信号与系统期末考试复习指导(选择填空)
- 格式:doc
- 大小:1.00 MB
- 文档页数:16
试题一一.选择题(共 10 题, 20 分)j ( 2 ) n41、x[n]ej ( ) ne33,该序列是。
A.非周期序列B.周期 N 3C.周期 N 3 / 8D. 周期N 242、一连续时间系统 y(t)= x(sint) ,该系统是。
A. 因果时不变B.因果时变C.非因果时不变D.非因果时变3、一连续时间 LTI 系统的单位冲激响应 h(t) e 4tu(t2),该系统是 。
A.因果稳定B.因果不稳定C.非因果稳定D. 非因果不稳定 4、若周期信号 x[n] 是实信号和奇信号,则其傅立叶级数系数 a k是 。
A. 实且偶B.实且为奇C.纯虚且偶D. 纯虚且奇, | 2 , 则 x(t)5 、 一 信 号 x(t) 的 傅 立 叶 变 换 X ( j ) 1 | ,| 20 |为。
A. sin 2tB. sin 2tC. sin 4tD. sin 4t2tt4tt6 、 一 周 期 信 号 x(t)(t5n) , 其 傅 立 叶 变 换 X ( j)n为。
A. 2(2 k)B.5 ( 2 k552 k)k5C. 10(10 k)D.1(k)k10k107、一实信号 x[n] 的傅立叶变换为 X (e j) ,则 x[n] 奇部的傅立叶变 换为 。
A.j Re{ X (e j )}B. Re{ X (e j)}C. j Im{ X (e j )}D.Im{ X (e j )}8、一信号 x(t) 的最高频率为 500Hz ,则利用冲激串采样得到的采样信号 x(nT) 能唯一表示出原信号的最大采样周期为 。
A. 500B. 1000C. 0.05D. 0.0019、一信号 x(t) 的有理拉普拉斯共有两个极点 s=- 3 和 s=- 5,若 g(t ) e 4t x(t) , 其 傅 立 叶 变 换 G ( j ) 收 敛 , 则 x(t) 是 。
A. 左边B. 右边C. 双边D. 不确定10、一系统函数H (s) e s, 1,该系统是 。
信号与系统期末考试题及答案(第五套)符号说明:为符号函数,为单位冲击信号,为单位脉冲序列,为单位阶跃信号,为单位阶跃序列。
一、填空(共30分,每小题3分)1.。
2. 已知实信号的傅立叶变换,信号的傅立叶变换为。
3. 已知某连续时间系统的系统函数为,该系统属于类型。
低通4. 如下图A-1所示周期信号,其直流分量=。
4图A-15. 序列和=。
由于。
6. LTI 离散系统稳定的充要条件是。
的全部极点在单位圆内。
7. 已知信号的最高频率,对信号取样时,其频率不混迭的最大取样间隔=。
为。
8. 已知一连续系统在输入作用下的零状态响应,则该系统为系统(线性时变性)。
线性时变9. 若最高角频率为,则对取样,其频谱不混迭的最大间隔是。
)sgn(t )(t δ)(k δ)(t ε)(k ε________)42()3(55=+--⎰-dt t t δ5.0)3(21)2()3(21)42()3(25555-=-=---=+--=--⎰⎰t t dt t t dt t t δδ)(t f )()()(ωωωjX R j F +=)]()([21)(t f t f t y -+=)(ωj Y _________11)(+=s s H _________)(t f_________∑-∞=kn n )(ε_________)()1(0,00,1][k k k k k n kn εε+=⎩⎨⎧<≥+=∑-∞=_________)(z H )(t f )(0Hz f )2/(t f m ax T _________m axT 0max max 121f f T ==)(t f )4()(t f t y =_________)(t f m ω)2()4()(tf t f t y =_________mT ωπωπ34max max ==10. 已知的z 变换,得收敛域为时,是因果序列。
二、计算题(共50分,每小题10分)1. 某线性时不变连续时间系统的单位冲激响应和输入如图A-2所示,从时域求解该系统的零状态响应。
信号与系统常考的填空选择题摘要:1.信号与系统的基本概念2.填空选择题的解题技巧3.常见题型及解题方法4.提高解题效率的建议5.练习题及答案解析正文:信号与系统是一门涉及电子信息、通信工程等专业的核心课程,其主要研究信号的传输、处理和控制。
在学习过程中,填空选择题是巩固知识、提高能力的重要手段。
以下我们将介绍一些信号与系统中常见的填空选择题解题技巧。
1.信号与系统的基本概念信号是指随时间变化的物理量,可以分为连续信号和离散信号。
系统是指由多个部件组成的整体,其作用是对输入信号进行处理和输出。
在信号与系统中,我们需要掌握以下基本概念:- 信号的时域分析:包括信号的幅度、频率、周期等特性。
- 信号的频域分析:傅里叶变换、拉普拉斯变换等。
- 系统的输入输出关系:线性时不变系统、因果系统、稳定性等。
2.填空选择题的解题技巧在进行填空选择题解答时,可以采用以下方法:- 仔细阅读题目,提取关键信息。
- 分析题干,判断所属知识点。
- 根据所学知识,填入正确答案。
3.常见题型及解题方法信号与系统填空选择题常见题型包括:- 基本概念题:考察对信号与系统基本概念的理解。
- 数学运算题:如求解系统的传递函数、计算信号的幅度等。
- 系统分析题:如判断系统的稳定性、求解系统的零状态响应等。
针对不同题型,我们可以采用以下解题方法:- 对于基本概念题,要熟记相关定义,明确概念之间的关系。
- 对于数学运算题,要熟练掌握公式和计算方法。
- 对于系统分析题,要了解不同系统的性质,学会运用系统函数进行分析和判断。
4.提高解题效率的建议- 扎实掌握基本概念和原理,增强对知识的理解和运用能力。
- 多做练习,积累经验,熟悉题型和解题方法。
- 学会分析和总结,提高解题速度。
5.练习题及答案解析以下为一组填空选择题及答案解析:1.填空题:一个线性时不变系统的输入信号为x(t),输出信号为y(t),则系统的传递函数为______。
答案:H(s) = Y(s)/X(s)2.选择题:以下哪个信号是离散信号?A.正弦波B.方波C.指数函数D.所有选项都不是答案:B……通过以上分析和解答,希望能帮助大家更好地掌握信号与系统中填空选择题的解题方法。
