三角函数诱导公式专项练习(含答案)
- 格式:doc
- 大小:2.34 MB
- 文档页数:19
三角函数的诱导公式练习题(1)1. tan225∘的值为()A.1B.√22C.−√22D.−12. 已知3sin(θ+π2)+sin(θ+π)=0,θ∈(−π,0),则sinθ=( )A.−3√1010B.−√1010C.3√1010D.√10103. 若sin(π3−α)=−13,则cos(α+π6)=( )A.−13B.13C.−2√23D.2√234. 已知sin(α+π4)=35,则cos(π4−α)=( )A.4 5B.−45C.−35D.355. 已知α是第二象限角,若sin(π2−α)=−13,则sinα=()A.−2√23B.−13C.13D.2√236. 已知函数f(x)={1x,x0,log2x−3,x0,则f(−12)⋅f(16)=()A.3B.1C.−1D.−27. (5分)已知x∈R,则下列等式恒成立的是( )A.sin(−x)=sin xB.sin(3π2−x)=cos xC.cos(π2+x)=−sin x D.cos(x−π)=−cos x8. sin 14π3−cos (−25π4)=________.9. 已知sin α=45,则cos (α+π2)=________. 10. cos 85∘+sin 25∘cos 30∘cos 25∘等于________11. 已知cos θ=−35,则sin (θ+π2)=________.12. 已知cos (π−α)=35,α∈(0,π),则tan α=________.13. 已知f (α)=sin (α−π2)cos (3π2+α)tan (π−α)tan (−α−π)sin (−α−π),其中α≠12kπ(k ∈Z ).(1)化简f (α);(2)若f (π2+β)=−√33,且角β为第四象限角,求sin (2β+π6)的值.14. 已知α为第二象限角,且sin α+cos α=−713,分别求tan α,sin 2α−2sin αcos α的值.15. 如图,四边形ABCD 中,△ABC 是等腰直角三角形,其中AC ⊥BC ,AB =√6,又CD//AB ,cos ∠ABD =√63.(1)求BD 的长;(2)求△ACD的面积.参考答案与试题解析三角函数的诱导公式练习题(1)一、选择题(本题共计 6 小题,每题 5 分,共计30分)1.【答案】A【考点】运用诱导公式化简求值【解析】原式中的角度变形后,利用诱导公式及特殊角的三角函数值计算即可得到结果.【解答】解:原式=tan(180∘+45∘)=tan45∘=1,故选A.2.【答案】A【考点】同角三角函数间的基本关系诱导公式【解析】利用诱导公式,同角三角函数基本关系式即可求解.【解答】解:∵sin(θ+π2)=sinθcosπ2+cosθsinπ2=cosθ,sin(θ+π)=sinθcosπ+cosθsinπ=−sinθ,∴ 3cosθ−sinθ=0,∴cosθ=13sinθ,由于sin2θ+cos2θ=1,而θ∈(−π,0),∴sinθ<0,∴109sin2θ=1.∴sinθ=−3√1010.故选A.3.【答案】A【考点】运用诱导公式化简求值【解析】观察所求角和已知角可得cos(α+π6)=cos[π2−(π3−α)],再利用诱导公式即可求解.【解答】解:∵ (α+π6)+(π3−a)=π2,∴ cos (α+π6)=cos [π2−(π3−α)]=sin (π3−α)=−13.故选A .4.【答案】 D【考点】运用诱导公式化简求值 【解析】由题意利用利用诱导公式化简三角函数式的值,可得结果. 【解答】解:∵ sin (α+π4)=35, ∴ cos (π4−α)=sin [π2−(π4−α)] =sin (π4+α)=35. 故选D . 5. 【答案】 D【考点】同角三角函数间的基本关系 运用诱导公式化简求值【解析】直接利用诱导公式以及同角三角函数基本关系式转化求解即可. 【解答】α是第二象限角,若sin (π2−α)=−13 可得cos α=−13,所以sin α=√1−cos 2α=2√23. 6.【答案】 D【考点】 求函数的值 分段函数的应用 函数的求值 【解析】推导出f(−12)=1−12=−2,f(16)=log 216−3=4−3=1,由此能求出f(−12)⋅f(16)的值. 【解答】∵ 函数f(x)={1x,x0,log 2x −3,x0,∴ f(−12)=1−12=−2,f(16)=log 216−3=4−3=1, ∴ f(−12)⋅f(16)=(−2)×1=−2.二、 多选题 (本题共计 1 小题 ,共计5分 ) 7.【答案】 C,D【考点】运用诱导公式化简求值 【解析】 此题暂无解析 【解答】解:A ,sin (−x )=−sin x ,故 A 不成立; B ,sin (3π2−x)=−cos x ,故B 不成立; C ,cos (π2+x)=−sin x ,故C 成立;D ,cos (x −π)=−cos x ,故D 成立. 故选CD .三、 填空题 (本题共计 5 小题 ,每题 5 分 ,共计25分 ) 8.【答案】√3−√22【考点】运用诱导公式化简求值 【解析】本题考查利用诱导公式求值. 【解答】 解:sin14π3−cos (−25π4)=sin (4π+2π3)−cos (−6π−π4) =sin 2π3−cos π4=√3−√22. 故答案为:√3−√22.−4 5【考点】运用诱导公式化简求值【解析】原式利用诱导公式化简,将sinα的值代入计算即可求出值.【解答】解:∵sinα=45,∴cos(π2+α)=−sinα=−45.故答案为:−45.10.【答案】12【考点】三角函数的恒等变换及化简求值【解析】把cos85∘化为cos(60∘+25∘),由两角和的余弦公式化简即可.【解答】cos85∘+sin25∘cos30∘cos25∘=cos(60∘+25∘)+sin25∘cos30∘cos25∘=12cos25∘−√32sin25∘+√32sin25∘cos25∘=12.11.【答案】−3 5【考点】三角函数的恒等变换及化简求值【解析】由已知利用诱导公式即可化简求值得解.【解答】∵cosθ=−35,∴sin(θ+π2)=cosθ=−35.−43【考点】同角三角函数间的基本关系 运用诱导公式化简求值【解析】由诱导公式可得cos a 的值,及α的范围,利用同角三角函数间的基本关系求出tan α的值即可. 【解答】解: ∵ cos (π−α)=−cos α=35,α∈(0,π), ∴ cos α=−35<0,则α∈(π2,π),则sin α=√1−cos 2α=45, ∴ tan α=sin αcos α=45−35=−43.故答案为:−43.四、 解答题 (本题共计 3 小题 ,每题 5 分 ,共计15分 ) 13.【答案】 解:(1) f(α)=sin (a−π2)cos (3π2+α)tan (π−α)tan (−α−π)sin (−α−π)=(−cos α)⋅sin α⋅(−tan α)(−tan α)⋅sin α=−cos α.(2)由f (π2+β)=−cos (π2+β)=−√33,得sin β=−√33, 又角β为第四象限角,所以cos β−√63, sin 2β=−2√23,cos 2β=13,所以sin (2β+π6)=sin 2βcos π8+cos 2βsin π6 =(−2√23)⋅√32+13⋅12=1−2√66. 【考点】运用诱导公式化简求值同角三角函数间的基本关系 【解析】 此题暂无解析 【解答】 解:(1) f(α)=sin (a−π2)cos (3π2+α)tan (π−α)tan (−α−π)sin (−α−π)=(−cos α)⋅sin α⋅(−tan α)(−tan α)⋅sin α=−cos α.(2)由f (π2+β)=−cos (π2+β)=−√33,得sin β=−√33, 又角β为第四象限角,所以cos β−√63, sin 2β=−2√23,cos 2β=13,所以sin (2β+π6)=sin 2βcos π8+cos 2βsin π6=(−2√23)⋅√32+13⋅12=1−2√66. 14. 【答案】解:因为sin α+cos α=−713,所以(sin α+cos α)2=sin 2α+2sin αcos α+cos 2α=49169, 整理得2sin αcos α=−120169,则(sin α−cos α)2=1−2sin αcos α=289169. 因为α为第二象限角,所以sin α−cos α=1713,解得sin α=513,cos α=−1213. 所以tan =sin αcos α=−512, sin 2α−2sin αcos α=25169−(−120169)=145169. 【考点】同角三角函数间的基本关系 三角函数的恒等变换及化简求值 【解析】 【解答】解:因为sin α+cos α=−713,所以(sin α+cos α)2=sin 2α+2sin αcos α+cos 2α=49169, 整理得2sin αcos α=−120169,则(sin α−cos α)2=1−2sin αcos α=289169.因为α为第二象限角,所以sin α−cos α=1713, 解得sin α=513,cos α=−1213. 所以tan =sin αcos α=−512,sin 2α−2sin αcos α=25169−(−120169)=145169.15.【答案】解:(1)因为CD // AB ,AC ⊥BC ,△ABC 是等腰直角三角形, 所以∠ABC =∠CA =∠ACD =12×(180∘−90∘)=45∘, 所以∠BCD =90∘+45∘=135∘.所以sin ∠BDC =sin ∠ABD =√1−(√63)2=√33, 在△ABC 中,BC =AC =√3, 在△BCD 中,由正弦定理得, BD =BC⋅sin ∠BCD sin ∠BDC=√3×√22√33=3√22.(2)在△BCD 中,由正弦定理可得, CD =BC ⋅sin (45∘−∠ABD)sin ∠BDC=√3×√22×(√63−√33)√33=2√3−√62. 所以S △ACD =12AC ⋅CD ⋅sin ∠ACD =12×√3×2√3−√62×√22=3(√2−1)4. 【考点】正弦定理同角三角函数间的基本关系【解析】(1)由题意可求∠BCD =135∘,在△BCD 中,由正弦定理可得BD 的值.(2)在△BCD 中,由正弦定理可得CD 的值,根据三角形的面积公式即可求解. 【解答】解:(1)因为CD // AB ,AC ⊥BC ,△ABC 是等腰直角三角形, 所以∠ABC =∠CA =∠ACD =12×(180∘−90∘)=45∘, 所以∠BCD =90∘+45∘=135∘.所以sin ∠BDC =sin ∠ABD =(√63)=√33, 在△ABC 中,BC =AC =√3, 在△BCD 中,由正弦定理得, BD =BC⋅sin ∠BCD sin ∠BDC=√3×√22√33=3√22.(2)在△BCD 中,由正弦定理可得,CD=BC⋅sin(45∘−∠ABD)sin∠BDC=√3×√22×(√63−√33)√33=2√3−√62.所以S△ACD=12AC⋅CD⋅sin∠ACD=12×√3×2√3−√62×√22=3(√2−1)4.试卷第11页,总11页。
