初中数学计算题道
- 格式:docx
- 大小:21.34 KB
- 文档页数:31
初一数学计算题及答案50题1、计算题: 48×3+27=()答案: 1652、计算题: 90÷( 30-24)=()答案: 153、计算题: 10×[48÷(16-8)]=()答案: 804、计算题: [40-(8+2)]×9=()答案: 2705、计算题: (12-4)×3+9=()答案: 336、计算题: 12÷[( 41-34)×2]=()答案: 37、计算题: 3×[28-(13+7)]=()答案: 488、计算题: 18÷(3-1)+6=()答案: 129、计算题: 17-8÷(4-2)=()答案: 910、计算题: (9-5)×(7-2)=()答案: 28以上只是初一数学计算题及答案的一部分,希望对大家有所帮助。
初一数学找规律题及答案找规律是数学学习中一个重要的部分,它能帮助学生发展逻辑思维和解决问题的能力。
下面,我将展示一些初一数学找规律的问题,并附上相应的答案,以便帮助学生理解并解决类似的问题。
问题1:观察下列数字序列,找出规律,并预测下一个数字。
1,2,3,5,8,13,21,34,55,89...答案:这个数字序列是著名的斐波那契数列。
它的规律是每个数字是前两个数字的和。
因此,下一个数字应该是34 + 55 = 89。
问题2:观察下列图形序列,找出规律,并预测下一个图形。
图1:△图2:□△图3:△□□图4:□△□□图5:△□□□答案:这个图形序列的规律是每个图形都是由一个或多个三角形和一个正方形组成。
每个图形中的三角形数量比前一个图形多一个,而正方形数量与前一个图形相同。
因此,下一个图形应该是□△□□□。
问题3:观察下列等式序列,找出规律,并预测下一个等式。
a +b = cb +c = dc +d = ed +e = f答案:这个等式序列的规律是每个等式都是前两个等式的和。
计算题1.33+(π+3)º-327 +∣ 3 -2∣2. 5x+2x²+x=3x+13. 3-xx-4+14-x=14. x²-5x=05. x²-x-1=06. 化简239x +6x4-2x1x7. 因式分解x4-8x²y²+16y48.22x+1+12x-1=54x²-19. 因式分解(2x+y)²-(x+2y)²10. 因式分解-8a²b+2a³+8ab²11. 因式分解a4-1612. 因式分解3ax²-6axy+8ab²13. 先化简,再带入求值(x+2)(x-1)-x²-2x+1x-1,x= 314. ( - 3 )º-∣-3∣+(-1)2015+(1 2)-115. (1a-1-1a²-1)÷a²-aa²-116. 2(a+1)²+(a+1)(1-2a)17. (2x-1x+1-x+1)÷x-2x²+2x+118. (-3-1)×(- 32)²-2-1÷(-12)³19.12x-1=243-21x20. (x+1)²-(x+2)(x-2)21. sin60°-∣1- 3 ∣+(12)-122.(-5)16×(-2)15 (结果以幂的形式表示)23. 若n为正整数且(m n)²=9,求(13m3n)³(m²)2n24. 因式分解a²+ac-ab-bc25. 因式分解x²-5x+626. 因式分解(x+2)(x+3)+x²-427. 因式分解(a²+1)²-4a²28. -12016+18÷(-3)×∣-12∣29. 先化简,再求值3(x²+xy-1)-(3x²-2xy),其中x=1,y= - 1 530. 计算3-4+5-(-6)-731. 计算-1²+(-4)²×∣-18∣-8²÷(-4)³32.计算20-(-7)-∣-2∣33.计算(13-59+1112)×(-36)34.计算(-1)²- 14×[2- (-3)²]35. 解二元一次方程组x-2y=1 ①x+3y=6 ②36. 解二元一次方程组2(x-y)3-x+y4= -112①5y-x=3 ②37. 解二元一次方程组x+2y=6 ①3x-2y=2 ②38. 解不等式3(x-1)>2x+239. 解不等式3x+13-7x-35≤2+2(x-2)1540. 化简a(a-1)²-(a+1)(a²-a+1)41. (aa-b+bb-a)÷1a+b42. 当m=15-2,求代数式m+1m43. (12)-1 - ( 2 -1)º+∣-3∣+tan45º-cos60ºcos30º·tan60°44. 先化简再求值x²-5x+63x²-3x·(1-3x+1)·(1+2x-3),其中x= 345. 先化简再求值x-yy²-x²,其中x=-1,y=246. 解方程x²-3x=047. 6-(-2)²·2-1+(-3.14)º+3-8 +cos²45°48. 计算( 3 )²+4×(- 12)-2³49. 先化简,再求值(a+b)(a-b)+b(b-2),其中a= 2 ,b=-150. 计算 4 -(15+2)º+(-2)³÷3-151. 计算12-1- 3tan²30°+2(sin45°-1)²52. 化简[aa-b+b²a(b-a)]÷a+bab53. 计算- 2²+(3-3.14)º+3sin30°54. 计算(13)-1+(2006-π)º- 3 tan60°55. 计算2013-(π-3.14)º+∣-3∣+(-1)56.57.计算:﹣.58. 计算:.59. 计算:.60.计算:.61. 计算:.62. (a﹣2)2+4(a﹣1)﹣(a+2)(a﹣2)63. (﹣1)2013﹣|﹣7|+×+()﹣1;64. .65. 计算:.66. 解方程:.67. 计算:.68. 解方程:=﹣.69. 求不等式组的整数解.70. 先化简,再求值:(﹣)÷,其中x=+1.71. 解方程:72.73. 先化简,再求值:÷+,其中x=2+1.74. 解方程:.75. 计算:.76. 计算:(1+)2013﹣2(1+)2012﹣4(1+)2011.77. 计算:.78.0111()2π--+ .79. 解方程组: 22220x y x xy y -=-⎧⎨--=⎩.80. 计算:(﹣1)3+(+1)0+. 81. 解不等式组:.82. 先化简,再求值:÷(x+1﹣),其中x=﹣2.83. ∣-5∣+2²-( 3 +1)º84. 2×(-5)+23-3÷1285. 22+(-1)4+(5-2)0-|-3| 86.()()0332011422---+÷-87. a a²-b² -a a-b ÷b b-a88. 2x x ²-4- 1x-289. (a+b )2+b (a ﹣b ). 90. (a - 1a )÷a-1a91. 2111x x x -⎛⎫+÷ ⎪⎝⎭92.⎝ ⎛⎭⎪⎪⎫1+ 1 x -2÷ x 2-2x +1 x 2-4,其中x =-5.93. (a ﹣1+)÷(a 2+1),其中a=﹣1.94. 2121(1)1a a a a++-⋅+,其中a -1.95.)252(423--+÷--a a a a , 1-=a 96. 化简求值: 111(11222+---÷-+-m m m m m m ),其中m =3.97. 化简2111x x x -⎛⎫+÷ ⎪⎝⎭98.化简:xx x x x x x x x 416)44122(2222+-÷+----+, 其中22+=x99. 化简并求值:221122a b a b a a b a -⎛⎫--+ ⎪-⎝⎭,其中33a b =-=-.100.计算:332141222+-+÷⎪⎭⎫ ⎝⎛---+a a a a a a a .101. 先化简,再求值:13x -·32269122x x x x x x x-+----,其中x =-6.102.先化简再求值:⎝ ⎛⎭⎪⎪⎫1-1a -1÷a 2-4a +4a 2-a ,其中a =2+ 2 .103. 先化简,再求值:a -1a +2·a 2+2a a 2-2a +1÷1a 2-1,其中a 为整数且-3<a <2.104. 先化简,再求值:222211yxy x x y x y x ++÷⎪⎪⎭⎫⎝⎛++-,其中1=x ,2-=y .105. 先化简,再求值:2222(2)42x x x x x x -÷++-+,其中12x =. 106.先化简,再求值222112()2442x x x x x x-÷--+-,其中2x =107. 22221(1)121a a a a a a +-÷+---+. 108.先化简再求值:1112421222-÷+--∙+-a a a a a a ,其中a 满足20a a -=.109. 先化简:144)113(2++-÷+-+a a a a a ,并从0,1-,2中选一个合适的数作为a 的值代入求值。
初中数学计算题(200道)(-1.5)×(-9)-12÷(-4)56÷(-7)-2÷5+0.43.57×29÷(-4)5.6÷(-2.8)-(-50)÷2[9.6+(-7.3)]×[(-5)-(-7)]12.3÷[5.6+(-1.2)](-75.6)÷(1/4+1/5)9.5×(-9.5)÷1/295.77÷(-2)+(-34.6)(-51.88)÷2-(-5)×241.25*(-3)+70*(-5)+5*(-3)+25 9999*3+101*11*(101-92)(23/4-3/4)*(3*6+2)3/7 × 49/9 - 4/38/9 × 15/36 + 1/2712× 5/6 –2/9 ×38× 5/4 + 1/46÷ 3/8 –3/8 ÷64/7 × 5/9 + 3/7 × 5/95/2 -( 3/2 + 4/5 )7/8 + ( 1/8 + 1/9 )9 × 5/6 + 5/63/4 × 8/9 - 1/37 × 5/49 + 3/146 ×( 1/2 + 2/3 )8 × 4/5 + 8 × 11/531 × 5/6 – 5/69/7 - ( 2/7 – 10/21 )5/9 × 18 –14 × 2/74/5 × 25/16 + 2/3 × 3/4 14 × 8/7 –5/6 × 12/15 17/32 –3/4 × 9/243 × 2/9 + 1/35/7 × 3/25 + 3/73/14 × 2/3 + 1/61/5 × 2/3 + 5/69/22 + 1/11 ÷ 1/25/3 × 11/5 + 4/345 × 2/3 + 1/3 × 157/19 + 12/19 × 5/61/4 + 3/4 ÷ 2/38/7 × 21/16 + 1/2101 × 1/5 –1/5 × 21 50+160÷40120-144÷18+35347+45×2-4160÷5237×(58+37)÷(64-9×5)95÷(64-45)178-145÷5×6+42812-700÷(9+31×11)85+14×(14+208÷26)120-36×4÷18+35(58+37)÷(64-9×5)(6.8-6.8×0.55)÷8.50.12× 4.8÷0.12×4.8(3.2×1.5+2.5)÷1.66-1.6÷4= 5.38+7.85-5.37=7.2÷0.8-1.2×5= 6-1.19×3-0.43= 6.5×(4.8-1.2×4)=5.8×(3.87-0.13)+4.2×3.74 32.52-(6+9.728÷3.2)×2.5 [(7.1-5.6)×0.9-1.15] ÷2.5 5.4÷[2.6×(3.7-2.9)+0.62]12×6÷(12-7.2)-612×6÷7.2-60.68×1.9+0.32×1.958+370)÷(64-45)420+580-64×21÷28136+6×(65-345÷23)15-10.75×0.4-5.718.1+(3-0.299÷0.23)×1 (6.8- 6.8×0.55)÷8.50.12× 4.8÷0.12×4.8(3.2×1.5+2.5)÷1.63.2×6+(1.5+2.5)÷1.60.68×1.9+0.32×1.910.15-10.75×0.4-5.75.8×(3.87-0.13)+4.2×3.74 32.52-(6+9.728÷3.2)×2.5 [(7.1-5.6)×0.9-1.15] ÷2.5 5.4÷[2.6×(3.7-2.9)+0.62] 12×6÷(12-7.2)-612×6÷7.2-633.02-(148.4-90.85)÷2.576.(25%-695%-12%)*3677./4*3/5+3/4*2/578.1-1/4+8/9/7/979.+1/6/3/24+2/2180./15*3/581.3/4/9/10-1/682./3+1/2)/5/6-1/3]/1/783./5+3/5/2+3/484.(2-2/3/1/2)]*2/585.+5268.32-256986.3+456-52*887.5%+632588./2+1/3+1/489+456-785%+. 3/7 × 49/9 - 4/39 × 15/36 + 1/272× 5/6 –2/9 ×33× 5/4 + 1/494÷ 3/8 –3/8 ÷695/7 × 5/9 + 3/7 × 5/9 6/2 -( 3/2 + 4/5 )8 + ( 1/8 + 1/9 )8 × 5/6 + 5/61/4 × 8/9 - 1/310 × 5/49 + 3/141.5 ×( 1/2 + 2/3 )2/9 × 4/5 + 8 × 11/5 3.1 × 5/6 – 5/64/7 - ( 2/7 – 10/21 )19 × 18 –14 × 2/75 × 25/16 + 2/3 × 3/4 4 × 8/7 –5/6 × 12/15 7/32 –3/4 × 9/242/3÷1/2-1/4×2/52-6/13÷9/26-2/32/9+1/2÷4/5+3/810÷5/9+1/6×41/2×2/5+9/10÷9/205/9×3/10+2/7÷2/51/2+1/4×4/5-1/83/4×5/7×4/3-1/223-8/9×1/27÷1/278×5/6+2/5÷41/2+3/4×5/12×4/58/9×3/4-3/8÷3/45/8÷5/4+3/23÷9/111.2×2.5+0.8×2.58.9×1.25-0.9×1.2512.5×7.4×0.89.9×6.4-(2.5+0.24)(27) 6.5×9.5+6.5×0.5 0.35×1.6+0.35×3.40.25×8.6×46.72-3.28-1.720.45+6.37+4.555.4+6.9×3-(25-2.5)2×41846-620-3804.8×46+4.8×540.8+0.8×2.51.25×3.6×8×2.5-12.5×2.4 28×12.5-12.5×2023.65-(3.07+3.65)(4+0.4×0.25)8×7×1.25 1.65×99+1.6527.85-(7.85+3.4)48×1.25+50×1.25×0.2×8 7.8×9.9+0.78(1010+309+4+681+6)×123×9146×782×6×8545.15×7/8+6.1-0.606253/7 × 49/9 - 4/38/9 × 15/36 + 1/2712× 5/6 –2/9 ×38× 5/4 + 1/46÷ 3/8 –3/8 ÷64/7 × 5/9 + 3/7 × 5/95/2 -( 3/2 + 4/5 )7/8 + ( 1/8 + 1/9 )9. 9 × 5/6 + 5/63/4 × 8/9 - 1/37 × 5/49 + 3/146 ×( 1/2 + 2/3 )8 × 4/5 + 8 × 11/531 × 5/6 – 5/69/7 - ( 2/7 – 10/21 )5/9 × 18 –14 × 2/74/5 × 25/16 + 2/3 × 3/414 × 8/7 –5/6 × 12/1517/32 –3/4 × 9/243 × 2/9 + 1/35/7 × 3/25 + 3/73/14 × 2/3 + 1/61/5 × 2/3 + 5/69/22 + 1/11 ÷ 1/25/3 × 11/5 + 4/345 × 2/3 + 1/3 × 157/19 + 12/19 × 5/61/4 + 3/4 ÷ 2/38/7 × 21/16 + 1/2101 × 1/5 –1/5 × 2150+160÷40 (58+370)÷(64-45)120-144÷18+35347+45×2-4160÷52(58+37)÷(64-9×5)95÷(64-45)178-145÷5×6+42 420+580-64×21÷28812-700÷(9+31×11)(136+64)×(65-345÷23)85+14×(14+208÷26)(284+16)×(512-8208÷18)120-36×4÷18+35(58+37)÷(64-9×5)(6.8- 6.8×0.55)÷8.50.12× 4.8÷0.12×4.8(3.2×1.5+2.5)÷1.6 (2)3.2×(1.5+2.5)÷1.6 6-1.6÷45.38+7.85-5.377.2÷0.8-1.2×56-1.19×3-0.4347.6.5×(4.8-1.2×4)0.68×1.9+0.32×1.948.10.15-10.75×0.4-5.749.5.8×(3.87-0.13)+4.2×3.7450.32.52-(6+9.728÷3.2)×2.551.[(7.1-5.6)×0.9-1.15] ÷2.552.5.4÷[2.6×(3.7-2.9)+0.62]53.12×6÷(12-7.2)-6 (4)12×6÷7.2-6102×(-4.5)-(-3)×(-5) ÷27.8×6.9+2.2×6.9(-2)+2-(-52)×(-1) ×5+87÷(-3)×(-1)5.6×0.258×(20-1.25)(-7.1) ×〔(-3)×(-5)〕÷2 -2.5×(-4.8)×(0.09)÷(-0.27) 127+352+73+44×(-2)89×276+(-135)-3325×71+75÷29 -88÷(-2)243+89+111+579405-2940÷28×21920-1680÷40÷7690+47×52-398148+3328÷64-75360×24÷32+7302100-94+48×5451+(2304-2042)×234215+(4361-716)÷81(247+18)×27÷2536-720÷(360÷18)1080÷(63-54)×80(528+912)×5-61788528÷41×38-904264+318-8280÷69(174+209)×26- (9000^0)814-(278+322)÷151406+735×9÷453168-7828÷38+504796-5040÷(630÷7)285+(3000-372)÷361+5/6-19/123x(-9)+7x(-9)(-54)x1/6x(-1/3)1.18.1+(3-0.299÷0.23)×12.(6.8- 6.8×0.55)÷8.53.0.12×4.8÷0.12×4.843.2×1.5+2.5÷(-1.6)(-2)×3.2×(1.5+2.5)÷1.6 5.6-1.6÷4+(6.8-9)5.38+7.85- 5.37÷896.7.2÷0.8-1.2×56-1.19×3-0.437.6.5×(4.8-1.2×4)0.68×1.9+0.32×1.98.10.15-10.75×0.4-5.79.5.8×(3.87-0.13)(-8.01)+4.2×3.7410.32.52-(6+9.728÷3.2)×2.511.