含有耦合电路分析经典篇
- 格式:ppt
- 大小:2.13 MB
- 文档页数:9
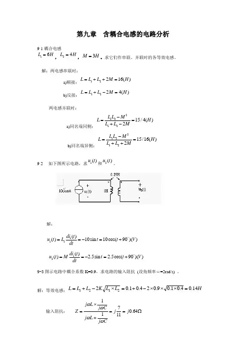
第九章 含耦合电感的电路分析9-1耦合电感16L H =,24L H =,3M H =。
求它们作串联、并联时的各等效电感。
解:两电感串联时:a)顺接:12216()L L L M H =++=b)反接:1224()L L L M H =+-= 两电感并联时: a)同名端同侧:2121215/4()2L L M L H L L M -==+-b)同名端异侧:2121215/16()2L L M L H L L M -==++9-2 如下图所示电路,求1()u t 和2()u t 。
解: 111()()10sin 10cos(90)()di t u t L t t V dt ︒==-=+9-3图示电路中耦合系数K=0.9,求电路的输入阻抗 (设角频率ω=2rad/s) 。
解:等效电感:H L L K L L L 14.04.01.09.024.01.022121=⨯⨯⨯-+=⨯-+=输入阻抗: 12()() 2.5sin 2.5cos(90)()di t u t M t t V dt︒==-=+Ω==+⨯=64.011711j j C j L j C j L j Z ωωωω9-4 电路如下图所示。
欲使原边等效电路的引入阻抗为Ω-1010j ,求所需的x Z ',并求负载获得的功率。
已知V U S 20=。
解:原边等效电路如右图示,引入阻抗为: 104)(2221j Z Z W Z x +=='ω Ω-='10101j Z Θ 1041010j Z j x +=Ω-∴即: W U P S 101010102=•⎪⎭⎫ ⎝⎛+=9-5求图示电路的戴维南等效电路。
已知ω1L =ω2L =10Ω,ωM =5Ω,1R =2R =6Ω,V 。
9-6图示电路,已知 =2sin(10)t A ,1L =0.3H ,2L =0.5H ,M =0.1H ,求电压。
Ω-=--=∴98.02.01010104j j j Z x9-7下图所示电路,10/rad s ω=。
第十章 含有耦合电感的电路重点:1. 互感的概念及意义2. 具有耦合电感的正弦交流电路计算 3. 理想变压器的变量关系10.1 互感10.1.1 有关物理知识的复习1.电感与楞次定理对于单个无限长(磁通均匀)密绕(各匝均与相同磁通交链)线圈来说,线圈的磁通仅与其本身交链,与电流的方向关系满足右手螺旋定则。
如果线圈周围的媒质为非铁磁物质,磁链(= 线圈匝数⨯磁通)与电流的大小关系为线性关系,在理想情况下(线圈无损耗R 、无电场C 作用时),可以将这种线圈用电感元件模型来描述:Li =ψ。
此时的L 也称为“自感”。
2.楞次定理当电感中的电流随着时间变化时,在电感两端会产生感应电压。
自感电压的参考方向选定为与电流方向关联,因此,其方向也就与磁通方向满足右手螺旋定则,其大小为:dt diL dt d u =ψ=10.1.2 互感的引入互感的物理意义1111i L =ψ111i 变化时dtdiL dt d u 111111=ψ=1111i L =ψ (111Φ=N ) 222222222i L N =Φ=ψ i 变化时dtdi L dt d u 222222=ψ= (212Φ=N ) 1221212112i M N =Φ=ψ 21ψ12121i M =ψ 变化时dt di M dt d u 2121212=ψ=1i 变化时dt di dt d u 12121=圈ΦΦΦ图10-1 密绕线圈的磁通与电流dt di M dt d u dt diM dt d u 21212121212121=ψ==ψ=10.1.3 互感1.定义由线圈一中的电流1i 在线圈二中引起的磁链21ψ之间的关系呈线性时,它们之间的比值为常数,定义它为互感12121i M ψ=;同理由线圈二中的电流2i 在线圈一中引起的磁链12ψ之间的关系呈线性时,它们之间的比值为常数,定义它为互感21212i M ψ=。
2.符号及单位符号—M ,单位—亨利H 。
§10.1 互感耦合电感元件属于多端元件,在实际电路中,如收音机、电视机中的中周线圈、振荡线圈,整流电源里使用的变压器等都是耦合电感元件,熟悉这类多端元件的特性,掌握包含这类多端元件的电路问题的分析方法是非常必要的。
1. 互感两个靠得很近的电感线圈之间有磁的耦合,如图10.1所示,当线圈1中通电流 i 1 时,不仅在线圈1中产生磁通f 11,同时,有部分磁通 f 21 穿过临近线圈2,同理,若在线圈2中通电流i 2 时,不仅在线圈2中产生磁通f 22,同时,有部分磁通 f 12 穿过线圈1,f 12和f 21称为互感磁通。
定义互磁链:图 10.1ψ12 = N 1φ12 ψ21 = N 2φ21当周围空间是各向同性的线性磁介质时,磁通链与产生它的施感电流成正比,即有自感磁通链:互感磁通链:上式中 M 12 和 M 21 称为互感系数,单位为(H )。
当两个线圈都有电流时,每一线圈的磁链为自磁链与互磁链的代数和:需要指出的是:1)M 值与线圈的形状、几何位置、空间媒质有关,与线圈中的电流无关,因此,满足M12 =M21 =M2)自感系数L 总为正值,互感系数 M 值有正有负。
正值表示自感磁链与互感磁链方向一致,互感起增助作用,负值表示自感磁链与互感磁链方向相反,互感起削弱作用。
2. 耦合因数工程上用耦合因数k 来定量的描述两个耦合线圈的耦合紧密程度,定义一般有:当k =1 称全耦合,没有漏磁,满足f11 = f21,f22 = f12。
耦合因数k 与线圈的结构、相互几何位置、空间磁介质有关。
3. 耦合电感上的电压、电流关系当电流为时变电流时,磁通也将随时间变化,从而在线圈两端产生感应电压。
根据电磁感应定律和楞次定律得每个线圈两端的电压为:即线圈两端的电压均包含自感电压和互感电压。
在正弦交流电路中,其相量形式的方程为注意:当两线圈的自感磁链和互感磁链方向一致时,称为互感的“增助”作用,互感电压取正;否则取负。