三角函数 诱导公式专项练习学校:___________姓名:___________班级:___________考号:___________ 一、单选题1.sin (−600∘)=( ) A . −√32 B . −12C . 12D .√322.cos 11π3的值为( ) A . −√32B . −12 C .√32D . 123.已知sin(30°+α)=√32,则cos (60°–α)的值为A . 12 B . −12 C .√32 D . –√324.已知 cos (π2+α)=−35,且 α∈(π2,π),则tan (α−π)=( ) A . −34 B . −43 C . 34 D . 435.已知sin(π-α)=-23,且α∈(-π2,0),则tan(2π-α)的值为( )A .2√55B . -2√55C . ±2√55 D .√526.已知cos(π4−α)=√24,则sin(α+π4)=( )A . −34B . 14C . √24D .√1447.已知sinα=35,π2<α<3π2,则sin(7π2−α)=( ) A . 35B . −35C . 45D . −458.已知 tanx =−125, x ∈(π2,π),则cos(−x +3π2)=( )A .513B . -513C .1213D . -12139.如果cos(π+A)=−12,那么sin(π2+A)= A . -12 B . 12 C . 1 D . -1 10.已知cos(π2−α)−3cosαsinα−cos (π+α)=2,则tanα=( ) A . 15 B . −23 C . 12 D . −5 11.化简cos480∘的值是( )A.12B.−12C.√32D.−√3212.cos(−585°)的值是()A.√22B.√32C.−√32D.−√2213.已知角α的终边经过点P(−5,−12),则sin(3π2+α)的值等于()A.−513B.−1213C.513D.121314.已知cos(π+α)=23,则tanα=()A.√52B.2√55C.±√52D.±2√5515.已知cosα=15,−π2<α<0,则cos(π2+α)tan(α+π)cos(−α)tanα的值为()A.2√6B.−2√6C.−√612D.√61216.已知sinα=13,α∈(π2,π)则cos(−α)=()A.13B.−13C.2√23D.−2√2317.已知sin(π+α)=45,且α是第四象限角,则cos(α−2π)的值是( )A.−35B.35C.±35D.4518.已知sin=,则cos=( ) A.B.C.-D.-19.已知cos α=k,k∈R,α∈,则sin(π+α)=( ) A.-B.C.±D.-k20.=( )A.sin 2-cos 2B.sin 2+cos 2C.±(sin 2-cos 2)D.cos 2-sin 221.sin585∘的值为A.√22B.−√22C.√32D.−√3222.sin(−1020°)=()A.12B.−12C.√32D.−√3223.若α∈(0,π),sin(π−α)+cosα=√23,则sinα−cosα的值为( )A .√23B . −√23C . 43 D . −4324.已知α∈(π2,π)且sin (π+α)=−35,则tan α=( ) A . −34B . 43C . 34D . −4325.已知sin (π2+θ)+3cos (π−θ)=sin (−θ),则sinθcosθ+cos 2θ=( )A . 15B . 25C . 35 D .√5526.若sinθ−cosθ=43,且θ∈(34π,π),则sin(π−θ)−cos(π−θ)=( ) A . −√23B .√23C . −43D . 4327.已知sin (π2+θ)+3cos (π−θ)=sin (−θ),则sinθcosθ+cos 2θ=( ) A . 15 B . 25 C . 35 D . √5528.已知sin(2015π2+α)=13,则cos(π−2α)的值为( )A . 13 B . -13 C . 79 D . −79 29.若α∈(0,π),sin(π−α)+cosα=√23,则sinα−cosα的值为( )A .√23B . −√23C . 43 D . −4330.已知a =tan (−π6),b =cos (−23π4),c =sin25π3,则a,b,c 的大小关系是( )A . b >a >cB . a >b >cC . c >b >aD . a >c >b 31.cos7500= A .√32B . 12C . −√32D . −1232.sin (−236π)的值等于( )A .√32B . −12 C . 12 D . −√3233.sin300°+tan600°+cos (−210°)的值的( ) A . −√3 B . 0 C . −12+√32D . 12+√3234.已知α∈(π2,3π2),tan(α−π)=−34,则sinα+cosα等于( ). A . ±15 B . −15 C . 15 D . −75 35.已知sin1100=a ,则cos200的值为( )A . aB . −aC . √1−a 2D . −√1−a 2 36.点A (cos2018∘,tan2018∘)在直角坐标平面上位于( ) A . 第一象限 B . 第二象限 C . 第三象限 D . 第四象限 37.如果sin (π−α)=13,那么sin (π+α)−cos (π2−α)等于( ) A . −23B . 23C .2√23 D . −2√2338.已知角α的终边过点(a,−2),若tan (π+α)=3,则实数a = A . 6 B . −23C . −6D . 2339.cos (2π+α)tan (π+α)sin (π−α)cos (π2−α)cos (−α)=A . 1B . −1C . tan αD . −tan α 40.已知sin (−α)=−√53,则cos (π2+α)的值为( )A . √53B . −√53C . 23 D . −23参考答案1.D【解析】【分析】直接运用诱导公式,转化为特殊角的三角函数值求解。
e an dAl l th i n s in th ebe i n =sin,、已知,则=、、、、、、、、﹣(+)=﹣,则(﹣、﹣、、﹣、、函数的最小值等于( )、、本式的值是( )、、、已知且、、、、、、﹣a+)=,则(2a﹣)的值是( )、、 C 、﹣、﹣、若,,则的值为( )、、、、、已知,则的值是( 、、、、m e dAl l t h i n gi r b e ar e g o o (x﹣)(x﹣)、、;③tantan ;④,其中恒为定值的是( )、、、、、设,则值是( )、、、给定函数①y=xcos(+x (+x 、设角的值等于( 、、﹣、、﹣)是角终边上一点,则Z 时,取得最大值,且a t i m e an dAl l h i n g 、化简:=、化简:=、已知,则,则(+)+)+)+)的值等于 =,则、若,且,则an d=sin,=sin=cos ,(﹣)=cos =f 、已知,则=、、、、cosa=,利用诱导公式化简,再用两角差的余弦公式,求解即可.cosa=,(+a ﹣+a (a﹣)=×+×a t a ti m Al l th i n gs in 、、、、﹣===,===.(+)=﹣,则(﹣、﹣、、﹣、(﹣(+(﹣=cos[﹣(﹣(+=﹣.贵州)函数的最小值等于( )、﹣3、:运用诱导公式化简求值。
a ti e an d A l l n gs in (﹣x)变形为sin[﹣(+x (﹣x)﹣cos(+x =2sin[﹣(+x )]﹣cos(+x (+x ﹣cos(+x (+x 做题时注意应用(﹣x)(+x =这个角度变换.、本式的值是( )、、:运用诱导公式化简求值。
﹣)﹣cos +)+tan +)=﹣sin ﹣cos+tan=﹣+×+×=1、已知且、、、、由已知中且解:∵且∴,∴=e an dn gs in h ei r 、、﹣=﹣,a+)=,则(2a﹣)的值是( )、、、﹣、﹣a+)=sin[﹣(﹣(﹣﹣)=,﹣)=2﹣1=2×﹣1=﹣、若,,则的值为( )、、、、角之间的关系:(﹣x)(+x =及﹣2x=2(﹣x)解:∵∴,(﹣x)>(﹣x)===.∵(﹣x)(+x =,∴cos(+x (﹣x)①.a t an d Aei r (﹣2x)(﹣x)(﹣x)(﹣x)②,将①②代入原式,∴===、已知,则的值是( )、、、、=>=﹣=﹣,则=sin =×(﹣)=﹣.(x﹣)(x﹣)、2m 、±2m 、、(x﹣)展开后加上)的值代入即可求得答案.(x﹣)=cosx+cosx+sinx=(cosx+sinx =cos (x﹣)=m 故选;③tan tan;④,其中恒为定值的cot tan=1 2不是定值.tan tan=tan(﹣)tan=cot tan=1③符合;=sin sin=sin2不是定值.④不正确.、、、、t a t i m e aAl l t h er b e =====﹣、设,则值是( )、、=,所以=﹣,则===2×(﹣)=﹣1.n dh i n g 、给定函数①y=xcos(+x (+x 解:对于①y=xcos(π(+x 、设角的值等于( )、、﹣、、﹣解:因为,则======.ng a t a tl l th e o ()=﹣sinx,)=﹣sin()=﹣cosx,)=﹣cos()())是角终边上一点,则Z 的值为 ﹣ .利用大公司化简,得到解:原式可化为,由条件(﹣4,)是角终边上一点,所以,故所求值为.故答案为:时,取得最大值,且这个最大值为 .得=﹣,然后把已知条件分别利用二倍角的余弦函数公式和诱导公式化为关于的值,利用特殊角的三角函数值即可求出此a t a ti e adA l l s in ei r be ar e,则=1﹣2+2cos (﹣)=1﹣2+2sin =﹣2+,sin =,因为为锐角,所以=30时,原式的最大值为.,、化简:====﹣cos 、化简:====﹣sin 、已知,则sin开始每连续的四个正弦值相加为a t a ti an dAgs th ei r be i n o 解:由,=1+sin +1+sin +1+sin+1+sin2+1+sin ++1+sin sin+sin +sin+sin2sin+sin3+sin+sin4sin+sin1003+sin1004+sin =2009+sin +sin +sin +sin2sin +sin +sin +sin2sin +sin +sin+sin2+sin+),则( .,知或,故由(,∴或,∴(==.故答案为:.本题考查三角函数的诱导公式和化简求值,解题时要注意三角函数的符号和等价转化.+)+)+)+)的值等于 ﹣ .π+α)=sin (﹣)(﹣)…=﹣.e a n d Ags b=,则 .=,可得,从而首尾=,∴=.故答案为、若,且,则)的值是 .==﹣,而∈(﹣,==.故答案为:。
三角函数的诱导公式(1)一、选择题1.如果|cos x |=cos (x +π),则x 的取值集合是( )A .-2π+2k π≤x ≤2π+2k π B .-2π+2k π≤x ≤2π3+2k π C . 2π+2k π≤x ≤2π3+2k π D .(2k +1)π≤x ≤2(k +1)π(以上k ∈Z ) 2.sin (-6π19)的值是( ) A . 21 B .-21 C .23 D .-23 3.下列三角函数:①sin (n π+3π4);②cos (2n π+6π);③sin (2n π+3π);④cos [(2n +1)π-6π]; ⑤sin [(2n +1)π-3π](n ∈Z ). 其中函数值与sin3π的值相同的是( ) A .①② B .①③④ C .②③⑤ D .①③⑤4.若cos (π+α)=-510,且α∈(-2π,0),则tan (2π3+α)的值为( ) A .-36 B .36 C .-26 D .26 5.设A 、B 、C 是三角形的三个内角,下列关系恒成立的是( )A .cos (A +B )=cosC B .sin (A +B )=sin C C .tan (A +B )=tan CD .sin2A B +=sin 2C 6.函数f (x )=cos3πx (x ∈Z )的值域为( ) A .{-1,-21,0,21,1} B .{-1,-21,21,1} C .{-1,-23,0,23,1} D .{-1,-23,23,1} 二、填空题7.若α.8.sin 21°+sin 22°+sin 23°+…+sin 289°=_________.三、解答题9.求值:sin (-660°)cos420°-tan330°cot (-690°).11..12、求证:tan(2π)sin(2π)cos(6π)cos(π)sin(5π)q q qq q-----+=tanθ.