八年级数学第二学期 第一次质量检测测试卷
- 格式:doc
- 大小:1.08 MB
- 文档页数:19
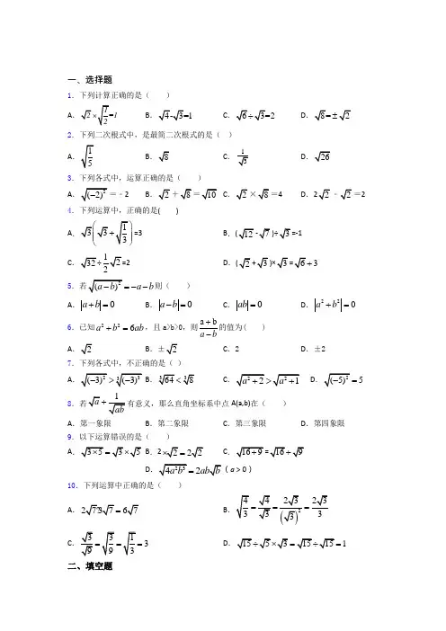
一、选择题1.下列计算正确的是( )A 1BCD ±2.下列二次根式中,是最简二次根式的是( )ABC .D 3.下列各式中,运算正确的是( )A =﹣2B +C 4D .=24.下列运算中,正确的是( )A =3B .=-1C D .35.a b =--则( ) A .0a b +=B .0a b -=C .0ab =D .220a b +=6.已知226a b ab +=,且a>b>0,则a ba b+-的值为( )A B C .2D .±27.下列各式中,不正确的是( )A ><C > D 5=8.有意义,那么直角坐标系中点A(a,b)在( ) A .第一象限 B .第二象限C .第三象限D .第四象限9.以下运算错误的是( )A =B .2= CD 2=a >0)10.下列运算中正确的是( )A .=B===C 3===D 1==二、填空题11.已知412x =-,则()21142221x x x x -⎛⎫+⋅= ⎪-+-⎝⎭_________ 12.已知2216422x x ---=,则22164x x -+-=________. 13.(1)已知实数a 、b 在数轴上的位置如图所示,化简()222144a a ab b +--+=_____________;(2)已知正整数p ,q 32016p q =()p q ,的个数是_______________;(3)△ABC 中,∠A=50°,高BE 、CF 所在的直线交于点O,∠BOC 的度数__________. 14.120654010144152118+++235a b c +的形式(,,a b c 为正整数),则abc =______.15222a a ++的最小值是______. 16.计算:200820092+323⋅-=_________.17.4102541025-+++=_______.18.若a 、b 都是有理数,且2222480a ab b a -+++=ab .19.1+x有意义,则x 的取值范围是____.20.函数y =42xx --中,自变量x 的取值范围是____________. 三、解答题21.(1111242-=112393-=113416-=;……写出④ ;⑤ ;(2)归纳与猜想.如果n 为正整数,用含n 的式子表示这个运算规律; (3)证明这个猜想. 【答案】(11142=52555-=1156366-=;(22111n n n n--=;(3)证明见解析. 【解析】 【分析】(1)根据题目中的例子直接写出结果; (2)根据(1)中的特例,可以写出相应的猜想;(3)根据(2)中的猜想,对等号左边的式子进行化简,即可得到等号右边的式子,从而可以解答本题. 【详解】解:(1)由例子可得,④=25,(2)如果n 为正整数,用含nn, (3)证明:∵n 是正整数,n .n.故答案为5=256;n;(3)证明见解析. 【点睛】本题考查了二次根式的混合运算、数字的变化类,解答本题的关键是明确题意,找出所求问题需要的条件.22.解:设x222x =++2334x =+,x 2=10 ∴x =10.0.【分析】根据题意给出的解法即可求出答案即可. 【详解】设x两边平方得:x 2=2+2+即x 2=4+4+6, x 2=14∴x =.0,∴x.【点睛】本题考查了二次根式的运算,解题的关键是正确理解题意给出的解法,本题属于中等题型.23.小明在解决问题:已知2a2﹣8a+1的值,他是这样分析与解的:∵=2∴a﹣2=∴(a﹣2)2=3,a2﹣4a+4=3∴a2﹣4a=﹣1∴2a2﹣8a+1=2(a2﹣4a)+1=2×(﹣1)+1=﹣1请你根据小明的分析过程,解决如下问题:(1(2)若,求4a2﹣8a+1的值.【答案】(1)9;(2)5.【解析】试题分析:(1)此式必须在把分母有理化后才能实现化简,即各分式分子分母同乘以一个因式,使得1===.(2)先对a1,若就接着代入求解,计算量偏大.模仿小明做法,可先计算2(1)a-的值,就能较为简单地算出结果;也可对这个二次三项式进行配方,再代入求值.后两种方法都比直接代入计算量小很多.解:(1)原式=1)+++⋯(2)∵1a===,解法一:∵22(1)11)2a-=-=,∴2212a a-+=,即221a a-=∴原式=24(2)14115a a-+=⨯+=解法二∴原式=24(211)1a a-+-+24(1)3a =-- 24(211)3=+--4235=⨯-=点睛:(1)把分母+a b 有理化的方法:分子分母同乘以分母的有理化因式a b -, 得22()()()()+-=-=-a b a b a b a b ,去掉根号,实现分母有理化.(2)当已知量为根式时,求这类二次三项式的值,直接代入求值,计算量偏大,若能巧妙利用完全平方公式或者配方法,计算要简便得多.24.阅读下列材料,然后回答问题: 在进行二次根式运算时,我们有时会碰上如3、3+1这样的式子,其实我们还可以将其进一步化简:535==33333⨯⨯;22(31)2(31)=313+1(3+1)(31)(3)1⨯-⨯-==--- . 以上这种化简过程叫做分母有理化.3+1还可以用以下方法化简:22(3)1(3+1)(31)=313+13+13+13+1--===-. (1)请用其中一种方法化简1511-;(2)化简:++++3+15+37+599+97.【答案】(1) 15+11;(2) 311-1. 【分析】(1)运用了第二种方法求解,即将4转化为1511-;(2)先把每一个加数进行分母有理化,再找出规律,即后面的第二项可以和前面的第一项抵消,然后即可得出答案. 【详解】 (1)原式==;(2)原式=+++…=﹣1+﹣+﹣+…﹣=﹣1=3﹣1【点睛】本题主要考查了分母有理化,找准有理化的因式是解题的关键.25.-10 【分析】先根据二次根式的性质和平方差公式化简,然后再进行计算即可 【详解】=(22⎡⎤--⎢⎥⎣⎦=()212--10+.10. 【点睛】本题主要考查了二次根式的性质、平方差公式,灵活运用二次根式的性质化简是解答本题的关键.26.先化简,再求值:24224x xx x x x ⎛⎫÷- ⎪---⎝⎭,其中2x =.【答案】22x x +-,1 【分析】先把分式化简,然后将x 、y 的值代入化简后的式子求值即可. 【详解】 原式(2)(2)22(2)2x x x x x x x x +-+=⋅=---,当2x =时,原式1==.【点睛】本题考查了分式的化简求值这一知识点,把分式化到最简是解题的关键.27.已知a ,b (1)求a 2﹣b 2的值; (2)求b a +ab的值.【答案】(1);(2)10 【分析】(1)先计算出a+b 、a-b 的值,然后将所求的式子因式分解后利用整体代入思想代入数值进行计算即可;(2)先计算ab的值,然后将所求的式子通分,分子进行变形后利用整体代入思想代入相关数值进行计算即可.【详解】(1)∵ab,∴a+ba﹣b=,∴a2﹣b2=(a+b)(a﹣b)==;(2)∵ab,∴ab=)×)=3﹣2=1,则原式=22b aab+=()22a b abab+-=(2211-⨯=10.【点睛】本题考查了二次根式的化简求值,熟练掌握整体代入思想是解题的关键.28.计算:(1;(2)))213【答案】(1)2)1-.【分析】(1)根据二次根式的混合运算法则可以算得答案.(2)结合整式的乘法公式和二次根式的运算法则计算.【详解】(1)原式==(2)原式=212---=1-.【点睛】本题考查二次根式的运算,熟练掌握二次根式的意义、性质和运算法则是解题关键.【参考答案】***试卷处理标记,请不要删除一、选择题1.A 解析:A 【解析】2÷故选A.2.D解析:D 【分析】根据最简二次根式的特点解答即可. 【详解】A ,故该选项不符合题意;B =C 、=3,故该选项不符合题意;D 不能化简,即为最简二次根式, 故选:D . 【点睛】此题考查最简二次根式,掌握最简二次根式的特点:①被开方数中不含分母;②被开方数中不含能再开方的因式或因数,牢记特点是解题的关键.3.C解析:C 【分析】根据二次根式的性质对A 进行判断;根据二次根式的加减法法则对B 、D 进行判断;根据二次根式的乘法法则对C 进行判断. 【详解】A 、原式=2,故该选项错误;B =,故该选项错误;C 4,故该选项正确;D 故选:C . 【点睛】此题主要考查了二次根式的运算及性质,熟练掌握二次根式乘法、性质及加减法运算法则是解题关键.4.D解析:D 【分析】根据二次根式的加减乘除法则逐项判断即可得.【详解】A 314=+=,此项错误B 、2==,此项错误C 2428===⨯=,此项错误D 、3=,此项正确故选:D . 【点睛】本题考查了二次根式的加减乘除运算,熟记二次根式的运算法则是解题关键.5.C解析:C 【分析】直接利用二次根式的性质 ,将已知等式左边化简,可以得到a 与b 中至少有一个为0,进而分析得出答案即可. 【详解】解:∵a b =--, ∴a-b=-a-b , 或b-a=-a-b∴a= -a ,或b=-b, ∴a=0,或b=0, ∴ab=0, ∴0ab =. 故选:C . 【点睛】本题考查了二次根式的性质与化简,正确掌握二次根式的性质是解题的关键.6.A解析:A 【解析】【分析】已知a 2+b 2=6ab ,变形可得(a+b )2=8ab ,(a-b )2=4ab ,可以得出(a+b )和(a-b )的值,即可得出答案. 【详解】∵a 2+b 2=6ab , ∴(a+b )2=8ab ,(a-b )2=4ab , ∵a >b >0,∴∴a b a b +-= 故选A.【点睛】本题考查了分式的化简求值问题,观察式子可以得出应该运用完全平方式来求解,要注意a、b的大小关系以及本身的正负关系.7.B解析:B【解析】=-3,故A正确;=4,故B不正确;根据被开方数越大,结果越大,可知C正确;=,可知D正确.5故选B.8.A解析:A【解析】试题分析:根据二次根式的概念,可知a≥0,ab>0,解得a>0,b>0,因此可知A(a,b)在第一象限.故选A9.C解析:C【分析】利用二次根式的乘法法则对A、B进行判断;利用二次根式的化简对C、D进行判断.【详解】A.原式=所以A选项的运算正确;B.原式=所以,B选项的运算正确;C.原式==5,所以C选项的运算错误;D.原式=2,所以D选项的运算正确.故选C.【点睛】本题考查了二次根式的混合运算:先把二次根式化为最简二次根式,然后进行二次根式的乘除运算,再合并即可.在二次根式的混合运算中,如能结合题目特点,灵活运用二次根式的性质,选择恰当的解题途径,往往能事半功倍.10.B解析:B【分析】根据二次根式的乘除法则求出每个式子的值,再判断即可.【详解】=⨯==42,故本选项不符合题意;解: A. 67===,故本选项,符合题意;===,故本选项不符合题意;D. ==3,故本选项不符合题意;故选B .【点睛】本题考查二次根式的性质和二次根式的乘除法则,能灵活运用二次根式的乘除法则进行计算是解题关键.二、填空题11.【分析】利用完全平方公式化简,得到;化简分式,最后将代入化简后的分式,计算即可.【详解】将代入得:故答案为:【点睛】本题考查二次根式的化简以及分式的化简求值,难度较大,难点在解析:1-【分析】利用完全平方公式化简x =1x =;化简分式,最后将1x =代入化简后的分式,计算即可.【详解】1x ===== ()211422(2)(2)2221(2)(2)2(1)x x x x x x x x x x x -++-+-⎛⎫+⋅= ⎪-+--+-⎝⎭1x x =-将1x =1=-故答案为:1-【点睛】本题考查二次根式的化简以及分式的化简求值,难度较大,难点在于化简x =熟练掌握相关知识点是解题关键. 12.3【解析】设,则 可化为:,∴,两边同时平方得:,即:,∴,解得:,∴.故答案为:.点睛:本题的解题要点是:设原式中的,从而使原式结构变得简单,这样应用二次根式的相关运算法则化简变形解析:【解析】设24x a -====两边同时平方得:128a a +=++4=,∴3216a =,解得:12a =,===故答案为: 点睛:本题的解题要点是:设原式中的24x a -=,从而使原式结构变得简单,这样应用二次根式的相关运算法则化简变形即可求得a 的值,使问题得到解决.13.(1)2a -2b +1;(2)3;(3)130°或50°. 【解析】(1)∵-1<a<0,b>1,∴=|a+1|-|a-2b|=1+a-2b+a=2a-2b+1.(2)∵,∴,p=20解析:(1)2a -2b +1;(2)3;(3)130°或50°.【解析】(1)∵-1<a<0,b>1, ∴222(1)4a a ab b +--+=|a+1|-|a-2b|=1+a-2b+a=2a-2b+1.(2)∵32016p q +=, ∴20163p q =-,p=2016-62016+9q,∴p=14x 3(其中x 为正整数),同理可得:q=14y 2(其中y 为正整数),则x+3y=12(x 、y 为正整数)∴963,,123x x x y y y ===⎧⎧⎧⎨⎨⎨===⎩⎩⎩, ∴整数对有(p,q )=(14⨯81,141⨯),或(1436,144)⨯⨯ ,或(149,149⨯⨯)。
一、选择题1.如图,ABC 是等边三角形,点D .E 分别为边BC .AC 上的点,且CD AE =,点F是BE 和AD 的交点,BG AD ⊥,垂足为点G ,已知75∠=︒BEC ,1FG =,则2AB 为( )A .4B .5C .6D .72.在ABC 中,AB 边上的中线3,6,8CD AB BC AC ==+=,则ABC 的面积为( ) A .6B .7C .8D .93.如图,所有的四边形都是正方形,所有的三角形都是直角三角形。
若正方形A 、B 、C 、D 的边长是3、5、2、3,则最大正方形E 的面积是A .13B .225+C .47D .134.如图,在Rt ABC 中,90BAC ︒∠=,以Rt ABC 的三边为边分别向外作等边三角形'A BC ,'AB C △,'ABC △,若'A BC ,'AB C △的面积分别是10和4,则'ABC △的面积是( )A .4B .6C .8D .95.A 、B 、C 分别表示三个村庄,AB 1700=米,800BC =米,AC 1500=米,某社区拟建一个文化活动中心,要求这三个村庄到活动中心的距离相等,则活动中心P 的位置应在( ) A .AB 的中点 B .BC 的中点C .AC 的中点D .C ∠的平分线与AB 的交点6.如图是甲、乙两张不同的矩形纸片,将它们分别沿着虚线剪开后,各自要拼一个与原来面积相等的正方形,则( )A .甲、乙都可以B .甲、乙都不可以C .甲不可以、乙可以D .甲可以、乙不可以7.如图,在Rt △ABC 中,∠ACB=90°,AC=6,BC=8,AD 是∠BAC 的平分线.若P ,Q 分别是AD 和AC 上的动点,则PC+PQ 的最小值是( )A .245B .5C .6D .88.如图,在四边形ABCD 中,AD BC ∥,90D ︒∠=,4=AD ,3BC =.分别以点A ,C 为圆心,大于12AC 长为半径作弧,两弧交于点E ,作射线BE 交AD 于点F ,交AC 于点O .若点O 是AC 的中点,则CD 的长为( )A .2B .4C .3D 109.《九章算术》是我国古代第一部数学专著,它的出现标志中国古代数学形成了完整的体系.“折竹抵地”问题源自《九章算术》中:“今有竹高一丈,末折抵地,去本四尺,问折者高几何?”翻译成数学问题是:如图所示,ABC 中,90ACB ∠=︒,10AC AB +=尺,4BC =尺,求AC 的长. AC 的长为( )A .3尺B .4.2尺C .5尺D .4尺10.下列四组数据不能作为直角三角形的三边长的是 ( )A .6,8,10B .5,12,13C .3,5,6D .2,3,5二、填空题11.将一副三角板按如图所示摆放成四边形ABCD ,发现只要知道其中一边的长就可以求出其它各边的长,若已知AD =32,则AB 的长为__________.12.如图,这是由八个全等的直角三角形拼接而成,记图中正方形ABCD ,正方形EFGH ,正方形MNKT 的面积分别为 1S ,2S ,3S ,若123144S S S ++=,则2S 的值是__________.13.如图,在平面直角坐标系中,等腰直角三角形OAA 1的直角边OA 在x 轴上,点A 1在第一象限,且OA=1,以点A 1为直角顶点,OA 1为一直角边作等腰直角三角形OA 1A 2,再以点A 2为直角顶点,OA 2为直角边作等腰直角三角形OA 2A 3…依此规律,则点A 2018的坐标是_____.14.如图是由边长为1的小正方形组成的网格图,线段AB ,BC ,BD ,DE 的端点均在格点上,线段AB 和DE 交于点F ,则DF 的长度为_____.15.如图,O 为坐标原点,四边形OABC 为矩形,()20,0A ,()0,8C ,点D 是OA 的中点,点P 在边BC 上运动,当ODP ∆是以OD 为腰的等腰三角形时,则P 点的坐标为______.16.已知Rt △ABC 中,AC =4,BC =3,∠ACB =90°,以AC 为一边在Rt △ABC 外部作等腰直角三角形ACD ,则线段BD 的长为_____.17.如图,△ABC 中,AB=AC=13,BC=10,AD 是BAC ∠的角平分线,E 是AD 上的动点,F 是AB 边上的动点,则BE+EF 的最小值为_____.18.如图,在Rt ABC ∆中,90ACB ∠=,2AC BC ==,D 为BC 边上一动点,作如图所示的AED ∆使得AE AD =,且45EAD ∠=,连接EC ,则EC 的最小值为__________.19.如图,由两个直角三角形和三个正方形组成的图形,已知25AB = ,24AC = 其中阴影部分面积是_____________平方单位.20.已知,在△ABC 中,BC=3,∠A=22.5°,将△ABC 翻折使得点B 与点A 重合,折痕与边AC 交于点P ,如果AP=4,那么AC 的长为_______三、解答题21.如图,在等腰直角三角形ABC 中,∠ACB =90°,AC=BC ,AD 平分∠BAC ,BD ⊥AD 于点D ,E 是AB 的中点,连接CE 交AD 于点F ,BD =3,求BF 的长.22.在等腰△ABC 与等腰△ADE 中,AB =AC ,AD =AE ,∠BAC =∠DAE ,且点D 、E 、C 三点在同一条直线上,连接BD .(1)如图1,求证:△ADB ≌△AEC(2)如图2,当∠BAC =∠DAE =90°时,试猜想线段AD ,BD ,CD 之间的数量关系,并写出证明过程;(3)如图3,当∠BAC =∠DAE =120°时,请直接写出线段AD ,BD ,CD 之间的数量关系式为: (不写证明过程)23.在等腰Rt △ABC 中,AB =AC ,∠BAC =90°(1)如图1,D ,E 是等腰Rt △ABC 斜边BC 上两动点,且∠DAE =45°,将△ABE 绕点A 逆时针旋转90后,得到△AFC ,连接DF ①求证:△AED ≌△AFD ;②当BE =3,CE =7时,求DE 的长;(2)如图2,点D 是等腰Rt △ABC 斜边BC 所在直线上的一动点,连接AD ,以点A 为直角顶点作等腰Rt △ADE ,当BD =3,BC =9时,求DE 的长.24.Rt ABC ∆中,90CAB ∠=,4AC =,8AB =,M N 、分别是边AB 和CB 上的动点,在图中画出AN MN +值最小时的图形,并直接写出AN MN +的最小值为 .25.已知ABC ∆中,AB AC =.(1)如图1,在ADE ∆中,AD AE =,连接BD 、CE ,若DAE BAC ∠=∠,求证:BD CE =(2)如图2,在ADE ∆中,AD AE =,连接BE 、CE ,若60DAE BAC ∠=∠=,CE AD ⊥于点F ,4AE =,5EC =,求BE 的长;(3)如图3,在BCD ∆中,45CBD CDB ∠=∠=,连接AD ,若45CAB ∠=,求ADAB的值.26.我国古代数学家赵爽曾用图1证明了勾股定理,这个图形被称为“弦图”.2002年在北京召开的国际数学家大会(ICM 2002)的会标(图2),其图案正是由“弦图”演变而来.“弦图”是由4个全等的直角三角形与一个小正方形组成,恰好拼成一个大正方形请你根据图1解答下列问题:(1)叙述勾股定理(用文字及符号语言叙述); (2)证明勾股定理;(3)若大正方形的面积是13,小正方形的面积是1,求()2a b +的值.27.在ABC ∆中,90ACB ∠=︒,6AC BC ==,点D 是AC 的中点,点E 是射线DC 上一点,DF DE ⊥于点D ,且DE DF =,连接CF ,作FH CF ⊥于点F ,交直线AB 于点H .(1)如图(1),当点E 在线段DC 上时,判断CF 和FH 的数量关系,并加以证明; (2)如图(2),当点E 在线段DC 的延长线上时,问题(1)中的结论是否依然成立?如果成立,请求出当ABC △和CFH △面积相等时,点E 与点C 之间的距离;如果不成立,请说明理由.28.如图1,在正方形ABCD 中,点E ,F 分别是AC ,BC 上的点,且满足DE ⊥EF ,垂足为点E ,连接DF .(1)求∠EDF= (填度数);(2)延长DE 交AB 于点G ,连接FG ,如图2,猜想AG ,GF ,FC 三者的数量关系,并给出证明;(3)①若AB=6,G 是AB 的中点,求△BFG 的面积;②设AG=a ,CF=b ,△BFG 的面积记为S ,试确定S 与a ,b 的关系,并说明理由.29.已知,矩形ABCD 中,AB =4cm ,BC =8cm ,AC 的垂直平分线EF 分别交AD 、BC 于点E 、F ,垂足为O .(1)如图1,连接AF 、CE .求证:四边形AFCE 为菱形. (2)如图1,求AF 的长.(3)如图2,动点P 、Q 分别从A 、C 两点同时出发,沿△AFB 和△CDE 各边匀速运动一周.即点P 自A →F →B →A 停止,点Q 自C →D →E →C 停止.在运动过程中,点P 的速度为每秒1cm ,设运动时间为t 秒.①问在运动的过程中,以A 、P 、C 、Q 四点为顶点的四边形有可能是矩形吗?若有可能,请求出运动时间t 和点Q 的速度;若不可能,请说明理由.②若点Q 的速度为每秒0.8cm ,当A 、P 、C 、Q 四点为顶点的四边形是平行四边形时,求t的值.30.(发现)小慧和小雯用一个平面去截正方体,得到一个三角形截面(截出的面),发现截面一定是锐角三角形.为什么呢?她们带着这个疑问请教许老师.(体验)(1)从特殊入手许老师用1个铆钉把长度分别为4和3的两根窄木棒的一端连在一起(如图,),保持不动,让从重合位置开始绕点转动,在转动的过程,观测的大小和的形状,并列出下表:的大小的形状…直角三角形…直角三角形…请仔细体会其中的道理,并填空:_____,_____;(2)猜想一般结论在中,设,,(),①若为直角三角形,则满足;②若为锐角三角形,则满足____________;③若为钝角三角形,则满足_____________.(探索)在许老师的启发下,小慧用小刀在一个长方体橡皮上切出一个三角形截面(如图1),设,,,请帮助小慧说明为锐角三角形的道理.(应用)在小慧的基础上,小雯又切掉一块“角”,得到一个新的三角形截面(如图2),那么的形状是()A.一定是锐角三角形B.可能是锐角三角形或直角三角形,但不可能是钝角三角形C.可能是锐角三角形或直角三角形或钝角三角形【参考答案】***试卷处理标记,请不要删除一、选择题1.C解析:C【分析】结合等边三角形得性质易证△ABE≌△CAD,可得∠FBG=30°,BF=2FG=2,再求解∠ABE =15°,进而两次利用勾股定理可求解.【详解】∵△ABC为等边三角形∴∠BAE=∠C=60°,AB=AC,CD=AE∴△ABE≌△CAD(SAS)∴∠ABE=∠CAD∴∠BFD=∠ABE+∠BAD=∠CAD+∠BAF=∠BAC=60°,∵BG ⊥AD ,∴∠BGF =90°,∴∠FBG =30°,∵FG =1,∴BF =2FG =2,∵∠BEC =75°,∠BAE =60°,∴∠ABE =∠BEC ﹣∠BAE =15°,∴∠ABG =45°,∵BG ⊥AD ,∴∠AGB =90°,∴=AB 2=AG 2+BG 22)2=6.故选C .【点睛】本题考查全等三角形的判定与性质,等边三角形的性质,勾股定理,证明△ABG 为等腰直角三角形是解题关键.2.B解析:B【分析】本题考查三角形的中线定义,根据条件先确定ABC 为直角三角形,再根据勾股定理求得228AC BC = ,最后根据12ABC AC BC ∆=⋅求解即可. 【详解】 解:如图,在ABC 中,AB 边上的中线,∵CD=3,AB= 6,∴CD=3,AB= 6,∴CD= AD= DB ,12∠∠∴=,34∠=∠ ,∵1234180∠+∠+∠+∠=︒,∴1390∠+∠=︒,∴ABC 是直角三角形,∴22236AC BC AB +==,又∵8AC BC +=,∴22264AC AC BC BC +⋅+=,∴22264()643628AC BC AC BC ⋅=-+=-=,又∵12ABC AC BC ∆=⋅,∴128722ABC S ∆=⨯=, 故选B.【点睛】本题考查三角形中位线的应用,熟练运用三角形的中线定义以及综合分析、解答问题的能力,关键要懂得:在一个三角形中,如果获知一条边上的中线等于这一边的一半,那么就可考虑它是一个直角三角形,通过等腰三角形的性质和内角和定理来证明一个三是直角三角形.3.C解析:C【分析】根据勾股定理即可得到正方形A 的面积加上B 的面积加上C 的面积和D 的面积是E 的面积.即可求解.【详解】四个正方形的面积的和是正方形E 的面积:即222233=92549=47+5+2++++;故答案为C .【点睛】理解正方形A ,B ,C ,D 的面积的和是E 的面积是解决本题的关键.4.B解析:B【分析】 设AB=c ,AC=b ,BC=a ,用a 、b 、c 分别表示'A BC ,'AB C △,'ABC △的面积,再利用Rt ABC 得b 2+c 2=a 2,求得c 值代入即可求得的面积'ABC △的面积.【详解】设AB=c ,AC=b ,BC=a ,由题意得'A BC 的面积=131022a a ⋅⋅=, 'AB C △的面积=13422b b ⋅⋅= ∴24033a = 21633b =在Rt △ABC 中,∠BAC=90°,b 2+c 2=a 2, ∴c 2=a 2-b 24016338333=∴'ABC △的面积=2133224c c c ⋅⋅==38364⨯= 故此题选B【点睛】 此题考察勾股定理的运用,用直角三角形的三边分别表示三个等边三角形的面积,运用勾股定理的等式求得第三个三角形的面积5.A解析:A【分析】先计算AB 2=2890000,BC 2=640000,AC 2=2250000,可得BC 2+AC 2=AB 2,那么△ABC 是直角三角形,而直角三角形斜边上的中线等于斜边的一半,从而可确定P 点的位置.【详解】解:如图∵AB 2=2890000,BC 2=640000,AC 2=2250000∴BC 2+AC 2=AB 2,∴△ABC 是直角三角形,∴活动中心P 应在斜边AB 的中点.故选:A .【点睛】本题考查了勾股定理的逆定理.解题的关键是证明△ABC 是直角三角形.6.A解析:A【解析】试题分析:剪拼如下图:乙故选A考点:剪拼,面积不变性,二次方根7.A解析:A【分析】过C作CM⊥AB于M,交AD于P,过P作PQ⊥AC于Q,由角平分线的性质得出PQ=PM,这时PC+PQ有最小值,为CM的长,然后利用勾股定理和等面积法求得CM的长即可解答.【详解】过C作CM⊥AB于M,交AD于P,过P作PQ⊥AC于Q,∵AD是∠BAC的平分线,∴PQ=PM,则PC+PQ=PC+PM=CM,即PC+PQ有最小值,为CM的长,∵在Rt△ABC中,∠ACB=90°,AC=6,BC=8,∴由勾股定理得:AB=10,又1122ABCS AB CM AC BC==△,∴6824105 CM⨯==,∴PC+PQ的最小值为245,故选:A.【点睛】本题考查了角平分线的性质、最短路径问题、勾股定理、三角形等面积法求高,解答的关键是掌握线段和最短类问题的解决方法:一般是运用轴对称变换将直线同侧的点转化为异侧的点,从而把两条线段的位置关系转换,再根据两点之间线段最短或垂线段最短,使两条线段之和转化为一条直线来解决.8.A解析:A【分析】连接FC ,根据基本作图,可得OE 垂直平分AC ,由垂直平分线的性质得出=AF FC .再根据ASA 证明FOA BOC ∆≅∆,那么==3AF BC ,等量代换得到==3FC AF ,利用线段的和差关系求出==1FD AD AF -.然后在直角FDC ∆中利用勾股定理求出CD 的长.【详解】解:如图,连接FC ,则=AF FC .AD BC ∵∥,FAO BCO ∴∠=∠.在FOA ∆与BOC ∆中,FAO BCO OA OCAOF COB ∠=∠⎧⎪=⎨⎪∠=∠⎩, ()FOA BOC ASA ∴∆≅∆,3AF BC ∴==,3FC AF ∴==,431FD AD AF =-=-=.在FDC ∆中,90D ︒∠=,222CD DF FC ∴+=,22213CD ∴+=,22CD ∴=.故选A .【点睛】本题考查了作图﹣基本作图,勾股定理,线段垂直平分线的判定与性质,全等三角形的判定与性质,难度适中.求出CF 与DF 是解题的关键.9.B解析:B【分析】竹子折断后刚好构成一直角三角形,设竹子折断处离地面x 尺,则斜边为(10)x -尺,利用勾股定理解题即可.【详解】解:设竹子折断处离地面x 尺,则斜边为(10)x -尺,根据勾股定理得:2224(10)x x +=-.解得: 4.2x =,∴折断处离地面的高度为4.2尺,故选:B .【点睛】此题考查了勾股定理的应用,解题的关键是利用题目信息构造直角三角形,从而运用勾股定理解题.10.C解析:C【分析】求出两小边的平方和长边的平方,再看看是否相等即可.【详解】A 、62+82=102,此时三角形是直角三角形,故本选项不符合题意;B 、52+122=132,此时三角形是直角三角形,故本选项不符合题意;C 、32+52≠62,此时三角形不是直角三角形,故本选项符合题意;D 、222+=,此时三角形是直角三角形,故本选项不符合题意; 故选:C .【点睛】本题主要考查了勾股定理逆定理,关键是掌握判断一个三角形是不是直角三角形,必须满足较小两边平方的和等于最大边的平方才能做出判断.二、填空题11.【分析】利用勾股定理求出AC=6,在Rt △ABC 中,∠BAC=30°,得到12BC AB =,再利用勾股定理得到222AC BC AB +=,即可求出AB .【详解】在Rt △ACD 中,CD=AD=∴6=,在Rt △ABC 中,∠BAC=30°, ∴12BC AB =, ∵222AC BC AB +=,∴22216()2AB AB +=,解得AB=故答案为:【点睛】此题考查勾股定理,直角三角形30度角所对的直角边等于斜边的一半,正确理解勾股定理的三边的数量关系是解题的关键.12.48【分析】用a 和b 表示直角三角形的两个直角边,然后根据勾股定理列出正方形面积的式子,求出2S 的面积. 【详解】解:本图是由八个全等的直角三角形拼成的,设这个直角三角形两个直角边中较长的长度为a ,较短的长度为b ,即图中的AE a =,AH b =,则()221S AB a b ==+,2222S HE a b ==+,()223S TM a b ==-, ∵123144S S S ++=,∴()()2222144a b a b a b ++++-= 22222222144a b ab a b a b ab ++++++-=2233144a b +=2248a b +=,∴248S =.故答案是:48.【点睛】本题考查勾股定理,解题的关键是要熟悉赵爽弦图中勾股定理的应用.13.(0,21009)【解析】【分析】本题点A 坐标变化规律要分别从旋转次数与点A 所在象限或坐标轴、点A 到原点的距离与旋转次数的对应关系.【详解】∵∠OAA 1=90°,OA=AA 1=1,以OA 1为直角边作等腰Rt △OA 1A 2,再以OA 2为直角边作等腰Rt △OA 2A 3,…,∴OA 1,OA 2=)2,…,OA 2018=)2018,∵A 1、A 2、…,每8个一循环,∵2018=252×8+2∴点A 2018的在y 轴正半轴上,OA 2018=2018=21009,故答案为(0,21009).【点睛】本题是平面直角坐标系下的规律探究题,除了研究动点变化的相关数据规律,还应该注意象限符号.14.2【分析】连接AD 、CD ,由勾股定理得:22435AB DE ==+=,224225BD =+=,22125CD AD ==+=,得出AB =DE =BC ,222BD AD AB +=,由此可得△ABD 为直角三角形,同理可得△BCD 为直角三角用形,继而得出A 、D 、C 三点共线.再证明△ABC ≌△DEB ,得出∠BAC =∠EDB ,得出DF ⊥AB ,BD 平分∠ABC ,再由角平分线的性得出DF =DG =2即可的解.【详解】连接AD 、CD ,如图所示:由勾股定理可得,22435AB DE ==+=,224225BD =+=22125CD AD ==+, ∵BE=BC=5,∴AB=DE =AB =BC ,222BD AD AB +=,∴△ABD 是直角三角形,∠ADB =90°,同理可得:△BCD 是直角三角形,∠BDC =90°,∴∠ADC =180°,∴点A 、D 、C 三点共线,∴225AC AD BD ===,在△ABC 和△DEB 中,AB DE BC EB AC BD =⎧⎪⎨⎪=⎩=,∴△ABC ≌△DEB(SSS),∴∠BAC =∠EDB ,∵∠EDB+∠ADF =90°,∴∠BAD+∠ADF =90°,∴∠BFD =90°,∴DF ⊥AB ,∵AB=BC ,BD ⊥AC ,∴BD 平分∠ABC ,∵DG ⊥BC ,∴DF =DG =2.【点睛】本题考查全等三角形的性质与判定以及勾股定理的相关知识,解题的关键是熟练掌握勾股定理和过股定理的逆定理.15.()4,8或()6,8或()16,8【分析】当ODP ∆是以OD 为腰的等腰三角形时,分为两种情况①点O 是顶角顶点时,②D 是顶角顶点时,根据勾股定理求出CP ,PM 即可.【详解】解:OD 是等腰三角形的一条腰时:①若点O 是顶角顶点时,P 点就是以点O 为圆心,以10为半径的弧与CB 的交点, 在直角△OPC 中,CP=22221086OP OC -=-=,则P 的坐标是(6,8). ②若D 是顶角顶点时,P 点就是以点D 为圆心,以10为半径的弧与CB 的交点, 过D 作DM ⊥BC 于点M ,在直角△PDM 中,22221086PD DM -=-= ,当P 在M 的左边时,CP=10-6=4,则P 的坐标是(4,8);当P 在M 的右侧时,CP=10+6=16,则P 的坐标是(16,8).故P 的坐标为:(6,8)或(4,8)或(16,8).故答案为:(6,8)或(4,8)或(16,8).【点睛】本题主要考查等腰三角形的性质及勾股定理的运用,注意正确地进行分类,考虑到所有的可能情况是解题的关键.16.72965【分析】分三种情形讨论:(1)如图1中,以点C 所在顶点为直角时;(2)如图2中,以点D 所在顶点为直角时;(3)如图3中,以点A 所在顶点为直角时.【详解】(1)如图1中,以点C 所在顶点为直角时.∵AC =CD =4,BC =3,∴BD =CD +BC =7;(2)如图2中,以点D 所在顶点为直角时,作DE ⊥BC 与E ,连接BD .在Rt △BDE 中DE =2,BE =5,∴BD 2229DE BE +(3)如图3中,以点A 所在顶点为直角时,作DE ⊥BC 于E , 在Rt △BDE 中,DE =4.BE =7,∴BD 2265DE BE + 故答案为:72965【点睛】本题考查了勾股定理、等腰直角三角形等知识,解题的关键是学会用分类讨论的思想思考问题.17.120 13【解析】∵AB=AC,AD是角平分线,∴AD⊥BC,BD=CD,∴B点,C点关于AD对称,如图,过C作CF⊥AB于F,交AD于E,则CF=BE+FF的最小值,根据勾股定理得,AD=12,利用等面积法得:AB⋅CF=BC⋅AD,∴CF=BC ADAB⋅=101213⨯=12013故答案为120 13.点睛:本题主要考查的是翻折的性质、垂线段最短、勾股定理的应用及三角形面积的等积法.明确当CF⊥AB时,CF有最小值是解题的关键.18.22-【分析】根据已知条件,添加辅助线可得△EAC ≌△DAM (SAS ),进而得出当MD ⊥BC 时,CE 的值最小,转化成求DM 的最小值,通过已知值计算即可.【详解】解:如图所示,在AB 上取AM=AC=2,∵90ACB ∠=,2AC BC ==,∴∠CAB=45°,又∵45EAD ∠=,∴∠EAC+∠CAD=∠DAB+∠CAD=45°,∴∠EAC =∠DAB ,∴在△EAC 与△DAB 中AE=AD ,∠EAF =∠DAB ,AC =AM ,∴△EAC ≌△DAM (SAS )∴CE=MD ,∴当MD ⊥BC 时,CE 的值最小,∵AC=BC=2, 由勾股定理可得2222AB AC BC =+=,∴222=-BM ,∵∠B=45°,∴△BDM 为等腰直角三角形,∴DM=BD ,由勾股定理可得222+BD DM =BM∴DM=BD=22-∴CE=DM=22-故答案为:22-【点睛】本题考查了动点问题及全等三角形的构造,解题的关键是作出辅助线,得出全等三角形,找到CE 最小时的状态,化动为静.19.49【分析】先计算出BC 的长,再由勾股定理求出阴影部分的面积即可.【详解】∵∠ACB=90︒,25AB = ,24AC =,∴22222252449BC AB AC =-=-=,∴阴影部分的面积=249BC =,故答案为:49.【点睛】此题考查勾股定理,能利用根据直角三角形计算得到所需的边长,题中根据勾股定理的图形得到阴影部分面积等于BC 的平方是解题的关键.20.522,322++【分析】过B 作BF ⊥CA 于F ,构造直角三角形,分两种情况讨论,利用勾股定理以及等腰直角三角形的性质,即可得到AC 的长.【详解】分两种情况:①当∠C 为锐角时,如图所示,过B 作BF ⊥AC 于F ,由折叠可得,折痕PE 垂直平分AB ,∴AP=BP=4,∴∠BPC=2∠A=45°,∴△BFP 是等腰直角三角形,∴BF=DF=22, 又∵BC=3,∴Rt △BFC 中,CF=221BC BF -=,∴AC=AP+PF+CF=5+22;②当∠ACB 为钝角时,如图所示,过B 作BF ⊥AC 于F ,同理可得,△BFP 是等腰直角三角形,∴BF=FP=22又∵BC=3,∴Rt △BCF 中,221BC BF -=,∴AC=AF-CF=3+22故答案为:5+223+22本题主要考查了折叠问题以及勾股定理的运用,解决问题的关键是分两种情况画出图形进行求解.解题时注意:折叠是一种对称变换,它属于轴对称,折叠前后图形的形状和大小不变,位置变化,对应边和对应角相等.三、解答题21.BF 的长为32【分析】先连接BF ,由E 为中点及AC=BC ,利用三线合一可得CE ⊥AB ,进而可证△AFE ≌△BFE ,再利用AD 为角平分线以及三角形外角定理,即可得到∠BFD 为45°,△BFD 为等腰直角三角形,利用勾股定理即可解得BF .【详解】解:连接BF .∵CA=CB ,E 为AB 中点∴AE=BE ,CE ⊥AB ,∠FEB=∠FEA=90°在Rt △FEB 与Rt △FEA 中, BE AE BEF AEF FE FE =⎧⎪∠=∠⎨⎪=⎩∴Rt △FEB ≌Rt △FEA又∵AD 平分∠BAC ,在等腰直角三角形ABC 中∠CAB=45°∴∠FBE=∠FAE=12∠CAB=22.5° 在△BFD 中,∠BFD=∠FBE+∠FAE=45°又∵BD ⊥AD ,∠D=90°∴△BFD 为等腰直角三角形,BD=FD=3∴222232BF BD FD BD =+==本题主要考查等腰直角三角形的性质及判定、三角形全等的性质及判定、三角形外角、角平分线,解题关键在于熟练掌握等腰直角三角形的性质.22.(1)见解析;(2)CD=2AD+BD,理由见解析;(3)CD=3AD+BD【分析】(1)由“SAS”可证△ADB≌△AEC;(2)由“SAS”可证△ADB≌△AEC,可得BD=CE,由直角三角形的性质可得DE=2AD,可得结论;(3)由△DAB≌△EAC,可知BD=CE,由勾股定理可求DH=3AD,由AD=AE,AH⊥DE,推出DH=HE,由CD=DE+EC=2DH+BD=3AD+BD,即可解决问题;【详解】证明:(1)∵∠BAC=∠DAE,∴∠BAD=∠CAE,又∵AB=AC,AD=AE,∴△ADB≌△AEC(SAS);(2)CD=2AD+BD,理由如下:∵∠BAC=∠DAE,∴∠BAD=∠CAE,又∵AB=AC,AD=AE,∴△ADB≌△AEC(SAS);∴BD=CE,∵∠BAC=90°,AD=AE,∴DE=2AD,∵CD=DE+CE,∴CD=2AD+BD;(3)作AH⊥CD于H.∵∠BAC=∠DAE,∴∠BAD=∠CAE,又∵AB=AC,AD=AE,∴△ADB≌△AEC(SAS);∴BD=CE,∵∠DAE=120°,AD=AE,∴∠ADH =30°,∴AH =12AD ,∴DH , ∵AD =AE ,AH ⊥DE ,∴DH =HE ,∴CD =DE +EC =2DH +BD +BD ,故答案为:CD +BD .【点睛】本题是结合了全等三角形的性质与判定,勾股定理等知识的综合问题,熟练掌握知识点,有简入难,层层推进是解答关键.23.(1)①见解析;②DE =297;(2)DE 的值为 【分析】(1)①先证明∠DAE =∠DAF ,结合DA =DA ,AE =AF ,即可证明;②如图1中,设DE =x ,则CD =7﹣x .在Rt △DCF 中,由DF 2=CD 2+CF 2,CF =BE =3,可得x 2=(7﹣x )2+32,解方程即可;(2)分两种情形:①当点E 在线段BC 上时,如图2中,连接BE .由△EAD ≌△ADC ,推出∠ABE =∠C =∠ABC =45°,EB =CD =5,推出∠EBD =90°,推出DE 2=BE 2+BD 2=62+32=45,即可解决问题;②当点D 在CB 的延长线上时,如图3中,同法可得DE 2=153.【详解】(1)①如图1中,∵将△ABE 绕点A 逆时针旋转90°后,得到△AFC ,∴△BAE ≌△CAF ,∴AE =AF ,∠BAE =∠CAF ,∵∠BAC =90°,∠EAD =45°,∴∠CAD +∠BAE =∠CAD +∠CAF =45°,∴∠DAE =∠DAF ,∵DA =DA ,AE =AF ,∴△AED ≌△AFD (SAS );②如图1中,设DE =x ,则CD =7﹣x .∵AB =AC ,∠BAC =90°,∴∠B =∠ACB =45°,∵∠ABE =∠ACF =45°,∴∠DCF =90°,∵△AED ≌△AFD (SAS ),∴DE =DF =x ,∵在Rt △DCF 中, DF 2=CD 2+CF 2,CF =BE =3,∴x2=(7﹣x)2+32,∴x=297,∴DE=297;(2)∵BD=3,BC=9,∴分两种情况如下:①当点E在线段BC上时,如图2中,连接BE.