复变函数经典习题及答案
- 格式:doc
- 大小:190.50 KB
- 文档页数:2
第一篇 复变函数第一章 复数与复变函数1. 求下列复数的实部、虚部、共轭复数、模与幅角.(1) 72)52)(43(ii i −+;(2) .4218i i i +−2. 当x ,y 等于什么实数时,等式i iiy x +=+−++135)3(1 成立?3.证明:(1);2z z z = (2)1122,z z z z = .02≠z4.求下列各式的值: (1)();35i −(2)().131i +−5.求方程083=+z 的所有根.6.设1z ,2z ,3z 三点适合条件0321=++z z z ,证明1z ,2z ,3z 是内接于单位圆1=z 的一个正三角形的顶点.7.指出下列各题中点z 的轨迹或所在的范围:(1);65=−z(2);12≥+i z(3).i z i z −=+8.描述下列不等式所确定的区域,并指出它是有界的还是无界的: (1);32≤≤z(2).141+<−z z9.将方程tt z 1+=(t 为实参数)给出的曲线用一个实直角坐标方程表出.第一章 复习题1.单项选择题(1)设iy x z +=,y x ≠||,4z 为实数,则( ).A .0=xy B.0=+y x C .0=−y x D.022=−y x(2)关于复数幅角的运算,下列等式中正确的是( ). A .Argz Argz 22= B.z z arg 2arg 2=C .2121arg arg )arg(z z z z += D.2121)(Argz Argz z z Arg += (3)=+31i ( ).A .ie 62πB.ie 62π−C .ie 62π± D.i e62π±(4)2210<++<i z 表示( ). A .开集、非区域 B.单连通区域 C .多连通区域 D.闭区域(5)z i z f =−1,则()=+i f 1( ).A .1 B.21i+ C .21i− D.i −1 (6)若方程1−=z e ,则此方程的解集为( ).A .空集 B.π)12(−=k z ,(k 为整数) C .i k z π)12(−= D. πi z =2.对任何复数22,z z z =是否一定成立?3. 解方程.0)1(22=−++i z z4. 求)(i Ln −,)43(i Ln +−和它们的主值.5. 求i e 21π−,i i e41π+,i 3和ii )1(+值.第二章 导数1.下列函数何处可导?何处解析? (1) ();2iy x z f −=(2) ().22y ix xy z f +=2.指出下列函数()z f 的解析性区域,并指出其导数.(1) ();22iz z z f +=(2) ();112−=z z f(3)(),dcz baz z f ++=(d c ,中至少有一个不为0).3.设()2323lxy x i y nx my +++为解析函数,试确定l 、m 、n 的值.4.证明:如果()z f 在区域D 内解析,并满足下列条件之一,那么是常数. (1)()z f 恒取实值. (2))(z f 在区域D 内解析. (3)()z f 在区域D 内是一个常数.5.应用导数的定义讨论下列函数的是否存在?(1)())Re(z z f =;(2)())Im(z z f =.6.证明;,sin z e z 在复平面上任一点都不解析.第二章 复习题1.单项选择题(1)函数()z f w =在点0z 可导是可微的( ).A .必要但非充分条件 B. 充分但非必要条件 C .充分必要条件D. 既非充分也非必要条件(2)函数()z f w =在点0z 可导是连续的( ).A .必要但非充分条件 B. 充分但非必要条件 C .充分必要条件D. 既非充分也非必要条件(3)函数()),(),(y x iv y x u z f +=,则在()00,y x 点,v u ,均可微是函数()z f 在点0z 可微的( ).A .必要但非充分条件 B. 充分但非必要条件 C .充分必要条件D. 既非充分也非必要条件(4)函数()22ix xy z f −=,那么( ). A .()z f 处处可微 B. ()z f 处处不可导 C .()z f 仅在原点可导 D. ()z f 仅在x 轴上可导(5)若,0,,00,),(222222=+≠++=y x y x y x xy y x u ,,),(xy y x v =()iv u z f +=,则()z f ( ).A .()z f 仅在原点可导 B. ()z f 处处不可导C .()z f 除原点外处处可导 D. ()z f 处处可微(6)若()()y x y i xy x z f 233333+−+−=, 那么()z f ( ).A .()z f 仅在原点可导且()00=′f B. ()z f 处处解析且()xy i y x z f 63322+−=′ C .()z f 处处解析且()xy i y x z f 63322−−=′ D. ()z f 处处解析且()xy i x y z f 63322+−=′ (7)函数()z z z f = ,则( ). A .()z f 在全平面解析 B. ()z f 仅在原点解析C .()z f 仅在原点可导但不解析 D. ()z f 处处不可导(8)设()34−=′z z f ,且()i i f 31−=+,则()=z f ( ).A . i z z −−322 B. i z z 3322+− C .i z z 43322+−+ D. i z z 43322−+− 2.指出函数112+z 的解析性区域,并求导数.3.如果0z 是()z f 的奇点,而()z g 在0z 解析,那么0z 是否是())(z g z f +和())(z g z f 的奇点.4.若()iv u z f +=是区域D 内的解析函数,那么在D 内v +iu 是否也是解析函数.第三章 积分1.沿下列路径计算积分∫Czdz Re .(1)自原点至1+i 的直线段;(2)自原点沿实轴至1,再由1铅直向上至1+i ;(3)自原点沿虚轴至i ,再由i 沿水平向右至1+i .2.分别沿y =x 与2x y =计算积分()∫++i dz iy x102的值.3计算积分dz zzC∫,其中C 为正向圆周,2=z .4.计算下列积分 ,其中C 为正向圆周,1=z . (1);21dz z C ∫− (2);4212dz z z C ∫++(3);cos 1dz zC ∫ (4);211dz z C∫−(5);dz ze Cz ∫(6)().)2(21dz i z z C∫−+5.沿指定曲线正向计算下列积分:(1)dz z C ∫−21,C :12=−z ;(2)dz a z C ∫−221,C: a a z =−;(3),3dz z zC ∫− C :2=z ;(4)()()dz z z C∫++41122,C :23=z ;(5)dz zzC ∫sin ,C :1=z ; (6)dz z zC∫−22sin π,C :2=z .6.计算下列各题: (1)∫−ii z dz e ππ32;(2)∫−iizdz ππ2sin ;(3).)(0∫−−iz dz e i z7.计算下列积分:(1)dz i z z C ∫+++2314,C :4=z ,正向; (2)dz z iC ∫+122,C :61=−z ,正向; (3),cos 213dz z zC C C ∫+= 1C :2=z ,正向,2C :3=z ,负向;(4)dz i z C ∫−1,C 为以i 56,21±±为顶点的正向菱形; (5)()dz a z eC z∫−3;其中a 为1≠a 的任何复数,C :1=z ,正向.9. 设C 为不经过a 与a −的简单正向闭曲线,a 为不等于0的任何复数,试就a 与a −跟C 的各种不同位置,计算积分dz a z zC ∫−22的值.第三章 复习题1.单项选择题.(1)设C 为θi e z =,θ从2π−到2π的一段,则=∫Cdz z ( ).A .i B.2i C .-2i D.- i(2)设C 是从0=z 到i z +=1的直线段,则=∫Cdz z ( ).A .1+i B.21i+ C .i e4π− D. ie 4π(3)设C 为θi e z =,θ从0到π的一段,则=∫Czdz arg ( ).A .i 2−−π B. π− C .i 2+π D. i 2−π(4)设C 为t i z )1(−=,t 从1到0的一段,则=∫Cdz z ( ).A .1 B.-1 C .i D.- i(5)设C 为1=z 的上半部分逆时针方向,则=−∫Cdz z )1(( ).A .2i B.2 C .-2i D.- 2(6)设C 为θi e z 21=,正向,则=−∫C z dz e e zsin ( ).A .sin1 B.e i 1sin 2π C .e i 1sin 2π− D.0(7)=++∫=dz z z z 12221( ).A .i π2 B.i π2− C .0 D.π2 (8)设C 为沿抛物线12−=x y 从()0,1−到()0,1的弧度,则=+∫C dz z )1sin(( ).A .0 B.2cos − C .12cos − D. 12cos − (9)=++∫=+dz z z e z z 232)1(232( ). A .0 B.i π32C .i π2 D. i π2−(10)=++∫=dz z z zz 121682cos π( )A .0 B.i π C .i π− D. i π2.(11)=+∫=dz z zz 221( ).A .0 B.i π2 C .i π2− D. i π(12)=∫=dz z e z z12( ).A .i π2 B. i π C .0 D. π (13)1322z z z e dz ==∫( ).A .i π2 B. i π16 C .i π8 D. i π4 2.计算()∫Γ−=dz z z e I z12,其中Γ是圆环域:221≤≤z 的边界.3.(1)证明:当C 为任何不经过原点的闭曲线时,则;012=∫dz zC(2)沿怎样的简单闭曲线有;012=∫dz z C(3)沿怎样的简单闭曲线有.0112=++∫dz z z C4.设(),4ζζζπd ze zf C ∫−=其中C :2=z ,试求()i f ,()i f −及()i f 43−的值.5.计算()22,2z Ce z I dz z =+∫其中C :.1=z6.()()∫=−=12,ζζζdz z e z f z()1≠z ,求().z f ′第四章 级数1.判别下列级数的绝对收敛性与收敛性:();11∑∞=n nni()∑∞=2;ln 2n nni();8)56(30∑∞=+n n ni().2cos 40∑∞=n n in2.求下列幂级数的收敛半径:()为正整数);p nz n p n(,11∑∞=()∑∞=12;)!(2n nn z nn()∑∞=+0;)1(3n nnz i().41∑∞=n n n iz e π3.把下列各函数展开成z 的幂级数,并指出它们的收敛半径: ();1113z +();)1(1223z +();cos 32z();4shz();5chz().sin 622z e z4.求下列各函数在指定点0z 处的泰勒展开式,并指出它们的收敛半径: ();1,1110=+−z z z()();110,10,1122<−<<<−z z z z()()(),2113−−z z;21,110+∞<−<<−<z z()()为中心的圆环域内;在以i z i z z =−,142第四章 复习题1.单项选择题:()().112的收敛半径为幂级数∑∞=n nin z e0.A 1.B 2.C ∞.D()()∑∞=1.1sin 2n nnz n 的收敛半径为幂级数0.A 1.B e C . ∞.D()()()∑∞=−1.13n n n z i 的收敛半径为幂级数1.A 21.B 2.C 21.D()()()∑∞=+12.434n n n z i 的收敛半径为幂级数5.A 51.B 5.C 51.D ()()∑∞=1.!5n nn z n 的收敛半径为幂级数1.A ∞.B 0.C e D .()()∑∞−∞=−=>=n nne a z za z z.,0,6721则设!71.A !71.−B !91.C !91.−D()∑∞==−10,2.2n nn z z a 收敛,能否在幂级数 .3发散而在=z().1.32的和函数求n n z n n ∑∞=−.0cos 1.40处的泰勒展开式在求=−∫z d zζζζ上的罗朗展开在求函数11sin .512>−∫=ζζζζz d z .式第五章 留数1.