第一章绪论1、选择题1.1、f(5—2t)是如下运算的结果 CA、f(-2t)右移5B、f(-2t)左移5C、f(-2t)右移D、f(-2t)左移1.2、f(t0-a t)是如下运算的结果 C .A、f(—a t)右移t0;B、f(—a t)左移t0;C、f(—a t)右移;D、f(—a t)左移1。
3、已知系统的激励e(t)与响应r(t)的关系为:则该系统为 B 。
A、线性时不变系统;B、线性时变系统;C、非线性时不变系统;D、非线性时变系统1.4、已知系统的激励e(t)与响应r(t)的关系为: 则该系统为 C 。
A、线性时不变系统B、线性时变系统C、非线性时不变系统D、非线性时变系统1。
5、已知系统的激励e(t)与响应r(t)的关系为:则该系统为B 。
A、线性时不变系统B、线性时变系统C、非线性时不变系统D、非线性时变系统1。
6、已知系统的激励e(t)与响应r(t)的关系为:则该系统为 BA、线性时不变系统B、线性时变系统C、非线性时不变系统D、非线性时变系统1.7。
信号的周期为 C 。
A、B、C、D、1。
8、信号的周期为: B 。
A、B、C、D、1.9、等于 B 。
A。
0 B.-1 C.2 D。
-21。
10、若是己录制声音的磁带,则下列表述错误的是:BA. 表示将此磁带倒转播放产生的信号B。
表示将此磁带放音速度降低一半播放C. 表示将此磁带延迟时间播放D. 表示将磁带的音量放大一倍播放1.11。
AA.B。
C. D。
1。
12.信号的周期为 B . A B C D1.13.如果a〉0,b>0,则f(b—a t)是如下运算的结果 C 。
A f(-a t)右移bB f(-a t)左移bC f(—a t)右移b/aD f(-a t)左移b/a1.14.线性时不变系统的响应,下列说法错误的是 C 。
A 零状态响应是线性时不变的B 零输入响应是线性时不变的C全响应是线性时不变的 D 强迫响应是线性时不变的2、填空题与判断题2。
第一章绪论1、选择题、f (5-2t )是如下运算的结果 CA 、 f (-2t )右移5B 、 f (-2t )左移5C 、 f (-2t )右移25 D 、 f (-2t )左移25、f (t 0-a t )是如下运算的结果 C 。
A 、f (-a t )右移t 0;B 、f (-a t )左移t 0 ;C 、f (-a t )右移a t 0;D 、f (-a t )左移at0 、已知 系统的激励e(t)与响应r(t)的关系为:)()()(t u t e t r = 则该系统为 B 。
A 、线性时不变系统;B 、线性时变系统;C 、非线性时不变系统;D 、非线性时变系统 、已知 系统的激励e(t)与响应r(t)的关系为:)()(2t e t r = 则该系统为 C 。
A 、线性时不变系统B 、线性时变系统C 、非线性时不变系统D 、非线性时变系统 、已知 系统的激励e(t)与响应r(t)的关系为:)1()(t e t r -= 则该系统为 B 。
A 、线性时不变系统B 、线性时变系统C 、非线性时不变系统D 、非线性时变系统、已知 系统的激励e(t)与响应r(t)的关系为:)2()(t e t r = 则该系统为 B A 、线性时不变系统 B 、线性时变系统 C 、非线性时不变系统 D 、非线性时变系统 .信号)34cos(3)(π+=t t x 的周期为 C 。
A 、π2 B 、π C 、2π D 、π2、信号)30cos()10cos(2)(t t t f -=的周期为: B 。
A 、15π B 、5π C 、π D 、10π、dt t t )2(2cos 33+⎰-δπ等于 B 。
、 若)(t x 是己录制声音的磁带,则下列表述错误的是: BA. )(t x -表示将此磁带倒转播放产生的信号B. )2(t x 表示将此磁带放音速度降低一半播放C. )(0t t x -表示将此磁带延迟0t 时间播放D. )(2t x 表示将磁带的音量放大一倍播放 .=⋅)]([cos t u t dtdA A .)()(sin t t u t δ+⋅- B. t sin - C. )(t δ D.t cos.信号t t t x o 2cos 4)304cos(3)(++=的周期为 B 。
信号与系统期末试题及答案(第一套)符号说明:为符号函数,为单位冲击信号,为单位脉冲序列,为单位阶跃信号,为单位阶跃序列。
一、填空(共30分,每小题3分)1. 矩形脉冲波形(高度为A,宽度为b )的信号能量为_____________。
2. 序列的自相关是一个偶对称函数,它满足关系式_____________。
3. 线性时不变连续稳定的因果系统,其传输函数的极点位于_____全部位于左半开复平面 ______。
4. 某线性时不变系统的单位冲激响应若为,则系统是___五阶________系统。
(几阶系统)5. 的傅立叶反变换为_____________。
6. 已知周期信号的第三次谐波的幅度等于3,则信号的第三次谐波的幅度等于___3__________。
7. 令,,如果,试求其和__8______。
8. 卷积____________。
9. 信号,a>0的傅立叶变换为______;_____。
10. 已知,,则。
二、计算题(共50分,每小题10分)1.某理想低通滤波器,其频率响应为当基波周期为,其傅里叶级数系数为的信号输入到滤波器时,滤波器的输出为,且。
问对于什么样的值,才保证?1、解:信号的基波角频率为:。
信号通过理想低通滤波器后,输出是其本身,这意味着信号所有频率分量均在低通滤波器的通带内。
由于周期)sgn(t )(t δ)(k δ)(t ε)(k εb A E 2=()k x )(k r xx )0()(xx xx r k r ≤)(s H )()2cos()()(t t t t e t h tεε⋅⋅+=-9)5(3)(2++=ωωj j F )(t f )()3sin(5t t e tε⋅-)(t f )2(t f kk x 2)(=)3()(-=k k y δ)()()(k y k x k z ==∑)(k z =-)(*)(t e t t εε)()1(t e tε--ta en x -=)(222ω+a a111)(--=az z X a z >=)(k x )()(k a k x k ε=⎩⎨⎧>≤=100,0100,1)(ωωωj H 6π=T n a )(t f )(t y )()(t f t y =n 0=n a )(t f ==T πω2012s rad /)(t f )(t f信号含有丰富的高次谐波分量,只有当高次谐波分量的幅度非常小时,对的贡献才忽略不计。