∵∠BAC=∠EAD=90°,∴∠EAB=∠DAC,∵AE=AD,AB=AC,∴△EAB≌△DAC(SAS),∴∠ABE=∠C=∠ABC=45°,EB=CD=9-3=6,∴∠EBD=90°,∴DE2=BE2+BD2=62+32=45,∴DE=35;②当点D在CB的延长线上时,如图3中,连接BE.同理可证△DBE是直角三角形,EB=CD=3+9=12,DB=3,∴DE2=EB2+BD2=144+9=153,∴DE=317,综上所述,DE的值为35或317.【点睛】本题主要考查旋转变换的性质,三角形全等的判定和性质以及勾股定理,添加辅助线,构造旋转全等模型,是解题的关键.24.作图见解析,32 5【分析】作A点关于BC的对称点A',A'A与BC交于点H,再作A'M⊥AB于点M,与BC交于点N,此时AN+MN最小,连接AN,首先用等积法求出AH的长,易证△ACH≌△A'NH,可得A'N=AC=4,然后设NM=x,利用勾股定理建立方程求出NM的长,A'M的长即为AN+MN的最小值.【详解】如图,作A 点关于BC 的对称点A',A'A 与BC 交于点H ,再作A'M ⊥AB 于点M ,与BC 交于点N ,此时AN+MN 最小,最小值为A'M 的长.连接AN ,在Rt △ABC 中,AC=4,AB=8,∴2222AB AC =84=45++ ∵11AB AC=BC AH 22⋅⋅ ∴8545∵CA ⊥AB ,A 'M ⊥AB ,∴CA ∥A 'M∴∠C=∠A 'NH ,由对称的性质可得AH=A 'H ,∠AHC=∠A'HN=90°,AN=A'N在△ACH 和△A'NH 中,∵∠C=∠A 'NH ,∠AHC=∠A'HN ,AH=A 'H ,∴△ACH ≌△A'NH (AAS )∴A'N=AC=4=AN ,设NM=x ,在Rt △AMN 中,AM 2=AN 2-NM 2=222416-=-x x在Rt △AA'M 中,165,A 'M=A 'N+NM=4+x ∴AM 2=AA '2-A 'M 2=()221654-+⎝⎭x ∴()2221654=16-+-⎝⎭x x 解得125x = 此时AN MN +的最小值=A'M=A'N+NM=4+125=325 【点睛】本题考查了最短路径问题,正确作出辅助线,利用勾股定理解直角三角形是解题的关键.25.(1)详见解析;(2)41;(3)3.【分析】(1)证∠EAC=∠DAB.利用SAS 证△ACE ≌△ABD 可得;(2)连接BD ,证1302FEA AED ∠=∠=,证△ACE ≌△ABD 可得30FEA BDA ∠=∠=,CE=BD=5,利用勾股定理求解;(3)作CE 垂直于AC,且CE=AC,连接AE,则90,45ACE CAE ∠=∠=,利用勾股定理得AE 2AB =,BE=3AB ,根据(1)思路得AD=BE=3AB .【详解】(1) 证明:∵∠DAE=∠BAC ,∴∠DAE+∠CAD=∠BAC+∠CAD ,即∠EAC=∠DAB.在△ACE 与△ABD 中,AD AE EAC BAB AC AB =⎧⎪∠=∠⎨⎪=⎩, ∴△ACE ≌△ABD(SAS),∴BD CE =;(2)连接BD因为AD AE =, 60DAE BAC ∠=∠=,所以ADE ∆是等边三角形因为60DAE DEA EDA ∠=∠=∠=,ED=AD=AE=4因为CE AD ⊥所以1302FEA AED ∠=∠= 同(1)可知△ACE ≌△ABD(SAS),所以30FEA BDA ∠=∠=,CE=BD=5所以90BDE BDA ADE ∠=∠+∠=所以BE=22225441BD DE +=+=(3)作CE 垂直于AC,且CE=AC,连接AE,则90,45ACE CAE ∠=∠=所以AE=222AB AC AC +=因为AB AC =所以AE 2AB =又因为45CAB ∠=所以90ABE ∠=所以()222223BE AE AB AB AB AB =+=+= 因为45CBD CDB ∠=∠=所以BC=CD, 90BCD ∠=因为同(1)可得△ACD ≌△ECB(SAS)所以AD=BE=3AB所以33AD AB AB ==【点睛】考核知识点:等边三角形;勾股定理.构造全等三角形和直角三角形是关键.26.(1)见解析;(2)证明见解析;(3)25.【分析】(1)直接叙述勾股定理的内容,并用字母表明三边关系;(2)利用大正方形面积、小正方形面积和4个直角三角形的面积和之间的关系列式整理即可证明;(3)将原式利用完全平方公式展开,由勾股定理的内容可得出()2a b +为大正方形面积和4个直角三角形的面积和,根据已知条件即可求得.【详解】解:(1)勾股定理:直角三角形两直角边的平方和等于斜边的平方.在直角三角形中,两条直角边分别为 a 、b ,斜边为 c ,a 2+b 2= c 2.(2)∵ S 大正方形=c 2,S 小正方形=(b-a)2,4 S Rt △=4×12ab=2ab , ∴ c 2=2ab+(b-a)2=2ab+b 2-2ab+a 2=a 2+b 2,即 a 2+b 2= c 2.(3)∵ 4 S Rt △= S 大正方形- S 小正方形=13-1=12,∴ 2ab=12.∴ (a+b)2= a 2+b 2+2ab=c 2+2ab=13+12=25.【点睛】本题考查勾股定理的内容及勾股定理的几何验证,利用等面积法证明勾股定理及运用勾股定理是解答此题的关键.27.(1)CF FH =,证明见解析;(2)依然成立,点E 与点C 之间的距离为333-.理由见解析.【分析】(1)做辅助线,通过已知条件证得ADG 与DEF 是等腰直角三角形.证出CEF FGH ≌,利用全等的性质即可得到CF FH =.(2)设AH ,DF 交于点G ,可根据ASA 证明△FCE ≌△HFG ,从而得到CF FH =,当ABC △和CFH △均为等腰直角三角形当他们面积相等时,6CF AC ==.利用勾股定理可以求DE 、CE 的长,即可求出CE 的长,即可求得点E 与点C 之间的距离.【详解】(1)CF FH =证明:延长DF 交AB 于点G∵在ABC △中,90ACB ∠=︒,6AC BC ==,∴45A B ∠=∠=︒∵DF DE ⊥于点D ,且DE DF =,∴90EDF ∠=︒,ADG 与DEF 是等腰直角三角形.∴45AGD DEF ∠=∠=︒,AD DG =,90DCF CFD ∠+∠=︒,∴135CEF FGH ∠=∠=︒,∵点D 是AC 的中点,∴132CD AD AC ===,∴CD DG = ∴CE FG =∵FH CF ⊥于点F ,∴90CFG ∠=︒,∴90GFH CFD ∠+∠=︒∴DCF GFH ∠=∠∴CEF FGH ≌∴CF FH =;(2)依然成立理由:设AH,DF交于点G,由题意可得出:DF=DE,∴∠DFE=∠DEF=45°,∵AC=BC,∴∠A=∠CBA=45°,∵DF∥BC,∴∠CBA=∠FGB=45°,∴∠FGH=∠CEF=45°,∵点D为AC的中点,DF∥BC,∴DG=12BC,DC=12AC,∴DG=DC,∴EC=GF,∵∠DFC=∠FCB,∴∠GFH=∠FCE,在△FCE和△HFG中CEF FGHEC GFECF GFH∠=∠⎧⎪=⎨⎪∠=∠⎩,∴△FCE≌△HFG(ASA),∴HF=FC.由(1)可知ABC△和CFH△均为等腰直角三角形当他们面积相等时,6CF AC==.∴2233DE DF CF CD==-=∴333CE DE DC=-=-∴点E与点C之间的距离为333-.【点睛】本题考查了全等三角形的判定和性质、等腰直角三角形的性质以及勾股定理,学会利用全等和等腰三角形的性质,借助勾股定理解决问题.28.(1)45°;(2)GF=AG+CF,证明见解析;(3)①6;②s ab=,理由见解析.【解析】【分析】(1)如图1中,连接BE.利用全等三角形的性质证明EB=ED,再利用等角对等边证明EB=EF即可解决问题.(2)猜想:GF=AG+CF.如图2中,将△CDF绕点D旋转90°,得△ADH,证明△GDH≌△GDF(SAS)即可解决问题.(3)①设CF=x,则AH=x,BF=6-x,GF=3+x,利用勾股定理构建方程求出x即可.②设正方形边长为x,利用勾股定理构建关系式,利用整体代入的思想解决问题即可.【详解】解:(1)如图1中,连接BE.∵四边形ABCD是正方形,∴CD=CB,∠ECD=∠ECB=45°,∵EC=EC,∴△ECB≌△ECD(SAS),∴EB=ED,∠EBC=∠EDC,∵∠DEF=∠DCF=90°,∴∠EFC+∠EDC=180°,∵∠EFB+∠EFC=180°,∴∠EFB=∠EDC,∴∠EBF=∠EFB,∴EB=EF,∴DE=EF,∵∠DEF=90°,∴∠EDF=45°故答案为45°.(2)猜想:GF=AG+CF.如图2中,将△CDF绕点D旋转90°,得△ADH,∴∠CDF=∠ADH,DF=DH,CF=AH,∠DAH=∠DCF=90°,∵∠DAC=90°,∴∠DAC+∠DAH=180°,∴H、A、G三点共线,∴GH=AG+AH=AG+CF,∵∠EDF=45°,∴∠CDF+∠ADG=45°,∴∠ADH+∠ADG=45°∴∠GDH=∠EDF=45°又∵DG=DG∴△GDH≌△GDF(SAS)∴GH=GF,∴GF=AG+CF.(3)①设CF=x,则AH=x,BF=6-x,GF=3+x,则有(3+x)2=(6-x)2+32,解得x=2∴S△BFG=12•BF•BG=6.②设正方形边长为x,∵AG=a,CF=b,∴BF=x-b,BG=x-a,GF=a+b,则有(x-a)2+(x-b)2=(a+b)2,化简得到:x2-ax-bx=ab,∴S=12(x-a)(x-b)=12(x2-ax-bx+ab)=12×2ab=ab.【点睛】本题属于四边形综合题,考查了正方形的性质,全等三角形的判定和性质,勾股定理等知识,解题的关键是学会添加常用辅助线,构造全等三角形解决问题,学会利用参数构建方程解决问题,属于中考常考题型.29.(1)证明见解析;(2)AF=5cm;(3)①有可能是矩形,P点运动的时间是8,Q的速度是0.5cm/s;②t=203.。
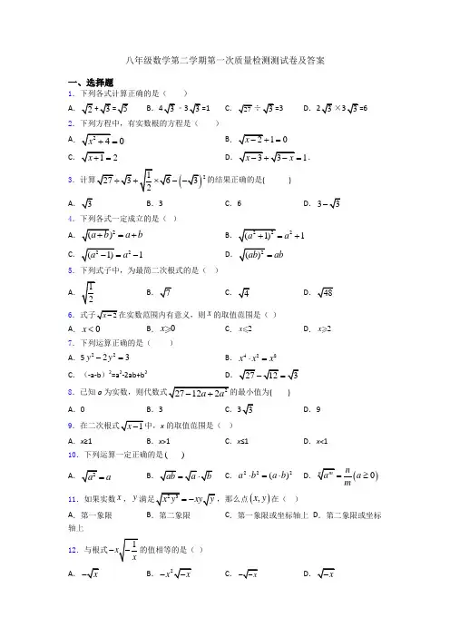
人教版八年级数学第二学期 第一次 质量检测测试卷及答案一、选择题1.下列根式中,最简二次根式是( )A B C D 2.下列各式中,运算正确的是( )A =﹣2B +C 4D .=23.估计( ( ) A .4和5之间B .5和6之间C .6和7之间D .7和8之间4.若2019202120192020a =⨯-⨯,b =,c a ,b ,c 的大小关系是( ) A .a b c << B .a c b <<C .b a c <<D .b c a <<5.当x =时,多项式()20193419971994x x --的值为( ). A .1 B .1- C .20022 D .20012-6.有意义,那么直角坐标系中点A(a,b)在( ) A .第一象限B .第二象限C .第三象限D .第四象限7.的下列说法中错误的是( )A 12的算术平方根B .34<<C 不能化简D 是无理数8.已知0xy <,化简二次根式 )A BC .D .9.如果实数x ,y =-(),x y 在( ) A .第一象限 B .第二象限C .第一象限或坐标轴上D .第二象限或坐标轴上10.下列各式中,一定是二次根式的是( )A B C D 11.下列计算正确的是( )A .=BC 3=D 3=-12.下列运算错误的是( )A .23=6⨯B .2=22C .22+32=52D .()21-212=-二、填空题13.实数a 、b 满足22a -4a 436-12a a 10-b 4-b-2+++=+,则22a b +的最大值为_________. 14.已知函数1x f xx,那么21f _____.15.计算:11882--=_____________. 16.若0xy >,则二次根式2yx x -化简的结果为________. 17.将一组数2,2,6,22,10,…,251按图中的方法排列:若2的位置记为(2,3),7的位置记为(3,2),则这组数中最大数的位置记为______.18.如果332y x x --,那么y x =_______________________. 19.4102541025-+++=_______. 20.如果0xy >2xy -.三、解答题21.阅读材料,回答问题:两个含有二次根式的代数式相乘,如果它们的积不含有二次根式,我们就说这两个代数式a a a =,)21211=a a 2121互为有理化因式.(1)231的有理化因式是 ;(2)这样,化简一个分母含有二次根式的式子时,采用分子、分母同乘以分母的有理化因式的方法就可以了,例如:3233333==⨯,24====进行分母有理化.(3)利用所需知识判断:若a=,2b=ab,的关系是.(4)直接写结果:)1=.【答案】(1)1;(2)7-;(3)互为相反数;(4)2019【分析】(1)根据互为有理化因式的定义利用平方差公式即可得出;(2)原式分子分母同时乘以分母的有理化因式(2,化简即可;(3)将a=(4)化简第一个括号内的式子,里面的每一项进行分母有理化,然后利用平方差公式计算即可.【详解】解:(1)∵()()1111=,∴1的有理化因式是1;(2227-==-(3)∵2a===,2b=-,∴a和b互为相反数;(4))1++⨯=)11⨯=)11=20201-=2019,故原式的值为2019.【点睛】本题考查了互为有理化因式的定义及分母有理化的方法,并考查了利用分母有理化进行计算及探究相关式子的规律,本题属于中档题.22.(112===;……写出④ ;⑤ ;(2)归纳与猜想.如果n 为正整数,用含n 的式子表示这个运算规律; (3)证明这个猜想.【答案】(12=55==;(2=3)证明见解析. 【解析】 【分析】(1)根据题目中的例子直接写出结果; (2)根据(1)中的特例,可以写出相应的猜想;(3)根据(2)中的猜想,对等号左边的式子进行化简,即可得到等号右边的式子,从而可以解答本题. 【详解】解:(1)由例子可得,④5=25,6,(2)如果n 为正整数,用含nn, (3)证明:∵n 是正整数,n .故答案为=25(3)证明见解析. 【点睛】本题考查了二次根式的混合运算、数字的变化类,解答本题的关键是明确题意,找出所求问题需要的条件.23.小明在解决问题:已知2a 2﹣8a+1的值,他是这样分析与解的:∵=2∴a﹣2=∴(a﹣2)2=3,a2﹣4a+4=3∴a2﹣4a=﹣1∴2a2﹣8a+1=2(a2﹣4a)+1=2×(﹣1)+1=﹣1请你根据小明的分析过程,解决如下问题:(1+(2)若,求4a2﹣8a+1的值.【答案】(1)9;(2)5.【解析】试题分析:(1)此式必须在把分母有理化后才能实现化简,即各分式分子分母同乘以一个因式,使得1===.(2)先对a1,若就接着代入求解,计算量偏大.模仿小明做法,可先计算2(1)a-的值,就能较为简单地算出结果;也可对这个二次三项式进行配方,再代入求值.后两种方法都比直接代入计算量小很多.解:(1)原式=1)+++⋯(2)∵1a===,解法一:∵22(1)11)2a-=-=,∴2212a a-+=,即221a a-=∴原式=24(2)14115a a-+=⨯+=解法二∴原式=24(211)1a a-+-+24(1)3a=--211)3=--4235=⨯-=点睛:(1得22=-=-a b,去掉根号,实现分母有理化.(2)当已知量为根式时,求这类二次三项式的值,直接代入求值,计算量偏大,若能巧妙利用完全平方公式或者配方法,计算要简便得多.24.观察下列等式:1==;==== 回答下列问题:(1(2)计算:【答案】(1(2)9 【分析】(1)根据已知的31=-n=22代入即可求解;(2)先利用上题的规律将每一个分数化为两个二次根式的差的形式,再计算即可. 【详解】解:(1=(2+99+=1100++-=1 =10-1 =9.25.计算:(1)+(2(33+-【答案】(1)2) -10 【分析】(1)原式二次根式的乘除法法则进行计算即可得到答案;(1)原式第一项运用二次根式的性质进行化简,第二项运用平方差公式进行化简即可. 【详解】+解:(1)===+-(2(33=5+9-24=14-24=-10.【点睛】此题主要考查了二次根式的化简,熟练掌握二次根式的性质是解答此题的关键.26.观察下列各式.====……根据上述规律回答下列问题.(1)接着完成第⑤个等式: _____;n n≥的式子写出你发现的规律;(2)请用含(1)(3)证明(2)中的结论.=+3)见解析【答案】(1=2(n【分析】(1)当n=5==+(2(n(3)直接根据二次根式的化简即可证明.【详解】解:(1==+(2(n(3=(n==+【点睛】此题主要考查探索数与式的规律,熟练发现规律是解题关键.27.先化简,再求值:2443(1)11m mmm m-+÷----,其中2m=.【答案】22mm-+1.【解析】分析:先根据分式的混合运算顺序和运算法则化简原式,再将m的值代入计算可得.详解:原式=221 mm--()÷(31m-﹣211mm--)=221 mm--()÷2 41m m--=221 mm--()•122mm m--+-()()=﹣22 mm-+=22mm -+当m﹣2时,原式===﹣1+=1.点睛:本题主要考查分式的化简求值,解题的关键是掌握分式的混合运算顺序和运算法则.28.计算(1))(121123-⎛⨯--⎝⎭(2)已知:11,22x y==,求22x xy y++的值.【答案】(1)28-;(2)17.【分析】(1)先利用完全平方公式和平方差公式计算二次根式的乘法、负指数幂运算,再计算二次根式的加减法即可得;(2)先求出x y+和xy的值,再利用完全平方公式进行化简求值即可得.【详解】(1)原式()((221312⎡⎤=⨯+--⎢⎥⎣⎦, (()1475452=⨯+---230=+28=-;(2)(1119,22x y ==,1122x y ∴+=+=,()11119112224xy =⨯=⨯-=,则()222x xy y x y xy ++=+-,22=-,192=-, 17=. 【点睛】本题考查了二次根式的混合运算、完全平方公式和平方差公式等知识点,熟练掌握二次根式的运算法则是解题关键.29.(1|5-+;(2)已知实数a 、b 、c 满足|3|a +=,求2(b a +的值.【答案】(1)5;(2)4 【分析】(1)先利用二次根式的乘法法则和绝对值的意义计算,再进行回头运算即可; (2)先根据二次根式有意义的条件确定b 的值,再根据非负数的和的意义确定a ,c 的值,然后再计算代数式的值即可. 【详解】解:(15-+5)=+5=+5=(2)由题意可知:5050b b -≥⎧⎨-≥⎩, 解得5b =由此可化简原式得,30a +=30a ∴+=,20c -=3a ∴=-,2c =22((534b a ∴+=--=【点睛】可不是考查了二次根式的混合运算以及二次根式的化简求值,熟练掌握运算法则和运算顺序是解答此题的关键.30.计算:(1)()22131)()2---+(2【答案】(1)12;(2) 【分析】(1)按照负整数指数幂、0指数幂、乘方的运算法则计算即可; (2)根据二次根式的加减乘除运算法则计算即可. 【详解】(1)解:原式= 9-1+4=12(2) 【点睛】本题考查负整数指数幂、0指数幂、乘方以及二次根式的运算法则,熟练掌握二次根式的化简是关键.【参考答案】***试卷处理标记,请不要删除一、选择题 1.C 解析:C 【分析】根据最简二次根式的定义,可得答案. 【详解】A 、被开方数含分母,故选项A 不符合题意;B 、被开方数是小数,故选项B 不符合题意;C 、被开方数不含开的尽的因数,被开方数不含分母,故C 符合题意;D、被开方数含开得尽的因数,故D错误不符合题意;故选:C.【点睛】本题考查了最简二次根式,被开方数不含开的尽的因数或因式,被开方数不含分母.2.C解析:C【分析】根据二次根式的性质对A进行判断;根据二次根式的加减法法则对B、D进行判断;根据二次根式的乘法法则对C进行判断.【详解】A、原式=2,故该选项错误;B=,故该选项错误;C4,故该选项正确;D故选:C.【点睛】此题主要考查了二次根式的运算及性质,熟练掌握二次根式乘法、性质及加减法运算法则是解题关键.3.A解析:A【分析】根据二次根式的混合运算法则进行计算,再估算无理数的大小.【详解】(=,∵4<6<9,∵<3,∴<5,故选:A.【点睛】此题考查了二次根式的混合运算,无理数的估算,正确掌握二次根式的运算法则、会进行无理数的大小估算是解题的关键.4.A解析:A【分析】利用平方差公式计算a ,利用完全平方公式和二次根式的化简求出b ,利用二次根式大小的比较办法,比较b 、c 得结论.【详解】解:a=2019×2021-2019×2020=(2020-1)(2020+1)-(2020-1)×2020=20202-1-20202+2020=2019;∵20222-4×2021=(2021+1)2-4×2021=20212+2×2021+1-4×2021=20212-2×2021+1=(2021-1)2=20202,∴b=2020;>∴c >b >a .故选:A .【点睛】本题考查了完全平方公式、平方差公式、二次根式的化简、二次根式大小的比较等知识点.变形2019×2021-2019×2020解决本题的关键.5.B解析:B【解析】【分析】由原式得()2211994x -=,得244+11994x x -=,原式变形后再将244+11994x x -=代和可得出答案.【详解】∵12x +=, ()2211994x ∴-=,即24419930x x --=,()()32241997199444199344199311x x x x x x x ∴--=--+---=-.∴原式()201911=-=-.【点睛】本题难度较大,需要对要求的式子进行变形,学会转化.解析:A【解析】试题分析:根据二次根式的概念,可知a≥0,ab >0,解得a >0,b >0,因此可知A (a ,b )在第一象限.故选A7.C解析:C【分析】根据算术平方根的定义,无理数的定义及估值,二次根式的化简依次判断.【详解】A 12的算术平方根,故该项正确;B 、34<<,故该项正确;C =D =是无理数,故该项正确;故选:C .【点睛】此题考查算术平方根的定义,无理数的定义及估值,二次根式的化简,熟练掌握各知识点并运用解题是关键.8.B解析:B【分析】先根据xy <0,考虑有两种情况,再根据所给二次根式可确定x 、y 的取值,最后再化简即可.【详解】解:0xy <,0x ∴>,0y <或0x <,0y >, 又2y x x -有意义, 0y ∴<,0x ∴>,0y <,当0x >,0y <时, 故选B .【点睛】本题考查了二次根式的性质与化简.解题的关键是能根据已知条件以及所跟二次根式来确定x 、y 的取值.解析:D【分析】先判断出点的横纵坐标的符号,进而判断点所在的象限或坐标轴.【详解】=-∴x、y异号,且y>0,∴x<0,或者x、y中有一个为0或均为0.,x y在第二象限或坐标轴上.∴那么点()故选:D.【点睛】根据二次根式的意义,确定被开方数的取值范围,进而确定a、b的取值范围,从而确定点的坐标位置.10.D解析:D【分析】根据二次根式的意义,如果一定是二次根式,则不论字母取何值,被开方数一定是非负数,逐一判断即可得.【详解】解:A,不是二次根式;B x<0时无意义,不一定是二次根式;C在-2<a<2时,无意义,不一定是二次根式;D a2≥0,一定是二次根式;故选:D.【点睛】本题主要考查二次根式的定义,一般地,a≥0)的式子叫做二次根式.11.C解析:C【分析】根据合并二次根式的法则、二次根式的性质、二次根式的除法法则即可判定.【详解】A、A错误;B=B错误;C3=,故选项C正确;=,故选项D错误;D3故选:C .【点睛】本题考查了二次根式的混合运算,熟练掌握二次根式的运算法则是解题的关键.12.D解析:D【分析】根据二次根式的乘法法则对A 进行判断;根据分母有理化对B 进行判断;根据二次根式的加减法对C 进行判断;根据二次根式的性质对D 进行判断.【详解】AB2计算正确,不符合题意;C 、计算正确,不符合题意;D 11=≠符合题意;故选:D .【点睛】本题考查了二次根式的混合运算,正确掌握相关运算法则是解题关键.二、填空题13.【分析】首先化简,可得|a-2|+|a-6|+|b+4|+|b-2|=10,然后根据|a-2|+|a-6|≥4,|b+4|+|b-2|≥6,判断出a ,b 的取值范围,即可求出的最大值.【详解】解析:【分析】10-b 4-b-2=+,可得|a-2|+|a-6|+|b+4|+|b-2|=10,然后根据|a-2|+|a-6|≥4,|b+4|+|b-2|≥6,判断出a ,b 的取值范围,即可求出22a b +的最大值. 【详解】10-b 4-b-2=+,1042b b =-+--, ∴261042a a b b -+-=-+--, ∴264210a a b b -+-+++-=,∵264a a -+-≥,426b b ++-≥,∴ 264a a -+-=,42=6b b ++-,∴2≤a≤6,-4≤b≤2,∴22a b +的最大值为()226452+-=,故答案为52.【点睛】本题考查了二次根式的性质与化简,绝对值的意义,算术平方根的性质.解题的关键是要明确化简二次根式的步骤:①把被开方数分解因式;②利用算术平方根的性质,把被开方数中能开得尽方的因数(或因式)都开出来;③化简后的二次根式中的被开方数中每一个因数(或因式)的指数都小于根指数2. 14.【分析】根据题意可知,代入原函数即可解答.【详解】因为函数,所以当时, .【点睛】本题主要考查了代数式求值问题,熟练掌握相关知识点以及二次根式的运算是解题关键.解析:2+【分析】根据题意可知1x =,代入原函数即可解答. 【详解】 因为函数1x f xx ,所以当1x =时, 211()2221f x . 【点睛】本题主要考查了代数式求值问题,熟练掌握相关知识点以及二次根式的运算是解题关键. 15.【解析】【详解】根据二次根式的性质和二次根式的化简,可知==.故答案为.【点睛】此题主要考查了二次根式的运算,解题关键是明确最简二次根式,利用二次根式的性质化简即可.解析:2【解析】【详解】. 【点睛】 此题主要考查了二次根式的运算,解题关键是明确最简二次根式,利用二次根式的性质化简即可.16.-【分析】首先判断出x ,y 的符号,再利用二次根式的性质化简求出答案.【详解】解:∵,且有意义,∴,∴.故答案为.【点睛】此题主要考查了二次根式的性质与化简,正确掌握二次根式的性质是 解析:【分析】首先判断出x ,y 的符号,再利用二次根式的性质化简求出答案.【详解】解:∵0xy > ∴00x y <,<,∴x ==.故答案为.【点睛】 此题主要考查了二次根式的性质与化简,正确掌握二次根式的性质是解题关键.即(0)(0)a a a a a ≥⎧==⎨-<⎩=(a ≥0,b >0). 17.(17,6)【解析】观察、分析这组数据可发现:第一个数是的积;第二个数是的积;第三个数是的积,的积.∵这组数据中最大的数:,∴是这组数据中的第102个数.∵每一行排列了6个数,而∴是第1解析:(17,6)【解析】的积,.∵这组数据中最大的数:∴102个数.∵每一行排列了6个数,而1026=17÷ ∴17行第6个数,∴这组数据中最大的一个数应记为(17,6).点睛:(1)这组数据组中的第n 2)该组数据是按从左到右,从小到大,每行6个数进行排列的;(3)6n ÷6n ÷的余数是所在的列数.18.【分析】根据二次根式的有意义的条件可求出x ,进而可得y 的值,然后把x 、y 的值代入所求式子计算即可.【详解】解:∵x -3≥0,3-x≥0,∴x=3,∴y=﹣2,∴.故答案为:.【点睛】 解析:19【分析】根据二次根式的有意义的条件可求出x ,进而可得y 的值,然后把x 、y 的值代入所求式子计算即可.【详解】解:∵x -3≥0,3-x ≥0,∴x =3,∴y =﹣2,∴2139y x -==. 故答案为:19. 【点睛】本题考查了二次根式有意义的条件和负整数指数幂的运算,属于常考题型,熟练掌握基本知识是解题的关键.19.【分析】设,将等式的两边平方,然后根据完全平方公式和二次根式的性质化简即可得出结论.【详解】解:设,由算术平方根的非负性可得t≥0,则.故答案为:.【点睛】此题考查的是二【分析】t =,将等式的两边平方,然后根据完全平方公式和二次根式的性质化简即可得出结论.【详解】t =,由算术平方根的非负性可得t ≥0,则244t =+8=+8=+81)=+6=+21)=1t ∴=..【点睛】此题考查的是二次根式的化简,掌握完全平方公式和二次根式的性质是解题关键.20.【分析】由,且,即知,,据此根据二次根式的性质化简可得.【详解】∵,且,即,∴,,∴,故答案为:.【点睛】本题主要考查了二次根式的性质与化简,熟练掌握二次根式的性质是解题的关键.解析:-【分析】由0xy >,且20xy -≥,即•0y xy -≥知0x <,0y <,据此根据二次根式的性质化简可得.【详解】∵0xy >,且20xy -≥,即•0y xy -≥,∴0x <,0y <,==-故答案为:-【点睛】本题主要考查了二次根式的性质与化简,熟练掌握二次根式的性质是解题的关键.三、解答题21.无22.无23.无24.无25.无26.无27.无28.无29.无30.无。
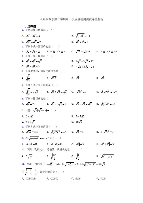
人教版八年级数学第二学期 第一次 质量检测测试卷及解析一、选择题1.下列计算正确的是( ) A .93=±B .382-=C .2(7)5=D .222= 2.下列计算正确的是( ) A .2+3=5B .8=42C .32﹣2=3D .23⋅=63.下列二次根式是最简二次根式的是( ) A .21a +B .15C .4xD .274.已知()()44220,24,180x y x y x yx y>+=++-=、.则xy=( )A .8B .9C .10D .115.如果关于x 的不等式组0,2223x mx x -⎧>⎪⎪⎨-⎪-<-⎪⎩的解集为2x >,且式子3m -的值是整数,则符合条件的所有整数m 的个数是( ). A .5B .4C .3D .26.若化简1682+-x x -1x -的结果为5-2x ,则x 的取值范围是( ) A .为任意实数 B .1≤x≤4C .x≥1D .x≤47.若a 、b 、c 为有理数,且等式成立,则2a +999b +1001c 的值是( )A .1999B .2000C .2001D .不能确定 8.下列二次根式是最简二次根式的是( ) A 0.1B 19C 8D 1449.若a b >3a b - ) A .ab --B .-abC .a abD .-ab10.751m +m 的值为( ) A .7B .11C .2D .111.32的结果是( ) A .±3B .﹣3C .3D .912.与根式1x-- ) A .xB .x x --C .x --D x -二、填空题13.将2(3)(0)3a a a a-<-化简的结果是___________________.14.化简322+=___________.15.定义:对非负实数x “四舍五入”到个位的值记为()f x z , 即:当n 为非负整数时,如果1122n x n -<+≤,则()f x n =z .如:(0)(0.48)0f f ==z z ,(0.64)(1.49)1f f ==z z ,(4)(3.68)4f f ==z z ,试解决下列问题:①(3)f =z __________;②2(33)f +=z __________; ③222222(11)(22)(22)(33)(33)(44)f f f f f f ++++⋅++⋅++⋅+z z z z z z22(20172017)(20182018)f f +=+⋅+z z __________.16.已知函数1x f xx,那么21f _____.17.若()()22223310x y x y +++-+=,则222516x y +=______.18.若x +y =5+3,xy =15-3,则x+y=_______. 19.有一列数3,6,3,23,15,,则第100个数是_______.20.实数a 、b 在数轴上的位置如图所示,则化简()222a b a b -+-=_____.三、解答题21.计算: 22(31)(233)(33)63--【答案】3. 【解析】 【分析】先运用完全平方公式、平方差公式进行化简,然后进行计算. 【详解】解:原式3232626 3232]-4 3 3【点睛】本题主要考查了二次根式的化简;特别是灵活运用全平方公式、平方差公式是解答本题的关键.22.像2)=1=a (a ≥0)、﹣1)=b ﹣1(b ≥0)……两个含有二次根式的代数式相乘,积不含有二次根式,我们称这两个代数式互为有理化因+1﹣1,﹣因式.进行二次根式计算时,利用有理化因式,可以化去分母中的根号.请完成下列问题: (1);(2)+;(3)的大小,并说明理由.【答案】(1(2)(3)< 【解析】分析:(1=1,确定互为有理化因式,由此计算即可;(2)确定分母的有理化因式为2与2+然后分母有理化后计算即可;(3与,,然后比较即可.详解:(1) 原式=9;(2)原式=2+=2+ (3)根据题意,-==,><,>点睛:此题是一个阅读题,认证读题,了解互为有理化因式的实际意义,以及特点,然后根据特点变形解题是关键.23.阅读下列材料,然后回答问题:在进行二次根式运算时,我们有时会碰上如3、3+1这样的式子,其实我们还可以将其进一步化简:535==33333⨯⨯;22(31)2(31)=313+1(3+1)(31)(3)1⨯-⨯-==--- . 以上这种化简过程叫做分母有理化.3+1还可以用以下方法化简:22(3)1(3+1)(31)=313+13+13+13+1--===-. (1)请用其中一种方法化简1511-;(2)化简:++++3+15+37+599+97.【答案】(1) 15+11;(2) 311-1. 【分析】(1)运用了第二种方法求解,即将4转化为1511-;(2)先把每一个加数进行分母有理化,再找出规律,即后面的第二项可以和前面的第一项抵消,然后即可得出答案. 【详解】 (1)原式==;(2)原式=+++…=﹣1+﹣+﹣+…﹣=﹣1=3﹣1【点睛】本题主要考查了分母有理化,找准有理化的因式是解题的关键.24.观察下列等式: 212121(21)(21)-==++-;323232(32)(32)==++-434343(43)(43)==++- 回答下列问题:(12322+(2)计算:【答案】(1(2)9 【分析】(1)根据已知的31=-n=22代入即可求解;(2)先利用上题的规律将每一个分数化为两个二次根式的差的形式,再计算即可. 【详解】解:(1=(2+99+=1100++-=1 =10-1 =9.25.-10 【分析】先根据二次根式的性质和平方差公式化简,然后再进行计算即可 【详解】=(22⎡⎤--⎢⎥⎣⎦=()212--10+.10. 【点睛】本题主要考查了二次根式的性质、平方差公式,灵活运用二次根式的性质化简是解答本题的关键.26.计算:【答案】【分析】先将括号内的二次根式进行化简并合并,再进行二次根式的乘法运算即可. 【详解】解:=== 【点睛】此题主要考查了二次根式的混合运算,熟练掌握运算法则是解答此题的关键.27.计算下列各题(1)⎛÷ ⎝(2)2-【答案】(1)1;(2). 【分析】(1)先把二次根式化为最简二次根式,然后把括号内合并后进行二次根式的除法运算即可; (2)利用完全平方公式和平方差公式展开,然后再进行合并即可. 【详解】(1)原式=1;(2)原式+2). 【点睛】本题考查了二次根式的混合运算,熟练掌握二次根式混合运算的运算顺序以及运算法则是解题的关键.28.在一个边长为(cm 的正方形的内部挖去一个长为()cm ,cm 的矩形,求剩余部分图形的面积.【答案】 【解析】试题分析:用大正方形的面积减去长方形的面积即可求出剩余部分的面积.试题解析:剩余部分的面积为:(2﹣()=()﹣(﹣)=(cm 2). 考点:二次根式的应用29.(1|5-+;(2)已知实数a 、b 、c 满足|3|a +=,求2(b a +的值.【答案】(1)5;(2)4 【分析】(1)先利用二次根式的乘法法则和绝对值的意义计算,再进行回头运算即可; (2)先根据二次根式有意义的条件确定b 的值,再根据非负数的和的意义确定a ,c 的值,然后再计算代数式的值即可. 【详解】解:(15-+5)=+5=+5=(2)由题意可知:5050b b -≥⎧⎨-≥⎩,解得5b =由此可化简原式得,30a +=30a ∴+=,20c -= 3a ∴=-,2c =22((534b a ∴+=--=【点睛】可不是考查了二次根式的混合运算以及二次根式的化简求值,熟练掌握运算法则和运算顺序是解答此题的关键.30.02020((1)π-.【答案】 【分析】本题根据零次幂,最简二次根式,整数次幂的运算规则求解即可. 【详解】原式11=-=【点睛】本题考查幂的运算与二次根式的综合,需牢记非零常数的零次幂为1,二次根式运算时需化为最简二次根式,其次注意计算仔细.【参考答案】***试卷处理标记,请不要删除一、选择题1.D解析:D【分析】根据算术平方根、立方根、二次根式的乘法逐项判断即可得.【详解】A3=,此项错误;B2=-,此项错误;=≠C、27D2==,此项正确;故选:D.【点睛】本题考查了算术平方根、立方根、二次根式的乘法,熟练掌握算术平方根与立方根是解题关键.2.D解析:D【解析】解:A A错误;B==,所以B错误;C.=C错误;D==D正确.故选D.3.A解析:A【分析】根据最简二次根式的定义即可得.【详解】A是最简二次根式,此项符合题意B 5=C 、当0x <D =不是最简二次根式,此项不符题意 故选:A . 【点睛】本题考查了最简二次根式的定义,熟记定义是解题关键.4.D解析:D 【分析】利用完全平方公式、平方差公式化简第二个等式即可. 【详解】44180+=配方得22222180⎡⎤+-+⋅=⎣⎦222180⎡⎤⎡⎤+=⎣⎦⎣⎦222()180x y +-=22162(2)180xy x xy y +-+= 22122()180xy x y ++=将2224x y +=代入得:12224180xy +⨯= 计算得:11xy = 故选:D. 【点睛】本题考查了完全平方公式、平方差公式的综合应用,熟记公式是解题关键,这两个公式是常考点,需重点掌握.5.C解析:C 【分析】先求出两个不等式的解集,根据不等式组的解集为2x >可得出m ≤2的值是整数,得出|m|=3或2,于是m=-3,3,-2或2,由m ≤2,得m=-3,-2或2. 【详解】 解:解不等式02x m->得x >m , 解不等式223x x --<-得x >2, ∵不等式组解集为x >2,∴m≤2,-的值是整数,∵式子3m则|m|=3或2,∴m=-3,3,2或-2,由m≤2得,m=-3,-2或2.即符合条件的所有整数m的个数是3个.故选:C.【点睛】本题考查了解一元一次不等式组以及二次根式的性质,熟练运用一元一次不等式组的解法是解题的关键.6.B解析:B【解析】【分析】根据完全平方公式和2a=|a|,先把多项式化简为|x-4|-|1-x|,然后根据x的取值范围分别讨论,求出符合题意的x的值即可.【详解】-=|x-4|-|1-x|,解:原式=2()-1x-x4当x≤1时,此时1-x≥0,x-4<0,∴(4-x)-(1-x)=3,不符合题意,当1≤x≤4时,此时1-x≤0,x-4≤0,∴(4-x)-(x-1)=5-2x,符合题意,当x≥4时,此时x-4≥0,1-x<0,∴(x-4)-(x-1)=-3,不符合题意,∴x的取值范围为:1≤x≤4故选B.【点睛】本题主要考查绝对值及二次根式的化简,要注意正负号的变化,分类讨论.7.B解析:B【解析】因=,所以a=0,b=1,c=1,即可得2a+999b+1001c=999+1001=2000,故选B.点睛:本题考查了二次根式的性质与化简,将复合二次根式根据完全平方公式化简并比较系数是解题的关键.8.B解析:B【分析】判定一个二次根式是不是最简二次根式的方法,就是逐个检查最简二次根式的两个条件是否同时满足,同时满足的就是最简二次根式,否则就不是.【详解】解:A、被开方数含分母,故A错误;B、被开方数不含分母;被开方数不含能开得尽方的因数或因式,故B正确;C、被开方数含能开得尽方的因数,故C错误;D、被开方数含分母,故D错误;故选B.【点睛】本题考查最简二次根式的定义.根据最简二次根式的定义,最简二次根式必须满足两个条件:被开方数不含分母;被开方数不含能开得尽方的因数或因式.9.D解析:D【分析】首先根据二次根式有意义的条件求得a、b的取值范围,然后再利用二次根式的性质进行化简即可;【详解】∴-a3b≥0∵a>b,∴a>0,b<0=-,a ab故选:D.【点睛】此题考查二次根式的性质及化简,解题的关键是根据二次根式有意义的条件判断字母的取值范围.10.C解析:C【分析】几个二次根式化为最简二次根式后,如果被开方数相同,则这几个二次根式即为同类二次根式.【详解】解=m=7时==,故A错误;当m=11时==B错误;当m=1时=故D错误;当m=2时=故C 正确;故选择C.【点睛】 本题考查了同类二次根式的定义.11.C解析:C【分析】根据二次根式的性质即可求出答案.【详解】原式=3,故选C .【点睛】本题考查二次根式的性质,解题的关键是熟练运用二次根式的性质,本题属于基础题型.12.D解析:D【分析】先化简二次根式,再计算二次根式的乘法即可.【详解】由题意可得x 是负数,所以-x x-⋅=- 故选:D .【点睛】此题考查二次根式的化简,二次根式的乘法计算法则,正确化简二次根式是解题的关键,注意题目中x 的符号是负号,这是解题的难点. 二、填空题13..【分析】根据二次根式的性质化简即可.【详解】∵a<0.∴a-3<0,∴==.故答案为:.【点睛】本题考查了二次根式的性质与化简,正确判断根号内的符号是解题的关键.解析:【分析】根据二次根式的性质化简即可.【详解】∵a <0.∴a -3<0,∴(a -=-=故答案为:【点睛】本题考查了二次根式的性质与化简,正确判断根号内的符号是解题的关键.14.+1【分析】先将用完全平方式表示,再根据进行化简即可.【详解】因为,所以,故答案为:.【点睛】本题主要考查利用完全平方公式对无理式进行因式分解,二次根式的性质,解决本题的关键是要将二+1【分析】先将3+,()()()0000a a a a a a ⎧>⎪===⎨⎪-<⎩进行化简即可.【详解】因为(2231211+=+=+=+,11===故答案为:1.【点睛】本题主要考查利用完全平方公式对无理式进行因式分解,二次根式的性质,解决本题的关键是要将二次根式利用完全平方公式分解. 15.3【解析】1、;2、根据题意,先推导出等于什么,(1)∵,∴,(2)再比较与的大小关系,①当n=0时,;②当为正整数时,∵,∴,∴,综合(1)、(2)可得:,解析:320172018【解析】1、(1.732)2z z f f ==;2、根据题意,先推导出f 等于什么,(1)∵2221142n n n n n ⎛⎫+<++=+ ⎪⎝⎭,12n <+, (2)12n -的大小关系,①当n=012n >-; ②当n 为正整数时,∵2212n n n ⎛⎫+-- ⎪⎝⎭1204n =->, ∴2212n n n ⎛⎫+>- ⎪⎝⎭,12n >-,综合(1)、(2)可得:1122n n -<+,∴f n =z ,∴3f =z .3、∵f n =z ,∴(2017z f +111112233420172018=++++⨯⨯-⨯111111112233420172018=-+-+-++- 112018=- 20172018=. 故答案为(1)2;(2)3;(3)20172018. 点睛:(1)解第②小题的关键是应用“完全平方公式”和“作差的方法”分别证明到当n 为非负整数时,1122n n -<+,从而得到f n =z ;(2)解题③的要点是:当n 为正整数时,111(1)1n n n n =-++. 16.【分析】根据题意可知,代入原函数即可解答.【详解】因为函数,所以当时, .【点睛】本题主要考查了代数式求值问题,熟练掌握相关知识点以及二次根式的运算是解题关键.解析:2+ 【分析】根据题意可知1x =,代入原函数即可解答. 【详解】因为函数1x f xx ,所以当1x =时, 211()2221f x . 【点睛】本题主要考查了代数式求值问题,熟练掌握相关知识点以及二次根式的运算是解题关键. 17.【解析】【分析】把带根号的一项移项后平方,整理后再平方,然后整理即可得解.【详解】移项得,两边平方得,整理得,两边平方得,所以,两边除以400得,1.故答案为1.【点睛】解析:【解析】【分析】把带根号的一项移项后平方,整理后再平方,然后整理即可得解.【详解】10=-两边平方得,()()22223=1003x y x y ++--+整理得,253x =- 两边平方得,22225150225256251509x x y x x -++=-+ 所以,221625400x y +=两边除以400得,222516x y +=1. 故答案为1.【点睛】本题考查了非负数的性质,此类题目难点在于把两个算术平方根通过移项分到等式左右两边.18.8+2【解析】根据配方法,由完全平方公式可知x+y==()2-2,然后把+=+,=-整体代入可得原式=(+)2-2(-)=5+3+2-2+2=8+2.故答案为:8+2.解析:【解析】根据配方法,由完全平方公式可知x+y=2222+=+-)2整体代入可得原式=2-2)故答案为:19.【分析】原来的一列数即为,,,,,,于是可得第n个数是,进而可得答案.【详解】解:原来的一列数即为:,,,,,,∴第100个数是.故答案为:.【点睛】本题考查了数的规律探求,属于常考解析:【分析】,,于是可得第n进而可得答案.【详解】,∴第100=.故答案为:【点睛】本题考查了数的规律探求,属于常考题型,熟练掌握二次根式的性质、找到规律是解题的关键.20.﹣2a【分析】首先根据实数a、b在数轴上的位置确定a、b的正负,然后利用二次根式的性质化简,最后合并同类项即可求解.【详解】依题意得:a<0<b,|a|<|b|,∴=-a-b+b-a=-解析:﹣2a【分析】首先根据实数a、b在数轴上的位置确定a、b的正负,然后利用二次根式的性质化简,最后合并同类项即可求解.【详解】依题意得:a<0<b,|a|<|b|,.故答案为-2a.【点睛】此题主要考查了二次根式的性质与化简,其中正确利用数轴的已知条件化简是解题的关键,同时也注意处理符号问题.三、解答题21.无22.无23.无24.无25.无26.无27.无28.无29.无30.无。