[(7.1-5.6)×0.9-1.15] ÷2.512.5.4÷[2.6×(3.7-2.9)+0.62]13.12×6÷(12-7.2)-614.12×6÷7.2-615.33.02-(148.4-90.85)÷2.5 (-5)-252×(-78)(-6) ×(-2)+3÷(5+50)7-7+3-6-(-90)(-8)(-3)×(-8)×25(7+13) ÷(-616)÷(-28)(8+14-100-27)÷4(-15) ÷(-1)-101÷1016÷0.21×(-8) ×(4.1+5.9)(-10) ×(-2) ×4÷{-9÷[6+(-5.67)]} (-18)(-4)2×[8.01×(-3.14)9-32{-890-[79+8.1] ×9}(-20)-23+(-9) ×9.42(-24)3.4×104÷(-5) ×200.96[-|98|+76+(-87)]*23[56+(-75)-(7)]-(8+4+3) 5+21*8/2-6-5968/21-8-11*8+61-2/9-7/9-564.6-(-3/4+1.6-4-3/4)1/2+3+5/6-7/12[2/3-4-1/4*(-0.4)]/1/3+222+(-4)+(-2)+4*3-2*8-8*1/2+8/1/8(2/3+1/2)/(-1/12)*(-12)(-28)/(-6+4)+(-1) +√92/(-2)+0/7-(-8)*(-2)(1/4-5/6+1/3+2/3)/1/218-6/(-3)*(-2) ×2^7(5+3/8*8/30/(-2)- √36(-84)/2*(-3)/(-6)1/2*(-4/15)/2/31+2+3+4+......+1000001/1+1/2+1/3+......1/501+1/2+1/4+1/8+1/16+......1/5123+9+27+81+243+ (9999)1+1/2+1/6+1/12+1/20+1/30+1/42+1/56+1/72+1/90 8-2×32-(-2×3)2–12 × (-3)2-(-1/2)2003×(-2)2002÷2/9 (0.5-3/2)÷3/1×[-2-(-3)3]-∣1/8-0.52∣[-38-(-1)7+(-3)8]×-53a^3-2b^3+ab(2a-b)-√a-b^215*(-8)+2b^2+(x^2+y^2)^2-4y(x^2+y^2)+4y^26-3a^8-(-5^2-6)(x^2+2x)^2+3(x^2+2x)+x^2+2x+3(a+1)(a+2)+(2a+1)(a-2)-12x^2(y+z)^2-2xy(x-z)(y+z)+y^2(x-z)^23(a+2)^2+28(a+2)-20(a+b)^2-(b-c)^2+a^2-c^28x(x+1)(x^2+x-1)-2x^2(x-1)^2-3(x^2-x)-5614a(a-b)+(a-b)^211.-ab(a-b)^+a(b-a)^212.3(x+2)-2x=5-4x13.5(x+2a)-a=2(b-2x)+4a3.14*3.42 (2)972*3.14*1/4[-|98|+76+(-87)]*23[56+(-75)-(7)]-(8+4+3) 5+21*8/2-√121-5968/21-8-11*8+61-2/9-7/9-564.6-(-3/4+1.6-4-3/4)1/2+3+5/6-7/12[2/3-4-1/4*(-0.4)]/1/3+222+(-4)+(-2)+4*3-2*8-8*1/2+8/1/8(2/3+1/2)/(-1/12)*(-12)(-28)/(-6+4)+(-1)2/(-2)+0/7-(-8)*(|-2|-5^4)(1/3+2/3)/1/2-|-9+(-5)|18-6/(-3)*(-2)-|-9|(5+3/8*8/30/(-2)-3(-84)/2*(-3)/(-6)1/2*(-4/15)/2/3|-3x+2y-5x-7y|-|-9x+2y|-5+21*8/2-6-5968/21-8-11*8+61-2/9-7/9-564.6-(-3/4+1.6-4-3/4)1/2+3+5/6-7/12[2/3-4-1/4*(-0.4)]/1/3+222+(-4)+(-2)+4*3-√64-5^2 -2*8-8*1/2+8/1/8(2/3+1/2)/(-1/12)*(-12)(-28)/(-6+4)+(-1)2/(-2)+0/7-(-8)*(-2)(1/4-5/6+1/3+2/3)/1/218-6/(-3)*(-2)(5+3/8*8/30/(-2)-3(-84)/2*(-3)/(-6)1/2*(-4/15)/2/3+√9-3x+2y-5x-7y+-5+21*8/2-6-5968/21-8-11*8+61-2/9-7/9-564.6-(-3/4+1.6-4-3/4)1/2+3+5/6-7/12[2/3-4-1/4*(-0.4)]/1/3+222+(-4)+(-2)+4*3-2*8-8*1/2+8/1/8(2/3+1/2)/(-1/12)*(-12) (-28)/(-6+4)+(-1)2/(-2)+0/7-(-8)*(-2)(1/4-5/6+1/3+2/3)/1/218-6/(-3)*(-2)(5+3/8*8/30/(-2)-3(-84)/2*(-3)/(-6)1/2*(-4/15)/2/3-3x+2y-5x-7y-(-3^2+5^7) -1+2-3+4-5+6-7+√9-50-28+(-24)-(-22)-19.8-(-20.3)-(+20.2)-10.8;0.25- +(-1 )-(+3 ).-1-23.33-(+76.76)1-2*2*2*2-5^2+(6^2-5^2) (-6-24.3)-(-12+9.1)+(0-2.1) -1+8-7+5^7-(-5+√9) 125*3+125*5+25*3+25 9999*3+101*11*(101-92) (23/4-3/4)*(3*6+2)3/7 × 49/9 - 4/38/9 × 15/36 + 1/2712x*5/6y–2/9y*|3x-2y|8×5/4+1/4*|-7-8|6÷ 3/8 –3/8 ÷64/7 × 5/9 + 3/7 × 5/95/2 -( 3/2 + 4/5 )7/8 + ( 1/8 + 1/9 )9 × 5/6 + 5/63/4 × 8/9 - 1/37 × 5/49 + 3/146 ×( 1/2 + 2/3 )8 × 4/5 + 8 × 11/531 × 5/6 – 5/69/7 - ( 2/7 – 10/21 )5/9 × 18 –14 × 2/74/5 × 25/16 + 2/3 × 3/4 14 × 8/7 –5/6 × 12/15 17/32 –3/4 × 9/243^45 × 2/9 + 1/35/7 × 3/25 + 3/73/14 ×2/3 + 1/61/5 × 2/3 + 5/65/3 × 11/5 + 4/39/22+1/11÷1/2-√16945^8 × 2/3 + 1/3 × 157/19 + 12/19 × 5/61/4 + 3/4 ÷ 2/38/7 × 21/16 + 1/2101^4×(-1/5–1/5×21)50+√160÷40^5120-144÷18+35347+45×2-4160÷5237^2(58+37)÷(64-9×5)95÷(64-45)178-145÷5×6+42812-700÷(9+31×11)85+14×(14+208÷26)120-36×4÷18+35(58+37)÷(64-9×5)(6.8- 6.8×0.55)÷8.50.12× 4.8÷0.12×4.8(3.2×1.5+2.5)÷1.66-1.6÷4= 5.38+7.85-5.37=7.2÷0.8-1.2×5= 6-1.19×3-0.43= 6.5×(4.8-1.2×4)=5.8×(3.87-0.13)+4.2×3.74 32.52-(6+9.728÷3.2)×2.5[(7.1-5.6)×0.9-1.15] ÷2.5 5.4÷[2.6×(3.7-2.9)+0.62] 12×6÷(12-7.2)-612×6÷7.2-60.68×1.9+0.32×1.958+370)÷(64-45)420+580-64×21÷28136+6×(65-345÷23)15-10.75×0.4-5.718.1+(3-0.299÷0.23)×1 (6.8- 6.8×0.55)÷8.50.12× 4.8÷0.12×4.8(3.2×1.5+2.5)÷1.63.2×6+(1.5+2.5)÷1.60.68×1.9+0.32×1.910.15-10.75×0.4-5.75.8×(3.87-0.13)+4.2×3.74 32.52-(6+9.728÷3.2)×2.5 [(7.1-5.6)×0.9-1.15] ÷2.5 5.4÷[2.6×(3.7-2.9)+0.62] 12×6÷(12-7.2)-612×6÷7.2-633.02-(148.4-90.85)÷2.5 76.(25%-695%-12%)*367/4*3/5+3/4*2/51-1/4+8/9/7/97+1/6/3/24+2/218/15*3/53/4/9/10-1/68/3+1/2)/5/6-1/3]/1/79/5+3/5/2+3/48^6(2-2/3/1/2)]*2/58+5268.32-25693+456-52*887.5%+63258/2+1/3+1/489+456-785%+. 3/7 × 49/9 - 4/3 9 × 15/36 + 1/272× 5/6 –2/9 ×33× 5/4 + 1/494÷ 3/8 –3/8 ÷695/7 × 5/9 + 3/7 × 5/9 6/2 -( 3/2 + 4/5 )8 + ( 1/8 + 1/9 )8 × 5/6 + 5/61/4 × 8/9 - 1/310× 5/49 + 3/141.5 ×( 1/2 + 2/3 )2/9 × 4/5 + 8 × 11/5 3.1 × 5/6 – 5/64/7 - ( 2/7 – 10/21 )19 × 18 –14 × 2/75 × 25/16 + 2/3 × 3/4 4 × 8/7 –5/6 × 12/15 7/32 –3/4 × 9/242/3÷1/2-1/4×2/52-6/13÷9/26-2/32/9+1/2÷4/5+3/810÷5/9+1/6×41/2×2/5+9/10÷9/205/9×3/10+2/7÷2/51/2+1/4×4/5-1/83/4×5/7×4/3-1/223-8/9×1/27÷1/2718×5/6+2/5÷411/2+3/4×5/12×4/58/9×3/4-3/8÷3/45/8÷5/4+3/23÷9/11 1.2×2.5+0.8×2.58.9×1.25-0.9×1.2512.5×7.4×0.89.9×6.4-(2.5+0.24)6.5×9.5+6.5×0.50.35×1.6+0.35×3.40.25×8.6×46.72-3.28-1.720.45+6.37+4.555.4+6.9×3-(25-2.5)2×41846-620-3804.8×46+4.8×540.8+0.8×2.51.25×3.6×8×2.5-12.5×2.4 28×12.5-12.5×2023.65-(3.07+3.65)(4+0.4×0.25)8×7×1.25 1.65×99+1.6527.85-(7.85+3.4)48×1.25+50×1.25×0.2×8 7.8×9.9+0.78(1010+309+4+681+6)×123×9146×782×6×8545.15×7/8+6.1-0.606253/7 × 49/9 - 4/38/9 × 15/36 + 1/2712× 5/6 –2/9 ×38× 5/4 + 1/46÷ 3/8 –3/8 ÷64/7 × 5/9 + 3/7 × 5/95/2 -( 3/2 + 4/5 )7/8 + ( 1/8 + 1/9 )9 × 5/6 + 5/63/4 × 8/9 - 1/37 × 5/49 + 3/146 ×( 1/2 + 2/3 )8 × 4/5 + 8 × 11/531 × 5/6 – 5/69/7 - ( 2/7 – 10/21 )5/9 × 18 –14 × 2/74/5 × 25/16 + 2/3 × 3/4 14 × 8/7 –5/6 × 12/15 17/32 –3/4 × 9/243 × 2/9 + 1/35/7 × 3/25 + 3/73/14 × 2/3 + 1/61/5 × 2/3 + 5/69/22 + 1/11 ÷ 1/25/3 × 11/5 + 4/345 × 2/3 + 1/3 × 157/19 + 12/19 × 5/61/4 + 3/4 ÷ 2/38/7 × 21/16 + 1/2101 × 1/5 –1/5 × 2150+160÷40 (58+370)÷(64-45)120-144÷18+35347+45×2-4160÷52(58+37)÷(64-9×5)95÷(64-45)178-145÷5×6+42 420+580-64×21÷28812-700÷(9+31×11)(136+64)×(65-345÷23)85+14×(14+208÷26)(284+16)×(512-8208÷18)120-36×4÷18+35(58+37)÷(64-9×5)(6.8- 6.8×0.55)÷8.50.12× 4.8÷0.12×4.8(3.2×1.5+2.5)÷1.63.2×(1.5+2.5)÷1.66-1.6÷4= 5.38+7.85-5.37=7.2÷0.8-1.2×5= 6-1.19×3-0.43=6.5×(4.8-1.2×4)= 0.68×1.9+0.32×1.9 10.15-10.75×0.4-5.75.8×(3.87-0.13)+4.2×3.7432.52-(6+9.728÷3.2)×2.5[(7.1-5.6)×0.9-1.15] ÷2.55.4÷[2.6×(3.7-2.9)+0.62]12×6÷(12-7.2)-6 (4)12×6÷7.2-6 102^2×4.5+8^5-√5297.8×6.9+2.2×6.95.6×0.258×(20-1.25)127+352+73+4489+276+135+3325+71+75+29 +88243+89+111+579405-2940÷28×21920-1680÷40÷7690+47×52-398148+3328÷64-75360×24÷32+7302100-94+48×5451+(2304-2042)×234215+(4361-716)÷81(247+18)×27÷2536-720÷(360÷18)1080÷(63-54)×80(528+912)×5-61788528÷41×38-904264+318-8280÷69(174+209)×26- 9000814-(278+322)÷151406+735×9÷453168-7828÷38+504796-5040÷(630÷7)285+(3000-372)÷361+5/6-19/123x(-9)+7x(-9(-54)x1/6x(-1/3)18.1+(3-0.299÷0.23)×1 (6.8- 6.8×0.55)÷8.50.12× 4.8÷0.12×4.8(3.2×1.5+2.5)÷1.63.2×(1.5+2.5)÷1.65.6-1.6÷45.38+7.85-5.377.2÷0.8-1.2×56-1.19×3-0.436.5×(4.8-1.2×4)0.68×1.9+0.32×1.9115-10.75×0.4-5.75.8×(3.87-0.13)+4.2×3.7432.52-(6+9.728÷3.2)×2.5 [(7.1-5.6)×0.9-1.15] ÷2.5 5.4÷[2.6×(3.7-2.9)+0.62] 12×6÷(12-7.2)-612×6÷7.2-633.02-(148.4-90.85)÷2.5二.解方程2x=7(x-5)8(3x+3)=2404.74+4x-2.5x=8.1(2.81+x)÷2.81=115x-30=16(x-2)(-3)^3-3^3(-1)^2-5.62^2+3^3-4^4(2^4-3^2)^3-5^5[(1.6^2-2^3)-2.1]^2(5.66×2)^2-15^2(-15)^x=225,x=?[(-4)^2-4^2]×2^2[(-5.6)^2+3]^2[5.6^2+(- 5.6)^2]×(-1)^23x+28-x=561.5x+6=3.752(3.6x+2.8)=-1.69.5x+9.5=1918(x-35)=-36x+7-(-36+8^2)/2=8+7^4/3a-7-98+7a=3.2*5a89/2+35/6x=3*9+2^3/5+7x3X+189/3=521/24Y+119*^3=22/113X*189=5*4^5/38Z/6=458/53X+77=594Y-6985=8187X*13=57Z/93=4115X+863-65X=5458Y*55=274897(2x-1)-3(4x-1)=4(3x+2)-1(5y+1)+ (1-y)= (9y+1)+ (1-3y) [-6(-7^4*8)-4]=x+220%+(1-20%)(320-x)=320×40% 2(x-2)+2=x+12(x-2)-3(4x-1)=9(1-x)11x+64-2x=100-9x15-(8-5x)=7x+(4-3x)3(x-7)-2[9-4(2-x)]=223/2[2/3(1/4x-1)-2]-x=22x+7^2=1571)判断题:判断下列方程是否是一元一次方程:①-3x-6x2=7( )③5x+1-2x=3x-2 ( )④3y-4=2y+1. ( )判断下列方程的解法是否正确:①解方程3y-4=y+3解:3y-y=3+4,2y=7,y=3.5②解方程:0.4x-3=0.1x+2解:0.4x+0.1x=2-3;0.5x=-1,x=-2③解方程解:5x+15-2x-2=10,3x=-3,x=-1;④解方程解:2x-4+5-5x=-1,-3x=-2,x= .( )2)填空题:(1)若2(3-a)x-4=5是关于x的一元一次方程,则a≠_ (2)关于x的方程ax=3的解是自然数,则整数a的值为_ (3)方程5x-2(x-1)=17 的解是_(4)x=2是方程2x-3=m- 的解,则m=_ .(5)若-2x2-5m+1=0 是关于x的一元一次方程,则m=_ . (6)当y=_ 时,代数式5y+6与3y-2互为相反数.(7)当m=_ 时,方程的解为0.(8)已知a≠0.则关于x的方程3ab-(a+b)x=(a-b)x的解为______ .3)选择题:(1)方程ax=b的解是().A.有一个解x= B.有无数个解C.没有解 D.当a≠0时,x=(2)解方程 ( x-1)=3,下列变形中,较简捷的是()A.方程两边都乘以4,得3( x-1)=12B.去括号,得x- =3C.两边同除以,得 x-1=4D.整理,得(3)方程2- 去分母得()A.2-2(2x-4)=-(x-7)B.12-2(2x-4)=-x-7C.12-2(2x-4)=-(x-7)D.以上答案均不对(4)若代数式比大1,则x的值是().A.13 B. C.8 D.(5)x=1.5是方程()的解.A.4x+2=2x-(-2-9)B.2{3[4(5x-1)-8]-2}=8C.4x+9 =6x+64)解答下列各题:(1)x等于什么数时,代数式的值相等?(2)y等于什么数时,代数式的值比代数式的值少3?(3)当m等于什么数时,代数式2m- 的值与代数式的值的和等于5?(4)解下列关于x的方程:①ax+b=bx+a;(a≠b);三.化简、化简求值化间求值:1、-9(x-2)-y(x-5)(1)化简整个式子。