信号与系统复习题含答案HEN system office room 【HEN16H-HENS2AHENS8Q8-HENH1688】(C ))(t δ+(-6e -t +8e -2t)u(t) (D )3)(t δ +(-9e -t +12e -2t)u(t)6、 连续周期信号的频谱具有(A ) 连续性、周期性 (B )连续性、收敛性 (C )离散性、周期性 (D )离散性、收敛性7、 周期序列2)455.1(0+k COS π的 周期N 等于(A) 1 (B )2 (C )3 (D ) 48、序列和()∑∞-∞=-k k 1δ等于(A )1 (B) ∞ (C) ()1-k u (D) ()1-k ku9、单边拉普拉斯变换()se s s s F 2212-+=的愿函数等于10、信号()()23-=-t u te t f t的单边拉氏变换()s F 等于二、填空题(共9小题,每空3分,共30分) 1、 卷积和[()k+1u(k+1)]*)1(k -δ=________________________2、 单边z 变换F(z)= 12-z z的原序列f(k)=______________________ 3、 已知函数f(t)的单边拉普拉斯变换F(s)=1+s s,则函数y(t)=3e -2t·f(3t)的单边拉普拉斯变换Y(s)=_________________________4、 频谱函数F(j ω)=2u(1-ω)的傅里叶逆变换f(t)=__________________5、 单边拉普拉斯变换s s s s s F +++=2213)(的原函数 f(t)=__________________________6、 已知某离散系统的差分方程为)1(2)()2()1()(2-+=----kf k f k y k y k y ,则系统的单位序列响应h(k)=_______________________7、 已知信号f(t)的单边拉氏变换是F(s),则信号⎰-=2)()(t dxx f t y 的单边拉氏变换Y(s)=______________________________ 8、描述某连续系统方程为 该系统的冲激响应h(t)=9、写出拉氏变换的结果()=t u 66 ,=k t 22三(8分)已知信号()()()⎪⎩⎪⎨⎧><==↔./1,0,/1,1s rad s rad jw F j F t f ωωω设有函数()(),dtt df t s =求⎪⎭⎫ ⎝⎛2ωs 的傅里叶逆变换。
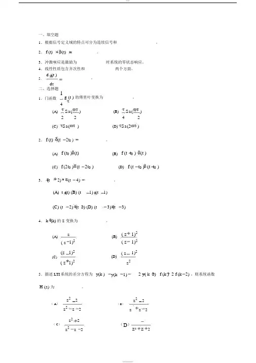
一、填空题1.根据信号定义域的特点可分为连续信号和____________。
2.f (t)(t) ____________。
3.冲激响应是激励为 ____________时系统的零状态响应。
4.线性性质包含齐次性和 ____________两个方面。
d (t )____________。
5.dt二、选择题1.门函数1g (t ) 的傅里叶变换为____________。
4(A)Sa()(B)Sa()2242(C)Sa()(D)Sa(2)2.f (t)(t2t0 )____________。
(A) f (t0 )(t)(B) f (t t0 )(t )(C) f (2t0 )(t2t0 )(D) f (t t0 ) (t t0 ) 3.(t2)(t4)____________。
(A) t (t) (B) (t 1) (t1)(C) (t2) (t 2) (D) (t3) (t3)4.k (k)的z变换为 ____________。
(A)z(B)( z1)21)2( z1)2( z(z1)2(D)( z1)2(C)1)2z2( z5.描述 LTI系统的差分方程为y(k )y(k1) 2 y( k 2) f (k ) 2 f (k 2) ,则系统函数H(z) 为____________。
z22( A)z2z2z22( C)z2z2z22( B)2z z2(D)z2z2三、判断题1.sgn(t )的傅里叶变换为1。
()j2.在无限区间内f(t)绝对可积即 f (t ) dt与该函数存在傅里叶变换之间的关系为充分非必要条件。
()3.周期连续时间信号的频谱是离散频率的非周期函数,非周期连续时间信号的频谱是连续频率的非周期函数。
()4.频谱函数 F ( j ) 的实部 R( ) 是角频率的偶函数,虚部 X ( ) 是角频率的的奇函数。
()5.系统函数 H(s) 是系统冲激响应 h(t) 的拉氏变换,是系统的零状态响应的拉氏变换与输入信号的拉氏变换之比。
120 信号与系统期末试题答案一、填空题(4小题,每空2分,共20分)1.线性 时变 因果 稳定2. 离散性 谐波性 收敛性3.)()(0t t k t h -=δ 0)()()(ωωϕωωj j j Ke e e H -==j H4.)()(11nT t f t f n T -∑+∞-∞=或二、简答题(5小题,共 25 分)1、解:该方程的一项系数是y(t)的函数,而y(2t)将使系统随时间变化,故描述的系统是非线性时变系统。
(每个知识点1分)(4分)2、解:当脉冲持续时间τ不变,周期T 变大时,谱线间的间隔减小,同频率分量的振幅减小(2分);当脉冲持续时间τ变小,周期T 不变时,谱线间的间隔不变,同频率分量的振幅减小(3分)。
(5分)3、解:信号通过线性系统不产生失真时,)()(0t t k t h -=δ0)()()(ωωϕωωj j j Ke e e H -==j H (每个知识点2分)(4分)4、解: 由于是二阶系统,所以系统的稳定性只需要其特征多项式的各系数大于零。
则本系统稳定的条件为:K-5>0(3分)和3K+1>0(3分).解之可得K>5(2分)。
(8分)5、解:香农取样定理:为了能从抽样信号 f s(t)中恢复原信号 f (t),必须满足两个条件:(1)被抽样的信号f (t)必须是有限频带信号,其频谱在|ω|>ωm 时为零。
(1分)(2)抽样频率 ωs ≥2ωm 或抽样间隔 mm S f T ωπ=≤21(1分) 。
其最低允许抽样频率m s f f 2=或m ωω2=称为奈奎斯特频率(1分),其最大允许抽样间隔mm N f T ωπ==21 (1分)称为奈奎斯特抽样间隔。
