拉普拉斯变换习题集
- 格式:docx
- 大小:57.73 KB
- 文档页数:2
拉普拉斯变换题库(共7页)--本页仅作为文档封面,使用时请直接删除即可----内页可以根据需求调整合适字体及大小--六.拉普拉斯变换㈠选择㈡填空1.)(2)(t t f δ=的拉普拉斯变换是_______________2.)1()(-=t u t f 的拉普拉斯变换是_________________.3.)2()(-=t u t f 的拉普拉斯变换是_________________.4.t e t t f 22)(+=的拉普拉斯变换是_______________.5.)(5)(2t e t f t δ+=的拉普拉斯变换是_______________6.)2()(2-=t u e t f t 的拉普拉斯变换是________________.7.k e t t f kt n ()(=为实数)的拉普拉斯变换是__________________.8.t e t f t 3sin )(2-=的拉普拉斯变换是__________________.9.t e t f 2)(-=的拉普拉斯变换是_________________.10.t e t f 2)(=的拉普拉斯变换是__________________。
11.t t f =)(的拉普拉斯变换是________________12.t te t f -=)(的拉普拉斯变换是____________________.13.t t f 2cos )(=的拉普拉斯变换是_____________.14.at t f sin )(=的拉普拉斯变换是_________________.15.t t t f cos sin )(=的拉普拉斯变换是___________________.16. ()()sin f t u t t =的拉普拉斯变换是________________.17. ()sin(2)f t t =-的拉普拉斯变换是________________.18.t t f 2cos )(=的拉普拉斯变换是________________.19.t t f 2sin )(=的拉普拉斯变换是_______________.20.t e t f t sin )(-=的拉普拉斯变换是_________________.21.t e t f t cos )(=的拉普拉斯变换是______________.22.t e t t f 2)1()(-=的拉普拉斯变换是________________.23.t t t f cos 32sin 5)(-=的拉普拉斯变换是_________________.24.)(3sin 2)(t u t t f -=的拉普拉斯变换是_______________.25.)(3)(t t t f δ+=的拉普拉斯变换是___________________.26.t te t f -=1)(的拉普拉斯变换是__________________.27.)53()(-=t u t f 的拉普拉斯变换是_______________. 28.tt t f sin )(=的拉普拉斯变换是__________________. 29.t e t t f )()(δ=的拉普拉斯变换是_____________.30.t t t f sin )(=的拉普拉斯变换是______________. 31.932)(2++=s s s F 的拉普拉斯逆变换是___________________. 32.2)(+=s s s F 的拉普拉斯逆变换是_______________. 33.ss F 1)(=的拉普拉斯逆变换是_________________. 34.11)(-=s s F 的拉普拉斯逆变换是_________________. 35.11)(+=s s F 的拉普拉斯逆变换是___________________. 36.21)(ss F =的拉普拉斯逆变换是________________. 37.11)(2+=s s F 的拉普拉斯逆变换是________________. 38.2)1(1)(+=s s F 的拉普拉斯逆变换是________________. 39.11)(2-=s s F 的拉普拉斯逆变换是_________________. 40.se s F s2)(-=的拉普拉斯逆变换是____________________. 41.31)(ss F =的拉普拉斯逆变换是________________.42.91)(2+=s s F 的拉普拉斯逆变换是______________ 43.4)(2+=s s s F 的拉普拉斯逆变换是_______________. 44.41)(2+-=s s s F 的拉普拉斯逆变换是____________. 45.41)(2--=s s s F 的拉普拉斯逆变换是________________. 46.42)(s s F =的拉普拉斯逆变换是_______________. 47.51)(+=s s F 的拉普拉斯逆变换是______________. 48.2)(-=s s s F 的拉普拉斯逆变换是_______________. 49.)3)(1(2)(-+-=s s s s F 的拉普拉斯逆变换是________________. 50.432)(2++=s s s F 的拉普拉斯逆变换是__________________. 51.61)(2-++=s s s s F 的拉普拉斯逆变换是____________________. 52.61)(2--+=s s s s F 的拉普拉斯逆变换是________________. 53.161)(4-=s s F 的拉普拉斯逆变换是____________________. 54.23)(se s F s-=的拉普拉斯逆变换是__________________. 55.)1(1)(22+=s s s F 的拉普拉斯逆变换是__________________. 56.)2)(1(3)(+-=s s s s F 的拉普拉斯逆变换是_________________ 57.651)(2++-=s s s s F 的拉普拉斯逆变换是__________________。
