拉氏变换分析 习题课
- 格式:ppt
- 大小:566.00 KB
- 文档页数:25
第四章 习题解4-1 根据拉氏变换定义,求下列函数的拉普拉斯变换。
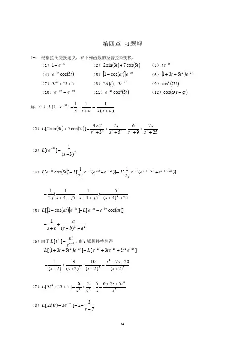
(1)ate --1(2)()()t t 5cos 73sin 2+ (3)tet 3-(4)()t et5cos 4-(5)()[]tb e at --cos 1(6)()tett 22531-++(7)5232++t t (8)()te t 732--δ(9)()t Ω2cos (10)t t e e βα--- (11)()t et5cos 22-(12)()ϕω+t cos解:(1))(111]1[a s s a s s e L at +=+-=-- (2)()()2579657323]5cos 73sin 2[222222+++=+++⨯=+s s s s s s t t L (3)23)3(1][+=-s et L t(4)())](21[)](21[]5cos [)54()54(45544t j t j t t j t j t te e e jL e e e j L t eL --+-----+=+= 25)4(5)541541(212++=+++-+=s j s j s j (5)()[]()]cos []cos 1[at e e L e at L t b t b tb ----=-22)(1ab s a b s ++++=(6)由于1!][+=n ns n t L ,由s 域频移特性得()]53[]531[222222t t t t e t te e L e t t L ----++=++ 3232)2(207)2(10)2(3)2(1+++=+++++=s s s s s s (7)32232526526]523[ss s s s s t t L ++=++=++ (8)()732]32[7+-=--s et L tδ(9)()()22242121]2cos 2121[]cos [Ω+⋅+=Ω+=Ωs ss t L t L (10)))((11][βααββαβα++-=+-+=---s s s s e eL t t(11)在(9)的计算结果基础上由s 域频移特性得()25)2(221)2(21]5cos [222+++⋅++=-s s s t e L t (12)()]sin sin cos cos []cos [ϕωϕωϕωt t L t L -=+222222s i n c o s s i n c o s ωϕωϕωϕωωϕ+-=+-+=s s s s s4-7 求下列函数的拉普拉斯反变换。
拉普拉斯变换、复频域分析习题课1. 求下列函数的拉氏变换。
(1)1at e-- (2)sin 2cos t t + (3)2t te - (4)sin(2)t e t -(5)(12)t t e -+ (11)1()t t e e αββα---- (13)(2)(1)t te u t --- (15)()ta t e f a-,设已知[()]()L f t F s = 解:(1)11[1]()at a L e s s a s s a --=-=++ (2)2221221[sin 2cos ]111s s L t t s s s ++=+=+++ (3)221[](2)t L te s -=+ (4)22[sin(2)](1)4t L e t s -=++ (5)23[(12)](1)ts L t e s -++=+ (11)11111[()]()()()t t L e e s s s s αββαβααβαβ---=+=--++++ (13)由于(2)(1)(1)(1)[(1)](1)t t t teu t e t e e u t -------=-+- (15)[()](1)ta t L e f aF as a-=+2求下列函数的拉氏变换,注意阶跃函数的跳变时间。
