电机学公式1.0
- 格式:doc
- 大小:250.50 KB
- 文档页数:5
电机学公式整理范文电机学是电力工程和自动控制领域中的重要学科之一,涉及到电机的基本原理、转子动力学、电动机调速、电机转矩计算等内容。
在学习电机学的过程中,我们需要熟悉一些基本公式和理论知识。
下面将对电机学常用的公式进行整理。
1.电动机转矩电动机的转矩计算是电机学中最基本的问题之一,转矩公式如下:T=K×φ×I其中,T为电动机的转矩,K为电机常数,φ为磁通量,I为电流。
2.电动机功率电动机的功率可以通过转矩和转速计算得到,公式如下:P=Tω其中,P为电机的功率,T为电机的转矩,ω为电机的角速度。
3.磁动势和磁通量磁动势(F)和磁通量(φ)的关系可以用下面的公式表示:F=N×Iφ=F/μ其中,F为磁动势,N为匝数,I为电流,μ为相对磁导率。
4.磁动势和磁场强度磁动势和磁场强度(H)的关系可以用下面的公式表示:F=H×l其中,F为磁动势,H为磁场强度,l为磁路长度。
5.电动机的磁场电动机产生的磁场可以通过下面的公式计算:B=μ×H其中,B为磁场的磁感应强度,μ为相对磁导率,H为磁场强度。
6.电动机的反电动势电动机的反电动势(E)可以通过下面的公式计算:E=K×φ×ω其中,E为反电动势,K为电机常数,φ为磁通量,ω为电机的角速度。
7.电动机的效率电动机的效率(η)可以通过下面的公式计算:η = (Pout/Pin)×100%其中,Pout为输出功率,Pin为输入功率。
8.电动机的转速电动机的转速(N)可以通过下面的公式计算:N=(120f/P)×(1-s)其中,f为电机的电源频率,P为电机的极对数,s为滑差。
9.电动机的滑差电动机的滑差(s)可以通过下面的公式计算:s=(N1-N2)/N1其中,N1为输入转速,N2为输出转速。
10.电动机的线圈电压电动机的线圈电压(V)可以通过下面的公式计算:V=E-IR其中,V为线圈电压,E为反电动势,I为电流,R为电阻。
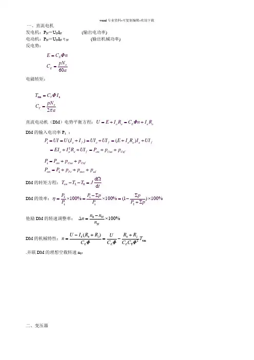
?一、直流电机A.主要概念1. 换向器、电刷、电枢接触压降2?U b2. 极数和极对数3. 主磁极、励磁绕组4. 电枢、电枢铁心、电枢绕组5. 额定值6. 元件7. 单叠、单波绕组8. 第1节距、第2节距、合成节距、换向器节距9.10.11.12.13.14. 15. 16.17.18.19.20. 稳定性21. DM 的启动方法:直接启动、电枢回路串电阻启动、降压启动22. DM 的调速方法:电枢回路串电阻、调励磁、调端电压23. DM 的制动方法:能耗制动、反接制动、回馈制动 B.主要公式:发电机:P N =U N I N (输出电功率)电动机:P N =U N I N ηN (输出机械功率)反电势:电磁转矩: 直流电动机(DM )电势平衡方程:a a E a a U E I R C Φn I R =+=+DM 的输入电功率P 1: DM 的转矩方程:20d d em T T T Jt Ω--= DM 的效率:21112100%100%(1)100%P P p p P P P p η-∑∑=⨯=⨯=-⨯+∑ 他励DM 的转速调整率:0N N 100%n n n n -∆=⨯ DM 的机械特性:em 2j a j a a )(T R R U R R I U n +-=+-= . 并联A.1.2.3.4.5.6.7.8.9.10.11.12.14.15.16.17.18.19.20. 同名端、首端、尾端、中性点21. 联结组、联结组号、时钟表示法22. Y,y 联结组,D,d 联结组各有6个偶数联结组号;Y,d 联结组,D,y 联结组各有6个奇数联结组合23. 主磁通、励磁电流的波形问题24. 在三相变压器中,三次谐波电流通路的重要性,在不同磁路中的影响25. 变压器并联运行的三个理想条件26. 变压器并联运行的负载分配27. 电流互感器、电压互感器的用途,使用中的注意事项28. 对称分量法,正序、负序、零序, 29. 变压器的正序、负序、零序电路,各序激磁阻抗的特点30. 单相对中点短路时,各序电流与短路电流的关系B. 主要公式反电势:E 1=4.44fN 1Φm 、E 2=4.44fN 2Φm磁势平衡方程:112210N I N I N I +=折算前的变压器方程组(数学模型):折算后的变压器方程组:电压变化率简化计算公式:ΔU =β(R k *cos φ2-X k *sin φ2)×100% 效率:A. 1. 2. 3. 4. 5. 6. 7. 8. 9. 10. 11. 12. 13. 14. 15. 16. 17. 向滞后 18. 19.B. 主要公式1. 反电势频率、转子转速、极对数的关系:f=n/60/p2. 槽距机械角度:?m =360°/Z3. 槽距角:?e =p*360°/Z4. 每极每相槽数:q=z/2pm5. 导体电动势:E c1=2.22 f ??? 短距系数:k y1=sin(?/2*y 1/?)7. 线圈电动势:E y1=2N c *E c1*k y1=4.44N c f ??k y18. 分布系数:9. 线圈组电动势:E q1=q*E y1*k q1=4.44q*N c *f*?*k y1*k q110. 绕组系数:k N1=k y1*k q111. 相绕组电动势:11144.4ΦfNk E N =φ (N 为每相串联匝数)12. 每相串联匝数: 13. 相绕组脉振磁动势幅值的最大值:p I Nk p I Nk F N N 111m 9.0π22==φ (其中I 是电流的有效值)14. 相绕组磁动势基波的表达式:(其中?=0处为相绕组轴线)15. 相绕组磁动势中的ν次谐波磁动势最大值、瞬时表达式:16. 三相合成磁动势基波的幅值F : 17. A.1.2.3.4.5.6.7. 8. 等效于一台短路的三相变压器(不过其主磁通是旋转的)F F F +=)。
