徐芝纶弹性力学第三版习题解答
- 格式:pdf
- 大小:1.11 MB
- 文档页数:38
弹性力学简答题汇总1. (8分)弹性力学中引用了哪五个基本假定?五个基本假定在建立弹性力学基本方程时有什么用途?答:弹性力学中主要引用的五个基本假定及各假定用途为:(答出标注的内容即可给满分)1)连续性假定:引用这一假定后,物体中的应力、应变和位移等物理量就可看成是连续的,因此,建立弹性力学的基本方程时就可以用坐标的连续函数来表示他们的变化规律。
2)完全弹性假定:这一假定包含应力与应变成正比的含义,亦即二者呈线性关系,复合胡克定律,从而使物理方程成为线性的方程。
3)均匀性假定:在该假定下,所研究的物体内部各点的物理性质显然都是相同的。
因此,反应这些物理性质的弹性常数(如弹性模量E 和泊松比μ等)就不随位置坐标而变化。
4)各向同性假定:各向同性是指物体的物理性质在各个方向上都是相同的,也就是说,物体的弹性常数也不随方向变化。
5)小变形假定:研究物体受力后的平衡问题时,不用考虑物体尺寸的改变,而仍然按照原来的尺寸和形状进行计算。
同时,在研究物体的变形和位移时,可以将它们的二次幂或乘积略去不计,使得弹性力学的微分方程都简化为线性微分方程。
2. (8分)弹性力学平面问题包括哪两类问题?分别对应哪类弹性体?两类平面问题各有哪些特征? 答:弹性力学平面问题包括平面应力问题和平面应变问题两类,两类问题分别对应的弹性体和特征分别为:平面应力问题:所对应的弹性体主要为等厚薄板,其特征是:面力、体力的作用面平行于xy 平面,外力沿板厚均匀分布,只有平面应力分量x σ,y σ,xy τ 存在,且仅为x,y 的函数。
平面应变问题:所对应的弹性体主要为长截面柱体,其特征为:面力、体力的作用面平行于xy 平面,外力沿z 轴无变化,只有平面应变分量x ε,y ε,xy γ存在,且仅为x,y 的函数.3. (8分)常体力情况下,按应力求解平面问题可进一步简化为按应力函数 求解,应力函数 必须满足哪些条件?答:(1)相容方程:ϕ4∇=0(2)应力边界条件 (3)若为多连体,还须满足位移单值条件。
弹性力学课后习题及答案弹性力学课后习题及答案弹性力学是力学的一个重要分支,研究物体在受力作用下的形变和应力分布规律。
在学习弹性力学的过程中,课后习题是巩固所学知识、提高解题能力的重要环节。
本文将为大家提供一些常见的弹性力学课后习题及其答案,希望对大家的学习有所帮助。
一、弹性体的应力与应变1. 一个长为L,截面为A的弹性体,在受力F作用下产生了长度为ΔL的形变。
求该弹性体的应变。
答案:根据胡克定律,应变ε等于形变ΔL与原始长度L的比值,即ε = ΔL / L。
2. 一个弹性体的应变为ε,如果该弹性体的截面积为A,求该弹性体在受力F作用下的应力。
答案:根据胡克定律,应力σ等于受力F与截面积A的比值,即σ = F / A。
二、弹性体的应力分布1. 一个长为L,截面为A的弹性体,在受力F作用下,其应力沿着截面的分布是否均匀?答案:根据胡克定律,应力σ等于受力F与截面积A的比值,即σ = F / A。
由此可知,应力与截面积成反比,即截面积越大,应力越小;截面积越小,应力越大。
因此,弹性体受力作用下的应力分布是不均匀的。
2. 一个长为L,截面为A的弹性体,在受力F作用下,其应力是否与截面的形状有关?答案:根据胡克定律,应力σ等于受力F与截面积A的比值,即σ = F / A。
由此可知,应力与截面积成正比,即截面积越大,应力越小;截面积越小,应力越大。
因此,弹性体受力作用下的应力与截面的形状有关。
三、弹性体的弹性模量1. 一个弹性体的应力为σ,应变为ε,求该弹性体的弹性模量E。
答案:根据胡克定律,应力σ等于弹性模量E与应变ε的乘积,即σ = E * ε。
由此可得,弹性模量E等于应力σ与应变ε的比值,即E = σ / ε。
2. 一个弹性体的弹性模量为E,如果该弹性体的截面积为A,求该弹性体在受力F作用下的形变。
答案:根据胡克定律,形变ΔL等于弹性模量E与受力F的乘积再除以截面积A,即ΔL = (E * F) / A。
弹性力学徐芝纶课后习题及答案弹性力学是固体力学的重要分支,对于工程技术领域有着广泛的应用。