(1)()(2)tf t e u t -=- (2)(2)()(2)t f t e u t --=- (3)(2)()()t f t e u t --= (4)()sin(2)(1)f t t u t =-(5)()(1)[(1)(2)]f t t u t u t =----解:(1)因为(2)2()(2)t f t ee u t ---=-,所以 222(1)11[()]11s s L f t e e e s s ---+==++ (2)21[()]1s L f t e s -=+ (3)因为2()()t f t e e u t -=,所以2[()]1e Lf t s =+ (4) ()sin[2(1)2](1) {sin[2(1)]cos 2cos[2(1)]sin 2}(1)f t t u t t t u t =-+-=-+-- 2222cos 2sin 22cos 2sin 2[()]()444s s s s L f t e e s s s --+=+=+++ (5)()(1)(1)(2)(2)(2)f t t u t t u t u t =-------222221111[()][1(1)]s s s s s L f t e e e s e e s s s s-----=--=-+ 3求下列函数的拉普拉斯逆变换。
7.利用拉氏变换的性质求下列函数的拉氏变换.(1)()teet fatbt-=. (2)()ttt f2sin2=.(3)()tttt fωωωcossin-=(4)()ttt fωsh=.解(1)&()[]=t f&⎰∞=⎥⎦⎤⎢⎣⎡-satbttee&[]duee atbt-⎰∞∞--=--=⎪⎭⎫⎝⎛---=s s bsasaubuduaubulnln11|(2)&()[]=t f&[]2222)1(2sindsdtt-=&[]t2sin()3222224161242+-=⎪⎭⎫⎝⎛+=sssdsd(3)&()[]=t f&[]=-tttωωωcossin&[]ωω-tsin&[]ttωcosdsdsωωω++=22&[]⎪⎭⎫⎝⎛+++=2222cosωωωωωωsst()22232ωω+=s(4)&()[]=t f&[]dsdttsh-=ω&[]tshω()222'21121ωωωω-=⎪⎭⎫⎝⎛+---=ssss8.求下列函数的拉氏逆变换.(1)().412+=ssF(2)().14ssF=(3)()().114+=ssF(4)().31+=ssF(5)().9322++=sssF(6)()()().313-++=ssssF(7)().612-++=ssssF(8)().134522+++=ssssF解(1)()=t f&()[]211=-sF&ts2sin214221=⎥⎦⎤⎢⎣⎡+-(2)()=t f&!31141=⎥⎦⎤⎢⎣⎡-s&313161!3ts=⎥⎦⎤⎢⎣⎡+-(3)由&341611ts=⎥⎦⎤⎢⎣⎡-及位移性质&()[]()t feasF at=--1得()=t f&()[]=-sF1&()t e ts--=⎥⎦⎤⎢⎣⎡+3416111(4)()=t f&()[]=-sF1&tes3131--=⎥⎦⎤⎢⎣⎡+(5)()=t f&()[]21=-sF&+⎥⎦⎤⎢⎣⎡+-921ss&tts3sin3cos29321+=⎥⎦⎤⎢⎣⎡+-(6)()=t f&()[]=-sF1&()()⎥⎦⎤⎢⎣⎡-++-3131sss=&231133211=⎥⎦⎤⎢⎣⎡⎪⎭⎫⎝⎛+---ss&213-s11-⎥⎦⎤⎢⎣⎡-&⎥⎦⎤⎢⎣⎡+-111stt ee--=21233(7)()=t f&()[]=-sF1&=⎥⎦⎤⎢⎣⎡-++-6121sss&⎥⎦⎤⎢⎣⎡⎪⎭⎫⎝⎛++--3223511ss53=&52211+⎥⎦⎤⎢⎣⎡--s&tt ees321525331--+=⎥⎦⎤⎢⎣⎡+(8)()=t f&()[]=-sF1&=⎥⎦⎤⎢⎣⎡+++-1345221sss&()()⎥⎦⎤⎢⎣⎡++++-22132122ss2=&()()31322221+⎥⎦⎤⎢⎣⎡+++-ss&()⎥⎦⎤⎢⎣⎡++-221323s()ttetete ttt3sin3cos6313sin313cos2222+=+=---9.设()()t ftf21,均满足拉氏变换存在定理的条件(若它们的增长指数均为c)且&()[](),11sFtf=&()[](),22sFtf=,则乘积()()t f t f21的拉氏变换一定存在,且&()()[]()()⎰∞+∞--=ii2121i21ββπdqqsFqFtftf其中.Re,0cs+>>ββ证由于()()t ftf21,均满足拉氏变换存在定理的条件以及增长指数均为c,知乘积()()t f t f21也一定满足拉氏变换存在的定理的条件且增长指数为.2c根据拉氏存在定理的证明当c>β时,&()()[]()()⎰+∞-=2121,dtetftftftf st在0Re cs+≥β上存在且一致收敛.