诱导公式的化简与求值题
- 格式:doc
- 大小:439.50 KB
- 文档页数:18
1分钟学会-诱导公式化简求值问题诱导公式是指一组六个三角函数之间的关系式,它们可以相互转化。
在求解三角函数值时,有时候可以通过利用诱导公式将一个函数转化为其他函数来简化计算。
以下是一些通过使用诱导公式求解三角函数值的例子。
例1:求解sin(π/4)的值。
我们知道sin(π/4)可以通过利用45度角(π/4弧度)对应的特殊三角形上的边长比例来求解。
但是我们也可以通过使用诱导公式简化计算。
诱导公式中,我们有:sin(π/4) = (sin(π/6) + cos(π/6)) / 2现在,我们已经知道sin(π/6)和cos(π/6)的值,它们都是特殊三角形上45度角对应的边长比例:sin(π/6) = 1/2cos(π/6) = √3/2将这些值代入诱导公式中,我们可以得到:sin(π/4) = (1/2 + √3/2) / 2=(√3+1)/4因此,sin(π/4)的值是(√3 + 1) / 4例2:求解tan(7π/6)的值。
对于tan(θ),我们可以使用诱导公式:tan(θ) = sin(θ) / cos(θ)现在,我们已经知道sin(7π/6)和cos(7π/6)的值,它们可以通过特殊三角形上120度角(或7π/6弧度)对应的边长比例来求解:sin(7π/6) = -1/2cos(7π/6) = -√3/2将这些值代入诱导公式中,我们可以得到:tan(7π/6) = (-1/2) / (-√3/2)=1/√3=√3/3因此,tan(7π/6)的值是√3/3通过使用诱导公式,我们可以将一些三角函数的值转化为其他三角函数的值,从而简化计算。
需要注意的是,诱导公式中的一些值是在特殊三角形上的边长比例,这些值可以通过记忆或者推导得到。
高一数学三角函数诱导公式50道常考题经典题一、单选题1.若角的终边上有一点(-4,a),则a的值是()A. B. C. D.【答案】A【考点】任意角的三角函数的定义,诱导公式一【解析】【解答】由三角函数的定义知:,所以,因为角的终边在第三象限,所以<0,所以的值是。
【分析】三角函数是用终边上一点的坐标来定义的,和点的位置没有关系。
属于基础题型。
================================================================================2.若,则的值是( )A. B. C. D.【答案】C【解析】【解答】即,所以,,=,故选C。
【分析】简单题,此类题解的思路是:先化简已知条件,再将所求用已知表示。
================================================================================3.若,则()A. B. C. D.【答案】C【考点】诱导公式一,同角三角函数间的基本关系【解析】【解答】,故选C.================================================================================4.函数图像的一条对称轴方程是()A. B. C. D.【答案】A【考点】诱导公式一,余弦函数的图象,余弦函数的对称性【解析】【分析】,由y=cosx的对称轴可知,所求函数图像的对称轴满足即,当k=-1时,,故选A.================================================================================5.已知,则()A. B. C. D.【答案】C【考点】诱导公式一,同角三角函数间的基本关系,弦切互化【解析】【解答】因为,所以,可得,故C符合题意.故答案为:C .【分析】利用诱导公式将已知条件化简可求出tan,将中分子分母同时除以cos.================================================================================6.函数()A. 是奇函数B. 是偶函数C. 既是奇函数,又是偶函数D. 是非奇非偶函数【答案】A【考点】奇函数,诱导公式一【解析】【解答】∵,∴,∴是奇函数.故答案为:A【分析】首先利用诱导公式整理化简f(x) 的解析式,再根据奇函数的定义即可得证出结果。
运用诱导公式化简求值精选题42道一.选择题(共16小题)1.记cos(﹣80°)=k,那么tan100°=()A.B.﹣C.D.﹣2.已知cos()=,则sinθ=()A.B.C.﹣D.﹣3.计算:cos210°=()A.B.C.D.4.cos300°=()A.B.﹣C.D.5.已知,则=()A.B.C.D.6.已知sin(α﹣)=,则cos()=()A.﹣B.C.﹣D.7.sin225°=()A.B.C.﹣D.8.cos330°=()A.B.C.D.9.角α的终边在直线y=2x上,则=()A.B.1C.3D.﹣1 10.已知cos(﹣θ)=,则sin()的值是()A.﹣B.﹣C.D.11.已知,则的值等于()A.B.C.D.12.已知,则=()A.B.C.D.13.若,则等于()A.B.C.D.14.sin330°等于()A.B.C.D.15.已知tanθ=3,则等于()A.B.C.0D.16.已知f(α)=,则的值为()A.B.C.D.二.填空题(共18小题)17.已知tan(3π+α)=2,则=.18.已知,则=.19.化简:=.20.设tanα=3,则=.21.已知,且,则=.22.已知,则=.23.化简:的值为.24.化简:=.25.若cos(﹣α)=,则sin(+α)=26.已知,则的值为.27.sin600°=.28.已知,则sinα=.29.已知角α终边上一点P(﹣4,3),则的值.30.化简:=.31.若角θ的终边经过点(﹣3,4),则sin(+θ)+cos(π﹣θ)+tan(2π﹣θ)=.32.已知,则tan(π﹣α)的值是.33.若α∈(0,π),且,则=.34.已知sin(π﹣α)+2cos(π+α)=0,则=.三.解答题(共8小题)35.已知α是第二象限角,且sinα=.(1)求tanα的值;(2)求的值.36.已知α是第三象限角,f(α)=.(1)化简f(α);(2)若cos(α﹣π)=,求f(α)的值;(3)若α=﹣1860°,求f(α)的值.37.若α为第二象限角,sin(+α)=﹣,(1)求sinα的值;(2)若f(α)=,求f(α)的值.38.已知角α为第一象限角,且sinα=.(1)求cosα,tanα的值;(2)求的值.39.已知f(α)=.(1)若α=﹣,求f(α)值;(2)若α为第三象限角,且,求f(α)的值.40.已知角α的终边与单位圆交于点P(,).(1)求sinα、cosα、tanα的值;(2)求的值.41.已知.(1)化简f(α);(2)若,求的值.42.已知,f(α)=.(1)化简f(α);(2)若=﹣,求tanα.运用诱导公式化简求值精选题42道参考答案与试题解析一.选择题(共16小题)1.记cos(﹣80°)=k,那么tan100°=()A.B.﹣C.D.﹣【分析】法一:先求sin80°,然后化切为弦,求解即可.法二:先利用诱导公式化切为弦,求出求出结果.【解答】解:法一:,所以tan100°=﹣tan80°=.法二:cos(﹣80°)=k⇒cos(80°)=k,=.故选:B.【点评】本小题主要考查诱导公式、同角三角函数关系式等三角函数知识,并突出了弦切互化这一转化思想的应用.2.已知cos()=,则sinθ=()A.B.C.﹣D.﹣【分析】利用二倍角的余弦公式、诱导公式,求得sinθ的值.【解答】解:∵cos()=,∴cos(﹣θ)=2﹣1=﹣=sinθ,即sinθ=﹣,故选:C.【点评】本题主要考查二倍角的余弦公式、诱导公式的应用,属于基础题.3.计算:cos210°=()A.B.C.D.【分析】把所求式子中的角210°变为180°+30°,利用诱导公式cos(180+α)=﹣cosα及特殊角的三角函数值化简,即可求出原式的值.【解答】解:cos210°=cos(180°+30°)=﹣cos30°=﹣.故选:B.【点评】此题考查了运用诱导公式化简求值,其中灵活变换角度,熟练掌握诱导公式是解本题的关键.4.cos300°=()A.B.﹣C.D.【分析】利用三角函数的诱导公式,将300°角的三角函数化成锐角三角函数求值.【解答】解:∵.故选:C.【点评】本小题主要考查诱导公式、特殊三角函数值等三角函数知识.5.已知,则=()A.B.C.D.【分析】由诱导公式,化简已知条件以及所求的表达式,然后求解即可.【解答】解:∵,∴sin[]=sin()=,则=sin(π﹣α+)=﹣sin(α+)=﹣,故选:C.【点评】本题主要考查给值求值问题,熟记诱导公式即可,属于基础题型.6.已知sin(α﹣)=,则cos()=()A.﹣B.C.﹣D.【分析】运用﹣α、﹣α的诱导公式,计算即可得到.【解答】解:sin(α﹣)=,即为sin(﹣α)=﹣,即有sin[﹣(+α)]=﹣,即cos()=﹣.故选:A.【点评】本题考查三角函数的求值,考查三角函数的诱导公式的运用,考查运算能力,属于基础题.7.sin225°=()A.B.C.﹣D.【分析】把225°写为180°+45°由诱导公式二得特殊角的正弦角,由特殊角正弦值得结果.【解答】解:sin225°=sin(180°+45°)=﹣sin45°=﹣.故选:A.【点评】本题考查用诱导公式化简求值,诱导公式一到四可以把任意角的三角函数化为锐角的三角函数,是基础题.8.cos330°=()A.B.C.D.【分析】由cos(α+2kπ)=cosα、cos(﹣α)=cosα解之即可.【解答】解:cos330°=cos(360°﹣30°)=cos(﹣30°)=cos30°=,故选:C.【点评】本题考查余弦函数的诱导公式.9.角α的终边在直线y=2x上,则=()A.B.1C.3D.﹣1【分析】由已知求得tanα,再由同角三角函数基本关系式化弦为切求解.【解答】解:∵角α的终边在直线y=2x上,∴tanα=2.∴===.故选:C.【点评】本题考查三角函数的化简求值,考查诱导公式及同角三角函数基本关系式的应用,是基础题.10.已知cos(﹣θ)=,则sin()的值是()A.﹣B.﹣C.D.【分析】由已知及诱导公式即可计算求值.【解答】解:cos(﹣θ)=sin[﹣(﹣θ)]=sin()=,故选:C.【点评】本题主要考查了诱导公式在三角函数求值中的应用,属于基础题.11.已知,则的值等于()A.B.C.D.【分析】观察发现,那么=cos(α+)利用诱导公式求解即可.【解答】解:由,则=cos(α+)=sin(α﹣)=.故选:A.【点评】本题主要考查诱导公式的灵活应用和构造思想,属于基本知识的考查.12.已知,则=()A.B.C.D.【分析】由已知直接利用三角函数的诱导公式化简求值.【解答】解:∵,∴=cos[﹣()]=,故选:C.【点评】本题考查三角函数的化简求值,考查诱导公式的应用,是基础题.13.若,则等于()A.B.C.D.【分析】直接利用诱导公式化简求解即可.【解答】解:,则=sin(﹣)=,故选:A.【点评】本题考查诱导公式的应用,三角函数化简求值.14.sin330°等于()A.B.C.D.【分析】根据330°=360°﹣30°,由诱导公式可得答案.【解答】解:∵故选:B.【点评】本题主要考查根据三角函数的诱导公式进行化简求值的问题.属基础题.对于三角函数的诱导公式一定要强化记忆.15.已知tanθ=3,则等于()A.B.C.0D.【分析】由题意利用诱导公式、同角三角函数的基本关系,化简所给的式子,可得结果.【解答】解:∵tanθ=3,则====,故选:B.【点评】本题主要考查应用诱导公式化简三角函数式,同角三角函数的基本关系,要特别注意符号的选取,这是解题的易错点,属于基础题.16.已知f(α)=,则的值为()A.B.C.D.【分析】已知关系式右边利用诱导公式化简确定出f(α),即可求出所求式子的值.【解答】解:f(α)==cosα,则f(﹣)=cos(﹣)=cos(8π+)=cos=.故选:B.【点评】此题考查了运用诱导公式化简求值,熟练掌握诱导公式是解本题的关键.二.填空题(共18小题)17.已知tan(3π+α)=2,则=2.【分析】利用诱导公式把tan(3π+α)=2化简,得tanα=2,再利用诱导公式化简所求表达式,令分式的分子分母同除cosα,得到只含有tanα的式子,把tanα=2代入即可.【解答】解:由tan(3π+α)=2,可得tanα=2,则=====2,故答案为:2.【点评】本题主要考查诱导公式和同角三角函数关系式在三角函数化简求值中的应用,应用诱导公式时,注意符号的正负.18.已知,则=.【分析】原式利用诱导公式化简,将sinα的值代入计算即可求出值.【解答】解:∵sinα=,∴cos(+α)=﹣sinα=﹣.故答案为:﹣【点评】此题考查了运用诱导公式化简求值,熟练掌握诱导公式是解本题的关键.19.化简:=tanα.【分析】由已知利用诱导公式,同角三角函数基本关系式即可化简求值得解.【解答】解:===tanα.故答案为:tanα.【点评】本题主要考查了诱导公式,同角三角函数基本关系式在三角函数化简求值中的应用,属于基础题.20.设tanα=3,则=2.【分析】利用诱导公式、同角三角函数的基本关系化简所给的式子,可得结果.【解答】解:∵tanα=3,则=====2,故答案为:2.【点评】本题主要考查同角三角函数的基本关系、诱导公式的应用,属于基础题.21.已知,且,则=.【分析】先利用同角三角函数基本关系求得sinα的值,在利用诱导公式对原式化简整理,把cosα和sinα的值代入即可求得答案.【解答】解:∵∴sinα=﹣=﹣∴原式===﹣2故答案为:﹣2【点评】本题主要考查了运用诱导公式化简求值的问题.解题时注意三角函数的正负.22.已知,则=.【分析】利用诱导公式化简求解即可.【解答】解:.故答案为:﹣.【点评】本题主要考查诱导公式.三角函数求值,是基本知识的考查.23.化简:的值为1.【分析】运用诱导公式及特殊角的三角函数值即可求值.