徐芝纶先生所著的弹性力学教材,以其清晰的逻辑和丰富的实例,成为众多学子学习弹性力学的重要参考资料。
课后习题则是巩固知识、加深理解的关键环节,而准确的答案更是帮助学习者检验自己掌握程度的有力工具。
在徐芝纶的弹性力学课后习题中,涵盖了众多方面的知识点。
从基本概念的理解,到复杂公式的推导与应用,每一道习题都经过精心设计,旨在引导学习者逐步深入掌握弹性力学的核心内容。
比如,在应力分析的相关习题中,要求学习者通过给定的条件,计算物体内部各点的应力分量。
这不仅需要对应力的概念有清晰的认识,还需要熟练掌握应力张量的运算规则。
通过这样的习题练习,可以让学习者真正理解应力在物体内部的分布规律,以及如何准确地描述和计算。
在应变分析的习题里,会给出物体的变形情况,让学习者计算相应的应变分量。
这对于理解物体的变形机制以及应变与位移之间的关系至关重要。
学习者需要灵活运用应变的定义和计算公式,同时注意坐标变换等相关问题,确保计算结果的准确性。
而对于能量原理这一部分的习题,往往涉及到功和能的计算,以及利用能量原理求解弹性力学问题。
这需要学习者对虚功原理、最小势能原理等有深入的理解,并能够将其应用到具体的问题中。
通过这些习题的练习,可以培养学习者从能量的角度思考和解决问题的能力。
在求解弹性力学问题的过程中,边界条件的处理是一个关键环节。
课后习题中会有大量涉及不同边界条件的题目,要求学习者正确地运用边界条件,结合平衡方程和几何方程,求解出物体内部的应力和应变分布。
这对于培养学习者的实际解题能力和工程应用能力具有重要意义。
下面我们来具体看几道典型的习题及答案。
习题一:已知一矩形薄板,在 x 方向受到均匀拉力作用,板的厚度为 h,长度为 a,宽度为 b。
假设材料为线弹性,杨氏模量为 E,泊松比为ν,求板内的应力分布。
答案:首先,根据题意可知,在 x 方向受到均匀拉力,所以σx =F/A,其中 F 为拉力,A 为薄板在 x 方向的横截面积,A = bh。
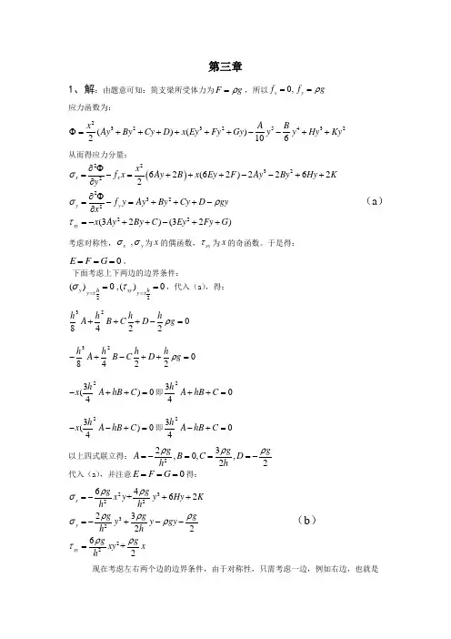
第三章1、解:由题意可知:简支梁所受体力为F g ρ=,所以0,x y f f g ρ==应力函数为:232325432()()2106x A BAy By Cy D x Ey Fy Gy y y Hy Ky Φ=++++++--++从而得应力分量:()2232223222262(62)22622(32)(32)x x y y xy x f x Ay B x Ey F Ay By Hy Ky f y Ay By Cy D gyxx Ay By C Ey Fy G σσρτ∂Φ=-=+++--++∂∂Φ=-=+++-∂=-++-++ (a )考虑对称性,,x y σσ为x 的偶函数,xy τ为x 的奇函数。
于是得:0E F G ===。
下面考虑上下两边的边界条件:22()0,()0y hxy h y y στ=±=±==,代入(a ),得: 3208422h h h hA B C D g ρ+++-= 3208422h h h hA B C D g ρ-+-++= 23()04h x A hB C -++=即2304h A hB C ++=23()04h x A hB C --+=即2304h A hB C -+=以上四式联立得:223,0,,22g g gA B C D h h ρρρ=-===- 代入(a ),并注意0E F G ===得:2322322264+6223226+2x y xy g g x y y Hy K h h g g gy y gy h h g g xy xh ρρσρρρσρρρτ=-++=-+--= (b )现在考虑左右两个边的边界条件,由于对称性,只需考虑一边,例如右边,也就是x l =,用多项式求解,只能要求x σ在这部分边界上合成为平衡力系,也就是要求:2-2()0,h h x x l dy σ==⎰2-2()0h h x x l ydy σ==⎰。
弹性力学(徐芝纶)第二章习题答案徐芝纶的弹性力学是一本经典的力学教材,对于弹性力学的基本理论和应用进行了详细的阐述。
下面是第二章习题的答案:1.弹性体的应变能是什么?答:弹性体的应变能是指在受力作用下,弹性体发生形变时,由于形变所引起的能量变化。