由于()()⎰∞+∞-=ii11i21ββπdteqFtf qt而&()()[]()()⎰+∞-=2121dtetftftftf st()()⎰⎰+∞-∞+∞-⎪⎭⎫⎝⎛=2i i 1i21dt e t f dq e q F st qt ββπ()()⎰⎰+∞--∞+∞-=0)(2i i 1i 21dtdq e t f q F q s ββπ()()dqq s F q F -=⎰∞+∞-2i i 1i 21ββπ10.求下列函数的拉氏逆变换(像原函数),并用另一种方法加以验证.(1)().122a s s F +=(2)()()().b s a s s s F --=(3)()()()2b s a s cs s F +++=(4)()()222222a sa s s F ++=(5)()().1322s a s s F +=(6)()()()b s a s s s F ++=1(7)().144a s s F -= (8)()()22112--+=s s s s s F(9)()().1122-=s s s F (10)()()()4122++=s s ss F(1)解法1 ()=t f &()[]=-s F 1&⎥⎦⎤⎢⎣⎡+⋅-2211a s a aa 1=&a ata s a sin 221=⎥⎦⎤⎢⎣⎡+- 解法2()⎥⎦⎤⎢⎣⎡-++⎥⎦⎤⎢⎣⎡+=i ,Res i ,Res 2222a a s e a a s e t f st st a at a e a e at at sin i 2i 2i i =-=-解法3 ()=t f &=⎥⎦⎤⎢⎣⎡+-2211a s &⎥⎦⎤⎢⎣⎡⎪⎭⎫ ⎝⎛+---i 1i 1i 211a s a s a i 21a =(&-⎥⎦⎤⎢⎣⎡--i 11a s &⎥⎦⎤⎢⎣⎡+-i 11a s ) ()a at e e a at at sin i 21i i =-=-(2)解法1 ()=t f &()[]=-s F 1&()()⎥⎦⎤⎢⎣⎡---b s a s s1()()()()⎥⎦⎤⎢⎣⎡--+⎥⎦⎤⎢⎣⎡--=b b s a s se a b s a s se st st ,Res ,Res()bt at bt at be ae b a a b be b a ae --=-+-=1解法2 ()=t f&()[]=-sF1&()()⎥⎦⎤⎢⎣⎡---bsass1=&⎥⎦⎤⎢⎣⎡⎪⎭⎫⎝⎛-----bsbasaba11ba-=1(a&bas-⎥⎦⎤⎢⎣⎡--11&⎥⎦⎤⎢⎣⎡--bs11()btat beaeba--=1(3)解法1 ()=t f&()[]s F1-()()()()()()⎥⎥⎦⎤⎢⎢⎣⎡-++++⎥⎥⎦⎤⎢⎢⎣⎡-+++=bbsasecsabsasecs stst,Res,Res22()()bsstateascsdsdabeac-=-⎪⎭⎫⎝⎛+++--=2()()btbtat ebacatebabcebaac-----+--+--=22解法2 ()=t f&()[]=-sF1&()()⎥⎦⎤⎢⎣⎡+++-21bsascs=&()()()⎥⎦⎤⎢⎣⎡+⋅--++⋅--++⋅---2221111bsbabcbsbacaasbaac()2baac--=&()211bacaas--+⎥⎦⎤⎢⎣⎡+-&baacbs--+⎥⎦⎤⎢⎣⎡+-11&()⎥⎥⎦⎤⎢⎢⎣⎡+-211bs ()()btbtat tebabcebacaebaac-----+--+--=22(4)解法1 ()=t f&()[]=-sF1&()⎥⎥⎦⎤⎢⎢⎣⎡++-2222212asas=&⎥⎥⎦⎤⎢⎢⎣⎡⎪⎭⎫⎝⎛+++⋅-'222212123assasaaa23=&21221+⎥⎦⎤⎢⎣⎡+-asa&⎥⎥⎦⎤⎢⎢⎣⎡⎪⎭⎫⎝⎛+'221assattatacos21sin23-=解法2 ()=t f&()[]s F1-()()⎥⎥⎦⎤⎢⎢⎣⎡-+++⎥⎥⎦⎤⎢⎢⎣⎡++=i,2Resi,2Res2222222222aeasasaeasas stst()()i222i222i2i2asstasst easasdsdeasasdsd-==-++++=ta t a t a t a te e a te e a i i i i 41i 4341i 43-----= at t at a cos 21sin 23-=(5)解法1 ()=t f &()2322111a s a s =⎥⎦⎤⎢⎣⎡+-&()⎥⎦⎤⎢⎣⎡+--223111a s s s(12a =&-⎥⎦⎤⎢⎣⎡-311s &())1221⎥⎦⎤⎢⎣⎡+-as s⎰-=t t a 03221(1&)1221dt