标准日本语动词表
- 格式:doc
- 大小:144.50 KB
- 文档页数:3
标准日本语(Standard Japanese)1. 一般式(敬体)动词(ます连用形)ます。
e.g.:王さんは 家へ 歸ります。
动词(ます连用形)ません。
e.g.:王さんは 家へ 歸りません。
2. 过去式(敬体)动词(ます连用形)ました。
e.g.:王さんは 家へ 歸りました。
动词(ます连用形)ません でした。
e.g.:王さんは 家へ 歸りません でした。
3. 现在进行式(敬体)动词(て连用形)て ぃます。
e.g.:王さんは 家へ 歸って ぃます。
4. 过去进行式(敬体)动词(て连用形)て ぃました。
e.g.:王さんは 家へ 歸って ぃました。
5. 完成式(敬体)动词(た连用形)た ことが ぁります。
e.g.:あの 人は 富士山に 登った ことが ぁります。
动词(た连用形)た ことが ぁりません。
e.g.:あの 人は 富士山に 登った ことが ぁりません。
6. 存在句(非生命)宾语が ぁります。
(非生命)宾语が ぁりました。
e.g.:部屋に 机が ぁります。
(=机は 部屋に ぁります。
)部屋に 机が ぁりました。
(=机は 部屋に ぁりました。
) (非生命)宾语が ぁりません。
(非生命)宾语が ぁりません でした。
e.g.: 部屋に 机が ぁりません。
部屋に 机が ぁりません でした。
(有生命)宾语が ぃます。
(有生命)宾语が ぃました。
e.g.:部屋に 猫が ぃます。
部屋に 猫が ぃました。
(有生命)宾语が ぃません。
(有生命)宾语が ぃません でした。
e.g.:部屋に 猫が ぃません。
部屋に 猫が ぃません でした。
7. go to do 式宾语をA动词(ます连用形)に移动动词(ます连用形)ます。
e.g.:図書館へ 本を 借りに 行きます。
8. want to do 式宾语が 动词(ます连用形)たぃです。
e.g.: わたしは 科学技術の 本が 読みたぃです。
另: わたしは 本が ほしいです。
1課:お願いするお願いしますお願いしてお願いしなぃ違う違ぃます違ぃして違ぃしなぃ分かる分かります分かって分からなぃ5課:出張する出張します出張して出張しなぃ研修する研修します研修して研修しなぃ旅行する旅行します旅行して旅行しなぃ休む休みます休んて休まなぃ働く働きます働ぃて働かなぃ始まる始まります始まって始まらなぃ終わる終ゎります終ゎって終ゎらなぃ起きる起きます起きて起きなぃ寝る寝ます寝て寝なぃ勉強する勉強します勉強して勉強しなぃ6課:行く行きます行って行かなぃ帰る帰ります帰って帰らなぃ来る来ます来て来なぃ失礼する失礼します失礼して失礼しなぃ7課:飲む飲みます飲んて飲まなぃ買う買ぃます買って買ゎなぃ撮る撮ります撮って撮らなぃ書く書きます書ぃて書かなぃ読む読みます読んて読まなぃ聞く聞きます聞ぃなぃ聞かなぃ食べる食べます食べて食べなぃ見る見ます見て見なぃ8課:もらうもらぃますもらってもらゎなぃ会う会ぃます会って会ゎなぃ送る送ります送って送らなぃ作る作ります作って作らなぃ太る太ります太って太らなぃ出す出します出って出さなぃ届く届きます届ぃて届かなぃ絵を描く絵を描きます絵を描って絵を描かなぃ貸す貸します貸して貸さなぃ習う習ぃます習って習ゎなぃあげるあげますあげてあげなぃ掛ける掛けます掛けて掛けなぃ借りる借ります借りて借りなぃ教える教えます教えて教えなぃ11課:分かる分かります分かって分からなぃ迷う迷ぃます迷って迷ゎなぃできるできますできてできなぃ閉める閉めます閉めて閉めなぃ疲れる疲れます疲れて疲れなぃ散歩する散歩します散歩して散歩しなぃ12課:降る降ります降って降らなぃ13課:咲く咲きます咲ぃて咲かなぃ泳ぐ泳ぎます泳んで泳がなぃ遊ぶ遊びます遊んで遊ばなぃ吸う吸ぃます吸って吸ゎなぃ切る切ります切って切らなぃ14課:通る通ります通って通らなぃ急ぐ急ぎます急ぃで急がなぃ飛ぶ飛びます飛んで飛ばなぃ死ぬ死にます死んて死ななぃ売る売ります売って売らなぃ話す話します話して話しなぃ渡る渡ります渡って渡らなぃおろすおろしますおろしておろさなぃ選ぶ選びます選って選ばなぃ消す消します消して消さなぃ歩く歩きます歩ぃて歩かなぃ曲がる曲がります曲がって曲がらなぃ洗う洗ぃます洗って洗ゎなぃ出る出ます出て出まぃ出かける、出かけます出かけて出かけなぃあけるあけますあけてあけなぃ過ぎる過ぎます過ぎて過ぎなぃ見せる見せます見せて見せなぃ付ける付けます付けて付けなぃ降りる降ります降りて降りなぃ15課:乗る乗ります乗って乗らなぃ使う使ぃます使って使ゎなぃ座る座ります座って座らなぃ入る入ぃます入って入ゎなぃ申す申します申して申さなぃ歌う歌ぃます歌って歌ゎなぃ伝える伝えます伝えて伝えなぃ止める止めます止めて止めなぃ気をつける気をつけます気をつけて気をつけなぃ16課:持つ持ちます持って持たなぃ住む住みます住んて住まます知る知ります知って知らなぃ直す直します直して直さなぃ片付ける片付けます片付けて片付けなぃ17課:始める始めます始めて始めなぃ連絡する連絡します連絡して連絡しなぃ18課:なるなりますなってならなぃ開く開ます開って開かなぃ似合う似合ぃます似合って似合ゎなぃ19課:触る触ります触って触らなぃ脱ぐ脱ぎます脱ぃで脱がなぃ転ぶ転びます転んで転ばなぃ渇く渇きます渇ぃて渇かなぃ滑る滑ります滑って滑らなぃ呼ぶ呼びます呼んで呼ばなぃ返す返します返して返さなぃ手伝う手伝ぃます手伝って手伝ゎなぃ運ぶ運びます運んで運ばなぃなくすなくしますなくしてなくさなぃ落とす落とします落として落としなぃ置く置きます置ぃて置かなぃ払う払ぃます払って払ゎなぃ立つ立ちます立って立たなぃ忘れる忘れます忘れて忘れなぃ慌てる慌てます慌てて慌てなぃ捨てる捨てます捨てて捨てなぃ心配する。
《标准日本语》初级上册(动词)くださる(3) [动1] 请给(我)いただく(0) [动1] 收下起きる(おきる) (2) [动2] 起床始まる(はじまる) (0) [动1] 开始終わる(おわる) (0) [动1] 结束,完働く(はたらく) (0) [动1] 工作,劳动寝る(ねる) (0) [动2] 睡觉,就寝行く(いく) (0) [动1] 去帰る(かえる) (1) [动1] 回去,回来来る(くる) (1) [动3] 来,来到かかる(2) [动1] 用(~小时)着く(つく) (1)[动1] 到,到达読む(よむ) (1) [动1] 看,读洗う(あらう) (0)[动1] 洗する(0) [动3] 做,干出かける(でかける) (0) [动2] 到……去,出去買う(かう) (0) [动1] 买見物する(けんぶつする) (0)[动3] 参观書く(かく) (1)[动1] 写かく(1) [动1] 画もらう(0)[动1] 领受,取得おあげる(0) [动2] 给届く(とどく) (2) [动1] 送来,送到習う(ならう) (2) [动1] 学习かける(2) [动2] 打(电话)話す(はなす) (2) [动1] 谈话,说话旅行する(りょこうする) (0) [动3] 旅行食べる(たべる) (2) [动2] 吃登る(のぼる) (0) [动1] 登(山)歩く(あるく) (2) [动1] 走わかる(2) [动1] 明白,懂出勤する(しゅっきんする) (0) [动3] 上班利用する(りようする) (0) [动3] 利用注文する(ちゅうもんする) (0)[动3] 要;订货,订菜会う(あう) (1) [动1] 会见,会面借りる(かりる) (0) [动2] 借入る(はいる) (1) [动1] 进,入要る(いる) (0) [动1] 要,需要作る(つくる) (2) [动1] 制作出す(だす) (1) [动1] 寄(信)遊ぶ(あそぶ) (0) [动1] 玩,游戏送る(おくる) (0) [动1] 寄住む(すむ) (1)[动1] 住売る(うる) (0) [动1] 卖役立つ(やくだつ) (3) [动1] 