初中数学计算题(200道) 实用文档1.5乘以-9减去12除以-456除以-7减去2除以5加0.43.57乘以29除以-45.6除以-2.8减去-50除以29.6减去7.3)乘以(-5减去-7)12.3除以(5.6减去1.2)75.6除以(1/4加1/5)9.5乘以-9.5除以1/295.77除以-2减去-34.651.88除以2减去-5乘以241.25乘以-3加70乘以-5加5乘以-3加25 9999乘以3加101乘以11乘以(101减去92) 23/4减去3/4)乘以(3乘以6加2)3/7乘以49/9减4/38/9乘以15/36加1/2712乘以5/6减2/9乘以38乘以5/4加1/46除以3/8减去3/8除以64/7乘以5/9加3/7乘以5/9 5/2减去(3/2加4/5)7/8加(1/8加1/9)9乘以5/6加5/63/4乘以8/9减1/37乘以5/49加3/146乘以(1/2加2/3)8乘以4/5加8乘以11/5 31乘以5/6减5/69/7减去(2/7减去10/21)5/9乘以18减14乘以2/74/5乘以25/16加2/3乘以3/4 14乘以8/7减5/6乘以12/15 17/32减去3/4乘以9/243乘以2/9加1/35/7乘以3/25加3/73/14乘以2/3加1/61/5乘以2/3加5/69/22加1/11除以1/25/3乘以11/5加4/345乘以2/3加1/3乘以157/19加12/19乘以5/61/4加3/4除以2/38/7乘以21/16加1/2101乘以1/5减1/5乘以2150加160除以40120减144除以18加35347加45乘以2减4160除以5237乘以(58加37)除以(64减去9乘以5)已做95除以(64减去45)178减去145除以5乘以6加42812减去700除以(9加31乘以11) 85加14乘以(14加208除以26) 120减去36乘以4除以18加35 58加37)除以(64减去9乘以5) 6.8减去6.8乘以0.55)除以8.5标准文案实用文档1.5乘以-9减去12除以-456除以-7减去2除以5加0.43.57乘以29除以-45.6除以-2.8减去-50除以29.6减去7.3)乘以(-5减去-7)12.3除以(5.6减去1.2)75.6除以(1/4加1/5)9.5乘以-9.5除以1/295.77除以-2减去-34.651.88除以2减去-5乘以241.25乘以-3加70乘以-5加5乘以-3加25 9999乘以3加101乘以11乘以(101减去92) 23/4减去3/4)乘以(3乘以6加2)3/7乘以49/9减4/38/9乘以15/36加1/2712乘以5/6减2/9乘以3 8乘以5/4加1/46除以3/8减去3/8除以6 4/7乘以5/9加3/7乘以5/9 5/2减去(3/2加4/5)7/8加(1/8加1/9)9乘以5/6加5/63/4乘以8/9减1/37乘以5/49加3/146乘以(1/2加2/3)8乘以4/5加8乘以11/531乘以5/6减5/69/7减去(2/7减去10/21)5/9乘以18减14乘以2/74/5乘以25/16加2/3乘以3/4 14乘以8/7减5/6乘以12/15 17/32减去3/4乘以9/243乘以2/9加1/35/7乘以3/25加3/73/14乘以2/3加1/61/5乘以2/3加5/69/22加1/11除以1/25/3乘以11/5加4/345乘以2/3加1/3乘以15 7/19加12/19乘以5/61/4加3/4除以2/38/7乘以21/16加1/2101乘以1/5减1/5乘以2150加160除以40120减144除以18加35347加45乘以2减4160除以5237乘以(58加37)除以(64减去9乘以5)已做95除以(64减去45)178减去145除以5乘以6加42812减去700除以(9加31乘以11)85加14乘以(14加208除以26)120减去36乘以4除以18加3558加37)除以(64减去9乘以5)6.8减去6.8乘以0.55)除以8.5标准文案18.1 + (3 - 0.299 ÷ 0.23) × 1 6.8 - 6.8 × 0.55) ÷ 8.50.12 × 4.8 ÷ 0.12 × 4.83.2 × 6 + (1.5 + 2.5) ÷ 1.60.68 × 1.9 + 0.32 × 1.910.15 - 10.75 × 0.4 - 5.75.8 × (3.87 - 0.13) + 4.2 × 3.74 32.52 - (6 + 9.728 ÷ 3.2) × 2.5 7.1 - 5.6) × 0.9 - 1.15] ÷ 2.5 5.4 ÷ [2.6 × (3.7 - 2.9) + 0.62] 12 × 6 ÷ (12 - 7.2) - 612 × 6 ÷ 7.2 - 633.02 - (148.4 - 90.85) ÷ 2.576.25% - 695% - 12%) × 3677 ÷ 4 × 3 ÷ 5 + 3 ÷ 4 × 2 ÷ 5 81/36 + 2/211/10 × 9/53/4 ÷ 9/10 - 1/61/3 + 1/2) ÷ 5/6 - 1/3 ÷ 1/7 3/5 + 3/10 + 3/42 - 2/3 ÷ 1/2) × 2/5 5268.32 - 256986.3 + 456 - 52 × 85% + 3/7 × 49/9 - 4/39 × 5/12 + 1/272 × 5/6 - 2/9 × 33 × 5/4 + 1/494 ÷ 3/8 - 3/8 ÷ 65/9 + 3/96/2 - (3/2 + 4/5)8 + (1/8 + 1/9)8 × 5/6 + 5/6 = 8 5/61/4 × 8/9- 1/3 = 1/910 × 5/49 + 3/14 = 13/98 1.5×(1/2 + 2/3)= 2.252/9×4/5 + 8×11/5 = 94/45 3.1 × 5/6 –5/6 = 2.354/7 -(2/7–10/21)= 4/2119 × 18 –14 × 2/7 = 332 4/75 × 25/16 + 2/3 × 3/4 = 27/44 × 8/7 –5/6 × 12/15 = 46/217/32–3/4 × 9/24 = -67/1922/3÷1/2-1/4×2/5 = 5/62-6/13÷9/26-2/3 = -2 79/338 2/9+1/2÷4/5+3/8 = 67/9010÷5/9+1/6×4 = 46/31/2×2/5+9/10÷9/20 = 1/25/9×3/10+2/7÷2/5 = 31/1261/2+1/4×4/5-1/8 = 5/83/4×5/7×4/3-1/2 = 5/1423-8/9×1/27÷1/27 = 238×5/6+2/5÷4 = 33/101/2+3/4×5/12×4/5 = 11/208/9×3/4-3/8÷3/4 = 11/245/8÷5/4+3/23÷9/11 = 1/21.2×2.5+0.8×2.5 =3.58.9×1.25-0.9×1.25 = 1012.5×7.4×0.8 = 749.9×6.4-(2.5+0.24)= 60.16 27)6.5×9.5+6.5×0.5 = 1794.5 0.35×1.6+0.35×3.4 = 0.9450.25×8.6×4 = 8.66.72-3.28-1.72 = 1.720.45+6.37+4.55 = 11.375.4+6.9×3-(25-2.5)= 16.22×-620-380 =4.8×46+4.8×54 = 5040.8+0.8×2.5 = 21.25×3.6×8×2.5-12.5×2.4 = 71.5 28×12.5-12.5×20 = 25023.65-(3.07+3.65)= 16.934+0.4×0.25)8×7×1.25 = 70 1.65×99+1.65 = 163.3527.85-(7.85+3.4)= 16.648×1.25+50×1.25×0.2×8 = 170 7.8×9.9+0.78 = 77.221010+309+4+681+6)×12 =3×9146×782×6×854 = 1.4×10^115.15×7/8+6.1-0. = 10.3/7 × 49/9- 4/3 = -11/218/9 × 15/36 + 1/27 = 7/5412× 5/6 –2/9 ×3 = 19 7/188× 5/4 + 1/4 = 116÷ 3/8 –3/8 ÷6 = 5 5/84/7 × 5/9 + 3/7× 5/9 = 1/25/2 -(3/2 + 4/5)= 9/107/8 +(1/8 + 1/9)= 29/369.9 × 5/6 + 5/6 = 10.453/4 × 8/9- 1/3 = 1/91.(-2)+2-(-52)×(-1) ×5+87÷(-3)×(-1)改写为:计算表达式:(-2)+2-(-52)×(-1) ×5+87÷(-3)×(-1)2.5.6×0.258×(20-1.25)改写为:计算表达式:5.6×0.258×(20-1.25)3.(-7.1)×〔(-3)×(-5)〕÷2改写为:计算表达式:(-7.1)×〔(-3)×(-5)〕÷24.-2.5×(-4.8)×(0.09)÷(-0.27)改写为:计算表达式:-2.5×(-4.8)×(0.09)÷(-0.27)5.127+352+73+44×(-2)改写为:计算表达式:127+352+73+44×(-2)6.89×276+(-135)-33改写为:计算表达式:89×276+(-135)-337.25×71+75÷29-88÷(-2)改写为:计算表达式:25×71+75÷29-88÷(-2)8.243+89+111+57改写为:计算表达式:243+89+111+579.9405-2940÷28×21改写为:计算表达式:9405-2940÷28×2110.920-1680÷40÷7改写为:计算表达式:920-1680÷40÷711.690+47×52-398改写为:计算表达式:690+47×52-39812.148+3328÷64-75改写为:计算表达式:148+3328÷64-7513.360×24÷32+730改写为:计算表达式:360×24÷32+73014.2100-94+48×54改写为:计算表达式:2100-94+48×5415.51+(2304-2042)×23改写为:计算表达式:51+(2304-2042)×2316.4215+(4361-716)÷81改写为:计算表达式:4215+(4361-716)÷8117.(247+18)×27÷25改写为:计算表达式:(247+18)×27÷2518.36-720÷(360÷18)改写为:计算表达式:36-720÷(360÷18)19.1080÷(63-54)×80改写为:计算表达式:1080÷(63-54)×8020.(528+912)×5-6178改写为:计算表达式:(528+912)×5-617821.8528÷41×38-904改写为:计算表达式:8528÷41×38-90422.264+318-8280÷69改写为:计算表达式:264+318-8280÷69 23.796-5040÷(630÷7)改写为:计算表达式:796-5040÷(630÷7)24.285+(3000-372)÷36改写为:计算表达式:285+(3000-372)÷3625.1+5/6-19/12改写为:计算表达式:1+5/6-19/1226.3x(-9)+7x(-9)改写为:计算表达式:3x(-9)+7x(-9)27.(-54)x1/6x(-1/3)改写为:计算表达式:(-54)x1/6x(-1/3)28.1.18.1+(3-0.299÷0.23)×1改写为:计算表达式:1.18.1+(3-0.299÷0.23)×129.2.(6.8-6.8×0.55)÷8.5改写为:计算表达式:2.(6.8-6.8×0.55)÷8.530.0.12× 4.8÷0.12×4.84改写为:计算表达式:0.12× 4.8÷0.12×4.8431.3.2×1.5+2.5÷(-1.6)改写为:计算表达式:3.2×1.5+2.5÷(-1.6)32.(-2)×3.2×(1.5+2.5)÷1.6改写为:计算表达式:(-2)×3.2×(1.5+2.5)÷1.633.5.6-1.6÷4+(6.8-9)改写为:计算表达式:5.6-1.6÷4+(6.8-9)34.5.38+7.85-5.37÷89改写为:计算表达式:5.38+7.85-5.37÷8935.6.7.2÷0.8-1.2×5改写为:计算表达式:6.7.2÷0.8-1.2×536.6-1.19×3-0.43改写为:计算表达式:6-1.19×3-0.4337.6.5×(4.8-1.2×4)改写为:计算表达式:6.5×(4.8-1.2×4)38.0.68×1.9+0.32×1.9改写为:计算表达式:0.68×1.9+0.32×1.939.10.15-10.75×0.4-5.7改写为:计算表达式:10.15-10.75×0.4-5.740.5.8×(3.87-0.13)改写为:计算表达式:5.8×(3.87-0.13)41.(-8.01)+4.2×3.74改写为:计算表达式:(-8.01)+4.2×3.7442.32.52-(6+9.728÷3.2)×2.5改写为:计算表达式:32.52-(6+9.728÷3.2)×2.5 43.[(7.1-5.6)×0.9-1.15]÷2.5改写为:计算表达式:[(7.1-5.6)×0.9-1.15]÷2.544.5.4÷[2.6×(3.7-2.9)+0.62]改写为:计算表达式:5.4÷[2.6×(3.7-2.9)+0.62]45.12×6÷(12-7.2)-6改写为:计算表达式:12×6÷(12-7.2)-646.12×6÷7.2-6改写为:计算表达式:12×6÷7.2-647.33.02-(148.4-90.85)÷2.5改写为:计算表达式:33.02-(148.4-90.85)÷2.548.(-5)-252×(-78)改写为:计算表达式:(-5)-252×(-78)6)×(-2)+3÷(5+50) = 12 + 3/557-7+3-6-(-90) = 778)(-3)×(-8)×25 = 48007+13)÷(-616)÷(-28) = 1/8+14-100-27)÷4 = -26/4 = -13/2 15)÷(-1)-101÷10 = 15-10.1 = 4.916÷0.21×(-8)×(4.1+5.9) = -54410)×(-2)×4÷{-9÷[6+(-5.67)]} = 320/3 18)(-4)2×[8.01×(-3.14)] = 7257.129-32{-890-[79+8.1]×9} = -20)-23+(-9)×9.42 = -113.9824)3.4×104÷(-5)×200.96 = .298|+76+(-87)]×23/[56+(-75)-(7)]-(8+4+3)×5+21×8/2-6-59 = -3768/21-8-11×8+61 = -5/212/9-7/9-56 = -559/814.6-(-3/4+1.6-4-3/4) = 12.11/2+3+5/6-7/12 = 3 1/42/3-4-1/4*(-0.4)]/1/3+2 = -7/622+(-4)+(-2)+4×3 = 282×8-8×1/2+8/1/8 = -19.52/3+1/2)/(-1/12)×(-12) = -1128)/(-6+4)+(-1)+√9 = -22/(-2)+0/7-(-8)×(-2) = -301/4-5/6+1/3+2/3)/1/2 = 1/1218-6/(-3)×(-2)×2^7 = 38645+3/8×8/30)/(-2)-√36 = -5/1284)/2×(-3)/(-6) = 211/2×(-4/15)/2/3 = -1/251+2+3+4+。
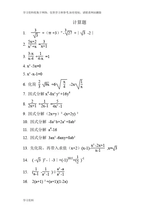
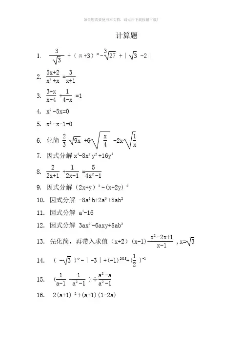
计算题1. 3 3 +(π+3)º-327 +∣ 3 -2∣2. 5x+2x ²+x =3x+13. 3-x x-4 +14-x =14. x ²-5x=05. x ²-x-1=06. 化简 239x +6x4-2x 1x7. 因式分解x 4-8x ²y ²+16y 48. 22x+1 +12x-1 =54x ²-19. 因式分解(2x+y )²-(x+2y) ² 10. 因式分解 -8a ²b+2a ³+8ab ² 11. 因式分解 a 4-1612. 因式分解 3ax ²-6axy+8ab ²13. 先化简,再带入求值(x+2)(x-1)-x ²-2x+1x-1 ,x= 3 14. ( - 3 )º-∣-3∣+(-1)2015+(12)-115. (1a-1 -1a ²-1 )÷a ²-aa ²-116. 2(a+1) ²+(a+1)(1-2a)17. (2x-1x+1 -x+1) ÷x-2x ²+2x+118. (-3-1) ×(- 32 )²-2-1÷(- 12 )³19. 12x-1 =243-21 x20. (x+1) ²-(x+2)(x-2) 21. sin60°-∣1- 3 ∣+(12 )-122.(-5)16×(-2)15(结果以幂的形式表示)23. 若n 为正整数且(m n)²=9,求(13 m 3n )³(m ²)2n24. 因式分解a ²+ac-ab-bc 25. 因式分解x ²-5x+6 26. 因式分解(x+2)(x+3)+x ²-4 27. 因式分解(a ²+1) ²-4a ² 28. -12016+18÷ (-3) ×∣-12∣29. 先化简,再求值3(x ²+xy-1)-(3x ²-2xy),其中x=1,y= - 1530. 计算3-4+5-(-6)-731. 计算-1²+(-4) ²×∣-18 ∣-8²÷(-4) ³32.计算 20-(-7)-∣-2∣33.计算(13 - 59 +1112 )×(-36)34.计算(-1)²- 14×[2- (-3) ²]35. 解二元一次方程组 x-2y=1 ① x+3y=6 ②36. 解二元一次方程组 2(x-y)3 - x+y 4 = - 112 ①5y-x=3 ②37. 解二元一次方程组 x+2y=6 ① 3x-2y=2 ② 38. 解不等式 3(x-1)>2x+239. 解不等式 3x+13 - 7x-35 ≤ 2+2(x-2)1540. 化简a(a-1) ²-(a+1)(a ²-a+1) 41. (a a-b +b b-a ) ÷1a+b42. 当m=1 5-2,求代数式m+1m43. (12 )-1 - ( 2 -1)º+∣-3∣+tan45º-cos60ºcos30º·tan60°44. 先化简再求值x²-5x+63x²-3x·(1-3x+1)·(1+2x-3),其中x= 345. 先化简再求值x-yy²-x²,其中x=-1,y=246. 解方程x²-3x=047. 6-(-2)²·2-1+(-3.14)º+3-8 +cos²45°48. 计算( 3 )²+4×(- 12)-2³49. 先化简,再求值(a+b)(a-b)+b(b-2),其中a= 2 ,b=-150. 计算 4 -(15+2)º+(-2)³÷3-151. 计算12-1- 3tan²30°+2(sin45°-1)²52. 化简[aa-b+b²a(b-a)]÷a+bab53. 计算- 2²+(3-3.14)º+3sin30°54. 计算(13)-1+(2006-π)º - 3 tan60°55. 计算2013-(π-3.14)º+∣-3∣+(-1)56.57.计算:﹣.58. 计算:.59. 计算:.60. 计算:.61. 计算:.62. (a ﹣2)2+4(a ﹣1)﹣(a+2)(a ﹣2) 63. (﹣1)2013﹣|﹣7|+×+()﹣1;64. .65. 计算:.66. 解方程:.67. 计算:.68. 解方程:=﹣. 69. 求不等式组的整数解. 70. 先化简,再求值:(﹣)÷,其中x=+1.71. 解方程:72.73. 先化简,再求值:÷+,其中x=2+1.74. 解方程:.75. 计算:.76. 计算:(1+)2013﹣2(1+)2012﹣4(1+)2011.77. 计算:.78. 计算:011821()2π-+--+ .79. 解方程组: 22220x y x xy y -=-⎧⎨--=⎩. 80. 计算:(﹣1)3+(+1)0+.81. 解不等式组:. 82. 先化简,再求值:÷(x+1﹣),其中x=﹣2.83. ∣-5∣+2²-( 3 +1)º 84. 2×(-5)+23-3÷1285. 22+(-1)4+(5-2)0-|-3| 86. ()()0332011422---+÷-87. a a ²-b² -a a-b ÷bb-a88. 2x x ²-4 - 1x-289. (a+b )2+b (a ﹣b ). 90. (a - 1a )÷a-1a91. 2111x x x -⎛⎫+÷ ⎪⎝⎭92. ⎝⎛⎭⎪⎪⎫1+ 1 x -2÷ x 2-2x +1 x 2-4,其中x =-5.93. (a ﹣1+)÷(a 2+1),其中a=﹣1.94. 2121(1)1a a a a++-⋅+,其中a 2-1.95.)252(423--+÷--a a a a , 1-=a 96. 化简求值: 111(11222+---÷-+-m m m m m m ),其中m =3.97. 化简2111x x x -⎛⎫+÷ ⎪⎝⎭98. 化简:xx x x x x x x x 416)44122(2222+-÷+----+, 其中22+=x99. 化简并求值:221122a b a b a a b a -⎛⎫--+ ⎪-⎝⎭,其中33a b =-=-.100. 计算:332141222+-+÷⎪⎭⎫ ⎝⎛---+a a a a a a a .101. 先化简,再求值:13x -·32269122x x x xx x x-+----,其中x =-6.102.先化简再求值:⎝⎛⎭⎪⎪⎫1-1a -1÷a 2-4a +4a 2-a ,其中a =2+ 2 .103. 先化简,再求值:a -1a +2·a 2+2a a 2-2a +1÷1a 2-1,其中a 为整数且-3<a <2.104. 先化简,再求值:222211yxy x x y x y x ++÷⎪⎪⎭⎫⎝⎛++-,其中1=x ,2-=y .105. 先化简,再求值:2222(2)42x x x x x x -÷++-+,其中12x =. 106.先化简,再求值222112()2442x x x x x x-÷--+-,其中2x =107. 22221(1)121a a a a a a +-÷+---+. 108.先化简再求值:1112421222-÷+--•+-a a a a a a ,其中a 满足20a a -=.109. 先化简:144)113(2++-÷+-+a a a a a ,并从0,1-,2中选一个合适的数作为a 的值代入求值。