积分变换练习题 第二章 Laplace 变换________系_______专业 班级 姓名______ ____学号_______§1 Laplace 变换的概念 §2 Laplace 变换的性质一、选择题1.设()(1)t f t e u t -=-,则[()]f t =L [ ](A )(1)1s e s --- (B )(1)1s e s -++ (C )1s e s -- (D )1se s -+11[(1)][()];1[(1)](1)ss t s u t e u t se e u t s e --+⎛⎫-== ⎪ ⎪ ⎪-= ⎪+⎝⎭由延迟性质可得,再由位移性质可得,L L L2.设2sinh ()tf t t =,则[()]f t =L [ ] (A )1ln 1s s -+ (B )1ln 1s s +- (C )12ln 1s s -+ (D )12ln 1s s +-见课本P84二、填空题1.设2()(2)f t t u t =-,则[]()f t =L。
22''222321[(2)][()];1442[(1)]ss s s u t e u t se s s t u t se s e -⎛⎫-== ⎪ ⎪++ ⎪⎛⎫-== ⎪ ⎪⎝⎭⎝⎭由延迟性质可得,再由象函数的微分性质P83(2.7)可得,L L L 2.设2()t f t t e =,则[]()f t =L。
(1)00''231[](Re()1);112[]1(1)t t st s t te e e dt e dt s s t e s s +∞+∞---⎛⎫===> ⎪- ⎪ ⎪⎛⎫== ⎪ ⎪--⎝⎭⎝⎭⎰⎰再由象函数的微分性质P83(2.7)可得,L L 三、解答题1.求下列函数的Laplace 变换:(1)302()12404t f t t t ≤<⎧⎪=-≤<⎨⎪≥⎩242242422402[()]()3(1)33334ststst st st s s s s s f t f t e dt e dt e dte e e e e e e s s s s s s s+∞----------==+--+=+=-++-=-⎰⎰⎰L(2)3,2()cos ,2t f t t t ππ⎧<⎪⎪=⎨⎪>⎪⎩20222222()22202222[()]()3cos 3333,cos cos()sin 2133[()].1stst st sst stst s s sts ssf t f t e dt e dt te dtee e dt ss se te dt ed ee d s e ef t s s sπππππππτππττππππττττ+∞+∞--------=+∞+∞+∞-+-----==+==-+-=+=-=-+=--++⎰⎰⎰⎰⎰⎰⎰,从而L L(3)()sin2tf t = 222002[()]sin 2sin .241t st s t f t e dt e d s ττττ=+∞+∞--===+⎰⎰L(4)()cos ()sin ()f t t t t u t δ=⋅-⋅200[()][cos ()sin ()]cos ()sin ()1cos sin 1.1st stst stst t f t t t t u t e dtt t e dt t u t e dttete dt s δδ-+∞-+∞+∞--+∞--==⋅-⋅=⋅-⋅=-=-+⎰⎰⎰⎰L2.求以2b 为周期的函数1,0()1,2t bf t b t b<≤⎧=⎨-<≤⎩的Laplace 变换。
laplace变换习题答案
Laplace变换习题答案
Laplace变换是一种非常重要的数学工具,它在控制工程、电路分析、信号处理等领域都有着广泛的应用。
通过Laplace变换,我们可以将一个复杂的微分方
程转化为一个简单的代数方程,从而更容易地解决问题。
在学习Laplace变换的过程中,习题是非常重要的一部分。
通过做习题,我们
可以更好地理解Laplace变换的原理和应用。
下面,我们来看几道Laplace变换的习题,并给出相应的答案。
1. 计算函数f(t) = e^(-2t)的Laplace变换。
答案:根据Laplace变换的定义,我们有L{e^(-2t)} = 1/(s+2)。
2. 计算函数f(t) = sin(3t)的Laplace变换。
答案:根据Laplace变换的定义,我们有L{sin(3t)} = 3/(s^2+9)。
3. 计算函数f(t) = t^2的Laplace变换。
答案:根据Laplace变换的定义,我们有L{t^2} = 2/s^3。
通过以上习题的解答,我们可以看到Laplace变换的计算并不复杂,只需要根
据定义进行变换即可。
但在实际应用中,可能会碰到更复杂的函数,需要运用