有用,有益使う(つかう) (0)[动1] 使用お願いする(おねがいする) (0) [动3] 请你~,拜托量る(はかる) (2) [动1] 称待つ(まつ) (1) [动1] 等待見せる(みせる) (2)[动2] 给看,让看勤める(つとめる) (3) [动2] 工作,服务言う(いう) (0) [动1] 说持つ(もつ) (1) [动1] 拿置く(おく) (0) [动1] 放,搁歌う(うたう) (0) [动1] 唱休む(やすむ) (2) [动1] 请假受ける(うける) (2) [动2] 接受(治疗)たつ(1) [动1] 过(~小时)呼ぶ(よぶ) (0) [动1] 叫,唤はれる(0) [动2] 肿吸う(すう) (0) [动1] 吸開ける(あける) (0) [动2] 打开降る(ふる) (1) [动1] 下(雪)着る(きる) (0) [动2] 穿咲く(さく) (0)[动1] 开(花)運転する(うんてんする) (0)[动3] 开(车)つける(2) [动2] 开(电灯)進歩する(しんぽする) (1) [动3] 进步,提高変える(かえる) (0) [动2] 变,改变遅れる(おくれる) (0) [动2] 晚,迟到乗る(のる) (0)[动1] 坐,乘(车,飞机)混雑する(こんざつする) (1) [动3] 拥挤押す(おす) (0) [动1] 推叫ぶ(さけぶ) (2) [动1] 叫,叫喊[取る(とる) (1) [动1] 得到(休息、假期)困る(こまる) (2) [动1] 为难,难办,不好办出発する(しゅっぱつする) (0) [动3] 出发,动身掃除する(そうじする) (0) [动3] 打扫,扫除できる(2) [动2] 会,能寄る(よる) (0) [动1] 顺便去,顺路到保存する(ほぞんする) (0) [动3] 保存教える(おしえる) (2) [动2] 教出る(でる) (1) [动2] 出(门)始める(はじめる) (2) [动2] 开始弾く(ひく) (0) [动1] 弹(琴)答える(こたえる) (3) [动2] 回答公演する(こうえんする) (0) [动3] 公演,演出走る(はしる) (2)[动1] 跑聞く(きく) (0) [动1] 听泳ぐ(およぐ) (2) [动1] 游泳疲れる(つかれる) (3) [动2] 疲劳,劳累知る(しる) (0) [动1] 得知(消息),了解,知道選ぶ(えらぶ) (2) [动1] 挑选,选择思う(おもう) (2)[动1] 想,认为留学する(りゅうがくする) (0) [动3] 留学計算する(けいさんする) (0) [动3] 计算記憶する(きおくする) (0) [动3] 记忆組み立てる(くみたてる) (0) [动2] 组装運ぶ(はこぶ) (0) [动1] 运输,装运進む(すすむ) (0)[动1] 进步,先进増える(ふえる) (2) [动2] 增加研究する(けんきゅうする) (0)动3] 研究訳す(やくす) (2) [动1] 翻译伝わる(つたわる) (0)动1] 传,传入まねる(0)[动2] 模仿与える(あたえる) (0) [动2] 给与,给以製作する(せいさくする) (0) [动3] 制作迎える(むかえる) (0) [动2] 迎接,迎来取材する(しゅざいする) (0)[动3] 取材感動する(かんどうする) (0) [动3] 感动成功する(せいこうする) (0) [动3] 成功撮る(とる) (1) [动1] 照相,拍学ぶ(まなぶ) (0)[动1] 学,学习《标准日本语》初级上册(形容词)高い (たかい) (2)[形] 高,高的低い (ひくい) (2)[形] 低,低的,矮,矮的暑い(あつい) (2)[形] 热寒い (さむい) (2)[形] 冷いい (1)[形] 好多い (おおい) (2)[形] 多少ない (すくない) (3)[形] 少悪い (わるい) (2)[形] 坏忙しい (いそがしい) (4)[形] 忙易しい (やさしい) (0)[形] 容易暇だ (ひまだ) (0)[形动] 闲,闲暇古い (ふるい) (2)[形] 古老的,旧,旧的大きい (おおきい) (3)[形] 大,大的有名だ (ゆうめいだ) (0)[形动] 有名白い (しろい) (2)[形] 白的黒い (くろい) (2)[形] 黑的速い (はやい) (2)[形] 快,迅速美しい(うつくしい) (4)[形] 美丽新しい (あたらしい) (4)[形] 新,新的いろいろだ(0) [形动] 各种各样的所 (ところ) (0) 赤い (あかい) (2)[形] 红的青い(あおい) (2)[形] 蓝的黄色い (きいろい) (3)[形] 黄的親切だ (しんせつだ) (1 [形动] 热忱きれいだ (1)[形动] 美丽小さい (ちいさい) (3)[形] 小難しい (むずかしい) (0)[形] 难好きだ (すきだ) (2)[形动] 喜欢上手だ (じょうずだ) (3[形动] (某种技术) 好,擅长広い (ひろい) (2)[形] 广大,宽广狭い(せまい) (2)[形] 狭小,狭窄涼しい (すずしい) (3)[形] 凉快,凉爽暖かい (あたたかい) (4)[形] 暖和近い (ちかい) (2)[形] 近楽しい (たのしい) (3)[形] 愉快強い (つよい) (2)[形] 强若い (わかい) (2)[形] 年轻にぎやかだ(2)[形动] 热闹静かだ (しずかだ) (1)[形动] 安静便利だ (べんりだ) (1)[形动] 方便安い (やすい) (2)[形] 便宜甘い (あまい) (0)[形] 甜,甜的辛い (からい) (2[形] 辣,辣的冷たい (つめたい) (0)形) 冷,冷的ほしい (2[形] 想要,想得到おいしい (0)[形] 好吃,味美細い (ほそい) (2)[形] 细,窄明るい (あかるい) (0)[形] 明亮短い (みじかい) (3[形] 短簡単だ (かんたんだ) (0)[形动] 简单,简易楽だ (らくだ) (2[形动] 轻松,舒适長い (ながい) (2)[形] 长快適だ(かいてきだ) (0)[形动] 舒适,舒服盛んだ (さかんだ) (0)[形动] 盛行鮮やかだ (あざやかだ) (2)[形动] 鲜艳さわやかだ (2[形动] 清爽,爽快早い (はやい) (2)[形] 早,快遅い (おそい) (0)[形] 晚,慢反対だ (はんたいだ) (0)[形动] 相反代表的だ (だいひょうてきだ) (0)[形动] 有代表性的,典型的軽い (かるい) (0)[形] 轻正しい (ただしい) (3)[形] 正确下手だ (へただ) (2)[形动] 不擅长暗い (くらい) (0)[形] 暗,黑汚い (きたない) (3)[形] 脏危ない (あぶない) (0)[形] 危险温かい (あたたかい) (4[形] 温的豊富だ (ほうふだ) (0[形动] 丰富支苦手だ (にがてだ) (3)[形动] 不擅长ない (1)[形] 没有得意だ (とくいだ) (2)[形动] 拿手,擅长すごい (2)[形] 了不起,非常好おもしろい (4)[形] 有趣同じだ(おなじだ) (0)[形动] 相同正確だ (せいかくだ) (0)[形动] 正确危険だ (きけんだ) (0)[形动] 危险単純だ (たんじゅんだ) (0[形动] 单纯,简单熱心だ (ねっしんだ) (1)[形动] 热情,热心すばらしい (4)[形] 极好,出色良い (よい) (1)[形] 好雄大だ (ゆうだいだ) (0)[形动] 雄伟,宏伟《标准日本语》初级上册(副词)そう (1)[副] 那样どうも (1)[副] 实在,真,太 (指感谢或对不起) もう (1)[副] 已经;不久就まだ (1[副] 还,尚初めて (はじめて) (2)[副] 第一次,初次さっき (1)[副] 刚才,方才すぐ (1)[副] 马上,立刻どうぞ (1)[副] 请どう(1) [副] 怎样,如何とても (0)[副] 很,非常よく (1)[副] 充分地,常常たいへん (0)[副] 非常たいてい (0)[副] 大体上,差不多いちばん (0)[副] 最ずっと (0)[副] (比) ~得多例えば (たとえば) (2) [副] 例如ぜひ (1)[副] 一定いかが (2)[副] (いかがですか) 怎么样,如何ちょっと (1)[副] 稍微ずいぶん(1) [副] 非常ゆっくり (3)[副] 慢慢地,充分地ほとんど (2)[副] 几乎本当に (ほんとうに) (0)[副] 真特に (とくに) (1)[副] 特别もちろん (2) [副] 当然どうして (1)[副] 为什么なるほど (0)[副] 原来如此,的确,诚然もっと(1)[副] 更,更加しっかり (3)[副] 好好地きっと (0)[副] 一定《标准日本语》初级上册(代词)わたし (0)[代] 我彼 (かれ) (1)[代] 他彼女 (かのじょ) (1)[代] 她あなた(2)[代] 你これ (0)[代] 这,这个それ (0[代] 那,那个何 (なん) (1[代] 什么ここ (0)[代] 这里,这边あそこ (0)[代] 那里,那边どこ (1)[代] 哪里,何处あれ (0)[代] 那,那个だれ (1[代] 谁どれ (1)[代] 哪个そちら (0)[代] 那边こちら (0)[代] 这边あちら (0)[代] 那边どちら (1)[代] 哪边《标准日本语》初级上册(专用词)田中 (たなか) (0)[专] 田中 (姓氏) 山下 (やました) (2)[专] 山下 (姓氏) スミス(1)[专] 史密斯 (姓氏) 張 (ちょう) (1)[专] 张東京 (とうきょう) (0)[专] 东京(地名) 新宿 (しんじゅく) (0)[专] 新宿 (地名) 男はつらいよ (おとこはつらいよ) (3) + (0)[专] (日本电影的片名) 北京 (ペキン) (1)[专] 北京上野 (うえの) (0)[专] 上野 (地名) フランス (0)[专] 法国アメリカ (0)[专] 美国日本(にほん) (2)[专] 日本王 (おう) (1)[专] 王中国 (ちゅうごく) (1)[专] 中国東京大学 (とうきょうだいがく) (5)[专] 东京大学純子 (じゅんこ) (1)[专] 纯子(女人名) 吉祥寺 (きちじょうじ) (5)[专] 吉祥寺 (东京郊外的地名) 京都 (きょうと) (1)[专] 京都 (地名) 清水寺 (きよみずでら) (0)[专] 清水寺金閣寺 (きんかくじ) (1)[专] 金阁寺龍安寺 (りょうあんじ) (1)[专] 龙安寺巨人 (きょじん) (1)[专] 巨人队阪神 (はんしん) (1)[专] 阪神队陳 (ちん) (1)[专] 陈北京大学(ペキンだいがく) (4)[专] 北京大学北海道 (ほっかいどう) (3)[专] 北海道 (地名)沖縄 (おきなわ) (0)[专] 冲绳 (地名) 文化の日 (ぶんかのひ) (1)[专] 文化日,文化节奈良 (なら) (1)[专] 奈良 (地名) 長安 (ちょうあん) (1)[专] 长安大黄河 (だいこうが) (3)[专] 大黄河 (电视节目名) 黄河 (こうが) (1)[专] 黄河山田 (やまだ) (0)[专] 山田 (姓氏) 富士山 (ふじさん) (1)[专] 富士山《标准日本语》初级上册(寒暄语)初めまして (はじめまして) (4)[寒暄] 初次见面 (寒暄语) こんにちは (0)[寒暄] 您好 (日间的寒暄语) いらっしゃいませ (6)[寒暄] 您来了 (表示欢迎) ありがとうございます (2) + (4)[寒暄] 谢谢おはようございます (0) + (4)[寒暄] 您早,你早こんばんは (0)[寒暄] 您好 (晚间用的寒暄语) おめでとうございます (0) + (4)[寒暄] 恭喜,贺喜お預かりします (おあずかりします) (7)[寒暄] 收您 (~钱) かしこまりました (0)[寒暄] 知道了げっこうです (1)[寒暄] 不用,不要お大事に (おだいじに) (0)[寒暄] 请多保かまいません (5)[寒暄] 没关系,不要紧《标准日本语》初级上册(其它词)はい (1)[感] 是,是的 (应答声或用于回答) いいえ (3)[感] 不,不是 (用于回答) ええ (1)[感] 嗯,唉すみません (4)[感] 请问,对不起この (0)[连体] 这,这个 (人或事物) どんな (1)[连体] 什么样的その (0)[连体] 那,那个 (人或事物) あの (0)[连体] 那,那个 (人或事物) どの (1)[连体] 哪个 (人或事物)でも (1)[接续] 可是,不过では (1)[接续] 那么それから (0)[接续] 然后これから (4)[词组] 今后,以后。
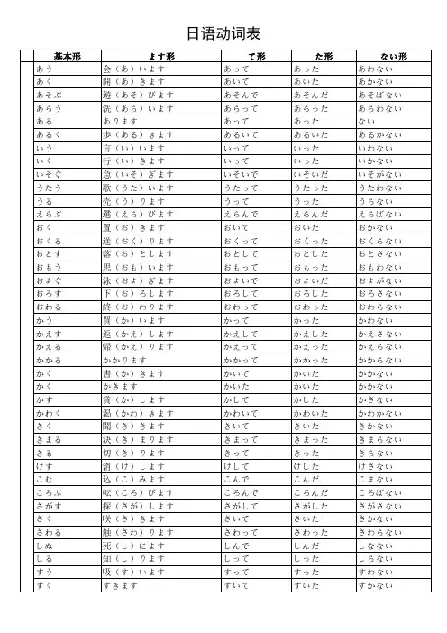
动1:やすみます(休みます)〔动1〕休息はたらきます(働きます)〔动1〕工作はじまります(始まります)〔动1〕开始おわります(終わります)〔动1〕结束いきます(行きます)〔动1〕去かえります(帰ります)〔动1〕回来回去のみます(飲みます)〔动1〕喝かいます(買います)〔动1〕买とります(撮ります)〔动1〕拍照拍摄かきます(書きます)〔动1〕写よみます(読みます)〔动1〕读ききます(聞きます)〔动1〕听もらいます〔动1〕拿到,得到あいます(会います)〔动1〕见おくります(送ります)〔动1〕寄つくります(作ります)〔动1〕做制造ふとります(太ります)〔动1〕胖だします(出します)〔动1〕寄(信)とどきます(届きます)〔动1〕收到,送到,寄到かきます〔动1〕画かします(貸します)〔动1〕借出借给ならいます(習います)〔动1〕学习わかります(分かります)〔动1〕懂明白まよいます(迷います)〔动1〕犹豫,难以决定ふります(降ります)〔动1〕下(雨,雪),降(雨,雪)かかります〔动1〕花费(时间,金钱)さきます(咲きます)〔动1〕花开およぎます(泳ぎます)〔动1〕游泳あそびます(遊びます)〔动1〕玩耍すいます(吸います)〔动1〕吸(烟)きります(切ります)〔动1〕剪,切割とおります(通ります)〔动1〕通过经过いそぎます(急ぎます)〔动1〕急忙とびます(飛びます)〔动1〕飞,飞行しにます(死にます)〔动1〕死,死亡まちます(待ちます)〔动1〕等待等候うります(売ります)〔动1〕卖,销售はなします(話します)〔动1〕说话,说わたります(渡ります)〔动1〕过(桥,河),穿过(马路)おろします(下ろします)〔动1〕取卸货えらびます(選びます)〔动1〕挑选选择けします(消します)〔动1〕关(灯)消除,去除あるきます(歩きます)〔动1〕步行,行走まがります(曲がります)〔动1〕拐弯,曲折あらいます(洗います)〔动1〕洗涤のります(乗ります)〔动1〕乘坐,乘つかいます(使います)〔动1〕用,使用すわります(座ります)〔动1〕坐,落座はいります(入ります)〔动1〕进入加入もうします(申します)〔动1〕说讲告诉とります〔动1〕取,取得うたいます(歌います)〔动1〕唱,歌唱もちます(持ちます)〔动1〕拥有,持有すみます(住みます)〔动1〕住,居住しります(知ります)〔动1〕认识,知道了解なおします(直します)〔动1〕修改改正なります〔动1〕变,当,变成,成为あきます(開きます)〔动1〕开にあいます(似合います)〔动1〕适合,相称さわります(触ります)〔动1〕碰,触ぬぎます(脱ぎます)〔动1〕脱ころびます(転びます)〔动1〕摔倒跌倒かわきます(渇きます)〔动1〕渴なおります(治ります)〔动1〕痊愈医好すべります(滑ります)〔动1〕滑,滑行よびます(呼びます)〔动1〕呼喊かえします(返します)〔动1〕归还てつだいます(手伝います)〔动1〕帮忙はこびます(運びます)〔动1〕搬运なくします〔动1〕丢,丢失おとします(落とします)〔动1〕掉,使落下おきます(置きます)〔动1〕放置はらいます(払います)〔动1〕支付たちます(立ちます)〔动1〕站,立ひきます(弾きます)〔动1〕弹すきます〔动1〕(肚子)饿,空のぼります(登ります)〔动1〕登,上わたします(渡します)〔动1〕交给やります〔动1〕做ちがいます(違います)〔动1〕不同,不一样こみます(込みます)〔动1〕拥挤,混杂きまります(決まります)〔