Lingo练习题
- 格式:doc
- 大小:43.50 KB
- 文档页数:2
Lingo作业1 、用长度500cm的钢条,截成长度为98和78cm的两种毛坯,要求截出长度98cm的毛坯10000根,78cm的毛坯20000根,问怎么样截法,才使所用原材料最少。
2、某钢管零售商从钢管厂进货,将钢管按照顾客的要求切割后售出,从钢管厂进货时得到的钢管都是19m.(1)现有一客户需要50根4m、20根6m和15根8m的钢管,应如何下料最节省?(2)零售商如果采用的不同切割模式太多,将会导致生产过程的复杂化,从而增加生产和管理成本,所以该零售商规定采用的不同切割模式不能超过3种。
此外该客户需要(1)中的三种钢管外,还需要10根5m的钢管,应如何下料最省?3、电视台为某个广告公司特约播放两套片集,其中片集甲播映时间为20min,广告时间为1min,收视观众60万;片集乙播映时间10min,广告时间1min,收拾观众20万,广告公司规定每周至少有6min广告,而电视台每周只能为该公司提供不多于80min的节目时间。
电视台每周播映两套片集各多少次,才能获得最高的收视率?4、某公司计划在A,B,C三个区建立销售部,确定了7个位置M1-M7可供选择,并且规定:(1)在A区,从M1,M2,M3中至多选两个;(2)在B区,M4,M5中至少选一个;(3)在C区,M6,M7中至少选一个;已知:如果选择M1-M7,则分别投资为200,300,350,250,350,200,400万元,预计每年可以获利50,80,120,70,100,60,120万元,现在公司可用于投资的资金是1200万元,问应如何建立销售部?5、有4名同学到一家公司参加三个阶段的面试:公司要求每个同学都必须首先找公司秘书处初试,然后到部门主管处复试,最后到经理处参加面试,并且不允许插队(即在任何一个阶段4名同学的顺序是一样的)。
由于4名同学的专业背景不同,所以每个人在三个阶段的面试时间也不同,如下表所示(单位:min):这4名同学约定他们全部面试完以后一起离开公司。
例1.1.1某工厂有两条生产线,分别用生产M 和P 两种型号的产品,利润分别为200元/个和300元/个,生产线的最大生产能力分别为每日100和120,生产线每生产一个M 产品需要1个劳动日(1个工人工作8小时成为1个劳动日)进行调试、检测等工作,而每个P 产品需要2个劳动日,该厂工人每天共计能提供160劳动日,假如原材料等其他条件不受限制,问应如何安排生产计划,才能使获得的利润最大?解:设两种产品的生产量分别为1x 和2x ,则目标函数 12max 200300z x x =+约束条件 1212100,120,2160,0,1,2.i x x x x x i ≤⎧⎪≤⎪⎨+≤⎪⎪≥=⎩ 例1.1.2 基金的优化使用(2001年数学建模竞赛C 题)假设某校基金会得到了一笔数额为M 万元的基金,打算将其存入银行,校基金会计划在n 年末仍保留原基金数额.银行存款税后利率见表元,5n =年的情况下设计具体存款方案.解:分析:假定首次发放奖金的时间是在基金到位后一年,以后每隔一年发放一次,每年发放的时间大致相同,校基金会希望获得最佳的基金使用计划,以提高每年的奖金额,且在n 年末仍保留原基金数额M ,实际上n 年中发放的奖金额全部来自于利息。
如果全部基金都存为一年定期,每年都用到期利息发放奖金,则每年的奖金数为50000.01890⨯=万元,这是没有优化的存款方案。
显然,准备在两年后使用的款项应当存成两年定期,比存两次一年定期的收益高,以此类推。
目标是合理分配基金的存款方案,使得n 年的利息总额最多。
定义:收益比a =(本金+利息)/本金。
于是存2年的收益比为21 2.16%2 1.0432a =+⨯=。
按照银行存款税后利率表计算得到各存款年限对应的最优收益比见表(1) 一次性存成最长期,优于两个(或两个以上)比较短期的组合(中途转存)(2) 当存款年限需要组合时,收益比与组合的先后次序无关。
建立模型 把总基金M 分成5+1份,分别用123456,,,,,x x x x x x 表示,其中12345,,,,x x x x x 分别存成15 年定期,到期后本息合计用于当年发放奖金,6x 存5年定期,到期的本息合计等于原基金总数M 。
1:SAILCO 公司需要决定下四个季度的帆船生产量。
下四个季度的帆船需求量分别是40 条,60 条,75 条,25 条,这些需求必须按时满足。
每个季度正常的生产能力是40 条帆船,每条船的生产费用为400 美元。
如果加班生产,每条船的生产费用为450 美元。
每个季度末,每条船的库存费用为20 美元。
假定生产提前期为0,初始库存为10 条船。
如何安排生产可使总费用最小?