三角函数的诱导公式(2)一、选择题:1.已知sin(4π+α)=23,则sin(43π-α)值为( ) A. 21 B. —21 C. 23 D. —23 2.cos(π+α)= —21,23π<α<π2,sin(π2-α) 值为( ) A. 23 B. 21 C. 23± D. —23 3.化简:)2cos()2sin(21-•-+ππ得( )A.sin2+cos2B.cos2-sin2C.sin2-cos2D.± (cos2-sin2)4.已知α和β的终边关于x 轴对称,则下列各式中正确的是( )A.sinα=sinβB. sin(α-π2) =sinβC.cosα=cosβD. cos(π2-α) =-cosβ5.设tanθ=-2, 2π-<θ<0,那么sin 2θ+cos(θ-π2)的值等于( ), A. 51(4+5) B. 51(4-5) C. 51(4±5) D. 51(5-4) 二、填空题:6.cos(π-x)= 23,x ∈(-π,π),则x 的值为 . 7.tanα=m ,则=+-+++)cos(-sin()cos(3sin(απα)απ)απ . 8.|sinα|=sin (-π+α),则α的取值范围是 .三、解答题:9.)cos(·3sin()cos()n(s 2sin(απα)παπα)π----+-απi .10.已知:sin (x+6π)=41,求sin ()67x +π+cos 2(65π-x )的值.11. 求下列三角函数值:(1)sin3π7;(2)cos 4π17;(3)tan (-6π23);12. 求下列三角函数值:(1)sin 3π4·cos 6π25·tan 4π5; (2)sin [(2n +1)π-3π2].13.设f (θ)=)cos()π(2cos 23)2πsin()π2(sin cos 2223θθθθθ-+++-++-+,求f (3π)的值.。
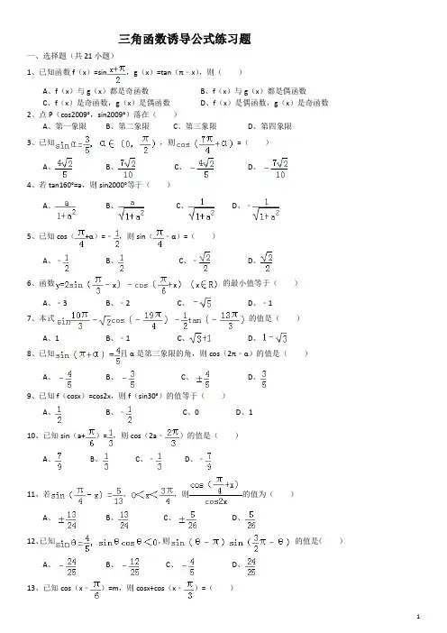
三角函数诱导公式练习题一、选择题(共21小题)1、已知函数f(x)=sin,g(x)=tan(π﹣x),则()A、f(x)与g(x)都是奇函数B、f(x)与g(x)都是偶函数C、f(x)是奇函数,g(x)是偶函数D、f(x)是偶函数,g(x)是奇函数2、点P(cos2009°,sin2009°)落在()A、第一象限B、第二象限C、第三象限D、第四象限3、已知,则=()A、B、C、D、4、若tan160°=a,则sin2000°等于()A、B、C、D、﹣5、已知cos(+α)=﹣,则sin(﹣α)=()A、﹣B、C、﹣D、6、函数的最小值等于()A、﹣3B、﹣2C、D、﹣17、本式的值是()A、1B、﹣1C、D、8、已知且α是第三象限的角,则cos(2π﹣α)的值是()A、B、C、D、9、已知f(cosx)=cos2x,则f(sin30°)的值等于()A、B、﹣C、0 D、110、已知sin(a+)=,则cos(2a﹣)的值是()A、B、C、﹣D、﹣11、若,,则的值为()A、B、C、D、12、已知,则的值是()A、B、C、D、13、已知cos(x﹣)=m,则cosx+cos(x﹣)=()A、2mB、±2mC、D、14、设a=sin(sin20080),b=sin(cos20080),c=cos(sin20080),d=cos(cos20080),则a,b,c,d的大小关系是()A、a<b<c<dB、b<a<d<cC、c<d<b<aD、d<c<a<b15、在△ABC中,①sin(A+B)+sinC;②cos(B+C)+cosA;③tan tan;④,其中恒为定值的是()A、②③B、①②C、②④D、③④16、已知tan28°=a,则sin2008°=()A、B、C、D、17、设,则值是()A、﹣1B、1C、D、18、已知f(x)=asin(πx+α)+bcos(πx+β)+4(a,b,α,β为非零实数),f(2007)=5,则f(2008)=()A、3B、5C、1D、不能确定19、给定函数①y=xcos(+x),②y=1+sin2(π+x),③y=cos(cos(+x))中,偶函数的个数是()A、3B、2C、1D、020、设角的值等于()A、B、﹣C、D、﹣21、在程序框图中,输入f0(x)=cosx,则输出的是f4(x)=﹣csx()A、﹣sinxB、sinxC、cosxD、﹣cosx二、填空题(共9小题)22、若(﹣4,3)是角终边上一点,则Z的值为.23、△ABC的三个内角为A、B、C,当A为°时,取得最大值,且这个最大值为.24、化简:=25、化简:= .26、已知,则f(1)+f(2)+f(3)+…+f(2009)= .27、已知tanθ=3,则(π﹣θ)= .28、sin(π+)sin(2π+)sin(3π+)…sin(2010π+)的值等于.29、f(x)=,则f(1°)+f(2°)+…+f(58°)+f(59°)= .30、若,且,则cos(2π﹣α)的值是.答案与评分标准一、选择题(共21小题)1、已知函数f(x)=sin,g(x)=tan(π﹣x),则()A、f(x)与g(x)都是奇函数B、f(x)与g(x)都是偶函数C、f(x)是奇函数,g(x)是偶函数D、f(x)是偶函数,g(x)是奇函数考点:函数奇偶性的判断;运用诱导公式化简求值。
三角函数的诱导公式一、1.如果 |cosx|=cos ( x+π), x 的取 集合是()ππ+2k π B .- π3 πA .- +2k π≤x ≤+2k π≤x ≤+2k π2 2 22C .π+2k π≤x ≤3π+2k πD .( 2k+1) π≤x ≤2( k+1 ) π(以上 k ∈ Z )222.sin (-19π)的 是( )6A .1B .-13 3C .D .-22223.下列三角函数:4π π ππ]; ① sin ( n π+);② cos ( 2n π+ );③ sin ( 2n π+ );④ cos [( 2n+1) π-6 363⑤ sin [( 2n+1) π- π]( n ∈Z ).3其中函数 与sinπ的 相同的是()3A .①②B .①③④C .②③⑤D .①③⑤ 4.若 cos ( π+α) =-10 ,且 α∈(- π, 0), tan (3π+α)的 ( )5 2266C .-6D .6 A .-B .223 35. A 、B 、 C 是三角形的三个内角,下列关系恒成立的是()A . cos ( A+B ) =cosCB . sin ( A+B ) =sinCA B C C . tan ( A+B ) =tanC D . sin2=sin26.函数 f ( x ) =cosπx( x ∈ Z )的 域 ( )3A . { - 1,- 1 , 0, 1, 1}B . { - 1,- 1 , 1, 1}2 222C . { - 1,-3, 0,3, 1}D . { - 1,-3 , 3, 1}2222二、填空7.若 α是第三象限角,1 2sin(π ) cos(π ) =_________ .21°+sin 2228.sin 2°+sin 3° +⋯ +sin89°=_________ .三、解答9.求 : sin (- 660 °) cos420 °- tan330 cot °(- 690 °).10.证明:2 sin(π) cos 1 tan(9 π) 1 .1 2 sin 2 tan(π) 111.已知 cosα= 1 , cos(α+β) =1,求证: cos( 2α+β) = 1.3 312.化简: 1 2 sin 290 cos 430 .sin 250 cos79013、求证:tan(2 π) sin( 2 π) cos(6π) =tanθ.cos(π) sin( 5 π)3π14.求证:( 1) sin(-α)=-cosα;(2) cos(3π+α)=sinα. 2参考答案 1 一、选择题1.C 2. A 3. C 4. B 5. B6. B二、填空题7.- sinα-cosα 8.892三、解答题3+1.9.410.证明:左边 =2sin coscos2 sin 2=-(sin cos )2 sin cos,)(cos sin ) sin cos(cossin右边 = tan tan sin cos ,tan tan sin cos左边 =右边,∴原等式成立.11.证明:∵ cos(α+β) =1,∴α+β=2kπ.∴cos(2α+β) =cos(α+α+β)=cos(α+2kπ) =cosα=1.31 2 sin 290 cos43012.解:cos 790sin 2501 2 sin( 70 360 ) cos(70 360 )=70 ) cos(70 2 360 )sin(1801 2 sin 70 cos 70=sin 70cos 70(sin 70 cos70 )2=sin 70cos 70sin 70 cos70- 1.= =cos70 sin 70 13.证明:左边 = tan() sin( ) cos( ) ( tan )( sin ) cos =tanθ=右边,( cos )( sin ) cos sin∴原等式成立.14证明:( 1) sin (3π-α) =sin[π+(π-α)]=- sin(π-α) =- cosα.22 2(2) cos(3π+α) =cos[π+(π+α)] =- cos(π+α) =sinα.22 2三角函数的诱导公式 2一、选择题:π +α )=3,则 sin(3π-α)值为(1.已知 sin( )424A.1 B. —1C.3 D. —322222.cos(+α )= 1 , 3π <α<,sin(2 -α ) 值为()— 2 22A.31C. 3D. —32B.2223.化简: 1 2 sin( 2) ? cos( 2) 得()A.sin2+cos2B.cos2-sin2C.sin2-cos2D. ±(cos2-sin2)4.已知 α和 β的终边关于 x 轴对称,则下列各式中正确的是()A.sin α =sin2βC.cos α =cos β D. cos( 2-α ) =-cos β β B. sin( - α ) =sin 5.设 tan θ=-2, π2θ +cos(- θ )的值等于(),θ <0,那么 sin 22A.1( 4+ 5 ) B.1(4-5 ) C. 1( 4± 5 )D.1 ( 5 -4)5 555二、填空题:6.cos(-x)=3, x ∈( - , ),则 x 的值为.27.tan α =m ,则 sin(α 3 ) cos(π α).sin( α) π α- cos( )8.|sin α |=sin (- +α),则 α的取值范围是.三、解答题:π α) si n() cos( π α9. sin(2) .π α)π αsin(3·cos( )π ) = 1,求 sin ( π x) +cos 2(5π-x )的值.10.已知: sin ( x+7646611. 求下列三角函数值:( 1) sin 7 π;( 2) cos 17 π ;(3) tan (- 23 π);3 4 612. 求下列三角函数值:( 1) sin 4π·cos 25π·tan 5 π;3 6 4( 2) sin [( 2n+1) π-2π] .32 cos3 sin 2 ( 2π ) π) 3sin(π)的值 .13.设 f ( θ)= 2cos 2(π ) 2,求 f ( 2 cos( )3参考答案 21.C 2. A 3. C 4. C 5. A5π m 1,2k ]6.±7.8. [(2k-1)6m 19.原式 = sin α( sin ) cos(π α) sin 2α( cos α)11 π α) α= α = sin α10.α 16sin( ·( cos )sin ?( cos )7ππ ) =sin π 311.解:( 1) sin =sin ( 2π+3 =.3 32( 2) cos 17 π=cos ( 4π+ π ) =cos π = 2 .4 4 42(3) tan (- 23π) =cos (- 4π+ π )=cos π=3 . 