯ 设C 表示第二次取出次品的事件2834173)(=⨯=C P9. 解:设A ={甲出现雨天},B ={乙出现雨天}由题意可知 )(A P =0.2, )(B P =0.18, )(A B P =0.6所求概率为P (A ∪B )=P (A )+P (B )-P (AB )=P (A )+(B )-P (A )P (B ︱A ) =0.2+0.18-0.2×0.6=0.26 10. 解:令{},3,2,1==i i A i 次取出为正品第所求概率为0084.0989099910010)()()()()()(21312121321321=⨯⨯===A A A P A A P A P A A A P A A P A A A P11. 解:设{}3,2,1==i i A i 人能译出第 A ={密码被译出},则123A A A A =123123()()1()P A P A A A P A A A ==- 1234231()()()10.6534P A P A P A =-=-⨯⨯= 12. 解:设X 表示卖出的一包产品中的次品数(1)X ~B (10,0.01)于是 P {卖出的一包被退回} =P {X >1}=1-P {X ≤1}=1-P {X =0}-P {X =1}=004.0)99.0()01.0(99.0()01.0(191110100010≈--C C )(2)X ~B (20,0.01)P {卖出的一包被退回} =P {X >2}=1-P {X ≤2} =1-P {X =0}-P {X =1}-P {X =2}=001.0)99.0()01.0()99.0()01.0(99.0()01.0(1182220191120200020≈---C C C )13. 解:先研究一人负责维修20台设备的情况。
一、1.1设二维随机变量(,)的联合概率密度函数为:试求:在时,求。
解:当时,==1.2 设离散型随机变量X服从几何分布:试求的特征函数,并以此求其期望与方差。
解:所以:2.1 袋中红球,每隔单位时间从袋中有一个白球,两个任取一球后放回,对每 对应随机变量一个确定的t⎪⎩⎪⎨⎧=时取得白球如果对时取得红球如果对t e t tt X t 3)(.维分布函数族试求这个随机过程的一2.2 设随机过程,其中是常数,与是相互独立的随机变量,服从区间上的均匀分布,服从瑞利分布,其概率密度为试证明为宽平稳过程。
解:(1)与无关(2),所以(3)只与时间间隔有关,所以为宽平稳过程。
2.3是随机变量,且,其中设随机过程U t U t X 2cos )(=求:,.5)(5)(==U D U E.321)方差函数)协方差函数;()均值函数;((2.4是其中,设有两个随机过程U Ut t Y Ut t X ,)()(32==.5)(=U D 随机变量,且数。
试求它们的互协方差函2.5,试求随机过程是两个随机变量设B At t X B A 3)(,,+=的均值),(+∞-∞=∈T t 相互独若函数和自相关函数B A ,.),()(),2,0(~),4,1(~,21t t R t m U B N A X X 及则且立为多少?3.1一队学生顺次等候体检。
设每人体检所需的时间服从均值为2分钟的指数分布并且与其他人所需时间相互独立,则1小时内平均有多少学生接受过体检?在这1小时内最多有40名学生接受过体检的概率是多少(设学生非常多,医生不会空闲)解:令()N t 表示(0,)t 时间内的体检人数,则()N t 为参数为30的poisson 过程。
以小时为单位。
则((1))30E N =。
40300(30)((1)40)!k k P N e k -=≤=∑。
3.2在某公共汽车起点站有两路公共汽车。
乘客乘坐1,2路公共汽车的强度分别为1λ,2λ,当1路公共汽车有1N 人乘坐后出发;2路公共汽车在有2N 人乘坐后出发。
随机过程作业题及参考答案(第一章)本页仅作为文档封面,使用时可以删除This document is for reference only-rar21year.March2第一章 随机过程基本概念P391. 设随机过程()0cos X t X t ω=,t -∞<<+∞,其中0ω是正常数,而X 是标准正态变量。
试求()X t 的一维概率分布。