八年级数学第二学期 第一次质量检测测试卷含解析一、选择题1.下列计算正确的是( )A .=1212⨯B .4-3=1C .63=2÷D .8=2±2.下列计算正确的是( )A .336+=B .3323+=C .336⨯=D .3333+= 3.已知52a =+,52b =-,则227a b ++的值为( ) A .4 B .5 C .6 D .74.如图,在矩形ABCD 中无重叠放入面积分别为16cm 2和12cm 2的两张正方形纸片,则图中空白部分的面积为( )A .(8﹣43)cm 2B .(4﹣23)cm 2C .(16﹣83)cm 2D .(﹣12+83)cm 25.下列各式中,运算正确的是( ) A .32222-= B .8383-=- C .2323+=D .()222-=- 6.下列计算正确的是( )A .2510⨯=B .623÷=C .12315+=D .241-= 7.下列各式中,正确的是( ) A .32 >23B .a 3 • a 2=a 6C .(b+2a) (2a -b) =b 2 -4a 2D .5m + 2m = 7m 2 8.下列运算正确的是( )A .32-=﹣6B .31182-=-C .4=±2D .25×32=5109.若ab <0,则代数式可化简为( )A .aB .aC .﹣aD .﹣a10.a ab 有意义,那么直角坐标系中点A(a,b)在( ) A .第一象限 B .第二象限 C .第三象限D .第四象限 11.下列计算正确的是( ) A 235=B 623=C 23(3)86-=-D 321=12.关于12的下列说法中错误的是( ) A .12是12的算术平方根B .3124<<C .12不能化简D .12是无理数二、填空题13.对于任何实数a ,可用[a]表示不超过a 的最大整数,如[4]=4,[3]=1.现对72进行如下操作:72 [72]=8 [8]=2 2]=1,类似地,只需进行3次操作后变为1的所有正整数中,最大的是________.14.已知函数1x f x x ,那么21f _____.15.120654010144152118+++235a b c +的形式(,,a b c 为正整数),则abc =______.16.若实数x ,y ,m 满足等式()23532322x y m x y m x y x y +--+-=+---m+4的算术平方根为 ________.17.11882. 18.计算: 200820092+323⋅-=_________.19.36,3,2315,,则第100个数是_______. 20.下列各式:2521+n ③24b 0.1y 是最简二次根式的是:_____(填序号) 三、解答题21.计算及解方程组:(11324-2-1-26() (2)262-153-2+ (3)解方程组:251032x y x y x y -=⎧⎪+-⎨=⎪⎩ 【答案】(1)72102)-3107;(3)102x y =⎧⎨=⎩. 【分析】(1)首先化简绝对值,然后根据二次根式乘法、加减法法则运算即可;(2)首先根据完全平方公式化简,然后根据二次根式加减法法则运算即可;(3)首先将第二个方程化简,然后利用加减消元法即可求解.【详解】(11-1+(11=1 (22+)=34-=7-=7-(3)251032x y x y x y -=⎧⎪⎨+-=⎪⎩①②由②得:50x y -= ③②-③得: 10x =把x=10代入①得:y=2 ∴原方程组的解是:102x y =⎧⎨=⎩【点睛】本题考查了二次根式的混合运算,加减消元法解二元一次方程,熟练掌握二次根式的运算法则是本题的关键.22.计算:(1(2))((222+-+. 【答案】(1)【分析】(1)先化简二次根式,再合并同类二次根式即可;(2)根据平方差公式化简,再化简、合并同类二次根式即可.【详解】(1==(2))((222+-+=2223--+ =5-4-3+2=023.计算:10099+【答案】910【解析】 【分析】 先对代数式的每一部分分母有理化,然后再进行运算【详解】10099++=21009926129900-++++=991224-+-++-=1-=1110-=910【点睛】本题看似计算繁杂,但只要找到分母有理化这个突破口,就会化难为易。
八年级数学第二学期第一次质量检测测试卷及答案一、选择题1.下列各式计算正确的是( )A B .C =3 D .2.下列方程中,有实数根的方程是( )A 0=B 10=C 2=D 1=.3.(2的结果正确的是( )A B .3 C .6 D .34.下列各式一定成立的是( )A 2a b =+B 21a =+C 21a =-D ab =5.下列式子中,为最简二次根式的是( )A B C D6.x 的取值范围是( )A .0x <B .0xC .2xD .2x 7.下列运算正确的是( ) A .52223-=y yB .428x x x ⋅=C .(-a-b )2=a 2-2ab+b 2D =8.已知a ( )A .0B .3C .D .99.x 的取值范围是( )A .x ≥1B .x >1C .x ≤1D .x <110.下列运算一定正确的是( )A a =B =C .222()a b a b ⋅=⋅D ()0n a m=≥11.如果实数x ,y =-(),x y 在( )A .第一象限B .第二象限C .第一象限或坐标轴上D .第二象限或坐标轴上12.与根式- )A .B .x -C .D二、填空题13.若a ,b ,c 是实数,且10a b c ++=,则2b c +=________.14.当x x 2﹣4x +2017=________.15.已知aa 3+5a 2﹣4a ﹣6的值为_____. 16.14+⋅⋅⋅=的解是______. 17.对于任意实数a ,b ,定义一种运算“◇”如下:a ◇b =a(a -b)+b(a +b),如:3◇2=3×(3-2)+2×(3+2)=13=_____.18.如果2y ,那么y x =_______________________.19.n 为________.20. (a ≥0)的结果是_________.三、解答题21.计算: 21)3)(3--【答案】.【解析】【分析】先运用完全平方公式、平方差公式进行化简,然后进行计算.【详解】解:原式2222]-4【点睛】本题主要考查了二次根式的化简;特别是灵活运用全平方公式、平方差公式是解答本题的关键.22.先观察下列等式,再回答问题:=1+1=2;12=2 12;=3+13=313;… (1)根据上面三个等式提供的信息,请猜想第四个等式;(2)请按照上面各等式规律,试写出用 n (n 为正整数)表示的等式,并用所学知识证明.【答案】(1=144+=144;(2=211n n n n ++=,证明见解析.【分析】(1)根据“第一个等式内数字为1,第二个等式内数字为2,第三个等式内数字为3”,=414+=414;(2=n 211n n n ++=”,再利用222112n n n n++=+()()开方即可证出结论成立. 【详解】(1=1+1=2=212+=212;=313+=313;里面的数字分别为1、2、3,= 144+= 144.(2=1+1=2,=212+=212=313+=313=414+=414= 211n n n n ++=.证明:等式左边==n 211n n n ++==右边.=n 211n n n ++=成立. 【点睛】本题考查了二次根式的性质与化简以及规律型中数的变化类,解题的关键是:(1)猜测出第四个等式中变化的数字为4;(2)找出变化规律“2212n n ++=()n 211n n n ++=”.解决该题型题目时,根据数值的变化找出变化规律是关键.23.阅读下列材料,然后解答下列问题: 在进行代数式化简时,我们有时会碰上如53,231+这样的式子,其实我们还可以将其进一步化简:(一) 553533333⨯==⨯; (二)2231)=3131(31)(31)-=-++-(; (三) 22231(3)1(31)(31)=3131313131--+-===-++++. 以上这种化简的方法叫分母有理化.(1)请用不同的方法化简25+3: ①参照(二)式化简25+3=__________. ②参照(三)式化简5+3=_____________ (2)化简:++++315+37+599+97+. 【答案】见解析.【分析】(1)原式各项仿照题目中的分母有理化的方法计算即可得到结果;(2)原式各项分母有理化,计算即可.【详解】解:(1)①; ②;(2)原式故答案为:(1)①;②【点睛】 此题主要考查了二次根式的有理化,解答此题要认真阅读前面的分析,根据题目的要求选择合适的方法解题.24.3222x x x x--x 的值,代入后,求式子的值. 【答案】答案见解析.【解析】试题分析:先把除式化为最简二次根式,再用二次根式的乘法法则化简,选取的x 的值需要使原式有意义.试题解析: 原式2221222x x x x x x --==--22x x x x -=-= 要使原式有意义,则x >2.所以本题答案不唯一,如取x =4.则原式=225.阅读下列材料,然后回答问题: 33+13533333⨯2(3(3313+1(3+1)(31)(3)1==-- . 以上这种化简过程叫做分母有理化.3+122(3)(3+1)(3313+13+13+13+1===. (1)请用其中一种方法化简1511-;(2+3+15+37+599+97【答案】1511(2) 311 1.【分析】 (1)运用了第二种方法求解,即将41511-(2)先把每一个加数进行分母有理化,再找出规律,即后面的第二项可以和前面的第一项抵消,然后即可得出答案.【详解】(1)原式==; (2)原式=+++… =﹣1+﹣+﹣+…﹣=﹣1 =3﹣1 【点睛】本题主要考查了分母有理化,找准有理化的因式是解题的关键.26.计算(11132528+(2251694y y y +- (3)31)2a b b a b ÷ (4)(23+5235 【答案】(1)32272y 334)7. 【分析】 (1)先把各二次根式化为最简二次根式,然后合并即可;(2)先把各二次根式化为最简二次根式,然后合并即可;(3)根据二次根式的乘除法则运算;(4)利用平方差公式计算;【详解】(11132528+5232222=+32=;(2251694y y y 5432y y y =72y =; (331)a b a b÷2b ==;(4)( (22=- =7【点睛】本题考查了二次根式的混合运算:先把各二次根式化为最简二次根式,再进行二次根式的乘除运算,然后合并同类二次根式.也考查了平方差公式.27.(1)已知a 2+b 2=6,ab =1,求a ﹣b 的值;(2)已知b =,求a 2+b 2的值. 【答案】(1)±2;(2)2. 【分析】(1)先根据完全平方公式进行变形,再代入求出即可;(2)先分母有理化,再根据完全平方公式和平方差公式即可求解.【详解】(1)由a 2+b 2=6,ab=1,得a 2+b 2-2ab=4,(a-b )2=4,a-b=±2.(2)12a ===,12b ===, 2222()22312a b a b ab +=+-=-=-=⎝⎭ 【点睛】本题考查了分母有理化、完全平方公式的应用,能灵活运用公式进行变形是解此题的关键.28.先化简,再求值:2443(1)11m m m m m -+÷----,其中2m =.【答案】22m m-+ 1.【解析】分析:先根据分式的混合运算顺序和运算法则化简原式,再将m 的值代入计算可得.详解:原式=221m m --()÷(31m -﹣211m m --) =221m m --()÷241m m -- =221m m --()•122m m m --+-()() =﹣22m m -+ =22m m-+当m ﹣2时,原式===﹣1+=1.点睛:本题主要考查分式的化简求值,解题的关键是掌握分式的混合运算顺序和运算法则.29.(1|5-+;(2)已知实数a 、b 、c 满足|3|a +=,求2(b a +的值.【答案】(1)5;(2)4【分析】(1)先利用二次根式的乘法法则和绝对值的意义计算,再进行回头运算即可;(2)先根据二次根式有意义的条件确定b 的值,再根据非负数的和的意义确定a ,c 的值,然后再计算代数式的值即可.【详解】解:(15-+5)=+5=+5=(2)由题意可知:5050b b -≥⎧⎨-≥⎩, 解得5b =由此可化简原式得,30a +=30a ∴+=,20c -=3a ∴=-,2c =22((534b a ∴+=--=【点睛】可不是考查了二次根式的混合运算以及二次根式的化简求值,熟练掌握运算法则和运算顺序是解答此题的关键.30.计算:(1)()202131)()2---+ (2【答案】(1)12;(2)【分析】(1)按照负整数指数幂、0指数幂、乘方的运算法则计算即可;(2)根据二次根式的加减乘除运算法则计算即可.【详解】(1)解:原式= 9-1+4=12(2)【点睛】本题考查负整数指数幂、0指数幂、乘方以及二次根式的运算法则,熟练掌握二次根式的化简是关键.【参考答案】***试卷处理标记,请不要删除一、选择题1.C解析:C【分析】根据二次根式的化简进行选择即可.【详解】AB 、C,故本选项正确;D、=18,故本选项错误;故选:C.【点睛】本题考查了二次根式的混合运算,掌握二次根式的化简是解题的关键.2.C解析:C【分析】=的形式,再根据二次根式成立的条件逐个进行判断即可.k【详解】解:A、x2+4=0,此时方程无解,故本选项错误;B10=,-,1∵算术平方根是非负数,∴此时方程无解,故本选项错误;C2=,∴x+1=4,∴x=3,故本选项正确;D1=,∴x-3≥0且3-x≥0,解得:x=3,代入得:0+0=1,此时不成立,故本选项错误;故选:C.【点睛】本题考查了二次根式的意义,能根据二次根式成立的条件进行判断是解此题的关键.3.A解析:A【分析】分别根据二次根式的除法和乘法法则以及二次根式的平方计算每一项,再合并即可.【详解】=+=解:原式333故选:A.【点睛】本题主要考查了二次根式的混合运算,属于基础题型,熟练掌握二次根式的乘除法则是解题的关键.4.B解析:B【分析】分别利用二次根式的性质化简求出即可.【详解】解;A2=|a+b|,故此选项错误;B2+1,正确;C,无法化简,故此选项错误;D,故此选项错误;故选:B.【点睛】本题考查了二次根式的性质与化简,正确掌握二次根式的性质是解题的关键.5.B解析:B【分析】根据最简二次根式的定义即可求出答案.【详解】=,故A不是最简二次根式;2是最简二次根式,故B正确;,故C不是最简二次根式;=D不是最简二次根式;故选:B.【点睛】本题考查最简二次根式,解题的关键是正确理解最简二次根式的定义,本题属于基础题型.6.D解析:D【分析】根据二次根式有意义的条件(被开方数≥0),列出不等式求解即可得到答案;【详解】x-≥,即:20x,解得:2故选:D;【点睛】本题主要考查了二次根式有意义的条件,掌握二次根式有意义即被开方数≥0是解题的关键.7.D解析:D【分析】由合并同类项、同底数幂乘法、完全平方公式、以及二次根式的加减运算,分别进行判断,即可得到答案.【详解】解:A 、222523y y y -=,故A 错误;B 、426x x x ⋅=,故B 错误;C 、222()2a b a ab b --=++,故C 错误;D ==D 正确;故选:D .【点睛】本题考查了合并同类项、同底数幂乘法、完全平方公式、以及二次根式的加减运算,解题的关键是熟练掌握运算法则进行解题.8.B解析:B【解析】=,可知当(a ﹣3)2=0,即a=3故选B .9.A解析:A【分析】根据二次根式有意义的条件:被开方数x -1≥0,解不等式即可.【详解】解:根据题意,得x -1≥0,解得x ≥1.故选A .【点睛】本题考查的知识点为:二次根式的被开方数是非负数.10.C解析:C【分析】直接利用二次根式的性质与化简以及积的乘方运算法则分别计算即可得出答案.【详解】A |a |,故此选项错误;B .,则a ,b 均为非负数,故此选项错误;C .a 2•b 2=(a •b )2,正确;D mn a(a ≥0),故此选项错误. 故选C .【点睛】本题主要考查了二次根式的性质与化简以及积的乘方运算,正确掌握相关运算法则是解题的关键. 11.D解析:D【分析】先判断出点的横纵坐标的符号,进而判断点所在的象限或坐标轴.【详解】=-∴x 、y 异号,且y>0,∴x<0,或者x 、y 中有一个为0或均为0.∴那么点(),x y 在第二象限或坐标轴上.故选:D .【点睛】根据二次根式的意义,确定被开方数的取值范围,进而确定a 、b 的取值范围,从而确定点的坐标位置.12.D解析:D【分析】先化简二次根式,再计算二次根式的乘法即可.【详解】由题意可得x 是负数,所以-x x-⋅=- 故选:D .【点睛】此题考查二次根式的化简,二次根式的乘法计算法则,正确化简二次根式是解题的关键,注意题目中x 的符号是负号,这是解题的难点. 二、填空题13.21【分析】结合态,根据完全平方公式的性质,将代数式变形,即可计算得,,的值,从而得到答案.【详解】∵∴∴∴∴∴∴∴.【点睛】本题考查了二次根式、完全平方公式的知识;解题的解析:21【分析】结合态,根据完全平方公式的性质,将代数式变形,即可计算得a ,b ,c 的值,从而得到答案.【详解】∵10a b c ++=∴100a b c ---=∴2221490⎡⎤⎡⎤⎡⎤-+-+-=⎣⎦⎣⎦⎣⎦∴2221)2)3)0++=∴123=== ∴111429a b c -=⎧⎪-=⎨⎪-=⎩∴2511a b c =⎧⎪=⎨⎪=⎩∴2251121b c +=⨯+=.【点睛】本题考查了二次根式、完全平方公式的知识;解题的关键是熟练掌握二次根式、完全平方公式、一元一次方程的性质,从而完成求解.14.2016【解析】把所求的式子化成(x﹣2)2+2013然后代入式子计算,即可得到:x2﹣4x+2017=(x﹣2)2+2013 =()2+2013=3+2013=2016.故答案是:2016.解析:2016【解析】把所求的式子化成(x﹣2)2+2013然后代入式子计算,即可得到:x2﹣4x+2017=(x﹣2)2+2013 =2+2013=3+2013=2016.故答案是:2016.点睛:此题主要考查了配方法的应用,解题关键是把式子配成完全平方,然后整体代入即可求解,考查了学生对整体思想的认识和应用,学生对整体思想不熟时出错的主要原因. 15.-4【分析】先将a进行化简,然后再进一步分组分解代数式,最后代入求得答案即可. 【详解】解:当a=-=-=-3时,原式=a3+6a2+9a-(a2+6a+9)-7a+3=a(a+3)2-(解析:-4【分析】先将a进行化简,然后再进一步分组分解代数式,最后代入求得答案即可.【详解】-3时,解:当a原式=a3+6a2+9a-(a2+6a+9)-7a+3=a(a+3)2-(a+3)2-7a+3=7a-7-7a+3=-4.故答案为:-4.【点睛】本题综合运用了二次根式的化简,提公因式及完全平方公式法分解因式,熟练掌握分母有理化的方法及因式分解的方法是解题的关键.16.9【解析】【分析】设y=,由可将原方程进行化简,解化简后的方程即可求得答案.【详解】设y=,则原方程变形为,∴,即,∴4y+36-4y=y(y+9),即y2+9y-36=0,∴解析:9【解析】【分析】设()11111y y y y =-++可将原方程进行化简,解化简后的方程即可求得答案. 【详解】设则原方程变形为()()()()()1111112894y y y y y y ++=+++++, ∴1111111112894y y y y y y -+-++-=+++++, 即11194y y -=+, ∴4y+36-4y=y(y+9),即y 2+9y-36=0,∴y=-12或y=3, ∵, ∴,∴x=9,故答案为:9.【点睛】本题考查了解无理方程,解题的关键是利用换元法,还要注意()11111y y y y =-++的应用. 17.5【解析】◇==5.故本题应填5.点睛:理解新定义运算的运算规则,其实就是一个对应关系,a 对应,b 对应,即将a=,b=,代入到代数式a(a -b)+b(a +b)中,再根据二次根式的混合运算法则解析:5【解析】32==5. 故本题应填5.点睛:理解新定义运算的运算规则,其实就是一个对应关系,a ,b ,即将,代入到代数式a(a -b)+b(a +b)中,再根据二次根式的混合运算法则进行计算,注意最终的结果一定要化为最简二次根式.18.【分析】根据二次根式的有意义的条件可求出x ,进而可得y 的值,然后把x 、y 的值代入所求式子计算即可.【详解】解:∵x -3≥0,3-x≥0,∴x=3,∴y=﹣2,∴.故答案为:.【点睛】 解析:19【分析】根据二次根式的有意义的条件可求出x ,进而可得y 的值,然后把x 、y 的值代入所求式子计算即可.【详解】解:∵x -3≥0,3-x ≥0,∴x =3,∴y =﹣2, ∴2139y x -==. 故答案为:19. 【点睛】本题考查了二次根式有意义的条件和负整数指数幂的运算,属于常考题型,熟练掌握基本知识是解题的关键.19.7【分析】把28分解因数,再根据二次根式的定义判断出n的最小值即可.【详解】解:∵28=4×7,4是平方数,∴若是整数,则n的最小正整数值为7,故答案为7.【点睛】本题考查了二次根式解析:7【分析】把28分解因数,再根据二次根式的定义判断出n的最小值即可.【详解】解:∵28=4×7,4是平方数,n的最小正整数值为7,故答案为7.【点睛】本题考查了二次根式的定义,把28分解成平方数与另一个数相乘的形式是解题的关键.20.4a【解析】【分析】根据二次根式乘法法则进行计算即可得.【详解】===4a,故答案为4a.【点睛】本题考查了二次根式的乘法,熟练掌握二次根式乘法法则是解题的关键.解析:4a【解析】【分析】根据二次根式乘法法则进行计算即可得.)0a≥===4a,故答案为4a.【点睛】本题考查了二次根式的乘法,熟练掌握二次根式乘法法则是解题的关键.三、解答题21.无22.无23.无24.无25.无26.无27.无28.无29.无30.无。
一、选择题1.如图,在四边形ABCD 中,90B C ∠=∠=,DAB ∠与ADC ∠的平分线相交于BC 边上的M 点,则下列结论:①90AMD ∠=;②1=2ADM ABCDS S ∆梯形;③AB CD AD +=;④M 到AD 的距离等于BC 的13;⑤M 为BC 的中点;其中正确的有( )A .2个B .3个C .4个D .5个2.勾股定理是几何中的一个重要定理,在我国算书《网醉算经》中就有“若勾三,股四,则弦五”的记载.如图1,是由边长相等的小正方形和直角三角形构成的,可以用其面积关系验证勾股定理.图2是由图1放入矩形内得到的,∠BAC=90°,AB=3,BC=5,点D ,E ,F ,G ,H ,I 都在矩形KLMJ 的边上,则矩形KLMJ 的面积为( )A .121B .110C .100D .903.如图,透明的圆柱形玻璃容器(容器厚度忽略不计)的高为12cm ,在容器内壁离容器底部4 cm 的点B 处有一滴蜂蜜,此时一只蚂蚁正好在容器外壁,且离容器上沿4 cm 的点A 处,若蚂蚁吃到蜂蜜需爬行的最短路径为15 cm ,则该圆柱底面周长为( )cm .A .9B .10C .18D .204.如图,AB =AC ,∠CAB =90°,∠ADC=45°,AD =1,CD =3,则BD 的长为( )A .3B .11C .23D .45.棱长分别为86cm cm ,的两个正方体如图放置,点A ,B ,E 在同一直线上,顶点G 在棱BC 上,点P 是棱11E F 的中点.一只蚂蚁要沿着正方体的表面从点A 爬到点P ,它爬行的最短距离是( )A .(3510)cm +B .513cmC .277cmD .(2583)cm +6.已知△ABC 是腰长为1的等腰直角三角形,以Rt △ABC 的斜边AC 为直角边,画第二个等腰Rt △ACD ,再以Rt △ACD 的斜边AD 为直角边,画第三个等腰Rt △ADE ,…,依此类推,第n 个等腰直角三角形的面积是( )A .2n ﹣2B .2n ﹣1C .2nD .2n+17.如图,在等腰Rt ABC △中,908C AC ∠==°,,F 是AB 边上的中点,点D 、E 分别在AC 、BC 边上运动,且保持AD CE =.连接DE 、DF 、EF .在此运动变化的过程中,下列结论:①DFE △是等腰直角三角形;②四边形CDFE 不可能为正方形;③DE 长度的最小值为4;④四边形CDFE 的面积保持不变;⑤△CDE 面积的最大值为8.其中正确的结论是( )A .①④⑤B .③④⑤C .①③④D .①②③8.在平面直角坐标系内的机器人接受指令“[α,A]”(α≥0,0°<A <180°)后的行动结果为:在原地顺时针旋转A 后,再向正前方沿直线行走α.若机器人的位置在原点,正前方为y 轴的负半轴,则它完成一次指令[4,30°]后位置的坐标为( ) A .(-2,23)B .(-2,-23)C .(-2,-2)D .(-2,2)9.已知直角三角形的两条边长分别是3和5,那么这个三角形的第三条边的长( ) A .4B .16C .34D .4或3410.我国古代数学家刘徽将勾股形(古人称直角三角形为勾股形)分割成一个正方形和两对全等的三角形,如图所示,已知∠A =90°,BD =4,CF =6,设正方形ADOF 的边长为x ,则210x x +=( )A .12B .16C .20D .24二、填空题11.将一副三角板按如图所示摆放成四边形ABCD ,发现只要知道其中一边的长就可以求出其它各边的长,若已知AD =32,则AB 的长为__________.12.如图,在Rt ABC 中,90ACB ∠=︒,4AC =,2BC =,以AB 为边向外作等腰直角三角形ABD ,则CD 的长可以是__________.13.如图,△ABC 是一个边长为1的等边三角形,BB 1是△ABC 的高,B 1B 2是△ABB 1的高,B 2B 3是△AB 1B 2的高,……B n-1B n 是△AB n-2B n-1的高,则B 4B 5的长是________,猜想B n-1B n 的长是________.14.如图,有一个圆柱,它的高等于12厘米,底面半径等于3厘米.在圆柱的下底面A 点有一只蚂蚁,它想吃到上底面上与A 点相对的C 点处的食物,需要爬行的最短路程是___________________(π的值取3).15.在△ABC 中,若222225,75a b a b c -+===,,则最长边上的高为_____. 16.在Rt △ABC 中,直角边的长分别为a ,b ,斜边长c ,且a +b =35,c =5,则ab 的值为______.17.如图,直线l 上有三个正方形a ,b ,c ,若a ,c 的边长分别为5和12,则b 的面积为_________________.18.如图,△ABC 中,AB=AC=13,BC=10,AD 是BAC ∠的角平分线,E 是AD 上的动点,F 是AB 边上的动点,则BE+EF 的最小值为_____.19.如图,在△ABC 中,AB =AC =10,BC =12,BD 是高,则点BD 的长为_____.20.如图,把平面内一条数轴x 绕点O 逆时针旋转角θ(0°<θ<90°)得到另一条数轴y ,x 轴和y 轴构成一个平面斜坐标系.规定:已知点P 是平面斜坐标系中任意一点,过点P 作y 轴的平行线交x 轴于点A ,过点P 作x 轴的平行线交y 轴于点B ,若点A 在x 轴上对应的实数为a ,点B 在y 轴上对应的实数为b ,则称有序实数对(a ,b )为点P 的斜坐标.在平面斜坐标系中,若θ=45°,点P 的斜坐标为(1,22),点G 的斜坐标为(7,﹣22),连接PG ,则线段PG 的长度是_____.三、解答题21.如图,△ABC 和△ADE 都是等腰三角形,其中AB =AC ,AD =AE ,且∠BAC =∠DAE . (1)如图①,连接BE 、CD ,求证:BE =CD ;(2)如图②,连接BE 、CD ,若∠BAC =∠DAE =60°,CD ⊥AE ,AD =3,CD =4,求BD 的长;(3)如图③,若∠BAC =∠DAE =90°,且C 点恰好落在DE 上,试探究CD 2、CE 2和BC 2之间的数量关系,并加以说明.22.如图,在矩形ABCD 中,AB=8,BC=10,E 为CD 边上一点,将△ADE 沿AE 折叠,使点D 落在BC 边上的点F 处. (1)求BF 的长; (2)求CE 的长.23.已知a ,b ,c 88a a -+-=|c ﹣17|+b 2﹣30b +225,(1)求a ,b ,c 的值;(2)试问以a ,b ,c 为边能否构成三角形?若能构成三角形,求出三角形的周长和面积;若不能构成三角形,请说明理由.24.如图,在△ABC 中,∠C =90°,把△ABC 沿直线DE 折叠,使△ADE 与△BDE 重合.(1)若∠A =35°,则∠CBD 的度数为________; (2)若AC =8,BC =6,求AD 的长;(3)当AB =m(m>0),△ABC 的面积为m +1时,求△BCD 的周长.(用含m 的代数式表示) 25.已知ABC ∆中,90ACB ∠=︒,AC BC =,过顶点A 作射线AP .(1)当射线AP 在BAC ∠外部时,如图①,点D 在射线AP 上,连结CD 、BD ,已知21AD n =-,21AB n =+,2BD n =(1n >).①试证明ABD ∆是直角三角形;②求线段CD 的长.(用含n 的代数式表示)(2)当射线AP 在BAC ∠内部时,如图②,过点B 作BD AP ⊥于点D ,连结CD ,请写出线段AD 、BD 、CD 的数量关系,并说明理由.26.阅读下列一段文字,然后回答下列问题.已知在平面内有两点()111, P x y 、()222, P x y ,其两点间的距离()()22121212PP x x y y =-+-直于坐标轴时,两点间距离公式可化简为12x x -或1|y -2|y . (1)已知()2, 4A 、()3, 8B --,试求A 、B 两点间的距离______.已知M 、N 在平行于y 轴的直线上,点M 的纵坐标为4,点N 的纵坐标为-1,试求M 、N两点的距离为______;(2)已知一个三角形各顶点坐标为()1, 6D 、()3, 3E -、()4, 2F ,你能判定此三角形的形状吗?说明理由.(3)在(2)的条件下,平面直角坐标系中,在x 轴上找一点P ,使PD PF +的长度最短,求出点P 的坐标及PD PF +的最短长度.27.(知识背景)据我国古代《周髀算经》记载,公元前1120年商高对周公说,将一根直尺折成一个直角,两端连接得到一个直角三角形,如果勾是3,股是4,那么弦就等于5,后人概括为“勾三、股四、弦五”.像3、4、5这样为三边长能构成直角三角形的三个正整数,称为勾股数. (应用举例)观察3,4,5;5,12,13;7,24,25;…可以发现这些勾股数的勾都是奇数,且从3起就没有间断过,并且 勾为3时,股14(91)2=-,弦15(91)2=+; 勾为5时,股112(251)2=-,弦113(251)2=+; 请仿照上面两组样例,用发现的规律填空:(1)如果勾为7,则股24= 弦25=(2)如果勾用n (3n ≥,且n 为奇数)表示时,请用含有n 的式子表示股和弦,则股= ,弦= . (解决问题)观察4,3,5;6,8,10;8,15,17;…根据应用举例获得的经验进行填空: (3)如果,,a b c 是符合同样规律的一组勾股数,2a m =(m 表示大于1的整数),则b = ,c = ,这就是古希腊的哲学家柏拉图提出的构造勾股数组的公式.(4)请你利用柏拉图公式,补全下面两组勾股数(数据从小到大排列)第一组: 、24、 :第二组: 、 、37.28.如图1,点E 是正方形ABCD 边CD 上任意一点,以DE 为边作正方形DEFG ,连接BF ,点M 是线段BF 中点,射线EM 与BC 交于点H ,连接CM . (1)请直接写出CM 和EM 的数量关系和位置关系.(2)把图1中的正方形DEFG 绕点D 顺时针旋转45︒,此时点F 恰好落在线段CD 上,如图2,其他条件不变,(1)中的结论是否成立,请说明理由.(3)把图1中的正方形DEFG 绕点D 顺时针旋转90︒,此时点E 、G 恰好分别落在线段AD 、CD 上,连接CE ,如图3,其他条件不变,若2DG =,6AB =,直接写出CM 的长度.29.如图,在△ABC 中,D 是边AB 的中点,E 是边AC 上一动点,连结DE,过点D 作DF ⊥DE 交边BC 于点F(点F 与点B 、C 不重合),延长FD 到点G,使DG=DF,连结EF 、AG.已知AB=10,BC=6,AC=8. (1)求证:△ADG ≌△BDF ; (2)请你连结EG,并求证:EF=EG ;(3)设AE=x ,CF=y ,求y 关于x 的函数关系式,并写出自变量x 的取值范围; (4)求线段EF 长度的最小值.30.(发现)小慧和小雯用一个平面去截正方体,得到一个三角形截面(截出的面),发现截面一定是锐角三角形.为什么呢?她们带着这个疑问请教许老师.(体验)(1)从特殊入手 许老师用1个铆钉把长度分别为4和3的两根窄木棒的一端连在一起(如图,),保持不动,让从重合位置开始绕点转动,在转动的过程,观测的大小和的形状,并列出下表:的大小的形状…直角三角形…直角三角形…请仔细体会其中的道理,并填空:_____,_____;(2)猜想一般结论在中,设,,(),①若为直角三角形,则满足;②若为锐角三角形,则满足____________;③若为钝角三角形,则满足_____________.(探索)在许老师的启发下,小慧用小刀在一个长方体橡皮上切出一个三角形截面(如图1),设,,,请帮助小慧说明为锐角三角形的道理.(应用)在小慧的基础上,小雯又切掉一块“角”,得到一个新的三角形截面(如图2),那么的形状是()A.一定是锐角三角形B.可能是锐角三角形或直角三角形,但不可能是钝角三角形C.可能是锐角三角形或直角三角形或钝角三角形【参考答案】***试卷处理标记,请不要删除一、选择题 1.C 解析:C 【分析】过M 作ME AD ⊥于E ,得出12MDE CDA ∠=∠,12MAD BAD ∠=∠,求出1()902MDA MAD CDA BAD ∠+∠=∠+∠=︒,根据三角形内角和定理求出AMD ∠,即可判断①;根据角平分线性质求出MC ME =,ME MB =,即可判断④和⑤;由勾股定理求出DC DE =,AB AE =,即可判断③;根据SSS 证DEM DCM ∆≅∆,推出DEM DCM S S =三角形三角形,同理得出AEM ABM S S =三角形三角形,即可判断②. 【详解】解:过M 作ME AD ⊥于E ,DAB ∠与ADC ∠的平分线相交于BC 边上的M 点,12MDE CDA ∴∠=∠,12MAD BAD ∠=∠,//DC AB ,180CDA BAD ∴∠+∠=︒,11()1809022MDA MAD CDA BAD ∴∠+∠=∠+∠=⨯︒=︒,1809090AMD ∴∠=︒-︒=︒,故①正确;DM 平分CDE ∠,90()C MC DC ∠=︒⊥,ME DA ⊥,MC ME ,同理ME MB =,12MC MB ME BC ∴===,故⑤正确;M ∴到AD 的距离等于BC 的一半,故④错误;由勾股定理得:222DC MD MC =-,222DE MD ME =-,又ME MC =,MD MD =,DC DE ∴=,同理AB AE =, AD AE DE AB DC ∴=+=+,故③正确;在DEM ∆和DCM ∆中DE DC DM DM ME MC =⎧⎪=⎨⎪=⎩, ()DEM DCM SSS ∴∆≅∆,DEM DCM S S ∴=三角形三角形同理AEM ABM S S =三角形三角形,12AMD ABCD S S ∴=三角形梯形,故②正确; 故选:C .【点睛】本题考查了角平分线性质,垂直定义,直角梯形,勾股定理,全等三角形的性质和判定等知识点的应用,主要考查学生运用定理进行推理的能力.2.B解析:B【分析】延长AB 交KF 于点O ,延长AC 交GM 于点P ,可得四边形AOLP 是正方形,然后求出正方形的边长,再求出矩形KLMJ 的长与宽,然后根据矩形的面积公式列式计算即可得解.【详解】解:如图,延长AB 交KF 于点O ,延长AC 交GM 于点P ,则四边形OALP 是矩形. 90CBF ∠=︒,90ABC OBF ∴∠+∠=︒,又直角ABC ∆中,90ABC ACB ∠+∠=︒,OBF ACB ∴∠=∠,在OBF ∆和ACB ∆中,BAC BOF ACB OBF BC BF ∠=∠⎧⎪∠=∠⎨⎪=⎩,()OBF ACB AAS ∴∆≅∆,AC OB =∴,同理:ACB PGC ∆≅∆,PC AB ∴=,OA AP ∴=,所以,矩形AOLP 是正方形,边长347AO AB AC =+=+=,所以,3710KL =+=,4711LM =+=,因此,矩形KLMJ 的面积为1011110⨯=,故选B .【点睛】本题考查了勾股定理的证明,作出辅助线构造出正方形是解题的关键.3.C解析:C【分析】将容器侧面展开,建立A 关于上边沿的对称点A’,根据两点之间线段最短可知A’B 的长度为最短路径15,构造直角三角形,依据勾股定理可以求出底面周长的一半,乘以2即为所求.【详解】解:如图,将容器侧面展开,作A 关于EF 的对称点'A ,连接'A B ,则'A B 即为最短距离, 根据题意:'15A B cm =,12412BD AE cm =-+=, 2222'15129A D A B BD ∴-=-'==.所以底面圆的周长为9×2=18cm.故选:C .【点睛】本题考查了平面展开——最短路径问题,将图形展开,利用轴对称的性质和勾股定理进行计算是解题的关键.4.B解析:B【分析】过点A 作AE ⊥AD 交CD 于E ,连接BE ,利用SAS 可证明△BAE ≌△CAD ,利用全等的性质证得∠BED=90°,最后根据勾股定理即可求出BD.【详解】解:如图,过点A 作AE ⊥AD 交CD 于E ,连接BE.∵∠DAE=90°,∠ADE=45°,∴∠ADE=∠AED=45°,∴AE=AD=1,∴在Rt △ADE 中,22112+=∵∠DAE=∠BAC=90°,∴∠DAE+∠EAC=∠BAC+∠EAC ,即∠CAD=∠BAE ,又∵AB=AC,∴△BAE ≌△CAD(SAS),∴CD=BE=3,∠AEB=∠ADC=45°,∴∠BED=90°,∴在Rt △BED 中,()22223211BE DE +=+=故选B.【点睛】本题考查了全等三角形的判定与性质,等腰三角形的判定与性质,勾股定理等知识,作辅助线构造出全等三角形是解题的关键.5.C解析:C【分析】当E 1F 1在直线EE 1上时,,得到AE=14,PE=9,由勾股定理求得AP 的长;当E 1F 1在直线B 2E 1上时,两直角边分别为17和6,再利用勾股定理求AP 的长,两者进行比较即可确定答案【详解】① 当展开方法如图1时,AE=8+6=14cm ,PE=6+3=9cm , 由勾股定理得2222149277AP AE PE cm =+=+=② 当展开方法如图2时,AP 1=8+6+3=17cm ,PP 1=6cm , 由勾股定理得222211176325AP AP PP cm =+=+= ∵277<325 ∴蚂蚁爬行的最短距离是277cm,【点睛】此题考察正方体的展开图及最短路径,注意将正方体沿着不同棱线剪开时得到不同的平面图形,路径结果是不同的6.A 解析:A【分析】 连续使用勾股定理求直角边和斜边,然后再求面积,观察发现规律,即可正确作答.【详解】解:∵△ABC 是边长为1的等腰直角三角形121111222ABC S -∆∴=⨯⨯== , ∴2222AC 112,AD (2)(2)2=+==+=223212212:2122122AACD ADE S S --∆∴====⨯⨯== ∴第n 个等腰直角三角形的面积是22n - ,故答案为A.