例2:某公司有6 个建筑工地要开工,每个工地的位置(用平面坐标a, b 表示,距离单位:公里)及水泥日用量d(吨)依次为3,5,4,7,6,11。
目前有两个临时料场位于P (5, 1), Q (2, 7) ,日储量各有20 吨。
假设从料场到工地之间均有直线道路相连,试制定每天的供应计划,即从A, B 两料场分别向各工地运送多少吨水泥,使总的吨公里数最小。
为了进一步减少吨公里数,打算舍弃两个临时料场,改建两个新的,日储量仍各为20吨,问应建在何处,节省的吨公里有多大。
例3 最短路问题在公路网中,司机希望找到一条从一个城市到另一个城市的最短路. 假设图表示的是该公路网, 节点表示货车可以停靠的城市,弧上的权表示两个城市之间的距离(百公里). 那么,货车从城市S 出发到达城市T,如何选择行驶路线,使所经过的路程
最短?。
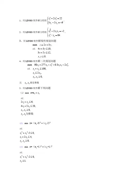
1、用LINGO 软件解方程组221212222359x x x x ⎧+=⎪⎨-=-⎪⎩。
2、用LINGO 软件解方程组1211221222/64x x x x x ⎧⎪-=-⎨⎪=⎩。
3、用LINGO 软件解线性规划问题4、用LINGO 软件解二次规划问题且12,x x 都是整数5、用LINGO 软件解下列问题(1)max 12z=x x +12121212..26,4520,,0,,s tx x x x x x x x +≤+≤≥为整数(2) min 2212z=x -3-2x +()()22121212..-50,24,,0s tx x x x x x +≤+≤≥。
(3) min 2212z=x ++x +(1)(1) 22122..-20,1s tx x x +≤≥。
max 23,..4310,3512,,0.z x y s t x y x y x y =++≤+≤≥22121122121212max 982770.32,..100,2,,0,x x x x x x s t x x x x x x +---+≤≤≥6、用LINGO软件分别产生序列(1){1,3,5,7,9,11};(2){1,4,9,16,25,36};(3)1111 {1,,,,}6122030.7、已知向量c={1,3,0.5,7,5,2},用LINGO软件解答下列问题。
(1)求向量c前5个数中的最大值;(2)求向量c后4个数平方中的最小值;(3)求向量c 中所有数的和。
8、某学校游泳队要从5名队员中选4名参加4乘100米混合泳接力赛。
5名队员4种泳姿的百米成绩(单位:秒)-----------------------------------------------------------------------------------李王张刘赵蝶泳66.8 57.2 78 70 67.4仰泳75.6 66 67.8 74.2 71蛙泳87 66.4 84.6 69.6 83.8自由泳58.6 53 59.4 57.2 62.4-----------------------------------------------------------------------------------如何选拔?(1)请建立“0----1规划”模型;(2)用Lingo求解。
练习:1.某公司须完成如下交货任务:季度1,30件;季度2,20件;季度3,40件;每季度正常上班时间至多可生产27件,单位成本$40,加班时间的单位生产成本为$60.产品不合格率为20%,每季度剩下的合格产品(在存货时)中有10%被破坏,单位存货费为$15.已知现有20件合格产品,如何安排3季度的的生产?2.某邮局每天需一定数量的全职员工:星期一,17;星期二,13;星期三,15;星期四,19; 星期五,14;星期六,16;星期日,11.全职员工连续工作5天后休息2天.邮局须雇用多少全职员工?讨论:假设邮局可要求员工加一天班,已知员工正常工作日薪为$50,加班工作日薪为$62. 试定一最省钱的人事安排计划.3.四项工作指派给五个员工(每项工作只能由一人单独完成),每人完成各项工作耗时如F表,如何指派使得完成四项工作总耗时最少4.福特在L.A.和Detroit 生产汽车,在Atlanta 有一仓库,供应点为Houston和Tampa;城市间每辆汽车运输费用见下表.L.A.的生产能力为1100辆,Detroit 的生产能力为2900辆.Houston 汽车需求量为2400辆,Tampa汽车需求量为1500辆,如何确定运输和生产方案,才能满足Houston和Tempa的需求且费用最低.5.设有三个化肥厂供应四个地区的农用化肥.假定等量的化肥在这些地区使用效果相同.各化肥厂年产量,各地区年需要量及从各化肥厂到各地区运送单位化肥的运价(万元/6」ndianapolis 航空公司计划每天从Indianapolis 飞6个航班,计划目的地为:New试帮该公司确定航线和相应的航班次数7.某种机器可在高低两种不同的负荷下进行生产,设机器在高负荷下生产的年产量函数为:y=8x,(x:投入生产的机器台数),年完好率为0.7;机器在低负荷下生产的年产量函数为:y=5x,(x:投入生产的机器台数),年完好率为0.9;假定开始生产时完好的机器数量为1000台,试问每年如何安排机器在高,低负荷下的生产,使在五年内生产的产品总产量最咼.讨论:如果5年末完好机器数必为500台,又将如何?8.某工厂要对一种产品制定今后四个时期的生产计划,据估计在今后四个时期内,市场对于该产品的需求量如表所示,假定该厂生产每批产品的固定成本为3(千元),若不生产为0;每单位产品成本为1(千元);每个时期生产能力所允许的最大生产批量为不超过6个单位;每个时期末未售出的产品,每单位需存储费0.5(千元).还假定在第一个时期的初始储存量为0,第四个时期之末的库存量也为0.试问如何安排各个时期的生产与库存,才能在满足市场需要的条件下,使总成本最小.9. Bran east 航空公司须为每天飞行于New York和Chicago的航班配备空姐。