判断下列函数奇点的类型,如果是极点,指出它的阶数:()();11122+z z();sin 23z z();11323+−−z z z()();1ln 4zz +();511−z e()().1162−z e z()..2在有限奇点处的留数求下列各函数z f();2112zz z −+();1242z e z −()();113224++zz();cos 4zz();11cos5z−().1sin 62zz3.计算下列各积分(利用留数,圆周均取正向).();sin 123∫=z dz z z()();12222dz z e z z∫=−()();,cos 1323为整数m dz z zz m∫=−();tan 43∫=z zdz π().521111∫=−−z z dz ze点?并是下列各函数的什么奇判断∞=z .4.的留数求出在∞();121z e();sin cos 2z z −().3232zz+()[]的值,如果:求∞,Re 5.z f s()();112−=z ez f z()()()().41124−+=z z z z f6.计算下列各积分,C 为正向圆周:()()()∫=++Cz C dz zzz ;3:,211342215().2:,1213=+∫z C dz e z z zC7.计算下列积分:();sin 351120θθπd ∫+()();0,cos sin 2202>>+∫b a d b a θθθπ()()∫+∞∞−+;11322dx x()∫+∞∞−++.54cos 42dx x x x第五章 复习题1.单项选择题:()().1sin101的是函数zz = 本性奇点.A 可去奇点.B 一级奇点.C 非孤立奇点.D()().0,1cos Re 2=z z s0.A 1.B 21.C 21.−D()()()().,11Re 32=+−i z i z s 4.i A 4.i B − 41.C 41.−D()().0,1Re 44=−−z e s z !31.A !31.−B !41.C !41.−D()()()∫=−=+21.,15z n n n dz z z 为正整数0.A i B π2. i n C π2. niD π2.()()∫=−=11.6z zz dz zei e A 1.−π i B π2. i e C 12.−π i D π2.−()()∫==−25.117z dz z 0.A i B π2. i C π25. i D π52.2.判断zz e 1+的孤立奇点的类型,并求其留数.3.计算n dz z z z n,1cos 1∫=是正整数.4.计算积分∫=−+114.1z z dz5.计算积分∫+πθθ20.cos 2d6.计算∫+∞+04.11dx x7.计算∫+∞+02.42cos dx x x复变函数总复习题一、单项选择题:(1) 函数z w ln =在i e z =处的值为(). (k 为整数)A. ()i k 12+πB. ()i k π12+C. i k π2D. i k π+212(2) 设积分路径C 为从原点到i +2的直线段, 则积分()=∫Cydz .A. 21i− B. 21i +C. i +1D. i −1(3) 1=z 是函数1ln 2−z z的( ).A. 可去奇点B. 极点C. 本性奇点D. 非孤立奇点 (4) 设()33iy x z f −=, 则()z f 在复平面上( ).A. 处处可导 B. 仅在0=z 处解析 C. 处处不可导 D. 仅在0=z 处可导(5) ()()=−∫=−dz z e z iz211221. A.21i+ B. i +1 C. ()i e i +−12π D. 2π−(6) 函数21z e z+以∞=z 为( ).A. 可去奇点 B. 极点 C. 本性奇点 D. 解析点(7) 0=z 是ze z 111−−的( ).A. 可去奇点 B. 极点 C. 本性奇点 D. 解析点(8) 由2121>−z 与2123>−i z 所确定的点集是( ).A. 开集、非区域 B. 单连通区域 C. 多连通区域 D. 闭区域(9) ()=+−∫=dz z z z z z 122sin cos 1. A. 0 B. i π2 C. i π D. i π3二、填空题:1. =i e π9 .2.=+∫=dz z z 12121. 3. 设()()z z z f Im =, 则()=′0f .4. 级数()()()∑∞=+−+−0124121n n nz n 的收敛范围为 .5. 函数z 211−在+∞<<z 21内的罗朗展式为 . 6.()=−∫=dz z z 12 .7. 级数()∑∑∞=∞=+−12121n n n n n nn z z 的收敛范围是 .8. ()2236z z z z z f ++−=, ()()=∞,Re z f s .9. =−1,1sin Re z z s ;=−1,11sin Re z z s .三、解答下列各题:1. 已知()(),21i i z −+= 求()Re z .2. 求2122lim 1z zz z z z →+−−−.3. 讨论()2z z f =在0=z 处的可导性及解析性.4. 讨论()()yx i x y x z f 322322−++−−=的解析性, 并求出在解析点处的导数.5. 计算()12CIi z dz =+−∫, 其中C 为连接01=z , 12=z 和i z +=13, 从1z 至2z 至3z 的折线段.6. 将z 2sin 展开为z 的幂级数.7. 求级数()n n nn z n 214302+++∑∞=的收敛圆, 并讨论在47−=z 和49−=z 处的收敛性.8. 求()242−=z z z f 在3<z 内所有留数之和.9. 求函数z cot 在它所有有限孤立奇点处的留数.10. 求()()222aze zf ibz+=在ai −处的留数,(a , b 为实数).11. 计算积分()()dz z e z zI z z∫=−+−=232189.12. 计算积分dz z z I z ∫=++=2365112.13. 计算积分dz z z I z ∫=+−=22211.14. 计算积分dz z z e i I z z∫=++=2241221π.15. 计算积分()dx axx I ∫∞++=02222, ()0>a .四、证明题:1. 证明()=≠+=0,00,22z z yx xyz f 在0=z 处不连续.2. 证明0→z 时, 函数()()22Re zz z f =的极限不存在.第二篇 积分变换1. 设() >≤=1,01,1t t t f , 试算出()ωF , 并推证:>=<=∫∞+1,01,41,2cos sin 0t t t d t ππωωωω. (提示()t f 为偶函数)2. 求矩形脉冲函数()≤≤=其它,00,τt A t f 的傅氏变换.3. 求()><−=1,01,1222t t t t f 的傅氏积分. 4. 求()2sin tt f = 的拉氏变换.5. 求()≥<≤−<≤=4,042,120,3t t t t f 的拉氏变换.6. 求下列函数的拉氏逆变换:(1) ()221as s F +=;(2) ()441a s s F −=答案第一章:,2295,135.3,13Im ,5.3Re )1.(1=+−=−=−=z i z z z ).(,23arctan ,10||,31,3Im ,1Re )2();(,)12()726arctan(arg Z k k Argz z i z z z Z k k z ∈+−==+=−==∈++=ππ.11,1.2==y x().2,1,0,2)2(;16316)1.(43275.06=−−+k ei k iπ5..31,2,31i i −−+7.(1)以z =5为圆心,6为半径的圆;(2)以z =-2i 为圆心,1为半径的圆周及圆周的外部;(3)i 和i 两点的连线的中垂线. 8.(1)圆环形闭区域,有界; (2)中心在,1517−=z 半径为158的圆周的外部区域,无界. 9.xy =1。
《复变函数论》试题库《复变函数》考试试题(一)一、 判断题(20分):1.若f(z)在z 0的某个邻域内可导,则函数f(z)在z 0解析. ( )2.有界整函数必在整个复平面为常数. ( )3.若}{n z 收敛,则}{Re n z 与}{Im n z 都收敛. ( )4.若f(z)在区域D 内解析,且0)('≡z f ,则Cz f ≡)((常数). ( )5.若函数f(z)在z 0处解析,则它在该点的某个邻域内可以展开为幂级数. ( )6.若z 0是)(z f 的m 阶零点,则z 0是1/)(z f 的m 阶极点. ( )7.若)(lim 0z f z z →存在且有限,则z 0是函数f(z)的可去奇点. ( )8.若函数f(z)在是区域D 内的单叶函数,则)(0)('D z z f ∈∀≠. ( ) 9. 若f (z )在区域D 内解析, 则对D 内任一简单闭曲线C 0)(=⎰Cdz z f .( )10.若函数f(z)在区域D 内的某个圆内恒等于常数,则f(z)在区域D 内恒等于常数.( ) 二.填空题(20分) 1.=-⎰=-1||00)(z z nz z dz __________.(n 为自然数)2.=+z z 22cos sin_________.3.函数z sin 的周期为___________.4.设11)(2+=z z f ,则)(z f 的孤立奇点有__________.5.幂级数0n n nz ∞=∑的收敛半径为__________.6.若函数f(z)在整个平面上处处解析,则称它是__________.7.若ξ=∞→n n z lim ,则=+++∞→nz z z nn (i)21______________.8.=)0,(Re nz ze s ________,其中n 为自然数.9.zz sin 的孤立奇点为________ .10.若0z 是)(z f 的极点,则___)(lim 0=→z f z z .三.计算题(40分):1. 设)2)(1(1)(--=z z z f ,求)(z f 在}1||0:{<<=z z D 内的罗朗展式.2..cos 11||⎰=z dz z3. 设⎰-++=Cd zz f λλλλ173)(2,其中}3|:|{==z z C ,试求).1('i f +4. 求复数11+-=z z w 的实部与虚部.四. 证明题.(20分) 1. 函数)(z f 在区域D 内解析. 证明:如果|)(|z f 在D 内为常数,那么它在D内为常数. 2. 试证: ()(1)f z z z =-在割去线段0R e 1z ≤≤的z 平面内能分出两个单值解析分支,并求出支割线0R e 1z ≤≤上岸取正值的那支在1z =-的值.《复变函数》考试试题(二)1、 判断题.(20分)1. 若函数),(),()(y x iv y x u z f +=在D 内连续,则u (x,y )与v (x,y )都在D 内连续. ( )2. cos z 与sin z 在复平面内有界. ( )3. 若函数f (z )在z 0解析,则f (z )在z 0连续. ( )4. 有界整函数必为常数. ( )5. 如z 0是函数f (z )的本性奇点,则)(lim 0z f z z →一定不存在. ( )6. 若函数f (z )在z 0可导,则f (z )在z 0解析. ( )7. 若f (z )在区域D 内解析, 则对D 内任一简单闭曲线C 0)(=⎰Cdz z f .( )8. 若数列}{n z 收敛,则}{Re n z 与}{Im n z 都收敛. ( ) 9. 若f (z )在区域D 内解析,则|f (z )|也在D 内解析. ( ) 10. 存在一个在零点解析的函数f (z )使0)11(=+n f 且,...2,1,21)21(==n nnf .( )二. 填空题. (20分)1. 设i z -=,则____,arg __,||===z z z2.设Ciy x z y x i xy x z f ∈+=∀+-++=),sin(1()2()(222,则=+→)(lim 1z f iz ________.3.=-⎰=-1||00)(z z nz z dz _________.(n 为自然数)4. 幂级数0n n nz ∞=∑的收敛半径为__________ .5. 若z 0是f (z )的m 阶零点且m >0,则z 0是)('z f 的_____零点.6. 函数e z 的周期为__________.7. 方程083235=++-z z z 在单位圆内的零点个数为________. 8. 设211)(zz f +=,则)(z f 的孤立奇点有_________.9. 函数||)(z z f =的不解析点之集为________. 10.____)1,1(Res 4=-zz .三. 计算题. (40分) 1. 求函数)2sin(3z 的幂级数展开式.2. 在复平面上取上半虚轴作割线. 