【点睛】本题的难点是运用勾股定理求直角三角形的直角边,同时观察、发现也是解答本题的关键. 7.A解析:A【分析】作常规辅助线连接CF,由SAS定理可证△CFE和△ADF全等,从而可证∠DFE=90°,DF=EF.所以△DEF是等腰直角三角形;由割补法可知四边形CDFE的面积保持不变;△DEF 是等腰直角三角形DE=2DF,当DF与BC垂直,即DF最小时,DE取最小值42,△CDE最大的面积等于四边形CDEF的面积减去△DEF的最小面积.【详解】连接CF;∵△ABC是等腰直角三角形,∴∠FCB=∠A=45°,CF=AF=FB;∵AD=CE,∴△ADF≌△CEF;∴EF=DF,∠CFE=∠AFD;∵∠AFD+∠CFD=90°,∴∠CFE+∠CFD=∠EFD=90°,∴△EDF是等腰直角三角形.当D. E分别为AC、BC中点时,四边形CDFE是正方形.∵△ADF≌△CEF,∴S△CEF=S△ADF,∴S四边形CEFD=S△AFC.由于△DEF是等腰直角三角形,因此当DE最小时,DF也最小;即当DF⊥AC时,DE最小,此时DF=12BC=4.∴22当△CEF面积最大时,此时△DEF的面积最小.此时S△CEF=S四边形CEFD−S△DEF=S△AFC−S△DEF=16−8=8,则结论正确的是①④⑤.故选A.【点睛】本题考查全等三角形的判定与性质, 等腰直角三角形性质.要证明线段或者角相等,一般证明它们所在三角形全等,如果不存在三角形可作辅助线解决问题.8.B解析:B【解析】根据题意,如图,∠AOB=30°,OA=4,则AB=2,OB=23,所以A(-2,-23),故选B.9.D解析:D【解析】试题解析:当3和52235+34当52253-.故选D .10.D解析:D【分析】设正方形ADOF 的边长为x ,在直角三角形ACB 中,利用勾股定理可建立关于x 的方程,整理方程即可.【详解】解:设正方形ADOF 的边长为x ,由题意得:BE =BD =4,CE =CF =6,∴BC =BE +CE =BD +CF =10,在Rt △ABC 中,AC 2+AB 2=BC 2,即(6+x )2+(x +4)2=102,整理得,x 2+10x ﹣24=0,∴x 2+10x =24,故选:D .【点睛】本题考查了正方形的性质、全等三角形的性质、勾股定理等知识;熟练掌握正方形的性质,由勾股定理得出方程是解题的关键.二、填空题11.3【分析】利用勾股定理求出AC=6,在Rt △ABC 中,∠BAC=30°,得到12BC AB =,再利用勾股定理得到222AC BC AB +=,即可求出AB .【详解】在Rt △ACD 中,CD=AD=∴6=,在Rt △ABC 中,∠BAC=30°, ∴12BC AB =, ∵222AC BC AB +=, ∴22216()2AB AB +=,解得AB=故答案为:【点睛】此题考查勾股定理,直角三角形30度角所对的直角边等于斜边的一半,正确理解勾股定理的三边的数量关系是解题的关键.12.【分析】在ABC 中计算AB ,情况一:作AE CE ⊥于E ,计算AE ,DE ,CE ,可得CD ;情况二:作BE CE ⊥于E ,计算BE ,CE ,DE ,可得CD ;情况三:作DE CE ''⊥,计算,,DF DE CE '',可得CD .【详解】∵90ACB ︒∠=,4,2AC BC ==,∴AB =情况一:当AD AB ==AE CE ⊥于E∴ 1122BC AC AB AE ⋅=⋅,即AE =,5DE =∴CE =∴CD ==情况二:当25BD AB ==时,作BE CE ⊥于E ,∴1122BC AC AB BE ⋅=⋅,即455BE =,1455DE = ∴22255CE BC BE =-= ∴22210CD CE DE =+=情况三:当AD BD =时,作DE CE ''⊥,作BE CE ⊥于E∴1122BC AC AB BE ⋅=⋅, ∴55BE =355CE ∴= ∵ABD △为等腰直角三角形∴152BF DF AB ===∴95DE DF E F DF BE ''=+=+= 25355CE EE CE BF CE ''=-=-==∴2232CD CE E D ''=+=故答案为:1021332【点睛】本题考查了等腰直角三角形的探索,勾股定理的计算等,熟知以上知识是解题的关键. 1333 【分析】 根据等边三角形性质得出AB 1=CB 1=12,∠AB 1B =∠BB 1C =90°,由勾股定理求出BB 1=32,求出△ABC 的面积是34;求出113ABB BCB S S ==B 1B 23,由勾股定理求出BB 2,根据11221ABB BB B AB B S S S =+代入求出B 2B 333=,B 3B 433=B 4B 533=,推出B n ﹣1B n 3. 【详解】解:∵△ABC 是等边三角形,∴BA =AC , ∵BB 1是△ABC 的高,∴AB 1=CB 1=12,∠AB 1B =∠BB 1C =90°, 由勾股定理得:BB 122131()2-=; ∴△ABC 的面积是12×133=; ∴111332ABB BCB SS ==⨯, 312=×1×B 1B 2,B 1B 2=34, 由勾股定理得:BB 2=22333()()244-=, ∵11221ABB BB B AB B SS S =+, ∴233133112422B B =⨯⨯+⨯⨯, B 2B 3=3, B 3B 4=3, B 4B 5=332, …, B n ﹣1B n =3.故答案为:332,32n . 【点睛】 本题考查了等边三角形的性质,勾股定理,三角形的面积等知识点的应用,关键是能根据计算结果得出规律.14.15厘米【分析】要想求得最短路程,首先要画出圆柱的侧面展开图,把A 和C 展开到一个平面内.根据两点之间,线段最短,结合勾股定理即可求出蚂蚁爬行的最短路程.【详解】解:如图,展开圆柱的半个侧面是矩形,∴矩形的长是圆柱的底面周长的一半,即AB =39π=厘米,矩形的宽BC =12厘米. ∴蚂蚁需要爬行最短路程222212915AC BC AB =+=+=厘米.故答案为:15厘米【点睛】求两个不在同一平面内的两点之间的最短距离时,一定要展开到一个平面内,根据两点之间,线段最短.15.125 【分析】 解方程222225,7a b a b +=-=可求得a=4,b=3,故三角形ABC 是直角三角形,在利用三角形的面积转化得到斜边上的高.【详解】解:∵222225,7a b a b +=-=,将两个方程相加得:2232a =,∵a >0,∴a=4代入得:22425b +=,∵b >0,∴b=3,∵a=3,b=4,c=5满足勾股定理逆定理,∴△ABC 是直角三角形,如下图,∠ACB=90°,CD ⊥AB ,1122ABC S AC BC AB CD =⋅⋅=⋅⋅ , 即:1134522CD ⋅⋅=⋅⋅, 解得:CD=125, 故答案为:125. 【点睛】 本题考查求解三角形的高,解题关键是利用三角形的面积进行转化,在同一个三角形中,一个底乘对应高等于另一个底乘对应高.16.10【分析】先根据勾股定理得出a 2+b 2=c 2,利用完全平方公式得到(a +b )2﹣2ab =c 2,再将a +b =35,c =5代入即可求出ab 的值.【详解】解:∵在Rt △ABC 中,直角边的长分别为a ,b ,斜边长c ,∴a 2+b 2=c 2,∴(a +b )2﹣2ab =c 2,∵a +b =35,c =5,∴(35)2﹣2ab =52,∴ab =10.故答案为10.【点睛】本题考查勾股定理以及完全平方公式,灵活运用完全平方公式是解题关键.17.169【解析】解:由于a 、b 、c 都是正方形,所以AC =CD ,∠ACD =90°;∵∠ACB +∠DCE =∠ACB +∠BAC =90°,即∠BAC =∠DCE ,∠ABC =∠CED =90°,AC =CD ,∴△ACB ≌△DCE ,∴AB =CE ,BC =DE ; 在Rt △ABC 中,由勾股定理得:AC 2=AB 2+BC 2=AB 2+DE 2,即S b =S a +S c =22512 =169. 故答案为:169.点睛:此题主要考查对全等三角形和勾股定理的综合运用,结合图形求解,对图形的理解能力要比较强.18.12013【解析】 ∵AB=AC ,AD 是角平分线,∴AD ⊥BC ,BD=CD ,∴B 点,C 点关于AD 对称,如图,过C 作CF ⊥AB 于F ,交AD 于E ,则CF=BE+FF 的最小值,根据勾股定理得,AD=12,利用等面积法得:AB⋅CF=BC⋅AD,∴CF=BC ADAB⋅=101213⨯=12013故答案为120 13.点睛:本题主要考查的是翻折的性质、垂线段最短、勾股定理的应用及三角形面积的等积法.明确当CF⊥AB时,CF有最小值是解题的关键.19.48 5【解析】试题分析:根据等腰三角形的性质和勾股定理可知BC边上的高为8,然后根据三角形的面积法可得111012822BD⨯⨯=⨯⨯,解得BD=485.20.25【分析】如图,作PA∥y轴交X轴于A,PH⊥x轴于H.GM∥y轴交x轴于M,连接PG交x轴于N,先证明△ANP≌△MNG(AAS),再根据勾股定理求出PN的值,即可得到线段PG的长度.【详解】如图,作PA∥y轴交X轴于A,PH⊥x轴于H.GM∥y轴交x轴于M,连接PG交x轴于N.∵P(1,2),G(7.﹣2),∴OA=1,PA=GM=2,OM=7,AM=6,∵PA∥GM,∴∠PAN=∠GMN,∵∠ANP=∠MNG,∴△ANP≌△MNG(AAS),∴AN=MN=3,PN=NG,∵∠PAH=45°,∴PH=AH=2,∴HN=1,∴PN===∴PG=2PN=.故答案为【点睛】本题考查了全等三角形的综合问题,掌握全等三角形的性质以及判定定理、勾股定理是解题的关键.三、解答题21.(1)证明见解析;(2)5;(3)CD2+CE2=BC2,证明见解析.【分析】(1)先判断出∠BAE=∠CAD,进而得出△ACD≌△ABE,即可得出结论.(2)先求出∠CDA=12∠ADE=30°,进而求出∠BED=90°,最后用勾股定理即可得出结论.(3)方法1、同(2)的方法即可得出结论;方法2、先判断出CD2+CE2=2(AP2+CP2),再判断出CD2+CE2=2AC2.即可得出结论.【详解】解:∵∠BAC=∠DAE,∴∠BAC+∠CAE=∠DAE+∠CAE,即∠BAE=∠CAD.又∵AB=AC,AD=AE,∴△ACD≌△ABE(SAS),∴CD=BE.(2)如图2,连结BE,∵AD=AE,∠DAE=60°,∴△ADE是等边三角形,∴DE=AD=3,∠ADE=∠AED=60°,∵CD⊥AE,∴∠CDA=12∠ADE=12×60°=30°,∵由(1)得△ACD≌△ABE,∴BE=CD=4,∠BEA=∠CDA=30°,∴∠BED=∠BEA+∠AED=30°+60°=90°,即BE⊥DE,∴BD5.(3)CD2、CE2、BC2之间的数量关系为:CD2+CE2=BC2,理由如下:解法一:如图3,连结BE.∵AD=AE,∠DAE=90°,∴∠D=∠AED=45°,∵由(1)得△ACD≌△ABE,∴BE=CD,∠BEA=∠CDA=45°,∴∠BEC=∠BEA+∠AED=45°+45°=90°,即BE⊥DE,在Rt△BEC中,由勾股定理可知:BC2=BE2+CE2.∴BC2=CD2+CE2.解法二:如图4,过点A作AP⊥DE于点P.∵△ADE为等腰直角三角形,AP⊥DE,∴AP=EP=DP.∵CD2=(CP+PD)2=(CP+AP)2=CP2+2CP•AP+AP2,CE2=(EP﹣CP)2=(AP﹣CP)2=AP2﹣2AP•CP+CP2,∴CD2+CE2=2AP2+2CP2=2(AP2+CP2),∵在Rt△APC中,由勾股定理可知:AC2=AP2+CP2,∴CD2+CE2=2AC2.∵△ABC为等腰直角三角形,由勾股定理可知:∴AB2+AC2=BC2,即2AC2=BC2,∴CD2+CE2=BC2.【点睛】本题是几何变换综合题,主要考查了全等三角形的判定和性质,勾股定理,等边三角形的判定和性质,等腰直角三角形的判定和性质,解(1)的关键是判断出∠BAE=∠CAD,解(2)(3)的关键是判断出BE⊥DE,是一道中等难度的中考常考题.22.(1)BF长为6;(2)CE长为3,详细过程见解析.【分析】(1)由矩形的性质及翻折可知,∠B=90°,AF=AD=10,且AB=8,在Rt△ABF中,可由勾股定理求出BF的长;(2)设CE=x,根据翻折可知,EF=DE=8-x,由(1)可知BF=6,则CF=4,在Rt△CEF中,可由勾股定理求出CE的长.【详解】解:(1)∵四边形ABCD为矩形,∴∠B=90°,且AD=BC=10,又∵AFE是由ADE沿AE翻折得到的,∴AF=AD=10,又∵AB=8,在Rt△ABF中,由勾股定理得:,故BF的长为6.(2)设CE=x ,∵四边形ABCD为矩形,∴CD=AB=8,∠C=90°,DE=CD-CE=8-x,又∵△AFE是由△ADE沿AE翻折得到的,∴FE=DE=8-x,由(1)知:BF=6,故CF=BC-BF=10-6=4,CF+CE=EF,在Rt△CEF中,由勾股定理得:222∴2224+x=(8-x),解得:x=3,故CE的长为3.【点睛】本题考查了折叠的性质:折叠是一种对称变换,折叠前后图形的形状和大小不变,位置变化,对应边和对应角相等,利用勾股定理求解是本题的关键.23.(1)a=8,b=15,c=17;(2)能,60【分析】(1)根据算术平方根,绝对值,平方的非负性即可求出a、b、c的值;(2)根据勾股定理的逆定理即可求出此三角形是直角三角形,由此得到面积和周长【详解】解:(1)∵a,b,c|c﹣17|+b2﹣30b+225,2+-c b﹣,||7(15)1∴a﹣8=0,b﹣15=0,c﹣17=0,∴a=8,b=15,c=17;(2)能.∵由(1)知a=8,b=15,c=17,∴82+152=172.∴a2+c2=b2,∴此三角形是直角三角形,∴三角形的周长=8+15+17=40;三角形的面积=12×8×15=60.【点睛】此题考查算术平方根,绝对值,平方的非负性,勾股定理的逆定理判断三角形的形状.24.(1)∠CBD=20°;(2)AD=164;(3) △BCD的周长为m+2【分析】(1)根据折叠可得∠1=∠A=35°,根据三角形内角和定理可以计算出∠ABC=55°,进而得到∠CBD=20°;(2)根据折叠可得AD=DB,设CD=x,则AD=BD=8-x,再在Rt△CDB中利用勾股定理可得x2+62=(8-x)2,再解方程可得x的值,进而得到AD的长;(3)根据三角形ACB的面积可得11 2AC CB m=+,进而得到AC•BC=2m+2,再在Rt△CAB中,CA2+CB2=BA2,再把左边配成完全平方可得CA+CB的长,进而得到△BCD的周长.【详解】(1)∵把△ABC沿直线DE折叠,使△ADE与△BDE重合,∴∠1=∠A=35°,∵∠C=90°,∴∠ABC=180°-90°-35°=55°,∴∠2=55°-35°=20°,即∠CBD=20°;(2)∵把△ABC沿直线DE折叠,使△ADE与△BDE重合,∴AD=DB,设CD=x,则AD=BD=8-x,在Rt△CDB中,CD2+CB2=BD2,x2+62=(8-x)2,解得:x= 74,AD=8-74=164;(3)∵△ABC 的面积为m+1, ∴12AC •BC=m+1, ∴AC •BC=2m+2, ∵在Rt △CAB 中,CA 2+CB 2=BA 2,∴CA 2+CB 2+2AC •BC=BA 2+2AC •BC ,∴(CA+BC )2=m 2+4m+4=(m+2)2,∴CA+CB=m+2,∵AD=DB ,∴CD+DB+BC=m+2.即△BCD 的周长为m+2.【点睛】此题主要考查了图形的翻折变换,以及勾股定理,完全平方公式,关键是掌握勾股定理,以及折叠后哪些是对应角和对应线段.25.(1)①详见解析;(2)222222CD n n =+-(1n >);(2)2AD BD CD -=,理由详见解析.【分析】(1)①根据勾股定理的逆定理进行判断;②过点C 作CE ⊥CD 交DB 的延长线于点E ,利用同角的余角相等证明∠3=∠4,∠1=∠E ,进而证明△ACD ≌△BCE ,求出DE 的长,再利用勾股定理求解即可.(2)过点C 作CF ⊥CD 交BD 的延长线于点F ,先证∠ACD=∠BCF ,再证△ACD ≌△BCF ,得CD=CF ,AD=BF ,再利用勾股定理求解即可.【详解】(1)①∵()()()22222222212214AD BD n n n n n +=-+=-++()()22222211n n n =++=+ 又∵()2221AB n =+∴222AD BD AB +=∴△ABD 是直角三角形②如图①,过点C 作CE ⊥CD 交DB 的延长线于点E ,∵∠3+∠BCD=∠ACD=90°,∠4+∠BCD=∠DCE=90°∴∠3=∠4由①知△ABD 是直角三角形∴1290∠+∠=︒又∵290E ∠+∠=︒∴∠1=∠E在ACD ∆和BCE ∆中,A 34E AC BC ∠=∠⎧⎪∠=∠⎨⎪=⎩∴△ACD ≌△BCE∴CD CE =,AD BE =∴221DE BD BE BD AD n n =+=+=+-又∵CD CE =,90DCE ∠=︒ ∴由勾股定理得222DE CD DECD =+=∴22CD =2222n n =+-(1n >) (2)AD 、BD 、CD 的数量关系为:2AD BD CD -=,理由如下:如图②,过点C 作CF ⊥CD 交BD 的延长线于点F ,∵∠ACD=90°+∠5,∠BCF=90°+∠5∴∠ACD=∠BCF∵BD ⊥AD∴∠ADB=90°∴∠6+∠7=90°∵∠ACB=90°∴∠9=∠8=90°又∵∠6=∠8∴∠7=∠9ACD ∆和BCF ∆中97AC BCACD BCF ∠=∠⎧⎪=⎨⎪∠=∠⎩∴△ACD ≌△BCF∴CD=CF ,AD=BF又∵∠DCF=90°∴由勾股定理得DF ==又DF=BF-BD=AD-BD∴AD BD -=【点睛】本题考查的是三角形全等、勾股定理及其逆定理,掌握三角形全等的判定方法及勾股定理及其逆定理是关键.26.(1)13,5;(2)等腰直角三角形,理由见解析;(3)当P 的坐标为(1304,)时,PD+PF【解析】【分析】(1)根据阅读材料中A 和B 的坐标,利用两点间的距离公式即可得出答案;由于M 、N 在平行于y 轴的直线上,根据M 和N 的纵坐标利用公式1|y -2|y 即可求出MN 的距离; (2)由三个顶点的坐标分别求出DE ,DF ,EF 的长,即可判定此三角形的形状;(3)作F 关于x 轴的对称点F',连接DF',与x 轴交于点P ,此时PD PF +最短,最短距离为DF',P 的坐标即为直线DF'与x 轴的交点.【详解】解:(1)∵()2, 4A 、()3, 8B --∴AB 13==故A 、B 两点间的距离为:13.∵M 、N 在平行于y 轴的直线上,点M 的纵坐标为4,点N 的纵坐标为-1∴()MN 415=--=故M 、N 两点的距离为5.(2)∵()1, 6D 、()3, 3E -、()4, 2F∴DE 5==DF 5==EF ==∴DE=DF ,222DE DF EF +=∴△DEF 为等腰直角三角形(3)作F 关于x 轴的对称点F',连接DF',与x 轴交于点P ,此时DP+PF 最短设直线DF'的解析式为y=kx+b将D (1,6),F'(4,-2)代入得:642k b k b +=⎧⎨+=-⎩解得83263k b ⎧=-⎪⎪⎨⎪=⎪⎩∴直线DF'的解析式为:826y 33x =-+ 令y=0,解得13x 4=,即P 的坐标为(1304,) ∵PF=PF'∴PD+PF=PD+ PF'= DF'()()22146273-++=故当P 的坐标为(1304,)时,PD+PF 73 【点睛】本题属于一次函数综合题,待定系数法求一次函数解析式以及一次函数与x 轴的交点,弄清楚材料中的距离公式是解决本题的关键.27.(1)1(491)2-;1(491)2+;(2)21(1)2n -;21(1)2n +;(3)21m -;21m +;(4)10;26; 12;35;【解析】【分析】(1)依据规律可得,如果勾为7,则股24=1(491)2-, 弦25=1(491)2+;(2)如果勾用n (n≥3,且n 为奇数)表示时,则股=21(1)2n -, 弦=21(1)2n +; (3)根据规律可得,如果a ,b ,c 是符合同样规律的一组勾股数,a=2m (m 表示大于1的整数),则b=m 2-1,c=m 2+1;(4)依据柏拉图公式,若m 2-1=24,则m=5,2m=10,m 2+1=26;若m 2+1=37,则m=6,2m=12,m 2-1=35.【详解】解:(1)依据规律可得,如果勾为7,则股24=1(491)2-, 弦25=1(491)2+; 故答案为:1(491)2-;1(491)2+; (2)如果勾用n (n≥3,且n 为奇数)表示时,则股=21(1)2n -, 弦=21(1)2n +; 故答案为:21(1)2n -;21(1)2n +; (3)根据规律可得,如果a ,b ,c 是符合同样规律的一组勾股数,a=2m (m 表示大于1的整数),则b=m 2-1,c=m 2+1;故答案为:m 2-1,m 2+1;(4)依据柏拉图公式,若m 2-1=24,则m=5,2m=10,m 2+1=26;若m 2+1=37,则m=6,2m=12,m 2-1=35;故答案为:10、26;12、35.【点睛】此题主要考查了勾股数的定义,及勾股定理的逆定理:已知△ABC 的三边满足a 2+b 2=c 2,则△ABC 是直角三角形.28.(1),CM ME CM EM =⊥;(2)见解析;(3)CM =【解析】【分析】(1)证明ΔFME ≌ΔAMH ,得到HM=EM ,根据等腰直角三角形的性质可得结论. (2)根据正方形的性质得到点A 、E 、C 在同一条直线上,利用直角三角形斜边上的中线等于斜边的一半可知. (3)如图3中,连接EC ,EM ,由(1)(2)可知,△CME 是等腰直角三角形,利用等腰直角三角形的性质解决问题即可.【详解】解:(1)结论:CM =ME ,CM ⊥EM .理由:∵AD ∥EF ,AD ∥BC ,∴BC ∥EF ,∴∠EFM =∠HBM ,在△FME 和△BMH 中,EFM MBH FM BMFME BMH ∠=∠⎧⎪=⎨⎪∠=∠⎩∴△FME ≌△BMH (ASA ),∴HM =EM ,EF =BH ,∵CD =BC ,∴CE =CH ,∵∠HCE =90°,HM =EM ,∴CM =ME ,CM ⊥EM .(2)如图2,连接BD ,∵四边形ABCD 和四边形EDGF 是正方形,∴45,45FDE CBD ︒︒∠=∠=∴点B E D 、、在同一条直线上,∵90,90BCF BEF ︒︒∠=∠=,M 为BF 的中点, ∴12CM BF =,12EM BF =,∴CM ME =, ∵45EFD ∠=︒,∴135EFC ∠=︒,∵CM FM ME ==,∴,MCF MFC MFE MEF ∠=∠∠=∠∴135MCF MEF ∠+∠=︒,∴36013513590CME ∠=︒-︒-︒=︒,∴CM ME ⊥.(3)如图3中,连接EC ,EM .由(1)(2)可知,△CME 是等腰直角三角形, ∵22EC 26210=+=∴CM =EM =25【点睛】本题考查的是正方形的性质、全等三角形的判定定理和性质定理以及直角三角形的性质等知识,解题的关键是学会添加常用辅助线,构造全等三角形解决问题,属于中考压轴题.29.(1)见解析(2) 见解析(3) 见解析(4)5【解析】【分析】(1)由D 是AB 中点知AD =BD ,结合DG =DF ,∠ADG =∠BDF 即可得证;(2)连接EG .根据垂直平分线的判定定理即可证明.(3)由△ADG ≌△BDF ,推出∠GAB =∠B ,推出∠EAG =90°,可得EF 2=(8-x )2+y 2,EG 2=x 2+(6-y )2,根据EF =EG ,可得(8-x )2+y 2=x 2+(6-y )2,由此即可解决问题. (4)由EF =22EC CF +=2247(8)()33x x -+-=225(4)259x -+知x =4时,取得最小值.【详解】解:(1)∵D 是边AB 的中点,∴AD =BD ,在△ADG 和△BDF 中, ∵AD BD ADG BDF DG DF =⎧⎪∠=∠⎨⎪=⎩,∴△ADG ≌△BDF (SAS );(2)如图,连接EG .∵DG =FD ,DF ⊥DE ,∴DE 垂直平分FG .∴EF =EG .(3)∵D 是AB 中点,∴AD =DB ,∵△ADG ≌△BDF ,。
八年级数学第二学期第一次质量检测测试卷含解析一、选择题1.下列运算正确的是( )A 2=B 5=-C 2=D 012= 2.下列各式计算正确的是( )A B .C =3 D . 3.下列计算正确的是( )A =B .12=C 3=D .14= 4.下列根式中,最简二次根式是( )A B C D 5.下列各式计算正确的是( )A =B =C .23=D 2=-6.下列计算正确的是( )A 3=±B 0-=C =D 5=-7.)5=( )A .5+B .5+C .5+D .8.下列各式中正确的是( )A 6B 2=-C 4D .2(=79.a b =--则( )A .0a b +=B .0a b -=C .0ab =D .220a b += 10.下列二次根式中,是最简二次根式的是( ).A .BC D11.给出下列化简①(2=2=2=12=,其中正确的是( ) A .①②③④B .①②③C .①②D .③④12.使式子2124x x ++-成立的x 的取值范围是( ) A .x≥﹣2 B .x >﹣2 C .x >﹣2,且x ≠2 D .x≥﹣2,且x ≠2二、填空题13.对于任何实数a ,可用[a]表示不超过a 的最大整数,如[4]=4,[3]=1.现对72进行如下操作:72 [72]=8 [8]=2 2]=1,类似地,只需进行3次操作后变为1的所有正整数中,最大的是________.14.实数a 、b 22a -4a 436-12a a 10-b 4-b-2++=+,则22a b +的最大值为_________.15.3x x=,且01x <<2691x x x =+-______. 16.11882. 17.把1a- 18.若a 、b 都是有理数,且2222480a ab b a -+++=ab . 19.若实数23a =-,则代数式244a a -+的值为___. 20.如果0xy >2xy -.三、解答题21.阅读下面问题: 阅读理解:2221(21)(21)==++-1; 323232(32)(32)-==++- (55252(52)(52)==-++-. 应用计算:(176+ (211n n ++(n 为正整数)的值.归纳拓展:(3122334989999100++++++【答案】应用计算:(12 归纳拓展:(3)9.【分析】由阅读部分分析发现式子的分子、分母都乘以分母的有理化因式,为此(1分母利用平方差公式计算即可,(2(3)根据分母的特点各项分子分母乘以各分母的有理化因式,分母用公式计算化去分母,分子合并同类项二次根式即可.【详解】(1(2(3+98+,(+98+,++99-,=10-1,=9.【点睛】本题考查二次根式化简求值问题,关键找到各分母的有理化因式,用平方差公式化去分母.22.已知x=2,求代数式(7+x 2+(2)x【答案】2【解析】试题分析:先求出x 2,然后代入代数式,根据乘法公式和二次根式的性质,进行计算即可.试题解析:x 2=(2)2=7﹣则原式=(7﹣+(2=49﹣23.先化简,再求值:a+212a a-+,其中a=1007.如图是小亮和小芳的解答过程.(1)的解法是错误的;(2)错误的原因在于未能正确地运用二次根式的性质:;(3)先化简,再求值:269a a-+a=﹣2018.【答案】(1)小亮(22a(a<0)(3)2013.【解析】试题分析:(12a,判断出小亮的计算是错误的;(22a的应用错误;(3)先根据配方法把被开方数配成完全平方,然后根据正确的性质化简,再代入计算即可.试题解析:(1)小亮(22a(a<0)(3)原式=()23a-a+2(3-a)=6-a=6-(-2007)=2013.24.计算(11132528+(2251694y y y+-(331)a ba b÷(4)(23+5235【答案】(1)32272y3)34;(4)7.【分析】(1)先把各二次根式化为最简二次根式,然后合并即可;(2)先把各二次根式化为最简二次根式,然后合并即可;(3)根据二次根式的乘除法则运算;(4)利用平方差公式计算;【详解】(111 32528+52322==;(2==;(3)2b÷=4=;(4)((22=-=7【点睛】本题考查了二次根式的混合运算:先把各二次根式化为最简二次根式,再进行二次根式的乘除运算,然后合并同类二次根式.也考查了平方差公式.25.计算:(1)0 1 2⎛⎫ ⎪⎝⎭(2)(4【答案】(1)-5;(2)9【分析】(1)第一项利用算术平方根的定义计算,后一项利用零指数幂法则计算,即可得到结果;(2)利用平方差公式计算即可.【详解】(1)0 1 2⎛⎫ ⎪⎝⎭41 =--,5=-;(2)(4 167 =-【点睛】本题考查了二次根式的混合运算以及零指数幂,熟练掌握平方差公式是解题的关键.26.计算下列各式:(1;(2【答案】(12;(2)【分析】先根据二次根式的性质化简,再合并同类二次根式即可.【详解】(1)原式2=-2=;(2)原式==.【点睛】本题考查了二次根式的加减,熟练掌握性质是解答本题的关键(0)(0)a aaa a≥⎧==⎨-<⎩,)0,0a b=≥≥=(a≥0,b>0). 27.(1)已知a2+b2=6,ab=1,求a﹣b的值;(2)已知b=,求a2+b2的值.【答案】(1)±2;(2)2.【分析】(1)先根据完全平方公式进行变形,再代入求出即可;(2)先分母有理化,再根据完全平方公式和平方差公式即可求解.【详解】(1)由a2+b2=6,ab=1,得a2+b2-2ab=4,(a-b)2=4,(2)12a ===,12b ===, 2222()22312a b a b ab +=+-=-=-=⎝⎭ 【点睛】本题考查了分母有理化、完全平方公式的应用,能灵活运用公式进行变形是解此题的关键.28.计算:(1 ;(2)))213【答案】(1)2)1-.【分析】(1)根据二次根式的混合运算法则可以算得答案.(2)结合整式的乘法公式和二次根式的运算法则计算.【详解】(1)原式==(2)原式=212---=1-.【点睛】本题考查二次根式的运算,熟练掌握二次根式的意义、性质和运算法则是解题关键.29.已知长方形的长a =b =. (1)求长方形的周长;(2)求与长方形等面积的正方形的周长,并比较其与长方形周长的大小关系.【答案】(1)2)长方形的周长大.【解析】试题分析:(1)代入周长计算公式解决问题;(2)求得长方形的面积,开方得出正方形的边长,进一步求得周长比较即可. 试题解析:(1)()11222223a b ⎛+=⨯=⨯⨯⨯=⨯= ⎝∴长方形的周长为 .(2)11 4.23=⨯⨯=正方形的面积也为4. 2.=周长为:428.⨯=8.>∴长方形的周长大于正方形的周长.30.先阅读下面的解题过程,然后再解答.a ,b ,使a b m +=,ab n =,即22m +==0)a b ==±>.这里7m =,12n =,由于437+=,4312⨯=,所以22+==,2===..【答案】见解析【分析】应先找到哪两个数的和为13,积为42.再判断是选择加法,还是减法.【详解】根据题意,可知13m =,42n =,由于7613+=,7642⨯=,所以2213+=,====【点睛】此题考查二次根式的性质与化简,解题关键在于求得13m =,42n =.【参考答案】***试卷处理标记,请不要删除一、选择题1.C解析:C【分析】由二次根式的性质,二次根式的混合运算,分别进行计算,即可得到答案.【详解】解:A A错误;=,故B错误;B5C2==,故C正确;D01213=+=,故D错误;故选:C.【点睛】本题考查了二次根式的性质,二次根式的混合运算,立方根,零指数幂,解题的关键是熟练掌握运算法则进行解题.2.C解析:C【分析】根据二次根式的化简进行选择即可.【详解】AB、C,故本选项正确;D、=18,故本选项错误;故选:C.【点睛】本题考查了二次根式的混合运算,掌握二次根式的化简是解题的关键.3.B解析:B【分析】根据各个选项中的式子,可以计算出正确的结果,从而可以解答本题.【详解】A不符合题意;∵12=,故选项B符合题意;C不符合题意;∵=D不符合题意;故选:B.【点睛】本题考查二次根式的混合运算,解答本题的关键是明确二次根式混合运算的计算方法.4.C解析:C【分析】根据最简二次根式的定义,可得答案.【详解】A、被开方数含分母,故选项A不符合题意;B、被开方数是小数,故选项B不符合题意;C、被开方数不含开的尽的因数,被开方数不含分母,故C符合题意;D、被开方数含开得尽的因数,故D错误不符合题意;故选:C.【点睛】本题考查了最简二次根式,被开方数不含开的尽的因数或因式,被开方数不含分母.5.C解析:C【分析】根据各个选项中的式子,可以计算出正确的结果,从而可以解答本题.【详解】2,故选项A错误;=B错误;C. 23=,故选项C正确;2=,故选项D错误;故选C.【点睛】本题考查二次根式的混合运算,解答本题的关键是明确二次根式混合运算的计算方法.6.B解析:B【分析】直接利用二次根式的性质化简得出答案.3=,故此选项错误;=,正确;D. 5=,故此选项错误;故选:B【点睛】此题主要考查了二次根式的加减,正确掌握二次根式的性质是解题关键.7.B解析:B【分析】根据乘法分配律可以解答本题.【详解】)5=5+故选:B.【点睛】本题考查二次根式的混合运算,解答本题的关键是明确二次根式混合运算的计算方法.8.D解析:D【分析】直接利用二次根式的性质分别化简得出答案.【详解】解:A,故A错误;B12=,故B错误;C=C错误;D、2(=7,故D正确;故选:D.【点睛】此题主要考查了二次根式的乘除,正确化简二次根式是解题关键.9.C解析:C【分析】直接利用二次根式的性质,将已知等式左边化简,可以得到a与b中至少有一个为0,进而分析得出答案即可.=--,解:∵a b∴a-b=-a-b,或b-a=-a-bab=.∴a= -a,或b=-b, ∴a=0,或b=0, ∴ab=0, ∴0故选:C.【点睛】本题考查了二次根式的性质与化简,正确掌握二次根式的性质是解题的关键.10.A解析:A【详解】根据最简二次根式的意义,可知=.=22故选A.11.C解析:C【分析】根据二次根式的性质逐一进行计算即可求出答案.【详解】①原式=2,故①正确;②原式=2,故②正确;③原式==④原式==,故④错误,故选C.【点睛】本题考查二次根式的性质和化简,熟练掌握二次根式的性质是解题的关键.12.C解析:C【分析】根据分式和二次根式有意义的条件(分式的分母不为零,二次根式的被开方数为非负数)即可得到结果.【详解】≠,解:由题意得:2x-40x∴≠±,2x+≥,又∵20∴x≥-2.∴x 的取值范围是:x>-2且2x ≠.故选C.【点睛】本题考查了分式和二次根式有意义的条件,解不等式,是基础题.二、填空题13.255【解析】解:∵[]=1,[]=3,[]=15,所以只需进行3次操作后变为1的所有正整数中,最大的是255.故答案为255.点睛:本题考查了估算无理数的大小的应用,主要考查学生的阅读能力和 解析:255【解析】解:]=1,=3,=15,所以只需进行3次操作后变为1的所有正整数中,最大的是255.故答案为255.点睛:本题考查了估算无理数的大小的应用,主要考查学生的阅读能力和逆推思维能力.14.【分析】首先化简,可得|a-2|+|a-6|+|b+4|+|b-2|=10,然后根据|a-2|+|a-6|≥4,|b+4|+|b-2|≥6,判断出a ,b 的取值范围,即可求出的最大值.【详解】解析:【分析】10-b 4-b-2=+,可得|a-2|+|a-6|+|b+4|+|b-2|=10,然后根据|a-2|+|a-6|≥4,|b+4|+|b-2|≥6,判断出a ,b 的取值范围,即可求出22a b +的最大值.【详解】10-b 4-b-2=+,1042b b =-+--, ∴261042a a b b -+-=-+--, ∴264210a a b b -+-+++-=,∵264a a -+-≥,426b b ++-≥,∴ 264a a -+-=,42=6b b ++-,∴2≤a≤6,-4≤b≤2,∴22a b +的最大值为()226452+-=,故答案为52.【点睛】本题考查了二次根式的性质与化简,绝对值的意义,算术平方根的性质.解题的关键是要明确化简二次根式的步骤:①把被开方数分解因式;②利用算术平方根的性质,把被开方数中能开得尽方的因数(或因式)都开出来;③化简后的二次根式中的被开方数中每一个因数(或因式)的指数都小于根指数2.15..【分析】利用题目给的求出,再把它们相乘得到,再对原式进行变形凑出的形式进行计算.【详解】∵,∴,∴,∴,∵,∴,∴,∴原式.故答案是:.【点睛】本题考查二次根式的运解析:12.【分析】,再把它们相乘得到1xx-,再对原式进行变形凑出1xx-的形式进行计算.【详解】3=,∴221239xx=++==,∴17x x+=,∴212725x x =-+=-=, ∵01x <<,=,∴1x x =-=-∴原式====.. 【点睛】 本题考查二次根式的运算和乘法公式的应用,解题的关键是熟练运用乘法公式对式子进行巧妙运算.16.【解析】【详解】根据二次根式的性质和二次根式的化简,可知==.故答案为.【点睛】此题主要考查了二次根式的运算,解题关键是明确最简二次根式,利用二次根式的性质化简即可.【解析】【详解】故答案为2. 【点睛】此题主要考查了二次根式的运算,解题关键是明确最简二次根式,利用二次根式的性质化简即可.17.﹣【解析】解:通过有意义可以知道≤0,≤0,所以=﹣=﹣.故答案为:.点睛:此题主要考查了二次根式的性质应用,正确判断二次根式的整体符号是解题关键.解析:【解析】解:通过a≤0,,所以故答案为:点睛:此题主要考查了二次根式的性质应用,正确判断二次根式的整体符号是解题关键.18.【分析】先将原等式两边同时乘2,然后将左侧配方,然后利用平方的非负性即可求出a 和b的值,然后代入即可.【详解】解:∵∴∴∴∵∴解得:a=-4,b=-2∴=故答案为:.【点睛解析:【分析】先将原等式两边同时乘2,然后将左侧配方,然后利用平方的非负性即可求出a和b的值,然后代入即可.【详解】解:∵2222480a ab b a -+++=∴222448160a ab b a -+++=∴()()222448160a ab ba a -+++=+ ∴()()22240ab a +-+=∵()()2220,40a b a +-≥≥∴20,40a b a +-==解得:a=-4,b=-2=故答案为:【点睛】此题考查的是配方法、非负性的应用和化简二次根式,掌握完全平方公式、平方的非负性和二次根式的乘法公式是解决此题的关键.19.3【解析】∵ =,∴=(a-2)2==3,故答案为3.解析:3【解析】∵a =∴244a a -+=(a-2)2=()222+=3, 故答案为3.20.【分析】由,且,即知,,据此根据二次根式的性质化简可得.【详解】∵,且,即,∴,,∴,故答案为:. 【点睛】本题主要考查了二次根式的性质与化简,熟练掌握二次根式的性质是解题的关键.解析:-【分析】由0xy >,且20xy -≥,即•0y xy -≥知0x <,0y <,据此根据二次根式的性质化简可得.【详解】∵0xy >,且20xy -≥,即•0y xy -≥,∴0x <,0y <,==-故答案为:-【点睛】本题主要考查了二次根式的性质与化简,熟练掌握二次根式的性质是解题的关键.三、解答题21.无22.无23.无24.无25.无26.无27.无28.无29.无30.无。
