数列求和精选难题易错题含答案
- 格式:docx
- 大小:222.08 KB
- 文档页数:3
高三数学数列求和试题答案及解析1.数列{an }满足a1=1,且对任意的m,n∈N*,都有am+n=a m+a n+mn,则+++…+=()A.B.C.D.【答案】B【解析】令m=1得an+1=a n+n+1,即an+1-a n=n+1,于是a2-a1=2,a3-a2=3,…,an-an-1=n(n≥2),上述n-1个式子相加得an -a1=2+3+…+n,所以an=1+2+3+…+n=,当n=1时,a1=1满足上式,所以an= (n∈N*),因此==2(-),所以+++…+=2(1-+-+…+-)=2(1-)=2.函数f(x)对任意x∈R都有. (1)求和(n∈N*)的值;(2)数列{an }满足:,求an;(3)令,,,试比较Tn 和Sn的大小。
【答案】(1),;(2);(3).【解析】(1)由于函数f(x)对任意x∈R都有,则令可求的;再令求出;(2)利用倒序相加结合(1)的结论可求出;(3)由及第(2)问的结论求出,用放缩法变形(),用裂项相消法求,再与比较大小.(1)令=2,则;令得,(4分)(2)由,两式相加得:,∴,(8分)(3),(n≥2)∴.(12分)【考点】倒序相加、裂项相消法求数列的前项和.3.对任意,函数满足,设,数列的前15项的和为,则.【答案】【解析】因为,所以即因此数列任意相邻两项和为因为,因此所以或,又由.【考点】数列求和4.已知函数,且,则()A.0B.100C.5050D.10200【答案】C【解析】因为,所以,选C.5.已知等差数列的前项和为,且、成等比数列.(1)求、的值;(2)若数列满足,求数列的前项和.【答案】(1),;(2).【解析】(1)解法1是先令求出的表达式,然后令,得到计算出在的表达式,利用为等差数列得到满足通式,从而求出的值,然后利用条件、成等比数列列方程求出的值,从而求出、的值;解法2是在数列是等差数列的前提下,设其公差为,利用公式以及对应系数相等的特点得到、和、之间的等量关系,然后利用条件、成等比数列列方程求出的值,从而求出、的值;(2)解法1是在(1)的前提下求出数列的通项公式,然后利用错位相减法求数列的和;解法2是利用导数以及函数和的导数运算法则,将数列的前项和视为函数列的前项和在处的导数值,从而求出.试题解析:(1)解法1:当时,,当时,.是等差数列,,得.又,,,、、成等比数列,,即,解得.解法2:设等差数列的公差为,则.,,,.,,.、、成等比数列,,即,解得.;(2)解法1:由(1)得.,.,①,②①②得. .解法2:由(1)得.,.,①由,两边对取导数得,.令,得. .【考点】1.定义法求通项;2.错位相减法求和;3.逐项求导6.数列{an }满足an+1+(-1)n an=2n-1,则{an}的前60项和为____________.【答案】1830【解析】当时,;当时,;当时,.将与相减得:;将与相减得:.所以,,所以.【考点】数列.7.在数列{an }中,若对任意的n均有an+an+1+an+2为定值(n∈N*),且a7=2,a9=3,a98=4,则此数列{an}的前100项的和S100=.【答案】299【解析】设定值为M,则an +an+1+an+2=M,进而an+1+an+2+an+3=M,后式减去前式得an+3=an,即数列{an}是以3为周期的数列.由a7=2,可知a1=a4=a7=…=a100=2,共34项,其和为68;由a9=3,可得a 3=a6=…=a99=3,共33项,其和为99;由a98=4,可得a2=a5=…=a98=4,共33项,其和为132.故数列{an}的前100项的和S100=68+99+132=299.8..己知数列满足,则数列的前2016项的和的值是___________.【答案】1017072【解析】这个数列既不是等差数列也不是等比数列,因此我们要研究数列的各项之间有什么关系,与它们的和有什么联系?把已知条件具体化,有,,,,…,,,我们的目的是求,因此我们从上面2015个等式中寻找各项的和,可能首先想到把出现“+”的式子相加(即为偶数的式子相加),将会得到,好像离目标很近了,但少,而与分布在首尾两个式子中,那么能否把首尾两个式子相减呢?相减后得到,为了求,我们又不得不求,依次下去,发现此路可能较复杂或者就行不通,重新寻找思路,从头开始我们有,即,而,∴,因此,我们由开始的三个等式求出了,是不是还可用这种方法求出呢?下面舍去,考察,,,同样方法处理,,从而,于是,而,正好504组,看来此法可行,由此我们可得.【考点】分组求和.9.阅读如图程序框图,若输入的,则输出的结果是()A.B.C.D.【答案】A【解析】,,不成立,执行第一次循环,,;不成立,执行第二次循环,,;不成立,执行第三次循环,,;;不成立,执行第一百次循环,,;成立,输出,故选A.【考点】1.数列求和;2.算法与程序框图10.已知数列的各项都是正数,前项和是,且点在函数的图像上.(Ⅰ)求数列的通项公式;(Ⅱ)设,求.【答案】(Ⅰ);(Ⅱ)。
∑ 数列部分易错题选一、选择题1. 设 s n 是等差数列{ a n } 的前 n 项和, 已知 s 6 =36,s n =324, s n -6 =144 (n >6), 则n=() A 15B16C17D18正确答案:D 错因:学生不能运用数列的性质计算 a 1 +a n =36 + 324 - 14462. 已知 s n 是等差数列{a n }的前 n 项和,若 a 2 +a 4 +a 15 是一个确定的常数,则数列{s n }中是常数的项是()As 7Bs 8Cs 11Ds 13正确答案: D 错因:学生对等差数列通项公式的逆向使用和等差数列的性质不能灵活应用。
3. 设{a n }是等差数列,{b n }为等比数列,其公比 q≠1, 且 b i >0(i=1、2、3…n) 若 a1 =b 1 ,a 11 =b 11 则 ()A a 6 =b 6Ba 6 >b 6Ca 6 <b 6Da 6 >b 6 或 a 6 <b 6正确答案 B 错因:学生不能灵活运用等差中项和等比中项的定义及基本不等式。
4. 已知非常数数列{a },满足 a 2 -a a +a 2 =0 且 a ≠a, i=1、2、3、…n,对于给ni +1i i +1ii +1i -1n -1 定的正整数 n,a 1 =a i +1 ,则aii =1等于( ) A2B-1C1D正确答案:D错因:学生看不懂题目,不能挖掘题目的隐含条件,{a n }的项具有周期性。
5. 某人为了观看 2008 年奥运会,从 2001 年起每年 5 月 10 日到银行存入 a 元定期储蓄, 若年利率为 p 且保持不变,并且每年到期的存款及利息均自动转为新一年定期,到 2008 年将所有的存款和利息全部取回,则可取回的钱的总数(元)为( ).Aa(1+p) 7Ba(1+p) 8C a[(1 + p )7 - (1 + p )]pDa[(1 + p )8 - (1 + p ) ] p正确答案:D 错因: 学生对存款利息的计算方法没掌握。
高中数学必修5数列求和精选题目(附答案)1.公式法(1)等差数列{a n }的前n 项和S n =n (a 1+a n )2=na 1+n (n -1)d2. 推导方法:倒序相加法.(2)等比数列{a n }的前n 项和S n =⎩⎨⎧na 1,q =1,a 1(1-q n )1-q ,q ≠1.推导方法:乘公比,错位相减法. (3)一些常见的数列的前n 项和: ①1+2+3+…+n =n (n +1)2; ②2+4+6+…+2n =n (n +1); ③1+3+5+…+2n -1=n 2. 2.几种数列求和的常用方法(1)分组转化求和法:一个数列的通项公式是由若干个等差或等比或可求和的数列组成的,则求和时可用分组求和法,分别求和后相加减.(2)裂项相消法:把数列的通项拆成两项之差,在求和时中间的一些项可以相互抵消,从而求得前n 项和.(3)错位相减法:如果一个数列的各项是由一个等差数列和一个等比数列的对应项之积构成的,那么求这个数列的前n 项和即可用错位相减法求解.(4)倒序相加法:如果一个数列{a n }与首末两端等“距离”的两项的和相等或等于同一个常数,那么求这个数列的前n 项和即可用倒序相加法求解.一、分组转化法求和1.已知数列{a n }的前n 项和S n =n 2+n2,n ∈N *. (1)求数列{a n }的通项公式;(2)设b n =2a n +(-1)n a n ,求数列{b n }的前2n 项和. 注:1.分组转化求和的通法数列求和应从通项入手,若无通项,则先求通项,然后通过对通项变形,转化为等差数列或等比数列或可求数列的前n 项和的数列求和.2.分组转化法求和的常见类型2..已知数列{a n }的通项公式是a n =2n -⎝ ⎛⎭⎪⎫12n,则其前20项和为( )A .379+1220 B .399+1220 C .419+1220D .439+12203.(2019·资阳诊断)已知数列{a n }中,a 1=a 2=1,a n +2=⎩⎨⎧a n +2,n 是奇数,2a n ,n 是偶数,则数列{a n }的前20项和为( )A .1 121B .1 122C .1 123D .1 124二、裂项相消法求和(一) 形如a n =1n (n +k )型4.(2019·南宁摸底联考)已知等差数列{a n }满足a 3=7,a 5+a 7=26. (1)求等差数列{a n }的通项公式; (2)设c n =1a n a n +1,n ∈N *,求数列{c n }的前n 项和T n . (二) 形如a n =1n +k +n型5.已知函数f (x )=x α的图象过点(4,2),令a n =1f (n +1)+f (n ),n ∈N *.记数列{a n }的前n 项和为S n ,则S 2 019=( )A. 2 018-1B. 2 019-1C. 2 020-1D. 2 020+1注:1.用裂项法求和的裂项原则及消项规律注意留下了哪些项,避免遗漏.2.常见的拆项公式 (1)1n (n +1)=1n -1n +1; (2)1(2n -1)(2n +1)=12⎝ ⎛⎭⎪⎫12n -1-12n +1;(3)1n +n +1=n +1-n ;(4)2n (2n -1)(2n +1-1)=12n -1-12n +1-1. 6.在等差数列{a n }中,a 3+a 5+a 7=6,a 11=8,则数列⎩⎪⎨⎪⎧⎭⎪⎬⎪⎫1a n +3·a n +4的前n 项和为( )A.n +1n +2 B.n n +2 C.n n +1D.2nn +17.各项均为正数的等比数列{a n }中,a 1=8,且2a 1,a 3,3a 2成等差数列. (1)求数列{a n }的通项公式;(2)若数列{b n }满足b n =1n log 2a n,求{b n }的前n 项和S n .三、错位相减法求和8.(2017·山东高考)已知{a n }是各项均为正数的等比数列,且a 1+a 2=6,a 1a 2=a 3.(1)求数列{a n }的通项公式;(2){b n }为各项非零的等差数列,其前n 项和为S n .已知S 2n +1=b n b n +1,求数列⎩⎨⎧⎭⎬⎫b n a n 的前n 项和T n .9.(变结论)若本例中a n ,b n 不变,求数列{a n b n }的前n 项和T n .10.已知{a n }为等差数列,前n 项和为S n (n ∈N *),{b n }是首项为2的等比数列,且公比大于0,b 2+b 3=12,b 3=a 4-2a 1,S 11=11b 4.(1)求{a n }和{b n }的通项公式; (2)求数列{a 2n b n }的前n 项和(n ∈N *). 注: 错位相减法求和的4个步骤[易误提醒](1)两式相减时最后一项因为没有对应项而忘记变号.(2)对相减后的和式的结构认识模糊,错把中间的n -1项和当作n 项和. (3)在应用错位相减法求和时,若等比数列的公比为参数,应分公比q =1和q ≠1两种情况求解.巩固练习:1.数列{a n }的通项公式为a n =1n +n -1,若该数列的前k 项之和等于9,则k =( )A .80B .81C .79D .822.若数列{a n }的通项公式是a n =(-1)n (3n -2),则a 1+a 2+…+a 10=( ) A .15 B .12 C .-12D .-153.已知{a n }是首项为1的等比数列,S n 是{a n }的前n 项和,且9S 3=S 6,则数列⎩⎨⎧⎭⎬⎫1a n 的前5项和为( )A.158或5B.3116或5C.3116D.1584.在等差数列{a n }中,a 4=5,a 7=11.设b n =(-1)n ·a n ,则数列{b n }的前100项之和S 100=( )A .-200B .-100C .200D .1005.已知T n 为数列⎩⎪⎨⎪⎧⎭⎪⎬⎪⎫2n +12n 的前n 项和,若m >T 10+1 013恒成立,则整数m的最小值为( )A .1 026B .1 025C .1 024D .1 0236.已知数列:112,214,318,…,⎝ ⎛⎭⎪⎫n +12n ,…,则其前n 项和关于n 的表达式为________.7.已知数列{a n }满足a 1=1,a n +1·a n =2n (n ∈N *),则S 2 018=________. 8.(2019·成都第一次诊断性检测)已知等差数列{a n }的前n 项和为S n ,a 2=3,S 4=16,n ∈N *.(1)求数列{a n }的通项公式; (2)设b n =1a n a n +1,求数列{b n }的前n 项和T n . 9.(2018·南昌摸底调研)已知数列{a n }的前n 项和S n =2n +1-2,记b n =a n S n (n ∈N *).(1)求数列{a n }的通项公式; (2)求数列{b n }的前n 项和T n 。