Lingo 精选题目及答案答题要求:将Lingo 程序复制到Word 文档中,并且附上最终结果。
1、简单线性规划求解(目标函数)2134maxx x z += s.t.(约束条件)⎪⎪⎩⎪⎪⎨⎧≥≤≤+≤+0,781022122121x x x x x x x2、整数规划求解219040Max x x z +=⎪⎩⎪⎨⎧≥≤+≤+0,702075679212121x x x x x x 3、0-1规划求解Max 432215.18.04.0x x x x f +++=10106234321≤+++x x x x10,,,4321或=x x x x4、非线性规划求解||4||3||2||min 4321x x x x z +++=s.t. ⎪⎪⎩⎪⎪⎨⎧-=+--=-+-=+--2132130432143214321x x x x x x x x x x x x5、集合综合应用产生一个集合5052--=x x y ,(10,...,2,1=x ),求y 前6个数的和S 1,后6个数的和S 2,第2~8个数中的最小值S 3,最大值S 4。
6、综合题要求列出具体的目标函数和约束条件,然后附上Lingo 程序和最终结果。
6.1 指派问题有四个工人,要指派他们分别完成4项工作,每人做各项工作所消耗的时间如下表:问指派哪个人去完成哪项工作,可使总的消耗时间为最小?6.2 分配问题某两个煤厂A1,A2每月进煤数量分别为60t和100t,联合供应3个居民区B1,B2,B3。
3个居民区每月对煤的需求量依次分别为50t,70t,40t,煤厂A1离3个居民区B1,B2,B3的距离依次分别为10km,5km,6km,煤厂A2离3个居民区B1,B2,B3的距离分别为4km,8km,12km。
问如何分配供煤量使得运输量(即t·km)达到最小?1、model:max=4*x1+3*x2;2*x1+x2<10;x1+x2<8;x2<7;end2、model:max=40*x1+90*x2;9*x1+7*x2<56;7*x1+20*x2<70;@gin(x1);@gin(x2);end3、model:max=x1^2+0.4*x2+0.8*x3+1.5*x4;3*x1+2*x2+6*x3+10*x4<10;@bin(x1); @bin(x2);@bin(x3); @bin(x4);end4、model:max=@abs(x1)+2*@abs(x2)+3*@abs(x3)+4*@abs(x4);x1-x2-x3+x4=0;x1-x2+x3-3*x4=1;x1-x2-2*x3+3*x4=-1/2;end5、model:sets:jihe/1..10/:y;ss/1..4/:S;endsets!由于y和s中部分有负数,所以要先去掉这个约束;@for(jihe:@free(y));@for(ss(i):@free(S));!产生元素;@for (jihe(x):y(x)=x^2-5*x-50); S(1)=@sum (jihe(i)|i#le#6:y(i)); S(2)=@sum (jihe(i)|i#ge#5:y(i));S(3)=@min (jihe(i)|i#ge#2 #and# i#le#8:y(i)); S(4)=@max (jihe(i)|i#ge#2 #and# i#le#8:y(i)); end6.1、设:第i 个工人做第j 项工作用时ij t ,标志变量ij f 定义如下:⎩⎨⎧=其他件工作个工人去做第指派第01j i f ijmin∑∑==⨯4141i j ij ijt fs.t. 141=∑=i ijf()4,3,2,1=j 每份工作都有一人做∑==411j ijf()4,3,2,1=i 每人都只做一项工作model : sets :work/A B C D/;worker/jia yi bing ding/; time(worker,work):t,f; endsets!目标函数可以用[obj]标志出,也可以省略;[obj] min =@sum (time(i,j):t(i,j)*f(i,j)); data :!可以直接复制表格,但是在最后要有分号; t=; e !每份工作都有一人做;@for (work(j):@sum (time(i,j):f(i,j))=1); !每人都只做一项工作;@for (worker(i):@sum (time(i,j):f(i,j))=1); !让f 取0-1值,此条件可以省略;!@for(time(i,j):@bin(f(i,j))); end6.2设:煤厂进煤量i s ,居民区需求量为i d ,煤厂i 距居民区j 的距离为ij L ,煤厂i 供给居民区j 的煤量为ij g那么可以列出如下优化方程式∑∑==⨯=3121min j i ij ij L gs.t ()3,2,121==∑=j d gi jij()2,131=≤∑=i s gj iijmodel : sets :supply/1,2/:s; demand/1,2,3/:d;link(supply,demand):road,sd; endsets data :road=10 5 6 4 8 12; d=50 70 40; s=60 100; enddata[obj] min =@sum (link(i,j):road(i,j)*sd(i,j)); @for (demand(i):@sum (supply(j):sd(j,i))=d(i)); @for (supply(i):@sum (demand(j):sd(i,j))<s(i));end1.线性规划模型。
Lingo 精选题目及答案答题要求:将Lingo 程序复制到Word 文档中,并且附上最终结果。