一些技巧和公式来进行计算。
因此,熟练掌握Laplace变换的原理和方法,对
于我们解决实际问题将会有很大的帮助。
总之,通过做Laplace变换的习题,我们可以更好地掌握这一重要的数学工具,为日后的学习和工作打下坚实的基础。
希望大家能够认真对待Laplace变换,
多加练习,提高自己的数学水平。
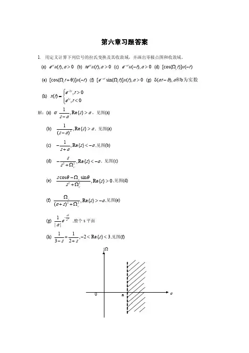
第4章拉普拉斯变换与连续系统复频域分析4.6本章习题全解4.1 求下列函数的拉普拉斯变换(注意:为变量,其它参数为常量)。
(1)(2)(3)(4)(5)(6)(7)(8)(9)(10)(11)(12)(13)(14)(15)(16)(17)(18)(19)(20)(21)(22)(23)(24)解:(2)(3)(4)(5)(6)(7)(8)(9)(10)(11)(12)(13)(14)(15)(16)(17)(18) ()(19)(20)(21)(22)(23)(24)4.2 已知,求下列信号的拉普拉斯变换。
(1)(2)(3)(4)(5)解:(1)(2)(3)(4)(5)所以4.3 已知信号的拉普拉斯变换如下,求其逆变换的初值和终值。
(1)(2)(3)(4)解(1)初值:终值:(2)初值:终值:(3)初值:终值:(4)初值:终值:4.4 求题图4.4所示信号的单边拉普拉斯变换。
题图4.4解(1)所以根据微分性质所以注:该小题也可根据定义求解,可查看(5)小题(2)根据定义(3)根据(1)小题的结果再根据时移性质所以根据微分性质得(4)根据定义注:也可根据分部积分直接求取(5)根据单边拉氏变换的定义,本小题与(1)小题的结果一致。
(6)根据单边拉氏变换的定义,在是,对比(3)小题,可得4.5 已知为因果信号,,求下列信号的拉普拉斯变换。
(1)(2)(3)(4)解:(1)根据尺度性质再根据s域平移性质(2)根据尺度性质根据s域微分性质根据时移性质(3)根据尺度性质再根据s域平移性质(4)根据时移性质再根据尺度性质本小题也可先尺度变化得到,再时移单位,得到结果4.6 求下列函数的拉普拉斯逆变换。
(1)(2)(3)(4)(5)(6)(7)(8)(9)(10)(11)(12)(13)(14)(15)(16)(17)(18)(19)(20)(21)(22)(23)(24)解:(1)(2)(3)(4)(5)(6)(7)(8)(9)(10)(11)(12)(13)(14){} =(15){} =(16){}=(17){}=(18){}=(19){}=(20){}=(21){}=(22){}=(23) {}=(24) ()=4.7 求如题图4.7所示的单边周期信号的拉普拉斯变换。
第四章拉普拉斯变换第一题选择题1.系统函数H( s)与激励信号X( s)之间B。
A、是反比关系;B、无关系; C 、线性关系;D、不确定。
2.如果一连续时间系统的系统函数H(s) 只有一对在复平面左半平面的共轭极点,则它的h(t) 应是 B。
A、指数增长信号 B 、指数衰减振荡信号 C 、常数 D 、等幅振荡信号3.一个因果稳定的连续系统,其H(s)的全部极点须分布在复平面的A。
A、左半平面B、右半平面C、虚轴上D、虚轴或左半平面4.如果一连续时间系统的系统函数H(s) 只有一个在左半实轴上的极点,则它的h(t)应是B。
A、指数增长信号B、指数衰减振荡信号C、常数 D 、等幅振荡信号5.一个因果稳定的连续系统,其H( s) 的全部极点须分布在复平面的A。
A 左半平面B右半平面C虚轴上D虚轴或左半平面6.若某连续时间系统的系统函数H(s)只有一对在复平面虚轴上的一阶共轭极点,则它的h(t)是 D 。
A 指数增长信号B指数衰减信号C常数D等幅振荡信号7.如果一连续时间系统的系统函数H(s) 只有一对在虚轴上的共轭极点,则它的h(t)应是DA、指数增长信号 B 、指数衰减振荡信号C、常数 D 、等幅振荡信号8.如果系统函数 H(s) 有一个极点在复平面的右半平面,则可知该系统B 。
A 稳定B 不稳定C 临界稳定D 无法判断稳定性9.系统函数 H( s) 是由 D决定的。
A 激励信号E(s) B响应信号R(s) C激励信号E(s) 和响应信号R(s) D系统。
10.若连续时间系统的系统函数H(s) 只有在左半实轴上的单极点,则它的h(t)应是B。
A 指数增长信号B指数衰减信号C常数D等幅振荡信号11、系统函数H(s)与激励信号X(s)之间BA、是反比关系; B 、无关系; C 、线性关系;D、不确定。
12.关于系统函数 H(s) 的说法,错误的是C。
A 是冲激响应 h(t)的拉氏变换 B决定冲激响应 h(t) 的模式 C 与激励成反比 D 决定自由响应模式13.若某连续时间系统的系统函数H(s) 只有一个在原点的极点,则它的h(t) 应是 C 。
第八章 拉普拉斯变换一、 判断题1.Laplace 变换本质是傅立叶变换。
( ) 2.任意函数的拉普拉斯变换都存在。
( )3. )3sin(π-t 和)3()3sin(ππ--t u t 的拉普拉斯变换结果相同。
4.可以通过计算1+s s 在1-=s 处留数得到1+s s的拉普拉斯逆变换。
( ) 5.可以通过计算st s e s e 1+ 在1-=s 处留数得到1+s e s的拉普拉斯逆变换。
( ) 6.用拉普拉斯变换求微分方程时可直接求出满足初始条件的解。