(完整版)初中精选数学计算题200道4. x2-5x=05. x2-x-1=06. 化简3寸反+6、^言-2x7. 因式分解 x 4-8x2y2+16y 42 1 _ 5 8. 2x+1 +2x-1 =4x2-1 9. 因式分解(2x+y) 2 -(x+2y) 2 10. 因式分解-8a2b+2a3+8ab2 11. 因式分解a 4-161 14. ( -V3 )o- I -3 I +(-1)2015+(2 )-1计算题1.2. 5x+2 3 x2+x ~x+13.会+工=1 x-4 4-x 1* *12.因式分解3ax2-6axy+8ab213.先化简,再带入求值(x+2)x2-2x+1(x-1)-,x= 33 ,,118. (-3-1) X (- 2 )2-2-1 + (- 2 )320. (x+1) 2-(x+2)(x-2) — 1』21. sin60 - I 1-V 3 I + (2 ) -1 22.(-5) 16x (-2)15(结果以幕的形式表示)23. 若 n 为正整数且(m n ) 2 =9,求(1 m 3n ) 3 (m2)2n3 24. 因式分解 a2+ac-ab-bc 25. 因式分解 x2-5x+6 26. 因式分解(x+2)(x+3)+x 2-4 27. 因式分解(a2+1) 2-4a2 128. -12016+18 + (-3) X I -2 I17. 2x-1 (x+1 x-2 -x+1)/ x2+2x+1 19.1 2x-1 34x 2、一 134.计算(-1) 2 - 4 X [2- (-3) 2]35. 解二元一次方程组x-2y=136. 解二元一次方程组37. 解二元一次方程组38.39.40. 虹x+3y=6 2(x-y)3匚5y-x=3x+2y=6 I 3x-2y=2解不等式 3 (x-1) >2x+23x+1 7x-3 解不等式飞3x+y4122(x-2)5 v 20化简a(a-1) 2-(a+1)(a2-a+1)a 41. (a-b_b_+ b-a)1a+b一 - 142.当m*,求代数式1 m+一m143. (2 ) -1-(也-1) o + -3 Itan45o-cos60o+ cos30o tan60山x2-5x+6 44.先化简再求值总寂3.(1奇2)(1+x-3 ),其中x^/345-先化简再求值悬’其中x =-1,y =246. 解方程 x2-3x=047. 6-」(-2)2 - 2-1+ (-3.14) o+拒 +cos245148.计算(A /3 ) 2+4X (- 2 ) -2349.先化简,再求值(a+b) (a-b)+b(b-2),其中 a 淄 ,b=-1a b2 a+b52. 化间 [a-b +a(b-a) ] 无53. 计算-22+(3-3.14) o+3sin30 54.计算(1 ) -1+ (2006-兀)o - V3 tan60 355. 计算 2013-(兀-3.14) o+l-3 I + (-1) 56.157. 计算:-2斗1-3.14|+ (-洞2X 表)颂、3七、「苹 tan 疗 111-Vsl-(5兀+2013)。
初一数学解方程计算题及答案(100道)一、一元一次方程1. 2x + 3 = 5x - 7,x = 102. 6a - 8 = 10 + 2a,a = 33. 3b - 5 = 7 - 2b,b = 24. 4x + 9 = 25,x = 45. 5a - 7 = 23,a = 66. 7 - 3b = 22,b = -57. 2x - 8 = 14,x = 118. 4a + 12 = 36,a = 69. 5b - 3 = 22,b = 510. 3x - 4 = 17,x = 7二、一元二次方程11. x^2 + 4x + 3 = 0,x = -1 or -312. 3x^2 - 10x + 3 = 0,x = 1/3 or 313. 2x^2 + 7x + 3 = 0,x = -1/2 or -314. x^2 - 6x + 8 = 0,x = 2 or 415. 2x^2 - 11x + 5 = 0,x = 1/2 or 5/216. 3x^2 - 14x + 5 = 0,x = 1 or 5/317. x^2 + 5x + 4 = 0,x = -1 or -418. 2x^2 + 5x - 3 = 0,x = -1/2 or 3/219. x^2 - 2x + 1 = 0,x = 120. 4x^2 - 4x - 3 = 0,x = (2 + √7)/2 or (2 - √7)/2三、分式方程21. (x + 3)/5 - 3/4 = (x - 1)/10,x = -3/222. (2x + 3)/(x - 1) + 1/(x + 1) = 2,x = 223. (x + 2)/(x - 1) - (x - 1)/(x + 2) = (2x - 3)/(x^2 - 4),x = 1/2 or 7/324. 1/(x - 3) - 3/(2x + 1) = 1/(2x - 1),x = -5 or 7/425. (5x + 3)/(9x - 5) - (3x - 4)/(3 - x) = (4x^2 - 40)/(x^2 - 9x + 15),x = -2 or 2/3四、绝对值方程26. |x + 5| = 8,x = -13 or 327. |2x - 1| = 7,x = -3 or 428. |x - 2| = 1,x = 1 or 329. |3x + 4| = 13,x = -17/3 or 330. |x - 3| - 2 = 3x – 2,x = -1 or 13/7五、分段函数方程31. -3x + 2,x < 2;x + 1,x ≥ 2;x = 232. x + 2,x ≤ -2;-x + 7,-2 < x ≤ 3;-x + 4,x > 3;x = -2 or 333. 2x + 1,x < -2;x^2 + 2,-2 ≤ x < 1;-5x + 9,x ≥ 1;x = -2, -1/2, 134. -3,x ≤ -3;x + 2,-3 < x ≤ 0;-x^2 + 6x - 7,x > 0;x = -3 or 1, 535. -1,x ≤ -4;4 - x,-4 < x ≤ -1;-x^2 + 10x - 21,x > -1;x = -4 or 3, 7六、组合方程36. 3x - 5 = x + 7,x = 6;2x + 1 = 5,x = 2;x = 637. 4x - 7y = 10,y = (-4x + 10)/7;x + y = 4,x = 4 - y; y = (-4(4 - y) + 10)/7 = (18 - 4y)/7;y = 2,x = 238. x + y = 3,y = 3 - x;x^2 + y^2 = 13,x^2 + (3 - x)^2 = 13;2x^2 - 6x + 4 = 0;x = 1 or 2,y = 2 or 139. 3x - y = 7,y = 3x - 7;x^2 + y^2 = 50,x^2 + (3x - 7)^2 = 50;10x^2- 42x + 24 = 0;x = 1, 4,y = -4 or 540. 2x + 3y = 5,y = (5 - 2x)/3;x^2 + y^2 = 26,x^2 + (5 - 2x)^2/9 = 26;5x^2 - 30x + 32 = 0;x = 8/5 or 2,y = -1 or 3七、面积和周长方程41. 矩形的周长为20,面积为24,长和宽分别为6和4。
初中数学计算题(200道)(-1.5)×(-9)-12÷(-4)56÷(-7)-2÷5+0.43.57×29÷(-4)5.6÷(-2.8)-(-50)÷2[9.6+(-7.3)]×[(-5)-(-7)]12.3÷[5.6+(-1.2)](-75.6)÷(1/4+1/5)9.5×(-9.5)÷1/295.77÷(-2)+(-34.6)(-51.88)÷2-(-5)×241.25*(-3)+70*(-5)+5*(-3)+25 9999*3+101*11*(101-92)(23/4-3/4)*(3*6+2)3/7 × 49/9 - 4/38/9 × 15/36 + 1/2712× 5/6 – 2/9 ×38× 5/4 + 1/46÷ 3/8 – 3/8 ÷64/7 × 5/9 + 3/7 × 5/95/2 -( 3/2 + 4/5 )7/8 + ( 1/8 + 1/9 )9 × 5/6 + 5/63/4 × 8/9 - 1/37 × 5/49 + 3/146 ×( 1/2 + 2/3 )8 × 4/5 + 8 × 11/531 × 5/6 – 5/69/7 - ( 2/7 – 10/21 )5/9 × 18 – 14 × 2/74/5 × 25/16 + 2/3 × 3/4 14 × 8/7 – 5/6 × 12/15 17/32 – 3/4 × 9/243 × 2/9 + 1/35/7 × 3/25 + 3/73/14 × 2/3 + 1/61/5 × 2/3 + 5/69/22 + 1/11 ÷ 1/25/3 × 11/5 + 4/345 × 2/3 + 1/3 × 157/19 + 12/19 × 5/61/4 + 3/4 ÷ 2/38/7 × 21/16 + 1/2101 × 1/5 – 1/5 × 21 50+160÷40120-144÷18+35347+45×2-4160÷5237×(58+37)÷(64-9×5)95÷(64-45)178-145÷5×6+42812-700÷(9+31×11)85+14×(14+208÷26)120-36×4÷18+35(58+37)÷(64-9×5)(6.8-6.8×0.55)÷8.50.12× 4.8÷0.12×4.8(3.2×1.5+2.5)÷1.66-1.6÷4= 5.38+7.85-5.37=7.2÷0.8-1.2×5= 6-1.19×3-0.43= 6.5×(4.8-1.2×4)=5.8×(3.87-0.13)+4.2×3.74 32.52-(6+9.728÷3.2)×2.5 [(7.1-5.6)×0.9-1.15] ÷2.5 5.4÷[2.6×(3.7-2.9)+0.62]12×6÷(12-7.2)-612×6÷7.2-60.68×1.9+0.32×1.958+370)÷(64-45)420+580-64×21÷28136+6×(65-345÷23)15-10.75×0.4-5.718.1+(3-0.299÷0.23)×1 (6.8-6.8×0.55)÷8.50.12× 4.8÷0.12×4.8(3.2×1.5+2.5)÷1.63.2×6+(1.5+2.5)÷1.60.68×1.9+0.32×1.910.15-10.75×0.4-5.75.8×(3.87-0.13)+4.2×3.74 32.52-(6+9.728÷3.2)×2.5 [(7.1-5.6)×0.9-1.15] ÷2.5 5.4÷[2.6×(3.7-2.9)+0.62] 12×6÷(12-7.2)-612×6÷7.2-633.02-(148.4-90.85)÷2.576.(25%-695%-12%)*3677./4*3/5+3/4*2/578.1-1/4+8/9/7/979.+1/6/3/24+2/2180./15*3/581.3/4/9/10-1/682./3+1/2)/5/6-1/3]/1/783./5+3/5/2+3/484.(2-2/3/1/2)]*2/585.+5268.32-256986.3+456-52*887.5%+632588./2+1/3+1/489+456-785%+. 3/7 × 49/9 - 4/3 9 × 15/36 + 1/272× 5/6 – 2/9 ×33× 5/4 + 1/494÷ 3/8 – 3/8 ÷695/7 × 5/9 + 3/7 × 5/9 6/2 -( 3/2 + 4/5 )8 + ( 1/8 + 1/9 )8 × 5/6 + 5/61/4 × 8/9 - 1/310 × 5/49 + 3/141.5 ×( 1/2 + 2/3 )2/9 × 4/5 + 8 × 11/5 3.1 × 5/6 – 5/64/7 - ( 2/7 – 10/21 )19 × 18 – 14 × 2/75 × 25/16 + 2/3 × 3/4 4 × 8/7 – 5/6 × 12/15 7/32 – 3/4 × 9/242/3÷1/2-1/4×2/52-6/13÷9/26-2/32/9+1/2÷4/5+3/810÷5/9+1/6×41/2×2/5+9/10÷9/205/9×3/10+2/7÷2/51/2+1/4×4/5-1/83/4×5/7×4/3-1/223-8/9×1/27÷1/278×5/6+2/5÷41/2+3/4×5/12×4/58/9×3/4-3/8÷3/45/8÷5/4+3/23÷9/111.2×2.5+0.8×2.58.9×1.25-0.9×1.2512.5×7.4×0.89.9×6.4-(2.5+0.24)(27) 6.5×9.5+6.5×0.5 0.35×1.6+0.35×3.40.25×8.6×46.72-3.28-1.720.45+6.37+4.555.4+6.9×3-(25-2.5)2×41846-620-3804.8×46+4.8×540.8+0.8×2.51.25×3.6×8×2.5-12.5×2.4 28×12.5-12.5×2023.65-(3.07+3.65)(4+0.4×0.25)8×7×1.25 1.65×99+1.6527.85-(7.85+3.4)48×1.25+50×1.25×0.2×8 7.8×9.9+0.78(1010+309+4+681+6)×123×9146×782×6×8545.15×7/8+6.1-0.606253/7 × 49/9 - 4/38/9 × 15/36 + 1/2712× 5/6 – 2/9 ×38× 5/4 + 1/46÷ 3/8 – 3/8 ÷64/7 × 5/9 + 3/7 × 5/95/2 -( 3/2 + 4/5 )7/8 + ( 1/8 + 1/9 )9. 9 × 5/6 + 5/63/4 × 8/9 - 1/37 × 5/49 + 3/146 ×( 1/2 + 2/3 )8 × 4/5 + 8 × 11/531 × 5/6 – 5/69/7 - ( 2/7 – 10/21 )5/9 × 18 – 14 × 2/74/5 × 25/16 + 2/3 × 3/414 × 8/7 – 5/6 × 12/1517/32 – 3/4 × 9/243 × 2/9 + 1/35/7 × 3/25 + 3/73/14 × 2/3 + 1/61/5 × 2/3 + 5/69/22 + 1/11 ÷ 1/25/3 × 11/5 + 4/345 × 2/3 + 1/3 × 157/19 + 12/19 × 5/61/4 + 3/4 ÷ 2/38/7 × 21/16 + 1/2101 × 1/5 – 1/5 × 2150+160÷40 (58+370)÷(64-45)120-144÷18+35347+45×2-4160÷52(58+37)÷(64-9×5)95÷(64-45)178-145÷5×6+42 420+580-64×21÷28812-700÷(9+31×11)(136+64)×(65-345÷23)85+14×(14+208÷26)(284+16)×(512-8208÷18)120-36×4÷18+35(58+37)÷(64-9×5)(6.8-6.8×0.55)÷8.50.12× 4.8÷0.12×4.8(3.2×1.5+2.5)÷1.6 (2)3.2×(1.5+2.5)÷1.6 6-1.6÷45.38+7.85-5.377.2÷0.8-1.2×56-1.19×3-0.4347.6.5×(4.8-1.2×4)0.68×1.9+0.32×1.948.10.15-10.75×0.4-5.749.5.8×(3.87-0.13)+4.2×3.7450.32.52-(6+9.728÷3.2)×2.551.[(7.1-5.6)×0.9-1.15] ÷2.552.5.4÷[2.6×(3.7-2.9)+0.62]53.12×6÷(12-7.2)-6 (4)12×6÷7.2-6102×(-4.5)-(-3)×(-5) ÷27.8×6.9+2.2×6.9(-2)+2-(-52)×(-1) ×5+87÷(-3)×(-1)5.6×0.258×(20-1.25)(-7.1) ×〔(-3)×(-5)〕÷2-2.5×(-4.8)×(0.09)÷(-0.27) 127+352+73+44×(-2)89×276+(-135)-3325×71+75÷29 -88÷(-2)243+89+111+579405-2940÷28×21920-1680÷40÷7690+47×52-398148+3328÷64-75360×24÷32+7302100-94+48×5451+(2304-2042)×234215+(4361-716)÷81(247+18)×27÷2536-720÷(360÷18)1080÷(63-54)×80(528+912)×5-61788528÷41×38-904264+318-8280÷69(174+209)×26- (9000^0)814-(278+322)÷151406+735×9÷453168-7828÷38+504796-5040÷(630÷7)285+(3000-372)÷361+5/6-19/123x(-9)+7x(-9)(-54)x1/6x(-1/3)1.18.1+(3-0.299÷0.23)×12.