八年级数学第二学期 第一次质量检测测试卷及答案一、选择题1.下列计算正确的是( )A =B =C 26D 4=2.下列运算正确的是( )A 2=B 5=-C 2=D 012=3.若01x <<=( ). A .2x B .2x- C .2x - D .2x4.下列运算正确的是( )A =B =C .3=D 2=5.x 的取值范围是( )A .x≥2020B .x≤2020C .x> 2020D .x< 2020 6.下列运算正确的是( )A .32-=﹣6B 12-C =±2D .=7.如果a ,那么a 的取值范围是( )A .a 0=B .a 1=C .a 1≤D .a=0a=1或 8.下列计算正确的是( )A =B =C 6=-D 1= 9.下列说法中正确的是( )A ±5B .两个无理数的和仍是无理数C .-3没有立方根.D . 10.下列运算一定正确的是( )A a =B =C .222()a b a b ⋅=⋅D ()0n a m=≥ 11.古希腊几何学家海伦和我国宋代数学家秦九韶都曾提出利用三角形的三边求面积的公式,称为海伦﹣秦九韶公式:如果一个三角形的三边长分别是a ,b ,c ,记2a b c p ++=,那么三角形的面积为()()()S p p a p b p c =---如图,在ABC ∆中,A ∠,B ,C ∠所对的边分别记为a ,b ,c ,若5a =,6b =,7c =,则ABC ∆的面积为( )A .66B .3C .18D .19212.3x -在实数范围内有意义,则x 的取值范围是( )A .x >0B .x >3C .x ≥3D .x ≤3二、填空题13.若m 20161-m 3﹣m 2﹣2017m +2015=_____. 14.化简并计算:()()()()()()()...112231920x x x x x x x x +=+++++++________.(结果中分母不含根式)15.已知函数1x f xx ,那么21f _____. 16.14(1)(1)(2)(8)(9)x x x x x x +⋅⋅⋅=+++++的解是______. 17.若实数x ,y ,m 满足等式 ()23532322x y m x y m x y x y +--+-=+---m+4的算术平方根为________.18.20n n 的最小值为___19.观察分析下列数据:0,36,-3,231532的规律得到第10个数据应是__________.20.28n n 为________.三、解答题21.先化简,再求值:24211326x x x x -+⎛⎫-÷ ⎪++⎝⎭,其中21x =. 2.【分析】根据分式的运算法则进行化简,再代入求解.【详解】原式=221(1)12(3)232(3)3(1)1 x x x xx x x x x---+⎛⎫⎛⎫÷=⋅=⎪ ⎪+++--⎝⎭⎝⎭.将1x==【点睛】此题主要考查分式的运算,解题的关键是熟知分式的运算法则.22.小明在解决问题:已知2a2﹣8a+1的值,他是这样分析与解的:∵=2∴a﹣2=∴(a﹣2)2=3,a2﹣4a+4=3∴a2﹣4a=﹣1∴2a2﹣8a+1=2(a2﹣4a)+1=2×(﹣1)+1=﹣1请你根据小明的分析过程,解决如下问题:(1(2)若,求4a2﹣8a+1的值.【答案】(1)9;(2)5.【解析】试题分析:(1)此式必须在把分母有理化后才能实现化简,即各分式分子分母同乘以一个因式,使得1===.(2)先对a1,若就接着代入求解,计算量偏大.模仿小明做法,可先计算2(1)a-的值,就能较为简单地算出结果;也可对这个二次三项式进行配方,再代入求值.后两种方法都比直接代入计算量小很多.解:(1)原式=1)+++⋯(2)∵1a===,解法一:∵22(1)11)2a-=-=,∴2212a a -+= ,即221a a -=∴原式=24(2)14115a a -+=⨯+=解法二∴ 原式=24(211)1a a -+-+24(1)3a =--211)3=--4235=⨯-=点睛:(1得22=-=-a b ,去掉根号,实现分母有理化.(2)当已知量为根式时,求这类二次三项式的值,直接代入求值,计算量偏大,若能巧妙利用完全平方公式或者配方法,计算要简便得多.23.先化简,再求值:2222212⎛⎫----÷ ⎪-+⎝⎭x y x y x x x xy y,其中x y ==. 【答案】原式x y x-=-,把x y ==代入得,原式1=-. 【详解】试题分析:先将括号里面进行通分,再将能分解因式的分解因式,约分化简即可. 试题解析: 2222212⎛⎫----÷ ⎪-+⎝⎭x y x y x x x xy y ()()()222=x y x y x x x x x x y x y -⎛⎫---⋅ ⎪+-⎝⎭ =y x x y x x y---⋅+ x y x-=-把x y ==代入得:原式1==-+考点:分式的化简求值.24.在一个边长为(cm 的正方形的内部挖去一个长为()cm ,cm 的矩形,求剩余部分图形的面积.【答案】【解析】试题分析:用大正方形的面积减去长方形的面积即可求出剩余部分的面积.试题解析:剩余部分的面积为:(2﹣()=()﹣(﹣)=(cm2).考点:二次根式的应用25.一样的式子,其实我====,1===;以上这种化简的步骤叫做分母有理化还可以用以下方法化简:221111===-=(12)化简:2n+++【答案】(1-2.【解析】试题分析:(12看出5-3,根据平方差公式分解因式,最后进进约分即可.(2)先每一个二次根式分母有理化,再分母不变,分子相加,最后合并即可.试题解析:(1)=====(2)原式2n+++=12.考点:分母有理化.26.计算:(1(2|a﹣1|,其中1<a【答案】(1)1;(2)1【分析】(1)根据二次根式的乘法法则计算;(2)由二次根式的非负性,a的取值范围进行化简.【详解】解:(1-1=2-1=1(2)∵1<a,a﹣1=2﹣a+a﹣1=1.【点睛】本题考查二次根式的性质、二次根式的乘法法则,主要检验学生的计算能力.27.计算(1))(12112-⨯--⎝⎭(2)已知:11,22x y==,求22x xy y++的值.【答案】(1)28-;(2)17.【分析】(1)先利用完全平方公式和平方差公式计算二次根式的乘法、负指数幂运算,再计算二次根式的加减法即可得;(2)先求出x y+和xy的值,再利用完全平方公式进行化简求值即可得.【详解】(1)原式()((221312⎡⎤=⨯+--⎢⎥⎣⎦,(()1475452=⨯+---230=+28=-;(2)(1119,22x y==,1122x y ∴+=+=, ()11119112224xy =⨯=⨯-=, 则()222x xy y x y xy ++=+-, 22=-,192=-,17=.【点睛】本题考查了二次根式的混合运算、完全平方公式和平方差公式等知识点,熟练掌握二次根式的运算法则是解题关键.28.(1|5-+;(2)已知实数a 、b 、c 满足|3|a +=,求2(b a +的值.【答案】(1)5;(2)4【分析】(1)先利用二次根式的乘法法则和绝对值的意义计算,再进行回头运算即可;(2)先根据二次根式有意义的条件确定b 的值,再根据非负数的和的意义确定a ,c 的值,然后再计算代数式的值即可.【详解】解:(15-+5)=+5=+5=(2)由题意可知:5050b b -≥⎧⎨-≥⎩, 解得5b =由此可化简原式得,30a +=30a ∴+=,20c -=3a ∴=-,2c =22((534b a ∴+=--=【点睛】可不是考查了二次根式的混合运算以及二次根式的化简求值,熟练掌握运算法则和运算顺序是解答此题的关键.29.计算(1(2)21)-【答案】(1)4;(2)3+【分析】(1)先把各根式化为最简二次根式,再去括号,合并同类项即可;(2)利用平方差公式和完全平方公式计算即可.【详解】解:(1)解:原式=4=+4=-(2)解:原式()22161=---63=-+3=+【点睛】本题考查了二次根式的混合运算,注意先化简,再进一步利用计算公式和计算方法计算.30.计算:(1)13⎛+-⨯ ⎝⎭(2))()2221+.【答案】(1)6-;(2)12-【分析】(1)原式化简后,利用二次根式乘法法则计算即可求出值;(2)原式利用平方差公式,以及完全平方公式计算即可求出值.【详解】解:(1)原式=1(233⨯⨯-⨯=-⨯=⨯⎭=6-;(2)原式=3﹣4+12﹣=12﹣.【点睛】此题考查了二次根式的混合运算,以及平方差公式、完全平方公式,熟练掌握运算法则及公式是解本题的关键.【参考答案】***试卷处理标记,请不要删除一、选择题1.B解析:B【解析】解:A;B==;C=;D2===.故选项错误.故选B.2.C解析:C【分析】由二次根式的性质,二次根式的混合运算,分别进行计算,即可得到答案.【详解】解:A A错误;=,故B错误;B5C2==,故C正确;D01213=+=,故D错误;故选:C.【点睛】本题考查了二次根式的性质,二次根式的混合运算,立方根,零指数幂,解题的关键是熟练掌握运算法则进行解题.3.D解析:D【分析】根据二次根式的意义先化简各项,再进行分式的加减运算可得出解.【详解】解:∵0<x <1,∴0<x <1<1x , ∴10x x +>,10x x-<.原式=11x x x x +-- =11x x x x++- =2x .故选D .点睛:本题考查了二次根式的性质和绝对值化简,也考查了分式的加减.4.D解析:D【分析】利用二次根式的加减法对A 、C 进行判断;利用二次根式的性质对B 进行判断;利用二次根式的除法法则对D 进行判断.【详解】解:A A 选项错误;B =B 选项错误;C 、=C 选项错误;D 2=,所以D 选项正确. 故选:D .【点睛】本题考查了二次根式的混合运算:先把二次根式化为最简二次根式,然后进行二次根式的乘除运算,再合并即可.在二次根式的混合运算中,如能结合题目特点,灵活运用二次根式的性质,选择恰当的解题途径,往往能事半功倍.5.A解析:A【分析】先根据二次根式有意义的条件列出关于x 的不等式,求出x 的取值范围即可.【详解】∴x-2020≥0,解得:x ≥2020;故选:A .【点睛】本题考查的是二次根式有意义的条件,熟知二次根式中的被开方数是非负数是解答此题的关键.6.B解析:B【分析】分别根据负整数指数幂的运算、立方根和算术平方根的定义及二次根式的乘法法则逐一计算可得.【详解】A 、3311228-==,此选项计算错误;B 12=-,此选项计算正确;C 2=,此选项计算错误;D 、,此选项计算错误;故选:B .【点睛】本题考查了负整数指数幂、立方根和算术平方根及二次根式的乘法,熟练掌握相关的运算法则是解题的关键.7.C解析:C【解析】试题解析:∵a 1,a∴1-a ≥0,a ≤1,故选C .8.B解析:B【分析】根据二次根式加减运算和二次根式的性质逐项排除即可.【详解】与A 选项错误;===B 选项正确;321=-=,所以C 选项错误;与D 选项错误;故选答案为B .【点睛】本题考查了二次根式加减运算和二次根式的性质,掌握同类二次根式的定义和二次根式的性质是解答本题的关键.9.D解析:D【分析】根据算术平方根和平方根的概念,无理数的概念立方根的概念,和二次根式的概念逐一判断即可.【详解】5=,故A 选项错误;0ππ-+=,故B 选项错误;-3=,故C 选项错误;D 选项正确;故选D .【点睛】本题考查了算术平方根和平方根的区别,无理数、二次根式和立方根的概念,题目较为综合,熟练掌握相关概念是本题的关键.10.C解析:C【分析】直接利用二次根式的性质与化简以及积的乘方运算法则分别计算即可得出答案.【详解】A |a |,故此选项错误;B .,则a ,b 均为非负数,故此选项错误;C .a 2•b 2=(a •b )2,正确;D mn a(a ≥0),故此选项错误. 故选C .【点睛】本题主要考查了二次根式的性质与化简以及积的乘方运算,正确掌握相关运算法则是解题的关键.11.A解析:A【分析】利用阅读材料,先计算出p的值,然后根据海伦公式计算ABC∆的面积;【详解】7a=,5b=,6c=.∴56792p++==,∴ABC∆的面积S==故选A.【点睛】考查了二次根式的应用,解题的关键是代入后正确的运算,难度不大.12.C解析:C【详解】解:根据题意得:x-3≥0解得:x≥3故选C.二、填空题13.4030【分析】利用平方差公式化简m,整理要求的式子,将m的值代入要求的式子计算即可. 【详解】m== m==+1,∴m3-m2-2017m+2015=m2(m﹣1)﹣2017m+2015解析:4030【分析】利用平方差公式化简m,整理要求的式子,将m的值代入要求的式子计算即可.【详解】mm,∴m3-m2-2017m+2015=m2(m﹣1)﹣2017m+2015= )22017)+2015=(2017+2015﹣2=4030.故答案为4030.【点睛】本题主要考查二次根式的化简以及二次根式的混合运算.14.【分析】根据=,将原式进行拆分,然后合并可得出答案.【详解】解:原式==.故答案为.【点睛】此题考查了二次根式的混合运算,解答本题的关键是将原式进行拆分,有一定的技巧性,注意仔细观解析:220400x x x- 【分析】-,将原式进行拆分,然后合并可得出答案. 【详解】解:原式===故答案为220400x x x-. 【点睛】 此题考查了二次根式的混合运算,解答本题的关键是将原式进行拆分,有一定的技巧性,注意仔细观察.15.【分析】根据题意可知,代入原函数即可解答.【详解】因为函数,所以当时, .【点睛】本题主要考查了代数式求值问题,熟练掌握相关知识点以及二次根式的运算是解题关键.解析:2+【分析】根据题意可知1x =,代入原函数即可解答. 【详解】 因为函数1x f xx ,所以当1x =时, 211()2221f x . 【点睛】本题主要考查了代数式求值问题,熟练掌握相关知识点以及二次根式的运算是解题关键. 16.9【解析】【分析】设y=,由可将原方程进行化简,解化简后的方程即可求得答案.【详解】设y=,则原方程变形为,∴,即,∴4y+36-4y=y(y+9),即y2+9y-36=0,∴解析:9【解析】 【分析】设()11111y y y y =-++可将原方程进行化简,解化简后的方程即可求得答案. 【详解】设则原方程变形为 ()()()()()1111112894y y y y y y ++=+++++,∴1111111112894y y y y y y -+-++-=+++++, 即11194y y -=+, ∴4y+36-4y=y(y+9),即y 2+9y-36=0,∴y=-12或y=3, ∵, ∴,∴x=9,故答案为:9.【点睛】本题考查了解无理方程,解题的关键是利用换元法,还要注意()11111y y y y =-++的应用. 17.3【解析】【分析】先根据二次根式有意义的条件得出x+y 的值,再根据非负数的性质列出关于x ,y ,m 的方程组,求出m 的值,进而可得出结论.【详解】依题意得:,解得:x=1,y=1,m =5,∴3解析:3【解析】【分析】先根据二次根式有意义的条件得出x +y 的值,再根据非负数的性质列出关于x ,y ,m 的方程组,求出m 的值,进而可得出结论.【详解】依题意得:35302302x y m x y m x y +--=⎧⎪+-=⎨⎪+=⎩,解得:x =1,y =1,m =5,∴==3.故答案为3.【点睛】 本题考查了二次根式有意义得条件及非负数的性质,熟知二次根式具有非负性是解答此题的关键.18.5【分析】因为是整数,且,则5n 是完全平方数,满足条件的最小正整数n 为5.【详解】∵,且是整数,∴是整数,即5n 是完全平方数;∴n 的最小正整数值为5.故答案为5.【点睛】主要考查了解析:5【分析】,则5n 是完全平方数,满足条件的最小正整数n 为5.【详解】∴是整数,即5n 是完全平方数;∴n 的最小正整数值为5.故答案为5.【点睛】主要考查了二次根式的定义,关键是根据乘除法法则和二次根式有意义的条件.二次根式有意义的条件是被开方数是非负数进行解答.19.6【分析】通过观察可知,根号外的符号以及根号下的被开方数依次是:,,…,可以得到第13个的答案.【详解】解:由题意知道:题目中的数据可以整理为:,,…,∴第13个答案为:.故答案为6.解析:6【分析】 通过观察可知,根号外的符号以及根号下的被开方数依次是:11(1)30,21(1)31,31(1)32…1(1)3(1)n n ,可以得到第13个的答案.【详解】 解:由题意知道:题目中的数据可以整理为:11(1)30,21(1)31,31(1)32…1(1)3(1)n n ,∴第13个答案为:131(1)3(131)6.故答案为6.【点睛】此题主要考查了二次根式的运算以及学生的分析、总结、归纳的能力,规律型的习题一般是从所给的数据和运算方法进行分析,从特殊值的规律上总结出一般性的规律.20.7【分析】把28分解因数,再根据二次根式的定义判断出n的最小值即可.【详解】解:∵28=4×7,4是平方数,∴若是整数,则n的最小正整数值为7,故答案为7.【点睛】本题考查了二次根式解析:7【分析】把28分解因数,再根据二次根式的定义判断出n的最小值即可.【详解】解:∵28=4×7,4是平方数,n的最小正整数值为7,故答案为7.【点睛】本题考查了二次根式的定义,把28分解成平方数与另一个数相乘的形式是解题的关键.三、解答题21.无22.无23.无24.无25.无26.无27.无28.无29.无30.无。
八年级数学第二学期第一次质量检测测试卷及解析一、选择题1.下列计算正确的是( ) A .()222a b a b -=- B .()322x x 8x ÷=+ C .1a a a a÷⋅= D .()244-=-2.下列式子中,属于最简二次根式的是( ) A .9B .13C .20D .73.当0x =时,二次根式42x -的值是( ) A .4B .2C .2D .04.已知实数a 在数轴上的位置如图所示,则化简2||(-1)a a +的结果为( )A .1B .﹣1C .1﹣2aD .2a ﹣1 5.下列式子中,是二次根式的是( )A .2B .32C .xD .x6.若2019202120192020a =⨯-⨯,2202242021b =-⨯,2202020c =+,则a ,b ,c 的大小关系是( ) A .a b c <<B .a c b <<C .b a c <<D .b c a <<7.若化简1682+-x x -1x -的结果为5-2x ,则x 的取值范围是( ) A .为任意实数 B .1≤x≤4C .x≥1D .x≤48.设S=2222222211111111111112233499100++++++++++++,则不大于S 的最大整数[S]等于( ) A .98 B .99C .100D .1019.将1、、、按图2所示的方式排列,若规定(m ,n )表示第m 排从左到右第n 个数,则(4,2)与(21,2)表示的两数的积是( )A .1B .2C .D .610.下列说法中正确的是( )A ±5B .两个无理数的和仍是无理数C .-3没有立方根.D .11.下列运算一定正确的是( )A a =B =C .222()a b a b ⋅=⋅D ()0na m=≥12.的值应在( ) A .1和2之间B .3和4之间C .4和5之间D .5和6之间二、填空题13.使函数212y x x=+有意义的自变量x 的取值范围为_____________ 14.已知112a b +=,求535a ab b a ab b++=-+_____.15.2==________.16.甲容器中装有浓度为a ,乙容器中装有浓度为b ,两个容器都倒出m kg ,把甲容器倒出的果汁混入乙容器,把乙容器倒出的果汁混入甲容器,混合后,两容器内的果汁浓度相同,则m 的值为_________. 17.14+⋅⋅⋅=的解是______.18.若实数x ,y ,m 满足等式()223x y m +-=m+4的算术平方根为________.19.已知4a|2|a -=_____.20.a ,小数部分是b b -=______.三、解答题21.观察下列各式子,并回答下面问题.(1)试写出第n 个式子(用含n 的表达式表示),这个式子一定是二次根式吗?为什么? (2)你估计第16个式子的值在哪两个相邻整数之间?试说明理由.【答案】(1,该式子一定是二次根式,理由见解析;(215和16之间.理由见解析. 【分析】(1)依据规律可写出第n 个式子,然后判断被开方数的正负情况,从而可做出判断;(2)将16n =代入,得出第16,再判断即可. 【详解】解:(1 该式子一定是二次根式,因为n 为正整数,2(1)0n n n n -=-≥,所以该式子一定是二次根式(215=16=,∴1516<<.15和16之间. 【点睛】本题考查的知识点是二次根式的定义以及估计无理数的大小,掌握用“逼近法”估算无理数的大小的方法是解此题的关键.22.计算(1)2213113a a a a a a +--+-+-;(2)已知a 、b +b =0.求a 、b 的值 (3)已知abc =1,求111a b cab a bc b ac c ++++++++的值【答案】(1)22223a a a ----;(2)a =-3,b ;(3)1. 【分析】(1)先将式子进行变形得到()()113113a a a a a a +--+-+-,此时可以将其化简为1113a a a a ⎛⎫⎛⎫--+ ⎪ ⎪+-⎝⎭⎝⎭,然后根据异分母的加减法法则进行化简即可;(2)根据二次根式及绝对值的非负性得到2a +6=0,b =0,从而可求出a 、b ; (3)根据abc =1先将所求代数式转化:11b ab abbc b abc ab a ab a ==++++++,2111c abc ac c a bc abc ab ab a ==++++++,然后再进行分式的加减计算即可.【详解】解:(1)原式=()()113113a a a a a a +--+-+-=1113a a a a ⎛⎫⎛⎫--+ ⎪ ⎪+-⎝⎭⎝⎭=1113a a --+- =()()()()3113a a a a -++-+-=22223a a a ----;(20b =,∴2a +6=0,b =0,∴a =-3,b ; (3)∵abc =1, ∴11b ab ab bc b abc ab a ab a ==++++++,2111c abc ac c a bc abc ab ab a ==++++++,∴原式=1111a ab ab a ab a ab a ++++++++=11a ab ab a ++++=1.【点睛】本题考查了分式的化简求值和二次根式、绝对值的非负性,分式中一些特殊求值题并非一味的化简,代入,求值,熟练掌握转化、整体思想等解题技巧是解答这类题目的关键.23.先观察下列等式,再回答问题:=1+1=2;12=2 12;=3+13=313;… (1)根据上面三个等式提供的信息,请猜想第四个等式;(2)请按照上面各等式规律,试写出用 n (n 为正整数)表示的等式,并用所学知识证明.【答案】(1=144+=144;(2=211n n n n++=,证明见解析. 【分析】(1)根据“第一个等式内数字为1,第二个等式内数字为2,第三个等式内数字为3”,=414+=414;(2=n 211n n n++=”,再利用222112n n n n++=+()()开方即可证出结论成立.【详解】(1=1+1=2=212+=212;=313+=313;里面的数字分别为1、2、3,= 144+= 144.(2=1+1=2,=212+=212=313+=313=414+=414= 211n n n n++=.证明:等式左边==n 211n n n++==右边.=n 211n n n++=成立. 【点睛】本题考查了二次根式的性质与化简以及规律型中数的变化类,解题的关键是:(1)猜测出第四个等式中变化的数字为4;(2)找出变化规律=n 211n n n++=”.解决该题型题目时,根据数值的变化找出变化规律是关键.24.已知m ,n 满足m 4n=3+.【答案】12015【解析】 【分析】由43m n +=2﹣2)﹣3=0,将,代入计算即可.【详解】解:∵4m n +=3,)22﹣2)﹣3=0,)2﹣23=0,+13)=0,=﹣13,∴原式=3-23+2012=12015.【点睛】本题主要考查二次根式的混合运算,解题的关键是熟练掌握完全平方公式的运用及二次根式性质.25.阅读下面的解答过程,然后作答:m 和n ,使m 2+n 2=a 且,则a 可变为m 2+n 2+2mn ,即变成(m +n )2例如:∵=)2+)2=)2∴请你仿照上例将下列各式化简(12【答案】(1)2-【分析】参照范例中的方法进行解答即可. 【详解】解:(1)∵22241(1+=+=,1=(2)∵2227-=-=,∴==26.先化简,再求值:a ,其中【答案】2a-1,【分析】先根据二次根式的性质进行化简,再代入求值即可. 【详解】解:1a =-∴原式=1a a --=21a -当1a =-∴原式=(211-=1-【点睛】此题主要考查化简求值,正确理解二次根式的性质是解题关键.27.先化简,再求值:24224x x x x x x ⎛⎫÷- ⎪---⎝⎭,其中2x =.【答案】22x x +-,1 【分析】先把分式化简,然后将x 、y 的值代入化简后的式子求值即可. 【详解】 原式(2)(2)22(2)2x x x x x x x x +-+=⋅=---,当2x =时,原式1==.【点睛】本题考查了分式的化简求值这一知识点,把分式化到最简是解题的关键.28.(1|5-+;(2)已知实数a 、b 、c 满足|3|a +=,求2(b a +的值.【答案】(1)5;(2)4 【分析】(1)先利用二次根式的乘法法则和绝对值的意义计算,再进行回头运算即可; (2)先根据二次根式有意义的条件确定b 的值,再根据非负数的和的意义确定a ,c 的值,然后再计算代数式的值即可. 【详解】解:(15-+5)=+5=+5=(2)由题意可知:5050b b -≥⎧⎨-≥⎩, 解得5b =由此可化简原式得,30a +=30a ∴+=,20c -=3a ∴=-,2c =22((534b a ∴+=--=【点睛】可不是考查了二次根式的混合运算以及二次根式的化简求值,熟练掌握运算法则和运算顺序是解答此题的关键.29.化简求值:212(1)211x x x x -÷-+++,其中1x =.【解析】分析:先把小括号内的通分,按照分式的减法和分式除法法则进行化简,再把字母的值代入运算即可. 详解:原式2112,2111x x x x x x -+⎛⎫=÷- ⎪++++⎝⎭2112,211x x x x x -+-=÷+++()211,11x x x x -+=⋅-+1.1x =+当1x =时,113x ==+ 点睛:考查分式的混合运算,掌握运算顺序是解题的关键.30.先阅读下面的解题过程,然后再解答.a ,b ,使a b m +=,ab n =,即22m +==0)a b ==±>.这里7m =,12n =, 由于437+=,4312⨯=,所以22+==,2===.. 【答案】见解析 【分析】应先找到哪两个数的和为13,积为42.再判断是选择加法,还是减法. 【详解】根据题意,可知13m =,42n =, 由于7613+=,7642⨯=,所以2213+=,====【点睛】此题考查二次根式的性质与化简,解题关键在于求得13m =,42n =.【参考答案】***试卷处理标记,请不要删除一、选择题 1.B 解析:B 【分析】根据完全平方公式,整式的除法,分式的乘除法,二次根式的性质和化简运算法则逐一计算作出判断. 【详解】解: A .()222a b a 2ab b -=-+,选项错误; B .()3322x x 8x x 8x ÷=÷=,选项正确; C .111a a 1a a a÷⋅=⋅=,选项错误;D 44=-=,选项错误.故选:B .2.D解析:D 【分析】根据直角二次根式满足的两个条件进行判断即可. 【详解】被开方数中含能开得尽方的因数,不是最简二次根式,故选项A 错误;=被开方数中含分母,不是最简二次根式,故选项B 错误;=被开方数中含能开得尽方的因数,不是最简二次根式,故选项C 错误;是最简二次根式,故选项D 正确. 故选D . 【点睛】本题考查的是最简二次根式的概念,满足(1)被开方数不含分母;(2)被开方数中不含能开得尽方的因数或因式两个条件的二次根式是最简二次根式.3.B解析:B 【分析】把x=0 【详解】 解:当x=0时,=2,故选:B . 【点睛】本题考查了二次根式的定义和二次根式的性质,能灵活运用二次根式的性质进行计算是解题的关键.4.A解析:A 【分析】先由点a 在数轴上的位置确定a 的取值范围及a-1的符号,再代入原式进行化简即可 【详解】由数轴可知0<a <1,所以,||1a a a =+-=1,选A .【点睛】此题考查二次根式的性质与化简,实数与数轴,解题关键在于确定a 的大小5.A解析:A【分析】a ≥0)的式子叫做二次根式,据此可得结论.【详解】解:A 是二次根式,符合题意;B 是三次根式,不合题意;C 、当x <0D 、x 属于整式,不合题意;故选:A .【点睛】此题考查二次根式的定义,关键是根据二次根式的定义理解被开方数是非负数.6.A解析:A【分析】利用平方差公式计算a ,利用完全平方公式和二次根式的化简求出b ,利用二次根式大小的比较办法,比较b 、c 得结论.【详解】解:a=2019×2021-2019×2020=(2020-1)(2020+1)-(2020-1)×2020=20202-1-20202+2020=2019;∵20222-4×2021=(2021+1)2-4×2021=20212+2×2021+1-4×2021=20212-2×2021+1=(2021-1)2=20202,∴b=2020;>∴c >b >a .故选:A .【点睛】本题考查了完全平方公式、平方差公式、二次根式的化简、二次根式大小的比较等知识点.变形2019×2021-2019×2020解决本题的关键.7.B解析:B【解析】【分析】先把多项式化简为|x-4|-|1-x|,然后根据x 的取值范围分别讨论,求出符合题意的x 的值即可.【详解】解:原式1x -=|x-4|-|1-x|, 当x≤1时,此时1-x≥0,x-4<0,∴(4-x )-(1-x )=3,不符合题意,当1≤x≤4时,此时1-x≤0,x-4≤0,∴(4-x )-(x-1)=5-2x ,符合题意,当x≥4时,此时x-4≥0,1-x <0,∴(x-4)-(x-1)=-3,不符合题意,∴x 的取值范围为:1≤x≤4故选B .【点睛】本题主要考查绝对值及二次根式的化简,要注意正负号的变化,分类讨论.8.B解析:B【分析】1111n n =+-+,代入数值,求出=99+1-1100,由此能求出不大于S 的最大整数为99.【详解】∵=()()()222211n n n n ++++()()221n n ++=()211n n n n ++=+ =111+1n n -+, ∴S=2211112+++2211123+++2211134+++ …+2211199100++ =1111111+11122399100-++-+++- =199+1100- =100-1100, ∴不大于S 的最大整数为99.故选B.【点睛】本题主要考查了二次根式的化简求值,知道()2211111+111n n n n +=+-++是解答本题的基础. 9.D解析:D【解析】(4,2)表示第4排从左向右第2个数是:,(21,2)表示第21排从左向右第2个数,可以看出奇数排最中间的一个数都是1, 第21排是奇数排,最中间的也就是这排的第1个数是1,那么第2个就是:, •=6,故选D10.D解析:D【分析】根据算术平方根和平方根的概念,无理数的概念立方根的概念,和二次根式的概念逐一判断即可.【详解】255=,故A 选项错误;0ππ-+=,故B 选项错误;-3=,故C 选项错误;D 选项正确;故选D .【点睛】本题考查了算术平方根和平方根的区别,无理数、二次根式和立方根的概念,题目较为综合,熟练掌握相关概念是本题的关键.11.C解析:C【分析】直接利用二次根式的性质与化简以及积的乘方运算法则分别计算即可得出答案.【详解】A |a |,故此选项错误;B .,则a ,b 均为非负数,故此选项错误;C .a 2•b 2=(a •b )2,正确;D mn a(a ≥0),故此选项错误. 故选C .【点睛】本题主要考查了二次根式的性质与化简以及积的乘方运算,正确掌握相关运算法则是解题的关键. 12.B解析:B【分析】原式利用多项式除以单项式法则计算,估算确定出范围即可.【详解】=∵1<2<4,∴1<2,即3<<4,则原式的值应在3和4之间.故选:B .【点睛】本题考查了二次根式的混合运算,以及无理数的估算,解题的关键是熟练掌握运算法则进行解题.二、填空题13.【分析】利用二次根式有意义的条件和分式中分母不为零,即可完成.【详解】根据题意,解得:①当时,解得:即:①当时,解得:即:故自变量x 的取值范围为【点睛】 解析:11,022x x -≤≤≠ 【分析】利用二次根式有意义的条件和分式中分母不为零,即可完成.【详解】根据题意,220x x +≠解得:0,2x x ≠≠-12||0x -≥①当0x >时,120x -≥ 解得:12x ≤ 即:102x <≤ ①当0x <时,120x +≥ 解得:21x ≥-即:102x -≤< 故自变量x 的取值范围为11,022x x -≤≤≠ 【点睛】本题考查二次根式以及分式有意义的条件,熟练掌握分类讨论和解不等式组是解题关键. 14.13【解析】【分析】由得a+b=2ab,然后再变形,最后代入求解即可.【详解】解:∵∴a+b=2ab∴故答案为13.【点睛】本题考查了已知等式求代数式的值,解答的关键是通过变形找解析:13【解析】【分析】由112a b+=得a+b=2ab,然后再变形535a ab ba ab b++-+,最后代入求解即可.【详解】解:∵112 a b+=∴a+b=2ab∴()5353510ab3===132aba b aba ab b aba ab b a b ab ab+++++-++--故答案为13.【点睛】本题考查了已知等式求代数式的值,解答的关键是通过变形找到等式和代数式的联系. 15.【解析】【分析】用换元法代替两个带根号的式子,得出m、n的关系式,解方程组求m、n的值即可.【详解】设m=,n=,那么m−n=2①,m2+n2=()2+()2=34②.由①得,m=2解析:13【解析】【分析】用换元法代替两个带根号的式子,得出m、n的关系式,解方程组求m、n的值即可.【详解】设m n那么m−n=2①,m2+n2=2+2=34②.由①得,m=2+n③,将③代入②得:n2+2n−15=0,解得:n=−5(舍去)或n=3,因此可得出,m=5,n=3(m≥0,n≥0).n+2m=13.【点睛】此题考查二次根式的减法,本题通过观察,根号里面未知数的系数为相反数,可通过换元法求解.16.【分析】分别求出甲,乙容器中原溶液中纯果汁的含量,再求出mkg溶液中纯果汁的含量,最后利用混合后果汁的浓度相等列出关系式,求出m即可.【详解】解:根据题意,甲容器中纯果汁含量为akg,乙容器解析:5【分析】分别求出甲,乙容器中原溶液中纯果汁的含量,再求出mkg溶液中纯果汁的含量,最后利=,求出m即可.【详解】,甲容器倒出mkg果汁中含有纯果汁makg,乙容器倒出mkg果汁中含有纯果汁mbkg,,=,整理得,-6b =5ma -5mb ,∴(a -b )=5m (a -b ),∴m =5.【点睛】本题考查二次根式的应用,能够正确理解题意,化简二次根式是解题的关键. 17.9【解析】【分析】设y=,由可将原方程进行化简,解化简后的方程即可求得答案.【详解】设y=,则原方程变形为,∴,即,∴4y+36-4y=y(y+9),即y2+9y-36=0,∴解析:9【解析】【分析】设()11111y y y y =-++可将原方程进行化简,解化简后的方程即可求得答案. 【详解】设则原方程变形为()()()()()1111112894y y y y y y ++=+++++, ∴1111111112894y y y y y y -+-++-=+++++, 即11194y y -=+, ∴4y+36-4y=y(y+9),即y 2+9y-36=0,∴y=-12或y=3,∵,∴,∴x=9,故答案为:9.【点睛】本题考查了解无理方程,解题的关键是利用换元法,还要注意()11111y y y y =-++的应用. 18.3【解析】【分析】先根据二次根式有意义的条件得出x+y 的值,再根据非负数的性质列出关于x ,y ,m 的方程组,求出m 的值,进而可得出结论.【详解】依题意得:,解得:x=1,y=1,m =5,∴3解析:3【解析】【分析】先根据二次根式有意义的条件得出x +y 的值,再根据非负数的性质列出关于x ,y ,m 的方程组,求出m 的值,进而可得出结论.【详解】依题意得:35302302x y m x y m x y +--=⎧⎪+-=⎨⎪+=⎩,解得:x =1,y =1,m =5,∴==3.故答案为3.【点睛】 本题考查了二次根式有意义得条件及非负数的性质,熟知二次根式具有非负性是解答此题的关键.19.-5【分析】根据a 的取值范围化简二次根式及绝对值,再根据整式的加减法计算法则计算得到答案.【详解】∵,∴a+3<0,2-a>0,∴-a-3-2+a=-5,故答案为:-5.【点睛】此解析:-5【分析】根据a的取值范围化简二次根式及绝对值,再根据整式的加减法计算法则计算得到答案.【详解】a,∵4∴a+3<0,2-a>0,-=-a-3-2+a=-5,|2|a故答案为:-5.【点睛】此题考查二次根式的化简,绝对值的化简,整式的加减法计算法则,正确化简代数式是解题的关键.20.【详解】若的整数部分为a,小数部分为b,∴a=1,b=,∴a-b==1.故答案为1.解析:【详解】a,小数部分为b,∴a=1,b1,∴-b1)=1.故答案为1.三、解答题21.无22.无23.无24.无25.无26.无27.无28.无29.无30.无。
一、选择题1.如图,在23⨯的正方形网格中,AMB ∠的度数是( )A .22.5°B .30°C .45°D .60°2.如图,在等腰三角形ABC 中,AC=BC=5,AB=8,D 为底边上一动点(不与点A ,B 重合),DE ⊥AC ,DF ⊥BC ,垂足分别为E 、F ,则DE+DF= ( )A .5B .8C .13D .4.83.如图,正方形ABCD 的边长为2,其面积标记为S 1,以CD 为斜边作等腰直角三角形,以该等腰直角三角形的一条直角边为边向外作正方形,其面积标记为S 2,…按照此规律继续下去,则S 2016的值为( )A .(2)2013B .(2)2014C .(12)2013D .(12)2014 4.如图,小红想用一条彩带缠绕易拉罐,正好从A 点绕到正上方B 点共四圈,已知易拉罐底面周长是12 cm ,高是20 cm ,那么所需彩带最短的是( )A .13 cmB .4cmC .4cmD .52 cm5.如图,ABC 中,90ACB ∠=︒,2AC =,3BC =.设AB 长是m ,下列关于m 的四种说法:①m 是无理数;②m 可以用数轴上的一个点来表示;③m 是13的算术平方根;④23m <<.其中所有正确说法的序号是( )A .①②B .①③C .①②③D .②③④ 6.以线段a 、b 、c 的长为边长能构成直角三角形的是( )A .a =3,b=4,c=6B .a =1,b=2,c=3C .a =5,b=6,c=8D .a =3,b=2,c=5 7.在ABC 中,,,A B C ∠∠∠的对边分别是a b c 、、,下列条件中,不能说明ABC 是直角三角形的是( ) A .222b a c =-B .;C A B ∠=∠-∠ C .::3:4:5A B C ∠∠∠=D .::5:12:13a b c =8.如图是我国一位古代数学家在注解《周髀算经》时给出的,曾被选为2002年在北京召开的国际数学家大会的会徽,它通过对图形的切割、拼接,巧妙地证明了勾股定理,这位伟大的数学家是( )A .杨辉B .刘徽C .祖冲之D .赵爽9.已知一个三角形的两边长分别是5和13,要使这个三角形是直角三角形,则这个三角形的第三条边可以是( )A .6B .8C .10D .1210.在直角三角形ABC 中,90C ∠=︒,两直角边长及斜边上的高分别为,,a b h ,则下列关系式成立的是( )A .222221a b h +=B .222111a b h +=C .2h ab =D .222h a b =+二、填空题11.如图,△ABC是一个边长为1的等边三角形,BB1是△ABC的高,B1B2是△ABB1的高,B2B3是△AB1B2的高,……B n-1B n是△AB n-2B n-1的高,则B4B5的长是________,猜想B n-1B n的长是________.12.已知,如图:在平面直角坐标系中,O为坐标原点,四边形OABC是矩形,点A、C的坐标分别为A(10,0)、C(0,4),点D是OA的中点,点P在BC边上运动,当△ODP 是腰长为5的等腰三角形时,点P的坐标为_____.13.我国古代数学名著《九章算术》中有云:“今有木长二丈,围之三尺.葛生其下,缠木七周,上与木齐.问葛长几何?”大意为:有一根木头长2丈,上、下底面的周长为3尺,葛生长在木下的一方,绕木7周,葛梢与木头上端刚好齐平,则葛长是______尺.(注:l丈等于10尺,葛缠木以最短的路径向上生长,误差忽略不计)14.如图,△ABC中,∠ABC=45°,∠BCA=30°,点D在BC上,点E在△ABC外,且AD=AE=CE,AD⊥AE,则ABBD的值为____________.15.如图,P是等边三角形ABC内的一点,且PA=3,PB=4,PC=5,以BC为边在△ABC外作△BQC ≌△BPA ,连接PQ ,则以下结论中正确有_____________ (填序号)①△BPQ 是等边三角形 ②△PCQ 是直角三角形 ③∠APB=150° ④∠APC=135°16.如图,△ABC 中,AB=AC=13,BC=10,AD 是BAC ∠的角平分线,E 是AD 上的动点,F 是AB 边上的动点,则BE+EF 的最小值为_____.17.如图,在△ABC 中,AB =AC =10,BC =12,AD 是角平分线,P 、Q 分别是AD 、AB 边上的动点,则BP +PQ 的最小值为_______.18.已知a 、b 、c 是△ABC 三边的长,且满足关系式2222()0c a b a b --+-=,则△ABC 的形状为___________19.四个全等的直角三角形按图示方式围成正方行ABCD ,过各较长直角边的中点作垂线,围成面积为4的小正方形EFGH,已知AM 为Rt △ABM 的较长直角边,AM =7EF ,则正方形ABCD 的面积为_______.20.如图,在等腰△ABC 中,AB =AC ,底边BC 上的高AD =6cm ,腰AC 上的高BE =4m ,则△ABC 的面积为_____cm 2.三、解答题21.阅读与理解:折纸,常常能为证明一个命题提供思路和方法.例如,在ABC 中,AB AC >(如图),怎样证明C B ∠>∠呢?分析:把AC 沿A ∠的角平分线AD 翻折,因为AB AC >,所以,点C 落在AB 上的点C '处,即AC AC '=,据以上操作,易证明ACD AC D '△△≌,所以AC D C '∠=∠,又因为AC D B '∠>∠,所以C B ∠>∠.感悟与应用:(1)如图(a ),在ABC 中,90ACB ∠=︒,30B ∠=︒,CD 平分ACB ∠,试判断AC 和AD 、BC 之间的数量关系,并说明理由;(2)如图(b ),在四边形ABCD 中,AC 平分BAD ∠,16AC =,8AD =,12DC BC ==,①求证:180B D ∠+∠=︒;②求AB 的长.22.定义:如图1,点M 、N 把线段AB 分割成AM 、MN 和BN ,若以AM 、MN 、BN 为边的三角形是一个直角三角形,则称点M 、N 是线段AB 的勾股分割点.(1)已知点M 、N 是线段AB 的勾股分割点,若2AM =,3MN =,求BN 的长; (2)如图2,在Rt ABC △中,AC BC =,点M 、N 在斜边AB 上,45MCN ∠=︒,求证:点M 、N 是线段AB 的勾股分割点(提示:把ACM 绕点C 逆时针旋转90︒);(3)在(2)的问题中,15ACM ∠=︒,1AM =,求BM 的长.23.已知ABC ∆中,如果过项点B 的一条直线把这个三角形分割成两个三角形,其中一个为等腰三角形,另一个为直角三角形,则称这条直线为ABC ∆的关于点B 的二分割线.例如:如图1,Rt ABC ∆中,90A ︒∠=,20C ︒∠=,若过顶点B 的一条直线BD 交AC 于点D ,若20DBC ︒∠=,显然直线BD 是ABC ∆的关于点B 的二分割线.(1)在图2的ABC ∆中,20C ︒∠=,110ABC ︒∠=.请在图2中画出ABC ∆关于点B 的二分割线,且DBC ∠角度是 ;(2)已知20C ︒∠=,在图3中画出不同于图1,图2的ABC ∆,所画ABC ∆同时满足:①C ∠为最小角;②存在关于点B 的二分割线.BAC ∠的度数是 ;(3)已知C α∠=,ABC ∆同时满足:①C ∠为最小角;②存在关于点B 的二分割线.请求出BAC ∠的度数(用α表示).24.已知:如图,在ABC ∆中,90ACB ∠=,以点B 为圆心,BC 的长为半径画弧,交线段AB 于点D ,以点A 为圆心,AD 长为半径画弧,交线段AC 与点E .(1)根据题意用尺规作图补全图形(保留作图痕迹);(2)设,BC m AC n ==①线段AD 的长度是方程2220x mx n +-=的一个根吗?并说明理由.②若线段2AD EC =,求m n的值.25.如图,△ABC 中,90BAC ∠=︒,AB=AC ,P 是线段BC 上一点,且045BAP ︒<∠<︒.作点B 关于直线AP 的对称点D, 连结BD ,CD ,AD .(1)补全图形.(2)设∠BAP 的大小为α.求∠ADC 的大小(用含α的代数式表示).(3)延长CD 与AP 交于点E,直接用等式表示线段BD 与DE 之间的数量关系.26.如图1,△ABC 中,CD ⊥AB 于D ,且BD : AD : CD =2 : 3 : 4,(1)试说明△ABC 是等腰三角形;(2)已知S △ABC =40cm 2,如图2,动点M 从点B 出发以每秒2cm 的速度沿线段BA 向点A 运动,同时动点N 从点A 出发以每秒1cm 速度沿线段AC 向点C 运动,当其中一点到达终点时整个运动都停止. 设点M 运动的时间为t (秒),①若△DMN 的边与BC 平行,求t 的值;②若点E 是边AC 的中点,问在点M 运动的过程中,△MDE 能否成为等腰三角形?若能,求出t 的值;若不能,请说明理由.图1 图2 备用图27.