66 62(4) sin (- 765°) =sin [ 360°×(- 2)- 45°] =sin (- 45°) =- sin45 °=-2 .2注:利用公式( 1)、公式( 2)可以将任意角的三角函数转化为终边在第一象限和第二象限的角的三角函数,从而求值 .12.解:( 1) sin 4π 25π ·tan 5 π ππ π 3 ·cos 6 =sin ( π+ ) ·cos ( 4π+ ) ·tan ( π+ )4 36 4=(- sin π) ·cos π·tan π =(- 3 ) · 3 ·1=- 3 .3 64 2 2 4(2) sin [( 2n+1) π- 2π] =sin ( π- 2π)=sin π = 3 .333213.解: f ( θ)=2 cos 3sin 2cos32 2 cos 2 cos=2 cos 31 cos2cos32 2 cos 2cos2 cos3 2 (cos 2cos )=2 cos 2cos22(cos 3 1) cos (cos 1)=2 cos 2cos22(cos 1)(cos 2cos1) cos (cos 1)=2 2 cos 2cos(cos1)(2 cos 2 cos2)=2 cos2cos2= c os θ- 1,∴ f ( π) =cos π- 1= 1 - 1= - 1 .3 3 2 2三角函数公式1. 同角三角函数基本关系式sin 2 α+ cos 2 α=1sin αcos α =tan αtan α cot α =1 2. 诱导公式(奇变偶不变,符号看象限 )(一) sin( π-α )= sin αsin( π +α )= -sin α cos(π-α )= -cos αcos(π +α )= -cos α tan( π-α )= -tan α tan( π +α )= tan α sin(2 π-α )= -sin α sin(2π +α )= sin α cos(2π-α )= cos α cos(2π +α )= cos α tan(2 π-α )= -tan αtan(2 π +α )= tan αππ (二) sin( 2 -α )= cos α sin( 2 +α )= cos αππcos( 2 -α )= sin αcos( 2 +α )= - sin αππ tan( 2 -α )= cot α tan( 2 +α )= -cot α 3π3π sin( 2 -α )= -cos αsin( 2 +α )= -cos α3π3πcos( 2 -α )= -sin α cos( 2 +α )= sin α tan( 3π -α )= cot α tan( 3π+α )= -cot α 2 2sin( -α )=- sin αcos(-α )=cos αtan( -α )=- tan α3. 两角和与差的三角函数cos(α +β )=cos α cos β- sin α sin β cos(α-β )=cos α cos β+ sin α sin β sin ( α +β )=sin α cos β+ cos α sin β sin ( α-β )=sin αcos β- cos α sin βtan α +tan β tan( α +β )=1- tan α tan βtan α- tan β tan( α-β )=1+ tan α tan β4. 二倍角公式sin2α =2sin α cos αcos2α =cos 2α- sin 2α= 2 cos 2α- 1= 1- 2 sin 2α2tan αtan2 α =1- tan 2α5. 公式的变形( 1) 升幂公式: 1+ cos2α= 2cos 2α1—cos2α= 2sin 2α ( 2) 降幂公式: cos 2α=1+ cos2α sin 2α= 1- cos2α2 2 ( 3) 正切公式变形: tan α +tan β= tan( α +β )( 1- tan α tan β)tan α- tan β= tan( α-β )( 1+ tan α tan β )( 4) 万能公式(用 tan α表示其他三角函数值)2tan α 1- tan 2α2tan α sin2α=1+tan 2αcos2α=1+tan 2αtan2α=1- tan 2α6. 插入辅助角公式asinx + bcosx= a 2+b 2sin(x+ φ ) (tan φ = b) a 特殊地: sinx ± cosx = 2πsin(x ±)47. 熟悉形式的变形(如何变形)1± sinx ± cosx 1± sinx1± cosxtanx + cotx1- tan α1+ tan α 1+ tan α1- tan απ若 A 、 B 是锐角, A+B =,则( 1+ tanA ) (1+tanB)=248. 在三角形中的结论若: A + B + C= π ,A+B+C π2= 2 则有 tanA + tanB + tanC=tanAtanBtanCAB BCC Atan 2 tan 2 + tan 2 tan 2 + tan 2 tan 2 = 1。
三角函数诱导公式练习题一、选择题(共21小题)1、已知函数f(x)=sin,g(x)=tan(π﹣x),则()A、f(x)与g(x)都是奇函数B、f(x)与g(x)都是偶函数C、f(x)是奇函数,g(x)是偶函数D、f(x)是偶函数,g(x)是奇函数2、点P(cos2009°,sin2009°)落在()A、第一象限B、第二象限C、第三象限D、第四象限3、已知,则=()A、B、C、D、4、若tan160°=a,则sin2000°等于()A、B、C、D、﹣5、已知cos(+α)=﹣,则sin(﹣α)=()A、﹣B、C、﹣D、6、函数的最小值等于()A、﹣3B、﹣2C、D、﹣17、本式的值是()A、1B、﹣1C、D、8、已知且α是第三象限的角,则cos(2π﹣α)的值是()A、B、C、D、9、已知f(cosx)=cos2x,则f(sin30°)的值等于()A、B、﹣C、0 D、110、已知sin(a+)=,则cos(2a﹣)的值是()A、B、C、﹣D、﹣11、若,,则的值为()A、B、C、D、12、已知,则的值是()A、B、C、D、13、已知cos(x﹣)=m,则cosx+cos(x﹣)=()A、2mB、±2mC、D、14、设a=sin(sin20080),b=sin(cos20080),c=cos(sin20080),d=cos(cos20080),则a,b,c,d的大小关系是()A、a<b<c<dB、b<a<d<cC、c<d<b<aD、d<c<a<b15、在△ABC中,①sin(A+B)+sinC;②cos(B+C)+cosA;③tan tan;④,其中恒为定值的是()A、②③B、①②C、②④D、③④16、已知tan28°=a,则sin2008°=()A、B、C、D、17、设,则值是()A、﹣1B、1C、D、18、已知f(x)=asin(πx+α)+bcos(πx+β)+4(a,b,α,β为非零实数),f(2007)=5,则f(2008)=()A、3B、5C、1D、不能确定19、给定函数①y=xcos(+x),②y=1+sin2(π+x),③y=cos(cos(+x))中,偶函数的个数是()A、3B、2C、1D、020、设角的值等于()A、B、﹣C、D、﹣21、在程序框图中,输入f0(x)=cosx,则输出的是f4(x)=﹣csx()A、﹣sinxB、sinxC、cosxD、﹣cosx二、填空题(共9小题)22、若(﹣4,3)是角终边上一点,则Z的值为.23、△ABC的三个内角为A、B、C,当A为°时,取得最大值,且这个最大值为.24、化简:=25、化简:=.26、已知,则f(1)+f(2)+f(3)+…+f(2009)=.27、已知tanθ=3,则(π﹣θ)=.28、sin(π+)sin(2π+)sin(3π+)…sin(2010π+)的值等于.29、f(x)=,则f(1°)+f(2°)+…+f(58°)+f(59°)= .30、若,且,则cos(2π﹣α)的值是.答案与评分标准一、选择题(共21小题)1、已知函数f(x)=sin,g(x)=tan(π﹣x),则()A、f(x)与g(x)都是奇函数B、f(x)与g(x)都是偶函数C、f(x)是奇函数,g(x)是偶函数D、f(x)是偶函数,g(x)是奇函数考点:函数奇偶性的判断;运用诱导公式化简求值。
三角函数诱导公式练习题集附答案解析The Standardization Office was revised on the afternoon of December 13, 2020三角函数诱导公式练习题一、选择题(共21小题)1、已知函数f(x)=sin,g(x)=tan(π﹣x),则()A、f(x)与g(x)都是奇函数B、f(x)与g(x)都是偶函数C、f(x)是奇函数,g(x)是偶函数D、f(x)是偶函数,g(x)是奇函数2、点P(cos2009°,sin2009°)落在()A、第一象限B、第二象限C、第三象限D、第四象限3、已知,则=()A、 B、C、 D、4、若tan160°=a,则sin2000°等于()A、B、C、D、﹣5、已知cos(+α)=﹣,则sin(﹣α)=()A、﹣B、C、﹣D、6、函数的最小值等于()A、﹣3B、﹣2C、D、﹣17、本式的值是()A、1B、﹣1C、D、8、已知且α是第三象限的角,则cos(2π﹣α)的值是()A、B、C、D、9、已知f(cosx)=cos2x,则f(sin30°)的值等于()A、 B、﹣C、0 D、110、已知sin(a+)=,则cos(2a﹣)的值是()A、B、 C、﹣D、﹣11、若,,则的值为()A、B、C、D、12、已知,则的值是()A、B、C、D、13、已知cos(x﹣)=m,则cosx+cos(x﹣)=()A、2mB、±2mC、D、14、设a=sin(sin20080),b=sin(cos20080),c=cos(sin20080),d=cos(cos20080),则a,b,c,d的大小关系是()A、a<b<c<dB、b<a<d<cC、c<d<b<aD、d<c<a<b15、在△ABC中,①sin(A+B)+sinC;②cos(B+C)+cosA;③tan tan;④,其中恒为定值的是()A、②③B、①②C、②④D、③④16、已知tan28°=a,则sin2008°=()A、B、C、D、17、设,则值是()A、﹣1B、1C、D、18、已知f(x)=asin(πx+α)+bcos(πx+β)+4(a,b,α,β为非零实数),f(2007)=5,则f(2008)=()A、3B、5C、1D、不能确定19、给定函数①y=xcos(+x),②y=1+sin2(π+x),③y=cos(cos (+x))中,偶函数的个数是()A、3B、2C、1D、020、设角的值等于()A、B、﹣C、D、﹣21、在程序框图中,输入f0(x)=cosx,则输出的是f4(x)=﹣csx()A、﹣sinxB、sinxC、cosxD、﹣cosx二、填空题(共9小题)22、若(﹣4,3)是角终边上一点,则Z的值为.23、△ABC的三个内角为A、B、C,当A为°时,取得最大值,且这个最大值为.24、化简:=25、化简:= .26、已知,则f(1)+f(2)+f(3)+…+f(2009)= .27、已知tanθ=3,则(π﹣θ)= .28、sin(π+)sin(2π+)sin(3π+)…sin(2010π+)的值等于.29、f(x)=,则f(1°)+f(2°)+…+f(58°)+f(59°)= .30、若,且,则cos(2π﹣α)的值是.答案与评分标准一、选择题(共21小题)1、已知函数f(x)=sin,g(x)=tan(π﹣x),则()A、f(x)与g(x)都是奇函数B、f(x)与g(x)都是偶函数C、f(x)是奇函数,g(x)是偶函数D、f(x)是偶函数,g(x)是奇函数考点:函数奇偶性的判断;运用诱导公式化简求值。