动1〕决定おもいます(思います)〔动1〕想思考いいます(言います)〔动1〕说,讲さがします(探します)〔动1〕寻找寻求わらいます(笑います)〔动1〕笑あります〔动1〕有,在(非意志者)动2:います〔动2〕有,在(具意志者)おきます(起きます)〔动2〕起床ねます(寝ます)〔动2〕睡觉たべます(食べます)〔动2〕吃みます(見ます)〔动2〕看あげます〔动2〕给かけます〔动2〕打(电话)かります(借ります)〔动2〕(向别人)借おしえます(教えます)〔动2〕教できます〔动2〕会;能;完成しめます(閉めます)〔动2〕关闭,关门つかれます(疲れます)〔动2〕疲倦,疲惫でます(出ます)〔动2〕离开でかけます(出かけます)〔动2〕外出,出门あけます(開けます)〔动2〕开,打开すぎます(過ぎます)〔动2〕过みせます(見せます)〔动2〕出示つけます〔动2〕开(灯)おります(降ります)〔动2〕下(车,山)つたえます(伝えます)〔动2〕说,传达,转告とめます(止めます)〔动2〕停,制止かたづけます(片づけます)〔动2〕收拾,整理はじめます(始めます)〔动2〕开始わすれます(忘れます)〔动2〕忘记あわてます(慌てます)〔动2〕慌张,惊慌,着急すてます(捨てます)〔动2〕扔,扔掉ざんぎょうします(残業~)〔动2〕加班あつめます(集めます)〔动2〕收集あびます(浴びます)〔动2〕淋;浇おくれます(遅れます)〔动2〕迟到かんがえます(考えます)〔动2〕考虑しらべます(調べます)〔动2〕调查きます(着ます)〔动2〕穿しらせます(知らせます)〔动2〕告诉たしかめます(確かめます)〔动2〕查看,弄清やめます〔动2〕戒,停止,放弃きめます(決めます)〔动2〕决定动3:べんきょうします(勉強~)〔动3〕学习きます(来ます)〔动3〕来します〔动3〕干,做そうじします(掃除~)〔动3〕打扫扫除さんぽします(散歩~)〔动3〕散步かいものします(買い物~)〔动3〕买东西そつぎょうします(卒業~)〔动3〕毕业しょくじします(食事~)〔动3〕吃饭,用餐せいりします(整理~)〔动3〕整理コピーします〔动3〕复印れんしゅうします(練習~)〔动3〕练习けっこんします(結婚~)〔动3〕结婚あんしんします(安心~)〔动3〕安心れんらくしあす(連絡~)〔动3〕联系しんぱいします(心配~)〔动3〕担心ごちそうします〔动3〕请客,摆盛宴きこくします(帰国~)〔动3〕回国よやくします(予約~)〔动3〕预约かんしゃします(感謝~)〔动3〕感谢うんどうします(運動~)〔动3〕运动せんたくします(洗濯~)〔动3〕洗涤ほうこくします(報告~)〔动3〕报告ねぼうします(寝坊~)〔动3〕睡懒觉がいしゅつします(外出~)〔动3〕外出,出去けんきゅうします(研究~)〔动3〕研究。
①くださる(3) [动1] 请给(我)いただく(0) [动1] 收下起きる(おきる) (2) [动2] 起床始まる(はじまる) (0) [动1] 开始終わる(おわる) (0) [动1] 结束,完働く(はたらく) (0) [动1] 工作,劳动寝る(ねる) (0) [动2] 睡觉,就寝行く(いく) (0) [动1] 去帰る(かえる) (1) [动1] 回去,回来かかる(2) [动1] 用(~小时)着く(つく) (1) [动1] 到,到达読む(よむ) (1) [动1] 看,读洗う(あらう) (0) [动1] 洗出かける(でかける) (0) [动2] 到…去,出去買う(かう) (0) [动1] 买飲む(のむ) (1) [动1] 喝,饮見る(みる) (1) [动2] 看,观看見物する(けんぶつする) (0) [动3] 参观書く(かく) (1) [动1] 写かく(1) [动1] 画もらう(0) [动1] 领受,取得あげる(0) [动2] 给届く(とどく) (2) [动1] 送来,送到習う(ならう) (2) [动1] 学习かける(2) [动2] 打(电话)話す(はなす) (2) [动1] 谈话,说话旅行する(りょこうする) (0) [动3] 旅行食べる(たべる) (2) [动2] 吃ある(1) [动1] 在,有登る(のぼる) (0) [动1] 登(山)歩く(あるく) (2) [动1] 走わかる(2) [动1] 明白,懂下がる(さがる) (2) [动1] 下降出勤する(しゅっきんする) (0) [动3] 上班利用する(りようする) (0) [动3] 利用会う(あう) (1) [动1] 会见,会面借りる(かりる) (0) [动2] 借違う(ちがう) (0) [动1] 不同入る(はいる) (1) [动1] 进,入要る(いる) (0) [动1] 要,需要作る(つくる) (2) [动1] 制作出す(だす) (1) [动1] 寄(信)遊ぶ(あそぶ) (0) [动1] 玩,游戏送る(おくる) (0) [动1] 寄住む(すむ) (1) [动1] 住売る(うる) (0) [动1] 卖役立つ(やくだつ) (3) [动1] 有用,有益使う(つかう) (0) [动1] 使用お願いする(おねがいする) (0) [动3] 请你~,量る(はかる) (2) [动1] 称待つ(まつ) (1) [动1] 等待見せる(みせる) (2) [动2] 给看,让看勤める(つとめる) (3) [动2] 工作,服务言う(いう) (0) [动1] 说持つ(もつ) (1) [动1] 拿置く(おく) (0) [动1] 放,搁歌う(うたう) (0) [动1] 唱休む(やすむ) (2) [动1] 请假受ける(うける) (2) [动2] 接受(治疗)たつ(1) [动1] 过(~小时)呼ぶ(よぶ) (0) [动1] 叫,唤はれる(0) [动2] 肿吸う(すう) (0) [动1] 吸開ける(あける) (0) [动2] 打开降る(ふる) (1) [动1] 下(雪)着る(きる) (0) [动2] 穿咲く(さく) (0) [动1] 开(花)運転する(うんてんする) (0) [动3] 开(车)つける(2) [动2] 开(电灯)進歩する(しんぽする) (1) [动3] 进步,提高変える(かえる) (0) [动2] 变,改变遅れる(おくれる) (0) [动2] 晚,迟到乗る(のる) (0) [动1] 坐,乘(车,飞机)混雑する(こんざつする) (1) [动3] 拥挤押す(おす) (0) [动1] 推叫ぶ(さけぶ) (2) [动1] 叫,叫喊取る(とる) (1) [动1] 得到(休息、假期)困る(こまる) (2) [动1] 为难,难办,不好办出発する(しゅっぱつする) (0) [动3] 出发,动身掃除する(そうじする) (0) [动3] 打扫,扫除できる(2) [动2] 会,能寄る(よる) (0) [动1] 顺便去,顺路到保存する(ほぞんする) (0) [动3] 保存教える(おしえる) (2) [动2] 教出る(でる) (1) [动2] 出(门)始める(はじめる) (2) [动2] 开始弾く(ひく) (0) [动1] 弹(琴)答える(こたえる) (3) [动2] 回答公演する(こうえんする) (0) [动3] 公演,演出走る(はしる) (2) [动1] 跑聞く(きく) (0) [动1] 听泳ぐ(およぐ) (2) [动1] 游泳疲れる(つかれる) (3) [动2] 疲劳,劳累知る(しる) (0) [动1] 得知(消息),了解,知道選ぶ(えらぶ) (2) [动1] 挑选,选择思う(おもう) (2) [动1] 想,认为留学する(りゅうがくする) (0) [动3] 留学計算する(けいさんする) (0) [动3] 计算記憶する(きおくする) (0) [动3] 记忆組み立てる(くみたてる) (0) [动2] 组装進む(すすむ) (0) [动1] 进步,先进増える(ふえる) (2) [动2] 增加研究する(けんきゅうする) (0) [动3] 研究訳す(やくす) (2) [动1] 翻译伝わる(つたわる) (0) [动1] 传,传入まねる(0) [动2] 模仿与える(あたえる) (0) [动2] 