a s ⎥⎦⎤⎢⎣⎡+-⎪⎭⎫ ⎝⎛-=⎰t atdt a t a 032sin 12121()at a t a cos 1121432--=解法2 ()=t f &()⎥⎦⎤⎢⎣⎡+-32211s a s()()()⎥⎦⎤⎢⎣⎡++⎥⎦⎤⎢⎣⎡++⎥⎦⎤⎢⎣⎡+=i ,Res i ,Res 0,Res 322322322a s a s e a s a s e s a s e stst st()()3i 3i 02222i i 2i i 221a a e a a e a s e ds d ta t a s st --+⎪⎪⎭⎫ ⎝⎛+=-=()at a t a cos 1121422--=(6)解法1 ()=t f &()()⎥⎦⎤⎢⎣⎡-+-b s a s s 11=&()()⎥⎦⎤⎢⎣⎡+⋅--+⋅-+⋅-b s b a b a s b a a s ab 1111111=ab 1&()b a a s -+⎥⎦⎤⎢⎣⎡-111&()b a b a s -1-⎥⎦⎤⎢⎣⎡+-11&⎥⎦⎤⎢⎣⎡+-b s 11()()bt at e b a b e b a a ab -----+=111解法2 ()=t f &()()⎥⎦⎤⎢⎣⎡++-b s a s s 11()()()()()()⎥⎦⎤⎢⎣⎡-+++⎥⎦⎤⎢⎣⎡-+++⎥⎦⎤⎢⎣⎡++=b b s a s s e a b s a s s e b s a s s e stst st ,Res ,Res 0,Res()()bt at e b a b e b a a ab -----+=111(7)解法1 ()=t f&⎥⎦⎤⎢⎣⎡--4411as=&⎥⎦⎤⎢⎣⎡+-⎪⎭⎫⎝⎛+---22331211141asaaasasa()ataeeaatat sin214133--=-()atatasinsh213-=解法2 ()=t f&⎥⎦⎤⎢⎣⎡--4411as⎥⎦⎤⎢⎣⎡--+⎥⎦⎤⎢⎣⎡-+⎥⎦⎤⎢⎣⎡--+⎥⎦⎤⎢⎣⎡-=i,Resi,Res,Res,Res44444444aaseaaseaaseaase stststst()()3i3i33i4i444aeaeaeae t ataatst-++-=--()atatasinsh213-=(8)解法1 ()=t f&()=⎥⎦⎤⎢⎣⎡--+-221112ssss&()⎥⎦⎤⎢⎣⎡-+-+--2112121sss=&+⎥⎦⎤⎢⎣⎡--s11&+⎥⎦⎤⎢⎣⎡--121s&()⎥⎦⎤⎢⎣⎡--2112stt tee221++-=解法2()=t f&()⎥⎦⎤⎢⎣⎡--+-221112ssss()()⎥⎦⎤⎢⎣⎡--++⎥⎦⎤⎢⎣⎡--+=1,112Res0,112Res2222stst essssessss12121=⎪⎪⎭⎫⎝⎛-++-=sstesssdsdtt tee221++-=(9)解法1 ()=t f&()[]=-sF1&()⎥⎦⎤⎢⎣⎡--11221ss=&()teessstt--=⎥⎦⎤⎢⎣⎡-⎪⎭⎫⎝⎛+----21111112121tsht-=解法2 ()()()()⎥⎦⎤⎢⎣⎡--+⎥⎦⎤⎢⎣⎡-+⎥⎦⎤⎢⎣⎡-=1,1Res1,1Res0,1Res222222ssessesset fstststtteesedsd ttsst-=-+⎪⎪⎭⎫⎝⎛-=-=sh2212(10)解法1 ()=t f &()()⎥⎦⎤⎢⎣⎡++-41221s s s =&⎥⎦⎤⎢⎣⎡⎪⎭⎫ ⎝⎛+-+-4131221s s s s(31=&-⎥⎦⎤⎢⎣⎡+-121s s &()t t s s 2cos cos 31)421-=⎥⎦⎤⎢⎣⎡+-解法2 =)(t f &()()⎥⎦⎤⎢⎣⎡++-41221s s s()()()()()()()()⎥⎦⎤⎢⎣⎡-+++⎥⎦⎤⎢⎣⎡+++⎥⎦⎤⎢⎣⎡-+++⎥⎦⎤⎢⎣⎡++=i 2,41Res i 2,41Res i ,41Res i ,41Res 22222222s s se s s se s s se s s se stst st st ()()()()()i 41i 4i 2i 41i 4i 24i i 2i 4i i 2i 2i 22i 22i 2i -+-++++--++=--tt t t e e e e6666i 2i 2i i t t t t e e e e --+++= ()t t 2cos cos 31-=。