【解答】解:=﹣sin(3π+)+cos2640°+tan1665°=sin+cos(360°×7+120°)+tan(360°×4+225°)=+cos(180°﹣60°)+tan(180°+45°)=﹣cos60°+tan45°=﹣+1=1.故答案为:1.【点评】本题主要考查了诱导公式及特殊角的三角函数值的应用,属于基础题.24.化简:=﹣1.【分析】利用诱导公式化简即可求解.【解答】解:===﹣1.故答案为:﹣1.【点评】本题主要考查了诱导公式在三角函数化简求值中的应用,属于基础题.25.若cos(﹣α)=,则sin(+α)=【分析】由题意利用诱导公式,求得所给式子的值.【解答】解:cos(﹣α)=,则sin(+α)=cos[﹣(﹣α)]=cos(﹣α)=,故答案为:.【点评】本题主要考查诱导公式的应用,属于基础题.26.已知,则的值为.【分析】由已知利用诱导公式可求tanα的值,进而利用诱导公式,同角三角函数基本关系式化简所求即可求解.【解答】解:因为,可得tanα=,所以====.故答案为:.【点评】本题主要考查了诱导公式,同角三角函数基本关系式在三角函数化简求值中的应用,考查了转化思想,属于基础题.27.sin600°=.【分析】利用诱导公式直接化简sin600°为﹣sin60°,然后求出它的值即可.【解答】解:sin600°=sin(360°+240°)=sin240°=sin(180°+60°)=﹣sin60°=﹣.故答案为:.【点评】本题考查三角函数求值与化简,正确应用诱导公式是解决三角函数求值的重点,一般思路,负角化简正角,大角化小角(锐角).28.已知,则sinα=﹣.【分析】由已知利用诱导公式即可计算得解.【解答】解:因为,所以﹣sinα=,则sinα=﹣.故答案为:﹣.【点评】本题主要考查了诱导公式在三角函数化简求值中的应用,属于基础题.29.已知角α终边上一点P(﹣4,3),则的值.【分析】由条件利用任意角的三角函数的定义,求得sinα和cosα的值,再利用同角三角函数的基本关系、诱导公式求得所给式子的值.【解答】解:∵角α终边上一点P(﹣4,3),∴x=﹣4,y=3,r=|OP|=5,∴sinα==,cosα==﹣,∴原式==﹣=﹣=.故答案为:.【点评】本题主要考查任意角的三角函数的定义,同角三角函数的基本关系、诱导公式的应用,属于基础题.30.化简:=1.【分析】由条件利用诱导公式进行化简所给的式子,可得结果.【解答】解:=••=1,故答案为:1.【点评】本题主要考查诱导公式的应用,属于基础题.31.若角θ的终边经过点(﹣3,4),则sin(+θ)+cos(π﹣θ)+tan(2π﹣θ)=.【分析】运用诱导公式化简所求,根据任意角的三角函数的定义即可求解.【解答】解:由诱导公式可得,又角θ的终边经过点(﹣3,4),所以,所以.故答案为:.【点评】本题主要考查了诱导公式,任意角的三角函数的定义在三角函数化简求值中的应用,考查了转化思想,属于基础题.32.已知,则tan(π﹣α)的值是﹣2.【分析】由已知利用诱导公式可得﹣2cosα=﹣sinα,根据同角三角函数基本关系式可求tanα的值,利用诱导公式化简所求即可得解.【解答】解:∵,∴﹣2cosα=﹣sinα,可得tanα=2,∴tan(π﹣α)=﹣tanα=﹣2.故答案为:﹣2.【点评】本题主要考查了诱导公式,同角三角函数基本关系式在三角函数化简求值中的应用,考查了转化思想,属于基础题.33.若α∈(0,π),且,则=.【分析】由题意,利用诱导公式可得,从而根据诱导公式及同角三角函数的基本关系求解即可.【解答】解:∵α∈(0,π),且,∴,∴,故答案为.【点评】本题考查了诱导公式及同角三角函数的基本关系,考查了推理能力与计算能力,属于基础题.34.已知sin(π﹣α)+2cos(π+α)=0,则=.【分析】由已知利用诱导公式,同角三角函数基本关系式可求tanα=2,进而利用同角三角函数基本关系式化简所求即可求值得解.【解答】解:∵sin(π﹣α)+2cos(π+α)=0,∴sinα﹣2cosα=0,可得tanα=2,∴====.故答案为:.【点评】本题主要考查了诱导公式,同角三角函数基本关系式在三角函数化简求值中的应用,考查了转化思想,属于基础题.三.解答题(共8小题)35.已知α是第二象限角,且sinα=.(1)求tanα的值;(2)求的值.【分析】(1)由已知利用同角三角函数基本关系式即可求值得解;(2)利用诱导公式,同角三角函数基本关系式化简所求即可求值得解.【解答】(本小题满分14分)解:(1)因为α是第二象限角,且sinα=,所以cosα=﹣=﹣,所以tanα==﹣2.(2)=====.【点评】本题主要考查了同角三角函数基本关系式,诱导公式在三角函数化简求值中的应用,考查了计算能力和转化思想,属于基础题.36.已知α是第三象限角,f(α)=.(1)化简f(α);(2)若cos(α﹣π)=,求f(α)的值;(3)若α=﹣1860°,求f(α)的值.【分析】(1)f(α)利用诱导公式及同角三角函数间的基本关系化简即可得到结果;(2)由已知等式求出sinα的值,代入计算即可求出f(α)的值;(3)把α度数代入计算即可求出f(α)的值.【解答】解:(1)f(α)==cosα;(2)∵cos(α﹣π)=﹣sinα=,即sinα=﹣,且α为第三象限角,∴cosα=﹣=﹣,则f(α)=cosα=﹣;(3)把α=﹣1860°代入得:f(﹣1860°)=cos(﹣1860°)=cosα1860°=cos(5×360°+60°)=cos60°=.【点评】此题考查了同角三角函数基本关系的运用,运用诱导公式化简求值,熟练掌握基本关系是解本题的关键.37.若α为第二象限角,sin(+α)=﹣,(1)求sinα的值;(2)若f(α)=,求f(α)的值.【分析】(1)由已知利用诱导公式可求cosα的值,根据同角三角函数基本关系式可求sinα的值.(2)利用诱导公式即可化简求值得解.【解答】解:(1)∵α为第二象限角,sin(+α)=cosα=﹣,∴sinα==;(2)∵f(α)===sinα,∴f(α)=.【点评】本题主要考查了诱导公式,同角三角函数基本关系式在三角函数化简求值中的应用,考查了计算能力和转化思想,属于基础题.38.已知角α为第一象限角,且sinα=.(1)求cosα,tanα的值;(2)求的值.【分析】(1)由已知利用同角三角函数基本关系式即可求解;(2)利用诱导公式,同角三角函数基本关系式即可化简求解.【解答】解:(1)∵角α为第一象限角,且sinα=,∴cos=,tanα==.(2)==3+=3+=7.【点评】本题主要考查了诱导公式,同角三角函数基本关系式在三角函数化简求值中的应用,考查了转化思想,属于基础题.39.已知f(α)=.(1)若α=﹣,求f(α)值;(2)若α为第三象限角,且,求f(α)的值.【分析】(1)利用诱导公式化简函数解析式,进而根据特殊角的三角函数值即可计算得解.(2)利用诱导公式化简已知等式,结合α为第三象限角,利用同角三角函数基本关系式即可计算得解.【解答】解:(1)由于,又,所以f(α)===﹣.(2)因为,又因为α为第三象限角,所以.【点评】本题主要考查了诱导公式,特殊角的三角函数值,同角三角函数基本关系式在三角函数化简求值中的应用,考查了转化思想,属于基础题.40.已知角α的终边与单位圆交于点P(,).(1)求sinα、cosα、tanα的值;(2)求的值.【分析】(1)根据已知角α的终边与单位圆交于点P(,).结合三角函数的定义即可得到sinα、cosα、tanα的值;(2)依据三角函数的诱导公式化简即可:=,最后利用第(1)小问的结论得出答案.【解答】解:(1)已知角α的终边与单位圆交于点P(,).∴x==,r=1,∴sinα=;cosα=;tanα=;(6分)(2)==.(14分)【点评】本题考查任意角的三角函数的定义,运用诱导公式化简求值.本题是基础题,解答关键是熟悉任意角的三角函数的定义,单位圆的知识.41.已知.(1)化简f(α);(2)若,求的值.【分析】(1)利用诱导公式化简f(α)的解析式,可得结果.(2)由题意利用同角三角函数的基本关系求得sinα+cosα和sinα•cosα的值,从而求得要求式子的值.【解答】解:(1)=+cosα=sinα+cosα.(2)若=sinα+cosα,∴平方可得1+2sinαcosα=,∴sinαcosα=﹣.∴===﹣.【点评】本题主要考查利用诱导公式进行化简求值,同角三角函数的基本关系,属于基础题.42.已知,f(α)=.(1)化简f(α);(2)若=﹣,求tanα.【分析】(1)利用诱导公式,同角三角函数基本关系式即可化简得解.(2)由(1)及已知利用诱导公式可得cosα=﹣,分类讨论,利用同角三角函数基本关系式即可计算得解.【解答】解:(1)f(α)===sinα.(2)∵=﹣,∴sin(﹣α)=﹣,可得cosα=﹣,∴α是第二或第三象限角,当α是第二象限角时,sinα==,tan=﹣,当α是第三象限角时,sinα=﹣=﹣,tan=.【点评】本题主要考查了诱导公式,同角三角函数基本关系式在三角函数化简求值中的应用,考查了计算能力和转化思想,属于基础题.。
1分钟学会-诱导公式化简求值问题【三角函数】要解决诱导公式化简求值问题,我们需要熟练掌握三角函数的基本性质和诱导公式。
三角函数分为正弦函数、余弦函数、正切函数和余切函数。
诱导公式是指把角度推导至一定范围内的公式,如将三角函数的角度推导至0-90度范围内,以此进行计算简化。
在解决诱导公式化简求值问题的过程中,需要注意以下几个步骤:1. 确定所给的三角函数公式及其角度范围。
2. 将所给的角度表示成诱导公式中的角度形式。
3. 按照诱导公式进行化简,得到最简形式。
4. 根据所求解的范围,代入得到三角函数的精确值或近似值。
例如,我们要对三角函数$sin(105^{\circ})$进行化简求值。
由于$105^{\circ}$超出了0-90度的范围,因此需要使用诱导公式进行化简。
我们有以下步骤:1. 由于$sin(180^{\circ}-x)=sin(x)$,因此可以将$sin(105^{\circ})$表示为$sin(180^{\circ}-105^{\circ})=sin(75^{\circ})$。
2. 根据诱导公式$sin(A\pm B)=sinAcosB\pm cosAsinB$,将$sin(75^{\circ})$化简为$sin(45^{\circ}+30^{\circ})=sin45^{\circ}cos30^{\circ}+cos45^{\ circ}sin30^{\circ}$。
3. 代入$sin45^{\circ}=\frac{\sqrt{2}}{2}$,$cos30^{\circ}=\frac{\sqrt{3}}{2}$和$sin30^{\circ}=\frac{1}{2}$,得到$sin(105^{\circ})=\frac{\sqrt{6}+\sqrt{2}}{4}$。
最后,需要注意在求值时,应根据题目要求选择精确值或近似值,并保留正确的有效位数。
掌握诱导公式化简求值问题,对于解决三角函数相关计算问题具有重要意义。
诱导公式的化简与求值1.已知角α终边上一点P(﹣,1)(1)求的值(2)写出角α的集合S.考点:任意角的三角函数的定义;运用诱导公式化简求值.专题:计算题.分析:先求出点P(﹣,1)到原点的距离,再由定义求出角α的三角函数值,(1)先用诱导公式化简,再代入角α的三角函数值求值;(2)写出角α的集合S,由于本题中的角是一个特殊角,故可以用终边相同的角将它表示出来.解答:解:点P(﹣,1)到原点的距离是2,由定义sinα=,cosα=﹣(1)==﹣==﹣(2)由sinα=,cosα=﹣知角α的终边与角的终边相同,故α=2kπ+,k∈z故S={α|α=2kπ+,k∈z}2.已知角α的终边经过点P(,﹣).(1)求sinα的值.(2)求式﹣的值考点:任意角的三角函数的定义;运用诱导公式化简求值.专题:计算题.分析:(1)求出|OP|,利用三角函数的定义,直接求出sinα的值.(2)利用诱导公式化简表达式,根据角的终边所在象限,求出cosα=,可得结果.解答:解:(1)∵|OP|=,∴点P在单位圆上.(2分)由正弦函数的定义得sinα=﹣(5分)(2)原式=(9分)=..(10分)由余弦的定义可知,cosα=(11分)即所求式的值为(12分)3.已知角α终边上一点A的坐标为,(1)求角α的集合(6分)(2)化简下列式子并求其值:(6分)考点:三角函数的化简求值;终边相同的角;同角三角函数间的基本关系;诱导公式的作用.专题:计算题.分析:(1)根据角的终边过一个定点,根据三角函数的定义做出角的正弦值,根据角的终边在第四象限,写出与角终边相同的所有的角的集合.(2)首先用诱导公式进行整理,再把正割与余割变化成正弦与余弦的形式,约分整理出最简形式,得到结果.解答:解:(1)点P到原点的距离为r=根据三角函数的定义,得….(2分)∵点P在第四象限,也就是角α在第四象限….(4分)∴α的集合是…(6分)(2)原式=….(8分)==﹣sinα=4.(1)已知tanα=2,求的值(2)已知cos(75°+α)=,其中﹣180°<α<﹣90°,求sin(105°﹣α)+cos(375°﹣α)的值.考点:同角三角函数基本关系的运用;运用诱导公式化简求值.专题:计算题.分析:(1)利用诱导公式化简表达式,应用tanα=2求出,代入化简后的表达式即可求出原式的值.(2)利用诱导公式化简sin(105°﹣α)+cos(375°﹣α),为2sin(75°+α),利用求出2sin(75°+α)即可.。
1分钟学会-诱导公式化简求值问题【三角函数】在数学中,诱导公式是指将某个三角函数表达式中的自变量通过某种方式转换成其他三角函数的自变量的公式。
主要应用于三角函数的公式化简和求值。
常见的诱导公式有三个,它们分别是正弦诱导公式、余弦诱导公式和正切诱导公式。
下面我们来一一介绍它们的具体内容以及应用方法。
正弦诱导公式:$$\sin(A+B)=\sin A\cos B+\cos A\sin B$$这个公式主要应用于将$\sin(A+B)$转换成其他三角函数的和的形式。