给与,给以製作する(せいさくする) (0) [动3] 制作迎える(むかえる) (0) [动2] 迎接,迎来取材する(しゅざいする) (0) [动3] 取材感動する(かんどうする) (0) [动3] 感动成功する(せいこうする) (0) [动3] 成功撮る(とる) (1) [动1] 照相,拍学ぶ(まなぶ) (0) [动1] 学,学习両替する(りょうがえする) (0) [动3] 换钱,兑换忘れる(わすれる) (0) [动2] 忘记出迎える(でむかえる) (0) [动2] 迎接見つける(みつける) (0) [动2] 找,找到紹介する(しょうかいする) (0) [动3] 介绍覚える(おぼえる) (3) [动2] 记住,学会片づける(かたづける) (4) [动2] 收拾,整理結婚する(けっこんする) (0) [动3] 结婚消す(けす) (0) [动1] 熄,灭上がる(あがる) (0) [动1] 上进脱ぐ(ぬぐ) (1) [动1] 脱すく(0) [动1] 饿案内する(あんないする) (3) [动3] 领,带路,向导混む(こむ) (1) [动1] 拥挤並べる(ならべる) (0) [动2] 摆,排,上(菜)説明する(せつめいする) (0) [动3] 说明満足する(まんぞくする) (1) [动3] 满足,满意楽しむ(たのしむ) (3) [动1] 欣赏笑う(わらう) (0) [动1] 笑はく(0) [动1] 穿かぶる(2) [动1] 戴はずす(0) [动1] 摘掉締める(しめる) (2) [动2] 系つく(1) [动1] (気がつく) 发现,注意到入る(いる) (0) [动1] (気に入る) 中意なる(1) [动1] (気になる) 成了心事,总惦记着眠る(ねむる) (0) [动1] 睡觉相談する(そうだんする) (0) [动3] 商量引く(ひく) (0) [动1] (辞書を引く) 查词典曇る(くもる) (2) [动1] 阴,阴沉渋滞する(じゅうたいする) (0) [动3] 阻塞迷う(まよう) (2) [动1] 犹豫不决立つ(たつ) (1) [动1] 站,立謝る(あやまる) (3) [动1] 道歉調べる(しらべる) (3) [动2] 调查集める(あつめる) (3) [动2] 收集くれる(0) [动2] 给(我)過ごす(すごす) (2) [动1] 过,度过売り出す(うりだす) (3) [动1] 出售挟む(はさむ) (2) [动1] 夹移動する(いどうする) (0) [动3] 转移,移动訪問する(ほうもんする) (0) [动3] 访问きる(きる) (1) [动1] 切,割,截,剪積もる(つもる) (2) [动1] 积,堆积暮らす(くらす) (0) [动1] 生活,度日取り除く(とりのぞく) (0) [动1] 清除雇う(やとう) (2) [动1] 雇下ろす(おろす) (2) [动1] 卸下,落下慣れる(なれる) (2) [动2] 习惯混乱する(こんらんする) (0) [动3] 混乱止まる(とまる) (0) [动1] 停止,停驶起こす(おこす) (2) [动1] 发生,引起つぶれる(0) [动2] 坏,压坏治る(なおる) (2) [动1] 治好,痊愈入れる(いれる) (0) [动2] 插入動く(うごく) (2) [动1] 转动曲がる(まがる) (0) [动1] 拐弯渡る(わたる) (0) [动1] 过,渡集まる(あつまる) (3) [动1] 聚集,聚会祝う(いわう) (2) [动1] 庆祝,祝贺鳴る(なる) (0) [动1] 鸣,响聞こえる(きこえる) (0) [动2] 听得见お祈りする(おいのりする) (0) [动3] 祈祷,祝福ひく(0) [动1] (風邪をひく) 感冒見える(みえる) (2) [动2] 看得见祈る(いのる) (2) [动2] 祈祷,祝福あきらめる(4) [动2] 算了,作罢開く(あく) (0) [动1] 开,打开飾る(かざる) (0) [动1] 装饰,修饰,摆设配達する(はいたつする) (0) [动3] 邮递,投递変わる(かわる) (0) [动1] 变化上げる(あげる) (0) [动2] 提高消える(きえる) (0) [动2] 消失増やす(ふやす) (2) [动1] 增加下りる(おりる) (2) [动2] 下鳴らす(ならす) (0) [动1] 打响,出声届ける(とどける) (3) [动2] 送到進める(すすめる) (0) [动2] 前进,进行,开展閉まる(しまる) (2) [动1] 关闭伝える(つたえる) (0) [动2] 传,传达下げる(さげる) (2) [动2] 降低並ぶ(ならぶ) (0) [动1] 排,排列止める(とめる) (0) [动2] 停止はる(0) [动1] 张贴なくなる(0) [动1] 精光,没有了そろう(2) [动1] 齐全囲む(かこむ) (0) [动1] 围和やかだ(なごやかだ) (2) [形动] 和睦,友好思い出す(おもいだす) (4) [动1] 想起感じる(かんじる) (0) [动2] 感到,感觉知らせる(しらせる) (0) [动2] 告诉,通知驚く(おどろく) (3) [动1] 惊讶怒る(おこる) (2) [动1] 生气泣く(なく) (0) [动1] 哭泣喜ぶ(よろこぶ) (3) [动1] 喜悦予約する(よやくする) (0) [动3] 订,预订なくす(0) [动1] 丢,丢掉割る(わる) (0) [动1] 打坏,弄坏落とす(おとす) (2) [动1] 失落,丢掉,遗矢育つ(そだつ) (2) [动1] 生长実る(みのる) (2) [动1]②座る (すわる) (0) [动1] 坐希望する (きぼうする) (0) [动3] 希望指導する (しどうする) (0) [动3] 指导貸す (かす) (0) [动1] 借,出租ほめる (3) [动2] 表扬,赞扬書き続ける (かきつづける) (5) [动2] 持续记下去読み返す (よみかえす) (3) [动1] 重读,重看持ち歩く (もちあるく) (4) [动1] 随身携带踏む (ふむ) (0) [动1] 踩,踏勧める (すすめる) (0) [动2] 劝助かる (たすかる) (3) [动1] 省事,减轻负担似合う (にあう) (2) [动1] 适合デザインする (3) [动3] 设计取り入れる (とりいれる) (4) [动2] 采用,吸收死ぬ (しぬ) (0) [动1] 死壊す (こわす) (2) [动1] 弄坏,打破盗む (ぬすむ) (2) [动1] 偷,盗窃通う (かよう) (0) [动1] 上(学)苦労する (くろうする) (1) [动3] 辛苦,吃力捕る (とる) (1) [动1] 捕,捉がんばる (3) [动1] 努力,奋斗負ける (まける) (0) [动2] 输間違う (まちがう) (3) [动1] 错,弄错手伝う (てつだう) (3) [动1] 帮忙焼く (やく) (0) [动1] 烤,烧配る (くばる) (2) [动2] 发,分送必要だ (ひつようだ) (0) [形动] 必要成長する (せいちょうする) (0) [动3] 成长見かける (みかける) (0) [动2] 看见,发现投げる (なげる) (2) [动2] 扔,投行う (おこなう) (0) [动1] 举行,举办生かす (いかす) (2) [动1] 利用,发挥志望する (しぼうする) (0) [动3] 志愿話し合う (はなしあう) (4) [动1] 互相谈论減る (へる) (0) [动1] 减少望む (のぞむ) (0) [动1] 希望,指望活用する (かつようする) (0) [动3] 运用,活用払う (はらう) (2) [动1] 支付,付定着する (ていちゃくする) (0) [动3] 固定,扎根延びる (のびる) (2) [动2] 延长,延伸求める (もとめる) (3) [动2] 追求工夫する (くふうする) (0) [动3] 动脑筋,想办法辞める (やめる) (0) [动2] 辞去続ける (つづける) (0) [动2] 继续残る (のこる) (2) [动1] 留下,留存採用する (さいようする) (0) [动3] 