可编辑修改精选全文完整版错位相减法求和专题训练1.已知数列{}n a 满足22,{ 2,n n n a n a a n ++=为奇数为偶数,且*12,1,2n N a a ∈==.(1)求 {}n a 的通项公式;(2)设*1,n n n b a a n N +=⋅∈,求数列{}n b 的前2n 项和2n S ;(3)设()2121nn n n c a a -=⋅+-,证明:123111154n c c c c ++++< 2.设正项数列{}n a 的前n 项和为n S ,且满足37a =, 21691n n a S n +=++, *n N ∈.(1)求数列{}n a 的通项公式;(2)若正项等比数列{}n b 满足1132,b a b a ==,且n n n c a b =⋅,数列{}n c 的前n 项和为n T . ①求n T ;②若对任意2n ≥, *n N ∈,均有()2563135n T m n n -≥-+恒成立,求实数m 的取值范围.3.已知*n N ∈,设n S 是单调递减的等比数列{}n a 的前n 项和, 112a =且224433,,S a S a S a +++成等差数列.(1)求数列{}n a 的通项公式;(2)记数列{}n na 的前n 项和为n T ,求证:对于任意正整数n , 122n T ≤<. 4.递增的等比数列{}n a 的前n 项和为n S ,且26S =, 430S =. (1)求数列{}n a 的通项公式;(2)若12log n n n b a a =,数列{}n b 的前n 项和为n T ,求1250n n T n ++⋅>成立的正整数n 的最小值.5.已知数列{}n a 及()212n n n f x a x a x a x =+++,且()()11?nn f n -=-, 1,2,3,n =.(1)求123a a a ,,的值;(2)求数列{}n a 的通项公式; (3)求证:11133n f ⎛⎫≤< ⎪⎝⎭. 6.已知数列{}n a 是以2为首项的等差数列,且1311,,a a a 成等比数列. (Ⅰ)求数列{}n a 的通项公式及前n 项和()*n S n N ∈; (Ⅱ)若()1232n a n b -=,求数列{}1n n a b +的前n 项之和()*n T n N ∈.7.在数列{}n a 中, 14a =,前n 项和n S 满足1n n S a n +=+.(1)求证:当2n ≥时,数列{}1n a -为等比数列,并求通项公式n a ;(2)令11•213nn n n na b -⎛⎫= ⎪+⎝⎭,求数列{}n b 的前n 项和为n T .8.已知等差数列{}n a 的前n 项和n S ,且252,15a S ==,数列{}n b 满足11,2b =1n b += 12n n b n+. (1)求数列{}n a , {}n b 的通项公式; (2)记n T 为数列{}n b 的前n 项和, ()()222n n S T f n n -=+,试问()f n 是否存在最大值,若存在,求出最大值;若不存在,请说明理由.9.已知数列{}n a 的前n 项和22n S n n =+.(1)求数列{}n a 的通项公式n a ; (2)令()*211n n b n N a =∈-,求数列{}n a 的前n 项和n T . 10.已知单调递增的等比数列{}n a 满足: 2420a a +=, 38a = (1)求数列{}n a 的通项公式;(2)若12log n n n b a a =⋅,数列{}n b 的前n 项和为n S , 1250n n S n ++⋅>成立的正整数n 的最小值.参考答案1.解析:(1)当n 为奇数时, 22n n a a +-=,此时数列{}*21k a k N -∈()成等差数列. 2d = 当n 当为偶数时, 22n n a a +=,此时数列{}*2k a k N ∈()成等比数列 2q = ()()2{2nn n n a n ∴=为奇数为偶数(2)()()21221222121222142kkk k k k k k k b b a a a a k k k --++=+=-⋅++=⋅()()()21234212n n n S b b b b b b -=++++++23241222322n n S n ⎡⎤∴=⋅+⋅+⋅+⋅⎣⎦()2312241222122n n n S n n +⎡⎤=⋅+⋅++-+⋅⎣⎦12242222n n n S n +⎡⎤∴-=+++-⋅⎣⎦(3) ()()3121nnn C n =-+- ()()()()2121{ 2121nn nn n C n n -⋅-∴=-⋅+为奇为偶 ()()1111321212n n n n C n +=<≥-- n 为奇 ()()1111221212n n n n C +=<≥-+ n 为偶2.解析:(1) 2n 1n a 6S 9n 1+=++,()()2n n 1a 6S 9n 11n 2-=+-+≥,∴()22n 1n n a a 6a 9n 2+-=+≥,∴()22n 1n a a 3+=+ 且各项为正,∴()n 1n a a 3n 2+=+≥又3a 7=,所以2a 4=,再由221a 6S 91=++得1a 1=,所以21a a 3-=∴{}n a 是首项为1,公差为3的等差数列,∴n a 3n 2=-(2) 13b 1,b 4==∴n 1n b 2-=, ()n 1n n n c a b 3n 22-=⋅=-⋅①()01n 1n T 12423n 22-=⋅+⋅++-⋅,②()12n n 2T 12423n 22=⋅+⋅++-⋅∴()12n 1n T 13222--=++++ ()n 3n 22--⋅, ()n n T 3n 525=-⋅+()n 3n 52m -⋅⋅≥ ()2*6n 31n 35n 2,n N -+≥∈恒成立∴()2n 6n 31n 35m 3n 52-+≥-⋅ ()()()nn 3n 52n 72n 73n 522---==-⋅,即n 2n 7m 2-≥恒成立. 设n n 2n 7k 2-=, n 1n n 1nn 12n 52n 792nk k 222+++----=-= 当n 4≤时, n 1n k k +>; n 5≥时, n 1n k k +< ∴()n 55max 33k k 232===,∴3m 32≥. 点睛:本题主要考查了数列的综合应用问题,其中解答中涉及到等差数列的通项公式的求解,数列的乘公比错位相减法求和,数列的恒成立的求解等知识点的综合运用,试题有一定的综合性,属于中档试题,解答中准确运算和合理转化恒成立问题是解答的关键. 3.解:(1)设数列{}n a 的公比q ,由()4422332S a S a S a +=+++, 得()()42434232S S S S a a a -+-+=+,即424a a =,∴214q =. {}n a 是单调递减数列,∴12q =, ∴12nn a ⎛⎫= ⎪⎝⎭(2)由(1)知2n n nna =, 所以234112*********n n n n nT --=++++++,①232123412122222n n n n nT ---=++++++,②②-①得: 211112222n n n n nT -=++++-,1122212212nn n n n n T ⎛⎫- ⎪+⎝⎭=-=--,由()111112n n n n n T T n a ++++-=+=,得123n T T T T <<<<,故112n T T ≥=又2222n n n T +=-<,因此对于任意正整数n , 122n T ≤<点睛:本题主要考查了数列的综合应用和不等式关系证明问题,其中解答涉及到等比数列的基本量的运算,数列的乘公比错位相减法求和,以及放缩法证明不等式,突出考查了方程思想和错位相减法求和及放缩法的应用,试题综合性强,属于难题. 4.解析:(1)设等比数列{}n a 的公比为q由已知, 42302S S =≠.则1q ≠,则()()212414161{1301a q S q a q S q-==--==-,,两式相除得2q =±,∵数列{}n a 为递增数列,∴2q =,则12a =,所以2n n a =.(2)122log 22n n n n b n ==-⋅,()1231222322n n T n =-⋅+⋅+⋅++⋅ 设1231222322n n H n =⋅+⋅+⋅++⋅,① 23412222322n n H n +=+⋅+⋅++⋅,②①-②得:()1231121222222212n n n n n H n n ++--=++++-⋅=-⋅-,11222n n n n T +-=-⋅+-=,1250n n T n ++⋅>, 即111222250n n n n n +++-⋅+-+⋅>,1252n +>,∴正整数n 的最小值是5.点睛:本题主要考查了等比数列的求和公式及通项公式的应用,错位相减求和方法的应用,及指数不等式的求解.5.解析:(1)由已知()1111f a -=-=-,所以11a =.()21212f a a -=-+=,所以23a =.()312313f a a a -=-+-=-,所以35a =.(2)令1x =-,则()()()()2121111nn n f a a a -=-+-++-,①()()()()()21112111111nn n n n f a a a a +++-=-++-++-+-,②两式相减,得()()()1111?11n n n n a f f +++-=---= ()()()11?11?n nn n +-+--,所以()11n a n n +=++,即121n a n +=+, 又11a =也满足上式,所以数列{}n a 的通项公式为()211,2,3,n a n n =-=.(3)()233521n n f x x x x n x =++++-,所以()2311111352133333nn f n ⎛⎫⎛⎫⎛⎫⎛⎫=++++- ⎪ ⎪ ⎪ ⎪⎝⎭⎝⎭⎝⎭⎝⎭,③()2341111111·3521333333n n f n +⎛⎫⎛⎫⎛⎫⎛⎫⎛⎫=++++- ⎪ ⎪ ⎪ ⎪ ⎪⎝⎭⎝⎭⎝⎭⎝⎭⎝⎭,④①-②得()2312111111222213333333nn n f n +⎛⎫⎛⎫⎛⎫⎛⎫⎛⎫=++++-- ⎪ ⎪ ⎪ ⎪ ⎪⎝⎭⎝⎭⎝⎭⎝⎭⎝⎭,所以11133n n n f +⎛⎫=-⎪⎝⎭. 又1,2,3,n =,∴103nn +>,故113n f ⎛⎫< ⎪⎝⎭. 又1111210333n n n n f f +++⎛⎫⎛⎫--=> ⎪ ⎪⎝⎭⎝⎭, 所以13n f ⎧⎫⎛⎫⎨⎬ ⎪⎝⎭⎩⎭是递增数列,故1111333n f f ⎛⎫⎛⎫≥=⎪ ⎪⎝⎭⎝⎭. 所以11133n f ⎛⎫≤< ⎪⎝⎭. 【点睛】本题考查数列的前3项及通项公式的求法,考查不等式的证明,解题时要认真审题,注意错位相减法的合理运用.6.解析:(Ⅰ) 设数列{}n a 的公差为d ,由条件可得23111a a a =,即()()2222210d d +=+,解得3d =或0d =(舍去),则数列{}n a 的通项公式为()23131n a n n =+-=-,()()23113122n n n S n n +-==+. (Ⅱ)由(Ⅰ)得()121322n a n n b --==,则()1231223341225282312n n n n T a b a b a b a b n +=++++=⨯+⨯+⨯++-⨯,①()23412225282312n n T n +=⨯+⨯+⨯++-⨯,②将①-②得()123122323232312n n n T n +-=⨯+⨯+⨯++⨯--⨯()()211132324312834212n n n n n +++⨯-⨯=+--⨯=---⨯-,则()18342n n T n +=+-⨯.【易错点晴】本题主要考等差数列的通项公式、等比数列的求和公式、以及“错位相减法”求数列的和,属于中档题. “错位相减法”求数列的和是重点也是难点,利用“错位相减法”求数列的和应注意以下几点:①掌握运用“错位相减法”求数列的和的条件(一个等差数列与一个等比数列的积);②相减时注意最后一项的符号;③求和时注意项数别出错;④最后结果一定不能忘记等式两边同时除以1q -.7.解析:(1)11,4n a == 当2n ≥时, 1,n n n a s s -=-得()1121n n a a +-=-,1121n n a a +-=-112,n n a --=得 121n n a -=- n a = 14,1{21,2n n n -=+≥(2)当1n =时, 123b = 当2n ≥时, 13nn b n ⎛⎫=⋅ ⎪⎝⎭当1n =时, 123T =当2n ≥时, 232111233333nn T n ⎛⎫⎛⎫⎛⎫=+⋅+⋅+⋅⋅⋅+⋅ ⎪ ⎪ ⎪⎝⎭⎝⎭⎝⎭令2311123333nM n ⎛⎫⎛⎫⎛⎫=⋅+⋅+⋅⋅⋅+⋅ ⎪ ⎪ ⎪⎝⎭⎝⎭⎝⎭3411111233333n M n +⎛⎫⎛⎫⎛⎫=⋅+⋅+⋅⋅⋅+⋅ ⎪ ⎪ ⎪⎝⎭⎝⎭⎝⎭∴ 23M = 122111191833n n n +-⎡⎤⎛⎫+--⋅ ⎪⎢⎥⎣⎦⎝⎭ 2111111312323nn M n -⎡⎤⎛⎫∴=+--⋅ ⎪⎢⎥⎣⎦⎝⎭132311243n n n T +⎛⎫∴=-⋅ ⎪⎝⎭ 经检验1n =时, 1T 也适合上式. 132311243n n n T +∴=-⋅ ()*n N ∈ . 点睛:数列问题是高考中的重要问题,主要考查等差等比数列的通项公式和前n 项和,主要利用解方程得思想处理通项公式问题,利用分组求和、裂项相消、错位相减法等方法求数列的和.在利用错位相减求和时,要注意提高运算的准确性,防止运算错误. 8.解析:(1)设等差数列{}n a 的首项为1a ,公差为d , 则11121{{,.510151n a d a a n a d d +==⇒∴=+==由题意得1111122n n b b b n n +=⋅=+,,∴数列n b n ⎧⎫⎨⎬⎩⎭是等比数列,且首项和公比都是12, 2n n n b ∴=. (2)由(1)得231232222n n n T =+++⋅⋅⋅+, 2341112322222n n n T +=+++⋅⋅⋅+, 两式相减得: 23111111=222222n n n n T ++++⋅⋅⋅+-, 222n n n T +∴=-;()()()2122222n n n nn n S T n nS f n n +-+=∴==+;()()()()()221111121222n n n n n n n n n f n f n ++++++-+∴+-=-= 当3n ≥时, ()()10f n f n +-<;当3n <时, ()()10f n f n +-≥;()()()3311,2,322f f f === ∴()f n 存在最大值为32.点睛:数列问题是高考中的重要问题,主要考查等差等比数列的通项公式和前n 项和,主要利用解方程得思想处理通项公式问题,利用分组求和、裂项相消、错位相减法等方法求数列的和.在利用错位相减求和时,要注意提高运算的准确性,防止运算错误. 9.解析:(1)当1n =时, 11==3a S ;当2n ≥时, ()()221=212121n n n a S S n n n n n --=+----=+, 1=3a 也符合,∴数列{}n a 的通项公式为=21n a n +. (2)2211111=14441n n b a n n n n ⎛⎫==- ⎪-++⎝⎭,∴()111111111...1422314141n n T n n n n ⎡⎤⎛⎫⎛⎫⎛⎫⎛⎫=-+-++-=-= ⎪ ⎪ ⎪ ⎪⎢⎥+++⎝⎭⎝⎭⎝⎭⎝⎭⎣⎦ 点睛:本题考查了等差数列的定义,求数列的前n 项和问题,属于中档题.解决数列的通项公式问题时,一般要紧扣等差等比的定义,利用方程思想求解,数列求和时,一般根据通项的特点选择合适的求和方法,其中裂项相消和错位相减法考查的比较多,主要是对通项的变形转化处理即可.10.解析:(1)设等比例列16.λ∴的最大值为的首项为1a ,公比为q依题意,有3112120{8a q a q a q +==,解之得12{ 2a q ==或132{ 12a q ==, 又数列{}n a 单调递增, 12{ 2.2n a a n q =∴∴==,(2)依题意, 12.log2.2,.2bn n n n n ==- 12222323.........2,Sn n n ∴-=⨯+⨯+⨯++①2122223324........21Sn n n -=⨯+⨯+⨯+++②由①—②得: 2222324......2.21Sn n n n =+++++-+()212.2112n n n -=-+-21.212n n n =+-+- , 1250n n S n +∴=⋅>,即12250,226n n +->∴>,当4n ≤时, 2241626n <=<;当5n ≥时,5223226n <=<, ∴使1250n n S n ++⋅>,成立的正整数n 的最小值为5.【 方法点睛】本题主要考查等比数列的通项公式与求和公式以及错位相减法求数列的的前n 项和,属于中档题.一般地,如果数列{}n a 是等差数列, {}n b 是等比数列,求数列{}n n a b ⋅的前n 项和时,可采用“错位相减法”求和,一般是和式两边同乘以等比数列{}n b 的公比,然后作差求解, 在写出“n S ”与“n qS ” 的表达式时应特别注意将两式“错项对齐”以便下一步准确写出“n n S qS -”的表达式.。
数列求和汇总答案一、利用常用求和公式求和利用下列常用求和公式求和是数列求和的最基本最重要的方法.1、 等差数列求和公式:d n n na a a n S n n 2)1(2)(11-+=+=2、等比数列求和公式:⎪⎩⎪⎨⎧≠--=--==)1(11)1()1(111q q q a a qq a q na S n nn例1、已知3log 1log 23-=x ,求⋅⋅⋅++⋅⋅⋅+++nx x x x 32的前n 项和.解:由212log log 3log 1log 3323=⇒-=⇒-=x x x 由等比数列求和公式得nn x x x x S +⋅⋅⋅+++=32(利用常用公式)=x x x n--1)1(=211)211(21--n =1-n 21 练习:求22222222123456...99100-+-+-+--+的和。
解:2222222212345699100-+-+-+--+()()()()2222222221436510099=-+-+-++-()()()()()()()()2121434365651009910099=-++-++-++-+3711199=++++由等差数列的求和公式得()50503199S 50502+== 二、错位相减法求和这种方法是在推导等比数列的前n 项和公式时所用的方法,这种方法主要用于求数列{a n · b n }的前n 项和,其中{a n }、{b n }分别是等差数列和等比数列.例2求和:132)12(7531--+⋅⋅⋅++++=n n x n x x x S ………………………①解:由题可知,{1)12(--n xn }的通项是等差数列{2n -1}的通项与等比数列{1-n x}的通项之积设nn x n x x x x xS )12(7531432-+⋅⋅⋅++++=……………………….②(设制错位) ①-②得nn n x n x x x x x S x )12(222221)1(1432--+⋅⋅⋅+++++=--(错位相减)再利用等比数列的求和公式得:n n n x n xx x S x )12(1121)1(1----⋅+=--∴21)1()1()12()12(x x x n x n S n n n -+++--=+ 练习:求数列⋅⋅⋅⋅⋅⋅,22,,26,24,2232n n前n 项的和.解:由题可知,{n n 22}的通项是等差数列{2n}的通项与等比数列{n 21}的通项之积设n n nS 2226242232+⋅⋅⋅+++=…………………………………①14322226242221++⋅⋅⋅+++=n n nS ………………………………②(设制错位) ①-②得1432222222222222)211(+-+⋅⋅⋅++++=-n n n nS (错位相减)1122212+---=n n n∴1224-+-=n n n S三、反序相加法求和这是推导等差数列的前n 项和公式时所用的方法,就是将一个数列倒过来排列(反序),再把它与原数列相加,就可以得到n 个)(1n a a +.例3求89sin 88sin 3sin 2sin 1sin 22222++⋅⋅⋅+++的值解:设89sin 88sin 3sin 2sin 1sin 22222++⋅⋅⋅+++=S ………….① 将①式右边反序得1sin 2sin 3sin 88sin 89sin 22222+++⋅⋅⋅++=S …………..②(反序)又因为1cos sin ),90cos(sin 22=+-=x x x x①+②得(反序相加))89cos 89(sin )2cos 2(sin )1cos 1(sin 2222222 ++⋅⋅⋅++++=S =89∴S =44.52、求和:222222222222222101109293832921101++++++++++四、分组法求和有一类数列,既不是等差数列,也不是等比数列,若将这类数列适当拆开,可分为几个等差、等比或常见的数列,然后分别求和,再将其合并即可.例4、求和:⎪⎪⎭⎫ ⎝⎛+++⎪⎪⎭⎫⎝⎛++⎪⎪⎭⎫ ⎝⎛+n n y x y x y x 11122 ()1,1,0≠≠≠y x x解:原式=()nxx x x ++++ 32⎪⎪⎭⎫⎝⎛++++n y y y 1112 =()yy y xx x n n1111111-⎪⎪⎭⎫ ⎝⎛-+-- =nn n n y y y x x x --+--++1111 练习:求数列的前n 项和:231,,71,41,1112-+⋅⋅⋅+++-n aa a n ,… 解:设)231()71()41()11(12-++⋅⋅⋅++++++=-n aa a S n n将其每一项拆开再重新组合得)23741()1111(12-+⋅⋅⋅+++++⋅⋅⋅+++=-n aa a S n n (分组) 当a =1时,2)13(n n n S n -+==2)13(nn +(分组求和)当1≠a 时,2)13(1111n n a a S nn -+--==2)13(11n n a a a n -+--- 练习:求数列∙∙∙+∙∙∙),21(,,813,412,211nn 的前n 项和。
2020高考数学备考复习易错题七:数列求和及其应用一.单选题(共11题;共22分)1.已知实数a,b,c,d成等比数列,且对函数,当x=b时取到极大值c,则ad等于()A. -1B. 0C. 1D. 2]【答案】A【考点】数列与函数的综合【解析】【解答】由题意可得:函数y=ln(x+2)-x,所以f′(x)=-1.因为当x=b时函数取到极大值c,所以有=1且ln(b+2)-b=c,解得:b=-1,c=1.即bc=-1.因为实数a,b,c,d成等比数列,所以ad=bc=-1.故选A.【分析】首先根据题意求出函数的导数为f′(x)= -1,再结合当x=b时函数取到极大值c,进而求出b 与c的数值,再利用等比数列的性质得到答案.解决此类问题的关键是熟练掌握导数的作用,即求单调区间,求切线方程,以及求函数的极值与最值等.2.已知数列{a n}中,a n=(n∈N*),则在数列{a n}的前50项中最小项和最大项分别是()A. a1,a50B. a1,a8C. a8,a9D. a9,a50【答案】C【考点】数列的函数特性【解析】【分析】令a n= =1+,根据>,8<<9,我们易判断数列各项的符号及单调性,进而得到答案.【解答】∵a n= =1+ ,(n∈N+),∵>,8<<9∴数列的前8项小于1且递减,从第9项开始大于1且递减故数列{a n}的前50项中最小项和最大项分别是a8,a9故选C3.已知1既是与的等比中项,又是与的等差中项,则的值是()A. 1或B. 1或C. 1或D. 1或【答案】D【考点】数列的应用【解析】【解答】由题意知a2b2=1,+=2,∴=2,∴=4,∴a2+b2=4-2ab,a+b=2ab,∴=.由a2b2=1知ab=±1.当ab=1时,===1.当ab=-1时,===-.故的值是1或-.答案:D.【分析】由题设条件可知,a2b2=1,+ =2,由此能够导出,= ;可得ab=±1.又由= ,分别将ab=1与ab=-1代入可得答案.4.两个正数a,b的等差中项是,一个等比中项是,且a>b,则双曲线的离心率为()A. B. C. D.【答案】D【考点】等差数列,双曲线的简单性质【解析】【解答】根据题意,由于两个正数的等差中项是,一个等比中项是,故有是方程的两个根,然后由于a>b,可知a=5,b=4,那么可知双曲线的方程为,可知其离心率为e=,故选D.【分析】解决该试题的关键是根据等差中项的性质,等比中项的性质得到关系式,结合二次方程的根来求解a,b的值,属于基础题。
数列求和解答题50道1.已知各项均为正数的数列{a n }的前n 和S n 满足4S n =(a n +1)2(n ∈N *).(1)求数列{a n }的通项公式;(2)设b n =a n +2a n ,求数列{b n }的前n 项和T n .【解析】(1)∵4S n =(a n +1)2(n ∈N *),n ≥2时,4S n-1=(a n -1+1)2,相减可得:4a n =(a n +1)2-(a n -1+1)2,化为:(a n +a n -1)(a n -a n -1-2)=0,∵a n +a n -1>0,∴a n -a n -1-2=0,即a n -a n -1=2,∴数列{a n }是公差为2的等差数列,n =1时,4S 1=4a 1=(a 1+1)2,解得a 1=1.∴a n =1+2(n -1)=2n -1.(2)b n =a n +2a n =2n -1+22n -1=2n -1+12×4n .∴数列{b n }的前n 项和T n =n (1+2n -1)2+12×4(4n -1)4-1=n 2+2(4n -1)3.2.已知各项均为正数的数列{a n }的前n 项和S n 满足S n >1,且6S n =(a n +1)(a n +2),n ∈N *.(1)求{a n }的通项公式:(2)设数列{b n }满足b n =a n ,n 是奇数2n ,n 是偶数,并记T n 为{b n }的前n 项和,求T 2n .【解析】(1)由a 1=S 1=16(a 1+1)(a 1+2),整理可得:a 21-3a 1+2=0,结合a 1=S 1>1,解得a 1=2由a n +1=S n +1-S n =16(a n +1+1)(a n +1+2)-16(a n +1)(a n +2)得(a n +1+a n )(a n +1-a n -3)=0,又a n >0,得a n +1-a n =3从而{a n }是首项为2公差为3的等差数列,故{a n }的通项公式为a n =3n -1.(2)T 2n =(a 1+a 3+⋅⋅⋅+a 2n -1)+(22+24+⋅⋅⋅+22n )=n (2+6n -4)2+4(1-4n )1-4=4n +1-43+3n 2-n . 3.已知数列{a n }满足a 1-12+a 2-122+⋯+a n -12n =n 2+n (n ∈N *).(Ⅰ)求数列{a n }的通项公式;(Ⅱ)求数列{a n }的前n 项和S n .【解析】(Ⅰ)∵a 1-12+a 2-122+⋯+a n -12n =n 2+n ,(n ∈N +)①∴a 1-12+a 2-122+⋯+a n -1-12n -1=(n -1)2+n -1=n 2-n (n ≥2,n ∈N +),②由①-②得:a n -12n =2n ,∴a n =n •2n +1+1,n≥2,n ∈N +,③在①中,令n =1,得a 1=5,适合③式,∴a n =n •2n +1+1,n ∈N +.(Ⅱ)设b n =n •2n +1,其前n 项和为T n ,则:T n =1×22+2×23+⋯+n ×2n +1,①2T n =1×23+2×24+⋯+n ×2n +2,②②-①,得T n =-22-23-⋯-2n +1+n •2n +2=(n -1)•2n +2+4.∴S n =T n +n =(n -1)•2n +2+n +4.4.已知数列{a n }的前n 项和S n =-12n 2+kn (k ∈N ),且S n 的最大值为8(1)确定常数k ,求a n ;(2)设b n =1a n a n +1,若数列{b n }的前n 项和为T n ,T n >m 恒成立,求m 的取值范围.【解析】(1)数列{a n }的前n 项和S n =-12n 2+kn (k ∈N ),即为S n =-12(n -k )2+k 22,可得当n =k 时,取得最大值k 22,即有k 22=8,解得k =4;则S n =-12n 2+4n ,a 1=S 1=72,n ≥2时,a n =S n -S n -1=-12n 2+4n --12(n -1)2+4(n -1) =92-n ,上式对n =1也成立,则a n =92-n ;(2)b n =1a n a n +1=4(9-2n )(7-2n )=212n -9-12n -7,可得前n 项和为T n =21-7-1-5+1-5-1-3+⋯+12n -9-12n -7=21-7-12n -7 ,当n ≤3时,T n 增大;当n ≥4时,T n 增大,由T 1=435,T 4=-167,可得T n 的最小值为-167,∵T n >m 恒成立,可得m <-167.5.已知数列{a n }的前n 项和S n =-12n 2+kn ,k ∈N +,且S n的最大值为8.(1)确定k 的值;并求数列{a n }的通项公式;(2)若数列9-2a n2n 的前n 项和T n .证明:T n <4.【解析】(1)∵S n =-12n 2+kn =-12(n -k )2+12k 2,又n ,k ∈N +,所以当n =k 时,(S n )max =12k 2,由题设12k 2=8,故k =4,可得S n =-12n 2+4n ;当n =1时,a 1=S 1=72;当n ≥2时,a n =S n -S n -1=-12n 2+4n --12(n -1)2+4(n -1) =92-n ,上式也满足n =1,即a n =92-n ,n ∈N +;(2)证明:a n =92-n ,9-2a n 2n =n 2n -1,故前n 项和T n =1•12 0+2•12 1+⋯+n •12 n -1,12T n =1•12 +2•12 2+⋯+n •12 n ,两式相减可得12T n =1+12+12 2+⋯+12 n -1-n •12 n =1-12n 1-12-n •12 n ,化简可得T n =4-(n +2)•12 n -1,则T n <4.6.已知数列{a n }的前n 项和S n =-12n 2+kn (其中k ∈N +),且S n 的最大值为8.(Ⅰ)确定常数k ,并求a n ;(Ⅱ)求数列9-2a n2n 的前n 项和T n .【解析】(Ⅰ)数列{a n }的前n 项和S n =-12n 2+kn (其中k ∈N +),且S n 的最大值为8,当n =k 时,S n 取得最大值,则12k 2=8,解得k =4,可得S n =-12n 2+4n ,a 1=S 1=4-12=72,n ≥2时,a n =S n -S n -1=-12n 2+4n +12(n -1)2-4(n -1)=92-n ,上式对n =1也成立,则a n =92-n ;(Ⅱ)数列9-2a n 2n ,即为数列n 2n -1 ,则前n 项和T n =1•12 0+2•12 1+3•122+⋯+n •12n -1,12T n =1•12 +2•12 2+3•123+⋯+n •12n,两式相减可得,12T n =1+12 1+122+⋯+12 n -1-n •12 n =1-12 n1-12-n •12 n,化简可得T n =4-(n +2)•12n -1.7.设S n 为等差数列{a n }的前n 项和.已知a 3=5,S 7=49.(1)求数列{a n }的通项公式;(2)设b n =1a n a n +1,求数列{b n }的前n 项和T n .【解析】(1)设等差数列{a n }的公差为d ,首项为a 1由题意可得a 1+2d =57a 1+7×62d =49,解得a 1=1d =2 ,所以{a n }的通项公式为a n =2n -1.(2)由(1)得b n =1a n a n +1=1(2n -1)(2n +1)=1212n -1-12n +1 ,从而T n =121-13+13-15 +⋯+12n -1-12n +1 =121-12n +1 =n 2n +1.8.设数列{a n }的前n 项和为S n ,且S n =2n -1.数列b 1=2,b n +1-2b n =8a n .(1)求数列{a n }的通项公式;(2)求数列{b n }的前n 项和T n .【解析】(1)数列{a n }的前n 项和为S n ,且S n =2n-1.