可以通过将公式右边的$\cos A$换成$\sin(A+\frac{\pi}{2})$,将公式左边的$\sin(A+B)$替换成$\sin C$,最终得到以下诱导公式:$$\sin C=2\sin\frac{C}{2}\cos\frac{C}{2}$$余弦诱导公式:$$\cos(A+B)=\cos A\cos B-\sin A\sin B$$这个公式主要应用于将$\cos(A+B)$转换成其他三角函数的和的形式。
可以通过将公式右边的$\sin A$换成$\cos(A+\frac{\pi}{2})$,将公式左边的$\cos(A+B)$替换成$\cos C$,最终得到以下诱导公式:$$\cos C=2\cos^2\frac{C}{2}-1=1-2\sin^2\frac{C}{2}$$这个公式有一个重要的应用,即将$\cos C$转换成$\sin C$。
正切诱导公式:$$\tan(A+B)=\frac{\tan A+\tan B}{1-\tan A\tan B}$$这个公式主要应用于将$\tan(A+B)$转换成其他三角函数的和的形式。
可以通过将公式右边的$\tan A$和$\tan B$分别换成$\frac{\sin A}{\cos A}$和$\frac{\sin B}{\cos B}$,并进行通分,最终得到以下诱导公式:$$\tan C=\frac{2\tan\frac{C}{2}}{1-\tan^2\frac{C}{2}}$$这个公式可以看作是正切半角公式的推广。
1.(1)化简:()()()()3tan cos 2sin 2cos sin ⎛⎫---+ ⎪⎝⎭----ππαπαααππα; (2)已知1sin 35⎛⎫+= ⎪⎝⎭πα,求5cos 6⎛⎫+ ⎪⎝⎭πα的值. 【来源】江西省樟树中学2017-2018学年人教A 版高一下学期第一次月考数学(理)试题2.已知角α的终边经过点(P m,sin αα为第二象限. (1)求m 的值;(2)若tan =β()()sin cos 3sin sin 2cos cos 3sin sin ⎛⎫++ ⎪⎝⎭+--παβαβπαβαβ的值. 【来源】【全国百强校】广东省揭阳市第一中学2017-2018学年高一下学期第一次月考数学(理)试题3.已知π40,sin 25<<=αα. (1)求tan α的值;(2)求()()()sin 2cos 2sin cos ⎛⎫+-+ ⎪⎝⎭--++παπααπα的值. 【来源】【全国百强校】广西河池市高级中学2017-2018学年高一下学期第二次月考数学试题4.已知sin =α,且α是第一象限角。
(1)求cos α的值。
(2)求()()3sin 2tan cos ⎛⎫- ⎪⎝⎭++-πααππα的值。
【来源】河南省林州一中(分校部)2017-2018学年下学期高一4月调研考试数学试题5.求证: ()()()tan 2sin 2cos 6tan 33sin cos 22----=-⎛⎫⎛⎫++ ⎪ ⎪⎝⎭⎝⎭παπαπααππαα. 【来源】河南省林州一中(分校部)2017-2018学年下学期高一4月调研考试数学试题6.(1)计算:191425sin cos 634⎛⎫+-+ ⎪⎝⎭tan πππ (2)求()=f x 的定义域. 【来源】江西省樟树中学2017-2018学年人教A 版高一下学期第一次月考数学(文)试题7.已知sin =α,且α是第一象限角。
(1)求cos α的值。
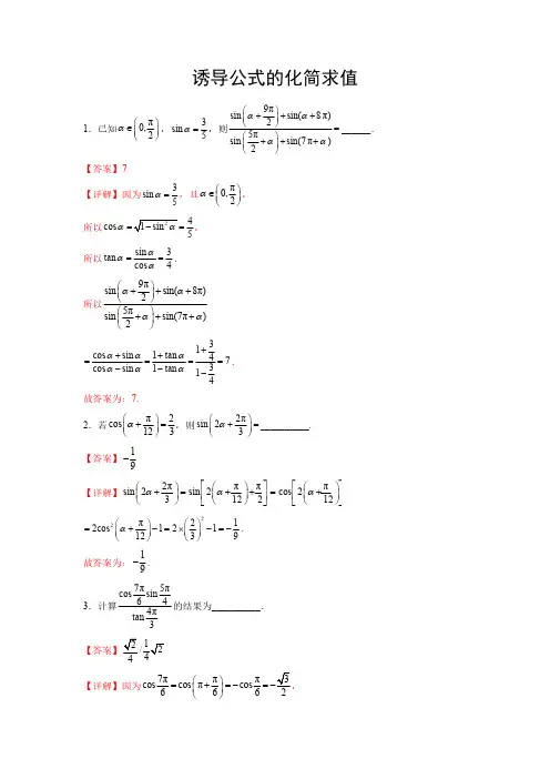
诱导公式的化简求值1.已知π0,2α⎛⎫∈ ⎪⎝⎭,3sin 5α=,则9πsin sin(8π)25πsin sin(7π)2αααα⎛⎫+++ ⎪⎝⎭=⎛⎫+++ ⎪⎝⎭______.【答案】7【详解】因为3sin 5α=,且π0,2α⎛⎫∈ ⎪⎝⎭,所以4cos 5α==,所以sin 3tan cos 4ααα==.所以9πsin sin(8π)25πsin sin(7π)2αααα⎛⎫+++ ⎪⎝⎭⎛⎫+++ ⎪⎝⎭31cos sin 1tan 473cos sin 1tan 14αααααα+++====---.故答案为:7.2.若π2cos 123α⎛⎫+= ⎪⎝⎭,则2πsin 23α⎛⎫+= ⎪⎝⎭__________.【答案】19-【详解】2ππππsin 2sin 2cos 2312212ααα⎡⎤⎡⎤⎛⎫⎛⎫⎛⎫+=++=+ ⎪ ⎪ ⎪⎢⎥⎢⎥⎝⎭⎝⎭⎝⎭⎣⎦⎣⎦22π212cos 1211239α⎛⎫⎛⎫=+-=⨯-=- ⎪ ⎪⎝⎭⎝⎭.故答案为:19-.3.计算7π5πcos sin 644πtan 3的结果为__________.【答案】4【详解】因为7πππcoscos πcos 666⎛⎫=+=-= ⎪⎝⎭5πππsin sin πsin 444⎛⎫=+=-=- ⎪⎝⎭4πππtan tan πtan 333⎛⎫=+= ⎪⎝⎭所以7π5πcos sin 22644πtan 3⎛⎫⎛⎫-⨯ ⎪ ⎪=故答案为:4.4.点()3,4A 在角θ的终边上,则sin(π)2cos πcos()cos 2θθθθ++=--__________.【答案】2【详解】因为点()3,4A 在角θ的终边上,则4tan 3θ=,所以42sin(π)2cos sin 2cos tan 232π4sin cos tan 1cos()cos 123θθθθθθθθθθ-+++-+-+===-----.故答案为:25.若1sin 3α=,则πcos 2α⎛⎫+= ⎪⎝⎭__________.【答案】13-【详解】π1cos sin 23αα⎛⎫+=-=- ⎪⎝⎭.故答案为:13-6.已知角α终边上一点()2,3P -,则()()πcos sin π23πcos πcot 2αααα⎛⎫+- ⎪⎝⎭=⎛⎫++ ⎪⎝⎭________.【答案】【详解】由诱导公式知,()()πcos sin πsin sin 2sin 3πcos (tan )cos πcot 2ααααααααα⎛⎫+- ⎪-⋅⎝⎭===--⋅-⎛⎫++ ⎪⎝⎭,因为角α终边上一点()2,3P -,所以sin α所以原式sin 13α=-=-.故答案为:7.23πtan 3⎛⎫-= ⎪⎝⎭____.【详解】23π23π2π2ππtan(tan tan(7π)tan tan 33333-=-=-+=-=8.cos660︒=________.【答案】12/0.5【详解】()()1cos660cos 236060cos 60cos602︒=⨯︒-︒=-︒=︒=故答案为:129.化简:()()()()sin 2πcos 6πcos πsin 5πθθθθ---=-+_____.【答案】1-【详解】原式=()()()()()()()sin cos sin cos 1cos πsin πcos sin θθθθθθθθ-⋅--⋅==-+⋅+-⋅-.故答案为:1-.10.若()sin π3α-=,则πcos 2α⎛⎫+= ⎪⎝⎭______.【答案】【详解】因为()sin sin παα-=所以πcos sin 2αα⎛⎫+=-=- ⎪⎝⎭.故答案为:11.()()cos πππsin cos sin π22αααα-⎛⎫⎛⎫-+ ⎪ ⎪-⎝⎭⎝⎭=____________【答案】2cos α-【详解】原式()()()2cos cos sin cos sin ααααα-=⋅⋅-=--故答案为:2cos α-.12.已知()1cos π2α+=-,3π2π2α<<,则()sin 3πα+=_________.【答案】2【详解】()1cos π2α+=- ,1cos 2α∴-=-,即1cos 2α=,3π2π2α<<,sin 2α∴==()sin 3πsin αα∴+=-=13.()()()()tan 2πsin 2πcos 6πcos π3ππsin cos 22x x x x x x -----=⎛⎫⎛⎫+- ⎪ ⎪⎝⎭⎝⎭__________【答案】sin x【详解】()()()tan 2πtan ,sin 2πsin sin x x x x x -=---=-=-,()()()cos 6πcos cos ,cos πcos x x x x x -=-=-=-,3ππsin cos ,cos sin 22x x x x ⎛⎫⎛⎫+=-= ⎪ ⎪⎝⎭⎝⎭,原式()()()()tan sin cos cos tan cos sin cos sin x x x x x x x x x-⨯-⨯⨯-==⨯=-⨯,故答案为:sin x .14.若α的终边过点()1,2-,则()()sin ππsin cos π2ααα-=⎛⎫+-+ ⎪⎝⎭______.【答案】1-【详解】因为α的终边过点(1,2)-,由三角函数的定义可得2tan 21α==--,所以()()sin πsin 11tan (2)1πcos cos 22sin cos π2ααααααα-===⨯-=-+⎛⎫+-+ ⎪⎝⎭.故答案为:1-15.已知()1sin π3α+=,则πcos()2α+=_________________.【答案】13【详解】由已知1sin(π)sin 3αα+=-=,1sin 3α=-,所以π1cos()sin 23αα+=-=.故答案为:13.16.若角α的终边过点()1,2-,则πsin 2α⎛⎫-= ⎪⎝⎭__________.【答案】【详解】角α的终边过点(1,2)-,由三角函数的定义得cos α=由诱导公式得ππsin sin cos 225ααα⎛⎫⎛⎫-=--=-=- ⎪ ⎪⎝⎭⎝⎭,故答案为:17.1717cos πsin π44⎛⎫⎛⎫---= ⎪ ⎪⎝⎭⎝⎭______.【详解】17π17π17π17πππcos sin cos sin cos 4πsin 4π444444⎛⎫⎛⎫⎛⎫⎛⎫---=+=+++ ⎪ ⎪ ⎪ ⎪⎝⎭⎝⎭⎝⎭⎝⎭ππcos sin 4422=+=;.18.7πsin 3的值为__________【答案】2【详解】7πππsinsin 2πsin 3332⎛⎫=+== ⎪⎝⎭.19.已知5sin 13α=,则πcos 2α⎛⎫+= ⎪⎝⎭______.【答案】513-【详解】由π5cos sin 213αα⎛⎫+=-=- ⎪⎝⎭.故答案为:513-20.已知tan 3α=,求sin(4)3cos()92sin()sin(7)2παπαπαπα-+--=-+-+_________【答案】-6【详解】原式=sin 3cos tan 33362cos sin 2tan 23αααααα------===--+-+-+.故答案为:-6.21.已知角x 在第二象限,且π4cos ,25x ⎛⎫+=- ⎪⎝⎭则tan 2x =______.【答案】247/337【详解】π4cos 25x ⎛⎫+=- ⎪⎝⎭,即4sin 5x -=-,则4sin 5x =, 角x在第二象限,则3cos 5x ==-,则4tan 3x =-,22tan 24tan 21tan 7x x x ∴==-.故答案为:247.22.若()1sin π2A +=-,则3πcos 2A ⎛⎫-= ⎪⎝⎭____________.【答案】12-/-0.5【详解】因为()2π3π5π2A A ⎛⎫-= ⎪⎝⎭+-,所以3πcos 2A ⎛⎫-= ⎪⎝⎭()()()()5πππ1cos πcos πcos πsin π2222A A A A ⎡⎤⎡⎤⎡⎤+-=+-=-+=+=-⎢⎥⎢⎥⎢⎥⎣⎦⎣⎦⎣⎦.故答案为:12-23.化简:()()tan cos 3ππ2co i πt 2πs n 2αααα⎛⎫- ⎪-⎝⎭⋅=+⎛⎫+ ⎪⎝⎭_________.【答案】1【详解】()()tan cos 3πcos cot 21cot 2πcos cot πi 2πs n αααααααα⎛⎫- ⎪---⎝⎭⋅=⋅=+⎛⎫+ ⎪⎝⎭.故答案为:124.已知α是第二象限角,1sin 3α=,则πsin 2α⎛⎫+= ⎪⎝⎭________.【答案】3-/【详解】因为α是第二象限角,1sin 3α=,所以πsin cos 2αα⎛⎫+==-- ⎪⎝⎭故答案为:25.已知1tan 2α=,则()cos ππcos 2αα-=⎛⎫+ ⎪⎝⎭__________.【答案】2【详解】因为1tan 2α=,所以()cos πcos 12πsin tan cos 2ααααα--===-⎛⎫+ ⎪⎝⎭.故答案为:2.26.已知1cos 2α=,3π2π2α<<,则()sin 2πα-=______.【答案】2【详解】因为13πcos ,2π22αα=<<,所以sin2α==-,所以sin(2)sinπαα-=-=.故答案为:2.27.化简:()()()π11πcosπcos cos229πcosπsinπsin2αααααα⎛⎫⎛⎫++-⎪ ⎪⎝⎭⎝⎭=⎛⎫---+⎪⎝⎭______.【答案】tanα【详解】()()()π11πcosπcos cos229πcosπsinπsin2αααααα⎛⎫⎛⎫++-⎪ ⎪⎝⎭⎝⎭⎛⎫---+⎪⎝⎭()()cos sin sin tancos sin cosααααααα-⋅--==-.故答案为:tanα.28.化简πsin(5π)cos()cos(8π)23πsin()sin(4π)2θθθθθ---=---__.【答案】sinθ【详解】πsin(5π)cos()cos(8π)(sin)sin cos2sin3πcos(sin)sin()sin(4π)2θθθθθθθθθθθ----==----.故答案为:sinθ.29.化简222sin(π)cos(π)cos(2π)3π3π1cos cos sin222παααααα+-+-⎛⎫⎛⎫⎛⎫+-++-+⎪ ⎪ ⎪⎝⎭⎝⎭⎝⎭的结果为______.