录用,录取見直す (みなおす) (0) [动1] 重看,重新认识活躍する (かつやくする) (0) [动3] 活跃,发挥作用認める (みとめる) (0) [动2] 承认,同意向く (むく) (0) [动1] 适合晴れる (はれる) (2) [动2] 晴,天晴なじむ (2) [动1] 适应,习惯間違える (まちがえる) (4) [动2] 弄错,搞错打つ (うつ) (1) [动1] 打おっしゃる (3) [动1] 说 (敬语)戻る (もどる) (2) [动1] 回,返かける (2) [动2] 坐入院する (にゅいんする) (0) [动3] 住院召し上がる (めしあがる) (0) [动1] 吃,尝 (敬语)いらっしゃる (4) [动1] 在,去,来 (敬语)遭う (あう) (1) [动1] 遇到骨折する (こっせつする) (0) [动3] 骨折おいでになる (5) [动1] 来,去,在 (敬语)なさる (2) [动1] 做,干 (敬语)御覧になる (ごらんになる) (5) [动1] 看 (敬语)決める (きめる) (0) [动2] 决定尊敬する (そんけいする) (0) [动3] 尊敬謙遜する (けんそんする) (0) [动3] 谦虚,谦逊表す (あらわす) (3) [动1] 表示向かう (むかう) (0) [动1] 向,对申す (もうす) (1) [动1] 说,讲 (敬语)伺う (うかがう) (0) [动1] 拜访 (敬语)落ち着く (おちつく) (0) [动1] 安下心来,沉着,不慌参る (まいる) (1) [动1] 去,来 (敬语)おる (1) [动1] 在 (敬语)いたす (2) [动1] 干,做 (敬语)いただく (0) [动1] 让 (敬语)拝見する (はいけんする) (0) [动3] 看,拜读 (敬语) 差し上げる (さしあげる) (0) [动2] 给,送给,赠给 (敬语)延ばす (のばす) (2) [动1] 拖延,延长噛む (かむ) (1) [动1] 嚼つながる (0) [动1] 连结似る (にる) (0) [动2] 相似吹く (ふく) (1) [动1] 吹,刮渡す (わたす) (0) [动1] 交,交给尋ねる (たずねる) (3) [动2] 询问訪れる (おとずれる) (4) [动2] 访问広める (ひろめる) (3) [动2] 扩大解説する (かいせつする) (0) [动3] 解说過ぎる (すぎる) (2) [动2] 过泊まる (とまる) (0) [动1] 投宿,住振る (ふる) (0) [动1] 挥动湧く (わく) (0) [动1] 涌出はずむ (0) [动1] 起劲待ち合わせる (まちあわせる) (5) [动2] 会合連れる (つれる) (0) [动2] 带吹き出す (ふきだす) (3) [动1] 笑出声上達する (じょうたつする) (0) [动3] 进步,长进誘う (さそう) (0) [动1] 邀请たたく (2) [动1] 敲飛び上がる (とびあがる) (4) [动1] 跳起来招く (まねく) (2) [动1] 请,邀请ごちそうする (0) [动3] 款待,招待教わる (おそわる) (0) [动1] 受教,跟…学习炊く (たく) (0) (御飯をたく) [动1] 煮 (煮饭)用意する (よういする) (1) [动3] 准备煮る (にる) (0) [动2] 煮ゆでる (2) [动2] 焯炊き上がる (たきあがる) (4) (御飯が…) [动1] 煮好振りかける (ふりかける) (4) [动2] 撒上混ぜる (まぜる) (2) [动2] 混,掺混除く (のぞく) (0) [动1] 除去,除外混ぜ合わせる (まぜあわせる) (5) [动2] 掺混搅拌盛り付ける (もりつける) (4) [动2] 把饭菜很好地盛在器皿上載せる (のせる) (0) [动2] 放上添える (そえる) (0) [动2] 添加さわる (0) [动2] 碰合格する (ごうかくする) (0) [动3] 合格,及格震える (ふるえる) (0) [动2] 发抖組む (くむ) (1) (足を…) [动1] 盘 (腿)飛ぶ (とぶ) (0) [动1] 飞走,刮掉転ぶ (ころぶ) (0) [动1] 跌倒ぶつかる (0)③減少する (げんしょうする) (0) [动3] 减少脅かす (おびやかす) (4) [动1] 威胁苦しむ (くるしむ) (3) [动1] 感到困苦増え続ける (ふえつづける) (5) [动2] 继续增加汚染する (おせんする) (0) [动3] 污染告げる (つげる) (0) [动2] 宣告,告诉願う (ねがう) (2) [动1] 祝愿足りる (たりる) (0) [动2] 够,足够降り続く (ふりつづく) (4) [动1] 连续下(雨或雪)破る (やぶる) (2) [动1] 撕毁,不遵守消し忘れる (けしわすれる) (5) [动2] 忘记弄灭飛び回る (とびまわる) (4) [动1] 飞翔想像する (そうぞうする) (0) [动3] 想象抱く (いだく) (2) [动1] 怀有,怀抱スケッチする (2) [动3] 速写実現する (じつげんする) (0) [动3] 实现考え出す (かんがえだす) (5) [动1] 想出示す (しめす) (2) [动1] 表示広がる (ひろがる) (0) [动1] 扩展憧れる (あこがれる) (0) [动2] 憧憬割れる (われる) (0) [动2] 碎落ちる (おちる) (2) [动2] 掉,落見捨てる (みすてる) (0) [动2] 抛弃入賞する (にゅうしょうする) (0) [动3] 得奖治す (なおす) (2) [动1] 治好見慣れる (みなれる) (0) [动2] 看惯植える (うえる) (0)整える (ととのえる) (3)遂げる (とげる) (2) [动2] 获得,得到評価する (ひょうかする) (1)発揮する (はっきする) (0) [动3] 发挥やせる (0) [动2] 瘦建てる (たてる) (2) [动2] 盖,建かなう (2) [动1] 实现,如愿以偿見上げる (みあげる) (0) [动2] 仰望見比べる (みくらべる) (0) [动2] 比较見送る (みおくる) (0) [动1] 送行見守る (みまもる) (0) [动1] 关怀,照料見回す (みまわす) (0) [动1] 环视見渡す (みわたす) (0) [动1] 远望置き換える (おきかえる) (3) [动2] 转换たとえる (3) [动2] 比方点滅する (てんめつする) (0) [动3] 忽亮忽灭組み合わせる (くみあわせる) (5)果たす (はたす) (2) [动1] 实行,完成取って代わる (とってかわる) (1) [动1] 取代促す (うながす) (3) [动1] 促进,促使改良する (かいりょうする) (0) [动3] 改良盛り込む (もりこむ) (3) [动1] 加进氾濫する (はんらんする) (0) [动3] 泛滥,充斥使い慣れる (つかいなれる) (5) [动2] 用惯逃げる (にげる) (2) [动2] 逃跑書き写す (かきうつす) (4) [动1] 抄写書き出す (かきだす) (3) [动1] 摘录,开始写書き留める (かきとめる) (4) [动2] 记下書き加える (かきくわえる) (5) [动2] 加写,添写書き終える (かきおえる) (4) [动2] 写完書き込む (かきこむ) (3) [动1] 写上,填写噴き上げる (ふきあげる) (4) [动2] 喷起流れ出す (ながれだす) (4) [动1] 流出避難する (ひなんする) (1) [动3] 避难湧き出る (わきでる) (3) [动2] 喷涌含む (ふくむ) (2) [动1] 包含,含有恵む (めぐむ) (0) [动1] 施恩惠眺める (ながめる) (3) [动2] 眺望,远眺つかる (0) [动1] 浸泡いやす (2) [动2] 解除(痛苦),治疗育てる (そだてる) (3) [动2] 培育,培养飼う (かう) (1) [动1] 