第14 章 Laplace 变换1. 求下列函数的拉氏变换 (1)1cos wtw- (2)chwt 解 (1){}{}220sin 1cos sin ()tL wt wt wL Lwzdz w p p p w -⎧⎫===⎨⎬+⎩⎭⎰(2){}{}22111122wt wt pL chwt L e e p w p w p w-⎧⎫=+=+=⎨⎬-+-⎩⎭ 2.求下列函数的逆拉氏变换 (1)2845p p p +++; (2)222()p p a + 其中a >0。
解 (1)111222821645(2)1(2)1p p L L L p p p p ---⎧⎫⎧⎫⎧⎫++=+⎨⎬⎨⎬⎨⎬++++++⎩⎭⎩⎭⎩⎭22cos 6sin tt et e t --=+(2)1222sin ()2pt at L p a a -⎧⎫=⎨⎬+⎩⎭3. 设11()sin f t wt w=,2()f t chwt =,其中w ≠0,求12()()f t f t *。
解法1 由于{}{}{}1212L f f L f L f *=⋅ {}12211()sin L f t L wt w p w⎧⎫==⎨⎬+⎩⎭ {}{}222()pL f t L chwt p w ==-所以 {}1222221pL f f p w p w*=⋅+- 2222222()2()p pw p w w p w =--+2211cos 22L chwt L wt w w ⎧⎫⎧⎫=-⎨⎬⎨⎬⎩⎭⎩⎭2211cos 22L chwt wt w w ⎧⎫=-⎨⎬⎩⎭1221(cos )2f f chwt wt w *=- 解法2 由卷积定义求1201()()sin ()tf t f t w chw t d wτττ*=-⎰()()01sin 2w t w t te e w d w ττττ---+=⎰ ()()0011sin sin 22t t w t w t e w d e w d w w ττττττ---=+⎰⎰ 22221111sin cos sin 4444wt wt wt e wt w w w w =--++-2211cos 44wtt e w w -+ 2211cos 222wt wt e e wt w w -+=-21(cos )2chwt wt w =- 4.求解'1(0)0x x x +=⎧⎨=⎩解 对方程施行Laplace 变换,并注意初始条件:x(0)=0,我们有 [][][]'1L x L x L +=[][]1pL x L x p+=[]11111(1)1(1)L x p p p p p p ==-=-++--[]11111(1)tx L L x L e p p ---⎡⎤==-=-⎢⎥--⎣⎦5. 求解2'3(0)2tx x e x -⎧-=-⎨=⎩解 对方程两边施以Laplace 变换,并注意初始条件x(0)=0,则有[][]2'3tL x L x L e -⎡⎤-=-⎣⎦[][]3(0)2pL x x L x p ---=+ []311(1)(2)21L x p p p p -==--++-11211()()21t tx t L x L e e p p ---⎡⎤==-=-⎢⎥+-⎣⎦6. 求解01"(0),'(0)tx x e x x x x ⎧+=⎨==⎩解 对方程两边施以Laplace 变换得[][]"tL x L x L e ⎡⎤+=⎣⎦[][]20111p L x px x L x p --+=- 解得 []0122221111121212111x p x p L x p p p p p =--++-++++ 所以 101222211111()21212111x p x p x t L p p p p p -⎡⎤=--++⎢⎥-++++⎣⎦01111()cos ()sin 222t e x t x t =+-+- 7. 求解01"(0),'(0)tx x e x x x x ⎧-=⎨==⎩解 对方程两边施以Laplace 变换得 [][]"t L x L x L e ⎡⎤-=⎣⎦[][]201'(0)1p L x p xx L x p ---=- []201111p L x px x p ⎡⎤-=++⎣⎦- 解得 []2111()2(1)4(1)4(1)L x t p p p =-+--+ 012211x p x p p ++-- []101111()(())244t t t x t L L x t te e e x cht x sht --==-+++8. 