试在所得的区域内取定函数z在正实轴取正实值的一个解析分支,并求它在上半虚轴左沿的点及右沿的点i z =处的值.3. 计算积分:⎰-=iiz z Id ||,积分路径为(1)单位圆(1||=z )的右半圆.4. 求dz z zz ⎰=-22)2(sin π.四. 证明题. (20分)1. 设函数f (z )在区域D 内解析,试证:f (z )在D 内为常数的充要条件是)(z f 在D 内解析.2. 试用儒歇定理证明代数基本定理.《复变函数》考试试题(三)一. 判断题. (20分).1. cos z 与sin z 的周期均为πk2. ( ) 2. 若f (z )在z 0处满足柯西-黎曼条件, 则f (z )在z 0解析. ( )3. 若函数f (z )在z 0处解析,则f (z )在z 0连续. ( )4. 若数列}{n z 收敛,则}{Re n z 与}{Im n z 都收敛. ( )5. 若函数f (z )是区域D 内解析且在D 内的某个圆内恒为常数,则数f (z )在区域D 内为常数. ( )6. 若函数f (z )在z 0解析,则f (z )在z 0的某个邻域内可导. ( )7. 如果函数f (z )在}1|:|{≤=z z D 上解析,且)1|(|1|)(|=≤z z f ,则)1|(|1|)(|≤≤z z f . ( ) 8. 若函数f (z )在z 0处解析,则它在该点的某个邻域内可以展开为幂级数. ( ) 9. 若z 0是)(z f 的m 阶零点, 则z 0是1/)(z f 的m 阶极点. ( ) 10. 若0z 是)(z f 的可去奇点,则0)),((Res 0=z z f . ( )二. 填空题. (20分)1. 设11)(2+=z z f ,则f (z )的定义域为___________.2. 函数e z 的周期为_________.3. 若nn ni nn z )11(12++-+=,则=∞→nz n lim __________.4. =+z z 22cos sin ___________.5.=-⎰=-1||00)(z z nz z dz _________.(n 为自然数)6. 幂级数∑∞=0n n nx 的收敛半径为__________.7. 设11)(2+=z z f ,则f (z )的孤立奇点有__________.8. 设1-=ze,则___=z .9. 若0z 是)(z f 的极点,则___)(lim 0=→z f z z .10. ____)0,(Res =nz ze .三. 计算题. (40分)1. 将函数12()z f z z e =在圆环域0z <<∞内展为Laurent 级数.2. 试求幂级数nn nz nn ∑+∞=!的收敛半径.3. 算下列积分:⎰-Czz z z e )9(d 22,其中C 是1||=z .4. 求0282269=--+-z z z z 在|z |<1内根的个数. 四. 证明题. (20分) 1. 函数)(z f 在区域D 内解析. 证明:如果|)(|z f 在D 内为常数,那么它在D 内为常数. 2. 设)(z f 是一整函数,并且假定存在着一个正整数n ,以及两个正数R 及M ,使得当R z ≥||时nz M z f |||)(|≤,证明)(z f 是一个至多n 次的多项式或一常数。
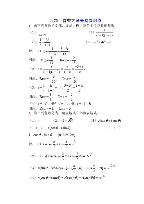
创作编号:BG7531400019813488897SX创作者:别如克*习题一答案1.求下列复数的实部、虚部、模、幅角主值及共轭复数:(1)132i+(2)(1)(2)ii i--(3)131ii i--(4)8214i i i-+-解:(1)1323213i zi-==+,因此:32 Re, Im1313 z z==-,232arg arctan,31313z z z i==-=+(2)3(1)(2)1310i i izi i i-+===---,因此,31Re, Im1010z z=-=,131arg arctan,31010 z z z iπ==-=--(3)133335122i i iz ii i--=-=-+=-,因此,35Re, Im32z z==-,535,arg arctan,232iz z z+ ==-=(4)82141413z i i i i i i=-+-=-+-=-+因此,Re1,Im3z z=-=,arg arctan3,13z z z iπ==-=--2. 将下列复数化为三角表达式和指数表达式: (1)i (2)1-+ (3)(sin cos )r i θθ+(4)(cos sin )r i θθ-(5)1cos sin (02)i θθθπ-+≤≤解:(1)2cossin22iii e πππ=+=(2)1-+23222(cos sin )233i i e πππ=+=(3)(sin cos )r i θθ+()2[cos()sin()]22ir i reπθππθθ-=-+-=(4)(cos sin )r i θθ-[cos()sin()]i r i re θθθ-=-+-=(5)21cos sin 2sin 2sin cos 222i i θθθθθ-+=+ 22sin [cossin]2sin 2222ii eπθθπθπθθ---=+=3. 求下列各式的值:(1)5)i - (2)100100(1)(1)i i ++-(3)(1)(cos sin )(1)(cos sin )i i i θθθθ-+-- (4)23(cos5sin 5)(cos3sin 3)i i ϕϕϕϕ+-(5(6解:(1)5)i -5[2(cos()sin())]66i ππ=-+-5552(cos()sin()))66i i ππ=-+-=-+(2)100100(1)(1)i i ++-50505051(2)(2)2(2)2i i =+-=-=-(3)(1)(cos sin )(1)(cos sin )i i i θθθθ-+--2[cos()sin()](cos sin)33)sin()][cos()sin()]44i ii iππθθππθθ-+-+=-+--+-)sin()](cos2sin2)1212i iππθθ=-+-+(2)12)sin(2)]1212iiπθππθθ-=-+-=(4)23(cos5sin5)(cos3sin3)iiϕϕϕϕ+-cos10sin10cos19sin19cos(9)sin(9)iiiϕϕϕϕϕϕ+==+-+-(5=11cos(2)sin(2)3232k i kππππ=+++1,0221,122,2i ki ki k+=⎪⎪⎪=-+=⎨⎪-=⎪⎪⎩(6=11(2)sin(2)]2424k i kππππ=+++88,0,1iie ke kππ==⎪=⎩4.设12,z z i==-试用三角形式表示12z z与12zz解:12cos sin, 2[cos()sin()]4466 z i z iππππ=+=-+-,所以12z z 2[cos()sin()]2(cos sin )46461212i i ππππππ=-+-=+,12z z 1155[cos()sin()](cos sin )2464621212i i ππππππ=+++=+ 5. 解下列方程: (1)5()1z i += (2)440 (0)z a a +=>解:(1)z i += 由此25k i z i ei π=-=-, (0,1,2,3,4)k =(2)z==11[cos (2)sin (2)]44a k i k ππππ=+++,当0,1,2,3k =时,对应的4个根分别为:(1), 1), 1), )i i i i +-+--- 6. 证明下列各题:(1)设,zx iy =+z x y≤≤+证明:首先,显然有z x y =≤+;创作编号:BG7531400019813488897SX创作者: 别如克*其次,因222,x y x y +≥ 固此有2222()(),x y x y +≥+从而z =≥。
完整版)复变函数测试题及答案复变函数测验题第一章复数与复变函数一、选择题1.当 $z=\frac{1+i}{1-i}$ 时,$z+z+z$ 的值等于()A) $i$ (B) $-i$ (C) $1$ (D) $-1$2.设复数 $z$ 满足 $\operatorname{arc}(z+2)=\frac{\pi}{3}$,$\operatorname{arc}(z-2)=\frac{5\pi}{6}$,那么 $z$ 等于()A) $-1+3i$ (B) $-3+i$ (C) $-\frac{2}{3}+\frac{2\sqrt{3}}{3}i$ (D) $\frac{1}{3}+2\sqrt{3}i$3.复数 $z=\tan\theta-i\left(\frac{1}{2}\right)$,$0<\theta<\pi$,则 $[0<\theta<\frac{\pi}{2}$ 时,$z$ 的三角表示式是()A) $\sec\theta[\cos(\pi+\theta)+i\sin(\pi+\theta)]$ (B)$\sec\theta[\cos\theta+i\sin\theta]$ (C) $-\sec\theta[\cos(\pi+\theta)+i\sin(\pi+\theta)]$ (D) $-\sec\theta[\cos\theta+i\sin\theta]$4.若 $z$ 为非零复数,则 $z^2-\bar{z}^2$ 与$2\operatorname{Re}(z)$ 的关系是()A) $z^2-\bar{z}^2\geq 2\operatorname{Re}(z)$ (B) $z^2-\bar{z}^2=2\operatorname{Re}(z)$ (C) $z^2-\bar{z}^2\leq2\operatorname{Re}(z)$ (D) 不能比较大小5.设 $x,y$ 为实数,$z_1=x+1+\mathrm{i}y,z_2=x-1+\mathrm{i}y$ 且有 $z_1+z_2=12$,则动点 $(x,y)$ 的轨迹是()A) 圆 (B) 椭圆 (C) 双曲线 (D) 抛物线6.一个向量顺时针旋转 $\frac{\pi}{3}$,向右平移 $3$ 个单位,再向下平移 $1$ 个单位后对应的复数为 $1-3\mathrm{i}$,则原向量对应的复数是()A) $2$ (B) $1+3\mathrm{i}$ (C) $3-\mathrm{i}$ (D)$3+\mathrm{i}$7.使得 $z=\bar{z}$ 成立的复数 $z$ 是()A) 不存在的 (B) 唯一的 (C) 纯虚数 (D) 实数8.设 $z$ 为复数,则方程 $z+\bar{z}=2+\mathrm{i}$ 的解是()A) $-\frac{3}{3}+\mathrm{i}$ (B) $-\mathrm{i}$ (C)$\mathrm{i}$ (D) $-\mathrm{i}+4$9.满足不等式$|z+i|\leq 2$ 的所有点$z$ 构成的集合是()A) 有界区域 (B) 无界区域 (C) 有界闭区域 (D) 无界闭区域10.方程 $z+2-3\mathrm{i}=2$ 所代表的曲线是()A) 中心为 $2-3\mathrm{i}$,半径为 $2$ 的圆周 (B) 中心为 $-2+3\mathrm{i}$,半径为 $2$ 的圆周 (C) 中心为 $-2+3\mathrm{i}$,半径为 $2$ 的圆周 (D) 中心为 $2-3\mathrm{i}$,半径为 $2$ 的圆周11.下列方程所表示的曲线中,不是圆周的为()A) $\frac{z-1}{z+2}=2$ (B) $z+3-\bar{z}-3=4$ (C) $|z-a|=1$ ($a0$)12.设 $f(z)=1-z$,$z_1=2+3\mathrm{i}$,$z_2=5-\mathrm{i}$,则 $f(z_1-z_2)$ 等于()A) $-2-2\mathrm{i}$ (B) $-2+2\mathrm{i}$ (C)$2+2\mathrm{i}$ (D) $2-2\mathrm{i}$1.设 $f(z)=1$,$f'(z)=1+i$,则 $\lim_{z\to 0}\frac{f(z)-1}{z}=$ $f(z)$ 在区域 $D$ 内解析,且 $u+v$ 是实常数,则$f(z)$ 在 $D$ 内是常数。