【答案】1tanα【详解】222sin(π)cos(π)cos(2π)3π3π1cos cos sin222παααααα+-+-⎛⎫⎛⎫⎛⎫+-++-+⎪ ⎪ ⎪⎝⎭⎝⎭⎝⎭222(sin)(cos)cosππ1cos cos cosπ22παααααα--+=⎛⎫⎛⎫+-++-⎪⎡⎤⎡⎤++⎢⎥⎢⎪⎝⎭⎝⎭⎥⎣⎦⎣⎦22222sin cos cos 2sin cos cos 1sin sin cos ππ1cos cos cos 22αααααααααααα++==++-⎡⎤⎛⎫⎛⎫+---+- ⎪ ⎪⎢⎥⎝⎭⎝⎭⎣⎦22sin cos cos (2sin 1)cos cos 12sin sin (2sin 1)sin sin tan αααααααααααα++====++.故答案为:1tan α.30.已知角θ的顶点在坐标原点,始边与x 轴的非负半轴重合,终边经过点()()8,60P m m m -->.(1)求sin θ,cos θ的值;(2)求()()()()()()3πsin sin 3πcos πcos 25πsin 2πcos 3πsin sin π2θθθθθθθθ⎛⎫-⋅-⋅+⋅- ⎪⎝⎭⎛⎫-⋅-⋅-⋅- ⎪⎝⎭的值.【答案】(1)3sin 5θ=-,4cos 5θ=-;(2)34-【详解】(1)由题意知,10r m ==,∴63sin 105y m r m θ-===-,84cos 105x m r m θ-===-;(2)原式()()()()()()()322sin sin cos sin sin cos sin cos cos sin sin cos θθθθθθθθθθθθ-⋅-⋅-⋅-⋅==--⋅-⋅⋅-⋅tan θ=-,由(1)知,sin 3tan cos 4θθθ==,∴()()()()()()3πsin sin 3πcos πcos 325π4sin 2πcos 3πsin sin π2θθθθθθθθ⎛⎫-⋅-⋅+⋅- ⎪⎝⎭=-⎛⎫-⋅-⋅-⋅- ⎪⎝⎭.31.已知角θ的始边为x 轴非负半轴,终边过点(A -.(1)3ππcos sin 22θθ⎛⎫⎛⎫-++ ⎪ ⎪.(2)已知角α的始边为x 轴非负半轴,角θ和α的终边关于y 轴对称,求πsin 6α⎛⎫- ⎪⎝⎭的值.【答案】(1)2-(2)6【详解】(1)由题可知OA =则sin ,cos ,tan 33θθθ===3ππcos 222θθ⎛⎫⎛⎫-+++ ⎪ ⎪=-.(2)因为角θ和α的终边关于y 轴对称,所以sin αcos α所以π1sin sin cos 6226ααα⎛⎫-=-= ⎪⎝⎭.32.已知()()ππsin cos 223πcos πsin 2f ααααα⎛⎫⎛⎫-+ ⎪ ⎪⎝⎭⎝⎭=⎛⎫-+ ⎪⎝⎭.(1)若角α的终边经过点(),2m m ,0m ≠,求()f α的值;(2)若()2f α=,求sin cos sin cos αααα+-的值.【答案】(1)2(2)3【详解】(1)()()()()ππsin cos cos sin 22tan 3πcos cos cos πsin 2f αααααααααα⎛⎫⎛⎫-+ ⎪ ⎪-⋅-⎝⎭⎝⎭===-⋅-⎛⎫-+ ⎪⎝⎭,因为角α的终边经过点(),2m m ,0m ≠,所以()2tan 2m f mαα===.(2)由(1)知()tan 2f αα==,所以sin cos tan 1213sin cos tan 121αααααα+++===---.33.已知()()()()()πsin sin tan π2tan 2πsin π+f αααααα⎛⎫--- ⎪⎝⎭=-(1)化简()f α.(2)若α为第三象限角,且3π1cos 25⎛⎫-= ⎪⎝⎭α,求()f α的值.【答案】(1)()f αcos α=(2)()f α=【详解】(1)()()()()()πsin sin tan π2tan sin πf αααααα⎛⎫--- ⎪⎝⎭=-+()()()cos sin tan tan sin ααααα⋅-⋅-=-⋅-cos α=.(2)∵α为第三象限角,且3π1cos sin 25⎛⎫-=-= ⎪⎝⎭αα,∴1sin 5α=-,()cos f αα===.34.已知()()()3πsin 2πsin 2πsin cos π2f ααααα⎛⎫-⋅- ⎪⎝⎭=⎛⎫+⋅- ⎪⎝⎭.(1)化简()f α;(2)若()2f α=,求2222sin 1sin 2cos ααα-+的值【答案】(1)()tan f αα=-(2)12【详解】(1)()()()()()3πsin 2πsin sin cos 2tan cos cos sin cos π2πf αααααααααα⎛⎫-⋅- ⎪-⋅-⎝⎭===-⋅-⎛⎫+⋅- ⎪⎝⎭;(2)由(1)得tan 2α-=,tan 2α∴=-,()2222222222222sin sin cos 2sin 1sin cos sin 2cos sin 2cos sin 2cos αααααααααααα-+--∴==+++221tan ta 1412422n αα--===++.35.(1)化简:3πtan(π)cos(2π)sin()2cos(π)sin(π)ααααα---+----;(2)已知π3cos 45x ⎛⎫+= ⎪⎝⎭,求2sin 22sin 1tan x xx --的值.【答案】(1)1-;(2)725【详解】(1)3πtan(π)cos(2π)sin()2cos(π)sin(π)ααααα---+----=sin cos (tan )cos (cos )cos 1(cos )sin sin ααααααααα⋅-⋅⋅-=-=--⋅;(2)2sin 22sin 2sin (cos sin )2sin cos sin 1tan 1cos x x x x x x xx x x--==--,()2π331818cos cos sin cos sin 12sin cos 4552525x x x x x x x ⎛⎫+==⇒-=⇒-=⎪⎝⎭72sin cos 25x x ⇒=,因此2sin 22sin 71tan 25x x x -=-.36.已知()()()()π3πcos tan πsin 22cos πtan 3πf αααααα⎛⎫⎛⎫+-+ ⎪ ⎪⎝⎭⎝⎭=++.(1)若()0,2πα∈,且()12f α=-,求α的值;(2)若()3π125f f αα⎛⎫-+= ⎪⎝⎭,且π3π,22⎛⎫∈ ⎪⎝⎭α,求tan α的值.【答案】(1)7π6α=或11π6α=(2)4tan 3α=-【详解】(1)()()()()()()π3πcos tan πsin sin tan cos 22sin cos πtan 3πcos tan f αααααααααααα⎛⎫⎛⎫+-+ ⎪ ⎪---⎝⎭⎝⎭===++-,()0,2πα∈,且()1sin 2f αα==-,则7π6α=或11π6α=.(2)()3π3π1sin sin sin cos 225f f αααααα⎛⎫⎛⎫-+=-+=+=⎪ ⎪⎝⎭⎝⎭,则1sin cos 5αα=-,所以22221cos sin cos cos 15αααα⎛⎫+=+-= ⎪⎝⎭,解得4cos 5α=或3cos 5α=-,由π3π,22⎛⎫∈ ⎪⎝⎭α,则3cos 5α=-,得4sin 5α=,所以4sin 45tan 3cos 35ααα===--37.已知tan 3α=,求()()πsin 3sin π23πcos cos 5π2αααα⎛⎫+++ ⎪⎝⎭⎛⎫--+ ⎪⎝⎭的值.【答案】4【详解】因为()πsin cos ,sin πsin 2αααα⎛⎫+=+=- ⎪⎝⎭,()()3πcos sin ,cos 5πcos πcos 2ααααα⎛⎫-=-+=+=- ⎪⎝⎭,所以()()πsin 3sin πcos 3sin 13tan 23πsin cos tan 1cos cos 5π2αααααααααα⎛⎫+++ ⎪--⎝⎭==-+-+⎛⎫--+ ⎪⎝⎭,又tan 3α=,所以()()πsin 3sin π133243π31cos cos 5π2αααα⎛⎫+++ ⎪-⨯⎝⎭==-+⎛⎫--+ ⎪⎝⎭.故答案为:4.38.已知()()5πsin πsin 23π2sin sin π2αααα⎛⎫-++ ⎪⎝⎭=⎛⎫-++ ⎪⎝⎭.(1)求tan α的值;(2)求24sin cos 2cos ααα+的值.【答案】(1)7tan 4α=-(2)1613-【详解】(1)依题意得,()()5πsin πsin sin cos 2π2cos sin 2sin sin π2αααααααα⎛⎫-++ ⎪+⎝⎭=--⎛⎫-++ ⎪⎝⎭tan 132tan αα+==--,解得7tan 4α=-(2)22224sin cos 2cos 4sin cos 2cos sin cos αααααααα++=+24tan 2tan 1αα+=+1613=-.39.已知角α终边上一点(4,3),P -求()πcos()sin π211π9πcos()sin()22a a a α+----++的值.【答案】67【详解】角α终边上一点(4,3),P -3tan ,4y x α∴==-则原式32()sin sin 2tan 64.3sin cos tan 1714αααααα-⨯----====-+-++故答案为:6740.设()322π2cos sin 2cos π222cos 7πcos f θθθθθθ⎛⎫++--- ⎪⎝⎭=+++-()()(),求2023π3f ⎛⎫⎪⎝⎭的值.【答案】12.【详解】因为()322π2cos sin 2cos π222cos 7πcos f θθθθθθ⎛⎫++--- ⎪⎝⎭=+++-()()()=322222cos cos 2cos cos 2cos cos 2cos 22cos cos 22cos cos θθθθθθθθθθθ++++==++++(),所以2023π2023πππ1cos cos 3372πcos 33332f ⎛⎫⎛⎫==⨯+== ⎪ ⎪⎝⎭⎝⎭41.已知1tan 2θ=-,求下列各式的值:(1)22cos 12sin cos θθθ-;(2)tan(π)sin(π)3πππsin cos cos 222θθθθθ--⎛⎫⎛⎫⎛⎫+-+ ⎪ ⎪ ⎪⎝⎭⎝⎭⎝⎭.【答案】(1)34-(2)54【详解】(1)原式()222222cos sin cos cos sin 2sin cos 2sin cos θθθθθθθθθ-+-==22111tan 3212tan 422θθ⎛⎫-- ⎪-⎝⎭===-⎛⎫⨯- ⎪⎝⎭.(2)原式tan sin (cos )sin (sin )θθθθθ=--22221sin cos cos cos θθθθ+==22151tan 124θ⎛⎫=+=+-= ⎪⎝⎭.42.已知()()()()()3sin 3πcos 2πsin π2cos πsin πf αααααα⎛⎫-⋅-⋅-+ ⎪⎝⎭=--⋅-+.(1)化简()f α;(2)若31π3α=-,()f α.【答案】(1)cos α(2)12【详解】(1)由题意可得:()()()()()()()()()3sin 3πcos 2πsin πsin πcos cos 2cos cos πsin πcos sin πf αααααααααααα⎛⎫-⋅-⋅-+ ⎪-+⋅⋅-⎝⎭===--⋅-+-⋅-+,故()cos f αα=.(2)∵31π3α=-,则()3131πππ1πcos πcos 10πcos cos 333332f f α⎛⎫⎛⎫⎛⎫⎛⎫=-=-=--=-== ⎪ ⎪ ⎪ ⎪⎝⎭⎝⎭⎝⎭⎝⎭,∴()12f α=.43.已知3πsin(3π)cos(2π)sin()2()cos(π)sin(π)f αααααα---+=----.(1)化简()f a ;(2)若α是第三象限角,且3π1co (s 52α-=,求π(6f α+的值;【答案】(1)()f α=cos α-;(2)110【详解】(1)3πsin(3π)cos(2π)sin()2()cos(π)sin(π)f αααααα---+=----(sin )cos (cos )cos (cos )sin αααααα-⋅⋅-==--.(2)因为3π1co (s 52α-=,又3ππcos(cos()sin 22ααα-=+=-,所以1sin 5α=-,又α是第三象限的角,所以cos α=-所以ππππ(cos()cos cos sin sin6666f αααα+=-+=-+111(()5210-=-⨯-⨯=.44.sin(2π)sin(π)cos(π)sin(3π)cos(π)ααααα-+----.【答案】sin α【详解】因为sin(2π)sin()sin ,sin(π)sin ,ααααα-=-=-+=-cos(π)cos(π)cos ααα--=+=-,sin(3π)sin(π)sin ,cos(π)cos ,ααααα-=-=-=-所以原式sin (sin )(cos )sin sin (cos )αααααα-⋅-⋅-==⋅-.45.(1)化简:()()()()()()π11πsin 2πcos πcos cos 229πcos πsin 3πsin πsin 2f ααααααααα⎛⎫⎛⎫-++- ⎪ ⎪⎝⎭⎝⎭=⎛⎫----+ ⎪⎝⎭(2)求值:cos21cos24sin159sin 204︒⋅︒+︒⋅︒.【答案】(1)tan α-;(2)2.【详解】(1)()()()()()()π11πsin 2πcos πcos cos 229πcos πsin 3πsin πsin 2f ααααααααα⎛⎫⎛⎫-++- ⎪ ⎪⎝⎭⎝⎭=⎛⎫----+ ⎪⎝⎭()()()()()()πsin cos sin cos 6π2πcos sin πsin πsin 4π2αααααααα⎡⎤⎛⎫----+ ⎪⎢⎥⎝⎭⎣⎦=⎡⎤⎛⎫---+++⎡⎤ ⎪⎣⎦⎢⎥⎝⎭⎣⎦()()()()πsin cos sin cos 2πcos sin sin sin 2αααααααα⎡⎤⎛⎫----+⎪⎢⎥⎝⎭⎣⎦=⎛⎫-+ ⎪⎝⎭()()()2222sin cos cos sin cos sin sin 2tan cos sin cos cos sin cos cos πααααααααααααααα⎛⎫-+ ⎪--⎝⎭===-=---(2)cos 21cos 24sin159sin 204cos 21cos 24sin 21sin 24︒⋅︒+︒⋅︒=︒⋅︒-︒︒()cos 2124cos 452=︒+︒=︒46..