当n =1时,解得a 1=1,当n ≥2时,S n -1=2n -1-1,所以a n =S n -S n -1=2n -1(首项符合通项),故a n =2n -1,数列b 1=2,b n +1-2b n =8a n =2n +2,所以b n +12n +1-b n 2n=2(常数),所以数列b n2n 是以b 121=1为首项,2为公差的等差数列.所以b n =(2n -1)⋅2n ,则T n =1⋅21+3⋅22+⋯+(2n -1)⋅2n ①,2T n =1⋅22+3⋅23+⋯+(2n -1)⋅2n +1②,①-②得-T n =2(2+22+⋯+2n )-2-(2n -1)⋅2n +1,解得T n =(2n -3)⋅2n +1+6.9.已知等差数列{a n }的前n 项和为S n ,且S l 5=225,a 3+a 6=16.(Ⅰ)证明:{S n }是等差数列;(Ⅱ)设b n =2n⋅a n ,求数列{b n }的前n 项和T n .【解析】(Ⅰ)设公差为d 的等差数列{a n }的前n 项和为S n ,且S l 5=225,a 3+a 6=16.则:S 15=225a 3+a 6=16 解得:a 1=1,d =2,所以:S n =1+3+⋯+(2n -1)=n 2,则:S n =n ,所以:S n -S n -1=n -n +1=1(常数).故:数列{S n }是等差数列;(Ⅱ)由已知条件b n =2n⋅a n =(2n -1)⋅2n,所以:T n =1⋅21+3⋅22+⋯+(2n -1)⋅2n①2T n =1⋅22+3⋅23+⋯+(2n -1)⋅2n +1②,①-②得:T n =(2n -3)⋅2n +1+6.10.已知数列{a n }是公差不为0的等差数列,a 1=3,a 1•a 4=a 22.(1)求{a n }的通项公式及a n 的前n 项和S n 的通项公式;(2)b n =1S 1+1S 2+⋯+1S n,求数列{b n }的通项公式,并判断b n 与23的大小.【解析】(1)设a 1=a ,公差为d ,则a (a +3d )=(a +d )2,解得d =a =3,所以a n =3n ,S n =3n (n +1)2.(2)1S n =23⋅1n (n +1)=231n -1n +1,从而b n =1S 1+1S 2+⋯+1S n=231-12+12-13+⋯+1n -1n +1 =231-1n +1 =23-23(n +1)<23,故b n <23.11.已知正项数列{a n }的前n 项和为S n ,若数列log 13a n是公差为-1的等差数列,且a 2+2是a 1,a 3的等差中项.(1)证明数列{a n }是等比数列,并求数列{a n }的通项公式;(2)若T n 是数列1a n的前n 项和,若T n <M 恒成立,求实数M 的取值范围.【解析】【解答】(1)证明:∵数列log 13a n 是公差为-1的等差数列,∴log 13a n =log 13a 1-(n -1),∴a na 1=3n -1.∴n ≥2时,a n a n -1=3n -13n -2=3,数列{a n }是以3为公比的等比数列.∴a 2=3a 1,a 3=9a 1.∵a 2+2是a 1,a 3的等差中项,∴2(a 2+2)=a 1+a 3,∴2(3a 1+2)=a 1+9a 1,解得a 1=1.∴数列{a n }是以3为公比,1为首项的等比数列.∴a n =3n -1.(2)解:1a n =13n -1.∴T n =1-13 n1-13=321-13 n.∵T n <M 恒成立,∴M ≥32.∴实数M 的取值范围是32,+∞ .12.已知等差数列{a n }的前n 项和为S n ,a 8=S 3,a 4=2a 2-2.(1)求数列{a n }的通项公式;(2)设b n =1S n +2,其前n 项和为T n ,证明:T n <12.【解析】(1)解:设等差数列{a n }的公差为d ,依题意得a 1+7d =3a 1+3da 1+3d =2(a 1+d )-2,解得:a 1=4d =2 ,∴a n =4+2(n -1)=2n +2;(2)证明:由(1)得:S n =(4+2n +2)n2=n 2+3n ,∴b n =1S n +2=1n 2+3n +2=1(n +1)(n +2)=1n +1-1n +2,∴T n =12-13 +13-14+⋯+1n +1-1n +2 =12-1n +2<12.13.已知数列{a n }的前n 项和为S n ,且满足2a n -S n =1(n ∈N *).(Ⅰ)求数列{a n }的通项公式;(Ⅱ)设b n =log 2(1+S n ),求数列1b n b n +1的前n 项和T n .【解析】(Ⅰ)∵2a n -S n =1,令n =1,解得a 1=1,n≥2,又2a n -1-S n -1=1,两式相减,得a n =2a n-1,∴{a n }是以a 1=1为首项,q =2为公比的等比数列,∴a n =2n -1;(Ⅱ)∵1+S n =2n ,∴b n =log 2(1+S n )=log 22n=n ,1b n b n +1=1n (n +1)=1n -1n +1∴T n =11×2+12×3+⋯+1n (n +1)=1-12 +12-13 +⋯+1n -1n +1=1-1n +1=nn +1.14.已知正项等比数列{a n }满足a 1=2,a 3a 7=322,数列b n 的前n 项和为S n ,b n =2n -2.(Ⅰ)求{a n }的通项公式与S n ;(Ⅱ)设c n =a n +1S n +1,求数列{c n }的前n 项和T n .【解析】(Ⅰ)根据题意,a 1=2,a 25=322,∴a 1=2,a 5=32,∴q =2,所以a n =2n ,因为b n =2n -2,数列{b n }为公差2,首项为0的等差数列,∴S n =n (0+2n -2)2=n 2-n ;(Ⅱ)根据题意,c n =a n +1S n +1=2n +1(n +1)n=2n +1n -1n +1所以T n =2(1-2n )1-2+1-12 +12-13 +⋯+1n -1n +1 =2n +1-1-1n +1.15.在等差数列{a n }中,a 1=-8,a 2=3a 4.(Ⅰ)求数列{a n }的通项公式;(Ⅱ)设b n =4n (12+a n )(n ∈N *),T n 为数列{b n }的前n项和,若T n =95,求n 的值.【解析】(Ⅰ)设等差数列{a n }的公差是d ,由a 1=-8,a 2=3a 4得:-8+d =3(-8+3d )解得d =2,所以a n =-10+2n ;(Ⅱ)由(Ⅰ)知a n =-10+2n ,∴b n =4n (12+a n )=4n (2n +2)=21n -1n +1 ,所以T n=211-12 +12-13 +⋯+1n -1n +1 =2n n +1,由T n =95解得n =9.16.等差数列{a n }中,公差d ≠0,a 5=14,a 23=a 1a 11.(1)求{a n }的通项公式;(2)若b n =1a n a n +1,求数列{b n }的前n 项和S n .【解析】(1)∵{a n }是等差数列,公差d ≠0,a 5=14,a 23=a 1a 11,可得a 1+4d =14,(a 1+2d )2=a 1(a 1+10d ),解得a 1=2,d =3,所以{a n }的通项公式;a n =a 1+(n -1)d =3n -1;(2)bn=1a n a n +1=1(3n -1)(3n +2)=1313n -1-13n +2,数列{b n }的前n 项和S n =1312-15+15-18+⋯+13n -1-13n +2=1312-13n +2 =16-19n +6=n 6n +4.17.在等差数列{a n }中,已知a 2=3,a 7=8.(1)求数列{a n }的通项公式;(2)设数列1a n a n +1 的前n 项和为S n ,若S n =512,求n 的值.【解析】(1)设公差为d 的等差数列{a n }中,已知a 2=3,a 7=8.所以a 7-a 2=5d =5,解得d =1,由于a 2=a 1+d ,所以a 1=2.故a n =n +1.(2)由于a n =n +1,所以1a n a n +1=1(n +1)(n +2)=1n +1-1n +2,则S n =12-13+13-14+⋯+1n +1-1n +2=512,整理得12-1n +2=512,解得n =10.18.已知公差不为0的等差数列{a n }满足a 3=9,a 2是a 1,a 7的等比中项.(1)求{a n }的通项公式;(2)设数列{b n }满足b n =1n (a n +7),求{b n }的前n 项和S n .【解析】(1)设等差数列{a n }的公差为d (d ≠0),则a 1+2d =9(a 1+d )2=a 1⋅(a 1+6d )解得d =4或d =0(舍去),a 1=1,∴a n =1+4(n -1)=4n -3.(2)∵b n =1n (a n +7)=141n -1n +1 ,∴Sn=b 1+b 2+b 3+⋯+b n =1411-12 +12-13 +⋯+1n -1n +1 =141-1n +1 =n 4n +4.19.已知数列{a n }的前n 项和为S n ,且2S n =3a n +4n -7.(1)证明:数列{a n -2}为等比数列;(2)若b n =a n -2(a n +1-1)(a n -1),求数列{b n }的前n 项和T n .【解析】【解答】证明:(1)数列{a n }的前n 项和为S n ,且2S n =3a n +4n -7①.当n =1时,解得:a 1=3,当n ≥2时,2S n -1=3a n -1+4n -11②.①-②得:a n =3a n -1-4,整理得:a n -2a n -1-2=3(常数)所以:数列{a 2-2}是以a 1-2=1为首项,3为公比的等比数列.(2)由于:数列{a 2-2}是以a 1-2=1为首项,3为公比的等比数列,故:a n -2=3n -1,所以:b n =a n -2(a n +1-1)(a n -1)=3n -1(3n +1)(3n -1+1)=1213n -1+1-13n +1,所以:Tn=12130+1-131+1+⋯+13n -1+1-13n +1=1212-13n +1.20.已知数列{a n }的前n 项和为S n ,点(a n ,S n )在直线y =2x -2上,n ∈N *(1)求{a n }的通项公式;(2)若b n =n +(a n -1)log 2a n ,求数列{b n }的前n 项和T n .【解析】(1)数列{a n }的前n 项和为S n ,点(a n ,S n )在直线y =2x -2上,n ∈N *所以:S n =2a n -2①,当n =1时,a 1=2a 1-2,解得:a 1=2.当n ≥2时,S n -1=2a n -1-2②,①-②得:a n =2a n -2a n -1,整理得:an a n -1=2(常数),故:数列的通项公式为:a n =2⋅2n -1=2n (首项符合通项).故:a n =2n .(2)b n =n +(a n -1)log 2a n =n •2n,所以T n =1⋅21+2⋅22+⋯+n ⋅2n ①,2T n =1⋅22+2⋅23+⋯+n ⋅2n +1②,①-②得:-T n =21+22+⋯+2n -n ⋅2n +1,整理得:T n =(n -1)⋅2n +1+2.21.已知{a n }是等差数列,且lg a 1=0,lg a 4=1.(1)求数列{a n }的通项公式(2)若a 1,a k ,a 6是等比数列{b n }的前3项,求k 的值及数列{a n +b n }的前n 项和.【解析】(1)数列{a n }是等差数列,设公差为d ,且lg a 1=0,lg a 4=1.则:a 1=1a 1+3d =10 ,解得:d =3所以:a n =1+3(n -1)=3n -2.(2)若a 1,a k ,a 6是等比数列{b n }的前3项,则:a 2k=a 1⋅a 6,整理得:a k =3k -2,解得:k =2;所以:等比数列{b n }的公比为q =4.所以:b n =4n -1.则a n +b n =3n -2+4n -1,故:S n =(1+1)+(4+41)+⋯+(3n -2+4n -1)=n (3n -1)2+4n -14-1=32n 2-12n +13(4n-1).22.已知数列{a n }的前n 项和为S n ,且满足a 2=4,2S n =(n +1)a n (n ∈N *).(Ⅰ)求数列{a n }的通项公式;(Ⅱ)设b n =(a n +1)2S n,求数列{b n }的前n 项和T n .【解析】(Ⅰ)数列{a n }的前n 项和为S n ,且满足a 2=4,2S n =(n +1)a n (n ∈N *).当n =2时,2S 2=3a 2,整理得a 1=2.所以2S n =(n +1)a n ,故2S n -1=(n +1-1)a n-1,两式相减得(n -1)a n =na n -1,所以a n =a na n -1⋅a n -1a n -2⋯a2a 1⋅a 1=2n (首项符合通项).故a n =2n .(Ⅱ)由于a n =2n ,所以b n =(a n +1)2S n=4n 2+4n +1n (n +1)=4+1n (n +1)=4+1n -1n +1.故T n =b 1+b 2+⋯+b n =4n +1-12+12-13+⋯+1n -1n +1 =4n +1-1n +1.23.已知数列{a n }满足a n +2=qa n (q 为实数,且q ≠1)n ∈N *,a 1=1,a 2=2,且a 2+a 3,a 3+a 4,a 4+a 5成等差数列.(Ⅰ)求q 的值和{a n }的通项公式;(Ⅱ)设b n =log 2a 2n -1a 2n,n ∈N *,求数列{b n }的前n 项和.【解析】(Ⅰ)数列{a n }满足a n +2=qa n (q 为实数,且q ≠1)n ∈N *,a 1=1,a 2=2,且a 2+a 3,a 3+a 4,a 4+a 5成等差数列,所以(a 3+a 4)-(a 2+a 3)=(a 4+a 5)-(a 3+a 4),即a 4-a 2=a 5-a 3.所以a 2(q -1)=a 3(q -1),由于q ≠1,所以a 3=a 2=2,解得q =2.①当n =2k -1时,a n =a 2k -1=2n -12,②当n =2k 时,a n =a 2k =2n2.所以数列的通项公式为:an=2n -12(n 为奇数)2n 2(n 为偶数).(Ⅱ)由(Ⅰ)得:b n =log 2a 2n -1a 2n =n -12n,所以T n =021+122+⋯+n -12n ①,则12T n =022+123+⋯+n -12n +1,②①-②得12T n =141-12n -11-12-n -12n +1,整理得T n =1-n +12n .24.已知公差不为0的等差数列{a n }与等比数列{b n }满足a 1=b 1=1,a 2=b 2,a 4=b 3.(1)求数列{a n }、{b n }的通项公式;(2)设T n =a 1b n +a 2b n -1+⋯+a n b 1,求T n .【解析】(1)设公差为d 且不为0的等差数列{a n }与公比为q 的等比数列{b n }满足a 1=b 1=1,a 2=b 2,a 4=b 3.故a n =a 1+(n -1)d ,b n =b 1⋅q n -1,所以1+d =q 1+3d =q 2 ,解得d =1,q =2.故a n =n ,b n =2n -1.