(6.8-6.8×0.55)÷8.53.0.12×4.8÷0.12×4.843.2×1.5+2.5÷(-1.6)(-2)×3.2×(1.5+2.5)÷1.6 5.6-1.6÷4+(6.8-9)5.38+7.85-5.37÷896.7.2÷0.8-1.2×56-1.19×3-0.437.6.5×(4.8-1.2×4)0.68×1.9+0.32×1.98.10.15-10.75×0.4-5.79.5.8×(3.87-0.13)(-8.01)+4.2×3.7410.32.52-(6+9.728÷3.2)×2.511.[(7.1-5.6)×0.9-1.15] ÷2.512.5.4÷[2.6×(3.7-2.9)+0.62]13.12×6÷(12-7.2)-614.12×6÷7.2-615.33.02-(148.4-90.85)÷2.5(-5)-252×(-78)(-6) ×(-2)+3÷(5+50)7-7+3-6-(-90)(-8)(-3)×(-8)×25(7+13) ÷(-616)÷(-28)(8+14-100-27)÷4(-15) ÷(-1)-101÷1016÷0.21×(-8) ×(4.1+5.9)(-10) ×(-2) ×4÷{-9÷[6+(-5.67)]}(-18)(-4)2×[8.01×(-3.14)9-32{-890-[79+8.1] ×9}(-20)-23+(-9) ×9.42(-24)3.4×104÷(-5) ×200.96[-|98|+76+(-87)]*23[56+(-75)-(7)]-(8+4+3) 5+21*8/2-6-5968/21-8-11*8+61-2/9-7/9-564.6-(-3/4+1.6-4-3/4)1/2+3+5/6-7/12[2/3-4-1/4*(-0.4)]/1/3+222+(-4)+(-2)+4*3-2*8-8*1/2+8/1/8(2/3+1/2)/(-1/12)*(-12)(-28)/(-6+4)+(-1) +√92/(-2)+0/7-(-8)*(-2)(1/4-5/6+1/3+2/3)/1/218-6/(-3)*(-2) ×2^7(5+3/8*8/30/(-2)- √36(-84)/2*(-3)/(-6)1/2*(-4/15)/2/31+2+3+4+......+1000001/1+1/2+1/3+......1/501+1/2+1/4+1/8+1/16+......1/5123+9+27+81+243+ (9999)1+1/2+1/6+1/12+1/20+1/30+1/42+1/56+1/72+1/90 8-2×32-(-2×3)2–12 × (-3)2-(-1/2)2003×(-2)2002÷2/9 (0.5-3/2)÷3/1×[-2-(-3)3]-∣1/8-0.52∣[-38-(-1)7+(-3)8]×-53a^3-2b^3+ab(2a-b)-√a-b^215*(-8)+2b^2+(x^2+y^2)^2-4y(x^2+y^2)+4y^26-3a^8-(-5^2-6)(x^2+2x)^2+3(x^2+2x)+x^2+2x+3(a+1)(a+2)+(2a+1)(a-2)-12x^2(y+z)^2-2xy(x-z)(y+z)+y^2(x-z)^23(a+2)^2+28(a+2)-20(a+b)^2-(b-c)^2+a^2-c^28x(x+1)(x^2+x-1)-2x^2(x-1)^2-3(x^2-x)-5614a(a-b)+(a-b)^211.-ab(a-b)^+a(b-a)^212.3(x+2)-2x=5-4x13.5(x+2a)-a=2(b-2x)+4a3.14*3.42 (2)972*3.14*1/4[-|98|+76+(-87)]*23[56+(-75)-(7)]-(8+4+3) 5+21*8/2-√121-5968/21-8-11*8+61-2/9-7/9-564.6-(-3/4+1.6-4-3/4)1/2+3+5/6-7/12[2/3-4-1/4*(-0.4)]/1/3+222+(-4)+(-2)+4*3-2*8-8*1/2+8/1/8(2/3+1/2)/(-1/12)*(-12)(-28)/(-6+4)+(-1)2/(-2)+0/7-(-8)*(|-2|-5^4)(1/3+2/3)/1/2-|-9+(-5)|18-6/(-3)*(-2)-|-9|(5+3/8*8/30/(-2)-3(-84)/2*(-3)/(-6)1/2*(-4/15)/2/3|-3x+2y-5x-7y|-|-9x+2y| -5+21*8/2-6-5968/21-8-11*8+61-2/9-7/9-564.6-(-3/4+1.6-4-3/4)1/2+3+5/6-7/12[2/3-4-1/4*(-0.4)]/1/3+2 22+(-4)+(-2)+4*3-√64-5^2 -2*8-8*1/2+8/1/8(2/3+1/2)/(-1/12)*(-12) (-28)/(-6+4)+(-1)2/(-2)+0/7-(-8)*(-2)(1/4-5/6+1/3+2/3)/1/218-6/(-3)*(-2)(5+3/8*8/30/(-2)-3(-84)/2*(-3)/(-6)1/2*(-4/15)/2/3+√9-3x+2y-5x-7y+-5+21*8/2-6-5968/21-8-11*8+61-2/9-7/9-564.6-(-3/4+1.6-4-3/4)1/2+3+5/6-7/12[2/3-4-1/4*(-0.4)]/1/3+222+(-4)+(-2)+4*3-2*8-8*1/2+8/1/8(2/3+1/2)/(-1/12)*(-12) (-28)/(-6+4)+(-1)2/(-2)+0/7-(-8)*(-2)(1/4-5/6+1/3+2/3)/1/218-6/(-3)*(-2)(5+3/8*8/30/(-2)-3(-84)/2*(-3)/(-6)1/2*(-4/15)/2/3-3x+2y-5x-7y-(-3^2+5^7)-1+2-3+4-5+6-7+√9-50-28+(-24)-(-22)-19.8-(-20.3)-(+20.2)-10.8;0.25- +(-1 )-(+3 ).-1-23.33-(+76.76)1-2*2*2*2-5^2+(6^2-5^2) (-6-24.3)-(-12+9.1)+(0-2.1) -1+8-7+5^7-(-5+√9)125*3+125*5+25*3+259999*3+101*11*(101-92)(23/4-3/4)*(3*6+2)3/7 × 49/9 - 4/38/9 × 15/36 + 1/2712x*5/6y–2/9y*|3x-2y|8×5/4+1/4*|-7-8|6÷ 3/8 – 3/8 ÷64/7 × 5/9 + 3/7 × 5/9 5/2 -( 3/2 + 4/5 )7/8 + ( 1/8 + 1/9 )9 × 5/6 + 5/63/4 × 8/9 - 1/37 × 5/49 + 3/146 ×( 1/2 + 2/3 )8 × 4/5 + 8 × 11/531 × 5/6 – 5/69/7 - ( 2/7 – 10/21 )5/9 × 18 – 14 × 2/74/5 × 25/16 + 2/3 × 3/4 14 × 8/7 – 5/6 × 12/15 17/32 – 3/4 × 9/243^45 × 2/9 + 1/35/7 × 3/25 + 3/73/14 ×2/3 + 1/61/5 × 2/3 + 5/65/3 × 11/5 + 4/39/22+1/11÷1/2-√16945^8 × 2/3 + 1/3 × 157/19 + 12/19 × 5/61/4 + 3/4 ÷ 2/38/7 × 21/16 + 1/2101^4×(-1/5–1/5×21)50+√160÷40^5120-144÷18+35347+45×2-4160÷5237^2(58+37)÷(64-9×5)95÷(64-45)178-145÷5×6+42812-700÷(9+31×11)85+14×(14+208÷26)120-36×4÷18+35(58+37)÷(64-9×5)(6.8-6.8×0.55)÷8.50.12× 4.8÷0.12×4.8(3.2×1.5+2.5)÷1.66-1.6÷4= 5.38+7.85-5.37=7.2÷0.8-1.2×5= 6-1.19×3-0.43= 6.5×(4.8-1.2×4)=5.8×(3.87-0.13)+4.2×3.74 32.52-(6+9.728÷3.2)×2.5[(7.1-5.6)×0.9-1.15] ÷2.5 5.4÷[2.6×(3.7-2.9)+0.62] 12×6÷(12-7.2)-612×6÷7.2-60.68×1.9+0.32×1.958+370)÷(64-45)420+580-64×21÷28136+6×(65-345÷23)15-10.75×0.4-5.718.1+(3-0.299÷0.23)×1 (6.8-6.8×0.55)÷8.50.12× 4.8÷0.12×4.8(3.2×1.5+2.5)÷1.63.2×6+(1.5+2.5)÷1.60.68×1.9+0.32×1.910.15-10.75×0.4-5.75.8×(3.87-0.13)+4.2×3.74 32.52-(6+9.728÷3.2)×2.5 [(7.1-5.6)×0.9-1.15] ÷2.5 5.4÷[2.6×(3.7-2.9)+0.62] 12×6÷(12-7.2)-612×6÷7.2-633.02-(148.4-90.85)÷2.5 76.(25%-695%-12%)*367/4*3/5+3/4*2/51-1/4+8/9/7/97+1/6/3/24+2/218/15*3/53/4/9/10-1/68/3+1/2)/5/6-1/3]/1/79/5+3/5/2+3/48^6(2-2/3/1/2)]*2/58+5268.32-25693+456-52*887.5%+63258/2+1/3+1/489+456-785%+. 3/7 × 49/9 - 4/3 9 × 15/36 + 1/272× 5/6 – 2/9 ×33× 5/4 + 1/494÷ 3/8 – 3/8 ÷695/7 × 5/9 + 3/7 × 5/9 6/2 -( 3/2 + 4/5 )8 + ( 1/8 + 1/9 )8 × 5/6 + 5/61/4 × 8/9 - 1/310× 5/49 + 3/142/9 × 4/5 + 8 × 11/5 3.1 × 5/6 – 5/64/7 - ( 2/7 – 10/21 )19 × 18 – 14 × 2/75 × 25/16 + 2/3 × 3/4 4 × 8/7 – 5/6 × 12/15 7/32 – 3/4 × 9/242/3÷1/2-1/4×2/52-6/13÷9/26-2/32/9+1/2÷4/5+3/810÷5/9+1/6×41/2×2/5+9/10÷9/205/9×3/10+2/7÷2/51/2+1/4×4/5-1/83/4×5/7×4/3-1/223-8/9×1/27÷1/2718×5/6+2/5÷411/2+3/4×5/12×4/58/9×3/4-3/8÷3/45/8÷5/4+3/23÷9/111.2×2.5+0.8×2.58.9×1.25-0.9×1.2512.5×7.4×0.86.5×9.5+6.5×0.50.35×1.6+0.35×3.40.25×8.6×46.72-3.28-1.720.45+6.37+4.555.4+6.9×3-(25-2.5)2×41846-620-3804.8×46+4.8×540.8+0.8×2.51.25×3.6×8×2.5-12.5×2.4 28×12.5-12.5×2023.65-(3.07+3.65)(4+0.4×0.25)8×7×1.25 1.65×99+1.6527.85-(7.85+3.4)48×1.25+50×1.25×0.2×8 7.8×9.9+0.78(1010+309+4+681+6)×123×9146×782×6×8545.15×7/8+6.1-0.606253/7 × 49/9 - 4/38/9 × 15/36 + 1/2712× 5/6 – 2/9 ×38× 5/4 + 1/46÷ 3/8 – 3/8 ÷64/7 × 5/9 + 3/7 × 5/9 5/2 -( 3/2 + 4/5 )7/8 + ( 1/8 + 1/9 )9 × 5/6 + 5/63/4 × 8/9 - 1/37 × 5/49 + 3/146 ×( 1/2 + 2/3 )8 × 4/5 + 8 × 11/531 × 5/6 – 5/69/7 - ( 2/7 – 10/21 )5/9 × 18 – 14 × 2/74/5 × 25/16 + 2/3 × 3/4 14 × 8/7 – 5/6 × 12/15 17/32 – 3/4 × 9/243 × 2/9 + 1/35/7 × 3/25 + 3/73/14 × 2/3 + 1/61/5 × 2/3 + 5/69/22 + 1/11 ÷ 1/25/3 × 11/5 + 4/345 × 2/3 + 1/3 × 157/19 + 12/19 × 5/61/4 + 3/4 ÷ 2/38/7 × 21/16 + 1/2101 × 1/5 – 1/5 × 2150+160÷40 (58+370)÷(64-45)120-144÷18+35347+45×2-4160÷52(58+37)÷(64-9×5)95÷(64-45)178-145÷5×6+42 420+580-64×21÷28812-700÷(9+31×11)(136+64)×(65-345÷23)85+14×(14+208÷26)(284+16)×(512-8208÷18)120-36×4÷18+35(58+37)÷(64-9×5)(6.8-6.8×0.55)÷8.50.12× 4.8÷0.12×4.8(3.2×1.5+2.5)÷1.63.2×(1.5+2.5)÷1.66-1.6÷4= 5.38+7.85-5.37=7.2÷0.8-1.2×5= 6-1.19×3-0.43=6.5×(4.8-1.2×4)= 0.68×1.9+0.32×1.9 10.15-10.75×0.4-5.75.8×(3.87-0.13)+4.2×3.7432.52-(6+9.728÷3.2)×2.5[(7.1-5.6)×0.9-1.15] ÷2.55.4÷[2.6×(3.7-2.9)+0.62]12×6÷(12-7.2)-6 (4)12×6÷7.2-6 102^2×4.5+8^5-√5297.8×6.9+2.2×6.95.6×0.258×(20-1.25)127+352+73+4489+276+135+3325+71+75+29 +88243+89+111+579405-2940÷28×21920-1680÷40÷7690+47×52-398148+3328÷64-75360×24÷32+7302100-94+48×5451+(2304-2042)×234215+(4361-716)÷81(247+18)×27÷2536-720÷(360÷18)1080÷(63-54)×80(528+912)×5-61788528÷41×38-904264+318-8280÷69(174+209)×26- 9000814-(278+322)÷151406+735×9÷453168-7828÷38+504796-5040÷(630÷7)285+(3000-372)÷361+5/6-19/123x(-9)+7x(-9(-54)x1/6x(-1/3)18.1+(3-0.299÷0.23)×1 (6.8-6.8×0.55)÷8.50.12× 4.8÷0.12×4.8(3.2×1.5+2.5)÷1.63.2×(1.5+2.5)÷1.65.6-1.6÷45.38+7.85-5.377.2÷0.8-1.2×56-1.19×3-0.436.5×(4.8-1.2×4)0.68×1.9+0.32×1.9115-10.75×0.4-5.75.8×(3.87-0.13)+4.2×3.7432.52-(6+9.728÷3.2)×2.5 [(7.1-5.6)×0.9-1.15] ÷2.5 5.4÷[2.6×(3.7-2.9)+0.62] 12×6÷(12-7.2)-612×6÷7.2-633.02-(148.4-90.85)÷2.5二.解方程2x=7(x-5)8(3x+3)=2404.74+4x-2.5x=8.1(2.81+x)÷2.81=115x-30=16(x-2)(-3)^3-3^3(-1)^2-5.62^2+3^3-4^4(2^4-3^2)^3-5^5[(1.6^2-2^3)-2.1]^2(5.66×2)^2-15^2(-15)^x=225,x=?[(-4)^2-4^2]×2^2[(-5.6)^2+3]^2[5.6^2+(-5.6)^2]×(-1)^23x+28-x=561.5x+6=3.752(3.6x+2.8)=-1.69.5x+9.5=1918(x-35)=-36x+7-(-36+8^2)/2=8+7^4/3a-7-98+7a=3.2*5a89/2+35/6x=3*9+2^3/5+7x3X+189/3=521/24Y+119*^3=22/113X*189=5*4^5/38Z/6=458/53X+77=594Y-6985=8187X*13=57Z/93=4115X+863-65X=5458Y*55=274897(2x-1)-3(4x-1)=4(3x+2)-1(5y+1)+ (1-y)= (9y+1)+ (1-3y) [-6(-7^4*8)-4]=x+220%+(1-20%)(320-x)=320×40% 2(x-2)+2=x+12(x-2)-3(4x-1)=9(1-x)11x+64-2x=100-9x15-(8-5x)=7x+(4-3x)3(x-7)-2[9-4(2-x)]=223/2[2/3(1/4x-1)-2]-x=22x+7^2=1571)判断题:判断下列方程是否是一元一次方程:①-3x-6x2=7( )③5x+1-2x=3x-2 ( )④3y-4=2y+1. ( )判断下列方程的解法是否正确:①解方程3y-4=y+3解:3y-y=3+4,2y=7,y=3.5②解方程:0.4x-3=0.1x+2解:0.4x+0.1x=2-3;0.5x=-1,x=-2③解方程解:5x+15-2x-2=10,3x=-3,x=-1;④解方程解:2x-4+5-5x=-1,-3x=-2,x= .( )2)填空题:(1)若2(3-a)x-4=5是关于x的一元一次方程,则a≠_ (2)关于x的方程ax=3的解是自然数,则整数a的值为_ (3)方程5x-2(x-1)=17 的解是_(4)x=2是方程2x-3=m- 的解,则m=_ .(5)若-2x2-5m+1=0 是关于x的一元一次方程,则m=_ . (6)当y=_ 时,代数式5y+6与3y-2互为相反数.(7)当m=_ 时,方程的解为0.(8)已知a≠0.则关于x的方程3ab-(a+b)x=(a-b)x的解为______ .3)选择题:(1)方程ax=b的解是().A.有一个解x= B.有无数个解C.没有解 D.当a≠0时,x=(2)解方程 ( x-1)=3,下列变形中,较简捷的是()A.方程两边都乘以4,得3( x-1)=12B.去括号,得x- =3C.两边同除以,得 x-1=4D.整理,得(3)方程2- 去分母得()A.2-2(2x-4)=-(x-7)B.12-2(2x-4)=-x-7C.12-2(2x-4)=-(x-7)D.以上答案均不对(4)若代数式比大1,则x的值是().A.13 B. C.8 D.(5)x=1.5是方程()的解.A.4x+2=2x-(-2-9)B.2{3[4(5x-1)-8]-2}=8C.4x+9 =6x+64)解答下列各题:(1)x等于什么数时,代数式的值相等?(2)y等于什么数时,代数式的值比代数式的值少3?(3)当m等于什么数时,代数式2m- 的值与代数式的值的和等于5?(4)解下列关于x的方程:①ax+b=bx+a;(a≠b);三.化简、化简求值化间求值:1、-9(x-2)-y(x-5)(1)化简整个式子。