化简下列各式:(1)π2912sin cos 6ππtan 54⎛⎫-+⋅ ⎪⎝⎭;(2)3tan(π)cos(2π)sin(π)2cos(3π)sin(π)ααααα+⋅+⋅---⋅--.【答案】(1)12-(2)1-【详解】(1)原式52sin cos 0π6π5=-+⨯2π1sin6=-=-(2)原式tan cos cos 1cos sin ααααα⋅⋅==--⋅47.已知()()()()()5πsin 2πcos πcos 29πcos πsin πsin 2x x x f x x x x ⎛⎫-+- ⎪⎝⎭=⎛⎫---+ ⎪⎝⎭.(1)化简()f x ;(2)已知()2f α=,求sin2α的值.【答案】(1)tan x -(2)45-【详解】(1)由题意得()()()()()5πsin 2πcos πcos 29πcos πsin πsin 2x x x f x x x x ⎛⎫-+- ⎪⎝⎭=⎛⎫---+ ⎪⎝⎭(sin )(cos )sin sin tan (cos )sin cos cos x x x xx x x x x--==-=--.(2)由()2f α=,可得tan 2,tan 2αα-=∴=-,则2222sin cos 2tan 4sin2sin cos tan 15ααααααα===-++.48.(1)已知()2tan π3α-=-,求cos 3sin cos 9sin α-αα+α的值;(2)化简()()()()3πsin πsin tan 2π2πsin tan πcos 2θθθθθθ⎛⎫--- ⎪⎝⎭⎛⎫-+- ⎪⎝⎭.【答案】(1)17-;(2)tan θ.【详解】(1)因为()2tan πtan 3αα-=-=-,可得2tan 3α=,所以213cos 3sin 13tan 132cos 9sin 19tan 7193αααααα-⨯--===-+++⨯;(2)()()()()()()23πsin πsin tan 2πsin cos tan 2tan πcos tan sin tan πcos 2θθθθθθθθθθθθ⎛⎫--- ⎪--⎝⎭==⎛⎫-+- ⎪⎝⎭.49.已知sin 2cos αα=,求:(1)化简()()πcos 2sin 2πcos 2π5πsin 2αααα⎛⎫- ⎪⎝⎭--⎛⎫+ ⎪⎝⎭;(2)求2sin2sin sin cos cos21ααααα+--的值.【答案】(1)45(2)1【详解】(1)因为sin 2cos αα=,22sin cos 1αα+=,所以22sin sin 12αα⎛⎫+= ⎪⎝⎭,即24sin 5α=,()()2πcos sin 42sin 2πcos 2πsin cos sin 5πcos 5sin 2ααααααααα⎛⎫- ⎪⎝⎭--===⎛⎫+ ⎪⎝⎭.(2)sin tan 2cos ααα== ,2sin2sin sin cos cos21ααααα∴+--()222sin cos sin sin cos 2cos 11αααααα=+---222sin cos sin sin cos 2cos αααααα=+-222tan tan tan 2221222ααα=+-⨯==+-.50.化简以下式子:()()()()()7πsin cos πtan 3π2sin 2πtan πcos 9παααααα⎛⎫++- ⎪⎝⎭--+-【答案】1tan α-【详解】()()()()()7πsin cos πtan 3π2sin 2πtan πcos 9παααααα⎛⎫++- ⎪⎝⎭--+-()()()()3πsin cos tan 2sin tan cos παααααα⎛⎫+-- ⎪⎝⎭=--()()()()()cos cos tan sin tan cos αααααα---=--cos 1sin tan ααα=-=-.。
诱导公式的化简与求值20题一.解答题(共20小题)1.已知角a终边上一点P (—二,1)cos (晋+a ) sin ( - JL - a )(1 )求,.. 的值cos I ―-。
】sin I —r-+ )(2)写出角a的集合S.2.已知角a的终边经过点P(-, — ?(1) 求 sin %的值.的值(3n - a)sin ( a + 兀) cos(2)求式3 .已知角a终边上一点A的坐标为(1)求角a的集合(6 分)(2)化简下列式子并求其值:sin (2兀-CL ) tan (兀+ CI ) cot ( - a -兀)sin 4. ( 1)已知 tan a =2求----- esc (一 a ) cos ( JT - CL ) tan(3兀一口〔兀-a ) cos (2兀-a ) sin ( - a + "兀、2 砧/古.二一' __n ' ':的值(6分)(2)已知 cos (75° +a =£,其中—180° v aV—90°,求 sin (105°— a +cos (375°— a)的值.sin (兀一 a ) cos (2 兀一tan ( ~ a5 .已知a是第三象限角,且-■ 1(1)化简 f ( a);(2)若I | ':一,求 f (a)2 5的值.6 .已知角a的终边上一点 P (X, 4),且3 cos a ——.(1 )求x的值;(2 )求 sin ( a + n)的值;2(3)将角a的终边沿顺时针旋转g n弧度得到角3,求sin B的值.sin (5兀-a) w cos ( 'cos (兀+ a ) 7 .已知::_. |sin ( Q 一—T-) *cos ( ^+―) *tan ( 口一3兀)■u u(1)化简 f (a)(2 )若a是第三象限角,且I ' ■,求f (a)的值.2 58.求值:① si n870 +c os660 +ta n1215 - tan (— 300 ° +cot (- 330 ° ②^10.已知'.Z '.'I, . _2.i, _ .2(1 )求 sinx - cosx 的值;(2)求: 1 1: 二的值cos (180c +x) *cos(90* - x) + cos^ J11 .已知a是第四象限角,且11 -.5(1 )求tan a的值;sin (舟兀- a) +2cos ( □+弓)(2 )求的值.sin ( a - TT ) - 3cos ( 2兀~ CL )sin (2 兀- a) cos ( TT + Ct ) cos12.已知::- " ■2sin (3TT + a ) sin ( - TT - a ) sin (+a )①化简f( a .2②右sin o是方程10x +x - 3=0的根,且a在第三象限,求f (a)的值.③若a=…I.,求f (a)的值.sin ( d - %) cos (2兀-口 )tan ( - a -兀)sin(57l+a ) tan2( - a~ 2X)(1)化简 f ( a);JT 1(2)若a是第三象限角,且cos O :',求f ( ⑶若」J 1,求 f(a)的值.cos (TT - 6 J an〔3兀一 6 )13.14.已知 f (a)=a + n的值;,求 sin - cos %的值.(1)已知-:i 1- 'I - 1-■sin (a -cos (~ a) tan 兀一且) 15•已知 f (a) =— ■tan (一&一 5兀)sin (a 3TT )(1) 化简 f (a);(2) 若角a 的终边经过点P (- 2, 3),求f (a)的值.(1)化简 f (a);(2 )若 tan ( n- a =- 2,求 f (a)的值; (3 )若 a=- 420° 求 f (a)的值.sin (2兀-a ) cos (兀+Q ) cos) cos (】叮-□)19. 已知:■-::..cos t K - CL ) sin (3兀 一。
三角函数诱导公式专项练习(含答案) 三角函数诱导公式专项练一、单选题1.sin(-600°)的值为()A。
-√3/2B。
-1C。
1D。
√3/22.cos(11π/3)的值为()A。
-√3/2B。
-13/2C。
√2D。
23.已知sin(30°+α)=√3/2,则cos(60°-α)的值为A。
1/2B。
-1/2C。
√3/2D。
-√3/24.已知cos(π/3+α)=-5/2,且α∈(2π/5,π),则XXX(α-π)=()A。
-34/4B。
-3C。
4D。
35.已知sin(π-α)=-2/√3,且α∈(-2,0),则tan(2π-α)的值为A。
2√5/5B。
-2√5/2√5C。
±5D。
√5/26.已知cos(π/4-α)=√2/2,则sin(α+π/4)=()A。
-3B。
1C。
√2D。
√14/47.已知sinα=3/5,2<α<π/2,则sin(2-α)=()A。
3/5B。
-3/5C。
4/5D。
-4/58.已知tanx=-12/5π,x∈(π/2,π),则cos(-x+3π/2)=()A。
5/13B。
-5/12C。
13D。
-12/139.如果cos(π+A)=-1,那么sin(π/2+A)=A。
-1/2B。
2C。
1D。
-110.已知cos(π/2-α)-3cosα/(sinα-cos(π+α))=2,则tanα=()A。
12/5B。
-3C。
1/2D。
-511.化简cos480°的值是()A。
1B。
-1C。
√3/2D。
-√3/212.cos(-585°)的值是()A。
√2/2B。
√3/2C。
-√3/2D。
-√2/213.已知角α的终边经过点P(-5,-12),则sin(3π/2+α)的值等于()A。
-5B。
-12/13C。
13D。
12/1314.已知cos(π+α)=2/3,则tanα=()A。
√55/2B。
2√5/52.已知cosα=2/5,-2/5<α<0,则tan(α+α)cos(-α)tanα的值为()答案:D解析:由cosα=2/5可得sinα=-√(21)/5,代入公式可得tan(α+α)cos(-α)tanα=-1/√3=-√3/3,故选D。
三角函数公式1. 同角三角函数根本关系式 sin 2α+cos 2α=1 sin αcos α=tan α tan αcot α=12. 诱导公式 (奇变偶不变,符号看象限)(一) sin(π-α)=sin α sin(π+α)=-sin αcos(π-α)=-cos α cos(π+α)=-cos α tan(π-α)=-tan α tan(π+α)=tan α sin(2π-α)=-sin α sin(2π+α)=sin α cos(2π-α)=cos α cos(2π+α)=cos α tan(2π-α)=-tan α tan(2π+α)=tan α 〔二〕 sin(π2 -α)=cos α sin(π2+α)=cos αcos(π2 -α)=sin α cos(π2 +α)=- sin αtan(π2 -α)=cot α tan(π2 +α)=-cot αsin(3π2 -α)=-cos α sin(3π2 +α)=-cos αcos(3π2 -α)=-sin α cos(3π2 +α)=sin αtan(3π2 -α)=cot α tan(3π2+α)=-cot αsin(-α)=-sin α cos(-α)=cos α tan(-α)=-tan α3. 两角和与差的三角函数cos(α+β)=cos αcos β-sin αsin β cos(α-β)=cos αcos β+sin αsin β sin (α+β)=sin αcos β+cos αsin β sin (α-β)=sin αcos β-cos αsin β tan(α+β)=tan α+tan β1-tan αtan βtan(α-β)=tan α-tan β1+tan αtan β4. 二倍角公式 sin2α=2sin αcos αcos2α=cos 2α-sin 2α=2 cos 2α-1=1-2 sin 2α tan2α=2tan α1-tan 2α5.公式的变形(1)升幂公式:1+cos2α=2cos2α1—cos2α=2sin2α(2)降幂公式:cos2α=1+cos2α2sin2α=1-cos2α2(3)正切公式变形:tanα+tanβ=tan(α+β)〔1-tanαtanβ〕tanα-tanβ=tan(α-β)〔1+tanαtanβ) (4)万能公式〔用tanα表示其他三角函数值〕sin2α=2tanα1+tan2αcos2α=1-tan2α1+tan2αtan2α=2tanα1-tan2α6.插入辅助角公式asinx+bcosx=a2+b2sin(x+φ) (tanφ= b a)特殊地:sinx±cosx= 2 sin(x±π4)7.熟悉形式的变形〔如何变形〕1±sinx±cosx 1±sinx 1±cosx tanx+cotx1-tanα1+tanα1+tanα1-tanα假设A、B是锐角,A+B=π4,那么〔1+tanA〕(1+tanB)=28.在三角形中的结论假设:A+B+C=π, A+B+C2=π2那么有tanA+tanB+tanC=tanAtanBtanCtan A2tanB2+tanB2tanC2+tanC2tanA2=1三角函数的诱导公式1一、选择题1.如果|cos x |=cos 〔x +π〕,那么x 的取值集合是〔 〕 A .-2π+2k π≤x ≤2π+2k π B .-2π+2k π≤x ≤2π3+2k πC .2π+2k π≤x ≤2π3+2k π D .〔2k +1〕π≤x ≤2〔k +1〕π〔以上k ∈Z 〕2.sin 〔-6π19〕的值是〔 〕 A .21 B .-21 C .23 D .-23 3.以下三角函数:①sin 〔n π+3π4〕;②cos 〔2n π+6π〕;③sin 〔2n π+3π〕;④cos [〔2n +1〕π-6π];⑤sin [〔2n +1〕π-3π]〔n ∈Z 〕.其中函数值与sin 3π的值相同的是〔 〕 A .①② B .