求解"'2"'4(0)1,'(0)2,"(0)2x x x x x x --=⎧⎨===-⎩解 对方程两边施行Laplace 变换,并注三个初始条件,则有[][][][]"'2"'4L x L x L x L -+=[][]322(0)'()"(0)2(0)'(0)p x p x px x x p L x px x ⎡⎤------+⎣⎦[]4(0)L x x p-=[][][]3224222241p L x p p p L x p pL x p--+-+++-=[]224(1)5p p L x p p-=+- 解得 []222254()(1)(1)(1)p L x t p p p p p =-+--- 23421p p p =+-- 所以 []1()()342tx t L L x t t e -==+-9. 求解21"'2(0)'(0)"(0)0t x x t e x x x ⎧+=⎪⎨⎪===⎩ 解 对方程两边施以Laplace 变换并利用初始条件有 [][]21"'2tL x L x L t e ⎡⎤+=⎢⎥⎣⎦[][]3221(0)'(0)"(0)(1)p L x p x px x L x p ---+=-解得 []331()(1)(1)L x t p p =-+- 当331231,,ii p p e p e ππ-=-==是一阶极点,p=1是三阶极点,由留数计算公式:22331111Re ()lim 2(1)(1)ptpt p p d s F p e e dp p p →=⎡⎤⎡⎤=⎢⎥⎣⎦!+-⎣⎦2133448t t tt e te e =-+31311(1)Re ()|(1)24ptptt p p e p s F p e e p -=-=--⎡⎤==-⎣⎦+3332(1)Re ()|3i i pt ptp e p e e p s F p e p ππ==-⎡⎤==⎣⎦3Re ()iptp es F p e π-=⎡⎤=⎣⎦所以221331()44824t t t t t x t t e te e e -=-+--21cos 32te10. 求解3''21'4'30(0)(0)0x y x x y y x y ++=⎧⎪++=⎨⎪==⎩解 对方程组两边施行Laplace 变换,并设[][](),(),X L x t Y L y t ==得 1(32)(43)0p X pY p pX p Y ⎧++=⎪⎨⎪++=⎩解得 221111111765(116)5(1)431133(11176)25(1)10(116)Y p p p p p X p p p p p p --⎧==+⎪++++⎪⎨+⎪==--⎪++++⎩所以 [][]61116111113()251011()55t t t tx t L X e e y t L Y e e ------⎧==--⎪⎪⎨⎪==-+⎪⎩11. 求解0sin ()sin()()ta t G t t z G z dz =--⎰,a 为常数。
第十五章 拉普拉斯变换典型习题解答与提示习 题 15-11.(1)提示:2()f t t =, £20[()]()ptpt f t f t edt t e dt +∞+∞--==⎰⎰,求广义积分后可得£32[()]f t p =,(0)p >; (2)提示:4()tf t e -=,£40[()]()pt t pt f t f t e dt e e dt +∞+∞---==⎰⎰,£1[()](4)4f t p p =>-+; (3)因302()12404t f t t t ≤<⎧⎪=-≤<⎨⎪≥⎩,则£242[()]()3(1)ptptpt f t f t edt edt e dt +∞---==+-⎰⎰⎰24024,(0)31,(0)pt pt p e e p p p --=⎧⎪=⎨-+≠⎪⎩4234,(0)4,(0)p pe e p pp --⎧+-≠⎪=⎨⎪=⎩; (4)因()tf t te -=, 则£2(1)(1)0001[()]()1ptp tp t f t f t edt tedt td e p +∞+∞--+-+⎛⎫===- ⎪+⎝⎭⎰⎰⎰ (1)(1)0111p t p t te e dt p p +∞+∞-+-+=-+++⎰ (1)21(1)(1)p tep p +∞-+=->-+21(1)(1)p p =>-+。