初中数学计算题(200道)×(-9)-12÷(-4)56÷(-7)-2÷5+×29÷(-4)÷-(-50)÷2[+]×[(-5)-(-7)]÷[+]÷(1/4+1/5)×÷1/2÷(-2)+÷2-(-5)×24*(-3)+70*(-5)+5*(-3)+25 9999*3+101*11*(101-92)(23/4-3/4)*(3*6+2)3/7 × 49/9 - 4/38/9 × 15/36 + 1/2712× 5/6 –2/9 ×38× 5/4 + 1/46÷ 3/8 –3/8 ÷64/7 × 5/9 + 3/7 × 5/95/2 -( 3/2 + 4/5 )7/8 + ( 1/8 + 1/9 )9 × 5/6 + 5/63/4 × 8/9 - 1/37 × 5/49 + 3/146 ×( 1/2 + 2/3 )8 × 4/5 + 8 × 11/531 × 5/6 – 5/69/7 - ( 2/7 – 10/21 )5/9 × 18 –14 × 2/74/5 × 25/16 + 2/3 × 3/414 × 8/7 –5/6 × 12/1517/32 –3/4 × 9/243 × 2/9 + 1/35/7 × 3/25 + 3/73/14 × 2/3 + 1/61/5 × 2/3 + 5/69/22 + 1/11 ÷ 1/25/3 × 11/5 + 4/345 × 2/3 + 1/3 × 157/19 + 12/19 × 5/61/4 + 3/4 ÷ 2/38/7 × 21/16 + 1/2101 × 1/5 –1/5 × 2150+160÷40120-144÷18+35347+45×2-4160÷5237×(58+37)÷(64-9×5)已做95÷(64-45)178-145÷5×6+42812-700÷(9+31×11)85+14×(14+208÷26)120-36×4÷18+35(58+37)÷(64-9×5)× ÷×(×+)÷÷4= +÷ ×=×()=×()+×(6+÷)×[()×÷÷[×()+]12×6÷()-612×6÷×+×58+370)÷(64-45)420+580-64×21÷28 136+6×(65-345÷23)×+(3-÷)×1× ÷×(×+)÷×6+(+)÷×+××()+×(6+÷)×[()×÷÷[×()+]12×6÷()-612×6÷-(-)÷76.(25%-695%-12%)*3677./4*3/5+3/4*2/54+8/9/7/979.+1/6/3/24+2/2180./15*3/581.3/4/9/10-1/682./3+1/2)/5/6-1/3]/1/783./5+3/5/2+3/484.(2-2/3/1/2)]*2/585.++456-52*8%+632588./2+1/3+1/489+456-785%+. 3/7 × 49/9 - 4/3 9 × 15/36 + 1/272× 5/6 –2/9 ×33× 5/4 + 1/494÷ 3/8 –3/8 ÷695/7 × 5/9 + 3/7 × 5/9 6/2 -( 3/2 + 4/5 )8 + ( 1/8 + 1/9 )8 × 5/6 + 5/61/4 × 8/9 - 1/310 × 5/49 + 3/14×( 1/2 + 2/3 )2/9 × 4/5 + 8 × 11/5 × 5/6 – 5/64/7 - ( 2/7 – 10/21 )19 × 18 –14 × 2/75 × 25/16 + 2/3 × 3/4 4 × 8/7 –5/6 × 12/15 7/32 –3/4 × 9/242/3÷1/2-1/4×2/52-6/13÷9/26-2/32/9+1/2÷4/5+3/8 10÷5/9+1/6×41/2×2/5+9/10÷9/20 5/9×3/10+2/7÷2/5 1/2+1/4×4/5-1/8 3/4×5/7×4/3-1/2 23-8/9×1/27÷1/27 8×5/6+2/5÷41/2+3/4×5/12×4/5 8/9×3/4-3/8÷3/4 5/8÷5/4+3/23÷9/11 ×+×××××(+)(27)×+××+×××4+++×3-()2×4×46+×54+×××8×28×(+)(4+×)8×7××99+(+)48×+50×××8×+(1010+309+4+681+6)×12 3×9146×782×6×854×7/8+3/7 × 49/9 - 4/38/9 × 15/36 + 1/2712× 5/6 –2/9 ×38× 5/4 + 1/46÷ 3/8 –3/8 ÷64/7 × 5/9 + 3/7 × 5/9 5/2 -( 3/2 + 4/5 )7/8 + ( 1/8 + 1/9 )9. 9 × 5/6 + 5/63/4 × 8/9 - 1/37 × 5/49 + 3/146 ×( 1/2 + 2/3 )8 × 4/5 + 8 × 11/531 × 5/6 – 5/69/7 - ( 2/7 – 10/21 )5/9 × 18 –14 × 2/74/5 × 25/16 + 2/3 × 3/414 × 8/7 –5/6 × 12/1517/32 –3/4 × 9/243 × 2/9 + 1/35/7 × 3/25 + 3/73/14 × 2/3 + 1/61/5 × 2/3 + 5/69/22 + 1/11 ÷ 1/25/3 × 11/5 + 4/345 × 2/3 + 1/3 × 157/19 + 12/19 × 5/61/4 + 3/4 ÷ 2/38/7 × 21/16 + 1/2101 × 1/5 –1/5 × 2150+160÷40 (58+370)÷(64-45)120-144÷18+35347+45×2-4160÷52(58+37)÷(64-9×5)95÷(64-45)178-145÷5×6+42 420+580-64×21÷28812-700÷(9+31×11)(136+64)×(65-345÷23)85+14×(14+208÷26)(284+16)×(512-8208÷18)120-36×4÷18+35(58+37)÷(64-9×5)× ÷×(×+)÷(2)×(+)÷÷4+÷×()×+×()+×(6+÷)×51.[()×÷()+]×6÷()-6 (4)12×6÷102×-(-3)×(-5) ÷2×+×(-2)+2-(-52)×(-1) ×5+87÷(-3)×(-1) ××(20-)×〔(-3)×(-5)〕÷2××÷127+352+73+44×(-2)89×276+(-135)-3325×71+75÷29 -88÷(-2) 243+89+111+579405-2940÷28×21920-1680÷40÷7690+47×52-398148+3328÷64-75360×24÷32+7302100-94+48×5451+(2304-2042)×23 4215+(4361-716)÷81 (247+18)×27÷2536-720÷(360÷18)1080÷(63-54)×80(528+912)×5-61788528÷41×38-904264+318-8280÷69(174+209)×26- (9000^0) 814-(278+322)÷151406+735×9÷453168-7828÷38+504796-5040÷(630÷7)285+(3000-372)÷36 1+5/6-19/123x(-9)+7x(-9)(-54)x1/6x(-1/3)1.18.1+(3-÷)×12.3.0.12× ÷××+÷(-2)××(+)÷+6.7.2÷×7.6.5×()×+×8.10.15×9.5.8×()+×10.32.52-(6+÷)×11.[()×÷12.5.4÷[×()+]×6÷()-6×6÷15.33.02-(-)÷(-5)-252×(-78)(-6) ×(-2)+3÷(5+50)7-7+3-6-(-90)(-8)(-3)×(-8)×25(7+13) ÷(-616)÷(-28)(8+14-100-27)÷4(-15) ÷(-1)-101÷1016÷×(-8) ×+(-10) ×(-2) ×4÷{-9÷[6+]}(-18)(-4)2×[×9-32{-890-[79+] ×9}(-20)-23+(-9) ×(-24)×104÷(-5) ×[-|98|+76+(-87)]*23[56+(-75)-(7)]-(8+4+3)5+21*8/2-6-5968/21-8-11*8+61-2/9-7/9-56(-3/4+1.6-4-3/4)1/2+3+5/6-7/12[23-4-18/1/8....+1000001/1+1/2+1/3+......1/501+1/2+1/4+1/8+1/16+......1/5123+9+27+81+243+ (9999)1+1/2+1/6+1/12+1/20+1/30+1/42+1/56+1/72+1/908-2×32-(-2×3)2–12 × (-3)2-(-1/2)2003×(-2)2002÷2/9 2)÷3/1×[-2-(-3)3]-∣1/8-∣[-38-(-1)7+(-3)8]×-53a^3-2b^3+ab(2a-b)-√a-b^215*(-8)+2b^2+(x^2+y^2)^2-4y(x^2+y^2)+4y^26-3a^8-(-5^2-6)(x^2+2x)^2+3(x^2+2x)+x^2+2x+3(a+1)(a+2)+(2a+1)(a-2)-12x^2(y+z)^2-2xy(x-z)(y+z)+y^2(x-z)^23(a+2)^2+28(a+2)-20(a+b)^2-(b-c)^2+a^2-c^28x(x+1)(x^2+x-1)-2x^2(x-1)^2-3(x^2-x)-5614a(a-b)+(a-b)^2(a-b)^+a(b-a)^2(x+2)-2x=5-4x(x+2a)-a=2(b-2x)+4a* (2)972**1/4[-|98|+76+(-87)]*23[56+(-75)-(7)]-(8+4+3) 5+21*8/2-√121-5968/21-8-11*8+61-2/9-7/9-56(-3/4+1.6-4-3/4)1/2+3+5/6-7/12[23-4-18/1/821-8-116-4-34) 1/2+3+5/6-7/12[23-4-18/1/821-8-116-4-34) 1/2+3+5/6-7/12[23-4-18/1/8(+1-2*2*2*2-5^2+(6^2-5^2)-(-12++-1+8-7+5^7-(-5+√9)125*3+125*5+25*3+259999*3+101*11*(101-92) (23/4-3/4)*(3*6+2)3/7 × 49/9 - 4/38/9 × 15/36 + 1/2712x*5/6y–2/9y*|3x-2y|8×5/4+1/4*|-7-8|6÷ 3/8 –3/8 ÷64/7 × 5/9 + 3/7 × 5/95/2 -( 3/2 + 4/5 )7/8 + ( 1/8 + 1/9 )9 × 5/6 + 5/63/4 × 8/9 - 1/37 × 5/49 + 3/146 ×( 1/2 + 2/3 )8 × 4/5 + 8 × 11/531 × 5/6 – 5/69/7 - ( 2/7 – 10/21 )5/9 × 18 –14 × 2/74/5 × 25/16 + 2/3 × 3/4 14 × 8/7 –5/6 × 12/15 17/32 –3/4 × 9/243^45 × 2/9 + 1/35/7 × 3/25 + 3/73/14 ×2/3 + 1/61/5 × 2/3 + 5/65/3 × 11/5 + 4/39/22+1/11÷1/2-√16945^8 × 2/3 + 1/3 × 157/19 + 12/19 × 5/61/4 + 3/4 ÷ 2/38/7 × 21/16 + 1/2101^4×(-1/5–1/5×21)50+√160÷40^5120-144÷18+35347+45×2-4160÷5237^2(58+37)÷(64-9×5)95÷(64-45)178-145÷5×6+42812-700÷(9+31×11)85+14×(14+208÷26)120-36×4÷18+35(58+37)÷(64-9×5)× ÷×(×+)÷÷4= +÷ ×=×()=×()+×(6+÷)×[()×÷÷[×()+]12×6÷()-612×6÷×+×58+370)÷(64-45)420+580-64×21÷28 136+6×(65-345÷23)×+(3-÷)×1× ÷×(×+)÷×6+(+)÷×+××()+×(6+÷)×[()×÷÷[×()+]12×6÷()-612×6÷-(-)÷76.(25%-695%-12%)*36 7/4*3/5+3/4*2/51-1/4+8/9/7/97+1/6/3/24+2/218/15*3/53/4/9/10-1/68/3+1/2)/5/6-1/3]/1/7 9/5+3/5/2+3/48^6(2-2/3/1/2)]*2/58+3+456-52*8%+63258/2+1/3+1/489+456-785%+. 3/7 × 49/9 - 4/3 9 × 15/36 + 1/272× 5/6 –2/9 ×33× 5/4 + 1/494÷ 3/8 –3/8 ÷695/7 × 5/9 + 3/7 × 5/9 6/2 -( 3/2 + 4/5 )8 + ( 1/8 + 1/9 )8 × 5/6 + 5/61/4 × 8/9 - 1/310× 5/49 + 3/14×( 1/2 + 2/3 )2/9 × 4/5 + 8 × 11/5 × 5/6 – 5/64/7 - ( 2/7 – 10/21 )19 × 18 –14 × 2/75 × 25/16 + 2/3 × 3/4 4 × 8/7 –5/6 × 12/15 7/32 –3/4 × 9/242/3÷1/2-1/4×2/52-6/13÷9/26-2/32/9+1/2÷4/5+3/8 10÷5/9+1/6×41/2×2/5+9/10÷9/20 5/9×3/10+2/7÷2/5 1/2+1/4×4/5-1/8 3/4×5/7×4/3-1/2 23-8/9×1/27÷1/27 18×5/6+2/5÷411/2+3/4×5/12×4/5 8/9×3/4-3/8÷3/4 5/8÷5/4+3/23÷9/11 ×+×××××(+)×+××+×××4+++×3-()2×4×46+×54+×××8×28×(+)(4+×)8×7××99+(+)48×+50×××8×+(1010+309+4+681+6)×12 3×9146×782×6×854×7/8+3/7 × 49/9 - 4/38/9 × 15/36 + 1/2712× 5/6 –2/9 ×38× 5/4 + 1/46÷ 3/8 –3/8 ÷64/7 × 5/9 + 3/7 × 5/9 5/2 -( 3/2 + 4/5 )7/8 + ( 1/8 + 1/9 )9 × 5/6 + 5/63/4 × 8/9 - 1/37 × 5/49 + 3/146 ×( 1/2 + 2/3 )8 × 4/5 + 8 × 11/531 × 5/6 – 5/69/7 - ( 2/7 – 10/21 )5/9 × 18 –14 × 2/74/5 × 25/16 + 2/3 × 3/414 × 8/7 –5/6 × 12/1517/32 –3/4 × 9/243 × 2/9 + 1/35/7 × 3/25 + 3/73/14 × 2/3 + 1/61/5 × 2/3 + 5/69/22 + 1/11 ÷ 1/25/3 × 11/5 + 4/345 × 2/3 + 1/3 × 157/19 + 12/19 × 5/61/4 + 3/4 ÷ 2/38/7 × 21/16 + 1/2101 × 1/5 –1/5 × 2150+160÷40 (58+370)÷(64-45)120-144÷18+35347+45×2-4160÷52(58+37)÷(64-9×5)95÷(64-45)178-145÷5×6+42 420+580-64×21÷28 812-700÷(9+31×11)(136+64)×(65-345÷23)85+14×(14+208÷26)(284+16)×(512-8208÷18)120-36×4÷18+35(58+37)÷(64-9×5)× ÷×(×+)÷×(+)÷÷4= +÷ ×=×()= ×+××()+×(6+÷)×[()×÷÷[×()+]12×6÷()-6 (4)12×6÷102^2×+8^5-√529×+××8×(20-)127+352+73+4489+276+135+3325+71+75+29 +88243+89+111+579405-2940÷28×21920-1680÷40÷7690+47×52-398148+3328÷64-75360×24÷32+7302100-94+48×5451+(2304-2042)×23 4215+(4361-716)÷81 (247+18)×27÷2536-720÷(360÷18)1080÷(63-54)×80 (528+912)×5-6178 8528÷41×38-904264+318-8280÷69(174+209)×26- 9000 814-(278+322)÷15 1406+735×9÷453168-7828÷38+504796-5040÷(630÷7)285+(3000-372)÷36 1+5/6-19/123x(-9)+7x(-9(-54)x1/6x(-1/3) +(3-÷)×1× ÷×(×+)÷×(+)÷+÷××()×+×××()+×(6+÷)×[()×÷÷[×()+]12×6÷()-612×6÷-(-)÷二.解方程2x=7(x-5)8(3x+3)=240+=+x)÷=115x-30=16(x-2)(-3)^3-3^3(-1)^2^2+3^3-4^4(2^4-3^2)^3-5^5[^2-2^3)]^2×2)^2-15^2(-15)^x=225,x=[(-4)^2-4^2]×2^2[^2+3]^2[^2+^2]×(-1)^23x+28-x=56+6=2+=+=1918(x-35)=-36x+7-(-36+8^2)/2=8+7^4/3 a-7-98+7a=*5a89/2+35/6x=3*9+2^3/5+7x 3X+189/3=521/24Y+119*^3=22/113X*189=5*4^5/38Z/6=458/53X+77=594Y-6985=8187X*13=57Z/93=4115X+863-65X=5458Y*55=274897(2x-1)-3(4x-1)=4(3x+2)-1(5y+1)+ (1-y)= (9y+1)+ (1-3y) [-6(-7^4*8)-4]=x+220%+(1-20%)(320-x)=320×40%2(x-2)+2=x+12(x-2)-3(4x-1)=9(1-x)11x+64-2x=100-9x15-(8-5x)=7x+(4-3x)3(x-7)-2[9-4(2-x)]=223/2[2/3(1/4x-1)-2]-x=22x+7^2=1571)判断题:判断下列方程是否是一元一次方程:①-3x-6x2=7( )③5x+1-2x=3x-2 ( )④3y-4=2y+1. ( )判断下列方程的解法是否正确:①解方程3y-4=y+3解:3y-y=3+4,2y=7,y=②解方程:=+2解:+=2-3;=-1,x=-2③解方程解:5x+15-2x-2=10,3x=-3,x=-1;④解方程解:2x-4+5-5x=-1,-3x=-2,x= .( )2)填空题:(1)若2(3-a)x-4=5是关于x的一元一次方程,则a≠_(2)关于x的方程ax=3的解是自然数,则整数a的值为_(3)方程5x-2(x-1)=17 的解是_(4)x=2是方程2x-3=m- 的解,则m=_ .(5)若-2x2-5m+1=0 是关于x的一元一次方程,则m=_ .(6)当y=_ 时,代数式5y+6与3y-2互为相反数.(7)当m=_ 时,方程的解为0.(8)已知a≠0.则关于x的方程3ab-(a+b)x=(a-b)x的解为______ .3)选择题:(1)方程ax=b的解是().A.有一个解x= B.有无数个解C.没有解 D.当a≠0时,x=(2)解方程 ( x-1)=3,下列变形中,较简捷的是()A.方程两边都乘以4,得3( x-1)=12B.去括号,得x- =3C.两边同除以,得 x-1=4D.整理,得(3)方程2- 去分母得()(2x-4)=-(x-7) (2x-4)=-x-7(2x-4)=-(x-7) D.以上答案均不对(4)若代数式比大1,则x的值是().A.13 B. C.8 D.(5)x=是方程()的解.+2=2x-(-2-9)B.2{3[4(5x-1)-8]-2}=8+9 =6x+64)解答下列各题:(1)x等于什么数时,代数式的值相等(2)y等于什么数时,代数式的值比代数式的值少3(3)当m等于什么数时,代数式2m- 的值与代数式的值的和等于5 (4)解下列关于x的方程:①ax+b=bx+a;(a≠b);三.化简、化简求值化间求值:1、-9(x-2)-y(x-5)(1)化简整个式子。