?一、直流电机A. 主要概念1. 换向器、电刷、电枢接触压降2 U b2. 极数和极对数3. 主磁极、励磁绕组4. 电枢、电枢铁心、电枢绕组5. 额定值6. 元件7. 单叠、单波绕组8. 第1节距、第2节距、合成节距、换向器节距9. 并联支路对数a10. 绕组展开图11. 励磁与励磁方式12. 空载磁场、主磁通、漏磁通、磁化曲线、每级磁通13. 电枢磁场14. (交轴、直轴)电枢反应及其性质、几何中性线、物理中性线、移刷15. 反电势常数C E、转矩常数C T16. 电磁功率P em电枢铜耗p Cua励磁铜耗p Cuf电机铁耗p Fe机械损耗p mec附加损耗p ad输出机械功率P2可变损耗、不变损耗、空载损耗17. 直流电动机(DM)的工作特性18. 串励电动机的“飞速”或“飞车”19. 电动机的机械特性、自然机械特性、人工机械特性、硬特性、软特性20. 稳定性21. DM的启动方法:直接启动、电枢回路串电阻启动、降压启动22. DM的调速方法:电枢回路串电阻、调励磁、调端电压23. DM的制动方法:能耗制动、反接制动、回馈制动B. 主要公式:发电机:P N=U N I N (输出电功率)电动机:P N=U N I NηN (输出机械功率)反电势:电磁转矩:直流电动机(DM )电势平衡方程:a a E a a U E I R C Φn I R =+=+ DM 的输入电功率P 1 :DM 的转矩方程:20d d em T T T J tΩ--=DM 的效率:21112100%100%(1)100%P P p p P P P p η-∑∑=⨯=⨯=-⨯+∑他励DM 的转速调整率: 0NN100%n n n n -∆=⨯DM 的机械特性:em2T j a j a a )(T ΦC C R R ΦC UΦC R R I U n E E E +-=+-=. 并联DM 的理想空载转速n 0:二、变压器A. 主要概念1. 单相、三相;变压器组、心式变压器;电力变压器、互感器;干式、油浸式变压器2. 铁心柱、轭部3. 额定容量、一次侧、二次侧4. 高压绕组、低压绕组5. 空载运行,主磁通?、漏磁通?1?及其区别,主磁路、漏磁路 空载电流、主磁通、反电动势间的相位关系,铁耗角6. ?、i 、e 正方向的规定。
一、直流电机A。
主要概念1。
换向器、电刷、电枢接触压降2 U b2。
极数和极对数3. 主磁极、励磁绕组4. 电枢、电枢铁心、电枢绕组5. 额定值6。
元件7。
单叠、单波绕组8. 第1节距、第2节距、合成节距、换向器节距9. 并联支路对数a10。
绕组展开图11. 励磁与励磁方式12. 空载磁场、主磁通、漏磁通、磁化曲线、每级磁通13. 电枢磁场14。
(交轴、直轴)电枢反应及其性质、几何中性线、物理中性线、移刷15. 反电势常数C E、转矩常数C T16。
电磁功率P em电枢铜耗p Cua励磁铜耗p Cuf电机铁耗p Fe机械损耗p mec附加损耗p ad输出机械功率P2可变损耗、不变损耗、空载损耗17。
直流电动机(DM)的工作特性18。
串励电动机的“飞速”或“飞车"19。
电动机的机械特性、自然机械特性、人工机械特性、硬特性、软特性20。
稳定性21. DM的启动方法:直接启动、电枢回路串电阻启动、降压启动22. DM的调速方法:电枢回路串电阻、调励磁、调端电压23。
DM的制动方法:能耗制动、反接制动、回馈制动B。
主要公式:发电机:P N=U N I N(输出电功率)电动机:P N=U N I NηN(输出机械功率)反电势:60E a E E C npN C a Φ==电磁转矩:em a2T aT T C I pN C aΦπ==直流电动机(DM)电势平衡方程:a a E a a U E I R C Φn I R =+=+ DM 的输入电功率P 1 :12()()a f a f a a a fa aa f em Cua CufP UI U I I UI UI E I R I UI EI I R UI P p p ==+=+=++=++=++12em Cua Cuf em Fe mec adP P p p P P p p p =++=+++DM 的转矩方程:20d d em T T T J tΩ--=DM 的效率:21112100%100%(1)100%P P p p P P P p η-∑∑=⨯=⨯=-⨯+∑他励DM 的转速调整率: 0NN100%n n n n -∆=⨯ DM 的机械特性:em2T j a j a a )(T ΦC C R R ΦC UΦC R R I U n E E E +-=+-=. 并联DM 的理想空载转速n 0:二、变压器A. 主要概念1。
电机学概念、公式⼀、直流电机A. 主要概念1. 换向器、电刷、电枢接触压降2 U b2. 极数和极对数3. 主磁极、励磁绕组4. 电枢、电枢铁⼼、电枢绕组5. 额定值6. 元件7. 单叠、单波绕组8. 第1节距、第2节距、合成节距、换向器节距9. 并联⽀路对数a10. 绕组展开图11. 励磁与励磁⽅式12. 空载磁场、主磁通、漏磁通、磁化曲线、每级磁通13. 电枢磁场14. (交轴、直轴)电枢反应及其性质、⼏何中性线、物理中性线、移刷15. 反电势常数C E、转矩常数C T16. 电磁功率P em电枢铜耗p Cua励磁铜耗p Cuf电机铁耗p Fe机械损耗p mec附加损耗p ad输出机械功率P2可变损耗、不变损耗、空载损耗17. 直流电动机(DM)的⼯作特性18. 串励电动机的“飞速”或“飞车”19. 电动机的机械特性、⾃然机械特性、⼈⼯机械特性、硬特性、软特性20. 稳定性21. DM的启动⽅法:直接启动、电枢回路串电阻启动、降压启动;启动电流22. DM的调速⽅法:电枢串电阻、调励磁、调端电压23. DM的制动⽅法:能耗制动、反接制动、回馈制动B. 主要公式:发电机:P N=U N I N(输出电功率)电动机:P N=U N I NηN(输出机械功率)反电势:60E a E E C npN C a Φ==电磁转矩:em a2T a T T C I pN C aΦπ==直流电动机(DM )电势平衡⽅程:a a E a a U E I R C Φn I R =+=+ DM 的输⼊电功率P 1 :12()()a f a f a a a fa a a f em Cua CufP UI U I I UI UI E I R I UI EI I R UI P p p ==+=+=++=++=++12em Cua Cuf em Fe mec adP P p p P P p p p =++=+++DM 的转矩⽅程:20d d em T T T J tΩ--=DM 的效率:21112100%100%(1)100%P P p p P P P p η-∑∑===-+∑他励DM 的转速调整率: 0NN100%n n n n -?=DM 的机械特性:em2T j a j a a )(T ΦC C R R ΦC UΦC R R I U n E E E +-=+-=. 并联DM 的理想空载转速n 0:⼆、变压器 A. 主要概念 1. 单相、三相;变压器组、⼼式变压器;电⼒变压器、互感器;⼲式、油浸式变压器 2. 铁⼼柱、轭部 3. 额定容量、⼀次侧、⼆次侧 4. ⾼压绕组、低压绕组 5. 空载运⾏,主磁通Φ、漏磁通Φ1σ及其区别,主磁路、漏磁路空载电流、主磁通、反电动势间的相位关系,铁耗⾓ 6. Φ、i 、e 正⽅向的规定。