习题一答案1.求下列复数的实部、虚部、模、幅角主值及共轭复数:(1)132i+(2)(1)(2)ii i--(3)131ii i--(4)8214i i i-+-解:(1)1323213i zi-==+,因此:32 Re, Im1313 z z==-,232arg arctan,31313z z z i==-=+(2)3(1)(2)1310i i izi i i-+===---,因此,31Re, Im1010z z=-=,131arg arctan,31010z z z iπ==-=--(3)133335122i i iz ii i--=-=-+=-,因此,35Re, Im32z z==-,535,arg arctan,232iz z z+==-=(4)82141413z i i i i i i=-+-=-+-=-+因此,Re1,Im3z z=-=,arg arctan3,13z z z iπ==-=--2.将下列复数化为三角表达式和指数表达式:(1)i(2)1-+(3)(sin cos)r iθθ+(4)(cos sin)r iθθ-(5)1cos sin (02)iθθθπ-+≤≤解:(1)2cossin22ii i e πππ=+=(2)1-+23222(cos sin )233i i e πππ=+=(3)(sin cos )r i θθ+()2[cos()sin()]22ir i reπθππθθ-=-+-=(4)(cos sin )r i θθ-[cos()sin()]i r i re θθθ-=-+-=(5)21cos sin 2sin2sin cos 222i i θθθθθ-+=+ 22sin [cossin]2sin 2222ii eπθθπθπθθ---=+=3. 求下列各式的值:(1)5)i - (2)100100(1)(1)i i ++-(3)(1)(cos sin )(1)(cos sin )i i i θθθθ-+-- (4)23(cos5sin 5)(cos3sin 3)i i ϕϕϕϕ+-(5(6解:(1)5)i -5[2(cos()sin())]66i ππ=-+-5552(cos()sin()))66i i ππ=-+-=-+(2)100100(1)(1)i i ++-50505051(2)(2)2(2)2i i =+-=-=-(3)(1)(cos sin )(1)(cos sin )i i i θθθθ-+--2[cos()sin()](cos sin )33)sin()][cos()sin()]44i i i i ππθθππθθ-+-+=-+--+-)sin()](cos2sin 2)1212i i ππθθ=-+-+(2)12)sin(2)]1212ii πθππθθ-=-+-=(4)23(cos5sin 5)(cos3sin 3)i i ϕϕϕϕ+- cos10sin10cos19sin19cos(9)sin(9)i i i ϕϕϕϕϕϕ+==+-+-(5=11cos (2)sin (2)3232k i k ππππ=+++1, 0221, 122, 2i k i k i k +=⎪⎪⎪=-+=⎨⎪-=⎪⎪⎩(6=11(2)sin (2)]2424k i k ππππ=+++88, 0, 1i i e k e k ππ==⎪=⎩4.设12 ,z z i ==-试用三角形式表示12z z 与12z z 解:12cossin, 2[cos()sin()]4466z i z i ππππ=+=-+-,所以12z z 2[cos()sin()]2(cos sin )46461212i i ππππππ=-+-=+,12z z 1155[cos()sin()](cos sin )2464621212i i ππππππ=+++=+5. 解下列方程: (1)5()1z i += (2)440 (0)z a a +=>解:(1)z i += 由此25k i z i ei π=-=-, (0,1,2,3,4)k =(2)z==11[cos (2)sin (2)]44a k i k ππππ=+++,当0,1,2,3k =时,对应的4(1), 1), 1), )i i i i +-+--- 6. 证明下列各题:(1)设,z x iy =+z x y≤≤+证明:首先,显然有z x y =≤+;其次,因222,x y x y +≥固此有2222()(),x y x y +≥+从而z =≥。
复变函数课后习题答案(全)习题一答案1.求下列复数的实部、虚部、模、幅角主值及共轭复数: (3) 13i(4).8 21 .i 4i ii 1 i13 2i 解: (1) z3 2i 131 3i .3 3i 3 5i(3) z -ii 1 i2 2 因此, Rez 35 Im z532(4).8 z i 4i 21 i1 4i i1 3i因此, Rez 1, Im z 3,2.将下列复数化为二角表达式和指数表达式:(1)i (2) 1 Vi (3)r(si ni cos )(4) r(cosisin )( 5) 1 cos i sin(02 )解: (1) i cosi sin - —i-e 22 22一i(2) 1 2(cosi..2 isin32e 3 (3) r(sin icos ) r[cos (-i sin(-)](1)13~2\(2) \ (\ 1)(\ 2)因此:Rez3 13 Im z2 13(2)zi (i 1)(i 2)i 1 3i 3 i 10因此,Rez3 10Im z 1 10(4) r(cos isin ) r[cos( ) i sin( )] re(5) 1 cos isin 2sin 2i sin — cos-2 23.求下列各式的值:(1) (\3 i)5(2)(1 100i) (1 100i)(3) (1 \3i)(cos(1 i)(cos isin )i sin ) 2(cos5 isin5 )3(cos3 isin 3(5) (6) d i解: (1) (七i)5[2(cos(舌)isin( -))]5 6(2) (1 100i) (1 100 50i) (2i) (2i)502(2)50251(3) (1 i sin ) (1 i)(cos isin )(4)2 (cos5 isin5 )(cos3 isin3 )3(5) cos— isin —2 2\ 2(cos —isin )44.设z-ii,试用三角形式表示z1z2与-ZZ2解:z1 cos i sin , z24 42[cos( ) i sin()],所以6 6弓勺2[cosq g is"(4 6)]5.解下列方程:(1) (z i)5 1 (2) z4 a40 (a 0) 解:(1)z i 51,由此从而z由此,左端=右端,即原式成立。
《复变函数》考试试题(一)一、 判断题(20分):1.若f(z)在z 0的某个邻域内可导,则函数f(z)在z 0解析. ( )2.有界整函数必在整个复平面为常数. ( )3.若}{n z 收敛,则} {Re n z 与}{Im n z 都收敛. ( )4.若f(z)在区域D 内解析,且0)('≡z f ,则C z f ≡)((常数). ( )5.若函数f(z)在z 0处解析,则它在该点的某个邻域内可以展开为幂级数. ( )6.若z 0是)(z f 的m 阶零点,则z 0是1/)(z f 的m 阶极点. ( )7.若)(lim 0z f z z →存在且有限,则z 0是函数f(z)的可去奇点. ( )8.若函数f(z)在是区域D 内的单叶函数,则)(0)('D z z f ∈∀≠. ( ) 9. 若f (z )在区域D 内解析, 则对D 内任一简单闭曲线C0)(=⎰Cdz z f .( )10.若函数f(z)在区域D 内的某个圆内恒等于常数,则f(z)在区域D 内恒等于常数.( ) 二.填空题(20分)1、 =-⎰=-1||00)(z z nz z dz__________.(n 为自然数)2.=+z z 22cos sin _________. 3.函数z sin 的周期为___________.4.设11)(2+=z z f ,则)(z f 的孤立奇点有__________.5.幂级数nn nz∞=∑的收敛半径为__________.6.若函数f(z)在整个平面上处处解析,则称它是__________.7.若ξ=∞→n n z lim ,则=+++∞→n z z z nn (i)21______________.8.=)0,(Re n zz e s ________,其中n 为自然数.9. zz sin 的孤立奇点为________ .10.若0z 是)(z f 的极点,则___)(lim 0=→z f z z .三.计算题(40分):1. 设)2)(1(1)(--=z z z f ,求)(z f 在}1||0:{<<=z z D 内的罗朗展式.2. .cos 11||⎰=z dz z3. 设⎰-++=C d z z f λλλλ173)(2,其中}3|:|{==z z C ,试求).1('i f +4. 求复数11+-=z z w 的实部与虚部.四. 证明题.(20分) 1. 函数)(z f 在区域D 内解析. 证明:如果|)(|z f 在D 内为常数,那么它在D 内为常数. 2. 试证: ()(1)f z z z =-在割去线段0Re 1z ≤≤的z 平面内能分出两个单值解析分支,并求出支割线0Re 1z ≤≤上岸取正值的那支在1z =-的值.《复变函数》考试试题(一)参考答案一. 判断题1.×2.√ 3.√ 4.√ 5.√ 6.√ 7.×8.×9.×10.× 二.填空题 1. 2101i n n π=⎧⎨≠⎩; 2. 1; 3. 2k π,()k z ∈; 4. z i =±; 5. 16. 整函数;7. ξ;8. 1(1)!n -; 9. 0; 10. ∞.三.计算题.1. 解 因为01,z << 所以01z <<111()(1)(2)12(1)2f z z z z z ==-----001()22nn n n z z ∞∞===-∑∑.2. 解 因为22212Re ()limlim 1cos sin z z z z s f z z z ππππ→→=+===--, 22212Re ()limlim 1cos sin z z z z s f z z zππππ→-→-=--===-. 所以22212(Re ()Re ()0cos z z z dz i s f z s f z z πππ==-==+=⎰. 3. 解 令2()371ϕλλλ=++, 则它在z 平面解析, 由柯西公式有在3z <内, ()()2()c f z dz i z z ϕλπϕλ==-⎰.所以1(1)2()2(136)2(613)z i f i i z i i i πϕππ=+''+==+=-+. 4. 解 令z a bi =+, 则 222222122(1)2(1)211111(1)(1)(1)z a bi a bw z z a b a b a b -+-+==-=-=-+++++++++. 故 2212(1)Re()11(1)z a z a b -+=-+++, 2212Im()1(1)z bz a b -=+++. 四. 证明题.1. 证明 设在D 内()f z C =.令2222(),()f z u iv f z u v c =+=+=则.两边分别对,x y 求偏导数, 得 0(1)0(2)x x yy uu vv uu vv +=⎧⎨+=⎩因为函数在D 内解析, 所以,x y y x u v u v ==-. 代入 (2) 则上述方程组变为00x x x x uu vv vu uv +=⎧⎨-=⎩. 消去x u 得, 22()0x u v v +=. 1) 若220u v +=, 则 ()0f z = 为常数.2) 若0x v =, 由方程 (1) (2) 及 ..C R -方程有0,x u = 0y u =, 0y v =. 所以12,u c v c ==. (12,c c 为常数).所以12()f z c ic =+为常数. 2. 证明()(1)f z z z =-的支点为0,1z =. 于是割去线段0Re 1z ≤≤的z 平面内变点就不可能单绕0或1转一周, 故能分出两个单值解析分支.由于当z 从支割线上岸一点出发,连续变动到0,1z = 时, 只有z 的幅角增加π. 所以()(1)f z z z =-的幅角共增加2π. 由已知所取分支在支割线上岸取正值, 于是可认为该分支在上岸之幅角为0, 因而此分支在1z =-的幅角为2π, 故2(1)22i f e i π-==.《复变函数》考试试题(二)一. 判断题.(20分)1. 若函数),(),()(y x iv y x u z f +=在D 内连续,则u (x,y )与v (x,y )都在D 内连续. ( )2. cos z 与sin z 在复平面内有界. ( )3. 若函数f (z )在z 0解析,则f (z )在z 0连续. ( )4. 有界整函数必为常数. ( )5. 如z 0是函数f (z )的本性奇点,则)(lim 0z f z z →一定不存在. ( )6. 