1、简单线性规划求解(目标函数)2134maxx x z += s.t.(约束条件)⎪⎪⎩⎪⎪⎨⎧≥≤≤+≤+0,781022122121x x x x x x x2、整数规划求解219040Max x x z +=⎪⎩⎪⎨⎧≥≤+≤+0,702075679212121x x x x x x 3、0-1规划求解Max 432215.18.04.0x x x x f +++=10106234321≤+++x x x x10,,,4321或=x x x x4、非线性规划求解||4||3||2||min 4321x x x x z +++=s.t. ⎪⎪⎩⎪⎪⎨⎧-=+--=-+-=+--2132130432143214321x x x x x x x x x x x x5、集合综合应用产生一个集合5052--=x x y ,(10,...,2,1=x ),求y 前6个数的和S 1,后6个数的和S 2,第2~8个数中的最小值S 3,最大值S 4。
6、综合题要求列出具体的目标函数和约束条件,然后附上Lingo 程序和最终结果。
6.1 指派问题6.2 分配问题某两个煤厂A1,A2每月进煤数量分别为60t和100t,联合供应3个居民区B1,B2,B3。
3个居民区每月对煤的需求量依次分别为50t,70t,40t,煤厂A1离3个居民区B1,B2,B3的距离依次分别为10km,5km,6km,煤厂A2离3个居民区B1,B2,B3的距离分别为4km,8km,12km。
问如何分配供煤量使得运输量(即t·km)达到最小?1、model:max=4*x1+3*x2;2*x1+x2<10;x1+x2<8;x2<7;end2、model:max=40*x1+90*x2;9*x1+7*x2<56;7*x1+20*x2<70;@gin(x1);@gin(x2);end3、model:max=x1^2+0.4*x2+0.8*x3+1.5*x4;3*x1+2*x2+6*x3+10*x4<10;@bin(x1); @bin(x2);@bin(x3); @bin(x4);end4、model:max=@abs(x1)+2*@abs(x2)+3*@abs(x3)+4*@abs(x4);x1-x2-x3+x4=0;x1-x2+x3-3*x4=1;x1-x2-2*x3+3*x4=-1/2;end5、model:sets:jihe/1..10/:y;ss/1..4/:S;endsets!由于y和s中部分有负数,所以要先去掉这个约束;@for(jihe:@free(y));@for(ss(i):@free(S));!产生元素;@for (jihe(x):y(x)=x^2-5*x-50); S(1)=@sum (jihe(i)|i#le#6:y(i)); S(2)=@sum (jihe(i)|i#ge#5:y(i));S(3)=@min (jihe(i)|i#ge#2 #and# i#le#8:y(i)); S(4)=@max (jihe(i)|i#ge#2 #and# i#le#8:y(i)); end6.1、设:第i 个工人做第j 项工作用时ij t ,标志变量ij f 定义如下:⎩⎨⎧=其他件工作个工人去做第指派第01j i f ijmin∑∑==⨯4141i j ij ijt fs.t. 141=∑=i ijf()4,3,2,1=j 每份工作都有一人做∑==411j ijf()4,3,2,1=i 每人都只做一项工作model : sets :work/A B C D/;worker/jia yi bing ding/; time(worker,work):t,f; endsets!目标函数可以用[obj]标志出,也可以省略;[obj] min =@sum (time(i,j):t(i,j)*f(i,j)); data :!可以直接复制表格,但是在最后要有分号; t=; e !每份工作都有一人做;@for (work(j):@sum (time(i,j):f(i,j))=1); !每人都只做一项工作;@for (worker(i):@sum (time(i,j):f(i,j))=1); !让f 取0-1值,此条件可以省略;!@for(time(i,j):@bin(f(i,j))); end6.2设:煤厂进煤量i s ,居民区需求量为i d ,煤厂i 距居民区j 的距离为ij L ,煤厂i 供给居民区j 的煤量为ij g那么可以列出如下优化方程式∑∑==⨯=3121min j i ij ij L gs.t ()3,2,121==∑=j d gi jij()2,131=≤∑=i s gj iijmodel : sets :supply/1,2/:s; demand/1,2,3/:d;link(supply,demand):road,sd; endsets data :road=10 5 6 4 8 12; d=50 70 40; s=60 100; enddata[obj] min =@sum (link(i,j):road(i,j)*sd(i,j)); @for (demand(i):@sum (supply(j):sd(j,i))=d(i)); @for (supply(i):@sum (demand(j):sd(i,j))<s(i));end1.线性规划模型。
∑=nj i ijij xc1,1 解非线性方程组⎪⎩⎪⎨⎧=+++=+4222222y y x x y x2 装配线平衡模型 一条装配线含有一系列的工作站,在最终产品的加工过程中每个工作站执行一种或几种特定的任务。
装配线周期是指所有工作站完成分配给它们各自的任务所化费时间中的最大值。
平衡装配线的目标是为每个工作站分配加工任务,尽可能使每个工作站执行相同数量的任务,其最终标准是装配线周期最短。
不适当的平衡装配线将会产生瓶颈——有较少任务的工作站将被迫等待其前面分配了较多任务的工作站。
问题会因为众多任务间存在优先关系而变得更复杂,任务的分配必须服从这种优先关系。
这个模型的目标是最小化装配线周期。
有2类约束:① 要保证每件任务只能也必须分配至一个工作站来加工; ② 要保证满足任务间的所有优先关系。
例 有11件任务(A —K )分配到4个工作站(1—4),任务的优先次序如下图。
每件任务所花费的时间如下表。
3 旅行售货员问题(又称货郎担问题,Traveling Salesman Problem )有一个推销员,从城市1出发,要遍访城市2,3,…,n 各一次,最后返回城市1。