( )二、 选择题(2)=-)]4[cos(πt L ( )(A )11222++s s (B )11222+-s s (C )s e s s 421122π-++ (D )s e s s 421122π-+- (3) =⎰-]d sin [03ttt t eL ( )(A )1)3(112+-s s (B )1)3(112++s s (C )1)3(112++-s s (D )1)3(112+--s s (4) =⎰-]d sin [L 03tt t t e t( )(A )1)3(101231222+-++-s s s s (B )1)3(101231222+-++s s s s )()]([),()()1(0=-=t f t t t f L 则设δπ2)()()(1)(00D eC e B A st st -(C )1)3(101231222++++-s s s s (D )1)3(101231222++++s s s s (5) 函数1)1(22++s s 的拉普拉斯逆变换为( ) (A )t e t t cos 2)(--δ (B )t t t sin 2cos 2)(--δ (C )t e t t sin 2)(--δ (D)ite i 21- (6) 函数s e s s-+1的拉普拉斯逆变换为( ) (A )t e t ---)1(δ (B )t e t u t ----)1()1(δ(C ))1()1(---t u e t (D ))1()1()1()1(------t u e t u t t δ (7)积分⎰+∞-02cos tdt te t 的值为( )(A ) 0 (B)253 (C) 253- (D) 254 (8) 积分⎰⎰+∞-0]cos [dt e d e t ττττ的值为( )(A ) 0 (B) 1 (C) 1- (D) 不存在 (9) a t <时)()(t f a t u *-的值为( )(A ) 0 (B) 1 (C) 1- (D) 不存在三、 填空题 (1)设L ),()]([s F t f = ,0>a 则L =-)]([atf eat(2)L =--)]1([2te u t(3)L =+-]cos [)(t e t βα (4)L =--)]2()2[sin(t u t(5)L=+--][151se s(6)L=--])(1[31a s s (7)L=++-])1(1[ln 21s s s(8)=⎰∞+dt ttsin (9)=*-)()(t f a t δ 四、 计算下列函数的拉普拉斯变换.(1)⎪⎩⎪⎨⎧><≤-<≤=4,042,100,3)(t t t t f (2)282cos 32sin )(2+--=-te t t t f(3)at t t f cos )(= (4))2(sin )(-⋅=t u t t f (5)dt tte tt ⎰-02cos 五、 计算下列函数的拉普拉斯逆变换。
《Laplace 变换》习题课一、 基本要求1. 理解并记住Laplace 变换及其逆变换的定义;了解Laplace 变换存在定理;2. 理解Laplace 变换的性质,并会证明积分性质和微分性质;3. 熟练掌握Laplace 变换及其逆变换的计算方法;4. 理解卷积的定义与卷积定理,会计算两个函数的卷积;5.掌握Laplace 变换在求解线性微分方程(组)的求解方法二、 内容提要1. Laplace 变换及其逆变换的定义;()()st F s f t e dt +∞-=⎰;)]([)(1s F L t f -==1()2i sti F s e ds iββπ+∞-∞⎰(右端成为反演积分) 2. Laplace 变换的性质;线性性质;微分性质;积分性质;位移性质;延迟性质 3. Laplace 逆变换的计算方法; 重要定理:若1s 、2s ……n s 是函数)(s F 的所有奇点(包含在β<)Re(s 的范围内),且0)(lim =∞→s F s ,则∑==nk k st s e s F s t f 1],)([Re )(,其中)]([)(t f L s F =。
有了以上定理,就可以利用复变函数求留数的方法来求像原函数)(t f ,下面就函数)(s F 是有理函数的情形来给出计算方法,即 ()()/()F s A s B s =分两种情形考虑:4. 卷积的定义与卷积定理;)(1t f 与)(2t f 的卷积(t>=0)定义为:⎰-=*td t f f t f t f 02121)()()()(τττ卷积定理:1212[()*()]()()L f t f t F s F s =•或=*)()(21t f t f 112[()()]L F s F s -•其中=)(s F i 1[()]i L f t -(i=1,2)5. 应用主要掌握Laplace 变换在解常微分方程(组)中的应用。
三、 几个常用函数的Laplace 变换1[()]L u t s =; 1[](Re()0)at L e s a s a=->-;[()]1L t δ=22[sin ]k s k L kt +=;22[cos ]ss k L kt +=;1![]m m m L t s+= 四、 典型例题解答例题1. 已知0()sin 2tf t t t dt =⎰,求[()]L f t 。
第四章 习题解4-1 根据拉氏变换定义,求下列函数的拉普拉斯变换。