一、直流电机A. 主要概念1. 换向器、电刷、电枢接触压降2 U b2. 极数和极对数3. 主磁极、励磁绕组4. 电枢、电枢铁心、电枢绕组5. 额定值6. 元件7. 单叠、单波绕组8. 第1节距、第2节距、合成节距、换向器节距9. 并联支路对数a10. 绕组展开图11. 励磁与励磁方式12. 空载磁场、主磁通、漏磁通、磁化曲线、每级磁通13. 电枢磁场14. (交轴、直轴)电枢反应及其性质、几何中性线、物理中性线、移刷15. 反电势常数C E、转矩常数C T16. 电磁功率P em电枢铜耗p Cua励磁铜耗p Cuf电机铁耗p Fe机械损耗p mec附加损耗p ad输出机械功率P2可变损耗、不变损耗、空载损耗17. 直流电动机(DM)的工作特性18. 串励电动机的“飞速”或“飞车”19. 电动机的机械特性、自然机械特性、人工机械特性、硬特性、软特性20. 稳定性21. DM的启动方法:直接启动、电枢回路串电阻启动、降压启动22. DM的调速方法:电枢回路串电阻、调励磁、调端电压23. DM的制动方法:能耗制动、反接制动、回馈制动B. 主要公式:发电机:P N=U N I N(输出电功率)电动机:P N=U N I NηN(输出机械功率)反电势:60E a E E C npN C a Φ==电磁转矩:em a2T aT T C I pN C aΦπ==直流电动机(DM )电势平衡方程:a a E a a U E I R C Φn I R =+=+ DM 的输入电功率P 1 :12()()a f a f a a a fa aa f em Cua CufP UI U I I UI UI E I R I UI EI I R UI P p p ==+=+=++=++=++12em Cua Cuf em Fe mec adP P p p P P p p p =++=+++DM 的转矩方程:20d d em T T T J tΩ--=DM 的效率:21112100%100%(1)100%P P p p P P P p η-∑∑=⨯=⨯=-⨯+∑他励DM 的转速调整率: 0NN100%n n n n -∆=⨯ DM 的机械特性:em2T j a j a a )(T ΦC C R R ΦC UΦC R R I U n E E E +-=+-=. 并联DM 的理想空载转速n 0:二、变压器A. 主要概念1. 单相、三相;变压器组、心式变压器;电力变压器、互感器;干式、油浸式变压器2. 铁心柱、轭部3. 额定容量、一次侧、二次侧4. 高压绕组、低压绕组5. 空载运行,主磁通Φ、漏磁通Φ1σ及其区别,主磁路、漏磁路 空载电流、主磁通、反电动势间的相位关系,铁耗角6. Φ、i 、e 正方向的规定。
?一、直流电机A. 主要概念1. 换向器、电刷、电枢接触压降2 U b2. 极数和极对数3. 主磁极、励磁绕组4. 电枢、电枢铁心、电枢绕组5. 额定值6. 元件7. 单叠、单波绕组8. 第1节距、第2节距、合成节距、换向器节距9. 并联支路对数a10. 绕组展开图11. 励磁与励磁方式12. 空载磁场、主磁通、漏磁通、磁化曲线、每级磁通13. 电枢磁场14. (交轴、直轴)电枢反应及其性质、几何中性线、物理中性线、移刷15. 反电势常数C E、转矩常数C T16. 电磁功率P em电枢铜耗p Cua励磁铜耗p Cuf电机铁耗p Fe机械损耗 p mec 附加损耗 p ad 输出机械功率 P 2可变损耗、不变损耗、空载损耗 17. 直流电动机(DM )的工作特性 18. 串励电动机的“飞速”或“飞车”19. 电动机的机械特性、自然机械特性、人工机械特性、硬特性、软特性20. 稳定性21. DM 的启动方法:直接启动、电枢回路串电阻启动、降压启动 22. DM 的调速方法:电枢回路串电阻、调励磁、调端电压 23. DM 的制动方法:能耗制动、反接制动、回馈制动 B. 主要公式:发电机:P N =U N I N (输出电功率) 电动机:P N =U N I N ηN (输出机械功率) 反电势: 电磁转矩:直流电动机(DM )电势平衡方程:a a E a a U E I R C Φn I R =+=+ DM 的输入电功率P 1 : DM 的转矩方程:20d d em T T T J tΩ--= DM 的效率:21112100%100%(1)100%P P p p P P P p η-∑∑=⨯=⨯=-⨯+∑他励DM 的转速调整率: 0NN100%n n n n -∆=⨯ DM 的机械特性:em2T j a j a a )(T ΦC C R R ΦC UΦC R R I U n E E E +-=+-=. 并联DM 的理想空载转速n 0:二、变压器A. 主要概念1. 单相、三相;变压器组、心式变压器;电力变压器、互感器;干式、油浸式变压器2. 铁心柱、轭部3. 额定容量、一次侧、二次侧4. 高压绕组、低压绕组5. 空载运行,主磁通?、漏磁通?1?及其区别,主磁路、漏磁路 空载电流、主磁通、反电动势间的相位关系,铁耗角6. ?、i 、e 正方向的规定。
电机学概念以及公式总结一、直流电机A. 主要概念1. 换向器、电刷、电枢接触压降2 U b2. 极数和极对数3. 主磁极、励磁绕组4. 电枢、电枢铁心、电枢绕组5. 额定值6. 元件7. 单叠、单波绕组8. 第1节距、第2节距、合成节距、换向器节距9. 并联支路对数a10. 绕组展开图11. 励磁与励磁方式12. 空载磁场、主磁通、漏磁通、磁化曲线、每级磁通13. 电枢磁场14. (交轴、直轴)电枢反应及其性质、几何中性线、物理中性线、移刷15. 反电势常数C E、转矩常数C T16. 电磁功率P em电枢铜耗p Cua励磁铜耗p Cuf电机铁耗p Fe机械损耗 p mec 附加损耗 p ad 输出机械功率 P 2可变损耗、不变损耗、空载损耗 17. 直流电动机(DM )的工作特性 18. 串励电动机的“飞速”或“飞车”19.电动机的机械特性、自然机械特性、人工机械特性、硬特性、软特性 20. 稳定性21. DM 的启动方法:直接启动、电枢回路串电阻启动、降压启动 22. DM 的调速方法:电枢回路串电阻、调励磁、调端电压 23.DM 的制动方法:能耗制动、反接制动、回馈制动B. 