(2)由于a n =n ,b n =2n -1,所以T n =1⋅2n -1+2⋅2n -2+⋯+n ⋅20①,12T n =1⋅2n -2+2⋅2n -3+⋯+n ⋅20-1②①-②得:12T n =2n -1+2n -2+⋯+2+1-n2=2n -1-n2.所以T n =2n +1-(n +2).25.已知等比数列{a n }是首项为1的递减数列,且a 3+a 4=6a 5.(1)求数列{a n }的通项公式;(2)若b n =na n ,求数列{b n }的前n 项和T n .【解析】(1)由a 3+a 4=6a 5,得6q 2-q -1=0,解得q=12或q =-13.∵数列{a n }为递减数列,且首项为1,∴q =12.∴a n =1×12 n -1=12n -1.(2)∵T n =1⋅12 0+2⋅12 1+3⋅122+⋯+n⋅12 n -1,∴12T n =1⋅12 1+2⋅12 2+3⋅12 3+⋯+n ⋅12 n .两式相减得12T n =12 0+12 1+12 2+⋯+12 n -1-n ⋅12n =1-12 n1-12-n 12 n =2-2⋅12 n -n ⋅12 n=2-n +22n,∴T n =4-n +22n -1.26.已知数列{a n }满足a 1+2a 2+3a 3+⋯+na n =n (n ∈N *).(1)求数列{a n }的通项公式a n ;(2)令b n =a n a n +2(n ∈N *),T n =b 1+b 2+⋯+b n ,求证:T n<34.【解析】(1)数列{a n }满足a 1+2a 2+3a 3+⋯+na n =n ①,当n ≥2时,a 1+2a 2+3a 3+⋯+(n -1)a n -1=n -1②,①-②得:a n =1n,当n =1时,a 1=1(首项符合通项),故:a n =1n.(2)由于:a n =1n,所以:b n =a n a n +2=1n (n +2)=121n -1n +2 ,所以:T n =121-13+12-14+⋯+1n -1n +2 =121+12-1n +1-1n +2 <34.27.已知公差不为0的等差数列{a n }的首项a 1=3,且a 1+1,a 2+1,a 4+1成等比数列.(1)求数列{a n }的通项公式;(2)设b n =1a n a n +1,n ∈N *,S n 是{b n }的前n 项和,求使S n <113成立的最大的正整数n .【解析】(1)公差不为0的等差数列{a n }的首项a 1=3,且a 1+1,a 2+1,a 4+1成等比数列.则:(a 2+1)2=(a 1+1)(a 4+1),解得:d =4或0(舍去),故:a n =3+4(n -1)=4n -1,(2)由于:a n =4n -1,所以:a n +1=4n +3,所以:b n =1a n a n +1=1(4n -1)(4n +3)=1414n -1-14n +3,故:S n =1413-17+17-111+⋯+14n -1-14n +3 =1413-14n +3 =n 12n +9,所以:要使S n <113成立整理得:1413-14n +3 <113,解得:n <9由于n 为自然数,所以:n 的最大值为8.28.已知数列{a n }的前n 项和为S n ,且2S n =3a n -1.(1)求数列{a n }的通项公式;(2)若数列{b n -a n }是等差数列,且b 1=2,b 3=14,求数列{b n }的前n 项和T n ⋅【解析】(1)数列{a n }的前n 项和为S n ,且2S n =3a n-1①.当n =1时,解得:a 1=1.当n ≥2时,2S n -1=3a n -1-1②,①-②得:a n =3a n -1,故:an a n -1=3(常数),所以:数列{a n }是以1为首项,3为公比的等比数列.所以:a n =3n -1(首项符合通项),故:a n =3n -1.(2)数列{b n -a n }是等差数列,且b 1=2,b 3=14,所以:设c n =b n -a n .c 1=b 1-a 1=1,c 3=b 3-a 3=14-9=5,则:公差d =c 3-c 12=5-12=2,所以:c n =2n -1.则:b n =a n +c n =3n -1+2n -1,故:T n =(30+31+⋯+3n -1)+(1+3+⋯+2n -1)=(3n -1)3-1+n (2n -1+1)2=3n -12+n 229.设数列{a n }满足a 1=2,a n +1=2a n ,数列{b n }的前n 项和S n =12(n 2+n ).(1)求数列{a n }和{b n }的通项公式;(2)若c n =a n b n ,求数列{c n }的前n 项和T n .【解析】(1)数列{a n }满足a 1=2,a n +1=2a n ,则:a n +1a n=2(常数)所以:数列{a n }是以a 1=2为首项,2为公比的等比数列.故:a n =2⋅2n -1=2n ,由于:数列{b n }的前n 项和S n =12(n 2+n ).当n =1时,解得:b 1=1,当n ≥2时,b n =S n -S n -1=12(n 2+n )-12(n-1)2-12(n -1)=n .由于首项符合通项,故:a n =n .(2)由(1)得:c n =a n b n =n ⋅2n ,所以:T n =1⋅21+2⋅22+⋯+n ⋅2n ①,2T n =1⋅22+2⋅23+⋯+n ⋅2n +1②,①-②得:-T n =(21+22+⋯+2n )-n ⋅2n +1,解得:T n =(n -1)⋅2n +1+2.30.已知首项为1的等差数列{a n }的前n 项和为S n ,已知S 3为a 4与a 5的等差中项.数列{b n }满足b n =2S n +n2n.(1)求数列{a n }与{b n }的通项公式;(2)求数列{a n •b n }的前n 项和为T n .【解析】(1)设公差为d ,首项为1的等差数列{a n }的前n 项和为S n ,已知S 3为a 4与a 5的等差中项.则:2(3+3d )=1+3d +(1+4d ),解得:d =4,故:a n =1+4(n -1)=4n -3,所以:S n +n 2n =n (1+4n -3)2+n 2n =n .故:数列{b n }满足b n =2S n +n2n=2n .(2)根据已知条件:a n ⋅b n =(4n -3)⋅2n ,则:T n =1⋅21+5⋅22+⋯+(4n -3)⋅2n ①,2T n =1⋅22+5⋅23+⋯+(4n -3)⋅2n +1②,①-②得:T n =(4n -3)⋅2n -4(22+23+⋯+2n )-2,整理得:T n =(4n -7)•2n +1+14.31.设数列{a n }的前n 项和为S n ,已知S n =2a n -1.(1)求数列{a n }的通项公式;(2)若b n =a n +1(a n +1-1)(a n +2-1),求数列{b n }的前n 项和T n .【解析】(1)数列{a n }的前n 项和为S n ,已知S n =2a n -1.①当n =1时,解得:a 1=1.当n ≥2时,S n -1=2a n -1-1.②①-②得:a n =2a n -2a n -1,整理得:a n =2a n -1,故:an a n -1=2(常数),所以:数列{a n }是以1为首项,2为公比的等比数列.故:a n =1⋅2n -1=2n -1(首项符合通项).故:a n =2n -1,(2)由于b n =a n +1(a n +1-1)(a n +2-1)=2n (2n -1)(2n +1-1)=12n -1-12n +1-1,所以:T n =121-1-122-1+⋯+12n -1-12n +1-1=1-12n +1-1.32.已知等差数列{a n }的前n 项和为S n ,a 3=4,S 6=27.(1)求{a n }的通项公式;(2)设b n =2a n ,记T n 为数列{b n }的前n 项和.若T m =124,求m .【解析】【解答】(本小题满分12分)解:(1)设{a n }的首项为a 1,公差为d ,由已知得a 1+2d =46a 1+15d =27,解得a 1=2d =1.所以a n =a 1+(n -1)d =n +1.(2)由(1)可得b n =2n +1,∴{b n }是首项为4,公比为2的等比数列,则T n =4(1-2n)1-2=4(2n -1).由T m =124,得4(2m -1)=124,解得m =5.33.已知数列{a n }的首项a 1>0,前n 项和为S n ,且满足a 1a n =S 1+S n .(Ⅰ)求数列{a n }的通项公式;(Ⅱ)若b n =a n +1S n ⋅S n +1,求数列{b n }的前n 项和T n .【解析】(Ⅰ)数列{a n }的首项a 1>0,前n 项和为S n ,且满足a 1a n =S 1+S n .当n =1时,解得:a 1=2.当n ≥2时,2a n =2+S n ,①2a n -1=2+S n -1,②①-②得:a n =2a n -1,整理得:a n a n -1=2(常数),所以:a n =2⋅2n -1=2n ,(Ⅱ)由于S n =2(2n -1)2-1=2⋅(2n -1),b n =a n +1S n ⋅S n +1=2n +12(2n -1)(2n +1-1)=1212n -1-12n +1-1,所以:T n =121-13 +⋯+12n-1-12n +1-1=121-12n +1-134.已知{a n }是公差不为0的等差数列,且满足a 1=2,a 1,a 3,a 7成等比数列.(Ⅰ)求数列{a n }的通项公式;(Ⅱ)设b n =a n +2a n ,求数列{b n }的前n 项和S n .【解析】(Ⅰ)设{a n }的公差为d ,因为a 1,a 3,a 7成等比数列,所以a 23=a 1a 7.所以(a 1+2d )2=a 1(a 1+6d ).所以4d 2-2a 1d =0.由d ≠0,a 1=2得d =1,所以a n =n +1.(Ⅱ)由(Ⅰ)知,b n =a n +2a n =n +1+2n +1,所以S n =[2+3+4+⋯+(n +1)]+(22+23+24+⋯+2n +1)=n (n +3)2+4(1-2n)1-2=2n +2+n 2+3n -82.35.在数列{a n }中,已知a n >0,a 1=1,a n +21-a n 2-a n +1-a n =0.(1)求证:数列{a n }是等差数列;(2)设数列{a n }的前n 项和为S n ,b n =1S n,求数列{b n }的前n 项和T n .【解析】【解答】证明:(1)由a 2n +1-a 2n -a n +1-a n =0,得(a n +1-a n -1)(a n +1+a n )=0,因为a n >0,所以a n +1-a n =1,又因为a 1=1,所以数列{a n }是首项为a 1=1,公差为1的等差数列.解:(2)由(1)可得,S n =na 1+12n (n -1)d =n +12n (n -1)=n (n +1)2.∴b n =1S n =2n (n +1)=21n -1n +1 .∴T n =b 1+b 2+⋯+b n =211-12+12-13+⋯++1n -1n +1=21-1n +1 =2nn +1.36.已知数列{a n }的前n 项和S n =2n +1-2,b n =a n(4n 2-1)2n.(1)求数列{a n }的通项公式;(2)求数列{b n }的前n 项和T n .【解析】(1)数列{a n }的前n 项和S n =2n +1-2,当n =1时,a 1=S 1=2,当n ≥2时,则:a =S n -S n -1=2n +1-2-2n +2=2n .由于n =1时,符合通项,故:a n =2n .(2)由于:a n =2n ,故:bn=a n (4n 2-1)2n =14n 2-1=1(2n +1)(2n -1)=1212n -1-12n +1 .所以:T n =b 1+b 2+⋯+b n =121-13+13-15+⋯+12n -1-12n +1 =121-12n +1 =n 2n +1.37.已知数列{a n }的前n 项和是S n ,若a n +1=a n +1(n ∈N *),S 3=12.(Ⅰ)求数列{a n }的通项公式;(Ⅱ)设b n =1a n a n +1,求数列{b n }的前n 项和T n .【解析】(Ⅰ)因为a n +1=a n +1(n ∈N *),所以数列{a n }是公差为1的等差数列.又因为S 3=12,则a 1=3,所以,a n =a 1+(n -1)d =n +2(n ∈N *).(Ⅱ)由(Ⅰ)知,b n =1a n a n +1=1(n +2)(n +3)=1n +2-1n +3,则T n =b 1+b 2+b 3+⋯+b n =13-14+14-15+15-16+⋯+1n +2-1n +3=13-1n +3=n 3n +9(n ∈N *)38.设数列{a n }满足:a 1+3a 2+32a 3+⋯+3n -1a n =n 3,n ∈N *.(1)求数列{a n }的通项公式;(2)设b n =n ,n 为奇数1a n,n 为偶数,求数列{b n }的前n 项和S n .【解析】(1)数列{a n }满足:a 1+3a 2+32a 3+⋯+3n -1a n =n3①,当n ≥2时,数列{a n }满足:a 1+3a 2+32a 3+⋯+3n -2a n -1=n -13②,①-②得:3n -1a n =13,所以:a n =13n ,当n =1时,a 1=13(符合通项),故:a n =13n .(2)由于b n =n ,n 为奇数1a n,n 为偶数,所以:b n =n ,n 为奇数3n ,n 为偶数,①当n 为奇数时:S n =1+32+3+34+⋯+3n -1+n=(n +1)2⋅(1+n )2+99n -12-1 9-1=n 2+2n +14+9(3n -1-1)8.②当n 为偶数时,S n =1+32+3+34+⋯+(n -1)+3n=n 2⋅(1+n -1)2+99n 2-1 9-1=n 24+9(3n -1)8.39.在数列{a n }中,a 1=3,a n =2a n -1+(n -2)(n ≥2,n ∈N *).(1)求证:数列{a n +n }是等比数列,并求{a n }的通项公式;(2)求数列{a n }的与前n 项和S n .【解析】(1)证明:∵a 1=3,a n =2a n -1+(n -2)(n ≥2,n ∈N *).∴a n +n =2(a n -1+n -1),∴数列{a n +n }是等比数列,首项为4,公比为2.∴a n =4×2n -1-n =2n +1-n .(2)解:数列{a n }的与前n 项和S n =(22+23+⋯+2n +1)-(1+2+⋯+n )=4(2n -1)2-1-n (1+n )2=2n +2-4-n 2+n 2.40.设等差数列{a n }的前n 项和为S n ,且a 3=6,S 6=42.(Ⅰ)求数列{a n }的通项公式(Ⅱ)设b n =a n ,n 为奇数2a n2,n 为偶数,求数列{b n }的前2n 项和.【解析】(Ⅰ)设首项为a 1,公差为d 的等差数列{a n}的前n 项和为S n ,由a 3=6,S 6=42得a 1+2d =66a 1+6×52d =42,解得a 1=2d =2 ,所以a n =2+2(n -1)=2n .(Ⅱ)由于a n =2n ,所以设b n =a n ,n 为奇数2a n2,n 为偶数=2n (n 为奇数)2n(n 为偶数) ,所以T n =[2+6+10+14+⋯+2(2n -1)]+(22+24+⋯+22n )=2n 2+434n -141.