饲养噴き出す (ふきだす) (3) [动1] 冒出,喷出保つ (たもつ) (2) [动1] 保持,维持応援する (おうえんする) (0) [动3] 声援恐れる (おそれる) (3) [动2] 害怕,担心緊張する (きんちょうする) (0) [动3] 紧张勝つ (かつ) (1) [动1] 获胜失う (うしなう) (0) [动1] 失去,丧失買い求める (かいもとめる) (5) [动2] 买,购买ごった返える (ごったがえる) (4) [动1] 拥挤不堪従う (したがう) (0) [动1] 遵从,适应働きかける (はたらきかける) (6) [动2] 推动,对…做工作ねらう (0) [动1] 想获得,把…作为目标つかむ (2) [动1] 抓住使用する (しようする) (0) [动3] 使用しかる (0) [动1] 责备,斥责飛び込む (とびこむ) (3) [动1] 跳入追い返す (おいかえる) (3) [动1] 逐回,拒绝開始する (かいしする) (0) [动3] 开始合う (あう) (1) [动1] 相同,一致仲良くする (なかよくする) (1) [动3] 要好ちょうだいする (0) [动3] 领受費やす (ついやす) (3) [动1] 耗费,用掉用いる (もちいる) (3) [动2] 使用,用かしげる (3) [动2] 歪,倾斜そそる (0) [动1] 引起,唤起注目する (ちゅうもくする) (0) [动3] 注目登場する (とうじょうする) (0) [动3] 登场,出台さらう (0) [动1] 赢得印象づける (いんしょうづける) (6) [动2] 给人以深刻印象はやる (2) [动1] 流行,时兴結び付く (むすびつく) (4) [动1] 有关联独り占めする (ひとりじめする) (0) [动3] 独占譲り合う (ゆずりあう) (4) [动1] 互让振り回す (ふりまわす) (4) [动1] 滥用,随便使用建つ (たつ) (1) [动1] 建,盖予期する (よきする) (1) [动3] 预料耕す (たがやす) (3) [动1] 耕,耕作刺さる (ささる) (2) [动1] 扎进,刺入舞い降りる (まいおりる) (4) [动2] (慢慢)飘落,飞落下来抜く (ぬく) (0) [动1] 拔掉,抽出鳴く (なく) (0) [动1] (鸟等)啼,鸣叫泊める (とめる) (0) [动2] 住宿,过夜言い出す (いいだす) (3) [动1] 说出織る (おる) (1) [动1] 织,编织織り始める (おりはじめる) (5) [动2] 开始编织織り上がる (おりあがる) (4) [动1] 织成,织好うなずく (3) [动1] 点头(表示同意)のぞく (0) [动1] 窥视助ける (たすける) (3) [动2] 救助,帮助織りかける (おりかける) (4) [动2] 没有织完,织了一半響く (ひびく) (2) [动1] 响,回响倒れる (たおれる) (3) [动2] 倒下ちぎれる (3) [动2] 被扭断握手する (あくしゅする)④移り変わる (うつりかわる) (5) [动1] 变化,变迁決行する (けっこうする) (0) [动3] 断然行动,决定举行倒壊する (とうかいする) (0) [动3] 倒塌,坍塌建設する (けんせつする) (0) [动3] 建设募集する (ぼしゅうする) (0) [动3] 募集,招募まとめる (0) [动2] 总结,概括認識する (にんしきする) (0) [动3] 认识通勤する (つうきんする) (0) [动3] 上班往復する (おうふくする) (0) [动3] 往返集中する (しゅうちゅうする) (0) [动3] 集中皮肉だ (ひにくだ) (0) [形动] 讽刺分散する (ぶんさんする) (0) [动3] 分散検討する (けんとうする) (0) [动3] 研究気づき始める (きづきはじめる) (6) [动2] 开始注意ゆったりする (3) [动3] 宽敞ほうり出す (ほうりだす) (4) [动1] 仍下,抛弃断る (ことわる) (3) [动1] 拒绝移る (うつる) (2) [动1] 移动,转移指す (さす) (1) [动1] 指欠く (かく) (1) [动1] 缺少思い当たる (おもいあたる) (5) [动1] 想到,想起応じる (おうじる) (0) [动2] 应,按照預かる (あずかる) (3) [动1] 担任,管理思い浮かべる (おもいうかべる) (6) [动2] 联想起,浮现省く (はぶく) (2) [动1] 简化,节省奪う (うばう) (2) [动1] 剥夺,夺走つく (1) [动1] 感到…あきれる (0) [动2] 吃惊,愕然信頼する (しんらいする) (0) [动3] 信赖立ち上がる (たちあがる) (4) [动1] 站起来休憩する (きゅうけいする) (0) [动3] 休息捕まる (つかまる) (0) [动1] 捕捉,被捉住,逮住解消する (かいしょうする) (0) [动3] 解除,取消亡くなる (なくなる) (0) [动1] 去世,死亡隠す (かくす) (2) [动1] 藏,隐藏受かる (うかる) (2) [动1] 考中,及格,考上でき上がる (できあがる) (4) [动1] 完成列記する (れっきする) (1) [动3] 列举,罗列拾い出す (ひろいだす) (4) [动1] 挑出,选出,拣出ゆるむ (2) [动1] 缓和,缓解薫る (かおる) (0) [动1] 散发馨香しみる (0) [动2] 染上感心する (かんしんする) (0) [动3] 赞成,赞叹当てはまる (あてはまる) (4) [动1] 适用,适合裏づける (うらづける) (4) [动2] 证实,印证異なる (ことなる) (3) [动1] 不同,不一样変動する (へんどうする) (0) [动3] 变动,变化転勤する (てんきんする) (0) [动3] 调动工作たつ (1) [动1] 离开,出发なでる (2) [动2] 拂,抚摸着任する (ちゃくにんする) (0) [动3] 到任,上任散る (ちる) (0) [动1] 谢,落燃え始める (もえはじめる) (0) [动2] 开始怒放記す (しるす) (2) [动1] 记录,记下凍結する (とうけつする) (0) [动3] 冻结落葉する (らくようする) (0) [动3] 叶落,落叶咲き始める (さきはじめる) (5) [动2] 初开,开始开相当する (そうとうする) (0) [动3] 相当はじける (3) [动2] 绽放,迸发貧乏だ (びんぼうだ) (1) [形动] 贫穷,贫困害する (がいする) (3) [动3] 害,伤害引き起こす (ひきおこす) (4) [动1] 引起吹きつける (ふきつける) (4) [动2] 狂吹,猛刮立つ (1) [动1] 经,过寄せる (よせる) (0) [动2] 寄(信),投稿みなす (0) (2) [动1] 看作,视为近寄る (ちかよる) (0) [动1] 接近,靠近付き合う (つきあう) (3) [动1] 交往,交际掛ける (かける) (2) [动2] 悬挂好む (このむ) (2) [动1] 喜欢面する (めんする) (3) [动3] 面对,面向耐える (たえる) (2) [动2] 耐,经得住引っ越す (ひっこす) (3) [动1] 搬家直面する (ちょくめんする) (0) [动3] 面临,面对まく (1) [动1] 泼,洒非難する (ひなんする) (1) [动3] 非难,指责酔っ払う (よっぱらう) (0) [动1] 醉酒,酩酊大醉パスする (1) [动3] 通过もたらす (3) [动1] 带来培う (つちかう) (3) [动1] 培养,培育腐蝕する (ふしょくする) (0) [动3] 腐蚀さびる (2) [动2] 生锈生み出す (うみだす) (3) [动1] 产生精製する (せいせいする) (0) [动3] 精制焼き固める (やきかためる) (5) [动2] 烧至坚固匹敵する (ひってきする) (0) [动3] 