①③④ C .②③⑤ D .①③⑤4.假设cos 〔π+α〕=-510,且α∈〔-2π,0〕,那么tan 〔2π3+α〕的值为〔 〕 A .-36B .36C .-26 D .26 5.设A 、B 、C 是三角形的三个内角,以下关系恒成立的是〔 〕 A .cos 〔A +B 〕=cos C B .sin 〔A +B 〕=sin C C .tan 〔A +B 〕=tan CD .sin2B A +=sin 2C6.函数f 〔x 〕=cos 3πx〔x ∈Z 〕的值域为〔 〕 A .{-1,-21,0,21,1} B .{-1,-21,21,1} C .{-1,-23,0,23,1}D .{-1,-23,23,1} 二、填空题7.假设α是第三象限角,那么)πcos()πsin(21αα---=_________. 8.sin 21°+sin 22°+sin 23°+…+sin 289°=_________. 三、解答题9.求值:sin 〔-660°〕cos420°-tan330°cot 〔-690°〕.10.证明:1)πtan(1)π9tan(sin 211cos )πsin(22++-+=--⋅+θθθθθ.11.cos α=31,cos 〔α+β〕=1,求证:cos 〔2α+β〕=31.12. 化简:︒+︒︒︒+790cos 250sin 430cos 290sin 21.13、求证:)π5sin()πcos()π6cos()π2sin()π2tan(θθθθθ+-----=tan θ.14. 求证:〔1〕sin 〔2π3-α〕=-cos α; 〔2〕cos 〔2π3+α〕=sin α.参考答案1一、选择题1.C 2.A 3.C 4.B 5.B 6.B 二、填空题7.-sin α-cos α 8.289 三、解答题 9.43+1. 10.证明:左边=θθθθ22sin cos cos sin 2-1--=-θθθθθθθθθθcos sin cos sin )sin )(cos sin (cos )cos (sin 2-+=-++,右边=θθθθθθθθcos sin cos sin tan tan tan tan -+=1-1+=1+-1--, 左边=右边,∴原等式成立.11.证明:∵cos 〔α+β〕=1,∴α+β=2k π.∴cos 〔2α+β〕=cos 〔α+α+β〕=cos 〔α+2k π〕=cos α=31.12.解:︒+︒︒︒+790cos 250sin 430cos 290sin 21=)360270cos()70180sin()36070cos()36070sin(21︒⨯+︒+︒+︒︒+︒︒+︒-+=︒-︒︒︒-70sin 70cos 70cos 70sin 21=︒-︒︒-︒70sin 70cos )70cos 70(sin 2=︒-︒︒-︒70sin 70cos 70cos 70sin =-1.13.证明:左边=θθθθθθθθθθsin cos cos )sin )(tan ()sin )(cos ()cos()sin()tan(--=-----=tan θ=右边,∴原等式成立.14证明:〔1〕sin 〔2π3-α〕=sin [π+〔2π-α〕]=-sin 〔2π-α〕=-cos α. 〔2〕cos 〔2π3+α〕=cos [π+〔2π+α〕]=-cos 〔2π+α〕=sin α.三角函数的诱导公式2一、选择题: 1.sin(4π+α)=23,那么sin(43π-α)值为〔 〕 A.21 B. —21 C. 23 D. —23 2.cos(π+α)= —21,23π<α<π2,sin(π2-α) 值为〔 〕 A.23 B. 21 C. 23± D. —233.化简:)2cos()2sin(21-•-+ππ得〔 〕A.sin2+cos2B.cos2-sin2C.sin2-cos2D.± (cos2-sin2) 4.α和β的终边关于x 轴对称,那么以下各式中正确的选项是〔 〕 A.sinα=sinβ B. sin(α-π2) =sinβ C.cosα=cosβ D. cos(π2-α) =-cosβ 5.设tanθ=-2, 2π-<θ<0,那么sin 2θ+cos(θ-π2)的值等于〔 〕, A. 51〔4+5〕 B. 51〔4-5〕 C. 51〔4±5〕 D. 51〔5-4〕二、填空题: 6.cos(π-x)=23,x ∈〔-π,π〕,那么x 的值为 . 7.tanα=m ,那么=+-+++)cos(-sin()cos(3sin(απα)απ)απ .8.|sinα|=sin 〔-π+α〕,那么α的取值范围是 . 三、解答题: 9.)cos(·3sin()cos()n(s 2sin(απα)παπα)π----+-απi .10.:sin 〔x+6π〕=41,求sin 〔)67x +π+cos 2〔65π-x 〕的值.11. 求以下三角函数值: 〔1〕sin 3π7;〔2〕cos 4π17;〔3〕tan 〔-6π23〕;12. 求以下三角函数值:〔1〕sin3π4·cos 6π25·tan 4π5; 〔2〕sin [〔2n +1〕π-3π2].13.设f 〔θ〕=)cos()π(2cos 23)2πsin()π2(sin cos 2223θθθθθ-+++-++-+,求f 〔3π〕的值.参考答案21.C 2.A 3.C 4.C 5.A 6.±65π7.11-+m m 8.[(2k-1) π,2k π]9.原式=)cos (·sin()cos()n s (sin αα)παπα--+--αi =)cos ?(sin )cos (sin 2αααα--= sinα 10.161111.解:〔1〕sin 3π7=sin 〔2π+3π〕=sin 3π=23.〔2〕cos4π17=cos 〔4π+4π〕=cos 4π=22.〔3〕tan 〔-6π23〕=cos 〔-4π+6π〕=cos 6π=23.〔4〕sin 〔-765°〕=sin [360°×〔-2〕-45°]=sin 〔-45°〕=-sin45°=-22. 注:利用公式〔1〕、公式〔2〕可以将任意角的三角函数转化为终边在第一象限和第二象限的角的三角函数,从而求值.12.解:〔1〕sin 3π4·cos 6π25·tan 4π5=sin 〔π+3π〕·cos 〔4π+6π〕·tan 〔π+4π〕 =〔-sin3π〕·cos 6π·tan 4π=〔-23〕·23·1=-43.〔2〕sin [〔2n +1〕π-3π2]=sin 〔π-3π2〕=sin 3π=23.13.解:f 〔θ〕=θθθθθcos cos 223cos sin cos 2223++-++=θθθθθcos cos 223cos cos 1cos 2223++-+-+=θθθθθcos cos 22)cos (cos 2cos 2223++---=θθθθθcos cos 22)1(cos cos )1(cos 223++---=θθθθθθθcos cos 22)1(cos cos )1cos )(cos 1(cos 222++--++-=θθθθθcos cos 22)2cos cos 2)(1(cos 22++++-=cos θ-1, ∴f 〔3π〕=cos 3π-1=21-1=-21.。
[基础巩固]1.已知sin(π-α)=13,则sin(α-2021π)的值为( ) A .223B .-223C .13D .-13解析 由sin(π-α)=sin α得sin α=13, 所以sin(α-2021π)=sin[(α-π)-2020π]=sin(α-π)=-sin(π-α)=-sin α=-13. 答案 D2.若sin(-110°)=a ,则tan 70°等于( )A .a 1-a 2 B .-a 1-a 2 C.a 1+a 2D .-a 1+a 2 解析 ∵sin(-110°)=-sin 110°=-sin(180°-70°)=-sin 70°=a ,∴sin 70°=-a ,∴cos 70°=1-(-a )2=1-a 2,∴tan 70°=sin 70°cos 70°=-a 1-a 2. 答案 B3.若tan(5π+α)=m (m ≠±1),则sin (α-3π)+cos (π-α)sin (-α)-cos (π+α)的值为( ) A .m +1m -1B .m -1m +1C .-1D .1解析 ∵tan(5π+α)=tan α=m ,∴原式=sin α+cos αsin α-cos α=tan α+1tan α-1=m +1m -1. 答案 A4.若P (-4,3)是角α终边上一点,则cos (α-3π)·tan (α-2π)sin 2(π-α)的值为________.解析 由题意知sin α=35,原式=(-cos α)·tan αsin 2α=-sin αsin 2α=-1sin α=-53. 答案 -535.cos (-585°)sin 495°+sin (-570°)的值是________. 解析 原式=cos (360°+225°)sin (360°+135°)-sin (360°+210°)=cos 225°sin 135°-sin 210° =cos (180°+45°)sin (180°-45°)-sin (180°+30°)=-cos 45°sin 45°+sin 30°=-2222+12=2-2. 答案 2-2 6.化简下列各式:(1)sin ⎝⎛⎭⎫-193πcos 76π; (2)sin(-960°)cos 1470°-cos(-240°)sin(-210°).解析 (1)sin ⎝⎛⎭⎫-193πcos 76π =-sin ⎝⎛⎭⎫6π+π3cos ⎝⎛⎭⎫π+π6 =sin π3cos π6=34. (2)sin(-960°)cos 1470°-cos(-240°)sin(-210°)=-sin(180°+60°+2×360°)cos(30°+4×360°)+cos(180°+60°)sin(180°+30°) =sin 60°cos 30°+cos 60°sin 30°=1.[能力提升]7.(多选)已知角α和β的终边关于x 轴对称,则下列各式不正确的是( )A .sin α=sin βB .sin(α-2π)=sin βC .cos α=cos βD .cos(2π-α)=-cos β解析 由角α和β的终边关于x 轴对称,可知β=-α+2k π(k ∈Z ),故cos α=cos β. 答案 ABD8.若cos(π+α)=-12,32π<α<2π,则sin(α-2π)=____________ . 解析 由cos(π+α)=-12,得cos α=12, 故sin(α-2π)=sin α=-1-cos 2α =- 1-⎝⎛⎭⎫122=-32(α为第四象限角). 答案 -32 9.已知a =tan ⎝⎛⎭⎫-7π6,b =cos 23π4,c =sin ⎝⎛⎭⎫-33π4,则a ,b ,c 的大小关系是________. 解析 a =-tan 7π6=-tan π6=-33, b =cos ⎝⎛⎭⎫6π-π4=cos π4=22, c =-sin 33π4=-sin π4=-22, ∴b >a >c .答案 b >a >c 10.若cos(α-π)=-23,求: sin (α-2π)+sin (-α-3π)cos (α-3π)cos (π-α)-cos (-π-α)cos (α-4π)的值. 解析 原式=-sin (2π-α)-sin (3π+α)cos (3π-α)-cos α-(-cos α)cos α=sin α-sin αcos α-cos α+cos 2α=sin α(1-cos α)-cos α(1-cos α)=-tan α. ∵cos(α-π)=cos(π-α)=-cos α=-23, ∴cos α=23. ∴α为第一象限角或第四象限角.当α为第一象限角时,cos α=23, sin α= 1-cos 2α=53,∴tan α=sin αcos α=52, ∴原式=-52. 当α为第四象限角时,cos α=23,sin α=- 1-cos 2α=-53, ∴tan α=sin αcos α=-52,∴原式=52. 综上,原式=±52. [探索创新]11.在△ABC 中,若sin(2π-A )=-2sin(π-B ),3cos A =-2cos(π-B ),求△ABC 的三个内角.解析 由条件得sin A =2sin B ,3cos A =2cos B ,平方相加得2cos 2A =1,cos A =±22, 又∵A ∈(0,π),∴A =π4或34π. 当A =34π时,cos B =-32<0, ∴B ∈⎝⎛⎭⎫π2,π,∴A ,B 均为钝角,不合题意,舍去.∴A =π4,cos B =32, ∴B =π6,∴C =712π. 综上所述,A =π4,B =π6,C =712π.。