已知数列{a n }的前n 项和为S n ,且S nn是等差数列,a 1=2,a 2=4.(1)求数列{a n }的通项公式;(2)若数列{b n }满足b n =1(a n -1)(2n +1),求数列{b n }的前n 项和T n .【解析】(1)由题意得S 11=1,S22=3,设等差数列S nn 的公差为d ,则d =S 22-S 11=1.∴Sn n=2+(n -1)×1=n +1,∴S n =n (n +1),当n ≥2时,a n =S n -S n -1=2n ,经检验a 1=2也满足上式,∴a n =2n (n ∈N *),(2)b n =1(a n -1)(2n +1)=1(2n -1)(2n +1)=1212n -1-12n +1,∴T n =b 1+b 2+⋯+b n =121-13+13-15+⋯+12n -1-12n +1 =121-12n +1,∴T n =n2n +1.42.已知正项等差数列{a n }满足:S n 2=a 31+a 32+⋅⋅⋅+a n 3,n ∈N *,S n 是数列{a n }的前n 项和.(1)求数列{a n }的通项公式;(2)令b n =(-1)n 4n(2a n -1)(2a n +1)(n ∈N *),数列{b n }的前n 项和为T n ,求T 2n .【解析】(1)正项等差数列{a n }满足:S n 2=a 31+a 32+⋅⋅⋅+a n 3,①,当n =1时,解得a 1=1;当n =2时,S 22=a 31+a 32,整理得a 22-a 2-2=0,解得a 2=2或-1(负值舍去),故公差d =a 2-a 1=1,故a n =n .(2)由(1)得:b n =(-1)n4n(2a n -1)(2a n +1)=(-1)n4n(2n -1)(2n +1)=(-1)n12n -1+12n +1 ,所以T 2n =-1-13+13+15+...+14n -1+14n +1=14n +1-1=-4n4n +143.已知数列{a n }满足:a 1=12,数列1a n 的前n 项和S n =3n 2+n2.(1)求数列{a n }的通项公式;(2)若数列{b n }满足b n =a n a n +1,求数列{b n }的前n 项和T n .【解析】(1)当n ≥2时,S n -1=3(n -1)2+(n -1)2=3n 2-5n +22,则1a n =S n -S n -1=3n 2+n 2-3n 2-5n +22=3n -1.又当n =1时,1a 1=2满足上式,所以1a n =3n -1,则a n =13n -1.(2)又(1)可知b n =a n a n +1=1(3n -1)(3n +2)=1313n -1-13n +2,所以T n =b 1+b 2+b 3+⋯+b n -1+b n =1312-15+15-18+18-111+⋯+13n -4-13n -1+13n -1-13n +2 =1312-13n +2 =n 6n +4.所以数列{b n }的前n 项和T n =n 6n +4.44.已知等比数列{a n }的前n 项和为S n ,且a n +1=2S n +1(n ∈N +).(1)求数列{a n }的通项公式;(2)若数列{b n }满足a n =3b n-1,求数列b n a n 的前n 项和T n .【解析】(1)当n =1时,a 2=2a 1+1,当n ≥2时,a n +1-a n =2S n -2S n -1=2a n ,即a n +1=3a n ,∴等比数列{a n }的公比是3,∴a 2=3a 1,即2a 1+1=3a 1,故a 1=1,故数列{a n }是首项为1,公比为3的等比数列,所以a n =3n -1;(2)由(1)知,a n =3n -1,又a n =3b n -1,∴b n -1=n -1,故b n =n ,∴b n a n =n3n -1,则T n =130+231+332+⋅⋅⋅+n -23n -3+n -13n -2+n 3n -1,①,13T n =131+232+333+⋅⋅⋅+n -23n -2+n -13n -1+n 3n,②两式相减得:23T n =130+131+132+⋅⋅⋅+13n -3+13n -2+13n -1-n 3n =1-13n1-13-n 3n =32-2n +32×3n,∴T n =94-2n +34×3n -1.45.已知数列{a n }的前n 项和为S n ,且对任意正整数n 均满足S 12+S 222+S 323+⋅⋅⋅+S n 2n =n -1+12n .(1)求数列{a n }的通项公式;(2)记b n =2n S n S n +1,数列{b n }的前n 项和为T n ,求满足T n ≥20212022的最小正整数n 的值.【解析】(1)当n =1时,S 12=12,得S 1=1.当n ≥2时,由S 12+S 222+S 323+⋅⋅⋅+S n2n =n -1+12n ①,得S 12+S 222+S 323+⋅⋅⋅+S n -12n -1=(n -1)-1+12n -1②,①-②得S n 2n =1-12n (n ≥2),∴S n =2n -1(n ≥2),当n =1时,得a 1=S 1=1;当n ≥2时,由a n =S n -S n -1=2n -1-2n -1+1=2n -1.又a 1=1也满足上式,所以a n =2n -1.(2)由(1)得b n=2n(2n-1)(2n+1-1)=12n-1-12n+1-1,所以S n=12-1-122-1+122-1-123-1+⋯+12n-1-1 2n+1-1=1-12n+1-1,由1-12n+1-1≥20212022得2n+1-1≥2022,即2n+1≥2023,因为210<2023<211,所以n+1≥11,即n≥10,故满足T n≥20212022的最小正整数为10.46.已知数列{a n}的前n项和为S n,且满足2a n-S n=1(n∈N*).(1)求数列{a n}的通项公式;(2)设b n=a n+1(a n+1-1)(a n+2-1),数列{b n}的前n项和为T n,求证:23≤T n<1.【解析】(1)由2a n-S n=1(n∈N*),可得2a1-S1= 2a1-a1=1,即a1=1,当n≥2时,2a n-1-S n-1=1,又2a n-S n=1,相减可得2a n-2a n-1=a n,即a n=2a n-1,则a n=2n-1;(2)证明:b n=a n+1(a n+1-1)(a n+2-1)=2n(2n-1)(2n+1-1)=12n-1-12n+1-1,T n=1-13+13-17+17-115+...+12n-1-1 2n+1-1=1-12n+1-1,由{T n}是递增数列,可得T n≥T1=23,且T n<1.所以23≤T n<1.47.已知公差不为零的等差数列{a n}的前n项和为S n,且S4=16,a22=a1a5.(1)求数列{a n}的通项公式a n和S n;(2)若b n=1a n a n+1,数列{b n}的前n项和T n满足T n≥48101,求n的最小值.【解析】(1)设数列{a n}的公差为d,由题意知4a1+6d=16,(a1+d)2=a1(a1+4d),解得a1=1,d=2,所以a n=1+(n-1)×2=2n-1,S n=n(1+2n-1)2=n2.(2)由(1)得,b n=1(2n-1)(2n+1)=1212n-1-12n+1,所以T n=121-13+13-15+⋅⋅⋅+12n-1-12n+1=121-12n+1=n2n+1,令n2n+1≥48101,得n≥485,又n∈N*,所以n的最小值为10.48.公差不为0的等差数列{a n}的前n项和为S n,且a1,a2,a6成等比数列,S6=51.(1)求数列{a n}的通项公式;(2)设b n=1a n a n+1(n∈N*),数列{b n}的前n项和记为T n,求证:T n<13.【解析】(1)设{a n}公差为d,∵a1,a2,a6成等比数列,S6=51,∴a1⋅a6=a22a1+a2+a3+a4+a5+a6=51,即a1(a1+5d)=(a1+d)26a1+6×52d=51,解得a1=1,d=3,∴a n=3n-2,(2)证明:b n=1a n a n+1=1(3n-2)(3n+1)=1313n-2-13n+1,∴T n=131-14+14-17+⋅⋅⋅+13n-2-13n+1=131-13n+1=13-133n+1<13,∴T n<13.49.已知数列{a n}的前n项和为S n,且满足2a n=S n+n-1.(1)求证:{a n+1}为等比数列;(2)设b n=2n(a n+2)(a n+1+2),数列{b n}的前n项和为T n,求证:T n<1.【解析】【解答】证明:(1)当n=1时,2a1=a1+1-1,解得a1=0,当n≥2时,2a n-2a n-1=S n+n-1-(S n-1+n-2),化为:a n=2a n-1+1.变形为:a n+1=2(a n-1+1),a1+1=1,∴{a n+1}为等比数列,首项为1,公比为2.(2)由(1)可得:a n+1=2n-1,∴a n=2n-1-1.∴b n=2n(a n+2)(a n+1+2)=2n(2n-1+1)(2n+1)=212n-1+1-12n+1,∴数列{b n}的前n项和为T n=2120+1-121+1++⋯⋯+12n-1+1-12n+1=212-12n+1<1,∴T n<1.50.已知数列{a n}的前n项和为S n,且满足S n+n=2a n(n∈N*).(1)证明:数列{a n+1}是等比数列;(2)设b n=2na n a n+1,求数列{b n}的前n项和T n.【解析】(1)当n=1时,a1+1=2a1得a1=1.当n≥2时,S n+n=2a nS n-1+n-1=2a n-1,两式相减得a n=2a n-1+1(n≥2),即a n+1=2(a n-1+1)(n≥2),所以数列{a n+1}是以2为公比,以2为首项的等比数列,(2)由(1)知a n+1=2n(n∈N*),即a n=2n-1(n∈N*).∵b n=2na n a n+1=2n(2n-1)(2n+1-1)=12n-1-12n+1-1,则T n=b1+b2+⋯+b n=1-13+13-17+⋯+12n-1-12n+1-1=1-12n+1-1.。
数列求和专题一.公式法(已知数列是等差或等比数列可以直接使用等差或等比的求和公式求和) 二.分组求和法若数列的通项是若干项的代数和,可将其分成几部分来求.例1:求数列11111246248162n n ++L ,,,,,…的前n 项和n S .- 23411111111(2462)(1)222222n n n S n n n ++⎛⎫=+++++++++=++- ⎪⎝⎭L L .例2: 求数列5,55,555,…,55…5 的前n 项和S n解: 因为55…5=)110(95-n 所以 S n =5+55+555+...+55 (5)=[])110()110()110(952-+⋅⋅⋅+-+-n=⎥⎦⎤⎢⎣⎡---n n 110)110(1095 =815095108150--⨯n n 练习:、求数列11111,2,3,4,392781L 的前n 项和。
解:211223nn n ++-⋅三.错位相减法这种方法是在推导等比数列的前n 项和公式时所用的方法,这种方法主要用于求数列{a n · b n }的前n 项和,其中{ a n }、{ b n }分别是等差数列和等比数列.例: 求和:132)12(7531--+⋅⋅⋅++++=n n x n x x x S ………(0x ≠)解: 当x=1时,23121315171(21)1135(21)n n S n n n -=+∙+∙+∙+⋅⋅⋅+-∙=++++-=当x ≠1时, 132)12(7531--+⋅⋅⋅++++=n n x n x x x S ………………. ① ①式两边同乘以x 得n xS = 231135(23)(21)n n x x x n x n x -+++⋅⋅⋅+-+-………② (设制错位)①-②得 n n n x n xx x x x S x )12(222221)1(1432--+⋅⋅⋅+++++=-- (错位相减)再利用等比数列的求和公式得:n n n x n xx x S x )12(1121)1(1----⋅+=-- ∴ 21)1()1()12()12(x x x n x n S n n n -+++--=+n练习: 1:求数列⋅⋅⋅⋅⋅⋅,22,,26,24,2232n n 前n 项的和. 1224-+-=n n n S2. 已知数列.}{,)109()1(n n nn S n a n a 项和的前求⨯+=四.裂项相消法 常见的拆项公式有:1()n n k =+111()k n n k -+=1k,1(21)(21)n n =-+111()22121n n --+,等. 例1:求数列311⨯,421⨯,531⨯,…,)2(1+n n ,…的前n 项和S. 解:∵)2(1+n n =211(21+-n n )S n =⎥⎦⎤⎢⎣⎡+-+⋅⋅⋅+-+-)211()4121()311(21n n =)2111211(21+-+--n n =42122143+-+-n n 例2:设9)(2+=x x f ,(1)若;),2(),(,111n n n u n u f u u 求≥==-(2)若;}{,,3,2,1,11n n k k k S n a k u u a 项和的前求数列 =+=+解:(1)}{),2(9122121n n nu n u u u ∴⎩⎨⎧≥+==- 是公差为9的等差数列,,89,0,892-=∴>-=∴n u u n u n n n(2)),8919(9119891--+=++-=k k k k a k);119(91)]8919()1019()110[(91-+=--+++-+-=∴n n n S n练习: 1、 求数列2112+,2124+,2136+,2148+,…的前n 项和n S .2、求数列⋅⋅⋅++⋅⋅⋅++,11,,321,211n n 的前n 项和.五.倒序相加法这是推导等差数列的前n 项和公式时所用的方法,就是将一个数列倒过来排列(反序),再把它与原数列相加,就可以得到n 个)(1n a a +.例1:求89sin 88sin 3sin 2sin 1sin 22222++⋅⋅⋅+++的值解:设89sin 88sin 3sin 2sin 1sin 22222++⋅⋅⋅+++=S …………. ①将①式右边反序得1sin 2sin 3sin 88sin 89sin 22222+++⋅⋅⋅++=S …………..② (反序) 又因为 1cos sin ),90cos(sin 22=+-=x x x x①+②得 (反序相加))89cos 89(sin )2cos 2(sin )1cos 1(sin 2222222 ++⋅⋅⋅++++=S =89∴ S =44.5例2: 求222222222222123101102938101++++++++的和. 解:设222222222222123101102938101S =++++++++ 则222222222222109811012938101S =++++++++.两式相加,得 2111105S S =+++=∴=,.练习:设221)(xx x f +=,求:⑴)4()3()2()()()(111f f f f f f +++++; ⑵).2010()2009()2()()()()(21312009120101f f f f f f f ++++++++ 【解题思路】观察)(x f 及⎪⎭⎫ ⎝⎛x f 1的特点,发现1)1()(=+xf x f 六、合并法求和针对一些特殊的数列,将某些项合并在一起就具有某种特殊的性质,因此,在求数列的和时,可将这些项放在一起先求和,然后再求S n .例6: 求cos1°+ cos2°+ cos3°+···+ cos178°+ cos179°的值.解:设S n = cos1°+ cos2°+ cos3°+···+ cos178°+ cos179°∵ cos(180)cos n n -=- (找特殊性质项)∴S n = (cos1°+ cos179°)+( cos2°+ cos178°)+ (cos3°+ cos177°)+···+(cos89°+ cos91°)+ cos90° (合并求和)= 0练习:已知:n S n n ⋅-++-+-+-=+1)1(654321 .求n S .(⎪⎪⎩⎪⎪⎨⎧-+=)(2)(21为正偶数为正奇数n n n n S n )。