(每个知识点1分)(4分) 三.简单计算(5小题,5分/题,共25分)1.(5分)解:cos(101)t +的基波周期为15π, sin(41)t -的基波周期为12π 二者的最小公倍数为π,故())14sin()110cos(2--+=t t t f 的基波周期为π。
得分一、选择题(共分)。
2010-2011学年第二学期信号与系统期末考试试卷班级:_______________学号:_______________姓名:_______________得分:_______________(卷面共有50题,总分100分,各大题标有题量和总分,每小题标号后有小分)一、选择题(50小题,共100分)[2分](1)下列信号中属于功率信号的是( )。
A、 B、 C、 D、[2分](2)已知某系统激励f(k)与响应y(k)之间的关系为y(k)=f(k)+80,则该系统为。
A、线性系统B、非线性系统[2分](3)下列说法正确的是。
A、是功率信号B、两个周期信号之和一定是周期信号C、所有非周期信号都是能量信号D、所有非周期信号都是功率信号[2分](4)下列叙述正确的是。
A、各种数字信号都是离散信号B、数字信号的幅度只取0和1C、各种离散信号都是数字信号D、将数字信号滤波可得模拟信号[2分](5)已知如下四个系统,f(t)、f(k)代表系统输入,y(t)、y(k)代表响应。
其中,线性系统的有();时不变系统有();因果系统有();记忆系统有。
A、B、C、D、[2分](6)A、B、C、D、[2分](7)A、sin3B、-sin3C、sin3tD、0[2分](8)A、3B、-3C、5D、-5[2分](9)A、0B、costC、sintD、u(t)[2分](10)信号[2分](11)下图中x(t)的表示式是A、B、C、D、[2分](12)已知A、B、C、D、[2分](13)已知,则()。
A是常数A、B、C、D、[2分](14)已知一个LTI系统的单位冲激响应h(t)如下图,若输入,则输出是。
A、1B、-1C、D、0[2分](15)已知一个LTI系统输入为时,输出、如下图所示,则系统单位冲激响应是。
A、u(t)B、2u(t)C、u(t)-u(t-1)D、u(t-1)-u(t-2)[2分](16)已知一个LTI系统输入为时,输出,若输入为,则对应的输出是()。
《信号与系统》期末考试姓名 学号 班级 成绩一、选择及填空(20分 每题2分):1. 以下系统,哪个可进行无失真传输_B _ωωϕωωωδωωωωωωωω-6)( )1()(H )( )()(H )( 3)(H )( )1()1()(H )( 33=-===--=-且;;;D ej C e j B e j A j j j U答:(B)2. 下列哪一项是理想低通滤波器的系统函数_C _⎩⎨⎧<>=⎩⎨⎧><==--=-20 020 )(H )( 20 020 )(H )( 3)(H )( )1()1()(H )(3 33ωωωωωωωωωωωωωωj j j j e j D e j C e j B e j A ;;;U答:(C )3. 对于一个LTI ,如果激励f 1(t)对应响应是)(3t U e t -, 激励f 2(t)对应响应是t 3sin ,则激励f 1(t)+5f 2(t)对应响应是_tt U e t 3sin 5)(3+-__;则激励3f 1(t+1)+5f 2(t-3)对应响应是_)3 (3sin 5)1(33-++--t t U e t __。
4. 已知},2,2,2,2{01)( --=n f ,}32,8,4,2,1{)(2↑=n f ,则=+)2()1(21f f _10_,用)(n δ表示)3(32)2(8)1(4)(2)1()(2-+-+-+++=n n n n n n f δδδδδ________________________。
5. }2,8,4{}3,1,2,3{11----*=_{12,32,14,-8,-26,-6}-2__,}2,1,0{}5,3,6{00*=_{0,6,15,11,10}0__ 6. (课本P152 例4-17)已知)(t f 的象函数ss s s s F 5323)(23+++=,则)0(+f =__0_;)(∞f =_2/5__。
北京科技大学远程与成人教育学院2020学年第1次远程课程《信号与系统》测验学习中心批次/专业/层次学号姓名________一、选择题(20分,每题2分)从各选项中选择唯一符合题干要求的选项。
1、信号()()()sin5+2cos2f t t t=的周期为()。
(A)5π (B)2π/5 (C)π (D)2π2、以下为计算机产生的信号的是()(A)(B)(C)(D)3、系统1()()y t f tt=为()系统。
(A)线性时不变(B)线性时变(C)非线性时不变(D)非线性时变4、πcos()()d2t t tδ+∞-∞⋅-⎰的结果为()。
(A)0 (B)π()2tδ-(C)1 (D)25、[]2,10kf k r r=-<<可以表示为图()。
(A)(B)(C)(D)题号一二三四五总分得分6、已知周期为T 0的周期信号f (t )的傅里叶系数为C n ,则02j ()()e tx t f t ω-=的傅里叶系数为( )。
(A )C n +1 (B )C n +2 (C )C n -1 (D )C n -27、当系统初始状态为零时,由系统的外部激励f (t )产生的响应称为系统的为系统的( )。
(A )零状态响应 (B )零输入响应 (C )齐次响应 (D )强迫响应8、由系统的外部激励f (t )产生的响应称为系统的零状态响应,可以用f (t )和冲激响应h (t )的卷积积分得到,其定义为: (A )()()()()d f t h t f h t τττ+∞-∞*=⋅-⎰ (B )()()()()d f t h t f t h t ττ+∞-∞*=⋅-⎰(C )()()()()d f t h t f h t τττ+∞-∞*=⋅-⎰(D )()()()(+)d f t h t f h t τττ+∞-∞*=⋅⎰9、非周期信号的频谱为( )频谱,周期信号的频谱为( )频谱。
(A )离散,离散 (B )离散,连续 (C )连续,离散(D )连续,连续 10、某离散系统的系统函数为()H z ,若系统同时存在()H j ω,则此系统为 ( )。