三⾓函数诱导公式练习题集附答案解析三⾓函数诱导公式练习题⼀、选择题(共21⼩题)1、已知函数f(x)=sin,g(x)=tan(π﹣x),则( )A、f(x)与g(x)都就是奇函数B、f(x)与g(x)都就是偶函数C、f(x)就是奇函数,g(x)就是偶函数D、f(x)就是偶函数,g(x)就是奇函数2、点P(cos2009°,sin2009°)落在( )A、第⼀象限B、第⼆象限C、第三象限D、第四象限3、已知,则=( )A、B、C、D、4、若tan160°=a,则sin2000°等于( )A、B、C、D、﹣5、已知cos(+α)=﹣,则sin(﹣α)=( )A、﹣B、C、﹣D、6、函数得最⼩值等于( )A、﹣3B、﹣2C、D、﹣17、本式得值就是( )A、1B、﹣1C、D、8、已知且α就是第三象限得⾓,则cos(2π﹣α)得值就是( )A、B、C、D、9、已知f(cosx)=cos2x,则f(sin30°)得值等于( )A、B、﹣C、0 D、110、已知sin(a+)=,则cos(2a﹣)得值就是( )A、B、C、﹣D、﹣11、若,,则得值为( )A、B、C、D、12、已知,则得值就是( )A、B、C、D、13、已知cos(x﹣)=m,则cosx+cos(x﹣)=( )A、2mB、±2mC、D、14、设a=sin(sin20080),b=sin(cos20080),c=cos(sin20080),d=cos(cos20080),则a,b,c,d 得⼤⼩关系就是( )A、a<b<c<dB、b<a<d<cC、c<d<b<aD、d<c<a<b15、在△ABC中,①sin(A+B)+sinC;②cos(B+C)+cosA;③tantan;④,其中恒为定值得就是( )A、②③B、①②C、②④D、③④16、已知tan28°=a,则sin2008°=( )A、B、C、D、17、设,则值就是( )A、﹣1B、1C、D、18、已知f(x)=asin(πx+α)+bcos(πx+β)+4(a,b,α,β为⾮零实数),f(2007)=5,则f(2008)=( )A、3B、5C、1D、不能确定19、给定函数①y=xcos(+x),②y=1+sin2(π+x),③y=cos(cos(+x))中,偶函数得个数就是( )A、3B、2C、1D、020、设⾓得值等于( )A、B、﹣C、D、﹣21、在程序框图中,输⼊f0(x)=cosx,则输出得就是f4(x)=﹣csx( )A、﹣sinxB、sinxC、cosxD、﹣cosx⼆、填空题(共9⼩题)22、若(﹣4,3)就是⾓终边上⼀点,则Z得值为.23、△ABC得三个内⾓为A、B、C,当A为°时,取得最⼤值,且这个最⼤值为.24、化简:=25、化简:= .26、已知,则f(1)+f(2)+f(3)+…+f(2009)= .27、已知tanθ=3,则(π﹣θ)= .28、sin(π+)sin(2π+)sin(3π+)…sin(2010π+)得值等于.29、f(x)=,则f(1°)+f(2°)+…+f(58°)+f(59°)= .30、若,且,则cos(2π﹣α)得值就是.答案与评分标准⼀、选择题(共21⼩题)1、已知函数f(x)=sin,g(x)=tan(π﹣x),则( )A、f(x)与g(x)都就是奇函数B、f(x)与g(x)都就是偶函数C、f(x)就是奇函数,g(x)就是偶函数D、f(x)就是偶函数,g(x)就是奇函数考点:函数奇偶性得判断;运⽤诱导公式化简求值。
三角函数诱导公式练习题一、选择题(共21小题)1、已知函数f(x)=sin,g(x)=tan(π﹣x),则()A、f(x)与g(x)都是奇函数B、f(x)与g(x)都是偶函数C、f(x)是奇函数,g(x)是偶函数D、f(x)是偶函数,g(x)是奇函数2、点P(cos2009°,sin2009°)落在()A、第一象限B、第二象限C、第三象限D、第四象限3、已知,则=()A、B、C、D、4、若tan160°=a,则sin2000°等于()A、B、C、D、﹣5、已知cos(+α)=﹣,则sin(﹣α)=()A、﹣B、C、﹣D、6、函数的最小值等于()A、﹣3B、﹣2C、D、﹣17、本式的值是()A、1B、﹣1C、D、8、已知且α是第三象限的角,则cos(2π﹣α)的值是()A、B、C、D、9、已知f(cosx)=cos2x,则f(sin30°)的值等于()A、B、﹣C、0D、110、已知sin(a+)=,则cos(2a﹣)的值是()A、B、C、﹣D、﹣11、若,,则的值为()A、B、C、D、)12、已知,则的值是(A、B、C、D、13、已知cos(x﹣)=m,则cosx+cos(x﹣)=()3A 、2mB 、±2mC 、D 、14、设 a=sin (sin20080),b=sin (cos20080),c=cos (sin20080),d=cos (cos20080),则 a ,b , c ,d 的大小关系是() A 、a <b <c <d B 、b <a <d <c C 、c <d <b <a D 、d <c <a <b△15、在ABC 中,①sin (A+B )+sinC ;②cos (B+C )+cosA ;③tan tan ;④,其中恒为定值的是( ) A 、②③ B 、①② C 、②④D 、③④16、已知 tan28°=a ,则 sin2008°=()A 、B 、C 、D 、17、设,则 值是( )A 、﹣1B 、1C 、D 、18、已知 f (x )=asin (πx+α)+bcos (πx+β)+4(a ,b ,α,β 为非零实数),f (2007)=5, 则 f (2008)=( )A 、3B 、5C 、1D 、不能确定19、给定函数①y=xcos (+x ),②y=1+sin 2(π+x ),③y=cos (cos ( +x ))中,偶函数的个数是( )A 、3B 、2C 、1D 、020 、 设角的值等于()A 、B 、﹣C 、D 、﹣21、在程序框图中,输入 f 0(x )=cosx ,则输出的是 f 4(x )=﹣csx ()A 、﹣sinxB 、sinxC 、cosxD 、﹣cosx二、填空题(共 9 小题)22、若(﹣4, )是角终边上一点,则 Z 的值为.△23、 ABC 的三个内角为 A 、B 、C ,当 A 为°时,取得最大值,且这个最大值为.24、化简:=25、化简:=.26、已知,则f(1)+f(2)+f(3)+…+f(2009)=.27、已知tanθ=3,则(π﹣θ)=.28、sin(π+)sin(2π+)sin(3π+)…sin(2010π+)的值等于.29、f(x)=,则f(1°)+f(2°)+…+f(58°)+f(59°)=.30、若,且,则cos(2π﹣α)的值是.答案与评分标准一、选择题(共21小题)1、已知函数f(x)=sin,g(x)=tan(π﹣x),则()A、f(x)与g(x)都是奇函数B、f(x)与g(x)都是偶函数C、f(x)是奇函数,g(x)是偶函数D、f(x)是偶函数,g(x)是奇函数考点:函数奇偶性的判断;运用诱导公式化简求值。
三角函数诱导公式练习题一、选择题(共21 小题)1、已知函数 f( x)=sin , g(x) =tan(π﹣ x),则()A、 f( x)与 g( x)都是奇函数B、 f( x)与 g( x)都是偶函数C、 f ( x)是奇函数, g(x)是偶函数D、 f( x)是偶函数, g( x)是奇函数2、点 P( cos2009 ,° sin2009 )°落在()A、第一象限B、第二象限C、第三象限D、第四象限3、已知,则=()A、B、C、D、4、若 tan160 =a°,则 sin2000 等°于()A、B、C、D、﹣5、已知 cos(+α)=﹣,则 sin(﹣α) =()A、﹣B、C、﹣D、6、函数的最小值等于()A、﹣ 3B、﹣ 2C、D、﹣ 17、本式的值是()A、 1B、﹣ 1C、D、8、已知且α是第三象限的角,则cos( 2π﹣α)的值是()A、B、C、D、9、已知 f(cosx) =cos2x,则 f ( sin30 )°的值等于()A、B、﹣C、 0 D、110、已知 sin( a+ ) = ,则 cos( 2a﹣)的值是()A、B、C、﹣D、﹣11、若,,则的值为()A、B、C、D、12、已知,则的值是()A、B、C、D、13、已知 cos( x﹣) =m,则 cosx+cos( x﹣) =()A 、 2mB 、 ± 2mC 、D 、14、设 a=sin ( sin20080),b=sin ( cos20080),c=cos ( sin20080),d=cos ( cos20080),则 a ,b , c , d 的大小关系是()A 、 a <b <c < dB 、 b < a <d < cC 、 c < d < b < aD 、 d < c < a < b15 、在△ ABC 中,① sin ( A+B )+sinC ;② cos (B+C )+cosA ;③tantan ;④,其中恒为定值的是()A 、②③B 、①②C 、②④D 、③④16 、已知 tan28 =a °,则 sin2008 =°( )A 、B 、C 、D 、17、设 ,则 值是( )A 、﹣ 1B 、 1C 、D 、18、已知 f ( x ) =asin (π x+ α)+bcos ( π x+)β+4(a , b , α,β 为非零实数),f ( 2007) =5,则 f ( 2008 ) =()A 、 3B 、 5C 、 1D 、不能确定19 、给定函数① y=xcos ( +x ),② y=1+sin 2( π+x ),③ y=cos ( cos ( +x ))中,偶函数的个数是()A 、 3B 、 2C 、 1D 、 020 、设角的 值等 于()A 、B 、﹣C 、D 、﹣21 、在程序框图中,输入 f 0( x ) =cosx ,则输出的是 f 4( x )=﹣ csx ()A 、﹣ sinxB 、 sinxC 、 cosxD 、﹣ cosx二、填空题(共 9 小题)22、若(﹣ 4,3)是角终边上一点, 则Z 的值为 .23、△ ABC 的三个内角为 A 、B 、 C ,当 A 为°时, 取得最大值,且这个最大值为 .24、化简:=25 、化:= .26 、已知, f( 1)+f( 2) +f( 3) +⋯ +f( 2009 )= .27 、已知tan θ =3,(π θ)= .28 、sin(π+) sin(2π+) sin( 3π+)⋯ sin( 2010 π+)的等于.29 、f( x)= , f( 1°)+f(2°)+⋯ +f( 58°)+f( 59°) = .30 、若,且, cos(2π α)的是.答案与评分标准一、选择题(共21 小题)1、已知函数f( x)=sin,g(x)=tan(π﹣x),则()A、 f( x)与 g( x)都是奇函数B、 f( x)与 g( x)都是偶函数C、 f ( x)是奇函数, g(x)是偶函数D、 f( x)是偶函数,g( x)是奇函数考点:函数奇偶性的判断;运用诱导公式化简求值。