若函数f (z )在z 0可导,则f (z )在z 0解析. ( )7. 若f (z )在区域D 内解析, 则对D 内任一简单闭曲线C 0)(=⎰Cdz z f .( )8. 若数列}{n z 收敛,则}{Re n z 与}{Im n z 都收敛. ( ) 9. 若f (z )在区域D 内解析,则|f (z )|也在D 内解析. ( )10. 存在一个在零点解析的函数f (z )使0)11(=+n f 且,...2,1,21)21(==n nn f .( )二. 填空题. (20分)1. 设i z -=,则____,arg __,||===z z z2.设C iy x z y x i xy x z f ∈+=∀+-++=),sin(1()2()(222,则=+→)(lim 1z f iz ________.3.=-⎰=-1||00)(z z n z z dz_________.(n 为自然数)4. 幂级数0n n nz ∞=∑的收敛半径为__________ .5. 若z 0是f (z )的m 阶零点且m >0,则z 0是)('z f 的_____零点.6. 函数e z 的周期为__________.7. 方程083235=++-z z z 在单位圆内的零点个数为________. 8. 设211)(zz f +=,则)(z f 的孤立奇点有_________. 9. 函数||)(z z f =的不解析点之集为________.10. ____)1,1(Res 4=-zz . 三. 计算题. (40分)1. 求函数)2sin(3z 的幂级数展开式. 2. 在复平面上取上半虚轴作割线. 试在所得的区域内取定函数z在正实轴取正实值的一个解析分支,并求它在上半虚轴左沿的点及右沿的点i z=处的值.3. 计算积分:⎰-=iiz z Id ||,积分路径为(1)单位圆(1||=z )的右半圆.4. 求dzz zz ⎰=-22)2(sin π.四. 证明题. (20分)1. 设函数f (z )在区域D 内解析,试证:f (z )在D 内为常数的充要条件是)(z f 在D 内解析.2. 试用儒歇定理证明代数基本定理.《复变函数》考试试题(二)参考答案一. 判断题.1.√ 2.×3.√ 4.√ 5.×6.×7.×8.√ 9.×10.×. 二. 填空题1.1,2π-, i ; 2. 3(1sin 2)i +-; 3. 2101i n n π=⎧⎨≠⎩; 4. 1; 5. 1m -. 6. 2k i π,()k z ∈. 7. 0; 8. i ±; 9. R ; 10. 0. 三. 计算题1. 解 3212163300(1)(2)(1)2sin(2)(21)!(21)!n n n n n n n z z z n n +++∞∞==--==++∑∑.2. 解 令i z re θ=. 则22(),(0,1)k if z z rek θπ+===.又因为在正实轴去正实值,所以0k =.所以4()if i eπ=.3. 单位圆的右半圆周为i z e θ=, 22ππθ-≤≤.所以22222ii i iz dz de ei ππθθππ---===⎰⎰.4. 解dz z zz ⎰=-22)2(sin π2)(sin 2ππ='=z z i 2cos 2ππ==z zi =0.四. 证明题.1. 证明 (必要性) 令12()f z c ic =+,则12()f z c ic =-. (12,c c 为实常数). 令12(,),(,)u x y c v x y c ==-. 则0x y y x u v u v ====. 即,u v 满足..C R -, 且,,,x y y x u v u v 连续, 故()f z 在D 内解析. (充分性) 令()f z u iv =+, 则 ()f z u iv =-, 因为()f z 与()f z 在D 内解析, 所以,x y y x u v u v ==-, 且(),()x y y y x x u v v u v v =-=-=--=-.比较等式两边得 0x y y x u v u v ====. 从而在D 内,u v 均为常数,故()f z 在D 内为常数.2. 即要证“任一 n 次方程 101100(0)n n n n a z a z a z a a --++⋅⋅⋅++=≠ 有且只有 n 个根”.证明 令1011()0nn n n f z a z a z a z a --=++⋅⋅⋅++=, 取10max ,1n a a R a ⎧⎫+⋅⋅⋅+⎪⎪>⎨⎬⎪⎪⎩⎭, 当z 在:C z R =上时, 有 111110()()n n nn n n z a R a R a a a R a R ϕ---≤+⋅⋅⋅++<+⋅⋅⋅+<.()f z =.由儒歇定理知在圆 z R < 内, 方程10110n n n n a z a z a z a --++⋅⋅⋅++= 与 00na z = 有相同个数的根. 而 00na z = 在 z R < 内有一个 n 重根 0z =. 因此n 次方程在z R <内有n 个根.《复变函数》考试试题(三)一. 判断题. (20分).1. cos z 与sin z 的周期均为πk2. ( ) 2. 若f (z )在z 0处满足柯西-黎曼条件, 则f (z )在z 0解析. ( )3. 若函数f (z )在z 0处解析,则f (z )在z 0连续. ( )4. 若数列}{n z 收敛,则}{Re n z 与}{Im n z 都收敛. ( )5. 若函数f (z )是区域D 内解析且在D 内的某个圆内恒为常数,则数f (z )在区域D 内为常数. ( )6. 若函数f (z )在z 0解析,则f (z )在z 0的某个邻域内可导. ( )7. 如果函数f (z )在}1|:|{≤=z z D 上解析,且)1|(|1|)(|=≤z z f ,则)1|(|1|)(|≤≤z z f . ( ) 8. 若函数f (z )在z 0处解析,则它在该点的某个邻域内可以展开为幂级数. ( ) 9. 若z 0是)(z f 的m 阶零点, 则z 0是1/)(z f 的m 阶极点. ( ) 10. 若0z 是)(z f 的可去奇点,则0)),((Res 0=z z f . ( )二. 填空题. (20分)1. 设11)(2+=z z f ,则f (z )的定义域为___________.2. 函数e z 的周期为_________.3. 若n n n i n n z )11(12++-+=,则=∞→n z n lim __________.4. =+z z 22cos sin ___________.5. =-⎰=-1||00)(z z n z z dz_________.(n 为自然数) 6. 幂级数∑∞=0n n nx 的收敛半径为__________.7. 设11)(2+=z z f ,则f (z )的孤立奇点有__________.8. 设1-=ze ,则___=z .9. 若0z 是)(z f 的极点,则___)(lim 0=→z f z z .10. ____)0,(Res =n zze .三. 计算题. (40分)1. 将函数12()zf z z e =在圆环域0z <<∞内展为Laurent 级数.2. 试求幂级数nn n z nn ∑+∞=!的收敛半径.3. 算下列积分:⎰-C z z z ze )9(d 22,其中C 是1||=z .4. 求0282269=--+-z z z z在|z |<1内根的个数.四. 证明题. (20分) 1. 函数)(z f 在区域D 内解析. 证明:如果|)(|z f 在D 内为常数,那么它在D 内为常数. 2. 设)(z f 是一整函数,并且假定存在着一个正整数n ,以及两个正数R 及M ,使得当R z ≥||时n z M z f |||)(|≤,证明)(z f 是一个至多n 次的多项式或一常数。
习题一答案之马矢奏春创作1. 求下列复数的实部、虚部、模、幅角主值及共轭复数:(1)132i+ (2)(1)(2)i i i -- (3)131i i i -- (4)8214i i i -+- 解:(1)1323213i z i -==+, 因此:32Re , Im 1313z z ==-, (2)3(1)(2)1310i i i z i i i -+===---, 因此,31Re , Im 1010z z =-=, (3)133335122i i i z i i i --=-=-+=-, 因此,35Re , Im 32z z ==-, (4)82141413z i i i i i i =-+-=-+-=-+因此,Re 1, Im 3z z =-=,2. 将下列复数化为三角表达式和指数表达式:(1)i (2)1-+ (3)(sin cos )r i θθ+(4)(cos sin )r i θθ- (5)1cos sin (02)i θθθπ-+≤≤解:(1)2cos sin 22ii i e πππ=+= (2)1-+23222(cos sin )233i i e πππ=+= (3)(sin cos )r i θθ+()2[cos()sin()]22i r i re πθππθθ-=-+-=(4)(cos sin )r i θθ-[cos()sin()]i r i re θθθ-=-+-=(5)21cos sin 2sin 2sin cos 222i i θθθθθ-+=+ 3. 求下列各式的值: (1)5)i - (2)100100(1)(1)i i ++-(3)(1)(cos sin )(1)(cos sin )i i i θθθθ+-- (4)23(cos5sin5)(cos3sin3)i i ϕϕϕϕ+- (5(6解:(1)5)i -5[2(cos()sin())]66i ππ=-+- (2)100100(1)(1)i i ++-50505051(2)(2)2(2)2i i =+-=-=-(3)(1)(cos sin )(1)(cos sin )i i i θθθθ-+-- (4)23(cos5sin5)(cos3sin3)i i ϕϕϕϕ+- (5=(6= 4.设12 ,z z i ==-试用三角形式暗示12z z 与12z z 解:12cos sin , 2[cos()sin()]4466z i z i ππππ=+=-+-,所以 12z z 2[cos()sin()]2(cos sin )46461212i i ππππππ=-+-=+, 5. 解下列方程:(1)5()1z i += (2)440 (0)z a a +=>解:(1)z i+=由此25k iz i e iπ=-=-,(0,1,2,3,4)k=(2)z==11[cos(2)sin(2)]44a k i kππππ=+++,当0,1,2,3k=时,对应的4(1),(1),1),(1)i i i i+-+---6.证明下列各题:(1)设,z x iy=+z x y≤≤+证明:首先,显然有z x y=≤+;其次,因222,x y x y+≥固此有2222()(),x y x y+≥+从而z=≥。
(1);(2);(3);(4);(5);(6)答案(1)实部-1;虚部;模为2;辐角为;主辐角为;原题即为代数形式;三角形式为;指数形式为.(2)略为(3)略为(4)略为(5)略为:(6)该复数取两个值略为计算下列复数1);2);答案1);2);计算下列复数(1);(2);答案(1)(2)已知为实数,求复数的实部和虚部.【解】令,即为实数域(Real).平方得到,根据复数相等,所以即实部为虚部为说明已考虑根式函数是两个值,即为值.如果试证明对于任何复常数有【证明】因为,所以如果复数是实系数方程的根,则一定也是该方程的根.证因为,,…,均为实数,故,,…,.且,故由共轭复数性质有:.则由已知.两端取共轭得即.故也是之根.注此题仅通过共轭的运算的简单性质及实数的共轭为其本身即得证.此结论说明实系数多项式的复零点是成对出现的.这一点在代数学中早已被大家认识.特别地,奇次实系数多项式至少有一个实零点.证明:,并说明其几何意义.若,试求的值.【解】因为所以即为所以将下列复数表为的幂的形式(1);(2)答案证明:如果是1的n次方根中的一个复数根,但是即不是主根,则必有对于复数,证明复数形式的柯西(Cauchy)不等式:成立。
【证明】对任意n个复数,由三角不等式知再由关于实数的柯西不等式得,证毕。