信号与系统期末考试试卷(有详细答案)《信号与系统》考试试卷(时间120分钟)院/系专业姓名学号⼀、填空题(每⼩题2分,共20分)1.系统的激励是)t (e ,响应为)t (r ,若满⾜dt)t (de )t (r =,则该系统为线性、时不变、因果。
(是否线性、时不变、因果?)2.求积分dt )t ()t (212-+?∞∞-δ的值为 5 。
3.当信号是脉冲信号f(t)时,其低频分量主要影响脉冲的顶部,其⾼频分量主要影响脉冲的跳变沿。
4.若信号f(t)的最⾼频率是2kHz ,则t)f(2的乃奎斯特抽样频率为 8kHz 。
5.信号在通过线性系统不产⽣失真,必须在信号的全部频带内,要求系统幅频特性为⼀常数相频特性为_⼀过原点的直线(群时延)。
6.系统阶跃响应的上升时间和系统的截⽌频率成反⽐。
7.若信号的3s F(s)=(s+4)(s+2),求该信号的=)j (F ωj 3(j +4)(j +2)ωωω。
8.为使LTI 连续系统是稳定的,其系统函数)s(H 的极点必须在S 平⾯的左半平⾯。
9.已知信号的频谱函数是))00(()j (F ωωδωωδω--+=,则其时间信号f(t)为01sin()t j ωπ。
10.若信号f(t)的211)s (s )s (F +-=,则其初始值=+)(f 0 1 。
⼆、判断下列说法的正误,正确请在括号⾥打“√”,错误请打“×”。
(每⼩题2分,共10分)1.单位冲激函数总是满⾜)()(t t -=δδ( √ )2.满⾜绝对可积条件∞不存在傅⽴叶变换。
( × ) 3.⾮周期信号的脉冲宽度越⼩,其频带宽度越宽。
( √ )4.连续LTI 系统的冲激响应的形式取决于系统的特征根,于系统的零点⽆关。
( √ )5.所有周期信号的频谱都是离散谱,并且随频率的增⾼,幅度谱总是渐⼩的。
( × )三、计算分析题(1、3、4、5题每题10分,2题5分, 6题15分,共60分)1.信号)t (u e )t (f t -=21,信号<<=其他,01012t )t (f ,试求)t (f *)t (f 21。
信号与系统复习资料及答案2.设系统零状态响应与激励的关系是:"s (r )=∣∕α)∣,则以下表述不对的是(.A )。
B.系统是时不变的C.系统是因果的D.系统是稳定的4 .设一个矩形脉冲的面积为S,则矩形脉冲的FT (傅氏变换)在原点处的函数值等)o5 .信号(£(t )-£(t-2))的拉氏变换的收敛域为(C )。
6 .已知连续系统二阶微分方程的零输入响应κ,⑺的形式为A/+8",则其2个7 .函数£⑺是(8 .周期矩形脉冲序列的频谱的谱线包络线为()09 .能量信号其(B )010 .在工程上,从抽样信号恢复原始信号时需要通过的滤波器是(B )0A.高通滤波器C.带通滤波器D.带阻滤波器 二、填空题L 系统的激励是e(“,响应为若满足也乜,则该系统为线性、时不dt 变、因果。
一、选择题L 线性系统具有 D)o A.分解特性 B.零状态线性C.零输入线性D.ABC A.系统是线性的 3.零输入响应是( )0A.全部自由响应B.部分自由响应C.部分零状态响应D.全响应与强迫响应之差A.S/2B.S/3C.S/4D.SA.Re[s]>OB.Re[s]>2C.全S 平面D.不存在特征根为(AA. -1,-2)o B. -1,2 C. 1,-2 D. 1,2 A.奇函数B.偶函数C.非奇非偶函数D.奇谐函数 A. δ函数B. Sa 函数C. £函数D.无法给出 A.能量E=OB.功率P=OC.能量E=8D.功率P=OOB.低通滤波器2.求积分Jjr2+∖)δ(t-2)dt的值为o3.当信号是脉冲信号/⑺时,其低频分量主要影响脉冲的顶部,其高频分量主要影响脉冲的跳变沿。
4.若信号/⑺的最高频率是2kHz,则"2。
的乃奎斯特抽样频率为8kHz。
5.信号在通过线性系统不产生失真,必须在信号的全部频带内,要求系统幅频特性为相频特性为o6.系统阶跃响应的上升时间和系统的截止频率成反比。
信号与系统期末考试试题一、选择题共10题,每题3分 ,共30分,每题给出四个答案,其中只有一个正确的1、 卷积f 1k+5f 2k-3 等于 ;Af 1kf 2k Bf 1kf 2k-8Cf 1kf 2k+8Df 1k+3f 2k-3 2、 积分dt t t ⎰∞∞--+)21()2(δ等于 ;A1.25B2.5C3D53、 序列fk=-u-k 的z 变换等于 ;A1-z z B-1-z zC 11-zD 11--z4、 若yt=ftht,则f2th2t 等于 ;A)2(41t y B )2(21t y C )4(41t y D )4(21t y 5、 已知一个线性时不变系统的阶跃相应gt=2e -2t ut+)(t δ,当输入ft=3e —t ut 时,系统的零状态响应y f t等于A-9e -t +12e -2t ut B3-9e -t +12e -2t utC )(t δ+-6e -t +8e -2t ut D3)(t δ +-9e -t +12e -2t ut6、 连续周期信号的频谱具有(A ) 连续性、周期性 B 连续性、收敛性 C 离散性、周期性 D 离散性、收敛性7、 周期序列2)455.1(0+k COS π的 周期N 等于(A ) 1B2C3D48、序列和()∑∞-∞=-k k 1δ等于A1 B ∞ C()1-k u D ()1-k ku9、单边拉普拉斯变换()se s s s F 2212-+=的愿函数等于 10、信号()()23-=-t u tet f t的单边拉氏变换()s F 等于二、填空题共9小题,每空3分,共30分1、卷积和0.5k+1uk+1)1(k -δ=________________________2、单边z 变换Fz=12-z z的原序列fk=______________________ 3、已知函数ft 的单边拉普拉斯变换Fs=1+s s,则函数yt=3e -2t ·f3t 的单边拉普拉斯变换Ys=_________________________4、频谱函数Fj ω=2u1-ω的傅里叶逆变换ft=__________________5、单边拉普拉斯变换ss s s s F +++=2213)(的原函数ft=__________________________6、已知某离散系统的差分方程为)1(2)()2()1()(2-+=----k f k f k y k y k y ,则系统的单位序列响应hk=_______________________7、已知信号ft 