(1)ate --1(2)()()t t 5cos 73sin 2+ (3)tet 3-(4)()t et5cos 4-(5)()[]tb e at --cos 1(6)()tett 22531-++(7)5232++t t (8)()te t 732--δ(9)()t Ω2cos (10)t te eβα---(11)()t et5cos 22-(12)()ϕω+t cos解:(1))(111]1[a s s a s s eL at+=+-=--(2)()()2579657323]5cos 73sin 2[222222+++=+++⨯=+s s s s s s t t L (3)23)3(1][+=-s et L t(4)())](21[)](21[]5cos [)54()54(45544t j t j t t j t j t te e e jL e e e j L t eL --+-----+=+= 25)4(5)541541(212++=+++-+=s j s j s j (5)()[]()]cos []cos 1[at e e L e at L t b t b tb ----=-22)(1ab s a b s ++++=(6)由于1!][+=n ns n t L ,由s 域频移特性得()]53[]531[222222t t t t e t te e L e t t L ----++=++3232)2(207)2(10)2(3)2(1+++=+++++=s s s s s s (7)32232526526]523[ss s s s s t t L ++=++=++(8)()732]32[7+-=--s et L tδ(9)()()22242121]2cos 2121[]cos [Ω+⋅+=Ω+=Ωs s s t L t L (10)))((11][βααββαβα++-=+-+=---s s s s e eL t t(11)在(9)的计算结果基础上由s 域频移特性得()25)2(221)2(21]5cos [222+++⋅++=-s s s t e L t(12)()]sin sin cos cos []cos [ϕωϕωϕωt t L t L -=+222222sin cos sin cos ωϕωϕωϕωωϕ+-=+-+=s s s s s4-2 求下列信号的拉普拉斯变换(1)te t a --1(2)t e e tt 53---(3)()tt a sin 解:(1)由于as s eL ta +-=--11]1[由s 域积分特性得 )ln(ln )ln()11(]1[as ss a s ds a s s t e L s t a +-=-+=+-=-⎰∞-(2)由于5131][53+-+=---s s e eL t t由s 域积分特性得 )35ln()5ln()3ln()5131(][53++=+++-=+-+=-⎰∞--s s s s ds s s t e e L s t t(3)由于()22]sin [a s at a L +=由s 域积分特性得())arctan()(1)(1]sin [222as a s d as ds a s a t t a L s s -=+=+=⎰⎰∞∞π4-3 求下列信号的拉普拉斯变换 (1))(3)1(2 t u e t at---δ (2))1()2(---t u tet(3))1(2)1(5---t u e t (4))1(25--t u et(5))(2)1(5t u e t --(6)()()()[]21---t u t u t (7)()()[]23---t u t u et(8)()()()[]23sin --t u t u t解: (1)由于1)( ↔t δ,由时移特性知se t -↔-)1( δ,可得as e t u e t s at +-=----32])(3)1(2 [L δ (2)由于)1()1()1()2(-=-----t u e te t u tet t ,由时移特性可得212)2()1()1(1])1([+=+⋅=-----s e s ee t u teL sst (3)由时移特性可得22)1(5)5(2)5(12])1(2[+=+⋅=-----s e s e t u eL sst (4)由于)1(2)1(2)1(555-⋅=-----t u ee t u e t t 由时移特性可得52512])1(2[55)1(5+=+⋅=-------s e s ee t u eL sst (5)由于)(2)(255)1(5t u e e t u et t -⋅=--可得52512])(2[55)1(5+=+⋅=--s e s e t u eL t (6)()()()[]()()()()()22221------=---t u t u t t u t tu t u t u t()()()[]s e se s s t u t u t L ss 222211]21[-----=---(7)()()[]()()22)2(3633-⋅-=-------t u e e t u e t u t u et t t()()[]313131]2[)3(2263+-=+⋅-+=--+----s e s e e s t u t u eL s st(8)()()()[]()()()()2]623sin[3sin 23sin -+--=--t u t t u t t u t u t()()()()()2]6sin 23cos 6cos 23sin [3sin --+--=t u t t t u t ()()()[]s s e s s s e s s s s t u t u t L 2222222]96sin 6cos 3[93]96sin 96cos 3[93]23sin [--++-+=+++-+=--4-4 已知因果信号()t f 的拉普拉斯变换为()s F ,求下列信号的拉普拉斯变换,已知所有参数都大于零。