三角函数诱导公式练习题一、选择题(共21小题)1、已知函数f(x)=sin,g(x)=tan(π﹣x),则()A、f(x)与g(x)都是奇函数B、f(x)与g(x)都是偶函数C、f(x)是奇函数,g(x)是偶函数D、f(x)是偶函数,g(x)是奇函数2、点P(cos2009°,sin2009°)落在()A、第一象限B、第二象限C、第三象限D、第四象限3、已知,则=()A、B、C、D、4、若tan160°=a,则sin2000°等于()A、B、C、D、﹣5、已知cos(+α)=﹣,则sin(﹣α)=()A、﹣B、C、﹣D、6、函数的最小值等于()A、﹣3B、﹣2C、D、﹣17、本式的值是()A、1B、﹣1C、D、8、已知且α是第三象限的角,则cos(2π﹣α)的值是()A、B、C、D、9、已知f(cosx)=cos2x,则f(sin30°)的值等于()A、B、﹣C、0 D、110、已知sin(a+)=,则cos(2a﹣)的值是()A、B、C、﹣D、﹣11、若,,则的值为()A、B、C、D、12、已知,则的值是()A、B、C、D、13、已知cos(x﹣)=m,则cosx+cos(x﹣)=()A、2mB、±2mC、D、14、设a=sin(sin20080),b=sin(cos20080),c=cos(sin20080),d=cos(cos20080),则a,b,c,d的大小关系是()A、a<b<c<dB、b<a<d<cC、c<d<b<aD、d<c<a<b15、在△ABC中,①sin(A+B)+sinC;②cos(B+C)+cosA;③tan tan;④,其中恒为定值的是()A、②③B、①②C、②④D、③④16、已知tan28°=a,则sin2008°=()A、B、C、D、17、设,则值是()A、﹣1B、1C、D、18、已知f(x)=asin(πx+α)+bcos(πx+β)+4(a,b,α,β为非零实数),f(2007)=5,则f(2008)=()A、3B、5C、1D、不能确定19、给定函数①y=xcos(+x),②y=1+sin2(π+x),③y=cos(cos(+x))中,偶函数的个数是()A、3B、2C、1D、020、设角的值等于()A、B、﹣C、D、﹣21、在程序框图中,输入f0(x)=cosx,则输出的是f4(x)=﹣csx()A、﹣sinxB、sinxC、cosxD、﹣cosx二、填空题(共9小题)22、若(﹣4,3)是角终边上一点,则Z的值为.23、△ABC的三个内角为A、B、C,当A为°时,取得最大值,且这个最大值为.24、化简:=25、化简:=.26、已知,则f(1)+f(2)+f(3)+…+f(2009)=.27、已知tanθ=3,则(π﹣θ)=.28、sin(π+)sin(2π+)sin(3π+)…sin(2010π+)的值等于.29、f(x)=,则f(1°)+f(2°)+…+f(58°)+f(59°)= .30、若,且,则cos(2π﹣α)的值是.答案与评分标准一、选择题(共21小题)1、已知函数f(x)=sin,g(x)=tan(π﹣x),则()A、f(x)与g(x)都是奇函数B、f(x)与g(x)都是偶函数C、f(x)是奇函数,g(x)是偶函数D、f(x)是偶函数,g(x)是奇函数考点:函数奇偶性的判断;运用诱导公式化简求值。
三角函数的诱导公式1一、选择题1.如果|cos x |=cos (x +π),则x 的取值集合是( ) A .-2π+2k π≤x ≤2π+2k π B .-2π+2k π≤x ≤2π3+2k πC .2π+2k π≤x ≤2π3+2k π D .(2k +1)π≤x ≤2(k +1)π(以上k ∈Z )2.sin (-6π19)的值是( ) A .21 B .-21 C .23 D .-23 3.下列三角函数:①sin (n π+3π4);②cos (2n π+6π);③sin (2n π+3π);④cos [(2n +1)π-6π]; ⑤sin [(2n +1)π-3π](n ∈Z ). 其中函数值与sin 3π的值相同的是( ) A .①②B .①③④C .②③⑤D .①③⑤4.若cos (π+α)=-510,且α∈(-2π,0),则tan (2π3+α)的值为( ) A .-36 B .36 C .-26D .26 5.设A 、B 、C 是三角形的三个内角,下列关系恒成立的是( )A .cos (A +B )=cosC B .sin (A +B )=sin C C .tan (A +B )=tan CD .sin 2B A +=sin 2C6.函数f (x )=cos 3πx(x ∈Z )的值域为( ) A .{-1,-21,0,21,1} B .{-1,-21,21,1} C .{-1,-23,0,23,1}D .{-1,-23,23,1} 二、填空题7.若α是第三象限角,则)πcos()πsin(21αα---=_________. 8.sin 21°+sin 22°+sin 23°+…+sin 289°=_________. 三、解答题9.求值:sin (-660°)cos420°-tan330°cot (-690°).10.证明:1)πtan(1)π9tan(sin 211cos )πsin(22++-+=--⋅+θθθθθ.11.已知cos α=31,cos (α+β)=1,求证:cos (2α+β)=31.12. 化简:︒+︒︒︒+790cos 250sin 430cos 290sin 21.13、求证:)π5sin()πcos()π6cos()π2sin()π2tan(θθθθθ+-----=tan θ.14. 求证:(1)sin (2π3-α)=-cos α; (2)cos (2π3+α)=sin α.参考答案1一、选择题1.C 2.A 3.C 4.B 5.B 6.B 二、填空题7.-sin α-cos α 8.289 三、解答题 9.43+1. 10.证明:左边=θθθθ22sin cos cos sin 2-1--=-θθθθθθθθθθcos sin cos sin )sin )(cos sin (cos )cos (sin 2-+=-++,右边=θθθθθθθθcos sin cos sin tan tan tan tan -+=1-1+=1+-1--, 左边=右边,∴原等式成立.11.证明:∵cos (α+β)=1,∴α+β=2k π.∴cos (2α+β)=cos (α+α+β)=cos (α+2k π)=cos α=31.12.解:︒+︒︒︒+790cos 250sin 430cos 290sin 21=)360270cos()70180sin()36070cos()36070sin(21︒⨯+︒+︒+︒︒+︒︒+︒-+=︒-︒︒︒-70sin 70cos 70cos 70sin 21=︒-︒︒-︒70sin 70cos )70cos 70(sin 2=︒-︒︒-︒70sin 70cos 70cos 70sin =-1.13.证明:左边=θθθθθθθθθθsin cos cos )sin )(tan ()sin )(cos ()cos()sin()tan(--=-----=tan θ=右边, ∴原等式成立.14证明:(1)sin (2π3-α)=sin [π+(2π-α)]=-sin (2π-α)=-cos α. (2)cos (2π3+α)=cos [π+(2π+α)]=-cos (2π+α)=sin α.三角函数的诱导公式2一、选择题: 1.已知sin(4π+α)=23,则sin(43π-α)值为( )A.21 B. —21C. 23D. —232.cos(π+α)= —21,23π<α<π2,sin(π2-α) 值为( ) A.23 B. 21C. 23±D. —23 3.化简:)2cos()2sin(21-•-+ππ得( )A.sin2+cos2B.cos2-sin2C.sin2-cos2D.± (cos2-sin2) 4.已知α和β的终边关于x 轴对称,则下列各式中正确的是( )A.sin α=sin βB. sin(α-π2) =sin βC.cos α=cos βD. cos(π2-α) =-cos β 5.设tan θ=-2, 2π-<θ<0,那么sin 2θ+cos(θ-π2)的值等于( ), A. 51(4+5) B. 51(4-5) C. 51(4±5) D. 51(5-4)二、填空题: 6.cos(π-x)=23,x ∈(-π,π),则x 的值为 . 7.tan α=m ,则=+-+++)cos(-sin()cos(3sin(απα)απ)απ .8.|sin α|=sin (-π+α),则α的取值范围是 . 三、解答题: 9.)cos(·3sin()cos()n(s 2sin(απα)παπα)π----+-απi .10.已知:sin (x+6π)=41,求sin ()67x +π+cos 2(65π-x )的值.11. 求下列三角函数值:(1)sin 3π7;(2)cos 4π17;(3)tan (-6π23);12. 求下列三角函数值:(1)sin3π4·cos 6π25·tan 4π5;(2)sin [(2n +1)π-3π2].13.设f (θ)=)cos()π(2cos 23)2πsin()π2(sin cos 2223θθθθθ-+++-++-+,求f (3π)的值.参考答案21.C 2.A 3.C 4.C 5.A 6.±65π7.11-+m m 8.[(2k-1) π,2k π]9.原式=)cos (·sin()cos()n s (sin αα)παπα--+--αi =)cos ?(sin )cos (sin 2αααα--= sin α 10.161111.解:(1)sin 3π7=sin (2π+3π)=sin 3π=23.(2)cos4π17=cos (4π+4π)=cos 4π=22.(3)tan (-6π23)=cos (-4π+6π)=cos 6π=23.(4)sin (-765°)=sin [360°×(-2)-45°]=sin (-45°)=-sin45°=-22. 注:利用公式(1)、公式(2)可以将任意角的三角函数转化为终边在第一象限和第二象限的角的三角函数,从而求值.12.解:(1)sin 3π4·cos 6π25·tan 4π5=sin (π+3π)·cos (4π+6π)·tan (π+4π)=(-sin3π)·cos 6π·tan 4π=(-23)·23·1=-43.(2)sin [(2n +1)π-3π2]=sin (π-3π2)=sin 3π=23.13.解:f (θ)=θθθθθcos cos 223cos sin cos 2223++-++=θθθθθcos cos 223cos cos 1cos 2223++-+-+=θθθθθcos cos 22)cos (cos 2cos 2223++--- =θθθθθcos cos 22)1(cos cos )1(cos 223++---=θθθθθθθcos cos 22)1(cos cos )1cos )(cos 1(cos 222++--++-=θθθθθcos cos 22)2cos cos 2)(1(cos 22++++-=cos θ-1, ∴f (3π)=cos 3π-1=21-1=-21.三角函数公式1. 同角三角函数基本关系式sin 2α+cos 2α=1 sin αcos α=tan α tan αcot α=12. 诱导公式 (奇变偶不变,符号看象限)(一) sin(π-α)=sin α sin(π+α)=-sin αcos(π-α)=-cos α cos(π+α)=-cos α tan(π-α)=-tan α tan(π+α)=tan α sin(2π-α)=-sin α sin(2π+α)=sin α cos(2π-α)=cos α cos(2π+α)=cos α tan(2π-α)=-tan α tan(2π+α)=tan α (二) sin(π2 -α)=cos α sin(π2+α)=cos αcos(π2 -α)=sin α cos(π2 +α)=- sin αtan(π2 -α)=cot α tan(π2 +α)=-cot αsin(3π2 -α)=-cos α sin(3π2 +α)=-cos αcos(3π2 -α)=-sin α cos(3π2 +α)=sin αtan(3π2 -α)=cot α tan(3π2+α)=-cot αsin(-α)=-sin α cos(-α)=cos α tan(-α)=-tan α3. 两角和与差的三角函数 cos(α+β)=cos αcos β-sin αsin β cos(α-β)=cos αcos β+sin αsin β sin (α+β)=sin αcos β+cos αsin β sin (α-β)=sin αcos β-cos αsin βtan(α+β)= tan α+tan β1-tan αtan β。
三角函数诱导公式专项练习(含答案) 三角函数诱导公式专项练一、单选题1.sin(-600°)的值为()A。
-√3/2B。
-1C。
1D。
√3/22.cos(11π/3)的值为()A。
-√3/2B。
-13/2C。
√2D。
23.已知sin(30°+α)=√3/2,则cos(60°-α)的值为A。
1/2B。
-1/2C。
√3/2D。
-√3/24.已知cos(π/3+α)=-5/2,且α∈(2π/5,π),则XXX(α-π)=()A。
-34/4B。
-3C。
4D。