的单边拉氏变换是Fs,则信号⎰-=20)()(t dx x f t y 的单边拉氏变换Ys=______________________________8、描述某连续系统方程为该系统的冲激响应ht= 9、写出拉氏变换的结果()=t u 66,=k t 22三、8分四、10分如图所示信号()t f ,其傅里叶变换()()[]t f jw F F =,求1 ()0F 2()⎰∞∞-dw jw F 六、10分某LTI 系统的系统函数()1222++=s s s s H ,,激励()(),t u t f =求该系统的完全响应;信号与系统期末考试参考答案一、选择题共10题,每题3分 ,共30分,每题给出四个答案,其中只有一个正确的 1、D 2、A 3、C 4、B 5、D 6、D 7、D 8、A 9、B 10、A二、填空题共9小题,每空3分,共30分 1、()()k u k5.0 2、)()5.0(1k u k + 3、52++s s 4、()tj e t jt πδ+5、)()()(t u e t u t t -++δ6、()[]()k u k 15.01+-+ 7、 ()s F s e s2-8、()()t u t e t 2cos - 9、s66, 22k/S k+1四、10分 解:12六、10分 解:由)(S H 得微分方程为将SS F y y 1)(),0(),0(='--代入上式得 二、写出下列系统框图的系统方程,并求其冲激响应; 15分 解:x ”t + 4x ’t+3xt = ft yt = 4x ’t + xt则:y ”t + 4y ’t+ 3yt = 4f ’t + ft根据ht 的定义 有h ”t + 4h ’t + 3ht = δt h’0- = h0- = 0 先求h’0+和h0+;因方程右端有δt,故利用系数平衡法;h ”t 中含δt,h’t 含εt,h’0+≠h’0-,ht 在t=0连续,即h0+=h0-;积分得 h ’0+ - h ’0- + 4h0+ - h0- +3 = 1 考虑h0+= h0-,由上式可得 h0+=h0-=0h’0+ =1 + h ’0- = 1对t>0时,有 h ”t + 4h ’t + 3ht = 0 故系统的冲激响应为一齐次解;微分方程的特征根为-1,-3;故系统的冲激响应为 ht=C1e -t + C2e -3t εt代入初始条件求得C1=0.5,C2=-0.5, 所以 ht=0.5 e -t– 0.5e -3tεt三、描述某系统的微分方程为 y ”t + 4y ’t + 3yt = ft 求当ft = 2e -2t ,t ≥0;y0=2,y ’0= -1时的解; 15分解: 1 特征方程为λ2 + 4λ+ 3 = 0 其特征根λ1= –1,λ2= –2;齐次解为y h t = C 1e -t + C 2e-3t当ft = 2e –2 t时,其特解可设为y p t = Pe -2t将其代入微分方程得P4e -2t + 4–2 Pe -2t + 3Pe -t = 2e -2t解得 P=2于是特解为 y p t =2e -t全解为: yt = y h t + y p t = C 1e -t + C 2e -3t + 2e -2t其中 待定常数C 1,C 2由初始条件确定; y0 = C 1+C 2+ 2 = 2,y ’0 = –2C 1 –3C 2 –1= –1解得 C 1 = 1.5 ,C 2 = –1.5最后得全解 yt = 1.5e – t – 1.5e – 3t +2 e –2 t, t ≥0三、描述某系统的微分方程为 y ”t + 5y ’t + 6yt = ft 求当ft = 2e -t ,t ≥0;y0=2,y ’0= -1时的解; 15分解: 1 特征方程为λ2 + 5λ+ 6 = 0 其特征根λ1= –2,λ2= –3;齐次解为y h t = C 1e -2t + C 2e-3t当ft = 2e – t时,其特解可设为y p t = Pe -t将其代入微分方程得Pe -t + 5– Pe -t + 6Pe -t = 2e -t解得 P=1于是特解为 y p t = e -t全解为: yt = y h t + y p t = C 1e -2t + C 2e -3t + e -t其中 待定常数C 1,C 2由初始条件确定; y0 = C 1+C 2+ 1 = 2,y ’0 = –2C 1 –3C 2 –1= –1解得 C 1 = 3 ,C 2 = – 2最后得全解 yt = 3e – 2t – 2e – 3t + e – t, t ≥012分六、有一幅度为1,脉冲宽度为2ms 的周期矩形脉冲,其周期为8ms,如图所示,求频谱并画出频谱图频谱图;10分 解:付里叶变换为Fn 为实数,可直接画成一个频谱图;)e e 1(e 2ss s s s-----试求该周期信号的基波周期T ,基波角频率Ω,画出它的单边频谱图,并求ft 的平均功率; 解 首先应用三角公式改写ft 的表达式,即 显然1是该信号的直流分量;的周期T1 = 8 的周期T2 = 6所以ft 的周期T = 24,基波角频率Ω=2π/T = π/12,根据帕斯瓦尔等式,其功率为 P=是ft 的π/4/π/12 =3次谐波分量; 是ft 的π/3/π/12 =4次谐波分量; 画出ft 的单边振幅频谱图、相位频谱图如图二、计算题共15分已知信号)()(t t t f ε=1、分别画出01)(t t t f -=、)()()(02t t t t f ε-=、)()(03t t t t f -=ε和)()()(004t t t t t f --=ε的波形,其中 00>t ;5分2、指出)(1t f 、)(2t f 、)(3t f 和)(4t f 这4个信号中,哪个是信号)(t f 的延时0t 后的波形;并指出哪些信号的拉普拉斯变换表达式一样;4分3、求)(2t f 和)(4t f 分别对应的拉普拉斯变换)(2s F 和)(4s F ;6分1、4分2、)(4t f 信号)(t f 的延时0t 后的波形;2分3、s t ss F s F 02121)()(-==2分 0241)(st e ss F -=;2分 三、计算题共10分如下图所示的周期为π2秒、幅值为1伏的方波)(t u s 作用于RL 电路,已知Ω=1R ,H L 1=;1、 写出以回路电路)(t i 为输出的电路的微分方程;2、 求出电流)(t i 的前3次谐波; 解“1、⎪⎩⎪⎨⎧<<-<<-<<=ππππππt