证明成立.下列不等式在复数平面上表示怎样的点集1);2);3);4);5)(答 1)平面上由与所构成的宽度为1的铅直带形域;2)以为心,内半径为2,外半径为3的圆环域;3)顶点在原点,开度为的角形区域;4)宽度为的说平带形域,边界为,;5)以为心,为半径的圆之外部区域)指出下列关系表示的点之轨迹或范围;并说明是何种点集1)2)解 1)令,由知且即这样的点为平面上从点出发(但不含点)与实轴倾角为的射线.此射线所形成的点集既非开集,也非闭集.2)设,则原条件即为即由模的定义得化简得这是一椭圆,长半轴为,短半轴为,中心在原点,它是有界闭集(全部为边界点).描述下列不等式所确定的点集,并指出是区域还是闭区域,有界还是无界,单连通还是多(或复)连通.(1)(2)(3)(4)(5)(6)(7)(8)解(1)是以i为圆心、在以2为半径的圆外,3为半径的圆内的圆环,是有界闭区域、多连通.(图形略)(2)即是下半平面,无界单连通闭区域.(3)到3的距离比到2的距离大,因此,它是左半平面,去掉一点,是无界的多连通的区域.(4)在直线的上方,其中.无界单连通区域(5)即或是无界多连通区域(6)此不等是焦点在和初,长半轴为5/2的椭圆内部,为有界单连通闭区域).(7)这是半支双曲线:,部分是无界单连通区域.(8)不等式即,或,只有当,成立,因此,只代表复平面上一个点.已知映射,求(1) 圆周的象;(2)直线的象;(3)区域的象.答案 (1) ,为圆周(2)直线(3)先看直线 x=1的象,而 z=0 的象在圆的外部,因此的象是圆的内部即为讨论下列函数在指定点的极限存在性,若存在求出其值,并判断在该点的连续性.1), 2),解 1),则,,,又注意即在点处极限存在且连续.2)设,则显然,在点极限存在且连续.但注意不存在,事实上,令,有,对不同值有不同结果,故知不存在.所以,不存在.由连续与极限的关系知在处极限不存在、不连续.注这两个问题均通过极限存在的充要条件将问题转化为两个二元实函数在对应点处极限存在性的判断问题,这是最常用的方法.在问题1)中,又根据连徐的另一等价定义,立即得到在处不仅极限存在,而且在该点连续的结论;在2)中,实际上是一复变量实值函数,即,所以由充要条件只需判断一个二元实函数在点的极限存在性.由该二元实函数在点极限不存在即得在处极限的不存在性.若函数在点点连续,证明(1)在该点连续;(2)的模在该点连续.本章计算机编程实践与思考(说明:读者可参考第五部分计算机仿真编程实践)使用Matlab,或Mathcad,或Mathmatic计算机仿真求解下列复数的实部、虚部;共轭复数;模与辐角;计算机仿真计算:计算机仿真求解方程计算机仿真编程实践:若对应为的根,其中且取整数.试用计算机仿真编程验证下列数学恒等式成立.用计算机编程实践方法(Matlab,Mathcad,Mathmatic,C/C++)实现:(1)绘出单位圆及其内接正十七边形;(2)计算机编程求出边长;(3)能否对多变形进行推广,得出相应的计算机仿真计算方法.计算机仿真编程验证对复平面任意两个以上的不重合的有限远点,(即保证分母不为零),恒等式是否还成立呢注意式中自然数,而m, k为1至N的整数.(提示:利用随机函数产生随机数,从而验证恒等式是否成立)。
第一章复数与复变函数(答案)一、选择题1.当时,的值等于(B )ii z -+=115075100z z z ++(A ) (B ) (C ) (D )i i -11-2.设复数满足,,那么(A )z arg(2)3z π+=5arg(2)6z π-==z (A ) (B ) (C ) (D )i 31+-i +-3i 2321+-i 2123+-3.复数的三角表示式是(D ))2(tan πθπθ<<-=i z (A ) (B ))]2sin()2[cos(sec θπθπθ+++i )]23sin()23[cos(sec θπθπθ+++i (C )(D ))]23sin()23[cos(sec θπθπθ+++-i )]2sin()2[cos(sec θπθπθ+++-i 4.若为非零复数,则与的关系是(C )z 22z z -z z 2(A ) (B )z z z z 222≥-z z z z 222=-(C ) (D )不能比较大小z z zz 222≤-5.设为实数,且有,则动点y x ,yi x z yi x z +-=++=11,11211221=+z z 的轨迹是(B )),(y x (A )圆 (B )椭圆 (C )双曲线 (D )抛物线6.一个向量顺时针旋转,对应的复数为,则原向量对应的复数是(A )3πi 31-(A ) (B ) (C ) (D )2i 31+i -3i+37.使得成立的复数是(D )22z z =z(A )不存在的 (B )唯一的 (C )纯虚数 (D )实数8.设为复数,则方程的解是(B )z i z z +=+2(A ) (B ) (C ) (D )i +-43i +43i -43i --439.满足不等式的所有点构成的集合是(D )2≤+-iz iz z (A )有界区域 (B )无界区域 (C )有界闭区域 (D )无界闭区域10.方程所代表的曲线是(C )232=-+i z (A )中心为,半径为的圆周 (B )中心为,半径为2的圆周i 32-2i 32+-(C )中心为,半径为的圆周 (D )中心为,半径为2的圆周i 32+-2i 32-11.下列方程所表示的曲线中,不是圆周的为(B )(A ) (B )221=+-z z 433=--+z z (C ) (D ))1(11<=--a azaz )0(0>=-+++c c a a z a z a z z 12.设,则(C ),5,32,1)(21i z i z z z f -=+=-=12()f z z -=(A ) (B ) (C ) (D )i 44--i 44+i 44-i 44+-13.(D )000Im()Im()limz z z z z z →--(A )等于 (B )等于 (C )等于 (D )不存在i i -014.函数在点处连续的充要条件是(C )),(),()(y x iv y x u z f +=000iy x z +=(A )在处连续 (B )在处连续),(y x u ),(00y x ),(y x v ),(00y x (C )和在处连续(D )在处连续),(y x u ),(y x v ),(00y x ),(),(y x v y x u +),(00y x15.设且,则函数的最小值为(A )C z ∈1=z zz z z f 1)(2+-=(A ) (B ) (C ) (D )3-2-1-1二、填空题1.设,则)2)(3()3)(2)(1(i i i i i z ++--+==z 22.设,则)2)(32(i i z +--==z arg 8arctan -π3.设,则 43)arg(,5π=-=i z z =z i 21+-4.复数的指数表示式为 22)3sin 3(cos )5sin5(cos θθθθi i -+ie θ165.以方程的根的对应点为顶点的多边形的面积为 i z 1576-=6.不等式所表示的区域是曲线(或522<++-z z 522=++-z z ) 的内部1)23()25(2222=+y x 7.方程所表示曲线的直角坐标方程为 1)1(212=----zi iz 122=+y x 8.方程所表示的曲线是连接点 和 的线段的垂i z i z +-=-+22112i -+2i -直平分线9.对于映射,圆周的像曲线为zi =ω1)1(22=-+y x ()2211u v -+=10. =+++→)21(lim 421z z iz 12i -+三、若复数满足,试求的取值范围.z 03)21()21(=+++-+z i z i z z 2+z((或))]25,25[+-25225+≤+≤-z 四、设,在复数集中解方程.0≥a C a z z =+22(当时解为或10≤≤a i a )11(-±±)11(-+±a 当时解为)+∞≤≤a 1)11(-+±a 五、设复数,试证是实数的充要条件为或.i z ±≠21zz+1=z Im()0z =六、对于映射,求出圆周的像.)1(21zz +=ω4=z (像的参数方程为.表示平面上的椭圆)π≤θ≤⎪⎩⎪⎨⎧θ=θ=20sin 215cos 217v u w 1)215()217(2222=+v u 七、设,试讨论下列函数的连续性:iy x z +=1.⎪⎩⎪⎨⎧=≠+=0,00,2)(22z z y x xyz f 2..⎪⎩⎪⎨⎧=≠+=0,00,)(223z z y x y x z f (1.在复平面除去原点外连续,在原点处不连续;)(z f 2.在复平面处处连续))(z f 第二章 解析函数(答案)一、选择题:1.函数在点处是( B )23)(z z f =0=z(A )解析的 (B )可导的(C )不可导的 (D )既不解析也不可导2.函数在点可导是在点解析的( B ))(z f z )(z f z (A )充分不必要条件 (B )必要不充分条件(C )充分必要条件 (D )既非充分条件也非必要条件3.下列命题中,正确的是( D )(A )设为实数,则y x ,1)cos(≤+iy x (B )若是函数的奇点,则在点不可导0z )(z f )(z f 0z (C )若在区域内满足柯西-黎曼方程,则在内解析v u ,D iv u z f +=)(D (D )若在区域内解析,则在内也解析)(z f D )(z if D 4.下列函数中,为解析函数的是( C )(A ) (B )xyi y x 222--xyi x +2(C ) (D ))2()1(222x x y i y x +-+-33iy x +5.函数在处的导数( A ))Im()(2z z z f =0z =(A )等于0 (B )等于1 (C )等于 (D )不存在1-6.若函数在复平面内处处解析,那么实常)(2)(2222x axy y i y xy x z f -++-+=数( C )=a (A ) (B ) (C ) (D )0122-7.如果在单位圆内处处为零,且,那么在内( C ))(z f '1<z 1)0(-=f 1<z ≡)(z f (A ) (B ) (C ) (D )任意常数011-8.设函数在区域内有定义,则下列命题中,正确的是( C ))(z f D (A )若在内是一常数,则在内是一常数)(z f D )(z f D (B )若在内是一常数,则在内是一常数))(Re(z f D )(z f D (C )若与在内解析,则在内是一常数)(z f )(z f D )(z f D(D )若在内是一常数,则在内是一常数)(arg z f D )(z f D 9.设,则( A )22)(iy x z f +==+')1(i f (A ) (B ) (C ) (D )2i 2i +1i 22+10.的主值为( D )ii (A ) (B ) (C ) (D )012πe 2eπ-11.在复平面上( A )ze (A )无可导点 (B )有可导点,但不解析(C )有可导点,且在可导点集上解析 (D )处处解析12.设,则下列命题中,不正确的是( C )z z f sin )(=(A )在复平面上处处解析 (B )以为周期)(z f )(z f π2(C ) (D )是无界的2)(iziz e e z f --=)(z f 13.设为任意实数,则( D )αα1(A )无定义 (B )等于1(C )是复数,其实部等于1 (D )是复数,其模等于114.下列数中,为实数的是( B )(A ) (B ) (C ) (D )3)1(i -i cos i ln e 23π-15.设是复数,则( C )α(A )在复平面上处处解析 (B )的模为αz αz αz(C )一般是多值函数 (D )的辐角为的辐角的倍αz αz z α二、填空题1.设,则i f f +='=1)0(,1)0(=-→zz f z 1)(limi +12.设在区域内是解析的,如果是实常数,那么在内是 常数iv u z f +=)(D v u +)(z f D3.导函数在区域内解析的充要条件为 可微且满足x vix u z f ∂∂+∂∂=')(D xvx u ∂∂∂∂, 222222,xvy x u y x v x u ∂∂-=∂∂∂∂∂∂=∂∂4.设,则2233)(y ix y x z f ++==+-')2323(i f i 827427-5.若解析函数的实部,那么或iv u z f +=)(22y x u -==)(z f ic xyi y x ++-222为实常数ic z +2c 6.函数仅在点处可导)Re()Im()(z z z z f -==z i 7.设,则方程的所有根为 z i z z f )1(51)(5+-=0)(='z f 3,2,1,0),424sin 424(cos 28=π+π+π+πk k i k 8.复数的模为ii ),2,1,0(2L ±±=π-k ek 9.=-)}43Im{ln(i 34arctan -10.方程的全部解为01=--ze),2,1,0(2L ±±=πk i k 三、试证下列函数在平面上解析,并分别求出其导数z 1.