已知从城市i 到j 的旅费为ij c,问他应按怎样的次序访问这些城市,使得总旅费最少?可以用多种方法把TSP 表示成整数规划模型。
这里介绍的一种建立模型的方法,是把该问题的每个解(不一定是最优的)看作是一次“巡回”。
在下述意义下,引入一些0-1整数变量:ij x ⎩⎨⎧≠=其它情况,且到巡回路线是从,0,1j i j i 其目标只是使为最小。
这里有两个明显的必须满足的条件:访问城市i 后必须要有一个即将访问的确切城市;访问城市j 前必须要有一个刚刚访问过的确切城市。
用下面的两组约束分别实现上面的两个条件。
ni xnj ij,,2,1,11 ==∑=nj xni ij,,2,1,11==∑=到此我们得到了一个模型,它是一个指派问题的整数规划模型。
Lingo软件题目与答案1.一奶产品加工厂用牛奶生产A1,A2两种奶产品,1桶牛奶可以在甲类设备上用12h加工,成3kg A1,或者在乙类设备上用8h加工成4kg A2。
根据市场需求,生产的A1,A2全部能售出,且每千克A1获利24元,每千克A2获利16元。
现在加工厂每天能得到50桶牛奶供应,每天正式工人的劳动时间为480h,并且甲类设备每天最多加工100kg A1,乙类设备的加工时间没有限制,讨论以下问题1)若35元可以买一桶牛奶,做这项投资是否值得?若投资,每天最多购买多少桶牛奶?2)若聘用临时工人以增加劳动时间,付给临时工人的工资最多是多少?3)由于市场需求变化,每千克A1的获利增加到30元,是否改变原有的生产计划?Lingo程序:model:max=72*x+64*y;x+y<50;12*x+8*y<480;3*x<100;end2.一汽车厂生产小、中、大三种类型的的汽车,已知各类型每辆车对钢材、劳动时间的需求,利润以及每月工厂钢材、劳动时间如下表。
1)制定生产计划,使工厂利润最大;2)若生产某类型车,则至少需生产80辆,求改变后的生产计划。
3.建筑工地的位置(a,b)和水泥日用量d如下表,目前有两个临时料场位于P(5,1),Q(2,7),日储量各有20t。
1)求从P,Q两料场分别向各工地运送多少吨水泥,使总的吨公里数最小;2)现打算舍弃原有料场,新建两个料场A,B,求新料场的位置,使新的吨公里数最小,此时与P,Q相比能节省多少吨公里。
4.设从4个产地Ai往3个销地Bj运送物资,产量、销量和单位运费如下表,求总运费最少的运输方案和总运费。
Lingo程序:Model:sets:warehouse/1..3/:a;customer/1..4/:b;link(warehouse,customer):c,x;endsetsdata:a=30,25,21;b=15,17,22,12;c=6,2,6,7,4,9,5,3,8,8,1,5;enddata[OBJ]min=@sum(link:c*x);@for(warehouse(i): @sum(customer(j):x(i,j))<a(i));@for(customer(j):@sum(warehouse(i):x(i,j))=b(j));end5.求下图中v1到v11的最短路Lingo程序:Model:sets:cities/1..11/;roads(cities,cities):p,w,x; endsetsdata: !半连通图和权图;p=0 1 1 1 0 0 0 0 0 0 00 0 1 0 1 0 0 0 0 0 0 0 1 0 1 1 1 1 0 0 0 0 0 0 1 0 0 0 1 0 0 0 0 0 1 1 0 0 1 0 1 1 0 0 0 0 1 0 1 0 1 0 1 0 0 0 0 1 1 0 1 0 0 1 1 0 0 0 0 0 1 0 0 0 1 0 10 0 0 0 1 1 1 1 0 1 10 0 0 0 0 0 1 0 1 0 10 0 0 0 0 0 0 1 1 1 0;w=0 2 8 1 0 0 0 0 0 0 02 0 6 0 1 0 0 0 0 0 08 6 0 7 5 1 2 0 0 0 01 0 7 0 0 0 9 0 0 0 00 1 5 0 0 3 0 2 9 0 00 0 1 0 3 0 4 0 6 0 00 0 2 9 0 4 0 0 3 1 00 0 0 0 2 0 0 0 7 0 90 0 0 0 9 6 3 7 0 1 20 0 0 0 0 0 1 0 1 0 40 0 0 0 0 0 0 0 9 2 4;enddatan=@size(cities);min=@sum(roads:w*x);@for(cities(i)|I # ne # 1 # and # I # ne # n: @sum(cities(j):p(i,j)*x(i,j))=@sum(cities(j):p(j,i)*x(j,i)));@sum(cities(j):p(1,j)*x(1,j))=1;end6.露天矿里有若干个爆破生成的石料堆,每堆称为一个铲位,每个铲位已预先根据铁含量将石料分成矿石和岩石。
数学规划模型及lingo 求解练习: 1.考虑下述不平衡指派问题。
现有7个人指派给他们5项任务,效率矩阵如下表。
约定:①一个任务只能被一个人完成;②一个人在某时刻只能做一项任务;③所(1) lingo 代码求解,给出最优指派以及最优值; 1. 模型的建立:设:题干中有i 个人共要完成j 件事情,可建立以下模型:i=1,2,3…..m j=1,2,3…..n=0或1xij=1:指派第i 人做第j 事 xij=0: 不指派第i 人做第j 事 ( cij )称为系数矩阵。
2. 详细代码: Model: SETS:Chandi/1..7/:cl; Xiaodi/1..5/:xl;ChanXiao(Chandi,Xiaodi):c,x; ENDSETS DATA:c=2 15 13 1 8 10 4 14 15 7 9 14 16 13 8 7 8 11 9 4 8 4 15 8 6 12 4 6 8 13 5 16 8 5 10;m nij iji=1j=1min =c x Z •∑∑11nijj x==∑11miji x==∑ijx[obj] min=@sum(ChanXiao:c*x);@for(Chandi(i):@sum(Xiaodi(j):x(i,j))<1); @for(Xiaodi(j):@sum(Chandi(i):x(i,j))=1);@for(Chandi(i):@sum(Xiaodi(j):c(i,j)*x(i,j))<Cmax); @for(ChanXiao(i,j):@bin(x(i,j))); End(2) 目标是任务尽早完工。