主要公式:发电机:P N =U N I N (输出电功率) 电动机:P N =U N I N ηN (输出机械功率)反电势:60E a E E C npN C aΦ==电磁转矩:em a2T a T T C I pN C aΦπ==直流电动机(DM )电势平衡方程:a a E a a U E I R C Φn I R =+=+DM 的输入电功率P 1 :12()()a f a f a a a fa aa f em Cua CufP UI U I I UI UI E I R I UI EI I R UI P p p ==+=+=++=++=++12em Cua Cuf em Fe mec adP P p p P P p p p =++=+++DM 的转矩方程:20d d em T T T J tΩ--=DM 的效率:21112100%100%(1)100%P P p p P P P p η-∑∑=⨯=⨯=-⨯+∑ 他励DM 的转速调整率: 0NN100%n n n n -∆=⨯ DM 的机械特性:em 2T j a j a a )(T ΦC C R R ΦC UΦC R R I U n E E E +-=+-=. 并联DM 的理想空载转速n 0:二、变压器A. 主要概念1.单相、三相;变压器组、心式变压器;电力变压器、互感器;干式、油浸式变压器 2. 铁心柱、轭部3. 额定容量、一次侧、二次侧4. 高压绕组、低压绕组5. 空载运行,主磁通Φ、漏磁通Φ1σ及其区别,主磁路、漏磁路 空载电流、主磁通、反电动势间的相位关系,铁耗角6. Φ、i 、e 正方向的规定。
一、直流电机 发电机:P N =U N I N(输出电功率)电动机:P N =U N I N ηN (输出机械功率) 反电势:60E aE E C n pN C aΦ==电磁转矩:em a 2T aT T C I pN C aΦπ==直流电动机(DM )电势平衡方程:a a E a a U E I R C Φn I R =+=+ DM 的输入电功率P 1 : 12()()a f a f a a a fa aa f em Cua CufP UI U I I UI UI E I R I UI EI I R UI P p p ==+=+=++=++=++12em Cua Cuf em Fe mec adP P p p P P p p p =++=+++DM 的转矩方程:20d d em T T T J tΩ--= DM 的效率:21112100%100%(1)100%P P p pP P P pη-∑∑=⨯=⨯=-⨯+∑ 他励DM 的转速调整率: 0NN100%n n n n -∆=⨯ DM的机械特性:em2T j a j a a )(T ΦC C R R ΦC UΦC R R I U n E E E +-=+-=.并联DM 的理想空载转速n 0:11112222012121022'''''''''m LU E I Z U E I Z I I I E E E I Z U I Z ⎧=-+⎪=-⎪⎪=+⎪⎨=⎪⎪-=⎪⎪=⎩二、变压器反电势:E 1=4.44fN 1Φm 、E 2= 4.44fN 2Φm 磁势平衡方程:112210N I N I N I +=折算前的变压器方程组(数学模型): 折算后的变压器方程组:11112222122101022m LU E I Z U E I Z E k E I I I k E I Z U I Z ⎧=-+⎪=-⎪⎪⎪=⎪⎨⎪+=⎪⎪-=⎪⎪=⎩电压变化率简化计算公式:ΔU =β(R k *cos φ2-X k *sin φ2)×100% 效率:%100)cos 1(k N202N k N20⨯+++-=p p S p p βϕββη30ao AO E E ︒滞后于的相角联接组号=三、交流绕组1. 反电势频率、转子转速、极对数的关系: f = n /60 / p2. 槽距机械角度:αm = 360°/Z3. 槽距机械角度:αe = p* 360°/Z4. 每极每相槽数:q = z/m/2p5. 导体电动势:E c1 = 2.22 f Φ6. 短距系数:k y1 = sin(π/2*y 1/τ)7. 线圈电动势:E y1 = 2N c *E c1* k y1 = 4.44 N c f Φ k y1 8. 分布系数:2sin2sin 111ααq q k q =9. 线圈组电动势:E q1 = q*E y1 * k q1 = 4.44q*N c *f*Φ*k y1*k q110. 绕组系数:k N1 = k y1*k q111. 相绕组电动势:11144.4ΦfNk E N =φ (N 为每相串联匝数)12. 每相串联匝数:c c ()2()pqN a N pqN a⎧⎪⎪=⎨⎪⎪⎩单层绕组双层绕组13. 相绕组脉振磁动势幅值的最大值:p INk p I Nk F N N 111m 9.0π22==φ (其中I 是电流的有效值)14. 相绕组磁动势基波的表达式: θωθθφφφcos sin cos ),(1m 11t F F t f ==(其中θ=0处为相绕组轴线)15. 相绕组磁动势中的ν次谐波磁动势最大值、瞬时表达式:m m 0.9π(,)sin cos N N Nk INk I F p p f t F t ννφνφνφνννθωνθ===16. 三相合成磁动势基波的幅值F 1:pI Nk F F N 11m 135.123==φ四、异步电机1. 异步电动机的功率: N N N N N cos 3ϕηI U P =2. 同步转速: pf n 1160=3. 转差率:11n n n s -=4. 转子静止时的方程式(转子折算到定子后): ()11112222σ0121210mU E I Z E I R jX I I I E E E I Z ⎫=-+⎪'''=+⎪⎪'=+⎬⎪'=⎪⎪=-⎭5. 电动势变比k e : ..11112222N e e N N k E k E k E E N k ===, 6. 电流变比k i :11121222iN i L N m N k Ik I mN k k ==-,7. 转子旋转时,转子的频率:f 2s = s f 1 转子电动势:2222m 2s s N E f N k sE =Φ= 转子漏电抗:2σ22σ2σ2s s X f L sX π== 转子相电流:2222ss sE I R jX σ=+8. 转子旋转时,频率折算后的方程式: 9.转子旋转时,经频率、绕组折算后的方程式:10. 异步电动机的功率总功率平衡: P 1 = P em + p cu1 + p Fe , 电磁功率平衡: P em = p cu2 + P mec 机械功率平衡: P mec = P 2 + p mec + p ad功率比例关系: P em : p cu2 :P mec = 1:s :(1-s ) 11. 