();sinh sin cosh cos )(y x i y x z f -=;sin )(z z f -='2.());sin cos ()sin cos ()(y ix y y ie y y y x e z f xx++-=.)1()(ze z zf +='四、已知,试确定解析函数.22y x v u -=-iv u z f +=)((.为任意实常数)c i z i z f )1(21)(2++-=c 第三章 复变函数的积分(答案)一、选择题:1.设为从原点沿至的弧段,则( D )c x y =2i +1=+⎰cdz iy x )(2(A )(B ) (C ) (D )i 6561-i 6561+-i 6561--i 6561+2.设为不经过点与的正向简单闭曲线,则为( D)c 11-dz z z zc ⎰+-2)1)(1((A )(B ) (C ) (D )(A)(B)(C)都有可能2iπ2iπ-03.设为负向,正向,则( B )1:1=z c 3:2=z c =⎰+=dz zzc c c 212sin (A )(B ) (C ) (D )i π2-0iπ2iπ44.设为正向圆周,则( C)c 2=z =-⎰dz z zc2)1(cos (A ) (B ) (C ) (D )1sin -1sin 1sin 2i π-1sin 2i π5.设为正向圆周,则 ( B)c 21=z =--⎰dz z z z c23)1(21cos(A ) (B ) (C ) (D ))1sin 1cos 3(2-i π01cos 6i π1sin 2i π-6.设,其中,则( A )ξξξξd ze zf ⎰=-=4)(4≠z =')i f π((A ) (B ) (C ) (D )i π2-1-i π217.设在单连通域内处处解析且不为零,为内任何一条简单闭曲线,则积分)(z f B c B( C )dz z f z f z f z f c⎰+'+'')()()(2)((A )于 (B )等于 (C )等于 (D )不能确定i π2i π2-08.设是从到的直线段,则积分( A )c 0i 21π+=⎰cz dz ze (A ) (B) (C) (D) 21eπ-21eπ--i e21π+ie21π-9.设为正向圆周,则( A )c 0222=-+x y x =-⎰dz z z c1)4sin(2π(A )(B ) (C ) (D )i π22i π20i π22-10.设为正向圆周,则( C)c i a i z ≠=-,1=-⎰cdz i a zz 2)(cos (A ) (B )(C ) (D )ie π2eiπ20i i cos 11.设在区域内解析,为内任一条正向简单闭曲线,它的内部全属于.如果)(z f D c D D 在上的值为2,那么对内任一点,( C ))(z f c c 0z )(0z f (A )等于0 (B )等于1 (C )等于2 (D )不能确定12.下列命题中,不正确的是( D )(A )积分的值与半径的大小无关⎰=--ra z dz az 1)0(>r r (B ),其中为连接到的线段2)(22≤+⎰cdz iy xc i -i (C )若在区域内有,则在内存在且解析D )()(z g z f ='D )(z g '(D )若在内解析,且沿任何圆周的积分等于零,则)(z f 10<<z )10(:<<=r r z c 在处解析)(z f 0=z 13.设为任意实常数,那么由调和函数确定的解析函数是 ( D)c 22y x u -=iv u z f +=)((A) (B ) (C ) (D )c iz +2ic iz +2c z +2ic z +214.下列命题中,正确的是(C)(A )设在区域内均为的共轭调和函数,则必有21,v v D u 21v v =(B )解析函数的实部是虚部的共轭调和函数(C )若在区域内解析,则为内的调和函数iv u z f +=)(D xu∂∂D (D )以调和函数为实部与虚部的函数是解析函数15.设在区域内为的共轭调和函数,则下列函数中为内解析函数的是( ),(y x v D ),(y x u D B )(A ) (B )),(),(y x iu y x v +),(),(y x iu y x v -(C ) (D )),(),(y x iv y x u -xv i x u ∂∂-∂∂二、填空题1.设为沿原点到点的直线段,则 2c 0=z i z +=1=⎰cdz z 22.设为正向圆周,则c 14=-z =-+-⎰c dz z z z 22)4(23i π103.设,其中,则 0 ⎰=-=2)2sin()(ξξξξπd zz f 2≠z =')3(f 4.设为正向圆周,则=+⎰cdz zzz c 3=z i π65.设为负向圆周,则 c 4=z =-⎰c z dz i z e 5)(π12iπ6.解析函数在圆心处的值等于它在圆周上的 平均值7.设在单连通域内连续,且对于内任何一条简单闭曲线都有,)(z f B B c 0)(=⎰cdz z f 那么在内 解析)(z f B 8.调和函数的共轭调和函数为xy y x =),(ϕC x y +-)(21229.若函数为某一解析函数的虚部,则常数 -323),(axy x y x u +==a 10.设的共轭调和函数为,那么的共轭调和函数为 ),(y x u ),(y x v ),(y x v ),(y x u -三、计算积分1.,其中且;⎰=+-R z dz z z z)2)(1(621,0≠>R R 2≠R (当时,; 当时,; 当时,)10<<R 021<<R i π8+∞<<R 202..(0)⎰=++22422z z z dz四、求积分,从而证明.()⎰=1z zdz z e πθθπθ=⎰0cos )cos(sin d e i π2五、若,试求解析函数.)(22y x u u +=iv u z f +=)(((为任意实常数))321ln 2)(ic c z c z f ++=321,,c c c 第四章 级 数(答案)一、选择题:1.设,则( C )),2,1(4)1(L =++-=n n nia n n n n a ∞→lim (A )等于 (B )等于 (C )等于 (D )不存在01i2.下列级数中,条件收敛的级数为( C )(A ) (B )∑∞=+1)231(n n i ∑∞=+1!)43(n nn i (C ) (D )∑∞=1n n n i ∑∞=++-11)1(n n n i3.下列级数中,绝对收敛的级数为(D )(B ) (B )∑∞=+1)1(1n n i n ∑∞=+-1]2)1([n n n in (C) (D )∑∞=2ln n n n i ∑∞=-12)1(n n nn i 4.若幂级数在处收敛,那么该级数在处的敛散性为( A )∑∞=0n n nz ci z 21+=2=z (A )绝对收敛 (B )条件收敛(C )发散 (D )不能确定5.设幂级数和的收敛半径分别为,则∑∑∞=-∞=01,n n n n nnznc z c∑∞=++011n n n z n c 321,,R R R 之间的关系是( D )321,,R R R (A ) (B ) 321R R R <<321R R R >>(C ) (D )321R R R <=321R R R ==6.设,则幂级数的收敛半径( D )10<<q ∑∞=02n n n z q =R (A ) (B )(C ) (D )q q10∞+7.幂级数的收敛半径( B )∑∞=1)2(2sinn n z n n π=R(A )(B ) (C ) (D )122∞+8.幂级数在内的和函数为( A )∑∞=++-011)1(n n n z n 1<z (A ) (B ))1ln(z +)1ln(z -(D ) (D) z +11lnz-11ln 9.设函数的泰勒展开式为,那么幂级数的收敛半径( C )z e z cos ∑∞=0n n n z c ∑∞=0n nn z c =R (A ) (B ) (C )(D )∞+12ππ10.级数的收敛域是( B )L +++++22111z z z z(A ) (B ) (C ) (D )不存在的1<z 10<<z +∞<<z 111.函数在处的泰勒展开式为( D)21z1-=z (A )(B ))11()1()1(11<++-∑∞=-z z n n n n)11()1()1(111<++-∑∞=--z z n n n n (C ) (D ))11()1(11<++-∑∞=-z z n n n )11()1(11<++∑∞=-z z n n n 12.函数,在处的泰勒展开式为( B )z sin 2π=z (A ))2()2()!12()1(012+∞<--+-∑∞=+ππz z n n n n(B ))2()2()!2()1(02+∞<---∑∞=ππz z n n nn (C ))2()2()!12()1(0121+∞<--+-∑∞=++ππz z n n n n (D ))2()2()!2()1(021+∞<---∑∞=+ππz z n n nn 13.设在圆环域内的洛朗展开式为,为内)(z f 201:R z z R H <-<∑∞-∞=-n n nz z c)(0c H 绕的任一条正向简单闭曲线,那么( B )0z =-⎰c dz z z z f 20)()((A) (B ) (C ) (D )12-ic π12ic π22ic π)(20z f i 'π14.若,则双边幂级数的收敛域为( A )⎩⎨⎧--==-+=L L ,2,1,4,2,1,0,)1(3n n c nn n n ∑∞-∞=n nn z c (A )(B ) 3141<<z 43<<z (C )(D )+∞<<z 41+∞<<z 3115.设函数在以原点为中心的圆环内的洛朗展开式有个,那么)4)(1(1)(++=z z z z f m ( C )=m (A )1 (B )2 (C )3 (D )4二、填空题1.若幂级数在处发散,那么该级数在处的收敛性为 发散∑∞=+0)(n n ni z ci z =2=z 2.设幂级数与的收敛半径分别为和,那么与之间的关∑∞=0n nnz c∑∞=0)][Re(n n n z c 1R 2R 1R 2R系是 .12R R ≥3.幂级数的收敛半径∑∞=+012)2(n n nz i =R 224.设在区域内解析,为内的一点,为到的边界上各点的最短距离,那么)(z f D 0z d 0z D 当时,成立,其中d z z <-0∑∞=-=0)()(n n nz z cz f 或=n c ),2,1,0()(!10)(L =n z f n n ().)0,2,1,0()()(21010d r n dz z z z f irz z n <<=-π⎰=-+L 5.函数在处的泰勒展开式为 .z arctan 0=z )1(12)1(012<+-∑∞=+z z n n n n 6.设幂级数的收敛半径为,那么幂级数的收敛半径为∑∞=0n nn z c R ∑∞=-0)12(n n n n z c 2R .7.双边幂级数的收敛域为 .∑∑∞=∞=--+--112)21()1()2(1)1(n n n nnz z 211<-<z 8.函数在内洛朗展开式为 .zze e 1++∞<<z 0nn nn z n z n ∑∑∞=∞=+00!11!19.设函数在原点的去心邻域内的洛朗展开式为,那么该洛朗级数z cot R z <<0∑∞-∞=n n nz c收敛域的外半径 .=R π10.函数在内的洛朗展开式为)(1i z z -+∞<-<i z 1∑∞=+--02)()1(n n n n i z i三、若函数在处的泰勒展开式为,则称为菲波那契(Fibonacci)211z z --0=z ∑∞=0n nn z a {}n a 数列,试确定满足的递推关系式,并明确给出的表达式.n a n a (,)2(,12110≥+===--n a a a a a n n n )),2,1,0(}251()251{(5111L =--+=++n a n n n 四、求幂级数的和函数,并计算之值.∑∞=12n nz n ∑∞=122n n n (,)3)1()1()(z z z z f -+=6五、将函数在内展开成洛朗级数.)1()2ln(--z z z 110<-<z ()n n nk k z k n z z z z z z )1(1)1(()2ln(111)1()2ln(001-+--=-⋅⋅-=--∑∑∞==+第五章 留 数(答案)一、选择题:1.函数在内的奇点个数为 ( D )32cot -πz z2=-i z (A )1 (B )2 (C )3 (D )42.设函数与分别以为本性奇点与级极点,则为函数)(z f )(z g a z =m a z =)()(z g z f 的( B )(A )可去奇点 (B )本性奇点(C )级极点 (D )小于级的极点m m 3.