拉普拉斯逆变换习题填空题:1. t t f 2cos )(=的拉普拉斯变换是________________。
2. t t f 2sin )(=的拉普拉斯变换是_______________。
3. t e t f t sin )(-=的拉普拉斯变换是_________________。
4. t e t f t cos )(=的拉普拉斯变换是______________。
5. t e t t f 2)1()(-=的拉普拉斯变换是________________。
6. t t t f cos 32sin 5)(-=的拉普拉斯变换是_________________。
7. )(3sin 2)(t u t t f -=的拉普拉斯变换是_______________。
8. )(3)(t t t f δ+=的拉普拉斯变换是___________________。
9. t te t f -=1)(的拉普拉斯变换是__________________。
10.t e t f 2)(-=的拉普拉斯变换是_________________。
11.t e t f 2)(=的拉普拉斯变换是__________________。
12.t t f =)(的拉普拉斯变换是________________ 13.t te t f -=)(的拉普拉斯变换是____________________。
14.t t f 2cos )(=的拉普拉斯变换是_____________。
15.at t f sin )(=的拉普拉斯变换是_________________。
16.t t t f cos sin )(=的拉普拉斯变换是___________________。
17.)(2)(t t f δ=的拉普拉斯变换是_______________ 18.)1()(-=t u t f 的拉普拉斯变换是_________________。
第十五章 拉普拉斯变换典型习题解答与提示习 题 15-11.(1)提示:2()f t t =, £20[()]()ptpt f t f t edt t e dt +∞+∞--==⎰⎰,求广义积分后可得£32[()]f t p =,(0)p >; (2)提示:4()tf t e -=,£40[()]()pt t pt f t f t e dt e e dt +∞+∞---==⎰⎰,£1[()](4)4f t p p =>-+; (3)因302()12404t f t t t ≤<⎧⎪=-≤<⎨⎪≥⎩,则£242[()]()3(1)ptptpt f t f t edt edt e dt +∞---==+-⎰⎰⎰24024,(0)31,(0)pt pt p e e p p p --=⎧⎪=⎨-+≠⎪⎩4234,(0)4,(0)p pe e p pp --⎧+-≠⎪=⎨⎪=⎩; (4)因()tf t te -=, 则£2(1)(1)0001[()]()1ptp tp t f t f t edt tedt td e p +∞+∞--+-+⎛⎫===- ⎪+⎝⎭⎰⎰⎰ (1)(1)0111p t p t te e dt p p +∞+∞-+-+=-+++⎰ (1)21(1)(1)p tep p +∞-+=->-+21(1)(1)p p =>-+。
2.(1)£231[()](263)(0)f t p p p p=+->; (2)£2262[()](0)41pf t p p p =->++; (3)因()1tf t te =+,则£[()]f t =£(1)+£()tte1(1)[p=+-£()]t e ' (微分性) 222111(1)(1)(1)p p p p p p p -+=+=>--; (4)因3()sin 4tf t e t =,又因£24(sin 4)()16t F p p ==+,则由位移性知£24[()](3)(3)(3)16f t F p p p =-=>-+; (5)方法一 因22()tf t t e-=,又£232[]()(0)t F p p p ==>,则由位移性知 £32[()](2)(2)(2)f t F p p p =+=>-+; 方法二 因£21(),(2)2tep p -=>-+,则由微分性知 £2312[()](1)(2)2(2)f t p p p ''⎛⎫=-=>- ⎪++⎝⎭; (6)因21()sin (1cos 2)2f t t t ==-,则£1[()][2f t =£(1)-£22112(cos 2)](0)24(4)p t p p p p p ⎛⎫=-=> ⎪++⎝⎭; (7)因1()sin 2cos 2sin 42f t t t t ==, 则£1[()]2f t =£22142(sin 4)(0)21616t p p p =⨯=>++;(8)因()sin()sin cos cos sin f t t t t ωϕωϕωϕ=+=+, 则£[()]cos f t ϕ=£(sin )sin t ωϕ+£2222cos sin (cos )p t p p ωϕϕωωω=+++22cos sin (0)p p p ωϕϕω+=>+; (9)因11()(21)222f t t t t μμμ⎡⎤⎛⎫⎛⎫=-=-=- ⎪ ⎪⎢⎥⎝⎭⎝⎭⎣⎦, 则由延滞性知£121[()](0)p f t ep p-=>; (10)因3()sin 2tf t tet -=,又£22(sin 2)(0)4t p p =>+, 则由位移性知£322(sin 2)(3)(3)4t e t p p -=>-++,故再由微分性知 £22224(3)[()](3)(3)4[(3)4]p f t p p p '⎡⎤+=-=>-⎢⎥++++⎣⎦; (11)因4()cos 24tf t et π-⎛⎫=+ ⎪⎝⎭,又因£cos 242t π⎡⎤⎛⎫+= ⎪⎢⎥⎝⎭⎣⎦£222(cos 2sin 2)244p t t p p ⎫-=-⎪++⎝⎭2224p p -=+,则由位移性知£22[()](4)2(4)4p f t p p +=⨯>-++。