弹性体的应变能可以用弹性体的体积弹性势能和表面弹性势能之和来表示。
2.弹性体的变形有哪几种形式?答:弹性体的变形可以分为三种形式:拉伸变形、剪切变形和体积变形。
拉伸变形是指弹性体在受到拉力作用时,发生的长度增加或减少的变形。
剪切变形是指弹性体在受到剪切力作用时,发生平行于剪切力方向的形变。
体积变形是指弹性体在受到外力作用时,发生体积的变化。
3.什么是应力?答:应力是指单位面积上的力的大小,表示为力对单位面积的分布情况。
应力可以分为法向应力和切向应力两种。
法向应力是指垂直于应力面的力对单位面积的分布情况,切向应力是指与应力面平行的力对单位面积的分布情况。
4.什么是应变?答:应变是指单位长度上的形变大小,表示为长度变化量与原始长度之比。
应变可以分为线性应变和切变应变两种。
线性应变是指弹性体在受力作用下,发生长度变化的形变,切变应变是指弹性体在受力作用下,发生形状变化的形变。
5.弹性体的应力-应变关系是什么?答:弹性体的应力-应变关系是指弹性体在受力作用下,应力和应变之间的函数关系。
一般情况下,弹性体的应力-应变关系可以用胡克定律来描述,即应力和应变成正比。
胡克定律可以表示为应力等于弹性模量乘以应变。
6.什么是杨氏模量?答:杨氏模量是描述弹性体材料抵抗拉伸变形的能力的物理量,用于衡量弹性体在单位应变下所受到的单位应力。
杨氏模量可以表示为应力对应变的比值,即杨氏模量等于应力除以应变。
7.什么是剪切模量?答:剪切模量是描述弹性体材料抵抗剪切变形的能力的物理量,用于衡量弹性体在单位切变应力下所受到的单位切变应变。
剪切模量可以表示为切应力对切应变的比值,即剪切模量等于切应力除以切应变。
弹性力学简答题汇总1.(8分)弹性力学中引用了哪五个基本假定?五个基本假定在建立弹性力学基本方程时有什么用途?答:弹性力学中主要引用的五个基本假定及各假定用途为:(答出标注的内容即可给满分)1)连续性假定:引用这一假定后,物体中的应力、应变和位移等物理量就可看成是连续的,因此,建立弹性力学的基木方程时就可以用坐标的连续函数来表示他们的变化规律。
2)完全弹性假定:这-•假定包含应力与应变成正比的含义,亦即二者呈线性关系,复合胡克定律,从而使物理方程成为线性的方程。
3)均匀性假定:在该假定下,所研究的物体内部各点的物理性质显然都是相同的。
因此,反应这些物理性质的弹性常数(如弹性模量E和泊松比U等)就不随位置坐标而变化。
4)各向同性假定:各向同性是指物体的物理性质在各个方向上都是相同的,也就是说,物体的弹性常数也不随方向变化。
5)小变形假定:研究物体受力后的平衡问题时,不用考虑物体尺寸的改变,而仍然按照原来的尺寸和形状进行计算。
同时,在研究物体的变形和位移时,可以将白们的二次慕或乘积略去不计,使得弹性力学的微分方程都简化为线性微分方程。
2.(8分)弹性力学平面问题包括哪两类问题?分别对应哪类弹性体?两类平面问题各有哪些特征?答:弹性力学平面问题包括平面应力问题和平面应变问题两类,两类问题分别对应的弹性体和特征分别为:平面应力问题:所对应的弹性体主要为等厚薄板,其特征是:而力、体力的作用而平行于xy平面,外力沿板厚均匀分布,只有平面应力分量存在,旦仅为x,y的函数。
平面应变问题:所对应的弹性体主要为长截面柱体,其特征为:血力、体力的作用面平行于xy平面,外力沿z轴无变化,只有平面应变分量U4存在,且仅为x,y的函数.3.(8分)常体力情况下,按应力求解平面问题可进一步简化为按应力函数求解,应力函数必须满足哪些条件?答:(1)相容方程:V>=0(2)应力边界条件(3)若为多连体,还须满足位移单值条件。
第一章第二章习题答案2-1解:已知 0,0,===-==y x xy y x f f q τσσ1)⎪⎪⎩⎪⎪⎨⎧+∂∂+∂∂+∂∂+∂∂y xy y x yxx f x yf yx τστσ23()()⎩⎨⎧=+=+s xy y s yx x l m m l σστστσ 有:t lq t x -=;代入(*4理、几何方程得:(E x u x ==∂∂ε1(1E y v y ==∂∂ε0==∂∂+∂∂xy yux v γ ()()⇒=+∴0dyy df dx x dg 类似于教材题2-3,可求出 ()()wx v x g wy u y f +=-=00,001;1v wx qy Ev u wy qx Eu ++--=+---=∴υυ从v u ,表达式可见,位移分量是坐标的单值函数,满足位移单值条件。