设为函数的级极点,那么( C )0=z zz e xsin 142-m =m(A )5 (B )4 (C)3 (D )24.是函数的( D )1=z 11sin)1(--z z (A)可去奇点 (B )一级极点(C ) 一级零点 (D )本性奇点5.是函数的( B )∞=z 2323z z z ++(A)可去奇点 (B )一级极点(C ) 二级极点 (D )本性奇点6.设在内解析,为正整数,那么( C )∑∞==)(n n n z a z f R z <k =]0,)([Re kz z f s (A ) (B ) (C ) (D )k a k a k !1-k a 1)!1(--k a k 7.设为解析函数的级零点,那么='],)()([Re a z f z f s ( A )a z =)(z f m (A) (B ) (C ) (D )m m -1-m )1(--m 8.在下列函数中,的是( D )0]0),([Re =z f s (A )(B )21)(ze zf z -=z z z z f 1sin )(-=(C ) (D) z z z z f cos sin )(+=ze zf z 111)(--=9.下列命题中,正确的是( C )(A )设,在点解析,为自然数,则为的)()()(0z z z z f mϕ--=)(z ϕ0z m 0z )(z f 级极点.m (B )如果无穷远点是函数的可去奇点,那么∞)(z f 0]),([Re =∞z f s (C )若为偶函数的一个孤立奇点,则0=z )(z f 0]0),([Re =z f s(D )若,则在内无奇点0)(=⎰c dz z f )(z f c 10. ( A )=∞],2cos[Re 3ziz s (A ) (B ) (C ) (D )32-32i 32i32-11. ( B)=-],[Re 12i e z s iz (A ) (B ) (C ) (D )i +-61i +-65i +61i +6512.下列命题中,不正确的是( D)(A )若是的可去奇点或解析点,则)(0∞≠z )(z f 0]),([Re 0=z z f s (B )若与在解析,为的一级零点,则)(z P )(z Q 0z 0z )(z Q )()(],)()([Re 000z Q z P z z Q z P s '=(C )若为的级极点,为自然数,则0z )(z f m m n ≥)]()[(lim !1]),([Re 1000z f z z dzd n z z f s n n nx x +→-=(D )如果无穷远点为的一级极点,则为的一级极点,并且∞)(z f 0=z )1(zf )1(lim ]),([Re 0zzf z f s z →=∞13.设为正整数,则( A )1>n =-⎰=211z ndz z (A) (B ) (C )(D )0i π2niπ2i n π214.积分( B )=-⎰=231091z dz z z (A ) (B ) (C ) (D )0i π2105iπ15.积分( C )=⎰=121sin z dz z z (A ) (B ) (C ) (D )061-3i π-iπ-二、填空题1.设为函数的级零点,那么 9 .0=z 33sin z z -m =m 2.函数在其孤立奇点处的留数zz f 1cos1)(=),2,1,0(21L L ±±=+=k k z k ππ.=]),([Re k z z f s 2)2()1(π+π-k k3.设函数,则 0 }1exp{)(22zz z f +==]0),([Re z f s 4.设为函数的级极点,那么 .a z =)(z f m ='],)()([Re a z f z f s m -5.设,则 -2 .212)(zzz f +==∞]),([Re z f s 6.设,则 .5cos 1)(z z z f -==]0),([Re z f s 241-7.积分.=⎰=113z zdz e z 12iπ8.积分.=⎰=1sin 1z dz z i π2三、计算积分.()⎰=--412)1(sin z z dz z e z z i π-316四、设为的孤立奇点,为正整数,试证为的级极点的充要条件是a )(z f m a )(z f m ,其中为有限数.b z f a z m az =-→)()(lim 0≠b 五、设为的孤立奇点,试证:若是奇函数,则;a )(z f )(z f ]),([Re ]),([Re a z f s a z f s -=若是偶函数,则.)(z f ]),([Re ]),([Re a z f s a z f s --=。
复变函数习题总汇与参考答案第1章 复数与复变函数一、单项选择题1、假设Z 1=〔a, b 〕,Z 2=(c, d),那么Z 1·Z 2=〔C 〕 A 〔ac+bd, a 〕 B (ac-bd, b) C 〔ac-bd, ac+bd 〕 D (ac+bd, bc-ad)2、假设R>0,那么N 〔∞,R 〕={ z :〔D 〕} A |z|<R B 0<|z|<R C R<|z|<+∞ D |z|>R3、假设z=x+iy, 那么y=(D)A B C D4、假设A= ,那么|A|=〔C 〕A 3B 0C 1D 2二、填空题1、假设z=x+iy, w=z 2=u+iv, 那么v=〔 2xy 〕2、复平面上满足Rez=4的点集为〔 {z=x+iy|x=4} 〕3、〔 设E 为点集,假设它是开集,且是连通的,那么E 〕称为区域。
2zz +2z z -iz z 2+iz z 2-)1)(4()1)(4(i i i i +--+4、设z 0=x 0+iy 0, z n =x n +iy n (n=1,2,……),那么{z n }以z o 为极限的充分必要条件是 x n =x 0,且 y n =y 0。
三、计算题1、求复数-1-i 的实部、虚部、模与主辐角。
解:Re(-1-i)=-1 Im(-1-i)=-1 |-1-i|=2、写出复数-i 的三角式。
解:3、写出复数 的代数式。
解:4、求根式 的值。
+∞→n lim +∞→n limππ45|11|arctan ),1(12)1()1(=--+=--∴--=-+-i ary i 在第三象限 ππ23sin 23cos i i +=-i i i i i i i i i i i i i i i 212312121)1()1)(1()1(11--=--+-=⋅-++-+=-+-ii i i -+-11327-解:四、证明题1、证明假设 ,那么a 2+b 2=1。
第 1 页 共 10 页《复变函数》习题及答案一、 判断题1、若函数f (z )在z 0解析,则f (z )在z 0的某个邻域内可导。
( )2、如果z 0是f (z )的本性奇点,则)(lim 0z f z z →一定不存在。
( )3、若函数),(),()(y x iv y x u z f +=在D 内连续,则u (x,y )与v (x,y )都在D 内连续。
( )4、cos z 与sin z 在复平面内有界。
( )5、若z 0是)(z f 的m 阶零点,则z 0是1/)(z f 的m 阶极点。
( )6、若f (z )在z 0处满足柯西-黎曼条件,则f (z )在z 0解析。
( )7、若)(lim 0z f z z →存在且有限,则z 0是函数的可去奇点。
( )8、若f (z )在单连通区域D 内解析,则对D 内任一简单闭曲线C 都有0)(=⎰Cdz z f 。
( )9、若函数f (z )是单连通区域D 内的解析函数,则它在D 内有任意阶导数。
( )10、若函数f (z )在区域D 内的解析,且在D 内某个圆内恒为常数,则在区域D 内恒等于常数。
( )11、若函数f (z )在z 0解析,则f (z )在z 0连续。
( ) 12、有界整函数必为常数。
( ) 13、若}{n z 收敛,则} {Re n z 与} {Im n z 都收敛。
( )14、若f (z )在区域D 内解析,且0)('≡z f ,则C z f ≡)((常数)。
( ) 15、若函数f (z )在z 0处解析,则它在该点的某个邻域内可以展开为幂级数。
( ) 16、若f (z )在z 0解析,则f (z )在z 0处满足柯西-黎曼条件。
( ) 17、若函数f (z )在z 0可导,则f (z )在z 0解析。
( ) 18、若f (z )在区域D 内解析,则|f (z )|也在D 内解析。
( )19、若幂级数的收敛半径大于零,则其和函数必在收敛圆内解析。
练习题
一、选择、填空题
1、下列正确的是( A );
A 1212()Arg z z Argz Argz =+;
B 1212()arg z z argz argz =+;
C 1212()ln z z lnz lnz =+;
D 10z Ln Ln Lnz Lnz z
==-=. 2、下列说法不正确的是( B );
A 0()w f z z =函数在处连续是0()f z z 在可导的必要非充分条件;
B lim 0n n z →∞=是级数1
n n z ∞=∑收敛的充分非必要条件; C 函数()f z 在点0z 处解析是函数()f z 在点0z 处可导的充分非必要条件;
D 函数()f z 在区域D 内处处解析是函数()f z 在D 内可导的充要条件. 3、(34)Ln i -+=( 45[(21)arctan ],0,1,2,3ln i k k π++-=±± ),
主值为( 4
5(arctan )3
ln i π+- ). 4、2|2|1
cos z i z dz z -=⎰ =( 0 ). 5、若幂级数0n n n c z ∞=∑
在1(1)2z =
+处收敛,那么该级数在45
z i =处的敛散性为( 绝对收敛 ).
6、 311z -的幂级数展开式为( 30n n z
∞=∑ ),收敛域为( 1z < );
7、 sin z z -在0z =处是( 3 )阶的零点;
8、函数221
(1)z z e -在0z =处是( 4 )阶的极点;
二、计算下列各值
1.3i e π+; 2.tan()4i π
-; 3.(23)Ln i -+; 4
. 5.1i 。
解:(略)见教科书中45页例2.11 - 2.13
三、问函数23()2f z x y i =+在何处可导?何处解析?并求(3)f i '+,(32)f i '+。
提示:满足C-R 方程
四、试证下列各函数为调和函数,并求出相应的解析函数()f z u iv =+
(1) u xy =
五、如果函数()f z u iv =+在区域D 内解析,并且满足条件892003u v +=,试证()f z 在
D 必为常数。
提示:见教科书中36页 例2.5
六、 计算(21)(2)C zdz I z z =+-⎰ ,其中C 是(1) ||1z =; (2) |2|1z -=; (3)
1|1|2
z -=
; (4)||3z = 提示:见教科书中97页 例4.13,4.15 七、把1()32
f z z =-分别在0z =和2z =展开为泰勒级数。
提示:同上六 八、求1()1z f z e z
=-在区域(1)||1z <,(2)0|1|z <-<+∞的幂级数展开式。
提示:同上六 九、将函数 2
1()4f z z =+分别在24z i +<与2z <<∞内展开成洛朗级数。
提示:(1)11111()2(2)(2)24(2)4214i f z z i
z i z i z i i z i z i i -===+-++-++- 012424n n i z i z i i ∞=+⎛⎫= ⎪+⎝⎭∑,24z i +< (2)2222022111114()4411()n
n f z z z z z z z
∞=⎛⎫===- ⎪⎝⎭+--∑,2z <<∞ 十、求幂级数的收敛半径(1)21n n z n ∞=∑(2)0!n n z n ∞=∑(3)0!n n n z ∞=∑。
提示:比值或根值判别法 十一、用留数计算积分5
5||21(3)(1)z dz z z =--⎰ ; 提示:5
555||21112Re [,3]2Re [,](3)(1)(3)(1)(3)(1)
z dz i s i s z z z z z z ππ==--∞------⎰ 而211Re [(),]Re [(),0]s f z s f z z
∞=-⋅ 十二、用留数计算积分
||252(1)z z dz z z =--⎰ ;提示:20,1z z z ===内都是一阶极点,由留
数定理得: ||25252522Re [,0]2Re [,1](1)(1)(1)z z z z dz i s i s z z z z z z ππ=---=+---⎰ .。