建立数学规划模型,并编写lingo 代码求解,给出最优指派以及最优值; 1.模拟建立:设:题干中有i 个人共要完成j 件事情,可建立以下模型: min max Z C =•j=1,2,3,….ni=1,2,3,….mi=1,2,3…..m 0或1xij=1:指派第i 人做第j 事 xij=0: 不指派第i 人做第j 事 ( cij )称为系数矩阵。
lingo软件练习题Lingo软件是一款用于学习外语的软件,提供了丰富的练习题以帮助用户提高语言能力。
在本文中,我们将介绍一些Lingo软件的练习题并提供相应的解答。
通过这些练习题,您可以巩固所学的语言知识并提升您的语言水平。
一、词汇练习1. 选择正确的单词填入空格中。
A: What's your favorite __________?B: My favorite color is blue.A) foodB) colorC) animalD) book2. 根据提供的词性和定义,选择正确的单词。
词性:noun定义:A person, place, thing, or idea.A) carB) runC) quicklyD) happy二、语法练习1. 选择正确的动词形式填入下面的句子中。
I _________ to the park every weekend.A) goB) goesC) wentD) going2. 选择正确的时态填入下面的句子中。
She _________ dinner when the phone rang.A) eatB) eatsC) ateD) eating三、阅读理解阅读下面的短文,然后回答问题。
Hello! My name is Sarah and I am from Canada. I am a teacher and I love to travel. Last summer, I visited China. It was an amazing experience. Iwent to Beijing, Shanghai, and Xi'an. The Great Wall of China was the highlight of my trip. It was so beautiful!1. Where is Sarah from?2. What does Sarah do for a living?3. Where did Sarah go last summer?4. What was the highlight of Sarah's trip?四、听力练习听录音,然后回答问题。
一. 货机装运问题某架货机有三个货舱:前舱、中舱、后舱。
三个货舱所能装载的最大重量和体积都有限制。
为了保持飞机的平衡,三个货舱中实际装载货物的重量与其最大容许重量成比例。
前舱 中舱 后舱 重量限制(吨) 10 16 8 体积限制(3米)6800 8700 5300现有四类货物供该货机本次飞行装运,其有关信息如下表。
重量(吨) 空间(吨米3)利润(吨元)货物1 18 480 3100 货物2 15 650 3800 货物3 23 580 3500 货物412 390 2850应如何安排装运,使该货机本次飞行获利最大?二. 模型假设:1)每种货物可以分割成任意小;2)每种货物可以在一个或多个货舱中任意分布; 3)多种货物可以混装,并保证不留空隙。
三. 符号说明:j i x :表示第i 种货物装入第j 个货舱的重量 Z :货机本次飞行所获利润四. 模型分析:本问题可建立成线性规划模型,其目标函数是货机本次飞行所获的总利润Z 达到最大,其中++++++=)(3800)(3100232221131211x x x x x x Z )(2850)(3500434241333231x x x x x x +++++约束条件有:1)供装载的四种货物的总重量约束18131211≤++x x x ,15232221≤++x x x ,23333231≤++x x x ,12434241≤++x x x2)三个货舱的重量限制1041312111≤+++x x x x ,1642322212≤+++x x x x ,843332313≤+++x x x x3)三个货舱的空间限制680039058065048041312111≤+++x x x x ,870039058065048042322212≤+++x x x x530039058065048043332313≤+++x x x x4)三个货舱装入重量的平衡约束81610433323134232221241312111x x x x x x x x x x x x +++=+++=+++ 五. 模型求解:用LINDO 求解如下:max 3100x11+3100x12+3100x13+3800x21+3800x22+3800x23 +3500x31+3500x32+3500x33+2850x41+2850x42+2850x43 subject tox11+x12+x13<=18 x21+x22+x23<=15 x31+x32+x33<=23 x41+x42+x43<=12 x11+x21+x31+x41<=10 x12+x22+x32+x42<=16 x13+x23+x33+x43<=8480x11+650x21+580x31+390x41<=6800 480x12+650x22+580x32+390x42<=8700 480x13+650x23+580x33+390x43<=5300 8x11+8x21+8x31+8x41-5x12-5x22-5x32-5x42=0 x12+x22+x32+x42-2x13-2x23-2x33-2x43=0 end一. 自来水输送问题某市有甲、乙、丙、丁四个居民区,自来水由A 、B 、C 三个水库供应。