异步电机的电磁转矩:()2211em em 2212111σ2σ2R m pU P s T R f R X X s π'==Ω⎡⎤'⎛⎫'+++⎢⎥⎪⎝⎭⎢⎥⎣⎦12. 最大电磁转矩:m 2maxs T '⎫=⎪⎪⎪⎬=13. 过载倍数: k M =T max /T N 五、同步电机 1. 功率N N N N I U P ϕcos 3= (发电机)N N N N N I U P ηϕcos 3= (电()11112222σm 12121m m//i e U E I Z E I R s jX I I I k E k E E I Z ⎫=-+⎪=+⎪⎪=+⎬⎪=⎪⎪=-⎭()11112222σ1m 2121m m/U E I Z E I R s jX I I I E E E I Z ⎫=-+⎪''''=+⎪⎪'=-⎬⎪'=⎪⎪=-⎭动机)2. 励磁电动势:E 0=4.44fNk N1Φ03. 隐极电机负载运行(不饱和时): 气隙电动势:E E E a +=δ 定子绕组总电动势平衡: 0a a E E E U IR σ++=+励磁电动势平衡: 0a a a t E U IR jIX jIX U IR jIX σ=+++=++4. 凸极电机负载运行(不饱和时): 气隙电动势:E E E E aq ad ++=δ 定子绕组总电动势平衡: 0ad aq a E E E E E U IR δ=+++=+∑励磁电动势平衡:0a ad aq a d d q qE U IR jIX jIX jIX U IR jI X jI X σ=++++=+++5. 凸极电机负载运行(考虑饱和时):气隙电动势:d aq E E E δ=+(由d 轴合成1d f ad F F F =+产生)定子绕组总电动势: d aq a E E E E E E U IR σδσ=++=+=+∑ 6. 电压调整率:0N N 100%E U U U ΦΦ-∆=⨯ 7. 低转差法求Xd 和Xq 的不饱和值:max d minU X I =min q maxU X I =8.功角特性: 2011sin ()sin 22em d q dmE U mU P X X X θθ=+-2011sin ()sin 22emd q d E U U P X X X θθ*******=+-。
一、直流电机发电机:P N =U N I N (输出电功率)电动机:P N =U N I N ηN (输出机械功率)反电势:60E a E E C npN C aΦ==电磁转矩:em a2T aT T C I pN C aΦπ==直流电动机(DM )电势平衡方程:a a E a a U E I R C Φn I R =+=+ DM 的输入电功率P 1 :12()()a f a f a a a fa a a f em Cua CufP UI U I I UI UI E I R I UI EI I R UI P p p ==+=+=++=++=++12em Cua Cuf em Fe mec adP P p p P P p p p =++=+++DM 的转矩方程:20d d em T T T J tΩ--= DM 的效率:21112100%100%(1)100%P P p p P P P p η-∑∑=⨯=⨯=-⨯+∑ 他励DM 的转速调整率: 0NN100%n n n n -∆=⨯ DM 的机械特性:em2T j a j a a )(T ΦC C R R ΦC UΦC R R I U n E E E +-=+-=.并联DM 的理想空载转速n 0:二、变压器11112222012121022'''''''''m LU E I Z U E I Z I I I E E E I Z U I Z ⎧=-+⎪=-⎪⎪=+⎪⎨=⎪⎪-=⎪⎪=⎩反电势:E 1=4.44fN 1Φm 、E 2= 4.44fN 2Φm磁势平衡方程:112210N I N I N I +=折算前的变压器方程组(数学模型): 折算后的变压器方程组:电压变化率简化计算公式:ΔU =β(R k *cos φ2-X k *sin φ2)×100% 效率:%100)cos 1(k N202N k N20⨯+++-=p p S p p βϕββη30ao AO E E ︒滞后于的相角联接组号=三、交流绕组1. 反电势频率、转子转速、极对数的关系: f = n /60 / p2. 槽距机械角度:αm = 360°/Z3. 槽距机械角度:αe = p* 360°/Z4. 每极每相槽数:q = z/m/2p5. 导体电动势:E c1 = 2.22 f Φ6. 短距系数:k y1 = sin(π/2*y 1/τ)7. 线圈电动势:E y1 = 2N c *E c1* k y1 = 4.44 N c f Φ k y18. 分布系数:2sin 2sin111ααq q k q =9. 线圈组电动势:E q1 = q*E y1 * k q1 = 4.44q*N c *f*Φ*k y1*k q1 10. 绕组系数:k N1 = k y1*k q111. 相绕组电动势:11144.4ΦfNk E N =φ(N 为每相串联匝数)12. 每相串联匝数:c c ()2()pqN aN pqN a⎧⎪⎪=⎨⎪⎪⎩单层绕组双层绕组11112222122101022mLU E I Z U E I Z E k E I I I kE I Z U I Z ⎧=-+⎪=-⎪⎪⎪=⎪⎨⎪+=⎪⎪-=⎪⎪=⎩13. 相绕组脉振磁动势幅值的最大值:p INk p I Nk F N N 111m 9.0π22==φ(其中I 是电流的有效值)14. 相绕组磁动势基波的表达式:θωθθφφφcos sin cos ),(1m 11t F F t f ==(其中θ=0处为相绕组轴线)15. 相绕组磁动势中的ν次谐波磁动势最大值、瞬时表达式:m m 0.9π(,)sin cos N N Nk INk I F p p f t F t ννφνφνφνννθωνθ===16. 三相合成磁动势基波的幅值F 1:pI Nk F F N 11m 135.123==φ四、异步电机1. 异步电动机的功率: NN N N N cos 3ϕηI U P =2. 同步转速:p f n 1160=3. 转差率:11n n n s -=4. 转子静止时的方程式(转子折算到定子后):()11112222σ0121210mU E I Z E I R jX I I I E E E I Z ⎫=-+⎪'''=+⎪⎪'=+⎬⎪'=⎪⎪=-⎭5. 电动势变比k e :..11112222N e e N N k E k E k E E N k ===,6. 