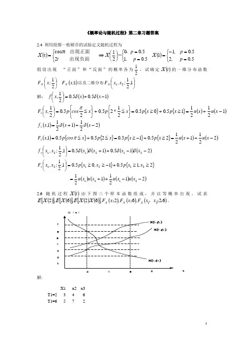
解:1 当0cos 0t ω=,02t k πωπ=+,即0112t k πω⎛⎫=+ ⎪⎝⎭(k z ∈)时, ()0X t ≡,则(){}01P X t ==. 2 当0cos 0t ω≠,02t k πωπ≠+,即0112t k πω⎛⎫≠+ ⎪⎝⎭(k z ∈)时, ()~01X N ,,()0E X ∴=,()1D X =. ()[]()00cos cos 0E X t E X t E X t ωω===⎡⎤⎣⎦.()[]()22000cos cos cos D X t D X t D X t t ωωω===⎡⎤⎣⎦.()()20~0cos X t N t ω∴,. 则()2202cos x tf x t ω-=;.2. 利用投掷一枚硬币的试验,定义随机过程为()cos 2t X t t π⎧=⎨⎩,出现正面,出现反面假定“出现正面”和“出现反面”的概率各为12。
试确定()X t 的一维分布函数12F x ⎛⎫ ⎪⎝⎭;和()1F x ;,以及二维分布函数12112F x x ⎛⎫ ⎪⎝⎭,;,。
3解:001110122211<⎧⎪⎧⎫⎪⎛⎫⎛⎫∴=≤=≤<⎨⎬⎨ ⎪ ⎪⎝⎭⎝⎭⎩⎭⎪≥⎪⎩,;,,x F x P X x x x()(){}0111112212<-⎧⎪⎪∴=≤=-≤<⎨⎪≥⎪⎩,;,,x F x P X x x x随机矢量()112⎛⎫⎛⎫ ⎪ ⎪⎝⎭⎝⎭,X X 的可能取值为()01-,,()12,.而()1101122⎧⎫⎛⎫==-=⎨⎬ ⎪⎝⎭⎩⎭,P X X ,()1111222⎧⎫⎛⎫===⎨⎬ ⎪⎝⎭⎩⎭,P X X .()1212111122⎧⎫⎛⎫⎛⎫∴=≤≤⎨⎬ ⎪ ⎪⎝⎭⎝⎭⎩⎭,;,,F x x P X x X x1212121200110110122112<<-⎧⎪⎪=≤<≥-≥-≤<⎨⎪≥≥⎪⎩,或,且或且,且x x x x x x x x3. 设随机过程(){}X t t -∞<<+∞,总共有三条样本曲线()11X t ω=,,()2sin X t t ω=,,()3cos X t t ω=,且()()()12313P P P ωωω===。
随机过程部分习题答案习题22.1 设随机过程b t b Vt t X ),,0(,)(+∞∈+=为常数,)1,0(~N V ,求)(t X 的一维概率密度、均值和相关函数。
解 因)1,0(~N V,所以1,0==DV EV ,b Vt t X +=)(也服从正态分布,b b tEV b Vt E t X E =+=+=][)]([ 22][)]([t DV t b Vt D t X D ==+=所以),(~)(2t b N t X ,)(t X 的一维概率密度为),(,21);(222)(+∞-∞∈=--x ett x f t b x π,),0(+∞∈t均值函数 b t X E t m X ==)]([)(相关函数)])([()]()([),(b Vt b Vs E t X s X E t s R X ++==][22b btV bsV stV E +++=2b st +=2.2 设随机变量Y 具有概率密度)(y f ,令Yt e t X -=)(,0,0>>Y t ,求随机过程)(t X 的一维概率密度及),(),(21t t R t EX X 。
解 对于任意0>t,Yt e t X -=)(是随机变量Y 的函数是随机变量,根据随机变量函数的分布的求法,}ln {}{})({);(x Yt P x e P x t X P t x F t Y ≤-=≤=≤=-)ln (1}ln {1}ln {tx F t x Y P t x Y P Y --=-≤-=-≥= 对x 求导得)(t X 的一维概率密度xtt x f t x f Y 1)ln ();(-=,0>t均值函数⎰∞+--===0)(][)]([)(dy y f e eE t X E t m yt tY X相关函数⎰+∞+-+---====0)()(2121)(][][)]()([),(212121dy y f e e E e e E t X t X E t t R t t y t t Y t Y t Y X2.3 若从0=t 开始每隔21秒抛掷一枚均匀的硬币做实验,定义随机过程⎩⎨⎧=时刻抛得反面时刻抛得正面t t t t t X ,2),cos()(π 试求:(1))(t X 的一维分布函数),1(),21(x F x F 和;(2))(t X 的二维分布函数),;1,21(21x x F ;(3))(t X 的均值)1(),(X X m t m ,方差 )1(),(22X Xt σσ。