综合1)~4),。
q xy y x 为问题的正确解答0,=-==τσσ2-2x =σxy τ注意:y x ,代入均满足。
2)验证相容方程:0)(2=+∇y x σσ 亦满足。
3)验证应力边界条件: i) 主要边界:()0,2=±=hy yxy τσ 满足ii) 次要边界:()()()()()⎪⎪⎪⎩⎪⎪⎪⎨⎧===⎰⎰⎰-=-=-=222222320)1(0h h lx xy h h l x x h h l x x Pdy ydy dy τσσ (1)、(2)满足,(3)式左=⎰-===⎪⎪⎭⎫ ⎝⎛-=⎪⎪⎭⎫ ⎝⎛-223332212*41*618218hh P h I P h h I P dy y h I P 右 结论:所列xy y x τσσ,,满足平衡方程、相容方程;在主要边界上严格满足应力边界条件,次要边界近似满足应力边界条件,又为单连体,故在圣维南原理的前提下为问题的正确解。
2-3、证明:1)由,,yVf xV fy x∂∂-=∂∂-=则平衡微分方程为: ()()⎪⎪⎩⎪⎪⎨⎧=∂τ∂+∂-σ∂=∂τ∂+∂-σ∂⇒⎪⎪⎩⎪⎪⎨⎧=∂∂-∂τ∂+∂σ∂=∂∂-∂τ∂+∂σ∂0x y V 0yx V 0y V x y 0x V y x yx y xyx yx y xy x (*) 类似于题2-10的推证过程,(*)式的通解为:y x x V yV 2xy 22y 22x ∂∂ϕ∂-=τ∂ϕ∂=-σ∂ϕ∂=-σ;;即: yx V xV y2xy 22y 22x ∂∂ϕ∂-=τ+∂ϕ∂=σ+∂ϕ∂=σ;;2) 对于平面应力问题,相容方程为:()()⎪⎪⎭⎫⎝⎛∂∂+∂∂+-=+∇y f x f y x y x υσσ12即:2222 2-4、x, y n l σσ2==2l应力主向成∴l()2121σσσ+=n 得证。
弹性力学简答题弹性力学考试简答题弹性力学的概念,任务。
答:弹性体力学通常简称为弹性力学,是研究弹性体由于受外力作用、边界约束或温度改变等原因而发生的应力、形变和位移。
弹性力学的任务和材料力学、结构力学的任务一样,是分析各种结构物或其构件在弹性阶段的应力和位移,校核它们是否具有所需的强度和刚度和稳定性2性力学中的基本假定.答:①连续性—假定物体是连续的,也就是假定整个物体的体积都被组成这个物体的介质所填满,不留下任何空隙。
②完全弹性—假定物体能完全恢复原形而没有任何剩余形变。
③均匀性—假定整个物体是由同一材料组成的。
④各向同性-假定物体的弹性在所有各个方向都相同。
⑤小变形假定-假定位移和形变是微小的。
什么是理想弹性体.答:凡是符合连续性、完全弹性、均匀性和各向同性这四个假定的物体就称为理想弹性体。
弹性力学依据的三大规律.答:变形连续规律、应力—应变关系和运动(或平衡)规律。
边界条件。
答:边界条件表示在边界上位移与约束,或应力与面力之间的关系式。
它可以分为位移边界条件、应力边界条件和混合边界条件.简述圣维南原理.答:如果把物体的一小部分边界上的面力,变换为分布不同但静力等效的面力(主矢量相同,对于同一点的主距也相同),那么,近处的应力分布将有显著的改变,但是远处所受的影响可以不计.简述平面应力问题。
答:设有很薄的等厚度薄板,只在板边上受有平行于板面并且不沿厚度变化的面力或约束。
同时,体力也平行于板面并且不沿厚度变化。
平面应变问题答:设有很长的等截面长柱体,它的横截面不沿长度变化或约束,同时,体力也平行于横截面而且不沿长度变化弹性力学的问题解法有几种,并简述。
答:弹性力学问题解法有两种。
一是以位移分量为基本未知函数,从方程和边界条件中消去应力分量和形变分量,导出只含位移分量的方程和相应的边界条件,并由此解出位移分量,然后再求出形变分量和应力分量,这种解法称为位移法;二是以应力分量为基本未知函数,从方程和边界条件中消去位移分量和形变分量,导出只含应力分量的方程和相应的边界条件,并由此解出应力分量,然后再求出形变分量和位移分量,这种解法称为应力法。