t t t u s 2,2,022,1)(;2分)5cos(52)3cos(32)cos(221)cos()2sin(22151t t t nt n n n πππππ+-+=+=∑= 3分2、)()()(t u t i t i s =+'2分3、)3sin(51)3cos(151)sin(1)cos(121)(t t t t t i ππππ--++=3分 四、计算题共10分已知有一个信号处理系统,输入信号)(t f 的最高频率为m m f ωπ2=,抽样信号)(t s 为幅值为1,脉宽为τ,周期为S T τ>S T 的矩形脉冲序列,经过抽样后的信号为)(t f S ,抽样信号经过一个理想低通滤波器后的输出信号为)(t y ;)(t f 和)(t s 的波形分别如图所示;1、试画出采样信号)(t f S 的波形;4分2、若要使系统的输出)(t y 不失真地还原输入信号)(t f ,问该理想滤波器的截止频率c ω和抽样信号)(t s 的频率s f ,分别应该满足什么条件 6分解:1、4分2、理想滤波器的截止频率m c ωω=,抽样信号)(t s 的频率m s f f 2≥;6分五、计算题共15分某LTI 系统的微分方程为:)(6)(2)(6)(5)(t f t f t y t y t y +'=+'+'';已知)()(t t f ε=,2)0(=-y ,1)0(='-y ;求分别求出系统的零输入响应、零状态响应和全响应)(t y zi 、)(t y zs 和)(t y ;解:1、se s dt e dt e t s F st st st1|1)()(000=-===∞-∞-∞-⎰⎰ε;2分 2、)(6)0(2)(2)(6)0(5)(5)0()()(2s F f s sF s Y y s sY y s sy s Y s +-=+-+'-----3分ss s s s s s s Y zi 1653265112)(22⋅+++++++=5分)()561()(32t e e t y t t ε---+=5分。
选择题:14、已知连续时间信号,)2(100)2(50sin )(--=t t t f 则信号t t f 410cos ·)(所占有的频带宽度为() A .400rad /s B 。
200 rad /s C 。
100 rad /s D 。
50 rad /sf如下图(a)所示,其反转右移的信号f1(t) 是()15、已知信号)(tf如下图所示,其表达式是()16、已知信号)(1tA、ε(t)+2ε(t-2)-ε(t-3)B、ε(t-1)+ε(t-2)-2ε(t-3)C、ε(t)+ε(t-2)-ε(t-3)D、ε(t-1)+ε(t-2)-ε(t-3)17、如图所示:f(t)为原始信号,f1(t)为变换信号,则f1(t)的表达式是()A、f(-t+1)B、f(t+1)C、f(-2t+1)D、f(-t/2+1)18、若系统的冲激响应为h(t),输入信号为f(t),系统的零状态响应是()19。
信号)2(4sin 3)2(4cos 2)(++-=t t t f ππ与冲激函数)2(-t δ之积为( )A 、2B 、2)2(-t δC 、3)2(-t δD 、5)2(-t δ,则该系统是()>-系统的系统函数.已知2]Re[,651)(LTI 202s s s s s H +++= A 、因果不稳定系统 B 、非因果稳定系统C 、因果稳定系统D 、非因果不稳定系统21、线性时不变系统的冲激响应曲线如图所示,该系统微分方程的特征根是( )A 、常数B 、 实数C 、复数D 、实数+复数22、线性时不变系统零状态响应曲线如图所示,则系统的输入应当是( )A 、阶跃信号B 、正弦信号C 、冲激信号D 、斜升信号23. 积分⎰∞∞-dt t t f )()(δ的结果为( )A )0(fB )(t f C.)()(t t f δ D.)()0(t f δ24. 卷积)()()(t t f t δδ**的结果为( )A.)(t δB.)2(t δC. )(t fD.)2(t f25. 零输入响应是( )A.全部自由响应B.部分自由响应C.部分零状态响应D.全响应与强迫响应之差2A 、1-eB 、3eC 、3-eD 、127.信号〔ε(t)-ε(t -2)〕的拉氏变换的收敛域为 ( )A.Re[s]>0B.Re[s]>2C.全S 平面D.不存在28.已知连续系统二阶微分方程的零输入响应)(t y zi 的形式为t t Be Ae 2--+,则其2个特征根为() A 。
-1,-2 B 。
-1,2 C 。
1,-2 D 。
1,229.函数)(t δ'是( )A .奇函数B 。
偶函数C 。
非奇非偶函数D 。
奇谐函数30.周期矩形脉冲序列的频谱的谱线包络线为( )A .δ 函数B 。
Sa 函数C 。
ε 函数D 。
无法给出31.能量信号其( )A .能量E =0B 。
功率P =0C 。
能量E =∞D 。
功率P =∞32.在工程上,从抽样信号恢复原始信号时需要通过的滤波器是( )A .高通滤波器B 。
低通滤波器C 。
带通滤波器D 。
带阻滤波器33.设一个矩形脉冲的面积为S ,则矩形脉冲的F T(傅氏变换)在原点处的函数值等于( )A .S /2B 。
S /3C 。
S /4D 。
S34.,3,2,1,0,3sin )(±±±==k k k f … 是 ( )A .周期信号B 。
非周期信号C 。
不能表示信号D 。
以上都不对35.线性系统具有( )A .分解特性B 。
零状态线性C 。
零输入线性D 。
ABC36.设系统零状态响应与激励的关系是:)()(t f t y zs = ,则以下表述不对的是( )A .系统是线性的B 。
系统是时不变的C 。
系统是因果的D 。
系统是稳定的37.对于信号t t f π2sin )(=的最小取样频率是 ( )A .1 HzB 。
2 HzC 。
4 HzD 。
8Hz38.理想低通滤波器是( )A .因果系统B 。
物理可实现系统C 。
非因果系统D 。
响应不超前于激励发生的系统39.ωj 1 具有( )A .微分特性B 。
积分特性C 。
延时特性D 。
因果特性40.)1()2(sin --t t δπ等于( )A .)2(sin -t πB 。
)1(-t δC 。
1D 。
041.功率信号其 ( )A .能量E =0B 。
功率P =0C 。
能量E =∞D 。