、1.1设二维随机变量(X , F)的联合概率密度函数为:=—i—[l241-ι>⅛= "k"QTh Xl-JF)1.2 设离散型随机变量X服从几何分布:Hm=(Ip)HPJt=U-试求/的特征函数,并以此求其期望E(X)与方差I K X)¾0 = Efr ir) = ∑e⅛ = *)解:一=⅛α-ri M P=√^∑^α-p)t U O-P) ⅛J1—(I-JI)1—q/(O)=α⅛24(1-小丄0<y<x<l苴它试求:在OJu <■ 1时,求I『F)解:J;240 H)JKfc0<y<l Jj2Jf(I_y)3 0<JF<1P 其它^{θ其它当OJXI 时,Aw)2OT(Xy)y<x<l其它所以:-⅛(0)二丄f PZUr=J Er3-(JEIf)3=^^-^=4PPp2.1袋中有一个白球,两个红球,每隔单位时间从袋中任取一球后放回,对每一个确定的t 对应随机变量x(t^3如果对t时取得红球e t如果对t时取得白球试求这个随机过程的一维分布函数族2.2设随机过程 W 加吨MIF)∙ gZ I叫,其中吗是常数,/与F是相互独立的随机变量,F服从区间(°2刘上的均匀分布,/服从瑞利分布,其概率密度为x>0x≤0试证明Xu)为宽平稳过程。
解:( 1)⑷+F)} q啊诚如+ f)}= 与无关(2)枚F(M 仪加血I(Q/伽说如")汁F(才),f _ t t⅛(Q) =-J PQ ÷g)= -te^t∣Γ÷p ^dt =-2σ1e^i∣Γ=2σ3所以必U)啟0⑴卜"(3)R lM壊M∞¼⅛+Hl∕∞Ψ⅛+y)]}=豺]£{oKs(A +Γ)∞<β(A +Γ)}=2^Jtt 2{α≈(0A + β⅛+ y)-rasfflfc A)I^⅛心’皿叫仏Z L)只与时间间隔有关,所以XU)为宽平稳过程2.3设随机过程 X(t)=Ucos2t,其中U是随机变量,且 E(U)= 5, D(U)= 5.求: (1)均值函数;(2)协方差函数;(3)方差函数2.4设有两个随机过程 X(t)=Ut2, Y(t)=Ut3,其中U是随机变量,且D(U) = 5.试求它们的互协方差函数2.5设代B是两个随机变量,试求随机过程X(t) =At ∙3B,t∙ T =(」:「:)的均值函数和自相关函数若A, B相互独立,且A~ N(1,4), B ~U (0,2),则mχ (t)及Rχ(t1,t2)为多少?3.1 一队学生顺次等候体检。
随机过程习题解答(一)第一讲作业:1、设随机向量的两个分量相互独立,且均服从标准正态分布。
(a)分别写出随机变量和的分布密度(b)试问:与是否独立?说明理由。
解:(a)(b)由于:因此是服从正态分布的二维随机向量,其协方差矩阵为:因此与独立。
2、设和为独立的随机变量,期望和方差分别为和。
(a)试求和的相关系数;(b)与能否不相关?能否有严格线性函数关系?若能,试分别写出条件。
解:(a)利用的独立性,由计算有:(b)当的时候,和线性相关,即3、设是一个实的均值为零,二阶矩存在的随机过程,其相关函数为,且是一个周期为T的函数,即,试求方差函数。
解:由定义,有:4、考察两个谐波随机信号和,其中:式中和为正的常数;是内均匀分布的随机变量,是标准正态分布的随机变量。
(a)求的均值、方差和相关函数;(b)若与独立,求与Y的互相关函数。
解:(a)(b)第二讲作业:P33/2.解:其中为整数,为脉宽从而有一维分布密度:P33/3.解:由周期性及三角关系,有:反函数,因此有一维分布:P35/4. 解:(1) 其中由题意可知,的联合概率密度为:利用变换:,及雅克比行列式:我们有的联合分布密度为:因此有:且V和相互独立独立。
(2)典型样本函数是一条正弦曲线。
(3)给定一时刻,由于独立、服从正态分布,因此也服从正态分布,且所以。