已知n 组正整数:第一组:3,4,5;第二组:8,6,10;第三组:15,8,17;第四组:24,10,26;第五组:35,12,37;第六组:48,14,50;…(1)是否存在一组数,既符合上述规律,且其中一个数为71?若存在,请写出这组数;若不存在,请说明理由;(2)以任意一个大于2的偶数为一条直角边的长,是否一定可以画出一个直角三角形,使得该直角三角形的另两条边的长都是正整数?若可以,请说明理由;若不可以,请举出反例.28.菱形ABCD中,∠BAD=60°,BD是对角线,点E、F分别是边AB、AD上两个点,且满足AE=DF,连接BF与DE相交于点G.(1)如图1,求∠BGD的度数;(2)如图2,作CH⊥BG于H点,求证:2GH=GB+DG;(3)在满足(2)的条件下,且点H在菱形内部,若GB=6,CH=43,求菱形ABCD的面积.29.如图1,已知△ABC是等边三角形,点D,E分别在边BC,AC上,且CD=AE,AD与BE相交于点F.(1)求证:∠ABE=∠CAD;(2)如图2,以AD为边向左作等边△ADG,连接BG.ⅰ)试判断四边形AGBE的形状,并说明理由;ⅱ)若设BD=1,DC=k(0<k<1),求四边形AGBE与△ABC的周长比(用含k的代数式表示).30.如图,在△ABC中,D是边AB的中点,E是边AC上一动点,连结DE,过点D作DF⊥DE交边BC于点F(点F与点B、C不重合),延长FD到点G,使DG=DF,连结EF、AG.已知AB=10,BC=6,AC=8.(1)求证:△ADG≌△BDF;(2)请你连结EG,并求证:EF=EG;(3)设AE=x,CF=y,求y关于x的函数关系式,并写出自变量x的取值范围;(4)求线段EF长度的最小值.【参考答案】***试卷处理标记,请不要删除一、选择题1.C解析:C【分析】连接AB ,求出AB 、BM 、AM 的长,根据勾股定理逆定理即可求证AMB ∆为直角三角形,而AM=BM ,即AMB ∆为等腰直角三角形,据此即可求解.【详解】连接AB∵22125AM =+=22125AB =+=221310BM =+=∴22210AM AB BM +==∴AMB ∆为等腰直角三角形∴45AMB ∠=︒故选C .【点睛】本题考查了勾股定理的逆定理,重点是求出三条边的长,然后证明AMB ∆为直角三角形.2.D解析:D【分析】过点C 作CH ⊥AB ,连接CD ,根据等腰三角形的三线合一的性质及勾股定理求出CH ,再利用ABC ACD BCD S S S =+即可求出答案.【详解】如图,过点C 作CH ⊥AB ,连接CD ,∵AC=BC ,CH ⊥AB ,AB=8,∴AH=BH=4,∵AC=5, ∴2222543CH AC AH =-=-=, ∵ABC ACD BCD SS S =+, ∴111222AB CH AC DE BC DF ⋅⋅=⋅⋅+⋅⋅, ∴1118355222DE DF ⨯⨯=⨯+⨯, ∴DE+DF=4.8,故选:D.【点睛】此题考查等腰三角形三线合一的性质,勾股定理解直角三角形,根据题意得到ABC ACD BCD S S S =+的思路是解题的关键,依此作辅助线解决问题.3.C解析:C【分析】根据等腰直角三角形的性质可得出S 2+S 2=S 1,写出部分S n 的值,根据数的变化找出变化规律“S n =(12)n−3”,依此规律即可得出结论. 【详解】 解:在图中标上字母E ,如图所示.∵正方形ABCD 的边长为2,△CDE 为等腰直角三角形,∴DE 2+CE 2=CD 2,DE=CE ,∴S2+S2=S1.观察,发现规律:S1=22=4,S2=12S1=2,S3=12S2=1,S4=12S3=12,…,∴S n=(12)n−3.当n=2016时,S2016=(12)2016−3=(12)2013.故选:C.【点睛】本题考查了等腰直角三角形的性质、勾股定理以及规律型中数的变化规律,解题的关键是找出规律“S n=(12)n−3”.本题属于中档题,难度不大,解决该题型题目时,写出部分S n的值,根据数值的变化找出变化规律是关键.4.D解析:D【解析】【分析】本题就是把圆柱的侧面展开成矩形,“化曲面为平面”,用勾股定理解决..要求彩带的长,需将圆柱的侧面展开,进而根据“两点之间线段最短”得出结果,在求线段长时,借助于勾股定理.【详解】如图,由图可知,彩带从易拉罐底端的A处绕易拉罐4圈后到达顶端的B处,将易拉罐表面切开展开呈长方形,则螺旋线长为四个长方形并排后的长方形的对角线长,设彩带最短长度为xcm,∵∵易拉罐底面周长是12cm,高是20cm,∴x2=(12×4)2+202∴x2=(12×4)2+202,所以彩带最短是52cm.故选D.【点睛】本题考查了平面展开−−最短路径问题,圆柱的侧面展开图是一个矩形,此矩形的长等于圆柱底面周长,高等于圆柱的高,5.C解析:C【分析】根据勾股定理即可求出答案.【详解】解:∵∠ACB =90°,∴在Rt ABC 中,m =AB故①②③正确,∵m 2=13,9<13<16,∴3<m <4,故④错误,故选:C .【点睛】本题考查勾股定理及算术平方根、无理数的估算,解题的关键是熟练运用勾股定理,本题属于基础题型. 6.B解析:B【分析】根据勾股定理的逆定理对四个选项进行逐一分析即可.【详解】A 、222346+≠,C 、222568+≠,D 、2222+≠,故错误;B 、22213+==,能构成直角三角形,本选项正确. 故选B .【点睛】本题考查了勾股定理的知识点,解题的关键是熟练的掌握勾股定理的定理与运算.7.C解析:C【分析】此题考查的是直角三角形的判定方法,大约有以下几种:①勾股定理的逆定理,即三角形三边符合勾股定理;②三个内角中有一个是直角,或两个内角的度数和等于第三个内角的度数;根据上面两种情况进行判断即可.【详解】解:A 、由222b a c =-得a 2=b 2+c 2,符合勾股定理的逆定理,能够判定△ABC 为直角三角形,不符合题意;B 、由C A B ∠=∠-∠得∠C +∠B=∠A ,此时∠A 是直角,能够判定△ABC 是直角三角形,不符合题意;C 、∠A :∠B :∠C=3:4:5,那么∠A=45°、∠B=60°、∠C=75°,△ABC 不是直角三角形,故此选项符合题意;D、a:b:c=5:12:13,此时c2=b2+ a2,符合勾股定理的逆定理,△ABC是直角三角形,不符合题意;故选:C.【点睛】此题主要考查了直角三角形的判定方法,只有三角形的三边长构成勾股数或三内角中有一个是直角的情况下,才能判定三角形是直角三角形.8.D解析:D【分析】3世纪,汉代赵爽在注解《周髀算经》时,通过对图形的切割、拼接、巧妙地利用面积关系证明了勾股定理.【详解】由题意,可知这位伟大的数学家是赵爽.故选D.【点睛】考查了数学常识,勾股定理的证明.3世纪我国汉代的赵爽在注解《周髀算经》时给出的,人们称它为“赵爽弦图”.赵爽通过对这种图形切割、拼接,巧妙地利用面积关系证明了著名的勾股定理.9.D解析:D【分析】此题要分两种情况:当5和13都是直角边时;当13是斜边长时;分别利用勾股定理计算出第三边长即可求解.【详解】当5和13当1312=;故这个三角形的第三条边可以是12.故选:D.【点睛】本题主要考查了勾股定理,当已知条件中没有明确哪是斜边时,要注意讨论,一些学生往往忽略这一点,造成丢解.10.B解析:B【分析】设斜边为c,根据勾股定理得出【详解】解:设斜边为c ,根据勾股定理得出 ∵12ab=12ch ,∴,即a 2b 2=a 2h 2+b 2h 2, ∴22222a b a b h =22222a h a b h +22222b h a b h, 即21a +21b =21h . 故选:B .【点睛】 本题考查勾股定理,熟知在任何一个直角三角形中,两条直角边长的平方之和一定等于斜边长的平方是解题关键.二、填空题11 【分析】 根据等边三角形性质得出AB 1=CB 1=12,∠AB 1B =∠BB 1C =90°,由勾股定理求出BB 1=2,求出△ABC 的面积是4;求出113ABB BCB S S ==B 1B 2,由勾股定理求出BB 2,根据11221ABB BB B AB B S S S =+代入求出B 2B 3=,B 3B 4=B 4B 5=,推出B n ﹣1B n . 【详解】解:∵△ABC 是等边三角形,∴BA =AC ,∵BB 1是△ABC 的高,∴AB 1=CB 1=12,∠AB 1B =∠BB 1C =90°,由勾股定理得:BB 1=;∴△ABC 的面积是12×1=;∴1112ABB BCB S S ==⨯,12=×1×B 1B 2,B 1B 2=4,由勾股定理得:BB 234=, ∵11221ABB BB B AB B SS S =+,2313112422B B =⨯⨯⨯,B 2B 3=8,B 3B 4,B 4B 5=32, …,B n ﹣1B n【点睛】 本题考查了等边三角形的性质,勾股定理,三角形的面积等知识点的应用,关键是能根据计算结果得出规律.12..(3,4)或(2,4)或(8,4).【分析】题中没有指明△ODP 的腰长与底分别是哪个边,故应该分情况进行分析,从而求得点P 的坐标.【详解】解:(1)OD 是等腰三角形的底边时,P 就是OD 的垂直平分线与CB 的交点,此时OP =PD ≠5;(2)OD 是等腰三角形的一条腰时:①若点O 是顶角顶点时,P 点就是以点O 为圆心,以5为半径的弧与CB 的交点,在直角△OPC 中,CP 3,则P 的坐标是(3,4). ②若D 是顶角顶点时,P 点就是以点D 为圆心,以5为半径的弧与CB 的交点, 过D 作DM ⊥BC 于点M ,在直角△PDM 中,PM 3,当P 在M 的左边时,CP =5﹣3=2,则P 的坐标是(2,4);当P在M的右侧时,CP=5+3=8,则P的坐标是(8,4).故P的坐标为:(3,4)或(2,4)或(8,4).故答案为:(3,4)或(2,4)或(8,4).【点睛】本题考查了等腰三角形的性质和勾股定理的运用等知识,注意正确地进行分类,考虑到所有可能的情况并进行分析求解是解题的关键.13.【分析】这种立体图形求最短路径问题,可以展开成为平面内的问题解决,展开后可转化下图,所以是个直角三角形求斜边的问题,根据勾股定理可求出.【详解】解:如图,一条直角边(即木棍的高)长20尺,另一条直角边长7×3=21(尺),222021+=29(尺).答:葛藤长29尺.故答案为:29.【点睛】本题考查了平面展开最短路径问题,关键是把立体图形展成平面图形,本题是展成平面图形后为直角三角形按照勾股定理可求出解.14.62 2【解析】【分析】过A点作BC的垂线,E点作AC的垂线,构造全等三角形,利用对应角相等计算得出∠DAM=15°,在AM上截取AG=DG,则∠DGM=30°,设DM=a,通过勾股定理可得到DG=AG=2a,332)a,31)a,231)a,代入计算即可.【详解】过A点作AM⊥BC于M点,过E点EN⊥AC于N点.∵∠BCA=30°,AE=EC∴AM=12AC,AN=12AC∴AM=AN又∵AD=AE∴R t∆A DM≅ R t∆AEN(HL)∴∠DAM=∠EAN又∵∠MAC=60°,AD⊥AE∴∠DAM=∠EAN=15°在AM 上截取AG=DG,则∠DGM=30°设DM=a,则 DG=AG=2a,根据勾股定理得:GM=3a,∵∠ABC=45°∴AM=BM=(32)a+∴BD=(31)a+,AB=2(32)a+,∴()()62262231aABBD a++==+故答案为:62+【点睛】本题主要考查等于三角形的性质、含30°角的直角三角形的性质,勾股定理等知识,关键是能根据已知条件构建全等三角形及构建等腰三角形将15°角转化为30°角,本题有较大难度.15.①②③【解析】【详解】解:∵△ABC是等边三角形,60ABC∴∠=,∵△BQC≌△BPA,∴∠BPA=∠BQC,BP=BQ=4,QC=PA=3,∠ABP=∠QBC,60PBQ PBC CBQ PBC ABP ABC∴∠=∠+∠=∠+∠=∠=,∴△BPQ是等边三角形,①正确.∴PQ =BP =4,2222224325,525PQ QC PC +=+===,222PQ QC PC ∴+=,90PQC ∴∠=,即△PQC 是直角三角形,②正确.∵△BPQ 是等边三角形,60PBQ BQP ∴∠=∠=,∵△BQC ≌△BPA ,∴∠APB =∠B QC ,6090150BPA BQC ∴∠=∠=+=,③正确. 36015060150APC QPC QPC ∴∠=---∠=-∠,90PQC PQ QC ∠=≠,,45QPC ∴∠≠,即135APC ∠≠,④错误.故答案为①②③.16.12013【解析】 ∵AB=AC ,AD 是角平分线,∴AD ⊥BC ,BD=CD , ∴B 点,C 点关于AD 对称,如图,过C 作CF ⊥AB 于F ,交AD 于E ,则CF=BE+FF 的最小值,根据勾股定理得,AD=12,利用等面积法得:AB ⋅CF=BC ⋅AD ,∴CF=BC AD AB ⋅=101213⨯=12013故答案为12013. 点睛:本题主要考查的是翻折的性质、垂线段最短、勾股定理的应用及三角形面积的等积法.明确当CF ⊥AB 时,CF 有最小值是解题的关键.17.6【解析】∵AB=AC ,AD 是角平分线,∴AD ⊥BC ,BD=CD ,∴B 点,C 点关于AD 对称,如图,过C 作CQ ⊥AB 于Q ,交AD 于P ,则CQ=BP+PQ 的最小值,根据勾股定理得,AD=8,利用等面积法得:AB ⋅CQ=BC ⋅AD ,∴CQ=BC AD AB ⋅=12810⨯=9.6 故答案为:9.6. 点睛:此题是轴对称-最短路径问题,主要考查了角平分线的性质,对称的性质,勾股定理,等面积法,用等面积法求出CQ 是解本题的关键.18.等腰直角三角形【解析】根据非负数的意义,由()22220c a b a b --+-=,可知222c a b =+,a=b ,可知此三角形是等腰直角三角形.故答案为:等腰直角三角形.点睛:此题主要考查了三角形形状的确定,根据非负数的性质,可分别得到关系式,然后结合勾股定理的逆定理知是直角三角形,然后由a-b=0得到等腰直角三角形,比较容易,关键是利用非负数的性质得到关系式.19.32【分析】由题意设AM=2a ,BM=b ,则正方形ABCD 的面积=224a b +,由题意可知EF=(2a-b)-2(a-b)=2a-b-2a +2b=b ,由此分析即可.【详解】解:设AM=2a .BM=b .则正方形ABCD 的面积=224a b +由题意可知EF=(2a-b)-2(a-b)=2a-b-2a +2b=b ,∵AM 7EF , 727,,a b a ∴== ∵正方形EFGH 的面积为4,∴24b =,∴正方形ABCD 的面积=2224+832.a b b ==故答案为32.【点睛】本题考查正方形的性质、勾股定理以及线段的垂直平分线的定义等知识,解题的关键是灵活运用所学知识解决问题.20.【分析】 根据三角形等面积法求出32AC BC = ,在Rt△ACD 中根据勾股定理得出AC 2=14BC 2+36,依据这两个式子求出AC 、BC 的值.【详解】 ∵AD 是BC 边上的高,BE 是AC 边上的高, ∴12AC•BE=12BC•AD, ∵AD=6,BE =4, ∴AC BC =32, ∴22AC BC =94, ∵AB=AC ,AD⊥BC,∴BD=DC =12BC , ∵AC 2﹣CD 2=AD 2,∴AC 2=14BC 2+36, ∴221364BC BC +=94, 整理得,BC 2=3648⨯, 解得:BC=∴△ABC 的面积为12×cm 2故答案为:【点睛】本题考查了三角形的等面积法以及勾股定理的应用,找出AC 与BC 的数量关系是解答此题的关键.三、解答题21.(1)BC−AC=AD;理由详见解析;(2)①详见解析;②AB=14【分析】(1)在CB上截取CE=CA,连接DE,证△ACD≌△ECD得DE=DA,∠A=∠CED=60°,据此∠CED=2∠CBA,结合∠CED=∠CBA+∠BDE得出∠CBA=∠BDE,即可得DE=BE,进而得出答案;(2)①在AB上截取AM=AD,连接CM,先证△ADC≌△AMC,得到∠D=∠AMC,CD=CM,结合CD=BC知CM=CB,据此得∠B=∠CMB,根据∠CMB+∠CMA=180°可得;②设BN=a,过点C作CN⊥AB于点N,由CB=CM知BN=MN=a,CN2=BC2−BN2=AC2−AN2,可得关于a的方程,解之可得答案.【详解】解:(1)BC−AC=AD.理由如下:如图(a),在CB上截取CE=CA,连接DE,∵CD平分∠ACB,∴∠ACD=∠ECD,又CD=CD,∴△ACD≌△ECD(SAS),∴DE=DA,∠A=∠CED=60°,∴∠CED=2∠CBA,∵∠CED=∠CBA+∠BDE,∴∠CBA=∠BDE,∴DE=BE,∴AD=BE,∵BE=BC−CE=BC−AC,∴BC−AC=AD.(2)①如图(b),在AB上截取AM=AD,连接CM,∵AC平分∠DAB,∴∠DAC=∠MAC,∵AC=AC,∴△ADC≌△AMC(SAS),∴∠D=∠AMC,CD=CM=12,∵CD=BC=12,∴CM=CB,∴∠B=∠CMB,∵∠CMB +∠CMA =180°,∴∠B +∠D =180°;②设BN =a ,过点C 作CN ⊥AB 于点N ,∵CB =CM =12,∴BN =MN =a ,在Rt △BCN 中,2222212CN BC BN a --==,在Rt △ACN 中,2222216(8)CN AC AN a --+==, 则22221216(8)a a --+=,解得:a =3,即BN =MN =3,则AB =8+3+3=14,∴AB=14.【点睛】本题考查了四边形的综合题,以及全等三角形的判定与性质、勾股定理、等腰三角形的判定与性质;本题有一定难度,需要通过作辅助线证明三角形全等才能得出结果.22.(15132)见解析;(3)23【分析】(1)分两种分割法利用勾股定理即可解决问题;(2)如图,过点A 作AD ⊥AB ,且AD=BN .只要证明△ADC ≌△BNC ,推出CD=CN ,∠ACD=∠BCN ,再证明△MDC ≌△MNC ,可得MD=MN ,由此即可解决问题;(3)过点B 作BP ⊥AB ,使得BP=AM=1,根据题意可得△CPB ≌△CMA ,△CMN ≌△CPN ,利用全等性质推出∠BNP=30°,从而得到NB 和NP 的长,即得BM.【详解】解:(1)当MN 最长时,225MN AM -,当BN 最长时,2213AM MN +(2)证明:如图,过点A 作AD ⊥AB ,且AD=BN ,在△ADC 和△BNC 中,AD BN DAC B AC BC =⎧⎪∠=∠⎨⎪=⎩,∴△ADC ≌△BNC (SAS ),∴CD=CN ,∠ACD=∠BCN ,∵∠MCN=45°,∴∠DCA+∠ACM=∠ACM+∠BCN=45°,∴∠MCD=∠MCN ,在△MDC 和△MNC 中,CD CN MCD MCN CM CM =⎧⎪∠=∠⎨⎪=⎩,∴△MDC ≌△MNC (SAS ),∴MD=MN在Rt △MDA 中,AD 2+AM 2=DM 2,∴BN 2+AM 2=MN 2,∴点M ,N 是线段AB 的勾股分割点;(3)过点B 作BP ⊥AB ,使得BP=AM=1,根据(2)中过程可得:△CPB ≌△CMA ,△CMN ≌△CPN ,∴∠AMC=∠BPC=120°,AM=PB=1,∠CMN=∠CPN=∠A+∠ACM=45°+15°=60°,∴∠BPN=120°-60°=60°,∴∠BNP=30°,∴NP=2BP=2=MN ,∴BN=22213-=,∴BM=MN+BN=23+.【点睛】本题是三角形的综合问题,考查了全等三角形的判定和性质、勾股定理等知识,解题的关键是学会添加常用辅助线,构造全等三角形解决问题,属于中考常考题型.23.(1)作图见解析,20DBC ∠=︒;(2)作图见解析,35BAC ∠=︒;(3)∠A =45°或90°或90°-2α或1452α︒-,或α=45°时45°<∠BAC <90°.【分析】(1)根据二分割线的定义,只要把∠ABC 分成90°角和20°角即可;(2)可以画出∠A=35°的三角形;(3)设BD 为△ABC 的二分割线,分以下两种情况.第一种情况:△BDC 是等腰三角形,△ABD 是直角三角形;第二种情况:△BDC 是直角三角形,△ABD 是等腰三角形分别利用直角三角形的性质、等腰三角形的性质和三角形的内角和定理解答即可.【详解】解:(1)ABC ∆关于点B 的二分割线BD 如图4所示,20DBC ∠=︒;故答案为:20°;(2)如图所示:∠BAC=35°;(3)设BD 为△ABC 的二分割线,分以下两种情况.第一种情况:△BDC 是等腰三角形,△ABD 是直角三角形,易知∠C 和∠DBC 必为底角, ∴∠DBC =∠C =α.当∠A =90°时,△ABC 存在二分分割线;当∠ABD =90°时,△ABC 存在二分分割线,此时∠A =90°-2α; 当∠ADB =90°时,△ABC 存在二分割线,此时α=45°且45°<∠A <90°;第二种情况:△BDC 是直角三角形,△ABD 是等腰三角形,当∠DBC =90°时,若BD =AD ,则△ABC 存在二分割线,此时1809014522A αα︒-︒-∠==︒-; 当∠BDC =90°时,若BD =AD ,则△ABC 存在二分割线,此时∠A =45°, 综上,∠A =45°或90°或90°-2α或1452α︒-,或α=45°时,45°<∠BAC <90°.【点睛】本题考查的是二分割线的理解与作图,属于新定义题型,主要考查了等腰三角形的性质、直角三角形的性质和三角形的内角和定理等知识,正确理解二分割线的定义、熟练掌握等腰三角形和直角三角形的性质是解答的关键.24.(1)详见解析;(2)①线段AD 的长度是方程2220x mx n +-=的一个根,理由详见解析;②512m n = 【分析】(1)根据题意,利用尺规作图画出图形即可;(2)①根据勾股定理求出AD ,然后把AD 的值代入方程,即可得到答案;②先得到出边长的关系,然后根据勾股定理,列出方程,解方程后得到答案.【详解】(1)解:作图,如图所示:(2)解:①线段AD 的长度是方程2220x mx n +-=的一个根.理由如下:依题意得, BD BC m ==,在Rt ABC 中,90ACB ∠=︒222BC AC AB ∴=+22AB m n =+22AD AB BD m n m ∴=-=+222AD m AD n ∴+-)()2222222m n m m m n m n =+++- 222222222222m n m m n m m m n m n =+-+++-0=;∴线段AD 的长度是方程22 20x mx n +-=的一个根②依题意得:,,AD AE BD BC AB AD BD ==== 2AD EC =2233AD AE AC n ∴=== 在RT ABC 中,90ACB ∠= 222BC AC AB ∴+=22223m n n m ⎛⎫+=+ ⎪⎝⎭ 22224493m n n mn m +=++25493n mn = 512m n ∴= 【点睛】本题考查的是基本作图,勾股定理、一元二次方程的解法,掌握一元二次方程的求根公式、勾股定理是解题的关键.25.(1)见解析;(2)∠ADC=45α︒+;(3)2BD DE =【分析】(1)根据题意画出图形即可;(2)根据对称的性质,等腰三角形的性质及角与角之间的和差关系进行计算即可; (3)画出图形,结合(2)的结论证明△BED 为等腰直角三角形,从而得出结论.【详解】解:(1)如图所示;(2)∵点B 与点D 关于直线AP 对称,∠BAP=α,∴∠PAD=α,AB=AD ,∵90BAC ∠=︒,∴902DAC α∠=︒-,又∵AB=AC ,∴AD=AC ,∴∠ADC=1[180(902)]2α⨯︒-︒-=45α︒+; (3)如图,连接BE ,由(2)知:∠ADC=45α︒+,∵∠ADC=∠AED+∠EAD,且∠EAD=α,∴∠AED=45°,∵点B与点D关于直线AP对称,即AP垂直平分BD,∴∠AED=∠AEB=45°,BE=DE,∴∠BED=90°,∴△BED是等腰直角三角形,∴22222BD BE DE DE=+=,∴2BD DE=.【点睛】本题考查了轴对称的性质,等腰三角形的性质,勾股定理等知识,明确角与角之间的关系,学会添加常用辅助线构造直角三角形是解题的关键.26.(1)见详解;(2)①t值为:103s或6s;②t值为:4.5或5或4912.【分析】(1)设BD=2x,AD=3x,CD=4x,则AB=5x,由勾股定理求出AC,即可得出结论;(2)由△ABC的面积求出BD、AD、CD、AC;①当MN∥BC时,AM=AN;当DN∥BC时,AD=AN;得出方程,解方程即可;②根据题意得出当点M在DA上,即2<t≤5时,△MDE为等腰三角形,有3种可能:如果DE=DM;如果ED=EM;如果MD=ME=2t-4;分别得出方程,解方程即可.【详解】解:(1)证明:设BD=2x,AD=3x,CD=4x,则AB=5x,在Rt△ACD中,AC=5x,∴AB=AC,∴△ABC是等腰三角形;(2)解:由(1)知,AB=5x,CD=4x,∴S△ABC=12×5x×4x=40cm2,而x>0,∴x=2cm,则BD=4cm,AD=6cm,CD=8cm,AB=AC=10cm.由运动知,AM=10-2t,AN=t,①当MN∥BC时,AM=AN,即10-2t=t,∴103t ;当DN∥BC时,AD=AN,∴6=t,得:t=6;∴若△DMN的边与BC平行时,t值为103s或6s.②存在,理由:Ⅰ、当点M在BD上,即0≤t<2时,△MDE为钝角三角形,但DM≠DE;Ⅱ、当t=2时,点M运动到点D,不构成三角形Ⅲ、当点M在DA上,即2<t≤5时,△MDE为等腰三角形,有3种可能.∵点E是边AC的中点,∴DE=12AC=5当DE=DM,则2t-4=5,∴t=4.5s;当ED=EM,则点M运动到点A,∴t=5s;当MD=ME=2t-4,如图,过点E作EF垂直AB于F,∵ED=EA,∴DF=AF=12AD=3,在Rt△AEF中,EF=4;∵BM=2t,BF=BD+DF=4+3=7,∴FM=2t-7在Rt△EFM中,(2t-4)2-(2t-7)2=42,∴t=49 12.综上所述,符合要求的t 值为4.5或5或4912. 【点睛】 本题主要考查了等腰三角形的性质,平行线的性质,三角形的面积公式,勾股定理,解本题的关键是分情况讨论.27.(1)不存在,见解析;(2)以任意一个大于2的偶数为一条直角边的长,一定可以画出一个直角三角形,使得该直角三角形的另两条边的长都是正整数,见解析.【分析】(1)根据题意可知,这n 组正整数符合规律m 2-1,2m ,m 2+1(m≥2,且m 为整数).分三种情况:m 2-1=71;2m=71;m 2+1=71;进行讨论即可求解;(2)由于(m 2-1) 2+(2m ) 2=m 4+2m 2+1=(m 2+1) 2,根据勾股定理的逆定理即可求解.【详解】(1)不存在一组数,既符合上述规律,且其中一个数为71.理由如下:根据题意可知,这n 组正整数符合规律21m -,2m ,21m +(2m ≥,且m 为整数). 若2171m -=,则272m =,此时m 不符合题意;若271m =,则35.5,m =,此时m 不符合题意;若2171m +=,则270m =,此时m 不符合题意,所以不存在一组数,既符合上述规律,且其中一个数为71.(2)以任意一个大于2的偶数为一条直角边的长,一定可以画出一个直角三角形,使得该直角三角形的另两条边的长都是正整数.理由如下:对于一组数:21m -,2m ,21m +(2m ≥,且m 为整数).因为2224222(1)(2)21(1)m m m m m -+=++=+所以若一个三角形三边长分别为21m -,2m ,21m +(2m ≥,且m 为整数),则该三角形为直角三角形.因为当2m ≥,且m 为整数时,2m 表示任意一个大于2的偶数,21m -,21m +均为正整数,所以以任意一个大于2的偶数为一条直角边的长,一定可以画出一个直角三角形,使得该直角三角形的另两条边的长都是正整数.【点睛】考查了勾股定理的逆定理:如果三角形的三边长a ,b ,c 满足a 2+b 2=c 2,那么这个三角形就是直角三角形.注意分类思想的应用28.(1)∠BGD =120°;(2)见解析;(3)S 四边形ABCD =【解析】【分析】(1)只要证明△DAE ≌△BDF ,推出∠ADE=∠DBF ,由∠EGB=∠GDB+∠GBD=∠GDB+∠ADE=60°,推出∠BGD=180°-∠BGE=120°;(2)如图3中,延长GE 到M ,使得GM=GB ,连接BD 、CG .由△MBD ≌△GBC ,推出DM=GC ,∠M=∠CGB=60°,由CH ⊥BG ,推出∠GCH=30°,推出CG=2GH ,由CG=DM=DG+GM=DG+GB ,即可证明2GH=DG+GB ;(3)解直角三角形求出BC 即可解决问题;【详解】(1)解:如图1﹣1中,∵四边形ABCD 是菱形,∴AD =AB ,∵∠A =60°,∴△ABD 是等边三角形,∴AB =DB ,∠A =∠FDB =60°,在△DAE 和△BDF 中,AD BD A BDF AE DF =⎧⎪∠=∠⎨⎪=⎩,∴△DAE ≌△BDF ,∴∠ADE =∠DBF ,∵∠EGB =∠GDB+∠GBD =∠GDB+∠ADE =60°,∴∠BGD =180°﹣∠BGE =120°.(2)证明:如图1﹣2中,延长GE 到M ,使得GM =GB ,连接CG .∵∠MGB =60°,GM =GB ,∴△GMB 是等边三角形,∴∠MBG =∠DBC =60°,∴∠MBD =∠GBC ,在△MBD 和△GBC 中,。
人教版八年级数学第二学期 第一次 质量检测测试卷含答案一、选择题1.下列二次根式中是最简二次根式的为( ) A .12B .30C .8D .122.二次根式1x -中字母x 的取值可以是( ) A .2B .0C .12-D .-13.式子13x -有意义,x 的取值范围是( ) A .13x ≥B .13x >C .13x ≤D .13x <4.下列各式中正确的是( ) A .36=±6 B .2(2)2--=-C .8=4D .2(7)-=75.若12x x +-有意义,则字母x 的取值范围是( ) A .x≥1 B .x≠2C .x≥1且x =2D ..x≥-1且x ≠26.若a =3235++,b =2+610-,则a b 的值为( )A .12 B .14C .321+D .610+7.实数a ,b 在数轴上的位置如图所示,则化简﹣+b 的结果是( )A .1B .b+1C .2aD .1﹣2a8.下列计算正确的是( ) A 366=± B .422222=C .83266= D a b ab =(a≥0,b≥0)9.下列计算正确的是( ) A 1233=B 235=C .43331=D .32252+=10.32的结果是( ) A .±3B .﹣3C .3D .911.已知,5x y +=-,3xy =则y x xy x y的结果是( )A .B .-C .D .-12.如果实数x ,y =-(),x y 在( ) A .第一象限 B .第二象限C .第一象限或坐标轴上D .第二象限或坐标轴上二、填空题13.=___________. 14.化简并计算:...+=________.(结果中分母不含根式)15.实数a 、b 10-b 4-b-2=+,则22a b +的最大值为_________.16.当x x 2﹣4x +2017=________. 17.已知x =,a 是x 的整数部分,b 是x 的小数部分,则a-b=_______18.,3,,,则第100个数是_______.19.如果2y ,那么y x =_______________________.20.若a 、b 都是有理数,且2222480a ab b a -+++=.三、解答题21.观察下列各式子,并回答下面问题.(1)试写出第n 个式子(用含n 的表达式表示),这个式子一定是二次根式吗?为什么? (2)你估计第16个式子的值在哪两个相邻整数之间?试说明理由.【答案】(1,该式子一定是二次根式,理由见解析;(215和16之间.理由见解析. 【分析】(1)依据规律可写出第n 个式子,然后判断被开方数的正负情况,从而可做出判断;(2)将16n =代入,得出第16,再判断即可. 【详解】解:(1该式子一定是二次根式,因为n 为正整数,2(1)0n n n n -=-≥,所以该式子一定是二次根式(215=16=,∴1516<<.15和16之间. 【点睛】本题考查的知识点是二次根式的定义以及估计无理数的大小,掌握用“逼近法”估算无理数的大小的方法是解此题的关键.22.阅读下面的解答过程,然后作答:m 和n ,使m 2+n 2=a 且,则a 可变为m 2+n 2+2mn ,即变成(m +n )2例如:∵=)2+)2=)2∴请你仿照上例将下列各式化简(12【答案】(1)2-【分析】参照范例中的方法进行解答即可. 【详解】解:(1)∵22241(1+=+=,1=(2)∵2227-=-=,∴==23.观察下列等式:1==;====回答下列问题:(1(2)计算:【答案】(1(2)9 【分析】(1)根据已知的31=-n=22代入即可求解;(2)先利用上题的规律将每一个分数化为两个二次根式的差的形式,再计算即可. 【详解】解:(1=(2+99+=1100++-=1 =10-1 =9.24.计算:(1)+(2(33+-【答案】(1)2) -10 【分析】(1)原式二次根式的乘除法法则进行计算即可得到答案;(1)原式第一项运用二次根式的性质进行化简,第二项运用平方差公式进行化简即可. 【详解】解:(1)+===(2(33+-=14-24 =-10. 【点睛】此题主要考查了二次根式的化简,熟练掌握二次根式的性质是解答此题的关键.25.先化简再求值:(a ﹣22ab b a -)÷22a b a-,其中,b=1.【答案】原式=a ba b-=+【分析】括号内先通分进行分式的加减运算,然后再进行分式的乘除法运算,最后将数个代入进行计算即可. 【详解】原式=()()222a ab b aa ab a b -+⨯+-=()()()2·a b a aa b a b -+- =a ba b-+,当,b=1时,原式【点睛】本题考查了分式的化简求值,熟练掌握分式混合运算的运算顺序以及运算法则是解题的关键.26.先化简,再求值:24224x x x x x x ⎛⎫÷- ⎪---⎝⎭,其中2x =.【答案】22x x +-,1 【分析】先把分式化简,然后将x 、y 的值代入化简后的式子求值即可. 【详解】 原式(2)(2)22(2)2x x x x x x x x +-+=⋅=---,当2x =时,原式1==.本题考查了分式的化简求值这一知识点,把分式化到最简是解题的关键.27.已知a,b(1)求a2﹣b2的值;(2)求ba+ab的值.【答案】(1);(2)10【分析】(1)先计算出a+b、a-b的值,然后将所求的式子因式分解后利用整体代入思想代入数值进行计算即可;(2)先计算ab的值,然后将所求的式子通分,分子进行变形后利用整体代入思想代入相关数值进行计算即可.【详解】(1)∵ab,∴a+ba﹣b=,∴a2﹣b2=(a+b)(a﹣b)==;(2)∵ab,∴ab=)×)=3﹣2=1,则原式=22b aab+=()22a b abab+-=(2211-⨯=10.【点睛】本题考查了二次根式的化简求值,熟练掌握整体代入思想是解题的关键.28.计算:0(3)|1|π-+.【答案】【分析】根据二次根式的意义和性质以及零次幂的定义可以得到解答.【详解】解:原式11=+=【点睛】本题考查实数的运算,熟练掌握二次根式的运算和零次幂的意义是解题关键.29.(1)计算:21)-(2)已知a ,b 是正数,4a b +=,8ab =【答案】(1)5-2 【分析】(1)根据完全平方公式、平方差公式可以解答本题;(2)先将所求式子化简,然后将a+b=4,ab=8代入化简后的式子即可解答本题. 【详解】解:(1)原式21)=-(31)(23)=---5=-;(2)原式=== a ,b 为正数, ∴原式=把4a b +=,8ab =代入,则原式== 【点睛】本题考查二次根式的化简求值,完全平方公式、平方差公式,解答本题的关键是明确二次根式化简求值的方法.30.已知长方形的长a =b =. (1)求长方形的周长;(2)求与长方形等面积的正方形的周长,并比较其与长方形周长的大小关系.【答案】(1)2)长方形的周长大. 【解析】试题分析:(1)代入周长计算公式解决问题;(2)求得长方形的面积,开方得出正方形的边长,进一步求得周长比较即可. 试题解析:(1)()11222223a b ⎛+=⨯=⨯⨯⨯=⨯= ⎝∴长方形的周长为 .(2)114.23=⨯⨯=正方形的面积也为4. 2.= 周长为:428.⨯=8.>∴长方形的周长大于正方形的周长.【参考答案】***试卷处理标记,请不要删除一、选择题 1.B 解析:B 【分析】利用最简二次根式定义判断即可. 【详解】解:A =不是最简二次根式,本选项错误;BC =不是最简二次根式,本选项错误;D =故选:B . 【点睛】本题考查了最简二次根式,熟练掌握最简二次根式定义是解题的关键.2.A解析:A 【分析】根据二次根式有意义,被开方数非负列出不等式,求解,再依此选择合适的选项. 【详解】 解:由题意得: x-1≥0 解之:x≥1.1>. 故选:A . 【点睛】本题考查二次根式有意义的条件.理解二次根式有意义,被开方数非负是解题关键.3.C解析:C 【分析】根据二次根式的性质:被开方数大于或等于0,列不等式求解. 【详解】 解:依题意有当130x -≥时,原二次根式有意义;解得:13x ≤; 故选:C . 【点睛】本题考查了二次根式的基本性质(被开方数大于或等于0);解一元一次不等式,在解一元一次不等式的过程中要用到不等式的基本性质(1.不等式两边同时加上或同时减去一个数,不等号的方向不变;2.不等式两边同时乘以或同时除以一个正数,不等号的方向不变;3.不等式两边同时乘以或同时除以一个负数,不等号的方向改变.)熟记并灵活运用不等式的基本性质是解本题的关键.4.D解析:D 【分析】直接利用二次根式的性质分别化简得出答案. 【详解】解:A ,故A 错误;B 12=,故B 错误;C =C 错误;D 、2(=7,故D 正确; 故选:D . 【点睛】此题主要考查了二次根式的乘除,正确化简二次根式是解题关键.5.D解析:D 【分析】直接利用二次根式的有意义的条件分析得出答案. 【详解】x 1+有意义,则x+1≥0且x-2≠0, 解得:x≥-1且x≠2. 故选:D . 【点睛】本题考查了二次根式有意义的条件,正确把握相关性质是解题关键.6.B解析:B 【解析】 【分析】 将a 乘以235235+-+-可化简为关于b 的式子,从而得到a 和b 的关系,继而能得出a b 的值. 【详解】 a =3235++•()323523523526+-+-=+-=()2235b 44+-=.∴14a b =. 故选:B . 【点睛】本题考查二次根式的乘除法,有一定难度,关键是在分母有理化时要观察b 的形式.7.A解析:A 【解析】﹣+b=111a a b b a a b b ---+=-+-+= ,故选A.8.D解析:D366=,故A 不正确; 根据二次根式的除法,可直接得到42222=,故B 不正确; 根据同类二次根式的性质,可知C 不正确; ·a b ab = (a≥0,b≥0)可知D 正确.故选:D9.A解析:A 【分析】A 12进行化简为23B中,被开方数不同的两个二次根式之和不等于和的二次根式,据此可对B进行判断;C中,合并同类二次根式后即可作出判断;D中,无法进行合并运算,据此可对D进行判断.【详解】解:==A符合题意;B不符合题意;C.=C不符合题意;D.3与不能合并,故选项D不符合题意.故选:A.【点睛】此题主要考查了二次根式的加减运算,能够判断出二次根式是同类二次根式是解答此题的关键.10.C解析:C【分析】根据二次根式的性质即可求出答案.【详解】原式=3,故选C.【点睛】本题考查二次根式的性质,解题的关键是熟练运用二次根式的性质,本题属于基础题型.11.B解析:B【分析】由x+y=-5,xy=3可得到x<0,y<0,再利用二次根式的性质化简得到原式==-,然后把xy=3代入计算即可.【详解】∵x+y=−5,xy=3,∴x<0,y<0,∴原式===-(x<0,y<0),当xy=3时,原式=-故选B.【点睛】此题考查二次根式的化简求值,解题关键在于先化简.12.D解析:D【分析】先判断出点的横纵坐标的符号,进而判断点所在的象限或坐标轴.【详解】=-∴x 、y 异号,且y>0,∴x<0,或者x 、y 中有一个为0或均为0.∴那么点(),x y 在第二象限或坐标轴上.故选:D .【点睛】根据二次根式的意义,确定被开方数的取值范围,进而确定a 、b 的取值范围,从而确定点的坐标位置.二、填空题13.+1【分析】先将用完全平方式表示,再根据进行化简即可.【详解】因为,所以,故答案为:.【点睛】本题主要考查利用完全平方公式对无理式进行因式分解,二次根式的性质,解决本题的关键是要将二+1【分析】先将3+,()()()0000a a a a a a ⎧>⎪===⎨⎪-<⎩进行化简即可.【详解】因为(2231211+=+=+=+,11===故答案为:1.【点睛】本题主要考查利用完全平方公式对无理式进行因式分解,二次根式的性质,解决本题的关键是要将二次根式利用完全平方公式分解.14.【分析】根据=,将原式进行拆分,然后合并可得出答案.【详解】解:原式==.故答案为.【点睛】此题考查了二次根式的混合运算,解答本题的关键是将原式进行拆分,有一定的技巧性,注意仔细观解析:220400x x x- 【分析】-,将原式进行拆分,然后合并可得出答案. 【详解】解:原式====220400x x x-.【点睛】此题考查了二次根式的混合运算,解答本题的关键是将原式进行拆分,有一定的技巧性,注意仔细观察.15.【分析】首先化简,可得|a-2|+|a-6|+|b+4|+|b-2|=10,然后根据|a-2|+|a-6|≥4,|b+4|+|b-2|≥6,判断出a ,b 的取值范围,即可求出的最大值.【详解】解析:【分析】10-b 4-b-2=+,可得|a-2|+|a-6|+|b+4|+|b-2|=10,然后根据|a-2|+|a-6|≥4,|b+4|+|b-2|≥6,判断出a ,b 的取值范围,即可求出22a b +的最大值.【详解】10-b 4-b-2=+,1042b b =-+--, ∴261042a a b b -+-=-+--, ∴264210a a b b -+-+++-=,∵264a a -+-≥,426b b ++-≥,∴ 264a a -+-=,42=6b b ++-,∴2≤a≤6,-4≤b≤2,∴22a b +的最大值为()226452+-=,故答案为52.【点睛】本题考查了二次根式的性质与化简,绝对值的意义,算术平方根的性质.解题的关键是要明确化简二次根式的步骤:①把被开方数分解因式;②利用算术平方根的性质,把被开方数中能开得尽方的因数(或因式)都开出来;③化简后的二次根式中的被开方数中每一个因数(或因式)的指数都小于根指数2. 16.2016【解析】把所求的式子化成(x ﹣2)2+2013然后代入式子计算,即可得到:x2﹣4x+2017=(x ﹣2)2+2013 =()2+2013=3+2013=2016.故答案是:2016.解析:2016【解析】把所求的式子化成(x ﹣2)2+2013然后代入式子计算,即可得到:x 2﹣4x+2017=(x ﹣2)2+2013 =2+2013=3+2013=2016.故答案是:2016.点睛:此题主要考查了配方法的应用,解题关键是把式子配成完全平方,然后整体代入即可求解,考查了学生对整体思想的认识和应用,学生对整体思想不熟时出错的主要原因.17.【分析】先把x 分母有理化求出x= ,求出a 、b 的值,再代入求出结果即可.【详解】∵∴∴∴【点睛】本题考查了分母有理化和估算无理数的大小的应用,解此题的关键是求a 、b 的值.解析:6【分析】先把x 分母有理化求出2 ,求出a 、b 的值,再代入求出结果即可.【详解】2x === ∵23<<∴425<< ∴4,242a b ==-=∴42)6a b -=-=【点睛】本题考查了分母有理化和估算无理数的大小的应用,解此题的关键是求a 、b 的值.18.【分析】原来的一列数即为,,,,,,于是可得第n 个数是,进而可得答案.【详解】解:原来的一列数即为:,,,,,,∴第100个数是.故答案为:.【点睛】本题考查了数的规律探求,属于常考解析:【分析】,,于是可得第n 进而可得答案.【详解】,∴第100=.故答案为:【点睛】本题考查了数的规律探求,属于常考题型,熟练掌握二次根式的性质、找到规律是解题的关键.19.【分析】根据二次根式的有意义的条件可求出x ,进而可得y 的值,然后把x 、y 的值代入所求式子计算即可.【详解】解:∵x-3≥0,3-x≥0,∴x=3,∴y=﹣2,∴.故答案为:.【点睛】 解析:19【分析】根据二次根式的有意义的条件可求出x ,进而可得y 的值,然后把x 、y 的值代入所求式子计算即可.【详解】解:∵x -3≥0,3-x ≥0,∴x =3,∴y =﹣2, ∴2139y x -==. 故答案为:19. 【点睛】本题考查了二次根式有意义的条件和负整数指数幂的运算,属于常考题型,熟练掌握基本知识是解题的关键.20.【分析】先将原等式两边同时乘2,然后将左侧配方,然后利用平方的非负性即可求出a 和b 的值,然后代入即可.【详解】解:∵∴∴∴∵∴解得:a=-4,b=-2∴=故答案为:.【点睛解析:【分析】先将原等式两边同时乘2,然后将左侧配方,然后利用平方的非负性即可求出a 和b 的值,然后代入即可.【详解】解:∵2222480a ab b a -+++=∴222448160a ab b a -+++=∴()()222448160a ab ba a -+++=+ ∴()()22240ab a +-+=∵()()2220,40a b a +-≥≥∴20,40a b a +-==解得:a=-4,b=-2=故答案为:【点睛】此题考查的是配方法、非负性的应用和化简二次根式,掌握完全平方公式、平方的非负性和二次根式的乘法公式是解决此题的关键.三、解答题21.无22.无23.无24.无25.无26.无27.无28.无29.无30.无。