功率P =∞42.信号⋯±±±==,3,2,1,0,6sin )(k k k f π其周期是( )A .π2B 。
12C 。
6D 。
不存在43.对于信号t t t f 33104sin 102sin )(⨯+⨯=ππ的最小取样频率是 ( )A .8kHzB 。
4kHzC 。
2kHzD 。
1kHz44.设系统的零状态响应⎰=tzs d f t y 0,)()(ττ 则该系统是 ( )A .稳定的B 。
不稳定的C 。
非因果的D 。
非线性的45.)4()]4([--t t Sa δπ等于 ( )A .)4(-t δB 。
)4(sin -t πC 。
1D 。
046.连续周期信号的频谱有( )A .连续性、周期性B 。
连续性、收敛性C 。
离散性、周期性D 。
离散性、收敛性47.某信号的频谱密度函数为,)]2()2([)(3ωπωεπωεωj e j F ---+=则=)(t f ()A .)]3(2[-t Sa πB 。
2)]3(2[-t Sa πC .)2(t Sa πD 。
2)2(t Sa π48.理想低通滤波器一定是( )A .稳定的物理可实现系统B 。
稳定的物理不可实现系统C .不稳定的物理可实现系统D 。
不稳定的物理不可实现系统49.单边拉氏变换3)()3(+=+-s e s F s 的原函数=)(t f ( )A .)1()1(3---t e t εB 。
)3()3(3---t e t εC .)1(3--t e t εD 。
)3(3--t e t ε50.当输入信号的复频率等于系统函数的零点时,系统的强迫响应分量为( )A .无穷大B 。
不为零的常数C 。
0D 。
随输入信号而定51.欲使信号通过系统后只产生相位变化,则该系统一定是( )A .高通滤波网络B 。
带通滤波网络C 。
全通网络D 。
最小相移网络52.已知信号)(t f 的傅氏变换为),(ωj F 则)23(tf -的傅氏变换为( )A .ωω3)2(2j e j F -B 。
ωω3)2(2j e j F --C .ωω6)2(2j e j F -D 。
ωω6)2(2j e j F --53.信号的时宽与信号的频宽之间呈( )A .正比关系B 。
反比关系C 。
平方关系D 。
没有关系54.时域是实偶函数,其傅氏变换一定是( )A .实偶函数B 。
纯虚函数C 。
任意复函数D 。
任意实函数55.幅度调制的本质是( )A .改变信号的频率B 。
改变信号的相位C .改变信号频谱的位置D 。
改变信号频谱的结构56.若),()()(t y t h t f =*则=*)3()3(t h t f ( )A.)3(t y B。
3)3(t y C 。
)3(31t y D 。
)3(t y 57.假设信号)(1t f 的奈奎斯特取样频率为1ω ,)(2t f 的奈奎斯特取样频率为,2ω且1ω>,2ω则信号)2()1()(21++=t f t f t f 的奈奎斯特取样频率为( )A .1ωB 。
2ωC 。
1ω+2ωD 。
1ω*2ω58.某信号的频谱是周期的离散谱,则对应的时域信号为( )A .连续的周期信号B 。
连续的非周期信号C .离散的非周期信号D 。
离散的周期信号59.若线性时不变因果系统的频率响应特性),(ωj H 可由系统函数)(s H 将其中的s 换成ωj 来求取,则要求该系统函数)(s H 的收敛域应为( )A .]Re[s >某一正数B 。
]Re[s >某一负数C .]Re[s <某一正数D 。
]Re[s <某一负数60.对于某连续因果系统,系统函数22)(+-=s s s H ,下面说法不对的是( ) A .这是一个一阶系统 B 。
这是一个稳定系统C .这是一个最小相位系统D 。
这是一个全通系统61.下列信号分类法中错误的是 ( )A.确定信号与随机信号B.周期信号与非周期信号C.能量信号与功率信号D.一维信号与二维信号62.下列各式中正确的是 ( )A.)()2(t t δδ=; ;B.)(2)2(t t δδ=;C.)(21)2(t t δδ=D.)2(21)(2t t δδ= 63.下列关于傅氏变换的描述的不正确的是 ( )A ..时域周期离散,则频域也是周期离散的;B 时域周期连续,则频域也是周期连续的;C. 时域非周期连续,则频域也是非周期连续的; D.时域非周期离散,则频域是周期连续的。
64.若对)(t f 进行理想取样,其奈奎斯特取样频率为s f ,对)231(-t f 进行取样,其奈奎斯特取样频率为 ( )A .3s fB 。
s f 31C 。
3(s f -2)D 。
)2(31-s f 65.)3()5(21-*+t f t f 等于 ( )A .)()(21t f t f *B 。
)8()(21-*t f t fC .)8()(21+*t f t fD 。
)1()3(21-*+t f t f66.积分⎰---55)2()3(dt t t δ等于( )A .-1B 。
1C 。
0D 。
-0。
567.已知某连续时间系统的系统函数11)(+=s s H ,该系统属于什么类型 ( ) A .高通滤波器 B 。
低通滤波器 C 。
带通滤波器 D 。
带阻滤波器68.以下为4个信号的拉普拉斯变换,其中不存在傅里叶变换的信号是 ( )A .s 1B 。
1C 。
21+sD 。
21-s 69.已知一连续系统在输入)(t f 的作用下的零状态响应为)4()(t f t y zs =,则该系统为( )A .线性时不变系统B 。
线性时变系统C .非线性时不变系统D 。
非线性时变系统70.已知)(t f 是周期为T 的函数,)(t f -)25(T t f +的傅里叶级数中,只可能有( ) A .正弦分量 B 。
余弦分量 C 。
奇次谐波分量 D 。
偶次谐波分量 71.一个线性时不变的连续时间系统,其在某激励信号作用下的自由响应为)()(3t e et t ε--+,强迫响应为)()1(2t e t ε--,则下面的说法正确的是 ( )A .该系统一定是二阶系统B 。
该系统一定是稳定系统C .零输入响应中一定包含)()(3t e e t t ε--+D 。
零状态响应中一定包含)()1(2t e t ε--72.已知信号)(t f 的最高频率)(0Hz f ,则对信号)2(t f 取样时,其频谱不混迭的最大奈奎斯特取样间隔max T 等于( )A .1/f 0B .2/f 0C .1/2f 0D 。