第五章 拉普拉氏变换习题参考答案5.1 求下列信号的单边拉普拉斯变换,并注明收敛域。
(1)(1)u t + (2)22(e e )()t t u t -+ (3)(1)()t u t - (4)(1e )()t t u t -+ 解:(1)1(1):Re[]0S u t e ROC S S+↔> (2)2211(e e)():Re[]222ttu t ROC S S S -+↔+>-+(3)()()()()22R 1111 :e[]0St u t tu t u t ROC S S S S↔--=--=> (4)()()()()2111R 1(1) :e[]tt teu t u t te u t S S ROC S --+=+↔+-+>5.2求下列函数的单边拉普拉斯变换。
(1)0sin (1)(1)t U t ω-- (2)212e ett---+(3)2()e t t δ-- (4)3sin 2cos t t + (5)2e tt -(6)e sin(2)t t -解:(1)[]0022sin (1)(1)st U t e S ωωω---↔+ (2)()()()212112e e12t tSS S ---+↔-+++ (3)12()e21tt S δ--↔-+ (4)22232323sin 2cos 111S St t S S S ++↔+=+++ (5)221e(2)tt S -↔+(6)22e sin(2)(2)4tt S -↔++ 5.3 利用常用函数(如(),e (),sin()(),cos()()at u t u t t u t t u t ββ-等)的象函数及拉普拉斯变换的性质,求下列函数的拉普拉斯变换。
(1)[]e ()(2)t u t u t --- (2)[]sin()()sin (1)(1)t u t t u t ππ--- (3)(42)t δ- (4)sin(2)(2)44t u t ππ-- (5)0sin()tx dx π⎰ (6)22sin()()d t u t dtπ (7)22e ()t t u t - (8)e cos()()t t t u t αβ- 解:(1)[]222211e ()(2)(1e )111s ts e u t u t S S S -------↔-=-+++ (2)[]()()2221sin()()sin (1)(1)111SSt u t t u t e e SS ππππππ-----↔-=-+⎛⎫+ ⎪⎝⎭(3)121(42)4S t e δ--↔(4)822sin(2)(2)444S t u t e S πππ---↔+ (5)()2222111sin()tS x dx S S S S ππππππ↔-+=++⎰(6)2223322222222sin()()d t S S u t S dt S S S ππππππππππ--↔-==-+++ (7)2232e ()(2)tt u t S -↔+(8)()()2222222()ecos()()(())tS dS S t t u t dsS αααβαββαβ-++++-↔-=++ 5.4一个冲激响应为()h t 的因果LTI 系统具有下列特性:(1)t -∞<<+∞时,系统的输出为21()()e 6ty t =。
21拉氏逆变换1、用留数方法求下列函数)(s F 的拉氏逆变换: (1) abs b a s ss F ++-=)()(2; 【解】 由于b s a s ==,是sts F e )(的一级极点, 且有ba a a sb a s s a s F atst st-==+-=e )(2e ],e )(Res[;ba b b s b a s s b s F btst st--==+-=e )(2e ],e )(Res[,故有)]([)(1s F t f -=L],e )(Res[],e )(Res[b s F a s F st st +=ab b a a b b b a a btat bt at --=---=e e e e . …………………………………………………………………………………………………………… (2) )9)(4()(22++=s s ss F ; 【解】 由于i s i s 3,2±=±=是sts F e )(的一级极点, 由Heaviside 展开式, 有)]([)(1s F t f -=Lis s s s i s s s s stst 2264e 2264e 33-=++=+=i s ss s i s s s s stst 3264e 3264e 33-=++=++)3cos 2(cos 51t t -=. ……………………………………………………………………………………………………………(3) 22)1(12)(+-+=s s s s s F ; 【解】 由于0=s 是st s F e )(的一级极点, 1-=s 是sts F e )(的二级极点, 且有1)1(12lim ]0,e )(Res[220-=+-+=→s s s s s s F s st; t t s st t s s s s s s F ---→+='⎥⎦⎤⎢⎣⎡+-++=-e 2e 2)1(12)1(lim 1],e )(Res[2221, 故有)]([)(1s F t f -=L1e 2e 2-+=--t t t . (4)22)4(1)(s s s F -=.