电流变比k i :11121222iN i L N m N k Ik I mN k k ==-,7. 转子旋转时,转子的频率:f 2s = s f 1 转子电动势:2222m 2s s N E f N k sE =Φ=转子漏电抗:2σ22σ2σ2s s X f L sX π== 转子相电流:2222ss sE I R jX σ=+8. 转子旋转时,频率折算后的方程式: 9.转子旋转时,经频率、绕组折算后的方程式: 10.异步电动机的功率总功率平衡:P 1 = P em + p cu1 + p Fe ,电磁功率平衡: P em = p cu2 + P mec机械功率平衡: P mec = P 2 + p mec + p ad功率比例关系: P em : p cu2 :P mec = 1:s :(1-s ) 11. 异步电机的电磁转矩:()2211em em 2212111σ2σ2R m pU P s T R f R X X s π'==Ω⎡⎤'⎛⎫'+++⎢⎥ ⎪⎝⎭⎢⎥⎣⎦12. 最大电磁转矩:m 2maxs T '⎫=⎪⎪⎪⎬=13. 过载倍数: k M =T max /T N 五、同步电机1. 功率N N N N I U P ϕcos 3= (发电机) N N N N N I U P ηϕcos 3= (电动机)2. 励磁电动势:E 0=4.44fNk N1Φ03. 隐极电机负载运行(不饱和时):()11112222σm 12121m m//i e U E I Z E I R s jX I I I k E k E E I Z ⎫=-+⎪=+⎪⎪=+⎬⎪=⎪⎪=-⎭()11112222σ1m 2121m m/U E I Z E I R s jX I I I E E E I Z ⎫=-+⎪''''=+⎪⎪'=-⎬⎪'=⎪⎪=-⎭气隙电动势:E E E a +=δ 定子绕组总电动势平衡: 0a a E E E U IR σ++=+ 励磁电动势平衡:0a a a t E U IR jIX jIX U IR jIX σ=+++=++4. 凸极电机负载运行(不饱和时): 气隙电动势:E E E E aq ad ++=δ 定子绕组总电动势平衡: 0ad aq a E EE E E U IR δ=+++=+∑励磁电动势平衡:0a ad aq a d d q qE U IR jIX jIX jIX U IR jI X jI X σ=++++=+++5. 凸极电机负载运行(考虑饱和时):气隙电动势:d aq E E E δ=+ (由d 轴合成1d f ad F F F =+产生)定子绕组总电动势:daq a E EE E E E U IR σδσ=++=+=+∑6. 电压调整率:0N N 100%E U U U ΦΦ-∆=⨯7. 低转差法求Xd 和Xq 的不饱和值:max d min U X I =min q maxUX I = 8. 功角特性: 2011sin ()sin 22emd q dmE U mU P X X X θθ=+-2011sin ()sin 22emd q d E U U P X X X θθ*******=+-。
电机常用计算公式及说明名师推荐精心整理学习必备电机电流计算:对于交流电三相四线供电而言,线电压是380,相电压是220,线电压是根号3相电压对于电动机而言一个绕组的电压就是相电压,导线的电压是线电压(指A相 B相 C相之间的电压,一个绕组的电流就是相电流,导线的电流是线电流当电机星接时:线电流=相电流;线电压=根号3相电压。
三个绕组的尾线相连接,电势为零,所以绕组的电压是220伏当电机角接时:线电流=根号3相电流;线电压=相电压。
绕组是直接接380的,导线的电流是两个绕组电流的矢量之和功率计算公式 p=根号三UI乘功率因数是对的用一个钳式电流表卡在A B C任意一个线上测到都是线电流极对数与扭矩的关系n=60f/p n: 电机转速 60: 60秒 f: 我国电流采用50Hz p: 电机极对数1对极对数电机转速:3000转/分;2对极对数电机转速:60×50/2=1500转/分在输出功率不变的情况下,电机的极对数越多,电机的转速就越低,但它的扭矩就越大。
所以在选用电机时,考虑负载需要多大的起动扭距。
异步电机的转速n=(60f/p)×(1-s),主要与频率和极数有关。
直流电机的转速与极数无关,他的转速主要与电枢的电压、磁通量、及电机的结构有关。
n=(电机电压-电枢电流*电枢电阻)/(电机结构常数*磁通)。
扭矩公式T=9550*P输出功率/N转速导线电阻计算公式:铜线的电阻率ρ=0.0172,R=ρ×L/S(L=导线长度,单位:米,S=导线截面,单位:m㎡)磁通量的计算公式:B为磁感应强度,S为面积。
已知高斯磁场定律为:Φ=BS磁场强度的计算公式:H = N × I / Le式:H为磁场强度,单位为A/m;N为励磁线圈的匝数;I为励磁电流(测量值),单位位A;Le为测试样品的有效磁路长度,单位为m。
磁感应强度计算公式:B = Φ/ (N × Ae)B=F/IL u磁导率pi=3.14 B=uI/2R 式:B为磁感应强度,单位为Wb/m^2;Φ为感应磁通(测量值),单位为Wb;N为感应线圈的匝数;Ae为测试样品的有效截面积,单位为m^2。
异步机调速原理及转速公式的讨论屈维谦 (071051)摘要和直流机一样,异步机转速是由理想空载转速和转速降而合成。
同步转速与理想空载转速的运动属性不同,两者没有直接、必然的联系。
传统电机学由定义式 11n n n s -= 导出的异步机转速表达式)(s p f n -=1601仍然是定义式,不能视为公式,更不能作为指导交流调速的理论依据。
异步机理想空载转速表为 mE m E o C E C E n Φ=Φ=2211 ,高效率调速的关键在于:在主磁通恒定的条件下,控制定子或转子的感应电势(E 1或E 2)以改变理想空载转速。
异步机可等效于直流并激电动机,调速的关键在于使主磁通不变,相当于将并激电动机改变为它激电动机。
串级、内馈、双馈调速和调压变频调速的同属于电磁功率控制原理,性能也相似,区别仅在于控制对象不同。
转差率和效率是完全不同的两个概念,不能用转差率变化与否来评价调速性能。
转差率应具体区分为电转差率和静差率,前者影响的是理想空载转速,后者影响的是转速降。
关键词:功率控制 电磁功率控制 损耗功率控制 理想空载转速 同步转速 电转差率 静差率作者:屈维谦 职称:高级工程师单位:保定北方调速有限公司地址:河北省保定市化纤路高新区管委会东楼 邮编:071051电话:(0312)3188177 3188557引言二十世纪九十年代以来,近代交流调速步入了以变频调速为主导的发展阶段。