L i n g o软件训练题一、基础训练答题要求:将Lingo程序复制到Word文档中,并且附上最终结果。
1、简单线性规划求解答案:程序:Model:min=13*x1+9*x2+10*x3+11*x4+12*x5+8*x6;x1+x4=400;x2+x5=600;x3+x6=500;0.4*x1+1.1*x2+x3<=800;0.5*x4+1.2*x5+1.3*x6<=900;x1>=0;x2>=0;x3>=0;x4>=0;x5>=0;x6>=0;End结果:Global optimal solution found.Objective value: 13800.00Total solver iterations: 0Variable Value Reduced CostX1 0.000000 2.000000X2 600.0000 0.000000X3 0.000000 2.000000X4 400.0000 0.000000X5 0.000000 3.000000X6 500.0000 0.000000Row Slack or Surplus Dual Price1 13800.00 -1.0000002 0.000000 -11.000003 0.000000 -9.0000004 0.000000 -8.0000005 140.0000 0.0000006 50.00000 0.0000007 0.000000 0.0000008 600.0000 0.0000009 0.000000 0.00000010 400.0000 0.00000011 0.000000 0.00000012 500.0000 0.0000002、整数规划求解s.t. ⎪⎩⎪⎨⎧≥≤+≤+0,702075679212121x x x x x x答:程序:Model :max =9*x1+7*x2;9*x1+7*x2<=56;7*x1+20*x2<=70;x1>=0;x2>=0;end结果:Global optimal solution found.Objective value: 355.8779Total solver iterations: 2Variable Value Reduced CostX1 4.809160 0.000000X2 1.816794 0.000000Row Slack or Surplus Dual Price1 355.8779 1.0000002 0.000000 1.2977103 0.000000 4.0458024 4.809160 0.0000005 1.816794 0.000000二、综合训练答题要求:写出目标函数与约束条件,将Lingo 程序复制到Word 文档中,并且附上最终结果。
lingo习题1、某⼯⼚要做100套钢架,每套钢架⽤长为2.9m,2.1m,1.5m,2.0m的圆钢各⼀根。
已知原料每根长为7.4m,问:应该如何下料,可使所⽤原料最省2、某⼯⼚⽣产 A 和 B 两种产品,按计划每天⽣产 A、B 各不得少于 10 吨,已知⽣产 A 产品⼀吨需⽤煤 9 吨、电 4 度、劳动⼒ 3 个(按⼯作⽇计算);⽣产 B 产品⼀吨需⽤煤 4 吨、电 5 度、劳动⼒ 10 个.如果 A 产品每吨价值 7 万元,B 产品每吨价值 12 万元,⽽且每天⽤煤不超过 300 吨,⽤电不超过 200 度,劳动⼒最多只有 300 个.1)每天应安排⽣产 A、B 两种产品各多少,才能既保证完成⽣产计划,⼜能为国家创造最多的产值?2)请计算不等式右端资源影⼦价格,并计算保持影⼦价格不变的⾃变量的变化范围。
3)保持最优解不变的⽬标函数系数变化范围3.甲、⼄两地⽣产某种产品,它们可调出的数量分别为 300t 和 750t,A、B、C 三地需要该种产品的数量分别为 200t、450t 和400t,甲地运往 A、B、C 三地的运费分别是 6 元/吨、3 元/吨、5 元/吨,⼄地运往 A、B、C 三地的运费分别是 5 远/吨、9 元/吨、6 元/吨,问怎样的调运⽅案才能使总运费最省?4、2)请计算不等式右端资源影⼦价格,并计算保持影⼦价格不变的⾃变量的变化范围。
3)保持最优解不变的⽬标函数系数变化范围5、2)请计算不等式右端资源影⼦价格,并计算保持影⼦价格不变的⾃变量的变化范围。
3)保持最优解不变的⽬标函数系数变化范围6、2)请计算不等式右端资源影⼦价格,并计算保持影⼦价格不变的⾃变量的变化范围。
3)保持最优解不变的⽬标函数系数变化范围7、某排球国家队需要准备从以下队员中选拔4名队员为正式队员,每个位置⼀名,并使平均⾝⾼尽可能⾼,这8名预备队员情况如下表所⽰预备队员号码⾝⾼ cm 位置⼩甲 1 193 主攻⼩⼄ 2 191 主攻⼩丙 3 187 副攻8、某货运飞机,其载重量为24t ,客运物品的重量机器运费收⼊如下表,其中个物品只有⼀件可供选择。
lingo程序练习题Lingo是一种编程语言,它的特点在于简单易用和高效。
为了更好地掌握和理解Lingo编程,我们可以通过练习题的方式来提升我们的实战能力。
下面将给出一些适用于Lingo程序的练习题,以帮助读者熟悉和掌握这门语言。
1. 输出"Hello, World!"编写一个Lingo程序,输出“Hello, World!”。
这是Lingo程序入门的经典练习题,通过完成这道题目,你可以熟悉Lingo的基本语法和输出功能。
2. 计算两个数的和编写一个Lingo程序,输入两个数,然后计算它们的和并将结果输出。
这道题目可以帮助你熟练使用Lingo的输入和计算功能。
3. 判断奇偶数编写一个Lingo程序,输入一个数,判断它是奇数还是偶数,并输出对应的结果。
这道题目可以帮助你理解和掌握Lingo的判断语句和逻辑判断。
4. 字符串连接编写一个Lingo程序,输入两个字符串,将它们连接起来并输出。
这道题目可以帮助你熟悉Lingo的字符串处理功能。