高三数学诱导公式试题答案及解析1.化简=()A.-2B.-C.-1D.1【答案】C【解析】===-1.2.已知,且,则()A.B.C.D.【答案】【解析】.又因为,所以为三象限的角,.选B.【考点】三角函数的基本计算.3.在中,,,则的面积为.【答案】或;【解析】解三角形问题,往往需要利用对角进行消元.因为所以或或,所以的面积为或.【考点】诱导公式4.已知,,则= .【答案】【解析】由,得从而所以解决三角函数给值求值问题,关键从角的关系上进行分析.【考点】三角函数给值求值.5.已知,,则 .【答案】【解析】,又,则【考点】三角函数运算.6.在中,角A、B、C的对边分别为a、b、c,且角A、B、C成等差教列.(I)若,求边c的值;(II)设,求的最大值.【答案】(Ⅰ).(Ⅱ).【解析】(Ⅰ)由角成等差数列,及,首先得到.进一步应用余弦定理即得所求.(Ⅱ)根据,可化简得到根据,即可得到时,有最大值.试题解析:(Ⅰ)因为角成等差数列,所以,因为,所以. 2分因为,,,所以.所以或(舍去). 6分(Ⅱ)因为,所以9分因为,所以,所以当,即时,有最大值. 12分【考点】等差数列,和差倍半的三角函数,,三角函数的性质,余弦定理的应用.7.已知向量,,(Ⅰ)若,求的值;(Ⅱ)在中,角的对边分别是,且满足,求函数的取值范围.【答案】(1);(2).【解析】本题主要考查两角和与差的正弦公式、二倍角公式、余弦定理、三角函数的值域等基础知识,考查运用三角公式进行三角变换的能力和基本的运算能力.第一问,利用向量的数量积将坐标代入得表达式,利用倍角公式、两角和的正弦公式化简表达式,因为,所以得到,而所求中的角是的2倍,利用二倍角公式计算;第二问,利用余弦定理将已知转化,得到,得到,得到角的范围,代入到中求值域.试题解析:(Ⅰ)∵,而,∴,∴,(Ⅱ)∵,∴,即,∴,又∵,∴,又∵,∴,∴.【考点】1.向量的数量积;2.倍角公式;3.两角和与差的正弦公式;4.余弦公式;5.三角函数的值域.8.已知,,则的值是( )A.B.C.D.1【答案】C【解析】∵,∴,又∵,∴,∴.【考点】1.诱导公式;2.平方关系;3.两角和与差的正弦公式.9.已知向量,,(1)若,求向量、的夹角;(2)当时,求函数的最大值.【答案】(1)向量与的夹角为;(2)函数在区间的最大值为.【解析】(1)将代入向量的坐标,再利用向量的数量积计算)向量与的夹角;(2)先根据向量的数量积求出函数的解析式,并化简为,计算在区间的取值范围,然后结合正弦曲线确定函数的最大值.试题解析:(1)当时,,,,所以、的夹角为;(2),,,,当,即.时,.【考点】1.平面向量的数量积;2.二倍角公式;3.辅助角公式;4.三角函数的最值10.已知向量函数.(1)求函数的最小正周期及单调递减区间;(2)在锐角三角形ABC中,的对边分别是,且满足求的取值范围.【答案】(1),;(2)【解析】(1)首先利用向量的坐标运算和两角和差公式求出函数的表达式,然后再根据三角函数的周期公式求出周期,由正弦函数的单调性可得,解出x,即得所求的单调减区间,.(2)利用正弦公式把已知等式转化为角的三角函数式,再利用两角和差公式,把和角展开,整理可得sinC=2cosAsinC,即1=2cosA.得,在根据三角形的内角和定理和B是锐角,求出角B的取值范围为,即,可得,所以=.试题解析:解:(1) 3分函数的最小正周期为T 4分函数的单调递减区间为,。
αα+ 180x yP(x,y)P′(-x ,-y)MM′O(4-5-1)三角函数诱导公式及典型例题【知识梳理】1.公式(一)απαsin )sin(=∙+2kαπαcos )cos(=∙+2kαπαtan )tan(=∙+2k (其中Z ∈k )2.公式(二):αα-sin sin(=-) ααcos cos(=-) ααtan tan(-=-)推导:在单位圆中画出α角与-α角,若没α的终边与单位圆交于点P(x ,y),则角-α的终边与单位圆的交点必为P ´(x ,-y),观察出角的终边关于x 轴对称,结合三角函数定义可得到公式。
3.公式(三)[]απαcos 2(cos -=++1)k[]απαsin 2(sin -=++1)k []απαtan 2(tan =++1)k注:⎩⎨⎧-=+为偶数,为奇数,ααααπαsin sin )sin(n ⎩⎨⎧-=+为偶数,为奇数,ααααπαcos cos )cos(nαπαtan )tan(=+n 【典型例题】例1.下列三角函数值: (1)cos210º; (2)sin 45π例2.求下列各式的值: (1)sin(-34π); (2)cos(-60º)-sin(-210º)例3.化简 )180sin()180cos()1080cos()1440sin(︒--⋅-︒-︒-⋅+︒αααα例4.已知cos(π+α)=- 21,23π<α<2π,则sin(2π-α)的值是( ).(A )23(B) 21 (C)-23 (D)±23求下式的值:2sin(-1110º) -sin960º+)210cos()225cos(2︒-+︒- 2.化简sin(-2)+cos(-2-π)·tan(2-4π)所得的结果是( ) (A )2sin2 (B)0 (C)-2sin2 (D) -1 公式(四)απαsin )2cos(-=+απαcos )2sin(=+απαsin )2cos(=+- απαcos )2sin(=+-απαcot )2tan(-=+απαtan )2cot(-=+ απαcot )2tan(=+- απαtan )2cot(=+-例5、求证: )2cos()5cos()2sin()4sin()cot()2tan()23cos()2sin(απαπαπαπαπαπαπαπ+-+--=+-+---+k k k例6 的值。
高三数学诱导公式试题答案及解析1.设且则()A.B.C.D.【答案】C【解析】由已知得,,去分母得,,所以,,又因为,,所以,即,选C.【考点】1、和角的正弦公式;2、同角三角函数基本关系式;3、诱导公式.2.已知函数,,且.(1)求的值;(2)若,,求.【答案】(1);(2).【解析】(1)将代入函数的解析式求出的值;(2)先利用已知条件,结合两角和与差的正弦公式求出的某个三角函数值,然后将代入函数的解析式,并结合诱导公式对进行化简,最后利用同角三角函数的基本关系求出的值.试题解析:(1),所以,;(2),,,,则,.【考点】本题考查诱导公式、同角三角函数的基本关系以及两角和的三角函数,综合考查三角函数的求值问题,属于中等题.3.已知,则的最小值和最大值分别为()A.B.-2,C.D.-2,【答案】A【解析】,因为,所以,,当时,.故A正确.【考点】1诱导公式、二倍角公式;2二次函数求最值.4.若,则.【答案】【解析】,∴,平方得,∴.【考点】诱导公式、倍角公式.5.若,则.【答案】【解析】,∴,平方得:,∴.【考点】诱导公式、倍角公式.6.已知函数,,则的最大值为()A.B.C.1D.【答案】B【解析】∵,所以当时,函数的最大值为.【考点】诱导公式、配方法、三角函数的最值.7.已知函数,,则的最大值为()A.B.C.1D.【答案】B【解析】∵,所以当时,函数的最大值为.【考点】诱导公式、配方法、三角函数的最值.8.函数的图象的一条对称轴的方程是( ) A.B.C.D.【答案】C【解析】对该函数进行化解则对称轴满足,得.当时,故选C【考点】对称轴正余弦和差角公式诱导公式9.已知,则()A.B.C.D.【答案】D【解析】利用降幂公式及诱导公式得【考点】1、降幂公式;2、诱导公式.10.某兴趣小组要测量电视塔AE的高度H(单位:m)如图所示,垂直放置的标杆BC的高度h=4m,仰角∠ABE=α,∠ADE=β.(1)该小组已测得一组α、β的值,算出了tanα=1.24,tanβ=1.20,请据此算出H的值;(2)该小组分析若干测得的数据后,认为适当调整标杆到电视塔的距离d(单位:m),使α与β之差较大,可以提高测量精度.若电视塔的实际高度为125m,试问d为多少时,α-β最大?【答案】(1)124m(2)55m【解析】(1)由及AB+BD=AD,得,解得H==124.因此,算出的电视塔的高度H是124m.(2)由题设知d=AB,得tanα=.由AB=AD-BD=,得tanβ=,所以tan(α-β)=,当且仅当d=,即d==55时,上式取等号.所以当d=55时,tan(α-β)最大.因为0<β<α<,则0<α-β<,所以当d=55时,α-β最大.故所求的d是55m.11.已知,则的值是( )A.B.C.D.【答案】C【解析】由,可得即.即..由诱导公式可得.故选C.【考点】1.角的和差公式.2.三角函数的化一公式.3.三角函数的诱导公式.12.已知为等差数列,若,则的值为________.【答案】.【解析】由于数列为等差数列,所以,所以,故.【考点】1.等差数列的性质;2.诱导公式13.如果,那么 .【答案】【解析】因为,即,.【考点】诱导公式.14.已知()A.B.C.D.-2【答案】A【解析】,.【考点】1.齐次式的计算;2.平方关系.15.已知函数.(1)求函数的最小正周期;(2)求函数在区间上的函数值的取值范围.【答案】(1) (2)【解析】(1)函数.通过二倍角的逆运算将单角升为二倍角,再化为一个三角函数的形式,从而求出函数的周期.(2)x的范围是所以正弦函数在是递增的.所以f(x)的范围是本题考查三角函数的单调性,最值,三角函数的化一公式,涉及二倍角的逆运算等.三角函数的问题要关注角度的变化,角度统一,二次式化为一次的,三角函数名称相互转化.切化弦,弦化切等数学思想.试题解析:(1)因为 4分6分故的最小正周期为 8分(2)当时, 10分故所求的值域为 12分【考点】1.三角函数的化一公式.2.二倍角公式.3.函数的单调性最值问题.16.已知,则的值为.【答案】.【解析】由,则上式两边平方得,解得.【考点】三角函数的两角和差化积公式和二倍角公式.17.已知则.【答案】.【解析】因,得,所以.【考点】三角函数的两角和差化积公式.18.若,则__________.【答案】.【解析】因,则,所以.【考点】三角函数的诱导公式及二倍角公式.19.设向量,若,则=__________.【答案】【解析】由,则,所以,故.【考点】1.向量的垂直坐标表示;2.两角差和的正切公式应用.20.已知,则等于()A.B.C.D.【答案】A【解析】由,可得,所以.【考点】和角的正切公式21.已知,则()A.B.C.D.【答案】C【解析】化简,故选C.【考点】1.三角函数的恒等变形;2.诱导公式.22.在中,角所对的边分别为,且,当取最大值时,角的值为 .【答案】【解析】利用正弦定理化简已知的等式得,整理得,两边除以得,,,∵是三角形内角,且同号,∴都是锐角,即,当且仅当,即时取等号,故.【考点】两角和与差的正切函数,正弦定理,基本不等式.23.若,则= .【答案】【解析】得,又.【考点】1.诱导公式;2.倍角公式.24.已知,则的值为 .【答案】.【解析】,所以.【考点】1.诱导公式;2.弦化切25.已知,则的值为( )A.B.C.D.【答案】A【解析】因为,,所以,两边平方得,,由诱导公式,,故选A.【考点】三角函数诱导公式、倍角公式.26.已知,则()A.B.C.D.【答案】B【解析】利用诱导公式、二倍角公式计算..【考点】诱导公式、二倍角公式27.已知,则的值()A.B.C.D.【答案】D【解析】.28.= ()A.B.C.D.【答案】C【解析】本题考查诱导公式,特殊角的三角函数值.由终边相同角公式把大角化为小角,然后用其它诱导公式.故选C29.记,那么()A.B.-C.D.-(【答案】B【解析】略30.已知。
诱导公式的化简与求值20题一.解答题(共20小题)1.已知角α终边上一点P(﹣,1)(1)求的值(2)写出角α的集合S.2.已知角α的终边经过点P(,﹣).(1)求sinα的值.(2)求式﹣的值3.已知角α终边上一点A的坐标为,(1)求角α的集合(6分)(2)化简下列式子并求其值:(6分)4.(1)已知tanα=2,求的值(2)已知cos(75°+α)=,其中﹣180°<α<﹣90°,求sin(105°﹣α)+cos(375°﹣α)的值.5.已知α是第三象限角,且(1)化简f(α);(2)若,求f(α)的值.6.已知角α的终边上一点P(x,4),且cosα=﹣.(1)求x的值;(2)求sin(α+π)的值;(3)将角α的终边沿顺时针旋转π弧度得到角β,求sinβ的值.7.已知(1)化简f(α)(2)若α是第三象限角,且,求f(α)的值.8.求值:①sin870°+cos660°+tan1215°﹣tan(﹣300°)+cot(﹣330°)②.9.已知sin(3π+θ)=,求+的值.10.已知.(1)求sinx﹣cosx的值;(2)求的值.11.已知α是第四象限角,且.(1)求tanα的值;(2)求的值.12.已知.①化简f(α).②若sinα是方程10x2+x﹣3=0的根,且α在第三象限,求f(α)的值.③若a=,求f(α)的值.13.(1)已知,求sinα﹣cosα的值.(2)已知且,求cosα﹣sinα的值.14.已知f(α)=(1)化简f(α);(2)若α是第三象限角,且cos()=,求f(α+π)的值;(3)若,求f(α)的值.15.已知f(a)=.(1)化简f(a);(2)若角a的终边经过点P(﹣2,3),求f(a)的值.16.已知.(1)若α是第三象限角,,求f(α)的值;(2)若,求f(α)的值.17.已知0<α<π,tanα=﹣2.(1)求sin(α+)的值;(2)求的值;(3)2sin2α﹣sinαcosα+cos2α18.已知α是第三象限角,且f(α)=.(1)化简f(α);(2)若tan(π﹣α)=﹣2,求f(α)的值;(3)若α=﹣420°,求f(α)的值.19.已知.(Ⅰ)化简f(α);(Ⅱ)若α是第三象限角,且,求f(α)的值.20.(1)已知,计算:(2)已知α为第二象限角,化简.诱导公式的化简与求值20题参考答案与试题解析一.解答题(共20小题)1.已知角α终边上一点P(﹣,1)(1)求的值(2)写出角α的集合S.考点:任意角的三角函数的定义;运用诱导公式化简求值.专题:计算题.分析:先求出点P(﹣,1)到原点的距离,再由定义求出角α的三角函数值,(1)先用诱导公式化简,再代入角α的三角函数值求值;(2)写出角α的集合S,由于本题中的角是一个特殊角,故可以用终边相同的角将它表示出来.解答:解:点P(﹣,1)到原点的距离是2,由定义sinα=,cosα=﹣(1)==﹣==﹣(2)由sinα=,cosα=﹣知角α的终边与角的终边相同,故α=2kπ+,k∈z故S={α|α=2kπ+,k∈z}点评:本题考查任意角三角函数的定义以及终边相同角的表示,利用诱导公式化简求值,求解本题的关键是熟练掌握定义与诱导公式,基础概念只有在掌握熟练得基础上才能正确运用它做题,不出错误.2.已知角α的终边经过点P(,﹣).(1)求sinα的值.(2)求式﹣的值考点:任意角的三角函数的定义;运用诱导公式化简求值.专题:计算题.分析:(1)求出|OP|,利用三角函数的定义,直接求出sinα的值.(2)利用诱导公式化简表达式,根据角的终边所在象限,求出cosα=,可得结果.解答:解:(1)∵|OP|=,∴点P在单位圆上.(2分)由正弦函数的定义得sinα=﹣(5分)(2)原式=(9分)=..(10分)由余弦的定义可知,cosα=(11分)即所求式的值为(12分)点评:本题考查任意角的三角函数的定义,运用诱导公式化简求值,考查计算能力,推理能力,是基础题.3.