高一数学数列求和试题答案及解析1.数列的通项公式,它的前n项和为,则_________.【答案】99【解析】,可得前n项和,所以,则.【考点】数列的求和.2.已知函数f(x)=x a的图象过点(4,2),令an =,n∈N*.记数列{an}的前n项和为Sn,则S2 013=( )A.-1B.-1C.-1D.+1【答案】C【解析】由函数f(x)=x a的图象过点(4,2)得:,从而;,从而,故选C.【考点】数列求和.3.已知数列的前n项和为,且,则=A.4B.2C.1D.-2【答案】A【解析】当时,解得,当时,,解得.【考点】数列的运算.4.数列,…前n项的和为A.B.C.D.【答案】B【解析】设前项和为,则有,解得.【考点】数列的求和.5.设数列的前项和为,对任意的正整数,都有成立,记.(1)(1)求数列与数列的通项公式;(2)设数列的前项和为,是否存在正整数,使得成立?若存在,找出一个正整数;若不存在,请说明理由.(3)记,设数列的前项和为,求证:对于都有【答案】(1);(2)不存在,见解析;(3)见解析.【解析】(1)根据题中给的an =5Sn+1,继而可得an-1=5sn-1+1,两式子相减得,an-an-1=5an,因此,因而可得出an ,bn的通项公式;(2)根据bn的通项公式,算出的前n项和为Rn,再计算出是否存在正整数k;(3)根据bn 的通项公式,计算出cn的通项公式,再比较Tn与的大小.(1)当时,,又,,∴数列是首项为,公比为的等比数列,∴,(2)不存在正整数,使得成立。
证明:由(1)知∴当n为偶数时,设 ,∴当n为奇数时,设∴∴对于一切的正整数n,都有,∴不存在正整数,使得成立;(3)由得又,当时,,当时,【考点】数列递推式;数列的应用;数列的求和6.在数列中,为常数,,且成公比不等于1的等比数列.(1)求的值;(2)设,求数列的前项和【答案】(1) (2)【解析】(1)根据为常数可判断出数列是等差数列,根据等差数列通项可得,从而解出其中的值,注意值的取舍.(2)根据(1)知, ,代入,根据形式特点,使用裂项相消法求数列的和.(1)根据为常数,可得,所以数列是等差数列,其首项,公差,所以.故.又成等比数列,所以,解得或.当时,不合题意,舍去.所以.(2)由(Ⅰ)知,.利用裂项相消法,可得所以【考点】数列的判断; 裂项相消法求数列的和.7.在数列{an }中,已知,则数列{an}的前2012项的和为.【答案】【解析】因为,所以,即数列为等差数列,所以,因此数列{an}的前2012项的和为【考点】构造等差数列,裂项相消求和8.数列的通项公式是其前项和为则项数等于A.6B.9C.10D.13【答案】A【解析】先将数列的通项变形,再求和,利用已知条件建立方程,即可求得数列的项数n解:因为,所以由得:。
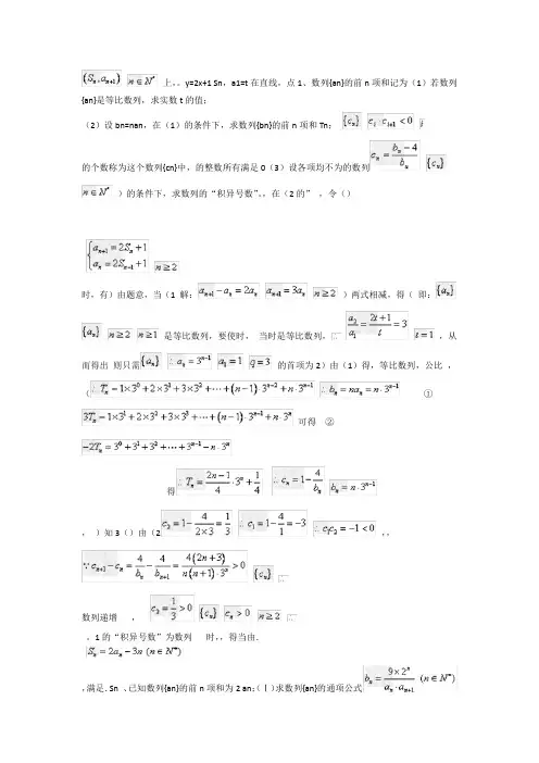
上,。
y=2x+1 Sn,a1=t在直线,点1、数列{an}的前n项和记为(1)若数列{an}是等比数列,求实数t的值;(2)设bn=nan,在(1)的条件下,求数列{bn}的前n项和Tn;的个数称为这个数列{cn}中,的整数所有满足0(3)设各项均不为的数列)的条件下,求数列的“积异号数”。
,在(2的”,令()时,有)由题意,当(1 解:)两式相减,得(即:是等比数列,要使时,当时是等比数列,,从而得出则只需的首项为2)由(1)得,等比数列,公比,(①可得②得,)知3()由(2,,数列递增,。
1的“积异号数”为数列时,,得当由.,满足.Sn 、已知数列{an}的前n项和为2 an;(Ⅰ)求数列{an}的通项公式满足,求n项和为Tn的最小值;(Ⅱ)令,且数列{bn}的前n(Ⅲ)若正整数m,r,k成等差数列,且,试探究:am,ar,ak能否成等比数列?证明你的结论.解:,(Ⅰ)∵,∴,由是以∴数列为首项,为公比的等比数列,,又;∴,即(Ⅱ),∴,,即n的最小值为5;∴(Ⅲ)∵,,成等比数列,若,即,∴,由已知条件得,∴,∴上式可化为∴∵,,,∴.为奇数,为偶数,∴不可能成立,因此,不可能成等比数列.,∴3、设等差数列{an}的前n项和为Sn,公比是正数的等比数列{bn}的前n项和为Tn,已知a1=1,b1=3,a2+b2=8,T3-S3=15(1)求{an},{bn}的通项公式。
满足求数列{cn}(2)若数列{cn} 。
的前n项和Wnq 的公比为的公差为d,等比数列{bn} 设等差数列{an} ,得1+d+3q=8 ①a1=1∵,b1=3由a2+b2=8 (3+3d)=15 ②(T3-S3=15得3q2+q+1)-由∴消去d 得q2+4q-12=0 化简①②∴q=2或q=-6∵q>0∴q=2则d=1∴an=n bn=3·2n-1∴①⑵∵an=n时,②…当②得由①-∴cn=3n+3∴c1=7 又由⑴得n…项和∴{an}的前的前四项和是a1,a7。
数列求和专项练习1.在等差数列{}n a 中,已知34151296=+++a a a a ,求前20项之和。
2.已知等差数列{}n a 的公差是正数,且,4,126473-=+-=a a a a 求它的前20项之和。
3.等差数列{}n a 的前n 项和S n =m ,前m 项和S m =n (m>n ),求前m+n 项和S n+m4.设y x ≠,且两数列y a a a x ,,,,321和4321b y b b x b ,,,,,均为等差数列,求1243a a b b --5.在等差数列{}n a 中,前n 项和S n ,前m 项和为S m ,且S m =S n , n m ≠,求S n+m6.在等差数列{}n a 中,已知1791,25S S a ==,问数列前多少项为最大,并求出最大值。
7.求数列的通项公式:(1){}n a 中,23,211+==+n n a a a(2){}n a 中,023,5,21221=+-==++n n n a a a a a9.求证:对于等比数列前n 项和S n 有)(32222n n n n n S S S S S +=+10. 已知数列{}n a 中,前n 项和为S n ,并且有1),(241*1=∈+=+a N n a S n n (1)设),(2*1N n a a b n n n ∈-=+求证{}n b 是等比数列;(2)设),(2*N n a c nn ∈=求证{}n b 是等差数列;11.设数列满足,(Ⅰ)求数列的通项公式:(Ⅱ)令,求数列的前n 项和.【规范解答】(Ⅰ)由已知,当时,而,满足上述公式,所以的通项公式为. (Ⅱ)由可知,①从而 ②①②得{}n a 12a ={}n a n n b na ={}n b n S 1n ≥[]111211()()()n n n n n a a a a a a a a ++-=-+-++-+21232(1)13(222)22n n n --+-=++++=12a ={}n a 212n n a -=212n n n b na n -==•35211222322n n n s -=•+•+•++•23572121222322n n n s +=•+•+•++•-3521212(12)22222n n n n s -+-=++++-•即 12.已知数列{}n a 的前n 项和*∈+=N n nn S n ,22. (1)求数列{}n a 的通项公式;(2)设()n nan a b n 12-+=,求数列{}n b 的前n 2项和.【答案】(1) n a n = (2) 21222n n T n +=+-13.已知数列{}n a 是递增的等比数列,且14239,8.a a a a +== (Ⅰ)求数列{}n a 的通项公式;211(31)229n n S n +⎡⎤=-+⎣⎦(Ⅱ)设n S 为数列{}n a 的前n 项和,11n n n n a b S S ++=,求数列{}n b 的前n 项和n T .(Ⅰ)由题设可知83241=⋅=⋅a a a a ,又941=+a a , 可解的⎩⎨⎧==8141a a 或⎩⎨⎧==1841a a (舍去)由314q a a =得公比2=q ,故1112--==n n n qa a . (Ⅰ)1221211)1(1-=--=--=n n n n q q a S 又1111111n n n n n n n n n n a S S b S S S S S S +++++-===-所以1113221211111...1111...++-=⎪⎪⎭⎫ ⎝⎛-++⎪⎪⎭⎫ ⎝⎛-+⎪⎪⎭⎫ ⎝⎛-=+++=n n nn n S S S S S S S S b b b T12111--=+n .14. 设数列{}n a 的前n 项和为n S .已知233nn S =+.(I )求{}n a 的通项公式;(II )若数列{}n b 满足3log n n n a b a =,求{}n b 的前n 项和n T . 【解析】所以,13,1,3,1,n n n a n -=⎧=⎨>⎩1363623n n +=-⨯ ,又1T 适合此式.13631243nnn T +=-⨯ 15.知等差数列满足:,,的前n 项和为.(1)求及;(2)令(n N *),求数列的前n 项和. 【命题立意】本题考查等差数列的通项公式与前n 项和公式的应用、裂项法求数列的和,考查了考生的逻辑推理、等价变形和运算求解能力.【思路点拨】(1)设出首项和公差,根据已知条件构造方程组可求出首项和公差,进而求出求及;(2)由(1)求出的通项公式,再根据通项的特点选择求和的方法.【规范解答】(1)设等差数列的公差为d ,因为,,所以有,解得, 所以;==. (2)由(1)知,所以b n ===, 所以==,即数列的前n 项和=.{}n a 37a =5726a a +={}n a n S n a n S n b =211n a -∈{}n b n T n a nS n b {}n a 37a =5726a a +=112721026a d a d +=⎧⎨+=⎩13,2a d ==321)=2n+1n a n =+-(n S n(n-1)3n+22⨯2n +2n 2n+1n a =211n a -21=2n+1)1-(114n(n+1)⋅111(-)4n n+1⋅n T 111111(1-+++-)4223n n+1⋅-11(1-)=4n+1⋅n4(n+1){}n b n T n4(n+1)。
高一数学数列求和试题答案及解析1.数列的通项公式,它的前n项和为,则_________.【答案】99【解析】,可得前n项和,所以,则.【考点】数列的求和.2.已知函数f(x)=x a的图象过点(4,2),令an =,n∈N*.记数列{an}的前n项和为Sn,则S2 013=( )A.-1B.-1C.-1D.+1【答案】C【解析】由函数f(x)=x a的图象过点(4,2)得:,从而;,从而,故选C.【考点】数列求和.3.已知数列的通项公式为,是数列的前n项和,则()A.B.C.D.【答案】A【解析】,则。
【考点】通过分母有理化进行裂项相消进行数列求和。
4.己知数列的前n项和为,,当n≥2时,,,成等差数列. (1)求数列的通项公式;(2)设,是数列的前n项和,求使得对所有都成立的最小正整数.【答案】(1)(2)10【解析】解.(1)当n≥2时,2=①所以2=②②-①化简得,又,求得用该公式表示,所以数列是以2为首项,3为公比的等比数列,求得 7分(2)求得,所以,所以,恒成立,所以最小正整数的值为10 14分.【考点】等比数列点评:主要是考查了等比数列以及数列求和的运用,属于基础题。
5.数列的通项公式,其前项和为,则等于( )A.1006B.2012C.503D.0【答案】D【解析】根据数列的通项公式可知当n=1,2,3,4,得到的项为0,-n,0,n,依次后面的项周期出现,那么可知 ,那么对于2013= ,可知其和为首项0,故答案为D【考点】数列求和点评:主要是考查了数列的周期性的运用,来求解数列的和,属于基础题。
6.已知数列满足,;(1)求数列的通项公式;(2)求数列的前项和,并求当最大时序号的值.【答案】(1)(2),当=6或7时,最大【解析】(1)累乘法:4’5’6’(2) 7’是等差数列8’9’10’当=6或7时,最大12’【考点】数列求通项求和点评:数列求通项采用的是累乘法,此法适用于通项公式一般为形式的数列,与之类似的还有累和法求通项在数列中也经常用到,由通项公式是关于n的一次函数式可知数列是等差数列7.记项正项数列为,其前项积为,定义为“相对叠乘积”,如果有2013项的正项数列的“相对叠乘积”为,则有2014项的数列的“相对叠乘积”为_______。
1、数列{an}的前n项和记为Sn,a1=t,点在直线y=2x+1上,。
(1)若数列{an}是等比数列,求实数t的值;(2)设bn=nan,在(1)的条件下,求数列{bn}的前n项和Tn;(3)设各项均不为0的数列{cn}中,所有满足的整数的个数称为这个数列的”,令(),在(2)的条件下,求数列的“积异号数”。
解:(1)由题意,当时,有两式相减,得即:()当时,是等比数列,要使时是等比数列,则只需,从而得出(2)由(1)得,等比数列的首项为,公比,①可得②得(3)由(2)知,,,,数列递增由,得当时,数列的“积异号数”为1。
2、已知数列{an}的前n项和为Sn,满足.(Ⅰ)求数列{an}的通项公式an;(Ⅱ)令,且数列{bn}的前n项和为Tn满足,求n的最小值;(Ⅲ)若正整数m,r,k成等差数列,且,试探究:am,ar,ak能否成等比数列?证明你的结论.解:(Ⅰ)∵,由,∴,又,∴数列是以为首项,为公比的等比数列,∴,即;(Ⅱ),∴,∴,即n的最小值为5;(Ⅲ)∵,若,,成等比数列,即由已知条件得,∴,∴,∴上式可化为,∵,∴,∴,∴为奇数,为偶数,因此不可能成立,∴,,不可能成等比数列.3、设等差数列{an}的前n项和为Sn,公比是正数的等比数列{bn}的前n项和为Tn,已知a1=1,b1=3,a2+b2=8,T3-S3=15(1)求{an},{bn}的通项公式。
(2)若数列{cn}满足求数列{cn}的前n项和Wn。
设等差数列{an}的公差为d,等比数列{bn}的公比为q∵a1=1,b1=3由 a2+b2=8,得 1+d+3q=8①由 T3-S3=15得3(q2+q+1)-(3+3d)=15②化简①②∴消去d得q2+4q-12=0∴q=2或q=-6∵q>0∴q=2则 d=1∴an=n bn=3·2n-1⑵∵an=n∴①当时,…②由①-②得∴cn=3n+3又由⑴得c1=7∴∴{an}的前n项和…4、已知各项均不相等的等差数列的前四项和是a1,a7。