2.(1)£231[()](263)(0)f t p p p p=+->; (2)£2262[()](0)41pf t p p p =->++; (3)因()1tf t te =+,则£[()]f t =£(1)+£()tte1(1)[p=+-£()]t e ' (微分性) 222111(1)(1)(1)p p p p p p p -+=+=>--; (4)因3()sin 4tf t e t =,又因£24(sin 4)()16t F p p ==+,则由位移性知£24[()](3)(3)(3)16f t F p p p =-=>-+; (5)方法一 因22()tf t t e-=,又£232[]()(0)t F p p p ==>,则由位移性知 £32[()](2)(2)(2)f t F p p p =+=>-+; 方法二 因£21(),(2)2tep p -=>-+,则由微分性知 £2312[()](1)(2)2(2)f t p p p ''⎛⎫=-=>- ⎪++⎝⎭; (6)因21()sin (1cos 2)2f t t t ==-,则£1[()][2f t =£(1)-£22112(cos 2)](0)24(4)p t p p p p p ⎛⎫=-=> ⎪++⎝⎭; (7)因1()sin 2cos 2sin 42f t t t t ==, 则£1[()]2f t =£22142(sin 4)(0)21616t p p p =⨯=>++;(8)因()sin()sin cos cos sin f t t t t ωϕωϕωϕ=+=+, 则£[()]cos f t ϕ=£(sin )sin t ωϕ+£2222cos sin (cos )p t p p ωϕϕωωω=+++22cos sin (0)p p p ωϕϕω+=>+; (9)因11()(21)222f t t t t μμμ⎡⎤⎛⎫⎛⎫=-=-=- ⎪ ⎪⎢⎥⎝⎭⎝⎭⎣⎦, 则由延滞性知£121[()](0)p f t ep p-=>; (10)因3()sin 2tf t tet -=,又£22(sin 2)(0)4t p p =>+, 则由位移性知£322(sin 2)(3)(3)4t e t p p -=>-++,故再由微分性知 £22224(3)[()](3)(3)4[(3)4]p f t p p p '⎡⎤+=-=>-⎢⎥++++⎣⎦; (11)因4()cos 24tf t et π-⎛⎫=+ ⎪⎝⎭,又因£cos 242t π⎡⎤⎛⎫+= ⎪⎢⎥⎝⎭⎣⎦£222(cos 2sin 2)244p t t p p ⎫-=-⎪++⎝⎭2224p p -=+,则由位移性知£22[()](4)2(4)4p f t p p +=⨯>-++。
拉氏变换逆变换例题拉氏变换和逆变换是信号处理中常用的工具,本文将提供几个拉氏变换和逆变换的例题,帮助读者更好地理解这些概念。
例题1:求函数f(t)=sin(2πt)的拉氏变换。
解:根据拉氏变换的定义,我们有:F(s) = ∫0∞ e^(-st) sin(2πt) dt这个积分可以通过分部积分来求解。
设u = sin(2πt),dv = e^(-st) dt,则du/dt = 2πcos(2πt) 和 v = (-1/s) e^(-st)。
因此,F(s) = (∫0∞ u dv) = [(uv) |0∞ - ∫0∞ v du/dt dt]= [(sin(2πt) (-1/s) e^(-st)) |0∞ - ∫0∞ (-1/s) e^(-st) 2πcos(2πt) dt]= [(0 - 0) - (2π/s) ∫0∞ e^(-st) cos(2πt) dt]= (2π/s) [(1/(s^2 + 4π^2)]因此,f(t)=sin(2πt)的拉氏变换为F(s) = (2π/s) [(1/(s^2 + 4π^2)]例题2:求函数F(s) = (s + 2)/(s^2 + 4s + 5)的拉氏逆变换。
解:我们可以通过部分分式分解来求解逆变换。
设F(s) = A/(s + α) + B/(s + β),则F(s) = A/(s + α) + B/(s + β) = (As + Aα + Bs + Bβ)/(s^2 + (α + β)s + αβ)比较系数可得:Aα + Bβ = 2,A + B = 1,Aβ + Bα = 0。
解得A = 2/(3-2i),B = 1/(3-2i)。
因此,F(s) = (s + 2)/(s^2 + 4s + 5) = 2/(3-2i) /(s + (2-i)) + 1/(3-2i) /(s + (2+i))我们可以使用拉氏逆变换的表格或者将其转化为指数函数,最终得到f(t) = (2/5) e^(-2t) sin(t) + (1/5) e^(-2t) cos(t) 以上就是本文的拉氏变换和逆变换例题,希望能对读者在学习信号处理中有所帮助。