其间,由于各种新型电力电子器件的支持,使变频调速在低压(380V)、中小容量(200KW 以下)方面取得了较大的进展。
但是面对高压(6KV-10KV)中大容量领域,由于电力电子器件自身规律的限制,变频调速在技术上遇到了很大困难,无论是“高—低”、“高-低-高”以及多电平串联方案,都在实践中暴露出技术复杂、价格昂贵、效率降低、可靠性较差等缺点,从理论上看,高压变频所面临的问题是违反电力电子器件客观规律的结果5,因为目前几乎所有的电力电子器件,其材料、工艺机理都决定了其属性是低压大电流的。
电机学概念以及公式总结一、直流电机A.主要概念1. 换向器、电刷、电枢接触压降2?Ub 2. 极数和极对数3. 主磁极、励磁绕组 4. 电枢、电枢铁心、电枢绕组 5. 额定值 6. 元件7. 单叠、单波绕组8. 第1节距、第2节距、合成节距、换向器节距9. 并联支路对数a 10. 绕组展开图11. 励磁与励磁方式12. 空载磁场、主磁通、漏磁通、磁化曲线、每级磁通13. 电枢磁场14. (交轴、直轴)电枢反应及其性质、几何中性线、物理中性线、移刷15. 反电势常数CE、转矩常数CT16. 电磁功率PemB.17. 18. 19. 20. 21. 22. 23. 电枢铜耗pCua 励磁铜耗pCuf 电机铁耗pFe 机械损耗pmec 附加损耗pad 输出机械功率P2 可变损耗、不变损耗、空载损耗直流电动机(DM)的工作特性串励电动机的“飞速”或“飞车”电动机的机械特性、自然机械特性、人工机械特性、硬特性、软特性稳定性DM的启动方法:直接启动、电枢回路串电阻启动、降压启动DM的调速方法:电枢回路串电阻、调励磁、调端电压DM的制动方法:能耗制动、反接制动、回馈制动主要公式:发电机:PN=UNIN 电动机:PN=UNINηN (输出电功率) (输出机械功率)反电势:E?CE?npNa CE?60aTem?CT?Ia 电磁转矩:pNaCT?2?a直流电动机(DM)电势平衡方程:U?E?IaRa?CEΦn?IaRa DM的输入电功率P1 :P1?UI?U(Ia?If)?UIa?UIf?(E?IaRa)Ia?UIf?EIa?IRa?UIf?Pem?pCua?pCuf2aP1?Pem?pCua?pCufPem?P2?pFe?pmec?padDM的转矩方程:Tem?T2?T0?JDM的效率:??d?dtP2P??p?p?100%?1?100%?(1?)?100% PPP??p112n0?nN?100% nN 他励DM的转速调整率:?n?.DM的机械特性:n?U?Ia(Ra?Rj)CEΦ?R?RjU?aT 2emCEΦCECTΦ并联DM 的理想空载转速n0:二、变压器A.主要概念1. 单相、三相;变压器组、心式变压器;电力变压器、互感器;干式、油浸式变压器 2. 铁心柱、轭部 3. 额定容量、一次侧、二次侧4. 高压绕组、低压绕组 5. 空载运行,主磁通?、漏磁通?1?及其区别,主磁路、漏磁路空载电流、主磁通、反电动势间的相位关系,铁耗角 6. ?、i、e正方向的规定。
一、直流电机A。
主要概念1. 换向器、电刷、电枢接触压降2 U b2。
极数和极对数3。
主磁极、励磁绕组4. 电枢、电枢铁心、电枢绕组5。
额定值6. 元件7。
单叠、单波绕组8。
第1节距、第2节距、合成节距、换向器节距9。
并联支路对数a10. 绕组展开图11。
励磁与励磁方式12。
空载磁场、主磁通、漏磁通、磁化曲线、每级磁通13. 电枢磁场14. (交轴、直轴)电枢反应及其性质、几何中性线、物理中性线、移刷15。
反电势常数C E、转矩常数C T16. 电磁功率P em电枢铜耗p Cua励磁铜耗p Cuf电机铁耗p Fe机械损耗p mec附加损耗p ad输出机械功率P2可变损耗、不变损耗、空载损耗17. 直流电动机(DM)的工作特性18. 串励电动机的“飞速”或“飞车”19。
电动机的机械特性、自然机械特性、人工机械特性、硬特性、软特性20. 稳定性21. DM的启动方法:直接启动、电枢回路串电阻启动、降压启动22。
DM的调速方法:电枢回路串电阻、调励磁、调端电压23。
DM的制动方法:能耗制动、反接制动、回馈制动B。
主要公式:发电机:P N=U N I N(输出电功率)电动机:P N=U N I NηN(输出机械功率)反电势:电磁转矩:直流电动机(DM)电势平衡方程:DM的输入电功率P1:DM的转矩方程:DM的效率:他励DM的转速调整率:DM的机械特性:。
并联DM的理想空载转速n0:二、变压器A. 主要概念1。
单相、三相;变压器组、心式变压器;电力变压器、互感器;干式、油浸式变压器2. 铁心柱、轭部3。
额定容量、一次侧、二次侧4。
高压绕组、低压绕组5。
空载运行,主磁通Φ、漏磁通Φ1σ及其区别,主磁路、漏磁路空载电流、主磁通、反电动势间的相位关系,铁耗角6. Φ、i、e正方向的规定。
7。
变比、二次侧空载电压、二次侧额定电压8。
励磁电抗X m、励磁电阻R m、一次侧漏电抗X1σ、二次侧漏电抗X2σ9。
负载运行时变压器的原理示意图10. 变压器的磁势平衡11。
一、直流电机
发电机:P N =U N I N (输出电功率)
电动机:P N =U N I N ηN (输出机械功率)
反电势:
60E a E E C n
pN C a
Φ==
电磁转矩:
em a
2T a
T T C I pN C a
Φπ==
直流电动机(DM )电势平衡方程:a a E a a U E I R C Φn I R =+=+ DM 的输入电功率P 1 :
12
()()a f a f a a a f
a a a f em Cua Cuf
P UI U I I UI UI E I R I UI EI I R UI P p p ==+=+=++=++=++
12em Cua Cuf em Fe mec ad
P P p p P P p p p =++=+++
DM 的转矩方程:20d d em T T T J t
Ω
--= DM 的效率:2111
2100%100%(1)100%P P p p P P P p η-∑∑=
⨯=⨯=-⨯+∑ 他励DM 的转速调整率: 0N
N
100%n n n n -∆=
⨯ DM 的机械特性:em 2
T j a j a a )
(T ΦC C R R ΦC U
ΦC R R I U n E E E +-=+-=
.并联DM 的理想空载转速n 0:
1111
222201212
1022'''''''''m L U E I Z U E I Z I I I E E E I Z U I Z ⎧=-+⎪=-⎪⎪=+⎪⎨=⎪⎪-=⎪⎪=⎩