(4)由于:所以因此当时,当时,由(1)中的结论,有:P36/7.证明:(1)(2) 由协方差函数的定义,有:P37/10. 解:(1)当i =j 时;否则令,则有第三讲作业:P111/7.解:(1)是齐次马氏链。
经过次交换后,甲袋中白球数仅仅与次交换后的状态有关,和之前的状态和交换次数无关。
(2)由题意,我们有一步转移矩阵:P111/8.解:(1)由马氏链的马氏性,我们有:(2)由齐次马氏链的性质,有:,(2)因此:P112/9.解:(2)由(1)的结论,当为偶数时,递推可得:;计算有:,递推得到,因此有:P112/11.解:矩阵 的特征多项式为:由此可得特征值为:,及特征向量:,则有:因此有:(1)令矩阵P112/12.解:设一次观察今天及前两天的天气状况,将连续三天的天气状况定义为马氏链的状态,则此问题就是一个马氏链,它有8个状态。
北邮研究生概率论与随机过程-试题及答案———————————————————————————————————————————————————————————————— 作者:作者: ———————————————————————————————————————————————————————————————— 日期:日期:北京邮电大学20122012——————20132013学年第1学期《概率论与随机过程》期末考试试题答案考试注意事项:学生必须将答题内容(包括填空题)做在试题答题纸上,做在试卷纸上一律无效。
在答题纸上写上你的班号和选课单上的学号,班内序号!一. 单项选择题和填空题:(每空3分,共30分)1. 1.设设A 是定义在非空集合Ω上的集代数上的集代数,,则下面正确的是则下面正确的是 .A ((A )若A B ∈∈A,A ,则A B -∈A ; ((B )若A A B ∈⊂A,,则B ∈A ;((C )若12n A n =∈⋯A,,,,则1n n A ∞=∈U A ; ((D )若12n A n =∈⋯A,,,,且123A A A ⊃⊃⊃L ,则1n n A ∞=∈I A .2.2. 设(),ΩF 为一可测空间,P 为定义在其上的有限可加测度,则下面正确的是确的是 .c(A )若A B ∈∈F,F ,则()()()P A B P A P B -=-;(B )若12n A n =∈⋯F,,,,,且123A A A ⊃⊃⊃L ,则1li ()()m n n n n P A A P ∞→∞==I ;(C )若A B C ∈∈∈F,F,F,,则()()()()P A B C P A P AB P A BC =++U U ;(D )若12n A n =∈⋯F,,,,,且,i j A i j A =∅∀=/,11()()n n n n P P A A ∞∞===∑U .3.3.设设f 为从概率空间(),P ΩF,到Borel 可测空间(),R B 上的实可测函数,表达式为100()k A k f kI ω==,其中100,,i j n n i j A A A ==∅∀=Ω/=U ,则fdP Ω= ;若已知100100!1!(100)()!2k k k P A -=,则2f dP Ω=⎰ . 0210(),25502525kk kP A =+=∑4. 设二维随机变量(,)X Y 的概率密度的概率密度2,01,0,(,)0,x y x f x y <<<<⎧=⎨⎩其他,则[[|]]E E X Y = .2/35. 设随机过程,}{()cos X t X t t ω-∞<<+∞=,其中随机变量X 服从参数为1的指数分布,(0,/2)ωπ∈为常数,则(1)(1)X 的概率密度(;1)f x = ;(2)20(())E X t dt π=⎰.,0,(;1)01,x cos x e cos f x ωω-⎧>⎪=⎨⎪⎩其他,20(1())E X t dt πω=⎰ 6. 设{(),0}W t t ≥是参数为2()0σσ>的维纳过程,令1()()X t W t =,则相关函数2(1,(1,2)2)2X R σ=.7. 7. 设齐次马氏链的状态空间为设齐次马氏链的状态空间为{1,2,3}E =,一步转移概率为一步转移概率为0.50.500.50.500.20.30.5P ⎛⎫ ⎪= ⎪ ⎪⎝⎭则(1)()11lim n n p→∞= ;(2)()33n n p ∞==∑. 