一、选择题1.如图,ABC 是等边三角形,点D .E 分别为边BC .AC 上的点,且CD AE =,点F 是BE 和AD 的交点,BG AD ⊥,垂足为点G ,已知75∠=︒BEC ,1FG =,则2AB 为( )A .4B .5C .6D .72.图中不能证明勾股定理的是( )A .B .C .D .3.如图,在ABC 中,90A ∠=︒,6AB =,8AC =,ABC ∠与ACB ∠的平分线交于点O ,过点O 作⊥OD AB 于点D ,若则AD 的长为( )A 2B .2C 3D .44.直角三角形的面积为 S ,斜边上的中线为 d ,则这个三角形周长为 ( )A .22d S d ++B .2d S d --C .22d S d ++D .()22d S d ++ 5.圆柱形杯子的高为18cm ,底面周长为24cm ,已知蚂蚁在外壁A 处(距杯子上沿2cm )发现一滴蜂蜜在杯子内(距杯子下沿4cm ),则蚂蚁从A 处爬到B 处的最短距离为( )A .813B .28C .20D .1226.如图,△ABC 中,AB=10,BC=12,AC=213,则△ABC 的面积是( ).A .36B .1013C .60D .12137.《九章算术》中的“折竹抵地”问题:今有竹高一丈,末折抵地,去根六尺,问折高者几何?意思是一根竹子,原高一丈(一丈=10尺)一阵风将竹子折断,某竹梢恰好抵地,抵地处离竹子底部6尺远,则折断处离地面的高度是( )A .5.3尺B .6.8尺C .4.7尺D .3.2尺8.如图,在△ABC 中,AB=8,BC=10,AC=6,则BC 边上的高AD 为( )A .8B .9C .245D .109.我国南宋著名数学家秦九韶的著作《数书九章》里记载有这样一道题:“问有沙田一块,有三斜,其中小斜五里,中斜十二里,大斜十三里,欲知为田几何?”这道题讲的是:有一块三角形沙田,三条边长分别为5里,12里,13里,问这块沙田面积有多大?题中“里”是我国市制长度单位,1里=500米,则该沙田的面积为( )A .7.5平方千米B .15平方千米C .75平方千米D .750平方千米10.如图,已知△ABC 中,∠ABC =90°,AB =BC ,三角形的顶点在相互平行的三条直线l 1,l 2,l 3上,且l 1,l 2之间的距离为2,l 2,l 3之间的距离为3,则AC 的长是( )A .217B .25C .42D .7二、填空题11.如图,现有一长方体的实心木块,有一蚂蚁从A 处出发沿长方体表面爬行到C '处,若长方体的长4cm AB =,宽2cm BC =,高1cm BB '=,则蚂蚁爬行的最短路径长是___________.12.如图,在四边形ABCD 中,AB =AD ,BC=DC ,点E 为AD 边上一点,连接BD 、CE ,CE 与BD 交于点F ,且CE ∥AB ,若∠A =60°,AB=4,CE=3,则BC 的长为_______.13.如图,在平面直角坐标系中,等腰直角三角形OAA 1的直角边OA 在x 轴上,点A 1在第一象限,且OA=1,以点A 1为直角顶点,OA 1为一直角边作等腰直角三角形OA 1A 2,再以点A 2为直角顶点,OA 2为直角边作等腰直角三角形OA 2A 3…依此规律,则点A 2018的坐标是_____.14.如图,有一个圆柱,它的高等于12厘米,底面半径等于3厘米.在圆柱的下底面A 点有一只蚂蚁,它想吃到上底面上与A 点相对的C 点处的食物,需要爬行的最短路程是___________________(π的值取3).15.在Rt ABC 中,90,30,2C A BC ∠=∠==,以ABC 的边AC 为一边的等腰三角形,它的第三个顶点在ABC 的斜边AB 上,则这个等腰三角形的腰长为_________.16.如图,已知△DBC 是等腰直角三角形,BE 与CD 交于点O ,∠BDC=∠BEC=90°,BF=CF ,若BC=8,OD=2,则OF=______.17.如图,在Rt ABC ∆中,90ABC ∠=,DE 垂直平分AC ,垂足为F ,//AD BC ,且3AB =,4BC =,则AD 的长为______.18.如图,△ABC 中,∠ABC =45°,∠BCA =30°,点D 在BC 上,点E 在△ABC 外,且AD =AE =CE ,AD ⊥AE ,则AB BD 的值为____________.19.如图,△ABC 中,AB=AC=13,BC=10,AD 是BAC ∠的角平分线,E 是AD 上的动点,F 是AB 边上的动点,则BE+EF 的最小值为_____.20.在Rt ABC 中,90A ∠=︒,其中一个锐角为60︒,23BC =,点P 在直线AC 上(不与A ,C 两点重合),当30ABP ∠=︒时,CP 的长为__________.三、解答题21.如图,在两个等腰直角ABC 和CDE △中,∠ACB = ∠DCE=90°.(1)观察猜想:如图1,点E 在BC 上,线段AE 与BD 的数量关系是 ,位置关系是 ;(2)探究证明:把CDE △绕直角顶点C 旋转到图2的位置,(1)中的结论还成立吗?说明理由;(3)拓展延伸:把CDE △绕点C 在平面内自由旋转,若AC = BC=10,DE=12,当A 、E 、D 三点在直线上时,请直接写出 AD 的长.22.定义:有一组邻边均和一条对角线相等的四边形叫做邻和四边形.(1)如图1,四边形ABCD 中,∠ABC =70°,∠BAC =40°,∠ACD =∠ADC =80°,求证:四边形ABCD 是邻和四边形.(2)如图2,是由50个小正三角形组成的网格,每个小正三角形的顶点称为格点,已知A 、B 、C 三点的位置如图,请在网格图中标出所有的格点.......D .,使得以A 、B 、C 、D 为顶点的四边形为邻和四边形.(3)如图3,△ABC 中,∠ABC =90°,AB =2,BC =3D ,使四边形ABCD 是邻和四边形,求邻和四边形ABCD 的面积.23.如图,△ACB 和△ECD 都是等腰直角三角形,∠ACB =∠ECD =90°,点D 在边AB 上,点E 在边AC 的左侧,连接AE .(1)求证:AE =BD ;(2)试探究线段AD 、BD 与CD 之间的数量关系;(3)过点C 作CF ⊥DE 交AB 于点F ,若BD :AF =1:22,CD =36+,求线段AB 的长.24.如图所示,已知ABC ∆中,90B ∠=︒,16AB cm =,20AC cm =,P 、Q 是ABC ∆的边上的两个动点,其中点P 从点A 开始沿A B →方向运动,且速度为每秒1cm ,点Q 从点B 开始沿B C A →→方向运动,且速度为每秒2cm ,它们同时出发,设出发的时间为ts .(1)则BC =____________cm ;(2)当t 为何值时,点P 在边AC 的垂直平分线上?此时CQ =_________?(3)当点Q 在边CA 上运动时,直接写出使BCQ ∆成为等腰三角形的运动时间.25.已知:如图,在ABC ∆中,90ACB ∠=,以点B 为圆心,BC 的长为半径画弧,交线段AB 于点D ,以点A 为圆心,AD 长为半径画弧,交线段AC 与点E .(1)根据题意用尺规作图补全图形(保留作图痕迹);(2)设,BC m AC n ==①线段AD 的长度是方程2220x mx n +-=的一个根吗?并说明理由.②若线段2AD EC =,求m n的值.26.已知ABC ∆中,90ACB ∠=︒,AC BC =,过顶点A 作射线AP .(1)当射线AP 在BAC ∠外部时,如图①,点D 在射线AP 上,连结CD 、BD ,已知21AD n =-,21AB n =+,2BD n =(1n >).①试证明ABD ∆是直角三角形;②求线段CD 的长.(用含n 的代数式表示)(2)当射线AP 在BAC ∠内部时,如图②,过点B 作BD AP ⊥于点D ,连结CD ,请写出线段AD 、BD 、CD 的数量关系,并说明理由.27.如图,在四边形ABCD 中,=AB AD ,=BC DC ,=60A ∠︒,点E 为AD 边上一点,连接CE ,BD . CE 与BD 交于点F ,且CE ∥AB .(1)求证:CED ADB ∠=∠;(2)若=8AB ,=6CE . 求BC 的长 .28.2ABCD 中,点O 是对角线AC 的中点,E 是线段OA 上一动点(不包括两个端点),连接BE .(1)如图1,过点E 作EF BE ⊥交CD 于点F ,连接BF 交AC 于点G .①求证:BE EF =;②设AE x =,CG y =,求y 与x 的函数关系式,并写出自变量x 的取值范围. (2)在如图2中,请用无刻度的直尺作出一个以BE 为边的菱形.29.已知:四边形ABCD 是菱形,AB =4,∠ABC =60°,有一足够大的含60°角的直角三角尺的60°角的顶点与菱形ABCD 的顶点A 重合,两边分别射线CB 、DC 相交于点E 、F ,且∠EAP =60°.(1)如图1,当点E 是线段CB 的中点时,请直接判断△AEF 的形状是 .(2)如图2,当点E 是线段CB 上任意一点时(点E 不与B 、C 重合),求证:BE =CF ; (3)如图3,当点E 在线段CB 的延长线上,且∠EAB =15°时,求点F 到BC 的距离.30.已知,矩形ABCD 中,AB =4cm ,BC =8cm ,AC 的垂直平分线EF 分别交AD 、BC 于点E 、F ,垂足为O .(1)如图1,连接AF 、CE .求证:四边形AFCE 为菱形.(2)如图1,求AF 的长.(3)如图2,动点P 、Q 分别从A 、C 两点同时出发,沿△AFB 和△CDE 各边匀速运动一周.即点P自A→F→B→A停止,点Q自C→D→E→C停止.在运动过程中,点P的速度为每秒1cm,设运动时间为t秒.①问在运动的过程中,以A、P、C、Q四点为顶点的四边形有可能是矩形吗?若有可能,请求出运动时间t和点Q的速度;若不可能,请说明理由.②若点Q的速度为每秒0.8cm,当A、P、C、Q四点为顶点的四边形是平行四边形时,求t 的值.【参考答案】***试卷处理标记,请不要删除一、选择题1.C解析:C【分析】结合等边三角形得性质易证△ABE≌△CAD,可得∠FBG=30°,BF=2FG=2,再求解∠ABE =15°,进而两次利用勾股定理可求解.【详解】∵△ABC为等边三角形∴∠BAE=∠C=60°,AB=AC,CD=AE∴△ABE≌△CAD(SAS)∴∠ABE=∠CAD∴∠BFD=∠ABE+∠BAD=∠CAD+∠BAF=∠BAC=60°,∵BG⊥AD,∴∠BGF=90°,∴∠FBG=30°,∵FG=1,∴BF=2FG=2,∵∠BEC=75°,∠BAE=60°,∴∠ABE=∠BEC﹣∠BAE=15°,∴∠ABG=45°,∵BG⊥AD,∴∠AGB=90°,∴=AB2=AG2+BG22)2=6.故选C.【点睛】本题考查全等三角形的判定与性质,等边三角形的性质,勾股定理,证明△ABG为等腰直角三角形是解题关键.2.A解析:A【分析】根据各个图象,利用面积的不同表示方法,列式证明结论222+=a b c ,找出不能证明的那个选项.【详解】解:A 选项不能证明勾股定理;B 选项,通过大正方形面积的不同表示方法,可以列式()22142a b ab c +=⨯+,可得222+=a b c ;C 选项,通过梯形的面积的不同表示方法,可以列式()22112222a b ab c +=⨯+,可得222+=a b c ; D 选项,通过这个不规则图象的面积的不同表示方法,可以列式222112222c ab a b ab +⨯=++⨯,可得222+=a b c . 故选:A .【点睛】本题考查勾股定理的证明,解题的关键是掌握勾股定理的证明方法.3.B解析:B【分析】过点O 作OE ⊥BC 于E ,OF ⊥AC 于F ,由角平分线的性质得到OD=OE=OF ,根据勾股定理求出BC 的长,易得四边形ADFO 为正方形,根据线段间的转化即可得出结果.【详解】解:过点O 作OE ⊥BC 于E ,OF ⊥AC 于F ,∵BO,CO 分别为∠ABC ,∠ACB 的平分线,所以OD=OE=OF ,又BO=BO,∴△BDO ≌△BEO,∴BE=BD.同理可得,CE=CF.又四边形ADOE 为矩形,∴四边形ADOE 为正方形.∴AD=AF.∵在Rt △ABC 中,AB=6,AC=8,∴BC=10.∴AD+BD=6①,AF+FC=8②,BE+CE=BD+CF=10③,①+②得,AD+BD+AF+FC=14,即2AD+10=14,∴AD=2.故选:B.【点睛】此题考查了角平分线的定义与性质,以及全等三角形的判定与性质,属于中考常考题型.4.D解析:D【解析】【分析】根据直角三角形的性质求出斜边长,根据勾股定理、完全平方公式计算即可。
八年级第二学期 第一次 质量检测数学试题含答案一、选择题1.如果0,0a b <<,且6a b -= )A .6B .6-C .6或6-D .无法确定 2.下列计算正确的是( )A =B .2=C .(26=D ==3.在实数范围内有意义,则x 的取值范围是( ) A .x >3 B .x >-3 C .x≥-3 D .x≤-34.下列各式中,正确的是( )A 2=±B =C 3=-D 2=5.(2的结果正确的是( )A B .3 C .6 D .36.x 的取值范围是( )A .x≥2020B .x≤2020C .x> 2020D .x< 2020 7.下列计算正确的是( )A =B 1-=C =D 6==8.有意义,那么直角坐标系中点A(a,b)在( ) A .第一象限B .第二象限C .第三象限D .第四象限9. A .﹣3 B .3 C .﹣9 D .910.给出下列化简①(2=2=2=12=,其中正确的是( ) A .①②③④B .①②③C .①②D .③④ 11.下列属于最简二次根式的是( )A B C D 12.下列运算正确的是( )A .826-=B .222+=C .3515⋅=D .2739÷=二、填空题13.已知()230m m --≤,若整数a 满足52m a +=,则a =__________.14.为了简洁、明确的表示一个正数的算术平方根,许多数学家进行了探索,期间经历了400余年,直至1637年法国数学家笛卡儿在他的《几何学》中开始使用“”表示算数平方根.我国使用根号是由李善兰(1811-1882年)译西方数学书时引用的,她在《代数备旨》中把图1所示题目翻译为: 22164?a x a x +=则图2所示题目(字母代表正数)翻译为_____________,计算结果为_______________.15.()()22223310x y x y ++-+=,则222516x y +=______. 16.14(1)(1)(2)(8)(9)x x x x x x +⋅⋅⋅=+++++的解是______. 17.若0xy >,则二次根式2y x -________. 18.3a ,小数部分是b 3a b -=______.19.化简:3222=_____.20.4x -x 的取值范围是_____. 三、解答题 21.3535+-解:设x 3535+-222(35)(35)2(35)(35)x =++-++-235354x =+,x 2=10∴x =10.3535+-03535+-10.4747+-【分析】根据题意给出的解法即可求出答案即可.【详解】设x两边平方得:x 2=2+2+即x 2=4+4+6,x 2=14∴x =.0,∴x .【点睛】本题考查了二次根式的运算,解题的关键是正确理解题意给出的解法,本题属于中等题型.22.x 的值,代入后,求式子的值. 【答案】答案见解析.【解析】试题分析:先把除式化为最简二次根式,再用二次根式的乘法法则化简,选取的x 的值需要使原式有意义.试题解析:原式22x x ==--== 要使原式有意义,则x >2.所以本题答案不唯一,如取x =4.则原式=223.阅读下面的解答过程,然后作答:m 和n ,使m 2+n 2=a 且,则a 可变为m 2+n 2+2mn ,即变成(m +n )2例如:∵=)2+)2=)2∴请你仿照上例将下列各式化简(12【答案】(1)2-【分析】参照范例中的方法进行解答即可.【详解】解:(1)∵22241(1+=+=,1=(2)∵2227-=-=,∴==24.【分析】先化为最简二次根式,再将被开方数相同的二次根式进行合并.【详解】.【点睛】本题考查了二次根式的加减运算,在进行此类运算时,先把二次根式化为最简二次根式的形式后再运算.25.先化简再求值:4y x ⎛- ⎝,其中30x -=.【答案】(2x -【分析】先根据二次根式的混合运算顺序和运算法则化简原式,再利用非负数的性质得出x ,y 的值,继而将x 、y 的值代入计算可得答案.【详解】解:4y x ⎛- ⎝((=-(2x =-∵ 30x -∴ 3,4x y ==当3,4x y ==时原式(23=-==【点睛】本题主要考查了二次根式的化简求值,解题的关键是掌握非负数的性质和二次根式的混合运算顺序和法则.26.(1)计算:(2)先化简,再求值:(()8a a a a +--,其中14a =.【答案】(1)2)82-a ,【分析】(1)分别根据二次根式的除法法则、二次根式的性质、二次根式的乘法法则计算和化简各项,再合并同类二次根式即可;(2)分别根据平方差公式和单项式乘以多项式的法则计算各项,再把a 的值代入化简后的式子计算即可.【详解】(1)==;(2)(()8a a a a +--2228a a a =--+82a =-,当14a =时,原式1824⎫=⨯-=⎪⎭. 【点睛】本题考查了整式的乘法和二次根式的混合运算,属于常考题型,熟练掌握基本知识是解题的关键.27.先化简,再求值:a ,其中【答案】2a-1,【分析】先根据二次根式的性质进行化简,再代入求值即可.【详解】解:1a =-∴原式=1a a --=21a -当1a =-∴原式=(211-=1-【点睛】此题主要考查化简求值,正确理解二次根式的性质是解题关键.28.计算②)21-【答案】① 【分析】 ①根据二次根式的加减法则计算;②利用平方差、完全平方公式进行计算.【详解】解:①原式=②原式=(5-2-=【点睛】本题考查二次根式的运算,熟练掌握完全平方公式、平方差公式是关键.29.计算:0(3)|1|π-+.【答案】【分析】根据二次根式的意义和性质以及零次幂的定义可以得到解答.【详解】解:原式11=+=本题考查实数的运算,熟练掌握二次根式的运算和零次幂的意义是解题关键.30.计算:(1)13⎛+-⨯ ⎝⎭(2))()2221+.【答案】(1)6-;(2)12-【分析】(1)原式化简后,利用二次根式乘法法则计算即可求出值;(2)原式利用平方差公式,以及完全平方公式计算即可求出值.【详解】解:(1)原式=1(23⨯⨯=-⨯=⨯⎭=6-;(2)原式=3﹣4+12﹣=12﹣.【点睛】此题考查了二次根式的混合运算,以及平方差公式、完全平方公式,熟练掌握运算法则及公式是解本题的关键.【参考答案】***试卷处理标记,请不要删除一、选择题1.B解析:B【解析】=-a-(-b)=b-a=-6.故选B2.D【解析】5==,=,(24312=⨯=,选项D正确.3.C解析:C【解析】分析:根据被开方数大于等于0列式进行计算即可得解.详解:根据题意得,x+3≥0,解得x≥-3.故选C.点睛:本题考查的知识点为:二次根式的被开方数是非负数,这也是解答本题的关键. 4.B解析:B【分析】本题可利用二次根式的化简以及运算法则判断A、B、C选项;利用立方根性质判断D选项.【详解】A,故该选项错误;B==C3=,故该选项错误;D11223334=(2)2==,故该选项错误;故选:B.【点睛】本题考查二次根式以及立方根,二次根式计算时通常需要化为最简二次根式,然后按照运算法则求解即可,解题关键是细心.5.A解析:A【分析】分别根据二次根式的除法和乘法法则以及二次根式的平方计算每一项,再合并即可.【详解】解:原式333=+=故选:A.【点睛】本题主要考查了二次根式的混合运算,属于基础题型,熟练掌握二次根式的乘除法则是解题的关键.解析:A【分析】先根据二次根式有意义的条件列出关于x的不等式,求出x的取值范围即可.【详解】∴x-2020≥0,解得:x≥2020;故选:A.【点睛】本题考查的是二次根式有意义的条件,熟知二次根式中的被开方数是非负数是解答此题的关键.7.A解析:A【分析】本题涉及二次根式化简,在计算时,需要针对每个选项分别进行计算,然后根据实数的运算法则求得计算结果.【详解】====,故本项错误;D. 6故选:A.【点睛】本题主要考查了实数的综合运算能力,是各地中考题中常见的计算题型.解决此类题目的关键是熟练掌握二次根式的运算.8.A解析:A【解析】试题分析:根据二次根式的概念,可知a≥0,ab>0,解得a>0,b>0,因此可知A(a,b)在第一象限.故选A9.B解析:B【分析】利用二次根式的性质进行化简即可.【详解】﹣3|=3.故选B.10.C解析:C【分析】根据二次根式的性质逐一进行计算即可求出答案.【详解】①原式=2,故①正确;②原式=2,故②正确;③原式==④原式==,故④错误,故选C.【点睛】本题考查二次根式的性质和化简,熟练掌握二次根式的性质是解题的关键.11.B解析:B【分析】判断一个二次根式是否为最简二次根式主要方法是根据最简二次根式的定义进行,或直观地观察被开方数的每一个因数(或因式)的指数都小于根指数2,且被开方数中不含有分母,被开方数是多项式时要先因式分解后再观察.【详解】解:A,不符合题意;BC=2,不符合题意;,不符合题意;D3故选B.【点睛】本题考查了最简二次根式的定义.在判断最简二次根式的过程中要注意:(1)在二次根式的被开方数中,只要含有分数或小数,就不是最简二次根式;(2)在二次根式的被开方数中的每一个因式(或因数),如果幂的指数大于或等于2,也不是最简二次根式.12.C解析:C【分析】根据二次根式的减法法则对A进行判断;根据二次根式的加法法则对B进行判断;根据二次根式的乘法则对C 进行判断;根据二次根式的除法法则对D 进行判断.【详解】解:A =,所以A 选项错误;B =B 选项错误;C =C 选项正确;D 3=,所以D 选项错误.故选:C .【点睛】本题考查了二次根式的混合运算:先把二次根式化为最简二次根式,然后进行二次根式的乘除运算,再合并即可.二、填空题13.【分析】先根据确定m 的取值范围,再根据,推出,最后利用来确定a 的取值范围.【详解】解:为整数为故答案为:5.【点睛】本题考查的知识点是二次根式以及估算无理数的大小,利用解析:5【分析】)30m -≤确定m 的取值范围,再根据m a +=32a ≤≤,最后利用78<<来确定a 的取值范围.【详解】 解:()230m m --≤23m ∴≤≤+=m a∴=a m∴≤≤32a<<7528∴<<a46a为整数∴为5a故答案为:5.【点睛】本题考查的知识点是二次根式以及估算无理数的大小,利用“逼近法”得出围是解此题的关键.14.a+3【分析】根据题意可知图中的甲代表a,据此可写出图2中表示的式子.再根据二次根式的性质进行化简.【详解】解:根据题意可知图中的甲代表a,∴图2所示题目(字母代表正数)翻【分析】根据题意可知图中的甲代表a,据此可写出图2中表示的式子.再根据二次根式的性质进行化简.【详解】解:根据题意可知图中的甲代表a,∴图2∵a>0+3.=aa+3.【点睛】本题考查阅读理解的能力,正确理解题意是关键.15.【解析】【分析】把带根号的一项移项后平方,整理后再平方,然后整理即可得解.【详解】移项得,两边平方得,整理得,两边平方得,所以,两边除以400得,1.故答案为1.【点睛】解析:【解析】【分析】把带根号的一项移项后平方,整理后再平方,然后整理即可得解.【详解】10=-两边平方得,()()22223=1003x y x y ++--+整理得,253x =- 两边平方得,22225150225256251509x x y x x -++=-+ 所以,221625400x y +=两边除以400得,222516x y +=1. 故答案为1.【点睛】本题考查了非负数的性质,此类题目难点在于把两个算术平方根通过移项分到等式左右两边.16.9【解析】【分析】设y=,由可将原方程进行化简,解化简后的方程即可求得答案.【详解】设y=,则原方程变形为,∴,即,∴4y+36-4y=y(y+9),即y2+9y-36=0,∴解析:9【解析】【分析】设()11111y y y y =-++可将原方程进行化简,解化简后的方程即可求得答案. 【详解】设则原方程变形为()()()()()1111112894y y y y y y ++=+++++, ∴1111111112894y y y y y y -+-++-=+++++, 即11194y y -=+, ∴4y+36-4y=y(y+9),即y 2+9y-36=0,∴y=-12或y=3, ∵, ∴,∴x=9,故答案为:9.【点睛】本题考查了解无理方程,解题的关键是利用换元法,还要注意()11111y y y y =-++的应用. 17.-【分析】 首先判断出x ,y 的符号,再利用二次根式的性质化简求出答案.【详解】解:∵,且有意义,∴,∴.故答案为.【点睛】此题主要考查了二次根式的性质与化简,正确掌握二次根式的性质是 解析:【分析】首先判断出x ,y 的符号,再利用二次根式的性质化简求出答案.【详解】解:∵0xy > ∴00x y <,<,∴x ==.故答案为.【点睛】 此题主要考查了二次根式的性质与化简,正确掌握二次根式的性质是解题关键.即(0)(0)a a a a a ≥⎧==⎨-<⎩=(a ≥0,b >0). 18.【详解】 若的整数部分为a ,小数部分为b ,∴a=1,b=,∴a-b==1.故答案为1.解析:【详解】a ,小数部分为b ,∴a =1,b1, ∴-b 1)=1.故答案为1.19.【分析】直接合并同类二次根式即可.【详解】解:.故答案为【点睛】合并同类二次根式实际是把同类二次根式的系数相加,而根指数与被开方数都不变. 解析:【分析】直接合并同类二次根式即可.【详解】解:=.故答案为【点睛】合并同类二次根式实际是把同类二次根式的系数相加,而根指数与被开方数都不变.20.x>4【分析】根据二次根式有意义的条件、分式有意义的条件列出不等式,解不等式得到答案.【详解】解:由题意得,x﹣4>0,解得,x>4,故答案为:x>4.【点睛】本题主要考查的是二次根解析:x>4【分析】根据二次根式有意义的条件、分式有意义的条件列出不等式,解不等式得到答案.【详解】解:由题意得,x﹣4>0,解得,x>4,故答案为:x>4.【点睛】本题主要考查的是二次根式有意义的条件、分式有意义的条件,掌握二次根式的被开方数是非负数、分式分母不为0是解题的关键.三、解答题21.无22.无23.无24.无25.无26.无27.无28.无29.无30.无。
八年级数学第二学期 第一次 质量检测测试卷及解析一、选择题1.下列各式成立的是( ) A .2(3)3-=B .633-=C .222()33-=- D .2332-=2.下列计算正确的是( ) A .2+3=5B .8=42C .32﹣2=3D .23⋅=63.已知实数a 在数轴上的位置如图所示,则化简2||(-1)a a +的结果为( )A .1B .﹣1C .1﹣2aD .2a ﹣14.已知226a b ab +=,且a>b>0,则a ba b+-的值为( ) A .2B .±2C .2D .±25.如图直线a ,b 都与直线m 垂直,垂足分别为M 、N ,MN =1,等腰直角△ABC 的斜边,AB 在直线m 上,AB =2,且点B 位于点M 处,将等腰直角△ABC 沿直线m 向右平移,直到点A 与点N 重合为止,记点B 平移平移的距离为x ,等腰直角△ABC 的边位于直线a ,b 之间部分的长度和为y ,则y 关于x 的函数图象大致为( )A .B .C .D .6.若化简|1-x|-2816x x -+的结果为2x ﹣5,则x 的取值范围是( ) A . x 为任意实数 B .1≤x ≤4C .x ≥1D . x ≤47.将1、、、按图2所示的方式排列,若规定(m ,n )表示第m 排从左到右第n 个数,则(4,2)与(21,2)表示的两数的积是( )A .1B .2C .D .68.以下运算错误的是( )A .3535⨯=⨯B .2222⨯=C .169+=169+D .2342a b ab b =(a >0)9.下列二次根式中,与3是同类二次根式的是( ) A .18B .13C 24D 0.310.如果实数x ,y 23x y xy y =-(),x y 在( ) A .第一象限 B .第二象限C .第一象限或坐标轴上D .第二象限或坐标轴上11.与根式1x-- ) A .xB .x x --C .x --D x -12.下列运算错误的是( ) A 23=6B 22 C .22+32=52D ()21-212=二、填空题13.322+=___________.14.2215x 19x 2+-=2219x 215x -+=________. 15.定义:对非负实数x “四舍五入”到个位的值记为()f x z , 即:当n 为非负整数时,如果1122n x n -<+≤,则()f x n =z .如:(0)(0.48)0f f ==z z ,(0.64)(1.49)1f f ==z z ,(4)(3.68)4f f ==z z ,试解决下列问题:①(3)f =z __________;②2(33)f +=z __________; 222222(11)(22)(22)(33)(33)(44)f f f f f f ++⋅++⋅++⋅+z z z z z z22(20172017)(20182018)f f =+⋅+z z __________.16.实数a 、b 满足22a -4a 436-12a a 10-b 4-b-2+++=+,则22a b +的最大值为_________.17.当x =2+3时,式子x 2﹣4x +2017=________.18.将1、2、3、6按右侧方式排列.若规定(m ,n )表示第m 排从左向右第n 个数,则(5,4)与(9,4)表示的两数之积是______.19.已知整数x ,y 满足20172019y x x =+--,则y =__________.20.函数y 4x-中,自变量x 的取值范围是____________. 三、解答题21.小明在解决问题:已知a 23+2a 2-8a +1的值,他是这样分析与解答的: 因为a 23+()()32323+-=23, 所以a -23所以(a -2)2=3,即a 2-4a +4=3. 所以a 2-4a =-1.所以2a 2-8a +1=2(a 2-4a)+1=2×(-1)+1=-1. 请你根据小明的分析过程,解决如下问题: (1)计算:2+1= - . (2)2+13+24+3…100+99(3)若a 21-,求4a 2-8a +1的值. 【答案】2 ,1;(2) 9;(3) 5 【分析】(11==;(2)根据例题可得:对每个式子的分子和分母中同时乘以与分母中的式子相乘符合平方差公式的根式,去掉分母,然后合并同类项二次根式即可求解; (3)首先化简a ,然后把所求的式子化成()2413a --代入求解即可. 【详解】(1)计算:1=; (2)原式)1...11019=++++==-=;(3)1a ===,则原式()()224213413a a a =-+-=--, 当1a =时,原式2435=⨯-=.【点睛】本题考查了二次根式的化简求值,正确读懂例题,对根式进行化简是关键.22.阅读材料,回答问题:两个含有二次根式的代数式相乘,如果它们的积不含有二次根式,我们就说这两个代数式a =,)111=11互为有理化因式.(1)1的有理化因式是 ;(2)这样,化简一个分母含有二次根式的式子时,采用分子、分母同乘以分母的有理化因式的方法就可以了,例如:3==,25384532++====-进行分母有理化. (3)利用所需知识判断:若a =,2b =a b ,的关系是 .(4)直接写结果:)1=.【答案】(1)1;(2)7-;(3)互为相反数;(4)2019【分析】(1)根据互为有理化因式的定义利用平方差公式即可得出;(2)原式分子分母同时乘以分母的有理化因式(2,化简即可;(3)将a=(4)化简第一个括号内的式子,里面的每一项进行分母有理化,然后利用平方差公式计算即可.【详解】解:(1)∵()()1111=,∴1的有理化因式是1;(2227 -==-(3)∵2a===,2b=-,∴a和b互为相反数;(4))1 ++⨯=)11⨯=)11=20201-=2019,故原式的值为2019.【点睛】本题考查了互为有理化因式的定义及分母有理化的方法,并考查了利用分母有理化进行计算及探究相关式子的规律,本题属于中档题.23.先阅读下列解答过程,然后再解答:,ab,使a b m+=,ab n=,使得22m+==)a b==>+=⨯=,==,由于437,43127,12m n+=,=即:227===+。
八年级数学第二学期第一次质量检测测试卷一、选择题1. )A B .C .D .2.当0x =的值是( )A .4B .2CD .03.估计( ( ) A .4和5之间B .5和6之间C .6和7之间D .7和8之间4.x 的取值范围是( ) A .x≥2020B .x≤2020C .x> 2020D .x< 20205.下列式子中,为最简二次根式的是( )A B C D6.关于代数式12a a ++,有以下几种说法, ①当3a =-时,则12a a ++的值为-4.②若12a a ++值为2,则a = ③若2a >-,则12a a ++存在最小值且最小值为0. 在上述说法中正确的是( )A .①B .①②C .①③D .①②③7.下列运算正确的是( )A B .﹣=1C .D .﹣(a ﹣b8.下列计算或判断:(1)±3是27的立方根;(2;(32;(4;(5) A .1个B .2个C .3个D .4个 9.下列各式计算正确的是( )A +=B .26=(C 4=D =10.给出下列化简①(2=2=2=④11142-=,其中正确的是( ) A .①②③④B .①②③C .①②D .③④11.古希腊几何学家海伦和我国宋代数学家秦九韶都曾提出利用三角形的三边求面积的公式,称为海伦﹣秦九韶公式:如果一个三角形的三边长分别是a ,b ,c ,记2a b cp ++=,那么三角形的面积为()()()S p p a p b p c =---如图,在ABC ∆中,A ∠,B ,C ∠所对的边分别记为a ,b ,c ,若5a =,6b =,7c =,则ABC ∆的面积为( )A .66B .3C .18D .19212.与根式1x-- ) A .xB .x x --C .x --D x -二、填空题13.比较实数的大小:(1)5?-______3 ;(2)514_______12 14.化简并计算:()()()()()()()...112231920xx x x x x x x +=+++++++________.(结果中分母不含根式)15.120654010144152118+++235a b c +的形式(,,a b c 为正整数),则abc =______.16.x y 53xy 153,则x+y=_______.17.将1236按右侧方式排列.若规定(m ,n )表示第m 排从左向右第n 个数,则(5,4)与(9,4)表示的两数之积是______.18.计算:11882--=_____________. 19.25523y x x =-+--,则2xy 的值为__________.20.实数a 、b 在数轴上的位置如图所示,则化简()222a b a b -+-=_____.三、解答题21.先将32222x xx x x ---x 的值,代入后,求式子的值. 【答案】答案见解析. 【解析】 试题分析:先把除式化为最简二次根式,再用二次根式的乘法法则化简,选取的x 的值需要使原式有意义. 试题解析: 原式2221222x x x x x x --==--222x x x x x -=-=- 要使原式有意义,则x >2.所以本题答案不唯一,如取x =4.则原式=222.计算 (1)(4﹣3)+2(2)(3)甲、乙两台机床同时生产一种零件,在10天中,两台机床每天出次品的数量如表:甲 0 1 0 2 2 0 3 1 2 4 乙23112111请计算两组数据的方差. 【答案】(1)6﹣3;(2)-6(3)甲的方差1.65;乙的方差0.76【解析】试题分析:(1)先去括号,再合并;(2)先进行二次根式的乘法运算,然后去绝对值合并;(3)先分别计算出甲乙的平均数,然后根据方差公式分别进行甲乙的方差. 试题解析:(1)原式=4﹣3+2=6﹣3; (2)原式=﹣3﹣2+﹣3 =-6;(3)甲的平均数=(0+1+0+2+2+0+3+1+2+4)=1.5,乙的平均数=(2+3+1+1+0+2+1+1+0+1)=1.2,甲的方差=×[3×(0﹣1.5)2+2×(1﹣1.5)2+3×(2﹣1.5)2+(3﹣1.5)2+(4﹣1.5)2]=1.65; 乙的方差=×[2×(0﹣1.2)2+5×(1﹣1.2)2+2×(2﹣1.2)2+(3﹣1.2)2]=0.76.考点: 二次根式的混合运算;方差.23.先化简,再求值:(()69x x x x --+,其中1x =.【答案】化简得6x+6,代入得 【分析】根据整式的运算公式进行化简即可求解. 【详解】(()69x x x x +--+=22369x x x --++ =6x+6把1x =代入原式=61)【点睛】此题主要考查实数的运算,解题的关键熟知整式的运算法则.24.计算-②)21【答案】①【分析】①根据二次根式的加减法则计算;②利用平方差、完全平方公式进行计算.【详解】解:①原式=5-2-=②原式=(【点睛】本题考查二次根式的运算,熟练掌握完全平方公式、平方差公式是关键.25.计算:11(1)÷(233【答案】(12+;(2)【分析】(1)根据二次根式的加减法法则和乘除法法则进行计算,注意运算顺序与实数的混合运算顺序相同;(2)根据二次根式的加减法法则和乘除法法则进行计算,注意运算顺序与实数的混合运算顺序相同.【详解】11解:)=31-2==【点睛】本题考查了二次根式的混合运算,二次根式的混合运算顺序与实数的混合运算顺序一样,先乘方,再乘除,最后加减,有括号时要先算括号里的或先去括号.26.计算下列各式:(1;(2【答案】(12;(2)【分析】先根据二次根式的性质化简,再合并同类二次根式即可.【详解】(1)原式2=-2 =;(2)原式==.【点睛】本题考查了二次根式的加减,熟练掌握性质是解答本题的关键(0)(0)a aaa a≥⎧==⎨-<⎩,)0,0a b=≥≥=(a≥0,b>0).27.计算(1))(12112-⨯--⎝⎭(2)已知:11,22x y==,求22x xy y++的值.【答案】(1)28-;(2)17.【分析】(1)先利用完全平方公式和平方差公式计算二次根式的乘法、负指数幂运算,再计算二次根式的加减法即可得;(2)先求出x y+和xy的值,再利用完全平方公式进行化简求值即可得.【详解】(1)原式()((221312⎡⎤=⨯+--⎢⎥⎣⎦, (()1475452=⨯+---230=+28=-;(2)(1119,22x y ==,1122x y ∴+=+=,()11119112224xy =⨯=⨯-=,则()222x xy y x y xy ++=+-,22=-,192=-, 17=. 【点睛】本题考查了二次根式的混合运算、完全平方公式和平方差公式等知识点,熟练掌握二次根式的运算法则是解题关键.28.先化简,再求值:221()a ba b a b b a-÷-+-,其中a =2b =- 【答案】1a b -+,12-. 【分析】先把分式进行化简,得到最简分式,然后把a 、b 的值代入计算,即可得到答案. 【详解】 解:原式1()()a b a b aa b a b b a b b--=⨯-⨯+-+()()a b a b a b b a b -=--++()b bb a =-+1a b=-+,当a =2b =原式12==-.【点睛】本题考查了二次根式的混合运算,分式的化简求值,分式的混合运算,解题的关键是熟练掌握运算法则进行解题.29.已知x²+2xy+y²的值. 【答案】16 【解析】分析:(1)根据已知条件先计算出x+y=4,再利用完全平方公式得到x²+2xy+y²=(x+y )²,然后利用整体代入的方法计算. 本题解析: ∵x² +2xy+y² =(x+y)²,∴当∴x²+2xy+y²=(x+y)²=(2−=16.30.