已知角α终边上一点A的坐标为,(1)求角α的集合(6分)(2)化简下列式子并求其值:(6分)考点:三角函数的化简求值;终边相同的角;同角三角函数间的基本关系;诱导公式的作用.专题:计算题.分析:(1)根据角的终边过一个定点,根据三角函数的定义做出角的正弦值,根据角的终边在第四象限,写出与角终边相同的所有的角的集合.(2)首先用诱导公式进行整理,再把正割与余割变化成正弦与余弦的形式,约分整理出最简形式,得到结果.解答:解:(1)点P到原点的距离为r=根据三角函数的定义,得….(2分)∵点P在第四象限,也就是角α在第四象限….(4分)∴α的集合是…(6分)(2)原式=….(8分)==﹣sinα=点评:本题考查三角函数的恒等变化求值即终边相同的角,本题解题的关键是先用诱导公式进行整理,再把正割与余割变化成正弦与余弦.本题是一个中档题目.4.(1)已知tanα=2,求的值(2)已知cos(75°+α)=,其中﹣180°<α<﹣90°,求sin(105°﹣α)+cos(375°﹣α)的值.考点:同角三角函数基本关系的运用;运用诱导公式化简求值.专题:计算题.分析:(1)利用诱导公式化简表达式,应用tanα=2求出,代入化简后的表达式即可求出原式的值.(2)利用诱导公式化简sin(105°﹣α)+cos(375°﹣α),为2sin(75°+α),利用求出2sin(75°+α)即可.解答:解:(1)原式=(2分)=(3分)∵,∴(6分),∴原式=(7分)(2)原式=sin(75°+α)+cos(15°﹣α)=2sin(75°+α)(9分)∵,且﹣105°<75°+α<﹣15°,∴sin(75°+α)<0∴(12分)故原式=(14分)点评:本题考查诱导公式的应用,同角三角函数的基本关系式,考查计算能力,是基础题.5.已知α是第三象限角,且(1)化简f(α);(2)若,求f(α)的值.考点:运用诱导公式化简求值;同角三角函数间的基本关系.专题:计算题.分析:(1)直接利用诱导公式化简f(α),应用正切化为正弦、余弦函数,推出结果;(2)求出的最简形式,弦长f(α)的表达式,通过同角三角函数的基本关系式求出它的值.解答:解:(1)f(α)=====﹣cosα(2)∵cos()=﹣sinα=,∴sinα=﹣,∵α是第三象限角,∴cosα=﹣=﹣,∴f(α)=﹣cosα=点评:本题是基础题,考查诱导公式的应用,同角三角函数的基本关系式的应用,考查计算能力,常考题型.6.已知角α的终边上一点P(x,4),且cosα=﹣.(1)求x的值;(2)求sin(α+π)的值;(3)将角α的终边沿顺时针旋转π弧度得到角β,求sinβ的值.考点:任意角的三角函数的定义;运用诱导公式化简求值.专题:计算题.分析:(1)利用三角函数的定义,求出x的值;(2)直接利用诱导公式化简sin(α+π),然后求出它的值;(3)将角α的终边沿顺时针旋转π弧度得到角β,然后直接利用诱导公式,求sinβ的值.解答:解:(1)因为cosα=﹣,所以,所以,x=﹣3;(2)因为cosα=﹣,所以sin(α+π)=cosα=﹣;(3)将角α的终边沿顺时针旋转π弧度得到角β,,sinβ=sin()=cosα=﹣.点评:本题是基础题,考查三角函数的定义,诱导公式的应用,考查计算能力.7.已知(1)化简f(α)(2)若α是第三象限角,且,求f(α)的值.考点:运用诱导公式化简求值.专题:计算题.分析:(1)利用诱导公式化简f(α)的结果为cosα.(2)利用诱导公式求出sinα,再由同角三角函数的基本关系求出cosα,从而得到f(α)的值.解答:解:(1)==cosα.(2)∵,∴,又∵α为第三象限角,∴,∴.点评:本题考查同角三角函数的基本关系,诱导公式的应用,以及三角函数在各个象限中的符号,化简f(α)是解题的突破口.8.求值:①sin870°+cos660°+tan1215°﹣tan(﹣300°)+cot(﹣330°)②.考点:运用诱导公式化简求值.专题:计算题.分析:①先利用诱导公式:终边相同的角的三角函数值相等,将题中的角化到[0°,360°)上,再利用诱导公式将其转化为锐角三角函数值即可②先利用诱导公式化简所求三角式,再利用同角三角函数基本关系式化简即可解答:解:①sin870°+cos660°+tan1215°﹣tan(﹣300°)+cot(﹣330°)=sin(720°+150°)+cos(720°﹣60°)+tan(﹣360°+60°)+cot(﹣360°+30°)=sin150°+cos(﹣60°)+tan60°+cot30°=sin30°+cos60°+tan60°+cot30°=+++=1+2②=====﹣1点评:本题考查了诱导公式的运用和同角三角函数基本关系式的运用,细心和运用恰当的公式是解决本题的关键9.已知sin(3π+θ)=,求+的值.考点:运用诱导公式化简求值.专题:计算题.分析:先根据诱导公式化简已知得到sinθ的值,然后把原式也利用诱导公式及同角三角函数的基本关系化简后,把sinθ代入求值即可.解答:解:∵sin(3π+θ)=﹣sinθ=,∴sinθ=﹣,原式=+=+=+====18.点评:此题要求学生灵活运用诱导公式及同角三角函数间的基本公式化简求值,做题的思路是把所有余弦都要化成正弦.10.已知.(1)求sinx﹣cosx的值;(2)求的值.考点:运用诱导公式化简求值;同角三角函数间的基本关系.专题:三角函数的求值.分析:(1)利用同角三角函数基本关系式直接求出sinx和cosx的值,进而求出结果.(2)先利用诱导公式化简所求的式子,将原式分子分母同除以cos2x,转化成tanx的表达式去解.解答:解:∵sinx=﹣2cosx,又sin2x+cos2x=1,∴5cos2x=1,∴(1)(2)原式==…(12分)点评:本题考查同角三角函数基本关系式的应用和三角函数的诱导公式,计算要准确,属于中档题.11.已知α是第四象限角,且.(1)求tanα的值;(2)求的值.考点:同角三角函数间的基本关系;诱导公式的作用.专题:计算题.分析:(1)由题意知求出,再求tanα的值.(2)利用诱导公式,等价转化为.解答:解:(1)由题意知,,∴;(2)=.点评:本题考查诱导公式的合理运用,解题时要认真审题,注意三角函数恒等变换的灵活运用.12.已知.①化简f(α).②若sinα是方程10x2+x﹣3=0的根,且α在第三象限,求f(α)的值.③若a=,求f(α)的值.考点:三角函数的化简求值;诱导公式的作用.专题:计算题.分析:①把f(α)的分子最后一项的角﹣α变为6π﹣(+α),分母第一项的角3π+α变形为2π+(π+α),第二项中的角变形为﹣(π+α),最后一项变形为4π+(+α),然后各项利用诱导公式及正弦、余弦函数的奇偶性进行化简,约分后即可得到最简结果;②把已知的方程分解因式后,求出方程的两个解,由sinα是方程10x2+x﹣3=0的根,且α在第三象限,可得出sinα的值,代入第一问化简后的式子中,即可求出f(α)的值;③把α的值变形为﹣6π﹣,代入第一问化简后的式子中,利用诱导公式及正弦函数的奇偶性化简,再利用特殊角的三角函数值即可求出f(α)的值.解答:解:①===﹣sinα;…(4分)②由方程10x2+x﹣3=0,解得:,又α在第三象限,∴,则;…(8分)(3)当a=时,.…(12分)点评:此题考查了三角函数的恒等变形,涉及的知识有:正弦、余弦函数的奇偶性,诱导公式,函数的值,以及特殊角的三角函数值,灵活变换角度,熟练掌握诱导公式是解本题的关键.13.(1)已知,求sinα﹣cosα的值.(2)已知且,求cosα﹣sinα的值.考点:运用诱导公式化简求值.专题:计算题.分析:(1)由题意得sinα+cosα=,平方可得2sinαcosα=﹣,代入sinα﹣cosα=﹣=﹣进行运算.(2)由题意得cosα﹣sinα=﹣=﹣,把已知条件代入运算.解答:解:(1)已知,∴sinα+cosα=,1+2sinαcosα=,2sinαcosα=﹣,∴sinα﹣cosα=﹣=﹣=﹣.(2)已知,且,cosα﹣sinα=﹣=﹣=.点评:本题考查同角三角函数的基本关系的应用,诱导公式的应用,判断所求式子的符号是解题的关键.14.已知f(α)=(1)化简f(α);(2)若α是第三象限角,且cos()=,求f(α+π)的值;(3)若,求f(α)的值.考点:诱导公式的作用.专题:三角函数的求值.分析:(1)利用诱导公式化简f(α)=,整理可得结果.(2)利用诱导公式求得sinα=﹣,再利用同角三角函数的基本关系求得cosα=﹣,再由f(α+π)=﹣cos(π+α)=cosα求得结果.(3)利用诱导公式可得f(α)=﹣cos(670π+)=﹣cos,计算求得它的值.解答:解:(1)f(α)===﹣cosα.(2)若α是第三象限角,且cos()=,故﹣sinα=,sinα=﹣,∴cosα=﹣=﹣.∴f(α+π)=﹣cos(π+α)=cosα=﹣.(3)若,则f(α)=﹣cos=﹣cos(670π+)=﹣cos=﹣.点评:本题主要考查应用诱导公式化简三角函数式,同角三角函数的基本关系的应用,要特别注意符号的选取,这是解题的易错点,属于基础题.15.已知f(a)=.(1)化简f(a);(2)若角a的终边经过点P(﹣2,3),求f(a)的值.考点:诱导公式的作用;任意角的三角函数的定义.专题:计算题.分析:(1)利用三角函数的诱导公式即可求得f(a);(2)角a的终边经过点P(﹣2,3),利用任意角的三角函数的定义,可求得f(a)的值.解答:解:(1)∵sin(a﹣)=﹣cosa,cos(﹣a)=﹣sina,tan(7π﹣a)=﹣tana,tan(﹣a﹣5π)=﹣tan(5π+a)=﹣tana,sin(a﹣3π)=﹣sina,∴f(a)==﹣cosa;(2)∵a的终边经过点P(﹣2,3),∴cosa=﹣=﹣,∴f(a)=.点评:本题考查三角函数的诱导公式与任意角的三角函数的定义,掌握诱导公式是基础,属于基础题.16.已知.(1)若α是第三象限角,,求f(α)的值;(2)若,求f(α)的值.考点:诱导公式的作用;同角三角函数间的基本关系.专题:三角函数的求值.分析:利用诱导公式化简f(α)得到最简结果,(1)由α为第三象限,sinα的值小于0,得到cosα的值小于0,由sinα的值,利用同角三角函数间的基本关系求出cosα的值,即可确定出f(α)的值;(2)将α的度数代入f(α)中,利用诱导公式化简即可得到结果.解答:解:f(α)==﹣cosα,(1)∵α是第三象限角,sinα=﹣<0,∴cosα<0,∴cosα=﹣=﹣,则f(α)=﹣cosα=;(2)将α=﹣代入得:f(﹣)=﹣cos(﹣)=﹣cos(11π+)=﹣cos(π+)=cos=.点评:此题考查了诱导公式的作用,以及同角三角函数间的基本关系,熟练掌握诱导公式是解本题的关键.17.已知0<α<π,tanα=﹣2.(1)求sin(α+)的值;(2)求的值;(3)2sin2α﹣sinαcosα+cos2α考点:同角三角函数间的基本关系;诱导公式的作用.专题:计算题.分析:(1)由已知中0<α<π,tanα=﹣2,根据同角三角函数关系,我们可以求出sinα,cosα的值,代入两角和的正弦公式,即可求出sin(α+)的值;(2)利用诱导公式,我们可以将原式化为用α的三角函数表示的形式,弦化切后,tanα=﹣2,即可得到答案.(3)根据sin2α+cos2α=1,我们可以将2sin2α﹣sinαcosα+cos2α化为齐次分式,弦化切后,代入tanα=﹣2,即可得到答案.解答:解:因为0<α<π,tanα=﹣2,所以sinα=,cosα=(1)sin(α+)=sinαcos+cosαsin=+()×=(2)原式===﹣1(3)原式===点评:本题考查的知识点是同角三角函数间的基本关系,诱导公式,两角和的正弦公式,其中(2)(3)中齐次分式弦化切是三角函数给值求值中最常用的方法.18.已知α是第三象限角,且f(α)=.(1)化简f(α);(2)若tan(π﹣α)=﹣2,求f(α)的值;(3)若α=﹣420°,求f(α)的值.考点:诱导公式的作用.专题:三角函数的求值.分析:(1)直接利用诱导公式化简函数f(α)为﹣cosα.(2)由tan(π﹣α)=﹣2,求得tanα=2,再利用同角三角函数的基本关系求出cosα的值即可求得f(α)=﹣cosα的值.(3)先利用诱导公式求得cosα=cos(﹣420°)=,即可求得f(α)=﹣cosα的值.解答:解:(1)f(α)===﹣cosα.﹣﹣﹣﹣﹣﹣﹣﹣﹣(4分)(2)∵tan(π﹣α)=﹣2,∴tanα=2.﹣﹣﹣﹣﹣﹣﹣﹣﹣(5分).﹣﹣﹣﹣﹣﹣﹣﹣﹣﹣(6分)∵α是第三象限角,∴,∴f(α)=.﹣﹣﹣﹣﹣﹣﹣﹣﹣﹣(8分)(3)∵,∴f(α)=﹣cosα=.﹣﹣﹣﹣﹣﹣(12分)点评:本题主要考查同角三角函数的基本关系,诱导公式的应用,属于基础题.19.已知.(Ⅰ)化简f(α);(Ⅱ)若α是第三象限角,且,求f(α)的值.考点:诱导公式的作用;同角三角函数基本关系的运用.专题:计算题.分析:(Ⅰ)利用诱导公式对函数的解析式化简整理求得函数的解析式.(Ⅱ)利用诱导公式整理求得sinα的值,进而利用同角三角函数的基本关系求得cosα的值,代入函数的解析式求得答案.解答:解:(Ⅰ)==tanα(Ⅱ)=﹣sinα=,∴sinα=﹣∵α是第三象限角∴cosα=﹣=﹣∴f(α)=tanα==2点评:本题主要考查了诱导公式的化简求值,同角三角函数的基本关系的应用.解题的关键是熟练掌握“奇边偶不变,正负看象限”的原则.20.(1)已知,计算:(2)已知α为第二象限角,化简.考点:诱导公式的作用;同角三角函数间的基本关系.专题:计算题.分析:(1)将所求式子的分母1用sin2α+cos2α代替,然后分子分母同除以cos2α,(2)利用诱导公式及三角函数关系式即可将化简,并求得其值.解答:(1)解:∵,cosα≠0,∴====;(2)∵α为第二象限角,∴===﹣1.点评:本题考查三角函数的诱导公式及三角函数间的基本关系,关键是熟练掌握三角函数的诱导公式及三角函数间的基本关系并灵活应用,属于中档题.。