1/2,2二. 概率题(共30分)1.(10分) ) 设设(,)X Y 的概率密度为的概率密度为22122221(,)2x x f x y eσπσ+-=,令22,U X Y V Y =+=, (1)求(,)U V 的概率密度(,)g u v ;(2)求U 的边缘概率密度()U g u .解解.(1) 解方程22,,u x y v y ⎧=+⎨=⎩得22,||,,v u x u v y v ⎧⎪=±⎨⎪⎩≤=- 所以雅可比行列式22222222201u uJ u vu v u vv±==±---m, 故222221,||,(,)(,)||20,uu e v u g u v f x y J u v σπσ-⎧≤⎪==⎨-⎪⎩其他其他..……5分((2)对0u >,222221(,))2(u u Uuu g u eg u v d d u v v v σπσ-∞-∞-=-=⎰⎰22222222212u u uuedv eu v uu σσπσσ---==-⎰,故222,0,()20,.uU eu u g u σσ-⎧>⎪=⎨⎪⎩其他……10分2.2.((10分)设(,)U V 的概率密度的概率密度,0,0,(,)0,ue u v v g u v -⎧->>=⎨⎩其他,(1)求{1}|1()0V U E I>=,其中{1}{1,(}),10V V Iωω>∈>⎧=⎨⎩,其他,(2)(|)D V U . 解 U 的边缘概率密度为的边缘概率密度为0,0,,0,()(,)0,,0,,u u uu U e dv u e u u u v d u g v g --⎧⎧>>⎪===⎨⎨⎩⎪⎩⎰⎰其他其他 所以条件概率密度所以条件概率密度|1,0,(,)(|)()0,V U U v u g u v v u u g g u ⎧<<⎪==⎨⎪⎩其他其他.. ……4分(1)101{1}|1111()(1|10).102|10(|10)V V UE I P V U U v u gdv dv >===>====⎰⎰……7分(2)因为21(|)2D V U u u ==,所以2(|)12D U U V =。
概率论与随机过程习题答案标准化工作室编码[XX968T-XX89628-XJ668-XT689N]《概率论与随机过程》第一章习题答案1. 写出下列随机试验的样本空间。
(1) 记录一个小班一次数学考试的平均分数(设以百分制记分)。
解: ⎭⎬⎫⎩⎨⎧⨯=n n nn S 100,,1,0 ,其中n 为小班人数。
(2) 同时掷三颗骰子,记录三颗骰子点数之和。
解:{}18,,4,3 =S 。
(3) 10只产品中有3只是次品,每次从其中取一只(取出后不放回),直到将3只次品都取出,记录抽取的次数。
解: {}10,,4,3 =S 。
(4) 生产产品直到得到10件正品,记录生产产品的总件数。
解: {} ,11,10=S 。
(5) 一个小组有A ,B ,C ,D ,E5个人,要选正副小组长各一人(一个人不能兼二个职务),观察选举的结果。
解: {}ED EC EB EA DE DC DB DA CE CD CB CA BE BD BC BA AE AD AC AB S ,,,,,,,,,,,,,,,,,,,=其中,AB 表示A 为正组长,B 为副组长,余类推。
(6) 甲乙二人下棋一局,观察棋赛的结果。
解: {}210,,e e e S =其中,0e 为和棋,1e 为甲胜,2e 为乙胜。
(7) 一口袋中有许多红色、白色、蓝色乒乓球,在其中任意取4只,观察它们具有哪几种颜色。
解: {}rwb wb rb rw b w r S ,,,,,,=其中,,,,b w r 分别表示红色、白色、蓝色。
(8) 对某工厂出厂的产品进行检查,合格的盖上“正品”,不合格的盖上“次品”,如连续查出二个次品就停止检查,或检查4个产品就停止检查,记录检查的结果。
解: {}1111,1110,1101,0111,1011,1010,1100,0110,0101,0100,100,00=S 其中,0为次品,1为正品。
(9) 有A ,B ,C 三只盒子,a ,b ,c 三只球,将三只球装入三只盒子中,使每只盒子装一只球,观察装球的情况。