【解】 由于2±=s 是sts F e )(的一级极点, 0=s 是sts F e )(的二级极点, 且有16e )4(e )2(lim ]2,e )(Res[2222tst s sts s s s F =--=→; 16e )4(e )2(lim ]2,e )(Res[2222tst s sts s s s F --→-=-+=-; 4)4(e lim ]0,e )(Res[2220ts s s s F sts st -='⎥⎦⎤⎢⎣⎡-=→, 故有)]([)(1s F t f -=L42sh 81tt -=.……………………………………………………………………………………………………………2、利用拉氏变换的性质求下列函数的拉氏逆变换: (1) 221)(a s s F -=;【解】 因为⎪⎭⎫⎝⎛+--=-=a s a s a a s s F 11211)(22, 所以⎥⎦⎤⎢⎣⎡⎪⎭⎫ ⎝⎛+--==--a s a s a s F t f 1121)]([)(11LL⎥⎦⎤⎢⎣⎡+-⎥⎦⎤⎢⎣⎡-=--a s a a s a 1211211 1 L L ()at at a--=e e 21. ……………………………………………………………………………………………………………(2) 22e 1)(ss F s-+=; 【解】 由于sss s F 222e 11)(-+=, 且有2e 1 ,]1[22121-=⎥⎦⎤⎢⎣⎡=---t s t ss L L, 所以22)]([)(1-==-t s F t f L .……………………………………………………………………………………………………………(3) 222e )(as s s F s+=-; 【解】 由于at as scos ][221=+-L,故利用延迟性质, 有)2(cos )]([)(1-==-t a s F t f L.……………………………………………………………………………………………………………(4) 221ln )(ss s F -=. 【解】 由于)1(21ln )(222-='⎪⎪⎭⎫ ⎝⎛-='s s s s s F , 故有2e e )]([1-+='--t t s F L.根据微分性质, 有=-)(t tf 2e e )]([1-+='--t t s F L,因此, 有tt t s F t f tt ----==e e 2)]([)(1L. ……………………………………………………………………………………………………………。
1. 求下列函数的拉式变换。
2. 求下列函数的拉式变换,注意阶跃函数的跳变时间。
3. 求下列函数的拉普拉斯逆变换。
4. 分别求下列函数的逆变换的初值和终值。
5.
如图1所示电路,0=t
以前,开关S 闭合,已进入稳定状态;0=t 时,开关打开,求()t v r 并讨
论R 对波形的影响。
6.
电路如图2所示,0=t 以前开关位于”“1,电路以进入稳定状态,0=t 时开关从”
“1倒向”“2,求电流()t i 的表示式。
7. 电路如图3所示,0=t
以前电路原件无储能,0=t 时开关闭合,求电压()t v 2的表示式和波形。
8.
激励信号()t e 波形如图()a 4所示电路如图()b 4所示,起始时刻L 中无储能,求()t v 2得表示式和波形。
9.
电路如图5所示,注意图中()t Kv 2是受控源,试求
(1) 系统函数()()
()
s V s V s H 13=; (2)
若2=K
,求冲激响应。
10. 将连续信号()t f 以时间间隔T 进行冲激抽样得到()()()()()∑∞
=-=
=0
,n T T s nT t t t t f t f δδδ,求:
(1) 抽样信号的拉氏变换()[]t f s L ;
(2)
若()()t u e
t f t
α-=,求()[]t f s L 。
11. 在图6所示网络中,Ω===10,1.0,2R F C H L 。
(1) 写出电压转移函数()()
()
s E s V s H 2=
; (2) 画出s 平面零、极点分布; (3)
求冲激响应、阶跃响应。
12. 如图7所示电路,
(1) 若初始无储能,信号源为()t i ,为求()t i 1(零状态响应),列出转移函数()s H ; (2)
若初始状态以()01i ,()02v 表示(都不等于0),但()0=t i (开路),求()t i 1(零输入
响应)。
13. 已知网络函数的零、极点分布如图8所示,此外()5=∞H ,写出网络函数表示式()s H 。
14. 已知网络函数()s H 的极点位于3-=s 处,零点在α-=s ,且()1=∞H 。
此网络的阶跃响应
中,包含一项为t
e
K 31-。
若α从0变到5,讨论相应的1K 如何随之改变。
15. 如图9反馈系统,回答下列各问:
(1) 写出()()
()
s V s V s H 12=
; (2) K 满足什么条件时系统稳定?
(3)
在临界稳定条件下,求系统冲激响应()t h 。
16. 已知信号表示式为
式中0>α,试求()t f 的双边拉氏变换,给出收敛域。