1.在等差数列{a n }中,已知a 6+a 9+a 12+a 15=34,求前20项之和.解法一 由a 6+a 9+a 12+a 15=34 得4a 1+38d =34=20a 1+190d=5(4a 1+38d)=5×34=170由等差数列的性质可得:a 6+a 15=a 9+a 12=a 1+a 20 ∴a 1+a 20=17 S 20=1702.已知等差数列{a n }的公差是正数,且a 3·a 7=-12,a 4+a 6=-4,求它的前20项的和S 20的值.解法一 设等差数列{a n }的公差为d ,则d >0,由已知可得由②,有a 1=-2-4d ,代入①,有d 2=4 再由d >0,得d =2 ∴a 1=-10最后由等差数列的前n 项和公式,可求得S 20=180 解法二 由等差数列的性质可得: a 4+a 6=a 3+a 7 即a 3+a 7=-4 又a 3·a 7=-12,由韦达定理可知: a 3,a 7是方程x 2+4x -12=0的二根 解方程可得x 1=-6,x 2=2又=+×S 20a d 20120192解法二 S =(a +a )202=10(a a )20120120×+(a 2d)(a bd)12 a 3d a 5d = 41111++=-①+++-②⎧⎨⎩∵ d >0 ∴{a n }是递增数列 ∴a 3=-6,a 7=23. 等差数列{a n }的前n 项和S n =m ,前m 项和S m =n(m >n),求前m +n 项和S m+n .解法一 设{a n }的公差d 按题意,则有=-(m +n)解法二 设S x =Ax 2+Bx(x ∈N)①-②,得A(m 2-n 2)+B(m -n)=n -m ∵m ≠n ∴ A(m +n)+B=-1 故A(m +n)2+B(m +n)=-(m +n) 即S m+n =-(m +n)4.设x ≠y ,且两数列x ,a 1,a 2,a 3,y 和b 1,x ,d =a =2a 10S 1807120--a 373,=-,=S na d m S ma d n (m n)a d =n mn 1m11=+=①=+=②①-②,得-·+·-n n m m m n m n ()()()()--⎧⎨⎪⎪⎩⎪⎪-+-121212即+-∴··a d =11m n S m n a m n m n d m n a m n d m n++=++++-=+++-+12121211()()()()()Am Bm n An Bn m22+=①+=②⎧⎨⎪⎩⎪b b y b 234,,,均为等差数列,求.b b a a 4321--5.在等差数列{a n }中,设前m 项和为S m ,前n 项和为S n ,且S m =S n ,m ≠n ,求S m+n .且S m =S n ,m ≠n∴S m+n =06. 在等差数列{a n }中,已知a 1=25,S 9=S 17,问数列前多少项和最大,并求出最大值.解法一 建立S n 关于n 的函数,运用函数思想,求最大值.∵a 1=25,S 17=S 9 解得d =-2∴当n=13时,S n 最大,最大值S 13=169解法二 因为a 1=25>0,d =-2<0,所以数列{a n }是递减等分析解 d =y x 51(1)=y x52(2)可采用=由a a m na ab b m n ----------21433264(2)(1)÷,得b b a a 432183--=解 S (m n)a (m n)(m n 1)d(m n)[a (m n 1)d]m+n 11∵=++++-=+++-1212∴+-=+-整理得-+-+-ma m(m 1)d na n(n 1)d(m n)a (m n)(m n 1)=011112122d即-++-由≠,知++-=(m n)[a (m n 1)d]=0m n a (m n 1)d 0111212根据题意:+×,=+×S =17a d S 9a d 1719117162982∴=+--+--+S 25n (2)=n 26n =(n 13)169n 22n n ()-12∵a 1=25,S 9=S 17∴a n =25+(n -1)(-2)=-2n +27即前13项和最大,由等差数列的前n 项和公式可求得S 13=169. 解法三 利用S 9=S 17寻找相邻项的关系. 由题意S 9=S 17得a 10+a 11+a 12+…+a 17=0 而a 10+a 17=a 11+a 16=a 12+a 15=a 13+a 14 ∴a 13+a 14=0,a 13=-a 14 ∴a 13≥0,a 14≤0 ∴S 13=169最大.解法四 根据等差数列前n 项和的函数图像,确定取最大值时的n . ∵{a n }是等差数列 ∴可设S n =An 2+Bn二次函数y=Ax 2+Bx 的图像过原点,如图3.2-1所示∵S 9=S 17,∴取n=13时,S 13=169最大差数列,若使前项和最大,只需解≥≤,可解出.n a 0a 0n n n+1⎧⎨⎩∴×+××+×,解得-9252d =1725d d =29817162∴-+≥-++≥≤≥∴2n 2702(n 1)270n 13.5n 12.5n =13⎧⎨⎩⇒⎧⎨⎩∴对称轴 x =9+172=137.求数列的通项公式:(1){a n }中,a 1=2,a n+1=3a n +2(2){a n }中,a 1=2,a 2=5,且a n+2-3a n+1+2a n =0 思路:转化为等比数列.∴{a n +1}是等比数列 ∴a n +1=3·3n-1 ∴a n =3n -1∴{a n+1-a n }是等比数列,即 a n+1-a n =(a 2-a 1)·2n-1=3·2n-1再注意到a 2-a 1=3,a 3-a 2=3·21,a 4-a 3=3·22,…,a n -a n-1=3·2n-2,这些等式相加,即可以得到+2说明 解题的关键是发现一个等比数列,即化生疏为已知.(1)中发现{a n +1}是等比数列,(2)中发现{a n+1-a n }是等比数列,这也是通常说的化归思想的一种体现.8. 三个数成等比数列,若第二个数加4就成等差数列,再把这个等差数列的第3项加32又成等比数列,求这三个数.解法一 按等比数列设三个数,设原数列为a ,aq ,aq 2 由已知:a ,aq +4,aq 2成等差数列 即:2(aq +4)=a +aq 2①a ,aq +4,aq 2+32成等比数列 即:(aq +4)2=a(aq 2+32)解 (1)a =3a 2a 1=3(a 1)n+1n n+1n +++⇒(2)a 3a 2a =0a a =2(a a )n+2n+1n n+2n+1n+1n -+--⇒a =3[1222]=3=3(21)n 2n-2n 1+++…+·-21211n ----⇒aq 2=4a +②解法二 按等差数列设三个数,设原数列为b -d ,b -4,b +d由已知:三个数成等比数列 即:(b -4)2=(b -d)(b +d)b -d ,b ,b +d +32成等比数列 即b 2=(b -d)(b +d +32)解法三 任意设三个未知数,设原数列为a 1,a 2,a 3 由已知:a 1,a 2,a 3成等比数列a 1,a 2+4,a 3成等差数列 得:2(a 2+4)=a 1+a 3②a 1,a 2+4,a 3+32成等比数列 得:(a 2+4)2=a 1(a 3+32)③①,②两式联立解得:或-∴这三数为:,,或,,.a =2q =3a =29q =52618⎧⎨⎩⎧⎨⎪⎩⎪-29109509⇒8b d =162-①⇒32b d 32d =02--②①、②两式联立,解得:或∴三数为,,或,,.b =269d =83b =10d =82618⎧⎨⎪⎪⎩⎪⎪⎧⎨⎩-29109509得:①a =a a 2213说明 将三个成等差数列的数设为a -d ,a ,a +d ;将三个成简化计算过程的作用.9.证 ∵S n =a 1+a 1q +a 1q 2+…+a 1q n-1 S 2n =S n +(a 1q n +a 1q n+1+…+a 1q 2n-1) =S n +q n (a 1+a 1q +…+a 1q n-1) =S n +q n S n =S n (1+q n )类似地,可得S 3n =S n (1+q n +q 2n )说明 本题直接运用前n 项和公式去解,也很容易.上边的解法,灵活地处理了S 2n 、S 3n 与S n 的关系.介绍它的用意在于让读者体会利用结合律、提取公因式等方法将某些解析式变形经常是解决数学问题的关键,并且变得好,则解法巧. 10.数列{a n }是等比数列,其中S n =48,S 2n =60,求S 3n .解法一 利用等比数列的前n 项和公式若q=1,则S n =na 1,即na 1=48,2na 1=96≠60,所以q ≠1①、②、③式联立,解得:或a =29a =109a =509a =2a =6a =18123123-⎧⎨⎪⎪⎪⎩⎪⎪⎪⎧⎨⎪⎩⎪等比数列的数设为,,或,,是一种常用技巧,可起到a aq aq (a aq)2aq++.S S =S (S S )n 22n 2n 2n 3n ∴++++S +S =S [S (1q )]=S (22q q )n 22n 2n 2n n 2n2n 2nS (S S )=S [S (1q )S (1q q )]=S (22q q )S S =S (S S )n 2n 3n n n n n n 2n n 2n 2nn 22n 2n 2n 3n +++++++∴++∵S =a (1q )1n 1n --q=S n (1+q n +q 2n )解法二 利用等比数列的性质:S n ,S 2n -S n ,S 3n -S 2n 仍成等比数列 ∴ (60-48)2=48·(S 3n -60) ∴ S 3n =63. 解法三 取特殊值法取n=1,则S 1=a 1=48,S 2n =S 2=a 1+a 2=60 ∴ a 2=12∵ {a n }为等比数列S 3n =S 3=a 1+a 2+a 3=6311.已知数列{a n }中,S n 是它的前n 项和,并且S n+1=4a n +2(n ∈N*),a 1=1(1)设b n =a n+1-2a n (n ∈N*),求证:数列{b n }是等比数列;解 (1)∵ S n+1=4a n +2 S n+2=4a n+1+2S =a (1)a (1)(1+)1q 2n 11--=--=+q qq q S q nn n n n 211()∴q =14S =a (1q )1qn 3n 13n --=-++-a q q q qn n n 12111()()∴S =48(1+116)=633n +14∴ q =a a a =3213=14(2)c =a 2(n N*){c }n nnn 设∈,求证:数列是等差数列.两式相减,得S n+2-S n+1=4a n+1=4a n (n ∈N*) 即:a n+2=4a n+1-4a n变形,得a n+2-2a n+1=2(a n+1-2a n ) ∵ b n =a n+1-2a n (n ∈N*) ∴ b n+1=2b n由此可知,数列{b n }是公比为2的等比数列. 由S 2=a 1+a 2=4a 1+2,a 1=1 可得a 2=5,b 1=a 2-2a 1=3 ∴ b n =3·2n-1将b n =3·2n-1代入,得说明 利用题设的已知条件,通过合理的转换,将非等差、非等比数列转化为等差数列或等比数列来解决(2) c =a 2(n N*)c =b 2n nnn+1n n+1∵∈∴-=-=-++++c a a a a n n n n n n nn 11112222c c =34(n N*)n+1n -∈由此可知,数列是公差的等差数列,它的首项,故+-·即:{c }d =34c =a 2c =(n 1)C =34n 11n n =-12123414n。
1.若数列{}{},n n a b 、的通项公式分别是a a n n ⋅-=+2007)1(,nb n n 2008)1(2+-+=,且n n b a <,对任意n N *∈恒成立,则常数a 的取值范围是( )A.[)1,2-B. [)+∞-,2C. []1,2-D. ()1,∞-2.已知等差数列{a n }的前n 项和是n a n S n 22182--=,则使2006-<n a 成立的最小正整数n 为( )A.2009B.2010C.2011D.20123.在数列{}n a 中,233,1411+==+n n a a a ,则使02<+n n a a 成立的n 值是( )A.21B.22C.23D.244.已知等比数列{}n a 满足0n a >,1,2,n =,且25252(3)n n a a n -⋅=≥,且当1n ≥时, 2123221log log log n a a a -+++=( ) A .(21)n n - B .2(1)n + C .2n D .2(1)n -5.已知{}n a 为等差数列,1a +3a +5a =105,246a a a ++=99,以n S 表示{}n a 的前n 项和,则使得n S 达到最大值的n 是A .21B .20C .19D .186.已知数列{}n a 的通项公式是32122-+-=n n a n ,其前n 项和是n S ,则对任意的m n >(其中*∈N n m ,*),m n S S -的最大值是 .7.设等差数列{}n a 的前n 项和为n S ,若972S =,则249a a a ++= 。
8.设等比数列{}n a 的公比12q =,前n 项和为n S ,则44S a = . 9.已知数列{}n a 满足:1a =m (m 为正整数),1,231,n n n n n a a a a a +⎧⎪=⎨⎪+⎩当为偶数时,当为奇数时。
1、数列{an}的前n项和记为Sn,a1=t,点在直线y=2x+1上,。
(1)若数列{an}是等比数列,求实数t的值;
(2)设bn=nan,在(1)的条件下,求数列{bn}的前n项和Tn;
(3)设各项均不为0的数列{cn}中,所有满足的整数的个数称为这个数列的”,令(),在(2)的条件下,求数列的“积异号数”。
解:(1)由题意,当时,有
两式相减,得即:()
当时,是等比数列,要使时是等比数列,
则只需,从而得出
(2)由(1)得,等比数列的首项为,公比,
①
可得②
得
(3)由(2)知,
,,
,数列递增
由,得当时,数列的“积异号数”为1。
2、已知数列{an}的前n项和为Sn,满足.
(Ⅰ)求数列{an}的通项公式an;
(Ⅱ)令,且数列{bn}的前n项和为Tn满足,求n的最小值;
(Ⅲ)若正整数m,r,k成等差数列,且,试探究:am,ar,ak能否成等比数列证明你的结论.
解:(Ⅰ)∵,
由,∴,
又,∴数列是以为首项,为公比的等比数列,
∴,即;
(Ⅱ),?
∴?
,?
∴,即n的最小值为5;
(Ⅲ)∵,
若,,成等比数列,?
即
由已知条件得,∴,
∴,
∴上式可化为,
∵,∴,
∴,
∴为奇数,为偶数,
因此不可能成立,?
∴,,不可能成等比数列.
3、设等差数列{an}的前n项和为Sn,公比是正数的等比数列{bn}的前n项和为Tn,已知a1=1,b1=3,a2+b2=8,T3-S3=15?
(1)求{an},{bn}的通项公式。
?
(2)若数列{cn}满足求数列{cn}
的前n项和Wn。
设等差数列{an}的公差为d,等比数列{bn}的公比为q
∵a1=1,b1=3由a2+b2=8,得1+d+3q=8 ①
由T3-S3=15得3(q2+q+1)-(3+3d)=15 ②
化简①②∴消去d得q2+4q-12=0
∴q=2或q=-6
∵q>0∴q=2则d=1∴an=n bn=3·2n-1?
⑵∵an=n∴①
当时,…②
由①-②得∴cn=3n+3?
又由⑴得c1=7∴?
∴{an}的前n项和…?
4、已知各项均不相等的等差数列的前四项和是a1,a7。
?
(1)求数列的通项公式;?
(2)设Tn为数列的前n项和,若对一切恒成立,求实数的最大值。
解:(1)设公差为d ,由已知得解得d=1或d=0(舍去)?。
(2)
,即
又。