解: {}Ca Bb Ac Cc Ba Ab Cb Bc Aa Cb Ba Ac Ca Bc Ab Cc Bb Aa S ,,;,,;,,;,,;,,;,,=其中,Aa 表示球a 放在盒子A 中,余者类推。
(10)测量一汽车通过给定点的速度。
解:{}0>=v v S(11)将一尺之棰折成三段,观察各段的长度。
解: (){}1,0,0,0,,=++>>>=z y x z y x z y x S 其中,z y x ,,分别表示第一段,第二段,第三段的长度。
#2. 设A ,B ,C 为三事件,用A ,B ,C 的运算关系表示下列事件。
(1) A 发生,B 与C 不发生。
解:C B A (2) A 与B 都发生,而C 不发生。
解: C AB(3) A ,B ,C 都发生。
解: ABC(4) A ,B ,C 中至少有一个发生。
解: C B A ⋃⋃ (5) A ,B ,C 都不发生。
解: C B A(6) A ,B ,C 中至多于一个发生。
解: A C C B B A ⋃⋃ (7) A ,B ,C 中至多于二个发生。
解: C B A ⋃⋃(8) A ,B ,C 中至少有二个发生。
解: CA BC AB ⋃⋃. #3. 设{}10,2,1, =S ,{}4,3,2=A ,{}5,4,3=B ,{}7,6,5=C ,具体写出下列各等式 (1)B A 。
解: {}5=B A ;(2)B A ⋃。
解: {}10,9,8,7,6,5,4,3,1=⋃B A ; (3)B A 。
解:{}5,4,3,2=B A ; (4) BC A 。
解: {}10,9,8,7,6,5,1=BC A(5))(C B A ⋃。
解: {}10,9,8,7,6,5,2,1)(=⋃C B A . #4. 设{}20≤≤=x x S ,⎭⎬⎫⎩⎨⎧≤<=121x xA ,⎭⎬⎫⎩⎨⎧<≤=2341x x B ,具体写出下列各式。
(1)B A ⋃。
解: ⎭⎬⎫⎩⎨⎧≤≤⋃⎭⎬⎫⎩⎨⎧≤≤=⋃223410x x x x B A(2)B A ⋃。
解: ⎭⎬⎫⎩⎨⎧≤≤⋃⎭⎬⎫⎩⎨⎧≤≤⋃⎭⎬⎫⎩⎨⎧<≤=⋃223121410x x x x x x B A(3)B A 。
解: {}φ=B A (4)B A 。
解:⎭⎬⎫⎩⎨⎧≤<⋃⎭⎬⎫⎩⎨⎧≤≤=2312141x x x xB A . #5. 设A ,B ,C 是三事件,且41)()()(===C P B P A P ,0)()(==CB P AB P ,1)(=AC P ,求A ,B ,C 至少有一个发生的概率。
解:由题意可知:0)(=ABC P ,故()()()()85)()()()(=+---++=⋃⋃ABC P AC P BC P AB P C P B P A P C B A P 。
或 φ=⋃⋃B C A )( ,∴()()()()85)()()())((=+-+=+⋃=⋃⋃=⋃⋃B P AC P C P A P B P C A P B C A P C B A P 。
#6. 在1500个产品中有400个次品,1100个正品,任意取200个。
(1) 求恰有90个次品的概率。
(2) 至少有2个次品的概率。
解:(1)⎪⎪⎭⎫⎝⎛⎥⎥⎦⎤⎢⎢⎣⎡⎪⎪⎭⎫ ⎝⎛⎪⎪⎭⎫⎝⎛2001500110110090400; (2) 设)(k P 表示有k 个次品的概率,故至少有2个次品的概率为: ⎪⎪⎭⎫⎝⎛⎥⎥⎦⎤⎢⎢⎣⎡⎪⎪⎭⎫ ⎝⎛⎪⎪⎭⎫ ⎝⎛-⎪⎪⎭⎫ ⎝⎛⎪⎪⎭⎫⎝⎛-=--=∑=200150019911001400200150020011001)1()0(1)(2002P P k P k . #7.(1)在房间里有500个人,问至少有一个人的生日是10月1日的概率是多少(设一年以365天计算)(2)在房间里有4个人,问至少有二个人的生日在同一个月的概率是多少解:(1) 属“分房问题”,即有n 个人,每个人都以N 1的概率被分在N 间房中的每一间中,某指定房间中至少有一人的概率。
设某指定房间中恰有k 个人的概率为)(k P ,则有()kn k nk n N N N k n N N k n k P --⎪⎭⎫ ⎝⎛-⎪⎭⎫ ⎝⎛⎪⎪⎭⎫ ⎝⎛=⎥⎥⎦⎤⎢⎢⎣⎡-⎪⎪⎭⎫ ⎝⎛=111)(。