计算:(1 (2)()()2221-【答案】2)1443 【分析】(1)先化成最简二次根式,然后再进行加减运算即可; (2)套用平方差公式和完全平方式进行运算即可. 【详解】解:(1)原式=23223323,(2)原式(34)(12431)1124311443,故答案为:1443. 【点睛】本题考查二次根式的四则运算,熟练掌握二次根式的四则运算是解决本题的关键.【参考答案】***试卷处理标记,请不要删除一、选择题 1.A【分析】先计算二次根式乘法,再合并同类二次根式即可.【详解】原式=故选:A.【点睛】本题考查二次根式的运算,熟练掌握运算法则是解题关键.2.B解析:B【分析】把x=0【详解】解:当x=0时,=2,故选:B.【点睛】本题考查了二次根式的定义和二次根式的性质,能灵活运用二次根式的性质进行计算是解题的关键.3.A解析:A【分析】根据二次根式的混合运算法则进行计算,再估算无理数的大小.【详解】(=,∵4<6<9,∵<3,∴<5,故选:A.此题考查了二次根式的混合运算,无理数的估算,正确掌握二次根式的运算法则、会进行无理数的大小估算是解题的关键.4.A解析:A 【分析】先根据二次根式有意义的条件列出关于x 的不等式,求出x 的取值范围即可. 【详解】∴x-2020≥0, 解得:x ≥2020; 故选:A . 【点睛】本题考查的是二次根式有意义的条件,熟知二次根式中的被开方数是非负数是解答此题的关键.5.B解析:B 【分析】根据最简二次根式的定义即可求出答案. 【详解】2=,故A 不是最简二次根式;是最简二次根式,故B 正确;,故C 不是最简二次根式;=D 不是最简二次根式; 故选:B . 【点睛】本题考查最简二次根式,解题的关键是正确理解最简二次根式的定义,本题属于基础题型.6.C解析:C 【分析】①将3a =-代入12a a ++计算验证即可;②根据题意12a a ++=2,解得a 的值即可作出判断;③若a >-2,则a+2>0,则对12a a ++配方,利用偶次方的非负性可得答案. 【详解】解:①当3a =-时,1134232a a +=-+=-+-+. 故①正确; ②若12a a ++值为2, 则122a a +=+, ∴a 2+2a+1=2a+4,∴a 2=3,∴a =.故②错误;③若a >-2,则a+2>0, ∴12a a ++=1222a a ++-+=222+-=2≥0. ∴若a >-2,则12a a ++存在最小值且最小值为0. 故③正确.综上,正确的有①③.故选:C .【点睛】本题考查了分式的加减法、分式的值的计算及最值问题等知识点,熟练运用相关公式及运算法则是解题的关键.7.D解析:D【解析】利用二次根式的加减法计算,可知:A 、B 、﹣C 、D 、﹣(a ﹣b ,此选项正确.故选:D .8.B解析:B根据立方根的意义,可知27的立方根是3,故(1a=正确,故(2)正=8,可知其平方根为±,故(3)不正确;根据算术平方根的意义,可知=,故=,故(48(5)正确.故选B.9.D解析:D【分析】根据二次根式的运算法则一一判断即可.【详解】AB、错误,212(;=C==D==故选:D.【点睛】本题考查二次根式的运算,解题的关键是熟练掌握二次根式的加减乘除运算法则,属于中考常考题型.10.C解析:C【分析】根据二次根式的性质逐一进行计算即可求出答案.【详解】①原式=2,故①正确;②原式=2,故②正确;③原式==④原式==,故④错误,故选C.【点睛】本题考查二次根式的性质和化简,熟练掌握二次根式的性质是解题的关键.11.A解析:A【分析】∆的面积;利用阅读材料,先计算出p的值,然后根据海伦公式计算ABC7a =,5b =,6c =. ∴56792p ++==,∴ABC ∆的面积S ==故选A .【点睛】考查了二次根式的应用,解题的关键是代入后正确的运算,难度不大.12.D解析:D【分析】先化简二次根式,再计算二次根式的乘法即可.【详解】 由题意可得x 是负数,所以-x x-⋅=- 故选:D .【点睛】此题考查二次根式的化简,二次根式的乘法计算法则,正确化简二次根式是解题的关键,注意题目中x 的符号是负号,这是解题的难点. 二、填空题13.【分析】(1)根据两个负数比较大小、绝对值大的反而小比较即可;(2)先求出两数的差,再根据差的正负比较即可.【详解】(1)(2)∵∴∴故答案为: ,.解析:< <【分析】(1)根据两个负数比较大小、绝对值大的反而小比较即可;(2)先求出两数的差,再根据差的正负比较即可.【详解】(1)<(2)113424-=∵3=∴304<< 12 故答案为:< ,<. 【点睛】本题考查了实数的大小比较,能熟记实数的大小比较法则的内容是解此题的关键.14.【分析】根据=,将原式进行拆分,然后合并可得出答案.【详解】解:原式==.故答案为.【点睛】此题考查了二次根式的混合运算,解答本题的关键是将原式进行拆分,有一定的技巧性,注意仔细观【分析】-,将原式进行拆分,然后合并可得出答案. 【详解】解:原式====220400x x x-.【点睛】此题考查了二次根式的混合运算,解答本题的关键是将原式进行拆分,有一定的技巧性,注意仔细观察.15.【解析】【分析】根据题意,可得到=,利用平方关系把根号去掉,根据、、的系数相等的关系得到关于a ,b ,c 的三元方程组,解方程组即可.【详解】∵=∴,即.解得.【点睛】本题考查了解析:【解析】【分析】a ,b ,c 的三元方程组,解方程组即可.【详解】∴(22118=,即2222118235a b c =+++++. 2222352118,2120,2540,2144,a b c ab ac bc ⎧++=⎪=⎪∴⎨=⎪⎪=⎩ 解得15,4,18.a b c =⎧⎪=⎨⎪=⎩154181080abc ∴=⨯⨯=.【点睛】本题考查了二次根式的加减,解本题的关键是将等式平方去根号,利用等量关系中等式左、.16.8+2【解析】根据配方法,由完全平方公式可知x+y==()2-2,然后把+=+,=-整体代入可得原式=(+)2-2(-)=5+3+2-2+2=8+2.故答案为:8+2.解析:【解析】根据配方法,由完全平方公式可知+=+-)2x+y=2222整体代入可得原式=2-2)故答案为:17.【解析】试题解析:(5,4)表示第5排从左向右第4个数是:,(9,4)表示第9排从左向右第4个数,可以看出奇数排最中间的一个数都是1,第9排是奇数排,最中间的也就是这排的第5个数是1,那么第解析:【解析】试题解析:(5,4)表示第5排从左向右第4,(9,4)表示第9排从左向右第4个数,可以看出奇数排最中间的一个数都是1,第9排是奇数排,最中间的也就是这排的第5个数是1,那么第4,∴(5,4)与(9,4)故答案为18.【解析】【详解】根据二次根式的性质和二次根式的化简,可知==.故答案为.【点睛】此题主要考查了二次根式的运算,解题关键是明确最简二次根式,利用二次根式的性质化简即可.【解析】【详解】22.故答案为2.【点睛】此题主要考查了二次根式的运算,解题关键是明确最简二次根式,利用二次根式的性质化简即可.19.【解析】试题分析:根据二次根式的意义和等式的特点,可知2x-5=0,解得x=,y=-3,代入可得=-2××3=-15.解析:15-【解析】试题分析:根据二次根式的意义和等式的特点,可知2x-5=0,解得x=52,y=-3,代入可得2xy=-2×52×3=-15.20.﹣2a【分析】首先根据实数a、b在数轴上的位置确定a、b的正负,然后利用二次根式的性质化简,最后合并同类项即可求解.【详解】依题意得:a<0<b,|a|<|b|,∴=-a-b+b-a=-解析:﹣2a【分析】首先根据实数a、b在数轴上的位置确定a、b的正负,然后利用二次根式的性质化简,最后合并同类项即可求解.【详解】依题意得:a<0<b,|a|<|b|,.故答案为-2a.【点睛】此题主要考查了二次根式的性质与化简,其中正确利用数轴的已知条件化简是解题的关键,同时也注意处理符号问题.三、解答题21.无22.无23.无24.无25.无26.无27.无28.无29.无30.无。
人教版八年级数学第二学期 第一次质量检测测试卷及答案一、选择题1.下列根式是最简二次根式的是( )A BC D .2.下列计算正确的是( )AB CD3.下列运算正确的是( )A =B . 3C =﹣2D =4.下列根式中,最简二次根式是( )A B C D5.)5=( )A .5+B .5+C .5+D .6.x 的取值范围是( ) A .x≥2020B .x≤2020C .x> 2020D .x< 20207.对于已知三角形的三条边长分别为a ,b ,c ,求其面积的问题,中外数学家曾经进行过深入研究,古希腊的几何学家海伦给出求其面积的海伦公式:S =,其中2a b cp ++=,若一个三角形的三边长分别为2,3,4,则其面积( )A B C D8.已知12x =⋅,n 是大于1的自然数,那么(n x 的值是( ).A .12007B .12007-C .()112007n- D .()112007n-- 9.下列运算中错误的是( )A =B =C 2÷=D .2 (3=10.下列二次根式是最简二次根式的是( )AB C D11.若a =,2b =+a b 的值为( )A .12B .14CD12.是同类二次根式,那么a 的值是( ) A .﹣2B .﹣1C .1D .2二、填空题13.化简并计算:...+=________.(结果中分母不含根式)14.定义:对非负实数x “四舍五入”到个位的值记为()f x z , 即:当n 为非负整数时,如果1122n x n -<+≤,则()f x n =z .如:(0)(0.48)0f f ==z z ,(0.64)(1.49)1f f ==z z ,(4)(3.68)4f f ==z z ,试解决下列问题:①f =z __________;②f =z __________;+=__________.15.若实数x ,y ,m 满足等式()223x y m +-=m+4的算术平方根为________.16.计算:2015·2016=________.17.把18.使式子2x +有意义的x 的取值范围是______.19.如果2y ,那么y x =_______________________.20.若a 、b 都是有理数,且2222480a ab b a -+++=.三、解答题21.计算及解方程组:(1-1-)(2)2+(3)解方程组:251032x y x y x y -=⎧⎪+-⎨=⎪⎩【答案】(1)2)7;(3)102x y =⎧⎨=⎩. 【分析】(1)首先化简绝对值,然后根据二次根式乘法、加减法法则运算即可; (2)首先根据完全平方公式化简,然后根据二次根式加减法法则运算即可; (3)首先将第二个方程化简,然后利用加减消元法即可求解. 【详解】(11-1+(11=1(22+)=34-=7-=7-(3)251032x y x y x y-=⎧⎪⎨+-=⎪⎩①②由②得:50x y -= ③ ②-③得: 10x = 把x=10代入①得:y=2 ∴原方程组的解是:102x y =⎧⎨=⎩【点睛】本题考查了二次根式的混合运算,加减消元法解二元一次方程,熟练掌握二次根式的运算法则是本题的关键.22.我国南宋时期有个著名的数学家秦九韶提出了一个利用三角形的三边求三角形的面积的公式,若三角形三边为a b c 、、,则此三角形的面积为:1S = 同样古希腊有个几何学家海伦也提出了一个三角形面积公式:2S =2a b cp ++=(1)在ABC 中,若4AB =,5BC =,6AC =,用其中一个公式求ABC 的面积. (2)请证明:12S S【答案】(1)4;(2) 证明见解析 【分析】(1)将4AB =,5BC =,6AC =代入1S = (2)对1S 和2S 分别平方,再进行整理化简得出2212S S =,即可得出12S S .【详解】解:(1)将4AB =,5BC =,6AC =代入1S =得:4S == (2)222222211[()]24a b a S c b +-=-=222222)1(22(4)a b c a b c ab ab +-+--+ =2222()2(21)4c a c a b b +⋅---⋅ =()(1()()16)c a b c a b a b c a b c +-++-++- 22()()()S p p a p b p c =---∵2a b cp ++=, ∴22()(2)(222)S a a b c a b c a b c a b cb c +++++++-+=--=2222a b c b c a a c b a b c+++-+-+-⋅⋅⋅ =1()()()()16a b c b c a a c b a b c +++-+-+- ∴2212S S =∵10S >,20S >, ∴12S S .【点睛】本题考查了二次根式的运算,解题的关键是理解题中给出的公式,灵活运用二次根式的运算性质进行运算.23.计算:(1﹣(2) (3)244x -﹣12x -.【答案】(1)2(3)-12x + 【解析】分析:(1)根据二次根式的运算,先把各二次根式化为最简二次根式,再合并同类二次根式即可;(2)根据乘法的分配律以及二次根式的性质进行计算即可;(3)根据异分母的分式的加减,先因式分解,再通分,然后按同分母的分式进行加减计算,再约分即可.详解:(1(2)(3)24142x x ---=41(2)(2)2x x x -+--= 42(2)(2)(2)(2)x x x x x +-+-+-=2(2)(2)xx x -+-=12x -+ 点睛:此题主要考查了二次根式的运算和分式的加减运算,熟练应用运算法则和运算律以及二次根式的性质进行计算是解题关键.24.已知1,2y =. 【答案】1 【解析】 【分析】根据已知和二次根式的性质求出x 、y 的值,把原式根据二次根式的性质进行化简,把x 、y 的值代入化简后的式子计算即可. 【详解】 1-8x≥0,x≤188x-1≥0,x≥18,∴x=18,y=12, ∴原式532-==1222. 【点睛】本题考查的是二次根式的化简求值,把已知条件求出x 、y ,把要求的代数式进行正确变形是解题的关键,注意因式分解在化简中的应用.25.)÷)(a ≠b ).【答案】【解析】试题分析:先计算括号内的,然后把除法转化为乘法,约分即可得出结论.试题解析:解:原式=()()a b a b --+-26.小明在解决问题:已知2a2﹣8a+1的值,他是这样分析与解的:∵=2∴a﹣2=∴(a﹣2)2=3,a2﹣4a+4=3∴a2﹣4a=﹣1∴2a2﹣8a+1=2(a2﹣4a)+1=2×(﹣1)+1=﹣1请你根据小明的分析过程,解决如下问题:(1(2)若,求4a2﹣8a+1的值.【答案】(1)9;(2)5.【解析】试题分析:(1)此式必须在把分母有理化后才能实现化简,即各分式分子分母同乘以一个因式,使得1===.(2)先对a1,若就接着代入求解,计算量偏大.模仿小明做法,可先计算2(1)a-的值,就能较为简单地算出结果;也可对这个二次三项式进行配方,再代入求值.后两种方法都比直接代入计算量小很多.解:(1)原式=1)+++⋯(2)∵1a===,解法一:∵22(1)11)2a-=-=,∴2212a a-+=,即221a a-=∴原式=24(2)14115a a-+=⨯+=解法二∴ 原式=24(211)1a a -+-+24(1)3a =--211)3=--4235=⨯-=点睛:(1得22=-=-a b ,去掉根号,实现分母有理化.(2)当已知量为根式时,求这类二次三项式的值,直接代入求值,计算量偏大,若能巧妙利用完全平方公式或者配方法,计算要简便得多.27.(1)计算:(2)先化简,再求值:(()8a a a a +--,其中14a =.【答案】(1)2)82-a ,【分析】(1)分别根据二次根式的除法法则、二次根式的性质、二次根式的乘法法则计算和化简各项,再合并同类二次根式即可;(2)分别根据平方差公式和单项式乘以多项式的法则计算各项,再把a 的值代入化简后的式子计算即可. 【详解】(1)==;(2)(()8a a a a +--2228a a a =--+82a =-,当14a =时,原式1824⎫=⨯-=⎪⎭.【点睛】本题考查了整式的乘法和二次根式的混合运算,属于常考题型,熟练掌握基本知识是解题的关键.28.观察下列各式.====…… 根据上述规律回答下列问题. (1)接着完成第⑤个等式: _____;(2)请用含(1)n n ≥的式子写出你发现的规律; (3)证明(2)中的结论.【答案】(1=2(n =+3)见解析 【分析】(1)当n=5=(2(n =+ (3)直接根据二次根式的化简即可证明. 【详解】解:(1=(2(n =+(3=(n ==+【点睛】此题主要考查探索数与式的规律,熟练发现规律是解题关键.29.已知x²+2xy+y²的值. 【答案】16 【解析】分析:(1)根据已知条件先计算出x+y=4,再利用完全平方公式得到x²+2xy+y²=(x+y )²,然后利用整体代入的方法计算. 本题解析: ∵x² +2xy+y² =(x+y)²,∴当∴x²+2xy+y²=(x+y)²=(2−=16.30.计算:(1 ;(2)))213【答案】(1)2)1-.【分析】(1)根据二次根式的混合运算法则可以算得答案.(2)结合整式的乘法公式和二次根式的运算法则计算.【详解】(1)原式==(2)原式=212---=1-.【点睛】本题考查二次根式的运算,熟练掌握二次根式的意义、性质和运算法则是解题关键.【参考答案】***试卷处理标记,请不要删除一、选择题1.B解析:B【分析】可以根据最简二次根式的定义进行判断.【详解】A,原根式不是最简二次根式;BC=,原根式不是最简二次根式;==D、=4故选B.【点睛】本题考查最简二次根式的定义,熟练掌握最简二次根式的定义及二次根式的化简方法是解题关键.2.A解析:A【解析】分析:根据二次根式的加、减、乘、除的法则计算逐一验证即可.详解: , 此选项正确;≠此选项错误;, 此选项错误;,此选项错误.故选A.点睛:本题考查了二次根式的混合运算,掌握二次根式的运算法则是解题的关键. 3.D解析:D【分析】直接利用二次根式的混合运算法则分别判断得出答案.【详解】解:AB、=,故此选项错误;C2,故此选项错误;D,正确;故选:D.【点睛】本题考查二次根式的混合运算,熟练掌握计算法则是关键.4.C解析:C【分析】根据最简二次根式的定义,可得答案.【详解】A、被开方数含分母,故选项A不符合题意;B、被开方数是小数,故选项B不符合题意;C、被开方数不含开的尽的因数,被开方数不含分母,故C符合题意;D、被开方数含开得尽的因数,故D错误不符合题意;故选:C.【点睛】本题考查了最简二次根式,被开方数不含开的尽的因数或因式,被开方数不含分母.5.B解析:B【分析】根据乘法分配律可以解答本题.【详解】)5=5+故选:B .【点睛】本题考查二次根式的混合运算,解答本题的关键是明确二次根式混合运算的计算方法.6.A解析:A【分析】先根据二次根式有意义的条件列出关于x 的不等式,求出x 的取值范围即可.【详解】∴x-2020≥0,解得:x ≥2020;故选:A .【点睛】本题考查的是二次根式有意义的条件,熟知二次根式中的被开方数是非负数是解答此题的关键.7.A解析:A【分析】根据公式解答即可.【详解】根据题意,若一个三角形的三边长分别为2,3,4,则2+349=222a b c p +++== ∴其面积为S ====故选:A .【点睛】本题考查二次根式的应用、数学常识等知识,难度较难,掌握相关知识是解题关键.8.C解析:C【解析】【分析】令a =112x a a ⎛⎫=- ⎪⎝⎭112a a ⎛⎫=+ ⎪⎝⎭,2007n a =,进而得到x【详解】令a =112x a a ⎛⎫=- ⎪⎝⎭112a a ⎛⎫=+ ⎪⎝⎭,2007n a =,∴x 1111122a a a a a ⎛⎫⎛⎫--+=- ⎪ ⎪⎝⎭⎝⎭,∴原式=111()(1)(1)2007n n n n a a -=-=-. 故选C .【点睛】 本题考查了二次根式的混合运算.熟练掌握二次根式混合运算法则是解答本题的关键.9.A解析:A【分析】根据合并同类二次根式的法则对A 进行判断;根据二次根式的乘法法则对B 进行判断;根据二次根式的除法法则对C 进行判断;根据二次根式的性质对D 进行判断.【详解】==2÷,故此项正确,不符合要求;D. 2 (3=,故此项正确,不符合要求;故选A .【点睛】本题考查了二次根式的计算:先把各二次根式化为最简二次根式,再进行二次根式的乘除运算,然后合并同类二次根式.10.B解析:B【分析】判定一个二次根式是不是最简二次根式的方法,就是逐个检查最简二次根式的两个条件是否同时满足,同时满足的就是最简二次根式,否则就不是.【详解】解:A 、被开方数含分母,故A 错误;B 、被开方数不含分母;被开方数不含能开得尽方的因数或因式,故B 正确;C 、被开方数含能开得尽方的因数,故C 错误;D 、被开方数含分母,故D 错误;故选B .【点睛】本题考查最简二次根式的定义.根据最简二次根式的定义,最简二次根式必须满足两个条件:被开方数不含分母;被开方数不含能开得尽方的因数或因式.11.B解析:B【分析】将a 乘以 可化简为关于b 的式子, 从而得到a 和b 的关系, 继而能得出a b 的值【详解】解:44b a ==== 14a b ∴= 故选:B .【点睛】本题考查二次根式的乘除法,有一定难度,关键是在分母有理化时要观察b 的形式.12.D解析:D【分析】根据最简二次根式与同类二次根式的定义列方程组求解.【详解】由题意,得7-2a=3,解得a=2,故选D .【点睛】此题主要考查了同类二次根式的定义,即:二次根式化成最简二次根式后,被开方数相同的二次根式叫做同类二次根式.二、填空题13.【分析】根据=,将原式进行拆分,然后合并可得出答案.【详解】解:原式==.故答案为.【点睛】此题考查了二次根式的混合运算,解答本题的关键是将原式进行拆分,有一定的技巧性,注意仔细观【分析】-,将原式进行拆分,然后合并可得出答案. 【详解】解:原式====220400x x x-.【点睛】此题考查了二次根式的混合运算,解答本题的关键是将原式进行拆分,有一定的技巧性,注意仔细观察.14.3【解析】1、;2、根据题意,先推导出等于什么,(1)∵,∴,(2)再比较与的大小关系,①当n=0时,;②当为正整数时,∵,∴,∴,综合(1)、(2)可得:, 解析:320172018【解析】1、(1.732)2z z f f ==;2、根据题意,先推导出f 等于什么,(1)∵2221142n n n n n ⎛⎫+<++=+ ⎪⎝⎭,12n <+,(2)12n -的大小关系,①当n=012n >-; ②当n 为正整数时,∵2212n n n ⎛⎫+-- ⎪⎝⎭1204n =->, ∴2212n n n ⎛⎫+>- ⎪⎝⎭,12n >-,综合(1)、(2)可得:1122n n -<+,∴f n =z ,∴3f =z .3、∵f n =z ,∴(2017z f +111112233420172018=++++⨯⨯-⨯ 111111112233420172018=-+-+-++- 112018=-20172018=. 故答案为(1)2;(2)3;(3)20172018. 点睛:(1)解第②小题的关键是应用“完全平方公式”和“作差的方法”分别证明到当n 为非负整数时,1122n n -<+,从而得到f n =z ;(2)解题③的要点是:当n 为正整数时,111(1)1n n n n =-++. 15.3【解析】【分析】先根据二次根式有意义的条件得出x+y 的值,再根据非负数的性质列出关于x ,y ,m 的方程组,求出m 的值,进而可得出结论.【详解】依题意得:,解得:x=1,y=1,m=5,∴3解析:3【解析】【分析】先根据二次根式有意义的条件得出x+y的值,再根据非负数的性质列出关于x,y,m的方程组,求出m的值,进而可得出结论.【详解】依题意得:35302302x y mx y mx y+--=⎧⎪+-=⎨⎪+=⎩,解得:x=1,y=1,m=5,∴==3.故答案为3.【点睛】本题考查了二次根式有意义得条件及非负数的性质,熟知二次根式具有非负性是解答此题的关键.16.【解析】原式=.故答案为.【解析】原式=20152015=17.﹣【解析】解:通过有意义可以知道≤0,≤0,所以=﹣=﹣.故答案为:.点睛:此题主要考查了二次根式的性质应用,正确判断二次根式的整体符号是解题关键.解析:【解析】解:通过a≤0,,所以故答案为:点睛:此题主要考查了二次根式的性质应用,正确判断二次根式的整体符号是解题关键.18.且【分析】根据分式的分母不能为0、二次根式的被开方数大于或等于0列出式子求解即可得.【详解】由题意得:,解得且,故答案为:且.【点睛】本题考查了分式和二次根式有意义的条件,熟练掌握分解析:3x ≤且2x ≠-【分析】根据分式的分母不能为0、二次根式的被开方数大于或等于0列出式子求解即可得.【详解】由题意得:2030x x +≠⎧⎨-≥⎩, 解得3x ≤且2x ≠-,故答案为:3x ≤且2x ≠-.【点睛】本题考查了分式和二次根式有意义的条件,熟练掌握分式和二次根式的定义是解题关键.19.【分析】根据二次根式的有意义的条件可求出x ,进而可得y 的值,然后把x 、y 的值代入所求式子计算即可.【详解】解:∵x-3≥0,3-x≥0,∴x=3,∴y=﹣2,∴.故答案为:.【点睛】 解析:19【分析】根据二次根式的有意义的条件可求出x ,进而可得y 的值,然后把x 、y 的值代入所求式子计算即可.【详解】解:∵x -3≥0,3-x ≥0,∴x =3,∴y =﹣2, ∴2139y x -==. 故答案为:19. 【点睛】本题考查了二次根式有意义的条件和负整数指数幂的运算,属于常考题型,熟练掌握基本知识是解题的关键.20.【分析】先将原等式两边同时乘2,然后将左侧配方,然后利用平方的非负性即可求出a 和b 的值,然后代入即可.【详解】解:∵∴∴∴∵∴解得:a=-4,b=-2∴=故答案为:.【点睛解析:【分析】先将原等式两边同时乘2,然后将左侧配方,然后利用平方的非负性即可求出a 和b 的值,然后代入即可.【详解】解:∵2222480a ab b a -+++=∴222448160a ab b a -+++=∴()()222448160a ab ba a -+++=+ ∴()()22240ab a +-+=∵()()2220,40a b a +-≥≥∴20,40a b a +-==解得:a=-4,b=-2=故答案为:【点睛】此题考查的是配方法、非负性的应用和化简二次根式,掌握完全平方公式、平方的非负性和二次根式的乘法公式是解决此题的关键.三、解答题21.无22.无23.无24.无25.无26.无27.无28.无29.无30.无。
八年级数学第二学期第一次质量检测测试卷一、选择题1.5﹣x,则x的取值范围是()A.为任意实数B.0≤x≤5C.x≥5D.x≤52.下列计算,正确的是()A.=B.=C.0==D.103.下列计算正确的是()A=B=C=D=4.下列二次根式中,是最简二次根式的是()B C.DA5.下列运算正确的是()A=B. 3 C=﹣2 D=6.()A.1 B.﹣1 C.D-7.已知x1x2,则x₁²+x₂²等于( )A.8 B.9 C.10 D.118.下列二次根式中,是最简二次根式的是()A B C D9.下列各式计算正确的是()A=B6=C.3+=D2=-10.已知实数x,y满足(x y)=2008,则3x2-2y2+3x-3y-2007的值为()A.-2008 B.2008 C.-1 D.111.下列说法中正确的是()A±5 B.两个无理数的和仍是无理数C.-3没有立方根. D.12.下列计算正确的是()A.=B C3=D3=-二、填空题13.设42-的整数部分为 a,小数部分为 b.则1a b- = __________________________. 14.把1m m-根号外的因式移到根号内,得_____________. 15.下面是一个按某种规律排列的数阵:11第行325 62第行722310 11 233第行 131541732 19254第行根据数阵排列的规律,第 5 行从左向右数第 3 个数是 ,第 n (n 3≥ 且 n 是整数)行从左向右数第 n 2- 个数是 (用含 n 的代数式表示).16.将1、2、3、6按右侧方式排列.若规定(m ,n )表示第m 排从左向右第n 个数,则(5,4)与(9,4)表示的两数之积是______.17.对于任意实数a ,b ,定义一种运算“◇”如下:a ◇b =a(a -b)+b(a +b),如:3◇2=3×(3-2)+2×(3+2)=1332=_____. 18.函数y 4x-中,自变量x 的取值范围是____________. 19.2m 1-1343m --mn =________. 20.古希腊几何学家海伦和我国宋代数学家秦九韶都曾提出利用三角形的三边求面积的公式,称为海伦—秦九韶公式:如果一个三角形的三边长分别是a ,b ,c ,记2a b cp ++=,那么三角形的面积()()()S p p a p b p c =---ABC 中,A ∠,B ,C ∠所对的边分别记为a ,b ,c ,若4a =,5b =,7c =,则ABC 面积是_______.三、解答题21.阅读下面问题: 阅读理解:==1;==2==-.应用计算:(1(21(n 为正整数)的值.归纳拓展:(398++【答案】应用计算:(12 归纳拓展:(3)9. 【分析】由阅读部分分析发现式子的分子、分母都乘以分母的有理化因式,为此(1分母利用平方差公式计算即可,(2(3)根据分母的特点各项分子分母乘以各分母的有理化因式,分母用公式计算化去分母,分子合并同类项二次根式即可. 【详解】(1(2(3+98+,(+98+,++99-, =10-1, =9. 【点睛】本题考查二次根式化简求值问题,关键找到各分母的有理化因式,用平方差公式化去分母.22.计算: 21)3)(3--【答案】. 【解析】 【分析】先运用完全平方公式、平方差公式进行化简,然后进行计算. 【详解】解:原式22]-322]-4【点睛】本题主要考查了二次根式的化简;特别是灵活运用全平方公式、平方差公式是解答本题的关键.23.先观察下列等式,再回答问题:=1+1=2;12=2 12;=3+13=313;… (1)根据上面三个等式提供的信息,请猜想第四个等式;(2)请按照上面各等式规律,试写出用 n (n 为正整数)表示的等式,并用所学知识证明.【答案】(1=144+=144;(2=211n n n n++=,证明见解析. 【分析】(1)根据“第一个等式内数字为1,第二个等式内数字为2,第三个等式内数字为3”,=414+=414;(2=n 211n n n++=”,再利用222112n n n n++=+()()开方即可证出结论成立.【详解】(1=1+1=2=212+=212;=313+=313;里面的数字分别为1、2、3,= 144+= 144.(2=1+1=2,=212+=212=313+=313=414+=414= 211n n n n++=.证明:等式左边==n 211n n n++==右边.=n 211n n n++=成立. 【点睛】本题考查了二次根式的性质与化简以及规律型中数的变化类,解题的关键是:(1)猜测出第四个等式中变化的数字为4;(2)找出变化规律=n 211n n n++=”.解决该题型题目时,根据数值的变化找出变化规律是关键.24.先化简,再求值:a =1007. 如图是小亮和小芳的解答过程.(1) 的解法是错误的;(2)错误的原因在于未能正确地运用二次根式的性质: ; (3)先化简,再求值:269a a -+a =﹣2018. 【答案】(1)小亮(22a (a <0)(3)2013. 【解析】试题分析:(12a ,判断出小亮的计算是错误的; (22a 的应用错误;(3)先根据配方法把被开方数配成完全平方,然后根据正确的性质化简,再代入计算即可. 试题解析:(1)小亮 (22a (a <0) (3)原式=()23a -a+2(3-a )=6-a=6-(-2007)=2013.25.先化简,再求值:221a a a -+,其中3 【答案】2a-1,3【分析】先根据二次根式的性质进行化简,再代入求值即可. 【详解】 解:13a =-∴原式=1a a --=21a -当13a =-∴原式=(2131-=123-【点睛】此题主要考查化简求值,正确理解二次根式的性质是解题关键.26.计算123- (2)263;212121335(4)1(123)622【答案】(1)2)9-;(3)1;(4)【分析】(1)根据二次根式的性质和绝对值的代数意义进行化简后合并即可;(2)根据完全平方公式进行计算即可;(3)根据二次根式的乘除法法则进行计算即可;(4)先进行乘法运算,再合并即可得到答案.【详解】解:==2(2)-=22=63-=9-=1;(4)===【点睛】此题主要考查了二次根式的混合运算,熟练掌握运算法则是解答此题的关键.27.观察下列各式.====……根据上述规律回答下列问题.(1)接着完成第⑤个等式: _____;n n≥的式子写出你发现的规律;(2)请用含(1)(3)证明(2)中的结论.【答案】(1=2(n =+3)见解析 【分析】(1)当n=5=(2(n =+ (3)直接根据二次根式的化简即可证明. 【详解】解:(1=(2(n =+(3=(n ==+【点睛】此题主要考查探索数与式的规律,熟练发现规律是解题关键.28.(1|5-+;(2)已知实数a 、b 、c 满足|3|a +=,求2(b a +的值.【答案】(1)5;(2)4 【分析】(1)先利用二次根式的乘法法则和绝对值的意义计算,再进行回头运算即可; (2)先根据二次根式有意义的条件确定b 的值,再根据非负数的和的意义确定a ,c 的值,然后再计算代数式的值即可. 【详解】解:(15-+5)=+5=+5=(2)由题意可知:5050b b -≥⎧⎨-≥⎩,解得5b =由此可化简原式得,30a +=30a ∴+=,20c -= 3a ∴=-,2c =22((534b a ∴+=--=【点睛】可不是考查了二次根式的混合运算以及二次根式的化简求值,熟练掌握运算法则和运算顺序是解答此题的关键.29.计算:(1 (2)()()2221-【答案】2)1443 【分析】(1)先化成最简二次根式,然后再进行加减运算即可; (2)套用平方差公式和完全平方式进行运算即可. 【详解】解:(1)原式=23223323,(2)原式(34)(12431)1124311443,故答案为:1443. 【点睛】本题考查二次根式的四则运算,熟练掌握二次根式的四则运算是解决本题的关键.30.已知长方形的长a =b =. (1)求长方形的周长;(2)求与长方形等面积的正方形的周长,并比较其与长方形周长的大小关系.【答案】(1)2)长方形的周长大. 【解析】试题分析:(1)代入周长计算公式解决问题;(2)求得长方形的面积,开方得出正方形的边长,进一步求得周长比较即可. 试题解析:(1)()11222223a b ⎛+=⨯=⨯⨯⨯=⨯= ⎝∴长方形的周长为 .(2)114.23=⨯⨯=正方形的面积也为4. 2.=⨯=周长为:428.>8.∴长方形的周长大于正方形的周长.【参考答案】***试卷处理标记,请不要删除一、选择题1.D解析:D【分析】根据二次根式的性质得出5-x≥0,求出即可.【详解】==-=-,x x|5|5∴5-x≥0,解得:x≤5,故选D.【点睛】本题考查了二次根式的性质的应用,注意:当a≥0,当a≤0.2.C解析:C【分析】A、B、C、根据合并同类二次根式的法则即可判定;D、利用根式的运算法则计算即可判定.【详解】解:A、B、D不是同类二次根式,不能合并,故选项不符合题意;C=,故选项正确.故选:C.【点睛】此题主要考查二次根式的运算,应熟练掌握各种运算法则,且准确计算.3.B解析:B【分析】根据二次根式加法法则,二次根式的乘法法则计算后判断即可得到答案.【详解】=,=3∴A、C、D均错误,B正确,故选:B.【点睛】此题考查二次根式的加法法则,二次根式的乘法法则,熟记计算法则是正确解题的关键. 4.D解析:D【分析】根据最简二次根式的特点解答即可.【详解】A,故该选项不符合题意;B=C、D不能化简,即为最简二次根式,故选:D.【点睛】此题考查最简二次根式,掌握最简二次根式的特点:①被开方数中不含分母;②被开方数中不含能再开方的因式或因数,牢记特点是解题的关键.5.D解析:D【分析】直接利用二次根式的混合运算法则分别判断得出答案.【详解】解:AB、=,故此选项错误;C2,故此选项错误;D,正确;故选:D.【点睛】本题考查二次根式的混合运算,熟练掌握计算法则是关键.6.C解析:C【解析】解:原式=故选C.7.C解析:C【详解】12x x +==12321x x ==-=, 所以()2221212122x x x x x x +=+-=(22112210-⨯=-=,故选:C .【点睛】对于形如2212x x +的式子,改变其中两个字母的位置后,并不改变代数式的值,通常将具有这个特点的代数式称为轮换对称式,如1211+x x ,1221x x x x +,12x x -等,轮换对称式都可以用12x x +,12x x 来表示,所以求轮换对称式的值,一般是先将式子用12x x +,12x x 来表示,然后再整体代入计算.8.D解析:D【分析】最简二次根式的被开方数中不含能开得尽方的因数或因式,其中小数要转化为分数,分数中分母不可以是二次根式,注意这几点即可得出答案.【详解】ABC,不是最简二次根式,故本选项不符合题意; D故选:D .【点睛】本题考查最简二次根式,解题的关键是正确理解最简二次根式,最简二次根式必须满足两个条件:被开方数中不含能开得尽方的因数或因式;被开方数的因数是整数,因式是整式,本题属于基础题型.9.B解析:B【分析】根据二次根式的加减法对A 、C 进行判断;根据二次根式的乘法法则对B进行判断;根据a =对D 进行判断 .【详解】解:A 不能合并,所以A 选项错误;B 6=,正确,所以B 选项正确;C 、3不能合并,所以C 选项错误;D 22=--=(),所以D 选项错误.故选:B .【点睛】本题考查了二次根式的混合运算,解题的关键是掌握二次根式的加减计算法则.10.D解析:D【解析】由(x y )=2008,可知将方程中的x,y 对换位置,关系式不变,那么说明x=y 是方程的一个解由此可以解得,或者则3x 2-2y 2+3x -3y -2007=1,故选D. 11.D解析:D【分析】根据算术平方根和平方根的概念,无理数的概念立方根的概念,和二次根式的概念逐一判断即可.【详解】5=,故A 选项错误;0ππ-+=,故B 选项错误;-3=,故C 选项错误;D 选项正确;故选D .【点睛】本题考查了算术平方根和平方根的区别,无理数、二次根式和立方根的概念,题目较为综合,熟练掌握相关概念是本题的关键.12.C解析:C【分析】根据合并二次根式的法则、二次根式的性质、二次根式的除法法则即可判定.【详解】A 、A 错误;B=B错误;C3=,故选项C正确;D3=,故选项D错误;故选:C.【点睛】本题考查了二次根式的混合运算,熟练掌握二次根式的运算法则是解题的关键.二、填空题13.【分析】根据实数的估算求出a,b,再代入即可求解.【详解】∵1<<2,∴-2<-<-1,∴2<<3∴整数部分a=2,小数部分为-2=2-,∴==故填:.【点睛】此题主要考查无理解析:12-【分析】根据实数的估算求出a,b,再代入1ab-即可求解.【详解】∵1<2,∴-2<<-1,∴2<43∴整数部分a=2,小数部分为4,∴1ab -=22==1故填:12-. 【点睛】此题主要考查无理数的估算,分母有理化等,解题的关键熟知实数的性质.14.-【解析】【分析】根据二次根式的性质,可得答案【详解】由题意可得: ,即∴故答案为【点睛】本题考查了二次根式的性质与化简,利用了二次根式的性质.解答关键在于根据二次根式的性质确定解析:【解析】【分析】根据二次根式的性质,可得答案【详解】 由题意可得:10m ,即0m ∴11m m m mmm故答案为【点睛】本题考查了二次根式的性质与化简,利用了二次根式的性质.解答关键在于根据二次根式的性质确定m 的取值范围.15.;.【分析】根据被开方数是连续的自然数写出即可;根据每一行的最后一个数的被开方数是所在的行数乘比行数大1的数写出第(n-1)行的最后一个数,然后被开方数加上(n-2)即可求解.【详解】观察表【分析】根据被开方数是连续的自然数写出即可;根据每一行的最后一个数的被开方数是所在的行数乘比行数大1的数写出第(n-1)行的最后一个数,然后被开方数加上(n-2)即可求解.【详解】观察表格中的数据可得,第5行从左向右数第3=∵第(n-1,∴第n(n≥3且n是整数)行从左向右数第n-2个数是..【点睛】本题是对数字变化规律的考查,观察出被开方数是连续自然数并且每一行的最后一个数的被开方数是所在的行数乘比行数大1的数是解题的关键.16.【解析】试题解析:(5,4)表示第5排从左向右第4个数是:,(9,4)表示第9排从左向右第4个数,可以看出奇数排最中间的一个数都是1,第9排是奇数排,最中间的也就是这排的第5个数是1,那么第解析:【解析】试题解析:(5,4)表示第5排从左向右第4,(9,4)表示第9排从左向右第4个数,可以看出奇数排最中间的一个数都是1,第9排是奇数排,最中间的也就是这排的第5个数是1,那么第4,∴(5,4)与(9,4)故答案为17.5【解析】◇==5.故本题应填5.点睛:理解新定义运算的运算规则,其实就是一个对应关系,a对应,b对应,即将a=,b=,代入到代数式a(a-b)+b(a+b)中,再根据二次根式的混合运算法则解析:5【解析】32==5. 故本题应填5.点睛:理解新定义运算的运算规则,其实就是一个对应关系,a ,b ,即将,代入到代数式a(a -b)+b(a +b)中,再根据二次根式的混合运算法则进行计算,注意最终的结果一定要化为最简二次根式.18.x≤4且x≠2【分析】根据被开方数是非负数、分母不能为零,可得答案.【详解】解:由y=,得4-x≥0且x-2≠0.解得x≤4且x≠2.【点睛】本题考查了函数自变量的取值范围,利用被开方解析:x≤4且x≠2【分析】根据被开方数是非负数、分母不能为零,可得答案.【详解】解:由,得4-x≥0且x-2≠0. 解得x≤4且x≠2.【点睛】本题考查了函数自变量的取值范围,利用被开方数是非负数、分母不能为零得出4-x≥0且x-2≠0是解题关键.19.21【分析】根据二次根式及同类二次根式的定义列出方程组即可求出答案.【详解】∵最简二次根式与是同类二次根式,∴ ,解得,,∴故答案为21.解析:21【分析】根据二次根式及同类二次根式的定义列出方程组即可求出答案.【详解】∴1221343n m m-=⎧⎨-=-⎩ , 解得,73m n =⎧⎨=⎩, ∴7321.mn =⨯=故答案为21.20.【分析】根据a ,b ,c 的值求得p =,然后将其代入三角形的面积S =求值即可.【详解】解:由a =4,b =5,c =7,得p ===8.所以三角形的面积S ===4.故答案为:4.【点睛】本题主解析:【分析】根据a ,b ,c 的值求得p =2a b c ++,然后将其代入三角形的面积S =【详解】解:由a =4,b =5,c =7,得p =2a b c ++=4572++=8.所以三角形的面积S .故答案为:.【点睛】本题主要考查了二次根式的应用和数学常识,解题的关键是读懂题意,利用材料中提供的公式解答,难度不大. 三、解答题21.无22.无23.无24.无25.无26.无27.无28.无29.无30.无。