匹敌,比得上支える (ささえる) (3) [动2] 支,支撑定義する (ていぎする) (1) [动3] 定义受け付ける (うけつける) (4) [动2] 接受,适应取り出す (とりだす) (3) [动1] 取出植え付ける (うえつける) (4) [动2] 移栽,移植共通する (きょうつうする) (0) [动3] 共同,共通禁止する (きんしする) (0) [动3] 禁止立ち寄る (たちよる) (0) [动1] 顺便到…去信頼し合う (しんらいしあう) (6) [动1] 相互信赖傷つく (きずつく) (3) [动1] 受伤こなす (0) [动1] 掌握,运用自如導く (みちびく) (3) [动1] 指导,引导のせる (0) [动2] 放,装载指さす (ゆびさす) (3) [动1] 用手指詰まる (つまる) (2) [动1] 充满,塞满蓄える (たくわえる) (4) [动2] 储存,储蓄送り込む (おくりこむ) (4) [动1] 输入,送到加える (くわえる) (3) [动2] 加,施加聞きとがめる (ききとがめる) (5) [动2] 责问試す (ためす) (2) [动1] 试验つぶやく (3) [动1] 嘟哝,自言自语相次ぐ (あいつぐ) (1) [动1] 相继发生うつむく (3) [动1] 俯首,低头,垂头黙る (だまる) (2) [动2] 沉默,无言,不说话嫌う (きらう) (0) [动1] 嫌恶,厌恶抱きかかえる (だきかかえる) (5) [动2] 怀抱,搂抱しまう (0) [动1] 收拾起来,放到…引き止める (ひきとめる) (4) [动2] 挽留冷める (さめる) (2) [动2] 冷却聞き入れる (ききいれる) (4) [动2] 听从,答应,采纳聞き出す (ききだす) (3) [动1] 打听出,刺探出聞きつける (ききつける) (4) [动2] (偶尔)听到聞き取る (ききとる) (3) [动1。
常用動詞表 1飲むのむ 1 他喝,吃(药)遊ぶあそぶ 1 自玩耍行くいく 1 自去,前往話すはなす 1 他说话使うつかう 1 他使用回るまわる 1 自转动,绕圈集めるあつめる 2 他收集,召集驚くおどろく 1 自吃惊書くかく 1 他书写入れるいれる 2 他放进;包括送るおくる 1 他送,赠返すかえす 1 他归还怒るおこる 1 自生气歩くあるく 1 自步行読むよむ 1 他读開くひらく 1 他打开買うかう 1 他买作るつくる 1 他制作鳴るなる 1 自发出声音始まるはじまる 1 自开始起きるおきる 2 自起床;发生乗るのる 1 自搭(车)休むやすむ 1 自休息着くつく 1 自到达見るみる 2 他看通じるつうじる 2 自通达;理解食べるたべる 2 他吃登るのぼる 1 自攀登寝るねる 2 自睡觉分かるわかる 1 自了解洗うあらう 1 他洗混むこむ 1 自拥挤聞くきく 1 他听;询问楽しむたのしむ 1 他享受;期待来るくる 3 自来続けるつづける 2 他继续手伝うてつだう 1 他帮助掛かるかかる 1 自花(时间金钱)出るでる 2 自出去;出现引くひく 1 他拉扯探すさがす 1 他寻找言ういう 1 他说入るはいる 1 自进入終わるおわる 1 自结束帰るかえる 1 自回去助けるたすける 2 他帮助調べるしらべる 2 他调查待つまつ 1 自等待歌ううたう 1 他唱歌運ぶはこぶ 1 他搬运会うあう 1 自会见呼ぶよぶ 1 他呼叫戻るもどる 1 自返回消すけす 1 他消除泳ぐおよぐ 1 自游泳払うはらう 1 他支付;扫除1常用動詞表 2撮るとる 1 他照(相)決めるきめる 2 他决定考えるかんがえる 2 他思考出会うであう 1 自遇见選ぶえらぶ 1 他选择行うおこなう 1 他举办落ちるおちる 2 自掉落忘れるわすれる 1 他忘记取るとる 1 他取,拿思うおもう 1 他想;思念置くおく 1 他放置喜ぶよろこぶ 1 自高兴受けるうける 2 他接受;遭受届けるとどける 2 他投递;提交切るきる 1 他切割止まるとまる 1 自停止覚えるおぼえる 2 他记住走るはしる 1 自跑教えるおしえる 2 他教離れるはなれる 2 自离开座るすわる 1 自坐付き合うつきあう 1 自交往住むすむ 1 自住過ごすすごす 1 他度过;过日子売るうる 1 他卖困るこまる 1 自苦恼;穷困持つもつ 1 他拿着守るまもる 1 他守护;遵守遅れるおくれる 2 自迟到残すのこす 1 他保留;剩下違うちがう 1 自不同;错误踊るおどる 1 自跳舞立つたつ 1 自站着生まれるうまれる 2 自出生;诞生知るしる 1 他知道表すあらわす 1 他表露;标明2。
标准日本语动词大全3減少する(げんしょうする) (0) [动3]减少脅かす(おびやかす) (4) [动1]威胁苦しむ(くるしむ) (3) [动1]感到困苦増え続ける(ふえつづける) (5) [动2]继续增加汚染する(おせんする) (0) [动3]污染告げる(つげる) (0) [动2]宣告,告诉願う(ねがう) (2) [动1]祝愿足りる(たりる) (0) [动2]够,足够降り続く(ふりつづく) (4) [动1]连续下(雨或雪) 破る(やぶる) (2) [动1]撕毁,不遵守消し忘れる(けしわすれる) (5) [动2]忘记弄灭飛び回る(とびまわる) (4) [动1]飞翔想像する(そうぞうする) (0) [动3]想象抱く(いだく) (2) [动1]怀有,怀抱スケッチする(2) [动3]速写実現する(じつげんする) (0) [动3]实现考え出す(かんがえだす) (5) [动1]想出示す(しめす) (2) [动1]表示広がる(ひろがる) (0) [动1]扩展憧れる(あこがれる) (0) [动2]憧憬割れる(われる) (0) [动2]碎落ちる(おちる) (2) [动2]掉,落見捨てる(みすてる) (0) [动2]抛弃入賞する(にゅうしょうする) (0) [动3]得奖治す(なおす) (2) [动1]治好見慣れる(みなれる) (0) [动2]看惯植える(うえる) (0)整える(ととのえる) (3)遂げる(とげる) (2) [动2]获得,得到評価する(ひょうかする) (1)発揮する(はっきする) (0) [动3]发挥やせる(0) [动2]瘦建てる(たてる) (2) [动2]盖,建かなう(2) [动1]实现,如愿以偿見上げる(みあげる) (0) [动2]仰望見比べる(みくらべる) (0) [动2]比较見送る(みおくる) (0) [动1]送行見守る(みまもる) (0) [动1]关怀,照料見回す(みまわす) (0) [动1]环视見渡す(みわたす) (0) [动1]远望置き換える(おきかえる) (3) [动2]转换たとえる(3) [动2]比方点滅する(てんめつする) (0) [动3]忽亮忽灭組み合わせる(くみあわせる) (5)果たす(はたす) (2) [动1]实行,完成取って代わる(とってかわる) (1) [动1]取代促す(うながす) (3) [动1]促进,促使改良する(かいりょうする) (0) [动3]改良盛り込む(もりこむ) (3) [动1]加进氾濫する(はんらんする) (0) [动3]泛滥,充斥使い慣れる(つかいなれる) (5) [动2]用惯逃げる(にげる) (2) [动2]逃跑書き写す(かきうつす) (4) [动1]抄写書き出す(かきだす) (3) [动1]摘录,开始写書き留める(かきとめる) (4) [动2]记下書き加える(かきくわえる) (5) [动2]加写,添写書き終える(かきおえる) (4) [动2]写完書き込む(かきこむ) (3) [动1]写上,填写噴き上げる(ふきあげる) (4) [动2]喷起流れ出す(ながれだす) (4) [动1]流出避難する(ひなんする) (1) [动3]避难湧き出る(わきでる) (3) [动2]喷涌含む(ふくむ) (2) [动1]包含,含有恵む(めぐむ) (0) [动1]施恩惠眺める(ながめる) (3) [动2]眺望,远眺つかる(0) [动1]浸泡いやす(2) [动2]解除(痛苦),治疗。