35.已知sin(π-α)=-2/√3,且α∈(-2,0),则tan(2π-α)的值为A。
2√5/5B。
-2√5/2√5C。
±5D。
√5/26.已知cos(π/4-α)=√2/2,则sin(α+π/4)=()A。
-3B。
1C。
√2D。
√14/47.已知sinα=3/5,2<α<π/2,则sin(2-α)=()A。
3/5B。
-3/5C。
4/5D。
-4/58.已知tanx=-12/5π,x∈(π/2,π),则cos(-x+3π/2)=()A。
5/13B。
-5/12C。
13D。
-12/139.如果cos(π+A)=-1,那么sin(π/2+A)=A。
-1/2B。
2C。
1D。
-110.已知cos(π/2-α)-3cosα/(sinα-cos(π+α))=2,则tanα=()A。
12/5B。
-3C。
1/2D。
-511.化简cos480°的值是()A。
1B。
-1C。
√3/2D。
-√3/212.cos(-585°)的值是()A。
√2/2B。
√3/2C。
-√3/2D。
-√2/213.已知角α的终边经过点P(-5,-12),则sin(3π/2+α)的值等于()A。
-5B。
-12/13C。
13D。
12/1314.已知cos(π+α)=2/3,则tanα=()A。
√55/2B。
2√5/52.已知cosα=2/5,-2/5<α<0,则tan(α+α)cos(-α)tanα的值为()答案:D解析:由cosα=2/5可得sinα=-√(21)/5,代入公式可得tan(α+α)cos(-α)tanα=-1/√3=-√3/3,故选D。
三角函数公式1. 同角三角函数根本关系式 sin 2α+cos 2α=1 sin αcos α=tan α tan αcot α=12. 诱导公式 (奇变偶不变,符号看象限)(一) sin(π-α)=sin α sin(π+α)=-sin αcos(π-α)=-cos α cos(π+α)=-cos α tan(π-α)=-tan α tan(π+α)=tan α sin(2π-α)=-sin α sin(2π+α)=sin α cos(2π-α)=cos α cos(2π+α)=cos α tan(2π-α)=-tan α tan(2π+α)=tan α 〔二〕 sin(π2 -α)=cos α sin(π2+α)=cos αcos(π2 -α)=sin α cos(π2 +α)=- sin αtan(π2 -α)=cot α tan(π2 +α)=-cot αsin(3π2 -α)=-cos α sin(3π2 +α)=-cos αcos(3π2 -α)=-sin α cos(3π2 +α)=sin αtan(3π2 -α)=cot α tan(3π2+α)=-cot αsin(-α)=-sin α cos(-α)=cos α tan(-α)=-tan α3. 两角和与差的三角函数cos(α+β)=cos αcos β-sin αsin β cos(α-β)=cos αcos β+sin αsin β sin (α+β)=sin αcos β+cos αsin β sin (α-β)=sin αcos β-cos αsin β tan(α+β)=tan α+tan β1-tan αtan βtan(α-β)=tan α-tan β1+tan αtan β4. 二倍角公式 sin2α=2sin αcos αcos2α=cos 2α-sin 2α=2 cos 2α-1=1-2 sin 2α tan2α=2tan α1-tan 2α5.公式的变形(1)升幂公式:1+cos2α=2cos2α1—cos2α=2sin2α(2)降幂公式:cos2α=1+cos2α2sin2α=1-cos2α2(3)正切公式变形:tanα+tanβ=tan(α+β)〔1-tanαtanβ〕tanα-tanβ=tan(α-β)〔1+tanαtanβ) (4)万能公式〔用tanα表示其他三角函数值〕sin2α=2tanα1+tan2αcos2α=1-tan2α1+tan2αtan2α=2tanα1-tan2α6.插入辅助角公式asinx+bcosx=a2+b2sin(x+φ) (tanφ= b a)特殊地:sinx±cosx= 2 sin(x±π4)7.熟悉形式的变形〔如何变形〕1±sinx±cosx 1±sinx 1±cosx tanx+cotx1-tanα1+tanα1+tanα1-tanα假设A、B是锐角,A+B=π4,那么〔1+tanA〕(1+tanB)=28.在三角形中的结论假设:A+B+C=π, A+B+C2=π2那么有tanA+tanB+tanC=tanAtanBtanCtan A2tanB2+tanB2tanC2+tanC2tanA2=1三角函数的诱导公式1一、选择题1.如果|cos x |=cos 〔x +π〕,那么x 的取值集合是〔 〕 A .-2π+2k π≤x ≤2π+2k π B .-2π+2k π≤x ≤2π3+2k πC .2π+2k π≤x ≤2π3+2k π D .〔2k +1〕π≤x ≤2〔k +1〕π〔以上k ∈Z 〕2.sin 〔-6π19〕的值是〔 〕 A .21 B .-21 C .23 D .-23 3.以下三角函数:①sin 〔n π+3π4〕;②cos 〔2n π+6π〕;③sin 〔2n π+3π〕;④cos [〔2n +1〕π-6π];⑤sin [〔2n +1〕π-3π]〔n ∈Z 〕.其中函数值与sin 3π的值相同的是〔 〕 A .①② B .①③④ C .②③⑤ D .①③⑤4.假设cos 〔π+α〕=-510,且α∈〔-2π,0〕,那么tan 〔2π3+α〕的值为〔 〕 A .-36B .36C .-26 D .26 5.设A 、B 、C 是三角形的三个内角,以下关系恒成立的是〔 〕 A .cos 〔A +B 〕=cos C B .sin 〔A +B 〕=sin C C .tan 〔A +B 〕=tan CD .sin2B A +=sin 2C6.函数f 〔x 〕=cos 3πx〔x ∈Z 〕的值域为〔 〕 A .{-1,-21,0,21,1} B .{-1,-21,21,1} C .{-1,-23,0,23,1}D .{-1,-23,23,1} 二、填空题7.假设α是第三象限角,那么)πcos()πsin(21αα---=_________. 8.sin 21°+sin 22°+sin 23°+…+sin 289°=_________. 三、解答题9.求值:sin 〔-660°〕cos420°-tan330°cot 〔-690°〕.10.证明:1)πtan(1)π9tan(sin 211cos )πsin(22++-+=--⋅+θθθθθ.11.cos α=31,cos 〔α+β〕=1,求证:cos 〔2α+β〕=31.12. 化简:︒+︒︒︒+790cos 250sin 430cos 290sin 21.13、求证:)π5sin()πcos()π6cos()π2sin()π2tan(θθθθθ+-----=tan θ.14. 求证:〔1〕sin 〔2π3-α〕=-cos α; 〔2〕cos 〔2π3+α〕=sin α.参考答案1一、选择题1.C 2.A 3.C 4.B 5.B 6.B 二、填空题7.-sin α-cos α 8.289 三、解答题 9.43+1. 10.证明:左边=θθθθ22sin cos cos sin 2-1--=-θθθθθθθθθθcos sin cos sin )sin )(cos sin (cos )cos (sin 2-+=-++,右边=θθθθθθθθcos sin cos sin tan tan tan tan -+=1-1+=1+-1--, 左边=右边,∴原等式成立.11.证明:∵cos 〔α+β〕=1,∴α+β=2k π.∴cos 〔2α+β〕=cos 〔α+α+β〕=cos 〔α+2k π〕=cos α=31.12.解:︒+︒︒︒+790cos 250sin 430cos 290sin 21=)360270cos()70180sin()36070cos()36070sin(21︒⨯+︒+︒+︒︒+︒︒+︒-+=︒-︒︒︒-70sin 70cos 70cos 70sin 21=︒-︒︒-︒70sin 70cos )70cos 70(sin 2=︒-︒︒-︒70sin 70cos 70cos 70sin =-1.13.证明:左边=θθθθθθθθθθsin cos cos )sin )(tan ()sin )(cos ()cos()sin()tan(--=-----=tan θ=右边,∴原等式成立.14证明:〔1〕sin 〔2π3-α〕=sin [π+〔2π-α〕]=-sin 〔2π-α〕=-cos α. 〔2〕cos 〔2π3+α〕=cos [π+〔2π+α〕]=-cos 〔2π+α〕=sin α.三角函数的诱导公式2一、选择题: 1.sin(4π+α)=23,那么sin(43π-α)值为〔 〕 A.21 B. —21 C. 23 D. —23 2.cos(π+α)= —21,23π<α<π2,sin(π2-α) 值为〔 〕 A.23 B. 21 C. 23± D. —233.化简:)2cos()2sin(21-•-+ππ得〔 〕A.sin2+cos2B.cos2-sin2C.sin2-cos2D.± (cos2-sin2) 4.α和β的终边关于x 轴对称,那么以下各式中正确的选项是〔 〕 A.sinα=sinβ B. sin(α-π2) =sinβ C.cosα=cosβ D. cos(π2-α) =-cosβ 5.设tanθ=-2, 2π-<θ<0,那么sin 2θ+cos(θ-π2)的值等于〔 〕, A. 51〔4+5〕 B. 51〔4-5〕 C. 51〔4±5〕 D. 51〔5-4〕二、填空题: 6.cos(π-x)=23,x ∈〔-π,π〕,那么x 的值为 . 7.tanα=m ,那么=+-+++)cos(-sin()cos(3sin(απα)απ)απ .8.|sinα|=sin 〔-π+α〕,那么α的取值范围是 . 三、解答题: 9.)cos(·3sin()cos()n(s 2sin(απα)παπα)π----+-απi .10.:sin 〔x+6π〕=41,求sin 〔)67x +π+cos 2〔65π-x 〕的值.11. 求以下三角函数值: 〔1〕sin 3π7;〔2〕cos 4π17;〔3〕tan 〔-6π23〕;12. 求以下三角函数值:〔1〕sin3π4·cos 6π25·tan 4π5; 〔2〕sin [〔2n +1〕π-3π2].13.设f 〔θ〕=)cos()π(2cos 23)2πsin()π2(sin cos 2223θθθθθ-+++-++-+,求f 〔3π〕的值.参考答案21.C 2.A 3.C 4.C 5.A 6.±65π7.11-+m m 8.[(2k-1) π,2k π]9.原式=)cos (·sin()cos()n s (sin αα)παπα--+--αi =)cos ?(sin )cos (sin 2αααα--= sinα 10.161111.解:〔1〕sin 3π7=sin 〔2π+3π〕=sin 3π=23.〔2〕cos4π17=cos 〔4π+4π〕=cos 4π=22.〔3〕tan 〔-6π23〕=cos 〔-4π+6π〕=cos 6π=23.〔4〕sin 〔-765°〕=sin [360°×〔-2〕-45°]=sin 〔-45°〕=-sin45°=-22. 注:利用公式〔1〕、公式〔2〕可以将任意角的三角函数转化为终边在第一象限和第二象限的角的三角函数,从而求值.12.解:〔1〕sin 3π4·cos 6π25·tan 4π5=sin 〔π+3π〕·cos 〔4π+6π〕·tan 〔π+4π〕 =〔-sin3π〕·cos 6π·tan 4π=〔-23〕·23·1=-43.〔2〕sin [〔2n +1〕π-3π2]=sin 〔π-3π2〕=sin 3π=23.13.解:f 〔θ〕=θθθθθcos cos 223cos sin cos 2223++-++=θθθθθcos cos 223cos cos 1cos 2223++-+-+=θθθθθcos cos 22)cos (cos 2cos 2223++---=θθθθθcos cos 22)1(cos cos )1(cos 223++---=θθθθθθθcos cos 22)1(cos cos )1cos )(cos 1(cos 222++--++-=θθθθθcos cos 22)2cos cos 2)(1(cos 22++++-=cos θ-1, ∴f 〔3π〕=cos 3π-1=21-1=-21.。