二、变压器
反电势:E 1=4.44fN 1Φm 、E 2= 4.44fN 2Φm
磁势平衡方程:112210N I N I N I +=
折算前的变压器方程组(数学模型): 折算后的变压器方程组:
电压变化率简化计算公式:ΔU =β(R k *cos φ2-X k *sin φ2)×100% 效率:
%100)cos 1(kN
2
02N kN
20⨯+++-=p p S p p βϕββη
30ao AO
E E ︒
滞后于的相角联接组号=
三、交流绕组
1. 反电势频率、转子转速、极对数的关系: f = n /60 / p
2. 槽距机械角度:αm = 360°/Z
3. 槽距机械角度:αe = p* 360°/Z
4. 每极每相槽数:q = z/m/2p
5. 导体电动势:E c1 = 2.22 f Φ
6. 短距系数:k y1 = sin(π/2*y 1/τ)
7. 线圈电动势:E y1 = 2N c *E c1* k y1 = 4.44 N c f Φ k y1
8. 分布系数:2
sin 2sin
1
11ααq q k q =
9. 线圈组电动势:E q1 = q*E y1 * k q1 = 4.44q*N c *f*Φ*k y1*k q1 10. 绕组系数:k N1 = k y1*k q1
11. 相绕组电动势:11144.4ΦfNk E N =φ
(N 为每相串联匝数)
11112222122101022m
L U E I Z U E I Z E k E I I I k E I Z U I Z ⎧=-+⎪=-⎪⎪⎪=⎪⎨
⎪+=⎪⎪-=⎪⎪=⎩
12. 每相串联匝数:c c ()
2()
pqN a
N pqN a
⎧⎪⎪=⎨
⎪⎪⎩单层绕组双层绕组
13. 相绕组脉振磁动势幅值的最大值:
p I
Nk p I Nk F N N 1
11m 9.0π22==
φ
(其中I 是电流的有效值)
14. 相绕组磁动势基波的表达式:
θωθθφφφcos sin cos ),(1m 11t F F t f ==
(其中θ=0处为相绕组轴线)
15. 相绕组磁动势中的ν次谐波磁动势最大值、瞬时表达式:
m m 220.9π(,)sin cos N N Nk I
Nk I F p p f t F t νν
φνφνφνννθωνθ
=
==
16. 三相合成磁动势基波的幅值F 1:
p
I Nk F F N 11m 135.123==
φ
四、异步电机
1. 异步电动机的功率: N
N N N N cos 3ϕηI U P =
2. 同步转速:
p f n 1160=
3. 转差率:
1
1n n n s -=
4. 转子静止时的方程式(转子折算到定子后): ()1111
2222σ012
1210m U E I Z E I R jX I I I E E E I Z ⎫=-+⎪'''=+⎪
⎪'=+⎬⎪'=⎪
⎪=-⎭
5. 电动势变比k e :
..11
112222
N e e N N k E k E k E E N k ===,
6. 电流变比k i :
11121222i
N i L N m N k I
k I m N k k ==- ,
7. 转子旋转时,转子的频率:f 2s = s f 1 转子电动势:2222m 22s s N E f N k sE π=
Φ=
转子漏电抗:2σ22σ2σ2s s X f L sX π==
转子相电流:2222s
s
s
E I R jX σ=+
8. 转子旋转时,频率折算后的方程式: 9.转子旋转时,经频率、绕组折算后的方程式:
10. 异步电动机的功率 总功率平衡:
P 1 = P em + p cu1 + p Fe ,
电磁功率平衡: P em = p cu2 + P mec 机械功率平衡: P mec = P 2 + p mec + p ad
功率比例关系: P em : p cu2 :P mec = 1:s :(1-s ) 11. 异步电机的电磁转矩:
()2
211em
em 2
21
2111σ2
σ2R m pU P s
T R f R X X s π'=
=Ω⎡⎤
'⎛⎫'+++⎢⎥ ⎪⎝⎭⎢⎥⎣⎦
12. 最大电磁转矩:
()()2
m 2
211σ2σ211
max
2
21111σ2
σ4R s R X X m pU T f R R X X π'⎫
=±
⎪'++⎪⎪
⎬⎪=±
⎡⎤⎪'±+++⎢⎥⎪⎣⎦⎭
13. 过载倍数: k M =T max /T N
()1111
2222σm 12121m m //i
e U E I Z E I R s jX I I I k E k E E I Z ⎫=-+⎪=+⎪
⎪=+⎬⎪=⎪
⎪=-⎭
()1111
2222σ1m 2
121m m /U E I Z E I R s jX I I I E E E I Z ⎫=-+⎪''''=+⎪⎪'=-⎬⎪'=⎪
⎪=-⎭
五、同步电机 1. 功率
N N N N I U P ϕcos 3= (发电机) N N N N N I U P ηϕcos 3= (电动机)
2. 励磁电动势:E 0=4.44fNk N1Φ0
3. 隐极电机负载运行(不饱和时): 气隙电动势:
E E E a +=δ 定子绕组总电动势平衡: 0a a
E E E U IR σ++=+ 励磁电动势平衡:
0a a a t
E U IR jIX jIX U IR jIX σ=+++=++
4. 凸极电机负载运行(不饱和时): 气隙电动势:
E E E E aq ad ++=δ 定子绕组总电动势平衡: 0
ad aq a
E
E E E E U IR δ=+++=+∑ 励磁电动势平衡:
0a ad aq a d d q q
E U IR jIX jIX jIX U IR jI X jI X σ
=++++=+++
5. 凸极电机负载运行(考虑饱和时):
气隙电动势:
d aq
E E E δ=+ (由d 轴合成1d f ad
F F F =+产生)
定子绕组总电动势:
d
aq a
E
E E E E E U IR σδσ=++=+=+∑ 6. 电压调整率:
0N N 100%E U U U Φ
Φ
-∆=
⨯
7. 低转差法求Xd 和Xq 的不饱和值:
max d min U X I =
min q max
U
X I = 8. 功角特性: 2011
sin ()sin 22em d q d
mE U mU P X X X θθ=
+-
2011sin ()sin 22em
d q d E U U P X X X θθ****
***
=+-。