故,某指定房间中至少有一人的概率为:nn k N N P k P ⎪⎭⎫ ⎝⎛--=-=∑=11)0(1)(1。
所以,500个人中至少有一个人的生日是10月1日的概率为:74634.025366.013653641500=-=⎪⎭⎫⎝⎛-(2) 属“分房问题”,即有n 个人,每个人都以N 1的概率被分在N 间房中的每一间中,至少有二个人在同一间房中的概率。
设A 为“每一间房中至多有一个人” 基本事件个数:n N 。
“每一间房中至多有一个人”事件的个数为:!n)(N !N -。
所以,“至少有二个人在同一间房中的概率”等于“至少有二个人的生日在同一个月的概率”。
0.42710.57291124-(12!12114=-=-=--!)nN !n)(N !N 。
#8. 一盒子中有4只次品晶体管,6只正品晶体管,随机地抽取一只测试,直到4只次品管子都找到为止。
求第4只次品管子在下列情况发现的概率。
(1) 在第5次测试发现。
(2) 在第10次测试发现。
解:(1) 10526789101234634=⨯⨯⨯⨯⨯⨯⨯⨯⎪⎪⎭⎫ ⎝⎛;或1052!6!4!10!3!441034=⎪⎭⎫ ⎝⎛⨯⎪⎭⎫ ⎝⎛=⎪⎪⎭⎫ ⎝⎛⎪⎪⎭⎫ ⎝⎛; (2) 529106634=⎪⎪⎭⎫⎝⎛⎪⎪⎭⎫ ⎝⎛⎪⎪⎭⎫ ⎝⎛。
#9. 甲、乙位于二个城市,考察这二个城市六月份下雨的情况。
以A ,B 分别表示甲,乙二城市出现雨天这一事件。
根据以往的气象记录已知4.0)()(==B P A P ,28.0)(=AB P ,求)/(B A P ,)/(A B P 及)(B A P ⋃。
解: 7.04.028.0===P(B)P(AB)P(A/B);7040280...P(A)P(AB)P(B/A)== 5202804040....P(AB)P(B)P(A)B P(A =-+=-+=⋃。
#10.已知在10只晶体管中有2只次品,在其中取二次,每次随机地取一只,作不放回抽样,求下列事件的概率。
(1) 二只都是正品。
(2) 二只都是次品。
(3) 一只是正品,一只是次品。
(4) 第二次取出的是次品。
(2) 45110!2!821022=⨯=⎪⎪⎭⎫ ⎝⎛⎪⎪⎭⎫ ⎝⎛!; (3) 451610!2!8282101218=⨯⨯⨯=⎪⎪⎭⎫ ⎝⎛⎪⎪⎭⎫ ⎝⎛⎪⎪⎭⎫ ⎝⎛!;或45169810292108=⨯+⨯; (4)4599110292108=⨯+⨯。
#11.某人忘记了电话号码的最后一个数字,因而随意地拨号,求他拨号不超过三次而接通所需的电话的概率是多少如果已知最后一个数字是奇数,那么此概率是多少解:(1) 3.010!7!37!2!!931029=⨯⨯⨯=⎪⎪⎭⎫ ⎝⎛⎪⎪⎭⎫ ⎝⎛!; (2) 6.05!2!32!2!!43524=⨯⨯⨯=⎪⎪⎭⎫⎝⎛⎪⎪⎭⎫ ⎝⎛!。
#12.某工厂中,机器321,,B B B 分别生产产品总数的25%,35%和40%。
它们生产的产品中分别有5%,4%,2%的次品,将这些产品混在一起,今随机地取一只产品,发现是次品。
问这一次品是机器321,,B B B 生产的概率分别是多少解:设A 为“次品”,已知:25.0)(1=B P ,35.0)(2=B P ,40.0)(3=B P ;05.0)/(1=B A P ,04.0)/(2=B A P ,02.0)/(3=B A P ,0345.040.002.035.004.025.005.0)()/()(31=⨯+⨯+⨯==∑=j jjB P B A P A P 。
故由,)()()/()/(A P B P B A P A B P i i i =可得:36232.069250345.025.005.0)()()/()/(111≈=⨯==A PB P B A P A B P ;40580.069280345.035.004.0)()()/()/(222≈=⨯==A P B P B A P A B P ;23188.069160345.040.002.0)()()/()/(333≈=⨯==A PB P B A P A B P 。
#13.将二信息分别编码为A 和B 传送出去,接收站接收时,A 被误收作B 的概率为,而B 被误收作A 的概率为。