5. 猜数游戏编写一个Lingo程序,生成一个1到100的随机数,然后让用户进行猜数游戏,直到猜对为止。
每次猜数时,程序都会给出相应的提示,比如“猜的数太大了”或“猜的数太小了”。
完成这道题目可以帮助你运用到Lingo的随机数生成和循环控制等功能。
6. 查找素数编写一个Lingo程序,输入一个数,判断它是否为素数,并输出判断结果。
这道题目可以练习你对素数的判断和Lingo的循环控制能力。
总结:通过完成上述练习题,你可以逐渐熟悉和掌握Lingo编程语言,提升你的实战能力。
同时,这些练习题也可以帮助你加深对Lingo编程语言各个方面的理解,如输入输出、数学运算、条件判断、字符串处理、循环控制等。
希望你能够享受编程的乐趣,并在实践中不断提升自己。
加油!。
Lingo考核试题1、Lingo模型一般由几段构成?分别是什么?一般由5段构成;(1)集合段(SETS):以“SETS:” 开始,“ENDSETS”结束,定义必要的集合变量(SET)及其元素(MEMBER,含义类似于数组的下标)和属性(ATTRIBUTE,含义类似于数组)。
(2)目标与约束段:目标函数、约束条件等,没有段的开始和结束标记,因此实际上就是除其它四个段(都有明确的段标记)外的LINGO 模型。
(3)数据段(DATA):以“DATA:” 开始, “ENDDATA”结束,对集合的属性(数组)输入必要的常数数据。
(4)初始段(INIT):以“INIT: ”开始,“ENDINIT”结束,对集合的属性(数组)定义初值(5)计算段(CALC):以“CALC: ”开始,“ENDCALC”结束,对一些原始数据进行计算处理。
2、如何激活全局最优解程序?Use Global Solver使用全局最优求解程序选择该选项,LINGO将用全局最优求解程序求解模型,尽可能得到全局最优解(求解花费的时间可能很长);否则不使用全局最优求解程序,通常只得到局部最优解Variable Upper Bound变量上界有两个域可以控制变量上界(按绝对值):1、 Value:设定变量的上界,缺省值为1010;2、 Application列表框设置这个界的三种应用范围:•None: 所有变量都不使用这个上界;•All: 所有变量都使用这个上界;•Selected:先找到第1个局部最优解,然后对满足这个上界的变量使用这个上界(缺省设置)Tolerances误差限有两个域可以控制变量上界(按绝对值):1、 Optimality:只搜索比当前解至少改进这么多个单位的解(缺省值为10-6);2、 Delta:全局最优求解程序在凸化过程中增加的约束的误差限(缺省值为10-7)。
3、Lingo能解决什么类型的数学问题?1.基本运算符:包括算术运算符、逻辑运算符和关系运算符2.数学函数:三角函数和常规的数学函数3.金融函数:LINGO 提供的两种金融函数4.概率函数:LINGO 提供了大量概率相关的函数5.变量界定函数:这类函数用来定义变量的取值范围6.集操作函数:这类函数为对集的操作提供帮助7.集循环函数:遍历集的元素,执行一定的操作的函数8.数据输入输出函数:这类函数允许模型和外部数据源相联系,进行数据的输入输出9.辅助函数:各种杂类函数4、Lingo能保存什么类型的文件?请列举。
一.用Lingo 求解下列规划问题
1、求解
2、求解
3.求解
6,,1,6,,1,106,,1,6,,1,6,,1,13.
.max
61616161 =====≤=≤==∑∑∑∑====j i x j i x x j x x t s r x z ij ii ij i ij i ii i j ij ij 或者其中,⎥⎥⎥⎥⎥⎥⎥⎦
⎤⎢⎢⎢⎢⎢⎢⎢⎣⎡=110100111000001100
110100000111000011r 二、请给出下列问题的模型、lingo 求解程序及其运行结果
1.队员选拔问题
某校篮球队准备从十名预备队员中选择五名作为正式队员,队员的各种情况如下表:
队员号码 身高(厘米) 技术分 位置
1 185 8.6 中锋
2 186 9 中锋
3 193 8.
4 中锋
4 190 9.
5 中锋
5 182 9.1 前锋
6 184 9 前锋
7 188 8.1 前锋
8 186 7.8 后卫
9 190 8.2 后卫
10 192 9.2 后卫
队员的挑选要满足下面条件:(1)至少补充一名前锋。
(2)至多补充2名中锋。
(3)1号和3号队员最多只能入选1个。
(4)平均身高要达到187厘米。
(5)3号或10号入选了则4号就不能入选。
问:怎么选择使得技术平均分最高。
max 23,..4310,3512,,0.z x y s t x y x y x y =++≤+≤≥22121122121212max 982770.32,..100,2,,0,.x x x x x x s t x x x x x x +---+≤≤≥ 且都是整
2. 超市奖品选购
超市提供了50种商品作为奖品供中奖顾客选择,车的容量为1000 cm3,奖品i占用的空间为w i cm3,价值为v i元, 具体的数据如下:
v i = { 220, 208, 198, 192, 180, 180, 165, 162, 160, 158,155, 130, 125, 122, 120, 118, 115, 110, 105, 101, 100, 100, 98,96, 95, 90, 88, 82, 80, 77, 75, 73, 72, 70, 69, 66, 65, 63, 60, 58,56, 50, 30, 20, 15, 10, 8, 5, 3, 1}
w i = {80, 82, 85, 70, 72, 70, 66, 50, 55, 25, 50, 55, 40, 48,50, 32, 22, 60, 30, 32, 40, 38, 35, 32, 25, 28, 30, 22, 50, 30, 45,30, 60, 50, 20, 65, 20, 25, 30, 10, 20, 25, 15, 10, 10, 10, 4, 4, 2,1}。
问怎么选择价值最高。