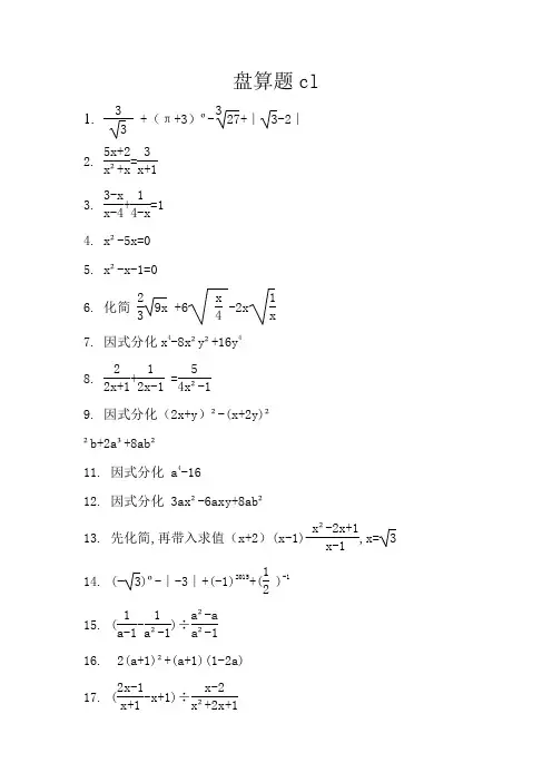
盘算题cl1. 3 3 +(π+3)º-327+∣3-2∣2. 5x+2x ²+x =3x+13. 3-x x-4+14-x =14. x ²-5x=05. x ²-x-1=06. 化简 239x +6x4-2x 1x7. 因式分化x 4-8x ²y ²+16y 48. 22x+1+12x-1 =54x ²-19. 因式分化(2x+y )²-(x+2y)² ²b+2a ³+8ab ² 11. 因式分化 a 4-1612. 因式分化 3ax ²-6axy+8ab ²13. 先化简,再带入求值(x+2)(x-1)-x ²-2x+1x-1,x=3 14. (-3)º-∣-3∣+(-1)2015+(12)-115. (1a-1-1a ²-1)÷a ²-a a ²-116. 2(a+1)²+(a+1)(1-2a) 17. (2x-1x+1-x+1)÷x-2x ²+2x+118. (-3-1)×(- 32)²-2-1÷(- 12)³19. 12x-1=20. (x+1)²-(x+2)(x-2) 21. sin60°-∣1-3∣+(12)-1 22.(-5)16×(-2)15(成果以幂的情势暗示)23.若n 为正整数且(m n)²=9,求(13m 3n )³(m ²)2n24. 因式分化a ²+ac-ab-bc 25. 因式分化x ²-5x+6 26. 因式分化(x+2)(x+3)+x ²-4 27. 因式分化(a ²+1)²-4a ² 28. -12016+18÷ (-3)×∣-12∣29. 先化简,再求值3(x ²+xy-1)-(3x ²-2xy),个中x=1,y= - 1530. 盘算3-4+5-(-6)-731. 盘算-1²+(-4)²×∣-18∣-8²÷(-4)³32.盘算 20-(-7)-∣-2∣ 33.盘算(13- 59+1112)×(-36)34.盘算(-1)²- 14×[2- (-3)²]x-2y=1 ① x+3y=6②36. 解二元一次方程组 2(x-y)3- x+y 4= - 112①5y-x=3 ② 37.解二元一次方程组 x+2y=6 ① 3x-2y=2 ② 38. 解不等式 3(x-1)>2x+2 39. 解不等式 3x+13- 7x-35≤ 2+2(x-2)1540. 化简a(a-1)²-(a+1)(a ²-a+1) 41. (a a-b +b b-a )÷1a+b42. 当m=1 5-2,求代数式m+1m43. (12)-1- (2-1)º+∣-3∣+tan45º-cos60ºcos30º·tan60°44. 先化简再求值 x ²-5x+63x ²-3x ·(1-3x+1)·(1+2x-3),个中x=345. 先化简再求值x-yy ²-x ²,个中x=-1,y=246. 解方程x ²-3x=047. 6-(-2)²·2-1+(-3.14)º+3-8+cos ²45°48. 盘算(3)²+4×(- 12)-2³49. 先化简,再求值(a+b )(a-b)+b(b-2),个中a=2,b=-1 50. 盘算4-(1 5+2 )º+(-2)³÷3-151. 盘算12-1 - 3tan ²30°+2(sin45°-1)²52. 化简[a a-b +b ²a(b-a)]÷a+bab53. 盘算- 2²+(3-3.14)º+3sin30° 54. 盘算(13)-1+(2006-π)º - 3tan60°55. 盘算2013-(π-3.14)º+∣-3∣+(-1) 56.57.盘算:﹣.58. 盘算:.59. 盘算:. 60.盘算:.61. 盘算:.62. (a ﹣2)2+4(a ﹣1)﹣(a+2)(a ﹣2) 63. (﹣1)2013﹣|﹣7|+×+()﹣1;64. .65. 盘算:.66. 解方程:.67. 盘算:.68.解方程:=﹣. 69.求不等式组的整数解. 70.先化简,再求值:(﹣)÷,个中x=+1.71.解方程:72.73.先化简,再求值:÷+,个中x=2+1.74.解方程:.75.盘算:.76.盘算:(1+)2013﹣2(1+)2012﹣4(1+)2011. 77.盘算:.78. 盘算:011821()2π-+--+ . 79. 解方程组: 22220x y x xy y -=-⎧⎨--=⎩. 80. 盘算:(﹣1)3+(+1)0+. 81. 解不等式组:.82. 先化简,再求值:÷(x+1﹣),个中x=﹣2.83.∣-5∣+2²-(3+1)º84. 2×(-5)+23-3÷1285. 22+(-1)4+(5-2)0-|-3|87. a a ²-b² -a a-b ÷b b-a88. 2x x ²-4- 1x-289. (a+b )2+b (a ﹣b ). 90. (a - 1a )÷a-1a92. ⎝ ⎛⎭⎪⎫1+ 1x -2÷ x2-2x +1x2-4,个中x =-5.93. (a ﹣1+)÷(a 2+1),个中a=﹣1.个中a96. 化简求值:,个中m97.98.99.个中100.101. 先化简,个中x =-6.102.先化简再求值:⎝ ⎛⎭⎪⎫1-1a -1÷a2-4a +4a2-a ,个中a =2+ 2 .103. 先化简,再求值:a -1a +2·a2+2a a2-2a +1÷1a2-1,个中a 为整数且-3<a <2.104. 先化简,105.先化简,106.先化简,107.108.109.并从中选一个适合.110. 先化简,个中x =2111.先化简,个中x=-3.112. 解方程x 2﹣4x+1=0.113. 解方程:3x =2x -1.114. 解方程:x 2+4x -2=0115. 解方程:x x - 1 - 31- x= 2.116. 解不等式组,并写出不等式组的整数解.117.118.解不等式组:⎩⎨⎧2x +3<9-x2x -5>3x .119.120. 解方程组,并求的值.121. 122. 解不等式组⎩⎨⎧x+23 <12(1-x )≤5并把解集在数轴上暗示出来.123. 124.并写出整数解.125. 先化简,再求值126. 解方程:127. 解不等式组1(4)223(1) 5.x x x ⎧+<⎪⎨⎪-->⎩,128. 12)21(30tan 3)21(001+-+---;129.先化简,再求值.34)311(2+-÷+-x x x ,个中x=3130. 已知x 2-2x =1,求(x -1)(3x +1)-(x +1)2的值 131.先化简,再求值:21111211a a a a a a ++-÷+-+-,个中 2.a =132. 先化简,再求值:53(2)224x x x x ---÷++,个中23x =-133. 解分式方程:2641313-=--x x .134.解方程组:34194x y x y +=⎧⎨-=⎩135. 已知⎩⎨⎧=+=+6252y x y x 那么x-y的值是136. 若不等式组220x a b x ->⎧⎨->⎩的解集是11x -<<,求()2010a b +的值137. 化简138. 化简139. 化简140. 化简141. 解方程142..143..144.=0.145.2﹣=1146..147.﹣=1;148.﹣=0.149.解方程:.150.盘算:+(π﹣2013)0 151.盘算:|1﹣|﹣2cos30°+(﹣)0×(﹣1)2013 152.盘算:﹣.153.盘算:.154..155.盘算:.156.盘算:157.盘算:158.盘算:.159.盘算:.160..161.盘算:.162. 盘算: ﹣(π﹣3.14)0+|﹣3|+(﹣1)2013+tan45°.163. 盘算:.164. 盘算 2﹣1﹣ tan60°+(π﹣2013)0+|﹣ |.165. (a﹣2)2+4(a﹣1)﹣(a+2)(a﹣2)166. (﹣1)2013﹣|﹣7|+ ×0+( )﹣1167..168. 盘算:.169. tan45°+sin230°﹣cos30°•tan60°+cos245°170..171. |﹣3|+16÷(﹣2)3+(2013﹣ )0﹣ tan60°172. 解方程: = ﹣ .173. 求不等式组的整数解.174. 先化简,再求值:( ﹣ )÷ ,个中 x= +1.175. 盘算:176..tan30°177. 先化简,再求值: ÷+ ,个中 x=2 +1.178. 盘算: 179. 解方程:; .180. 盘算:.181. 盘算:.182. 盘算:(1+ )2013﹣2(1+ )2012﹣4(1+ )2011183. 盘算:.。
初中数学计算题(200道)(-1.5)×(-9)-12÷(-4)56÷(-7)-2÷5+0.43.57×29÷(-4)5.6÷(-2.8)-(-50)÷2[9.6+(-7.3)]×[(-5)-(-7)]12.3÷[5.6+(-1.2)](-75.6)÷(1/4+1/5)9.5×(-9.5)÷1/295.77÷(-2)+(-34.6)(-51.88)÷2-(-5)×241.25*(-3)+70*(-5)+5*(-3)+25 9999*3+101*11*(101-92)(23/4-3/4)*(3*6+2)3/7 × 49/9 - 4/38/9 × 15/36 + 1/2712× 5/6 –2/9 ×38× 5/4 + 1/46÷ 3/8 –3/8 ÷64/7 × 5/9 + 3/7 × 5/95/2 -( 3/2 + 4/5 )7/8 + ( 1/8 + 1/9 )9 × 5/6 + 5/63/4 × 8/9 - 1/37 × 5/49 + 3/146 ×( 1/2 + 2/3 )8 × 4/5 + 8 × 11/531 × 5/6 – 5/69/7 - ( 2/7 – 10/21 )5/9 × 18 –14 × 2/74/5 × 25/16 + 2/3 × 3/4 14 × 8/7 –5/6 × 12/15 17/32 –3/4 × 9/243 × 2/9 + 1/35/7 × 3/25 + 3/73/14 × 2/3 + 1/61/5 × 2/3 + 5/69/22 + 1/11 ÷ 1/25/3 × 11/5 + 4/345 × 2/3 + 1/3 × 157/19 + 12/19 × 5/61/4 + 3/4 ÷ 2/38/7 × 21/16 + 1/2101 × 1/5 –1/5 × 21 50+160÷40120-144÷18+35347+45×2-4160÷5237×(58+37)÷(64-9×5)95÷(64-45)178-145÷5×6+42812-700÷(9+31×11)85+14×(14+208÷26)120-36×4÷18+35(58+37)÷(64-9×5)(6.8-6.8×0.55)÷8.50.12× 4.8÷0.12×4.8(3.2×1.5+2.5)÷1.66-1.6÷4= 5.38+7.85-5.37=7.2÷0.8-1.2×5= 6-1.19×3-0.43= 6.5×(4.8-1.2×4)=5.8×(3.87-0.13)+4.2×3.74 32.52-(6+9.728÷3.2)×2.5 [(7.1-5.6)×0.9-1.15] ÷2.5 5.4÷[2.6×(3.7-2.9)+0.62]12×6÷(12-7.2)-612×6÷7.2-60.68×1.9+0.32×1.958+370)÷(64-45)420+580-64×21÷28136+6×(65-345÷23)15-10.75×0.4-5.718.1+(3-0.299÷0.23)×1 (6.8-6.8×0.55)÷8.50.12× 4.8÷0.12×4.8(3.2×1.5+2.5)÷1.63.2×6+(1.5+2.5)÷1.60.68×1.9+0.32×1.910.15-10.75×0.4-5.75.8×(3.87-0.13)+4.2×3.74 32.52-(6+9.728÷3.2)×2.5 [(7.1-5.6)×0.9-1.15] ÷2.5 5.4÷[2.6×(3.7-2.9)+0.62] 12×6÷(12-7.2)-612×6÷7.2-633.02-(148.4-90.85)÷2.576.(25%-695%-12%)*3677./4*3/5+3/4*2/578.1-1/4+8/9/7/979.+1/6/3/24+2/2180./15*3/581.3/4/9/10-1/682./3+1/2)/5/6-1/3]/1/783./5+3/5/2+3/484.(2-2/3/1/2)]*2/585.+5268.32-256986.3+456-52*887.5%+632588./2+1/3+1/489+456-785%+. 3/7 × 49/9 - 4/39 × 15/36 + 1/272× 5/6 –2/9 ×33× 5/4 + 1/494÷ 3/8 –3/8 ÷695/7 × 5/9 + 3/7 × 5/9 6/2 -( 3/2 + 4/5 )8 + ( 1/8 + 1/9 )8 × 5/6 + 5/61/4 × 8/9 - 1/310 × 5/49 + 3/141.5 ×( 1/2 + 2/3 )2/9 × 4/5 + 8 × 11/5 3.1 × 5/6 – 5/64/7 - ( 2/7 – 10/21 )19 × 18 –14 × 2/75 × 25/16 + 2/3 × 3/4 4 × 8/7 –5/6 × 12/15 7/32 –3/4 × 9/242/3÷1/2-1/4×2/52-6/13÷9/26-2/32/9+1/2÷4/5+3/810÷5/9+1/6×41/2×2/5+9/10÷9/205/9×3/10+2/7÷2/51/2+1/4×4/5-1/83/4×5/7×4/3-1/223-8/9×1/27÷1/278×5/6+2/5÷41/2+3/4×5/12×4/58/9×3/4-3/8÷3/45/8÷5/4+3/23÷9/111.2×2.5+0.8×2.58.9×1.25-0.9×1.2512.5×7.4×0.89.9×6.4-(2.5+0.24)(27) 6.5×9.5+6.5×0.5 0.35×1.6+0.35×3.40.25×8.6×46.72-3.28-1.720.45+6.37+4.555.4+6.9×3-(25-2.5)2×41846-620-3804.8×46+4.8×540.8+0.8×2.51.25×3.6×8×2.5-12.5×2.4 28×12.5-12.5×2023.65-(3.07+3.65)(4+0.4×0.25)8×7×1.25 1.65×99+1.6527.85-(7.85+3.4)48×1.25+50×1.25×0.2×8 7.8×9.9+0.78(1010+309+4+681+6)×12 3×9146×782×6×8545.15×7/8+6.1-0.606253/7 × 49/9 - 4/38/9 × 15/36 + 1/2712× 5/6 –2/9 ×38× 5/4 + 1/46÷ 3/8 –3/8 ÷64/7 × 5/9 + 3/7 × 5/95/2 -( 3/2 + 4/5 )7/8 + ( 1/8 + 1/9 )9. 9 × 5/6 + 5/63/4 × 8/9 - 1/37 × 5/49 + 3/146 ×( 1/2 + 2/3 )8 × 4/5 + 8 × 11/531 × 5/6 – 5/69/7 - ( 2/7 – 10/21 )5/9 × 18 –14 × 2/74/5 × 25/16 + 2/3 × 3/4 14 × 8/7 –5/6 × 12/15 17/32 –3/4 × 9/243 × 2/9 + 1/35/7 × 3/25 + 3/73/14 × 2/3 + 1/61/5 × 2/3 + 5/69/22 + 1/11 ÷ 1/25/3 × 11/5 + 4/345 × 2/3 + 1/3 × 157/19 + 12/19 × 5/61/4 + 3/4 ÷ 2/38/7 × 21/16 + 1/2101 × 1/5 –1/5 × 2150+160÷40 (58+370)÷(64-45)120-144÷18+35347+45×2-4160÷52(58+37)÷(64-9×5)95÷(64-45)178-145÷5×6+42 420+580-64×21÷28812-700÷(9+31×11)(136+64)×(65-345÷23)85+14×(14+208÷26)(284+16)×(512-8208÷18)120-36×4÷18+35(58+37)÷(64-9×5)(6.8-6.8×0.55)÷8.50.12× 4.8÷0.12×4.8(3.2×1.5+2.5)÷1.6 (2)3.2×(1.5+2.5)÷1.6 6-1.6÷45.38+7.85-5.377.2÷0.8-1.2×56-1.19×3-0.4347.6.5×(4.8-1.2×4)0.68×1.9+0.32×1.949.5.8×(3.87-0.13)+4.2×3.74÷3.2)×2.551.[(7.1-5.6)×0.9-1.15] ÷2.552.5.4÷[2.6×(3.7-2.9)+0.62]53.12×6÷(12-7.2)-6 (4)12×6÷7.2-6 102×(-4.5)-(-3)×(-5) ÷27.8×6.9+2.2×6.9(-2)+2-(-52)×(-1) ×5+87÷(-3)×(-1) 5.6×0.258×(20-1.25)(-7.1) ×〔(-3)×(-5)〕÷2-2.5×(-4.8)×(0.09)÷(-0.27)127+352+73+44×(-2)89×276+(-135)-3325×71+75÷29 -88÷(-2)243+89+111+579405-2940÷28×21920-1680÷40÷7690+47×52-398148+3328÷64-75360×24÷32+7302100-94+48×5451+(2304-2042)×234215+(4361-716)÷81(247+18)×27÷2536-720÷(360÷18)1080÷(63-54)×80(528+912)×5-61788528÷41×38-904264+318-8280÷69(174+209)×26- (9000^0)814-(278+322)÷151406+735×9÷453168-7828÷38+504796-5040÷(630÷7)285+(3000-372)÷361+5/6-19/123x(-9)+7x(-9)(-54)x1/6x(-1/3)÷0.23)×12.