三角函数诱导公式专项练习学校:___________姓名:___________班级:___________考号:___________ 一、单选题1.()A. B. C. D.2.的值为()A. B. C. D.3.已知,则cos(60°–α)的值为A. B.C. D.–4.已知,且,则()A. B. C. D.5.已知sin(π-α)=-,且α∈(-,0),则tan(2π-α)的值为( ) A. B.- C.± D.6.已知,则=( )A. B. C. D.7.已知,,则()A. B. C. D.8.已知,则()A. B. - C. D. -9.如果,那么A. - B. C. 1 D. -110.已知,则()A. B. C. D.11.化简的值是()A. B. C. D.12.的值是()A. B. C. D.13.已知角的终边经过点,则的值等于A. B. C. D.14.已知,则()A. B. C. D.15.已知的值为()A. B. C. D.16.已知则()A. B. C. D.17.已知,且是第四象限角,则的值是( ) A. B. C. D.18.已知sin=,则cos=( )A. B. C.- D.-19.已知cos α=k,k∈R,α∈,则sin(π+α)=( )A.- B.C.± D.-k20.=( )A. sin 2-cos 2 B. sin 2+cos 2C.±(sin 2-cos 2) D. cos 2-sin 221.的值为A. B. C. D.22.()A. B. C. D.23.若,,则的值为()A. B. C. D.24.已知且,则()A. B. C. D.25.已知,则( )A. B. C. D.26.若,且,则()A. B. C. D.27.已知,则( )A. B. C. D.28.已知,则的值为()A. B. C. D.29.若,,则的值为()A. B. C. D.30.已知,则的大小关系是( ) A. B. C. D.31.A. B. C. D.32.的值等于()A. B. C. D.33.的值的()A. B. C. D.34.已知,,则等于().A. B. C. D.35.已知,则的值为()A. B. C. D.36.点在直角坐标平面上位于()A.第一象限 B.第二象限 C.第三象限 D.第四象限37.如果,那么等于()A. B. C. D.38.已知角的终边过点,若,则实数A. B. C. D.39.A. B. C. D.40.已知,则的值为()A. B. C. D.参考答案1.D【解析】【分析】直接运用诱导公式,转化为特殊角的三角函数值求解。
【详解】===【点睛】本题考查诱导公式及特殊角的三角函数值,关键要牢记公式及特殊角的三角函数值,属于基础题。
2.D【解析】【分析】根据诱导公式,结合特殊角的三角函数即可得结果.【详解】化简,故选D.【点睛】本题主要考查诱导公式的应用以及特殊角的三角函数,属于简单题.对诱导公式的记忆不但要正确理解“奇变偶不变,符号看象限”的含义,同时还要加强记忆几组常见的诱导公式,以便提高做题速度.3.C【解析】【分析】首先观察与60°–α的关系,再运用诱导公式即可。
【详解】cos(60°–α)=sin[90°–(60°–α)]=sin(30°+α)=,故选C.【点睛】本题考查诱导公式,属于基础题,比较容易。
4.A【解析】【分析】由诱导公式可得,再由同角基本关系式可得结果.【详解】∵,且,∴,cos∴故选:A【点睛】本题考查利用诱导公式与同角基本关系式化简求值,属于基础题.5.A【解析】【分析】先由诱导公式得到,同角三角函数关系得,再计算tan(2π-α)。
【详解】因为所以,因为α∈(-,0),所以===。
答案选A。
【点睛】本题考查了诱导公式,同角三角函数关系及三角函数在各象限内的符号等知识点,都属于基本知识,比较容易,但在求三角函数的值时,较容易出现符号错误,需要注意。
6.C【解析】【分析】由诱导公式可得,再由条件求得结果【详解】故选【点睛】本题主要考查了诱导公式的应用,注意角之间的转化,属于基础题。
7.C【解析】【分析】利用同角基本关系得到,再利用诱导公式化简所求即可.【详解】∵∴∴故选:C【点睛】本题考查了同角基本关系式及诱导公式,考查了计算能力,属于基础题.8.D【解析】【分析】由已知条件利用同角关系求出,再利用诱导公式可得结果.【详解】故选:D.【点睛】本题考查了同角基本关系式,考查了诱导公式,考查运算能力及推理能力,属于基础题. 9.B【解析】【分析】由题意结合诱导公式求解的值即可.【详解】由诱导公式可得:,则,则.本题选择B选项.【点睛】本题主要考查诱导公式及其应用,意在考查学生的转化能力和计算求解能力.10.D【解析】【分析】利用三角函数的诱导公式和化弦为切,化简得,解方程即可.【详解】,解得,故选D.【点睛】本题考查三角函数的诱导公式和同角三角函数的商数关系,属于基础题.11.B【解析】【分析】利用终边相同的角同名函数相同,可转化为求的余弦值即可.【详解】.故选B.【点睛】本题主要考查了三角函数中终边相同的角三角函数值相同及特殊角的三角函数值,属于容易题.12.D【解析】【分析】根据三角函数的诱导公式,化为锐角的三角函数,即可求出答案.【详解】;故选D.【点睛】本题考查利用三角函数的诱导公式求三角函数值,关键是熟练掌握诱导公式和特殊角的三角函数值.利用诱导公式解决“给角求值”问题的步骤:(1)“负化正”,负角化为正角;(2)“大化小”,大角化为之间的角;(3)“小化锐”,将大于的角转化为锐角;(4)“锐求值”,化成锐角的三角函数后求值.13.C【解析】【分析】首先求得的值,然后结合诱导公式整理计算即可求得最终结果.【详解】由三角函数的定义可得:,则.本题选择C选项.【点睛】本题主要考查终边相同的角的三角函数定义,诱导公式及其应用等知识,意在考查学生的转化能力和计算求解能力.14.C【解析】分析:利用诱导公式以及同角三角函数关系式即可.详解:,,则为第二或第三象限角,..故选:C.点睛:熟练运用诱导公式和同角三角函数基本关系,注意象限角对三角函数符号的影响,尤其是利用平方关系在求三角函数值时,进行开方时要根据角的象限或范围,判断符号后,正确取舍.15.D【解析】【分析】利用诱导公式化简所求不等式,然后求解表达式的值.【详解】已知,则故选D.【点睛】本题考查诱导公式,同角三角函数基本关系式,属基础题.16.D【解析】【分析】利用诱导公式、同角三角函数的平方关系和象限角的符号,即可求得答案.【详解】, .【点睛】本题考查三角函数的诱导公式、同角三角函数的平方关系以及三角函数的符号与位置关系,属于基础题.17.B【解析】【分析】先化简已知得到,再化简=,再利用平方关系求值得解.【详解】因为,所以,因为=,是第四象限角,所以.故答案为:B【点睛】(1)本题主要考查诱导公式和同角的平方关系,意在考查学生对这些知识的掌握水平和分析推理计算能力.(2) 利用平方关系求三角函数值时,注意开方时要结合角的范围正确取舍“”号.18.B【解析】【分析】用已知角去表示未知角,再利用诱导公式化简即可.【详解】因为sin=,所以cos=sin=sin=.故选B.【点睛】用已知角去表示未知角是求三角值常见的一种处理技巧,巧用角之间的和差、以及特殊角的关系进行配凑从而简化计算,三角诱导公式的口诀为:奇变偶不变,符号看象限.19.A【解析】由已知及同角三角函数基本关系的运用可求,从而由诱导公式即可得解.【详解】由cos α=k,α∈得sin α=,∴sin(π+α)=-sin α=-.故选A.【点睛】题主要考查了同角三角函数基本关系的运用,运用诱导公式化简求值,属于基本知识的考查.20.A【解析】【分析】根据诱导公式及三角函数同角关系进行化简,从而可得答案.【详解】===|sin 2-cos 2|=sin 2-cos 2.故选A.【点睛】本题主要考查了三角函数的化简求值问题,其中解答中熟记三角函数的诱导公式和同角三角函数的基本关系式化简三角函数式是解答的关键,注意最后化简的符号,这是解答的一个易错点,着重考查了推理与运算能力.21.B【解析】【分析】由诱导公式,化简即可得到的值。
【详解】根据诱导公式化简得所以选B【点睛】本题考查了诱导公式在三角函数化简求值中的应用,属于基础题。
22.C【解析】分析:利用诱导公式即可.详解:.故选:C.点睛:熟练运用诱导公式,并确定相应三角函数值的符号是解题的关键.23.C【解析】【分析】由诱导公式得,两边取平方,可得,结合及象限角的符号,即可求得答案.【详解】由诱导公式得,平方得,则,所以,又因为,所以,所以,故选C.【点睛】本题考查利用三角函数的诱导公式、同角三角函数的平方关系化简求值,考查、和知一求二的灵活运用.24.A【解析】【分析】利用诱导公式、同角三角函数的基本关系和象限角的符号,即可求得答案.【详解】,又故选A.【点睛】本题考查三角函数的诱导公式、同角三角函数的基本关系以及三角函数的符号与位置关系,属于基础题.25.C【解析】【分析】利用诱导公式和同角三角函数的商数关系,得,再利用化弦为切的方法,即可求得答案.【详解】由已知则故选C.【点睛】本题考查利用三角函数的诱导公式、同角三角函数的基本关系化简求值,属于三角函数求值问题中的“给值求值”问题,解题的关键是正确掌握诱导公式中符号与函数名称的变换规律和化弦为切方法.26.A【解析】【分析】将已知条件平方,求得,结合的范围、诱导公式及,即可求得答案.【详解】,平方得由于,.故选A【点睛】本题考查利用三角函数的诱导公式、同角三角函数的平方关系化简求值,考查、和知一求二的灵活运用,属于中档题.27.C【解析】【分析】首先根据三角函数的诱导公式可得,结合齐次式的特征,以及弦化切思想进行化简即可.【详解】由已知则,故选C.【点睛】本题主要考查三角函数值的计算,根据三角函数的诱导公式以及同角的三角函数关系式,以及的代换是解决本题的关键.28.C【解析】【分析】先根据诱导公式求得,再利用诱导公式和余弦的二倍角公式,将的值代入,即可求得答案.,,,.故选C.【点睛】本题考查余弦的二倍角公式和诱导公式,属于三角函数求值问题中的“给值求值”问题,解题的关键是正确掌握诱导公式中符号与函数名称的变换规律.29.C【解析】分析:根据三角函数的诱导公式和三角函数的基本关系式,得,进而求得,即可求解答案.详解:由诱导公式得,平方得,则,所以,又因为,所以,所以,故选C.点睛:本题主要考查了三角函数的化简求值,其中解答中涉及到三角的诱导公式和三角函数的基本关系的灵活应用是解答的关键,着重考查了推理与运算能力.30.C【解析】分析:根据诱导公式和特殊角的三角函数值化简,再比较大小即可.详解:,,,故选C.点睛:本题主要考查诱导公式的应用以及特殊角的三角函数,属于简单题.对诱导公式的记忆不但要正确理解“奇变偶不变,符号看象限”的含义,同时还要加强记忆几组常见的诱导公式,以便提高做题速度.31.A【解析】分析:利用诱导公式和特殊角的三角函数化简求值即可.故选A.点睛:本题考查利用诱导公式和特殊角的三角函数化简求值,属基础题.32.C【解析】分析:由题意结合诱导公式和特殊角的三角函数值整理计算即可求得最终结果.详解:由题意结合诱导公式可得:.本题选择C选项.点睛:本题主要考查三角函数的诱导公式,特殊角的三角函数值等知识,意在考查学生的转化能力和计算求解能力.33.B【解析】分析:利用三角函数的诱导公式化简求值;注意三角函数的符号以及名称变化;详解:..故选B.点睛:本题考查利用三角函数的诱导公式化简求值,属基础题.34.B【解析】分析:先由正切的诱导公式可得,再结合角的范围及,可求得,可求解。