(6.8-6.8×0.55)÷8.53.2×1.5+2.5÷(-1.6)(-2)×3.2×(1.5+2.5)÷1.6 5.6-1.6÷4+(6.8-9)5.38+7.85-5.37÷896-1.19×3-0.437.6.5×(4.8-1.2×4)0.68×1.9+0.32×1.99.5.8×(3.87-0.13)(-8.01)+4.2×3.74÷3.2)×2.511.[(7.1-5.6)×0.9-1.15] ÷2.512.5.4÷[2.6×(3.7-2.9)+0.62]13.12×6÷(12-7.2)-614.12×6÷7.2-6÷2.5(-5)-252×(-78)(-6) ×(-2)+3÷(5+50)7-7+3-6-(-90)(-8)(-3)×(-8)×25(7+13) ÷(-616)÷(-28)(8+14-100-27)÷4(-15) ÷(-1)-101÷1016÷0.21×(-8) ×(4.1+5.9)(-10) ×(-2) ×4÷{-9÷[6+(-5.67)]}(-18)(-4)2×[8.01×(-3.14)9-32{-890-[79+8.1] ×9}(-20)-23+(-9) ×9.42(-24)3.4×104÷(-5) ×200.96[-|98|+76+(-87)]*23[56+(-75)-(7)]-(8+4+3) 5+21*8/2-6-5968/21-8-11*8+61-2/9-7/9-564.6-(-3/4+1.6-4-3/4)1/2+3+5/6-7/12[2/3-4-1/4*(-0.4)]/1/3+222+(-4)+(-2)+4*3-2*8-8*1/2+8/1/8(2/3+1/2)/(-1/12)*(-12)(-28)/(-6+4)+(-1) +√92/(-2)+0/7-(-8)*(-2)(1/4-5/6+1/3+2/3)/1/218-6/(-3)*(-2) ×2^7(5+3/8*8/30/(-2)- √36(-84)/2*(-3)/(-6)1/2*(-4/15)/2/31+2+3+4+......+1000001/1+1/2+1/3+......1/501+1/2+1/4+1/8+1/16+......1/5123+9+27+81+243+ (9999)1+1/2+1/6+1/12+1/20+1/30+1/42+1/56+1/72+1/90 8-2×32-(-2×3)2–12 × (-3)2-(-1/2)2003×(-2)2002÷2/9 (0.5-3/2)÷3/1×[-2-(-3)3]-∣1/8-0.52∣[-38-(-1)7+(-3)8]×-53a^3-2b^3+ab(2a-b)-√a-b^215*(-8)+2b^2+(x^2+y^2)^2-4y(x^2+y^2)+4y^26-3a^8-(-5^2-6)(x^2+2x)^2+3(x^2+2x)+x^2+2x+3(a+1)(a+2)+(2a+1)(a-2)-12x^2(y+z)^2-2xy(x-z)(y+z)+y^2(x-z)^23(a+2)^2+28(a+2)-20(a+b)^2-(b-c)^2+a^2-c^28x(x+1)(x^2+x-1)-2x^2(x-1)^2-3(x^2-x)-5614a(a-b)+(a-b)^211.-ab(a-b)^+a(b-a)^212.3(x+2)-2x=5-4x13.5(x+2a)-a=2(b-2x)+4a3.14*3.42 (2)972*3.14*1/4[-|98|+76+(-87)]*23[56+(-75)-(7)]-(8+4+3) 5+21*8/2-√121-5968/21-8-11*8+61-2/9-7/9-564.6-(-3/4+1.6-4-3/4)1/2+3+5/6-7/12[2/3-4-1/4*(-0.4)]/1/3+222+(-4)+(-2)+4*3-2*8-8*1/2+8/1/8(2/3+1/2)/(-1/12)*(-12)(-28)/(-6+4)+(-1)2/(-2)+0/7-(-8)*(|-2|-5^4) (1/3+2/3)/1/2-|-9+(-5)|18-6/(-3)*(-2)-|-9|(5+3/8*8/30/(-2)-3(-84)/2*(-3)/(-6)1/2*(-4/15)/2/3|-3x+2y-5x-7y|-|-9x+2y|-5+21*8/2-6-5968/21-8-11*8+61-2/9-7/9-564.6-(-3/4+1.6-4-3/4)1/2+3+5/6-7/12[2/3-4-1/4*(-0.4)]/1/3+2 22+(-4)+(-2)+4*3-√64-5^2 -2*8-8*1/2+8/1/8(2/3+1/2)/(-1/12)*(-12) (-28)/(-6+4)+(-1)2/(-2)+0/7-(-8)*(-2)(1/4-5/6+1/3+2/3)/1/218-6/(-3)*(-2)(5+3/8*8/30/(-2)-3(-84)/2*(-3)/(-6)1/2*(-4/15)/2/3+√9-3x+2y-5x-7y+-5+21*8/2-6-5968/21-8-11*8+61-2/9-7/9-564.6-(-3/4+1.6-4-3/4)1/2+3+5/6-7/12[2/3-4-1/4*(-0.4)]/1/3+222+(-4)+(-2)+4*3-2*8-8*1/2+8/1/8(2/3+1/2)/(-1/12)*(-12) (-28)/(-6+4)+(-1)2/(-2)+0/7-(-8)*(-2)(1/4-5/6+1/3+2/3)/1/218-6/(-3)*(-2)(5+3/8*8/30/(-2)-3(-84)/2*(-3)/(-6)1/2*(-4/15)/2/3-3x+2y-5x-7y-(-3^2+5^7)-1+2-3+4-5+6-7+√9-50-28+(-24)-(-22)-19.8-(-20.3)-(+20.2)-10.8;0.25- +(-1 )-(+3 ).-1-23.33-(+76.76)1-2*2*2*2-5^2+(6^2-5^2) (-6-24.3)-(-12+9.1)+(0-2.1) -1+8-7+5^7-(-5+√9)125*3+125*5+25*3+25 9999*3+101*11*(101-92) (23/4-3/4)*(3*6+2)3/7 × 49/9 - 4/38/9 × 15/36 + 1/2712x*5/6y–2/9y*|3x-2y| 8×5/4+1/4*|-7-8|6÷ 3/8 –3/8 ÷64/7 × 5/9 + 3/7 × 5/95/2 -( 3/2 + 4/5 )7/8 + ( 1/8 + 1/9 )9 × 5/6 + 5/63/4 × 8/9 - 1/37 × 5/49 + 3/146 ×( 1/2 + 2/3 )8 × 4/5 + 8 × 11/531 × 5/6 – 5/69/7 - ( 2/7 – 10/21 )5/9 × 18 –14 × 2/74/5 × 25/16 + 2/3 × 3/4 14 × 8/7 –5/6 × 12/15 17/32 –3/4 × 9/243^45 × 2/9 + 1/35/7 × 3/25 + 3/73/14 ×2/3 + 1/61/5 × 2/3 + 5/65/3 × 11/5 + 4/39/22+1/11÷1/2-√16945^8 × 2/3 + 1/3 × 157/19 + 12/19 × 5/61/4 + 3/4 ÷ 2/38/7 × 21/16 + 1/2101^4×(-1/5–1/5×21)50+√160÷40^5120-144÷18+35347+45×2-4160÷5237^2(58+37)÷(64-9×5)95÷(64-45)178-145÷5×6+42812-700÷(9+31×11)85+14×(14+208÷26)120-36×4÷18+35(58+37)÷(64-9×5)(6.8-6.8×0.55)÷8.50.12× 4.8÷0.12×4.8(3.2×1.5+2.5)÷1.66-1.6÷4= 5.38+7.85-5.37=7.2÷0.8-1.2×5= 6-1.19×3-0.43= 6.5×(4.8-1.2×4)=5.8×(3.87-0.13)+4.2×3.7432.52-(6+9.728÷3.2)×2.5 [(7.1-5.6)×0.9-1.15] ÷2.5 5.4÷[2.6×(3.7-2.9)+0.62] 12×6÷(12-7.2)-612×6÷7.2-60.68×1.9+0.32×1.958+370)÷(64-45)420+580-64×21÷28136+6×(65-345÷23)15-10.75×0.4-5.718.1+(3-0.299÷0.23)×1 (6.8-6.8×0.55)÷8.50.12× 4.8÷0.12×4.8(3.2×1.5+2.5)÷1.63.2×6+(1.5+2.5)÷1.60.68×1.9+0.32×1.910.15-10.75×0.4-5.75.8×(3.87-0.13)+4.2×3.74 32.52-(6+9.728÷3.2)×2.5 [(7.1-5.6)×0.9-1.15] ÷2.5 5.4÷[2.6×(3.7-2.9)+0.62] 12×6÷(12-7.2)-612×6÷7.2-633.02-(148.4-90.85)÷2.5 76.(25%-695%-12%)*367/4*3/5+3/4*2/51-1/4+8/9/7/97+1/6/3/24+2/218/15*3/53/4/9/10-1/68/3+1/2)/5/6-1/3]/1/7 9/5+3/5/2+3/48^6(2-2/3/1/2)]*2/58+5268.32-25693+456-52*887.5%+63258/2+1/3+1/489+456-785%+. 3/7 × 49/9 - 4/3 9 × 15/36 + 1/272× 5/6 –2/9 ×33× 5/4 + 1/494÷ 3/8 –3/8 ÷695/7 × 5/9 + 3/7 × 5/9 6/2 -( 3/2 + 4/5 )8 + ( 1/8 + 1/9 )8 × 5/6 + 5/61/4 × 8/9 - 1/310× 5/49 + 3/141.5 ×( 1/2 + 2/3 )2/9 × 4/5 + 8 × 11/5 3.1 × 5/6 – 5/64/7 - ( 2/7 – 10/21 )19 × 18 –14 × 2/75 × 25/16 + 2/3 × 3/4 4 × 8/7 –5/6 × 12/15 7/32 –3/4 × 9/242/3÷1/2-1/4×2/52-6/13÷9/26-2/32/9+1/2÷4/5+3/810÷5/9+1/6×41/2×2/5+9/10÷9/205/9×3/10+2/7÷2/51/2+1/4×4/5-1/83/4×5/7×4/3-1/223-8/9×1/27÷1/2718×5/6+2/5÷411/2+3/4×5/12×4/58/9×3/4-3/8÷3/45/8÷5/4+3/23÷9/111.2×2.5+0.8×2.58.9×1.25-0.9×1.2512.5×7.4×0.89.9×6.4-(2.5+0.24)6.5×9.5+6.5×0.50.35×1.6+0.35×3.40.25×8.6×46.72-3.28-1.720.45+6.37+4.555.4+6.9×3-(25-2.5)2×41846-620-3804.8×46+4.8×540.8+0.8×2.51.25×3.6×8×2.5-12.5×2.4 28×12.5-12.5×2023.65-(3.07+3.65)(4+0.4×0.25)8×7×1.25 1.65×99+1.6527.85-(7.85+3.4)48×1.25+50×1.25×0.2×8 7.8×9.9+0.78(1010+309+4+681+6)×123×9146×782×6×8545.15×7/8+6.1-0.606253/7 × 49/9 - 4/38/9 × 15/36 + 1/2712× 5/6 –2/9 ×38× 5/4 + 1/46÷ 3/8 –3/8 ÷64/7 × 5/9 + 3/7 × 5/95/2 -( 3/2 + 4/5 )7/8 + ( 1/8 + 1/9 )9 × 5/6 + 5/63/4 × 8/9 - 1/37 × 5/49 + 3/146 ×( 1/2 + 2/3 )8 × 4/5 + 8 × 11/531 × 5/6 – 5/69/7 - ( 2/7 – 10/21 )5/9 × 18 –14 × 2/74/5 × 25/16 + 2/3 × 3/414 × 8/7 –5/6 × 12/1517/32 –3/4 × 9/243 × 2/9 + 1/35/7 × 3/25 + 3/73/14 × 2/3 + 1/61/5 × 2/3 + 5/69/22 + 1/11 ÷ 1/25/3 × 11/5 + 4/345 × 2/3 + 1/3 × 157/19 + 12/19 × 5/61/4 + 3/4 ÷ 2/38/7 × 21/16 + 1/2101 × 1/5 –1/5 × 2150+160÷40 (58+370)÷(64-45)120-144÷18+35347+45×2-4160÷52(58+37)÷(64-9×5)95÷(64-45)178-145÷5×6+42 420+580-64×21÷28812-700÷(9+31×11)(136+64)×(65-345÷23)85+14×(14+208÷26)(284+16)×(512-8208÷18)120-36×4÷18+35(58+37)÷(64-9×5)(6.8-6.8×0.55)÷8.50.12× 4.8÷0.12×4.8(3.2×1.5+2.5)÷1.63.2×(1.5+2.5)÷1.66-1.6÷4= 5.38+7.85-5.37=7.2÷0.8-1.2×5= 6-1.19×3-0.43=6.5×(4.8-1.2×4)= 0.68×1.9+0.32×1.9 10.15-10.75×0.4-5.75.8×(3.87-0.13)+4.2×3.7432.52-(6+9.728÷3.2)×2.5[(7.1-5.6)×0.9-1.15] ÷2.55.4÷[2.6×(3.7-2.9)+0.62]12×6÷(12-7.2)-6 (4)12×6÷7.2-6 102^2×4.5+8^5-√5297.8×6.9+2.2×6.9 5.6×0.258×(20-1.25)127+352+73+4489+276+135+3325+71+75+29 +88243+89+111+579405-2940÷28×21920-1680÷40÷7690+47×52-398148+3328÷64-75360×24÷32+7302100-94+48×5451+(2304-2042)×23 4215+(4361-716)÷81 (247+18)×27÷2536-720÷(360÷18)1080÷(63-54)×80 (528+912)×5-6178 8528÷41×38-904264+318-8280÷69(174+209)×26- 9000 814-(278+322)÷15 1406+735×9÷453168-7828÷38+504796-5040÷(630÷7)285+(3000-372)÷361+5/6-19/123x(-9)+7x(-9(-54)x1/6x(-1/3)18.1+(3-0.299÷0.23)×1 (6.8-6.8×0.55)÷8.50.12× 4.8÷0.12×4.8(3.2×1.5+2.5)÷1.63.2×(1.5+2.5)÷1.65.6-1.6÷45.38+7.85-5.377.2÷0.8-1.2×56-1.19×3-0.436.5×(4.8-1.2×4)0.68×1.9+0.32×1.9115-10.75×0.4-5.75.8×(3.87-0.13)+4.2×3.74 32.52-(6+9.728÷3.2)×2.5 [(7.1-5.6)×0.9-1.15] ÷2.5 5.4÷[2.6×(3.7-2.9)+0.62] 12×6÷(12-7.2)-612×6÷7.2-633.02-(148.4-90.85)÷2.5二.解方程2x=7(x-5)8(3x+3)=2404.74+4x-2.5x=8.1(2.81+x)÷2.81=115x-30=16(x-2)(-3)^3-3^3(-1)^2-5.62^2+3^3-4^4(2^4-3^2)^3-5^5[(1.6^2-2^3)-2.1]^2 (5.66×2)^2-15^2(-15)^x=225,x=?[(-4)^2-4^2]×2^2[(-5.6)^2+3]^2[5.6^2+(-5.6)^2]×(-1)^2 3x+28-x=561.5x+6=3.752(3.6x+2.8)=-1.69.5x+9.5=1918(x-35)=-36x+7-(-36+8^2)/2=8+7^4/3 a-7-98+7a=3.2*5a89/2+35/6x=3*9+2^3/5+7x 3X+189/3=521/24Y+119*^3=22/113X*189=5*4^5/38Z/6=458/53X+77=594Y-6985=8187X*13=57Z/93=4115X+863-65X=5458Y*55=274897(2x-1)-3(4x-1)=4(3x+2)-1(5y+1)+ (1-y)= (9y+1)+ (1-3y) [-6(-7^4*8)-4]=x+220%+(1-20%)(320-x)=320×40%2(x-2)+2=x+12(x-2)-3(4x-1)=9(1-x)11x+64-2x=100-9x15-(8-5x)=7x+(4-3x)3(x-7)-2[9-4(2-x)]=223/2[2/3(1/4x-1)-2]-x=22x+7^2=1571)判断题:判断下列方程是否是一元一次方程:①-3x-6x2=7( )③5x+1-2x=3x-2 ( )④3y-4=2y+1. ( )判断下列方程的解法是否正确:①解方程3y-4=y+3解:3y-y=3+4,2y=7,y=3.5②解方程:0.4x-3=0.1x+2解:0.4x+0.1x=2-3;0.5x=-1,x=-2③解方程解:5x+15-2x-2=10,3x=-3,x=-1;④解方程解:2x-4+5-5x=-1,-3x=-2,x= .( )2)填空题:(1)若2(3-a)x-4=5是关于x的一元一次方程,则a≠_(2)关于x的方程ax=3的解是自然数,则整数a的值为_(3)方程5x-2(x-1)=17 的解是_(4)x=2是方程2x-3=m- 的解,则m=_ .(5)若-2x2-5m+1=0 是关于x的一元一次方程,则m=_ .(6)当y=_ 时,代数式5y+6与3y-2互为相反数.(7)当m=_ 时,方程的解为0.(8)已知a≠0.则关于x的方程3ab-(a+b)x=(a-b)x的解为______ .3)选择题:(1)方程ax=b的解是().A.有一个解x= B.有无数个解C.没有解 D.当a≠0时,x=(2)解方程 ( x-1)=3,下列变形中,较简捷的是()A.方程两边都乘以4,得3( x-1)=12B.去括号,得x- =3C.两边同除以,得 x-1=4D.整理,得(3)方程2- 去分母得()A.2-2(2x-4)=-(x-7)B.12-2(2x-4)=-x-7C.12-2(2x-4)=-(x-7)D.以上答案均不对(4)若代数式比大1,则x的值是().A.13 B. C.8 D.(5)x=1.5是方程()的解.A.4x+2=2x-(-2-9)B.2{3[4(5x-1)-8]-2}=8C.4x+9 =6x+64)解答下列各题:(1)x等于什么数时,代数式的值相等?(2)y等于什么数时,代数式的值比代数式的值少3?(3)当m等于什么数时,代数式2m- 的值与代数式的值的和等于5?(4)解下列关于x的方程:①ax+b=bx+a;(a≠b);三.化简、化简求值化间求值:1、-9(x-2)-y(x-5)(1)化简整个式子。