高中数学圆的方程教案新人教版必修2
- 格式:doc
- 大小:304.50 KB
- 文档页数:24
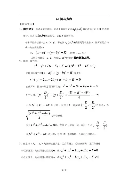
4.1圆与方程【知识要点】1、圆的定义:圆是最美的曲线。
它是平面内到定点0(,)x a b 的距离等于定长R 的点的集合。
定点0(,)x a b 就是圆心,定长R 就是半径。
对于平面内任意一点A (x ,y ),若它到0(,)x a b 的距离等于定长R ,则所有的点构成的集合就是圆O :即: 222()()x a y b R -+-=(R>0) (1)方程亦叫做以(a ,b )为圆心,R 为半径的圆的标准方程。
2、圆的一般方程:22220(40)x y Dx Ey F D E F ++++=+->将圆的标准方程222()()x a y b R -+-=展开得: 22222220x y a x b y a b R +--++-= 由此可知,圆的一般方程可以写成:220x y Dx Ey F ++++= 配方可得:2222(4)()()224D E D E F x y +-+++=……(2) ①当2240D E F +->时,方程(2)表示以(,)22D E --为圆心,以 ②当2240DE F +-=时,方程(2)只有一解,表示一个点(,)22D E --。
③2240D E F +-<时,方程(2)无实数解,不表示任何图形。
3、任意点(0x ,0y )与圆的位置关系:①点在圆上 ②点在圆内 ③点在圆外 ⑴点在圆上,则点到圆心的距离=r ,或220000=0x y Dx Ey F ++++ ⑵点在圆内,则点到圆心的距离<r ,或2200000x y Dx Ey F ++++<⑶点在圆外,则点到圆心的距离>r ,或2200000x y Dx Ey F ++++>【解题方法】一、根据弦长求半径,然后求出圆的方程 (1)几何法,由弦心距d ,半径r ,以及半弦长2l 构成的直角三角形,可知:l =|AB|= 二、直接定义,求圆的方程1、设圆的标准方程为:222()()x a y b R -+-=,然后找出其他条件,解出未知数a ,b ,R.2、设圆的一般方程为:22220(40)x y Dx Ey F D E F ++++=+->,通过其他条件求出未知数D ,E ,F 。
教学设计4.1.1圆的标准方程整体设计一、教学背景分析1.教材结构分析圆是学生比较熟悉的一类曲线,而且是一种对称、和谐的图形,具有很多优美的几何性质.本节内容首先通过圆的定义,求解圆的标准方程,进而变化出圆的一般方程,其次运用代数的方法探讨直线与圆,圆与圆的位置关系,进一步提高学生对解析几何问题研究方法的深入理解.2.教材地位与作用圆作为常见的简单几何图形,在实际生活和生产实践中有着广泛的应用.本节内容安排在学生学习直线方程之后,旨在更加深刻的体会曲线和方程的关系,为后继学习做好准备.同时有关圆的问题,特别是圆和直线的位置关系问题,是解析几何的基本问题.这些问题的解决为圆锥曲线问题的解决提供了基本的思想方法.圆的方程也属于解析几何学的基础知识,是研究二次曲线的开始,对后继直线与圆的位置关系、圆锥曲线等内容的学习,无论在知识上还是方法上都有积极的意义.所以本节内容在解析几何中起着承前启后的作用.3.学情分析学生在初中已经学习了圆的概念和基本性质,在高中又掌握了求直线方程的一般方法,但由于学生以往注重从几何的角度理解圆的性质,而且学习解析几何的时间还不长、学习程度较浅,尚未建立牢固的数形结合的思想,对于解析法运用还不够熟练,在学习过程中难免会出现困难.另外学生在探索问题的能力,合作交流的意识等方面有待加强.4.教学目标(1)知识目标:①在平面直角坐标系中,探索并掌握圆的标准方程;②会由圆的方程写出圆的半径和圆心,能根据条件写出圆的方程.(2)能力目标:①进一步培养学生用解析法研究几何问题的能力;②使学生加深对数形结合思想和待定系数法的理解;③增强学生用数学的意识.(3)情感目标:培养学生主动探究知识、合作交流的意识,在体验数学美的过程中激发学生的学习兴趣.5.教学重点、难点(1)教学重点:圆的标准方程的求法及其应用.(2)教学难点:会根据不同的已知条件,利用待定系数法求圆的标准方程以及选择恰当的坐标系解决与圆有关的实际问题.二、教法分析高一学生,在教师的引导下,已经具备一定探究与研究问题的能力.所以在设计问题时应考虑全面性和灵活性,采用对比、启发、探究等方式,师生共同探讨,共同参与、共同研究,让学生积极思考,主动学习.在教学过程中采取小组讨论法,向学生提供具备启发性和思考性的问题.因此,要求学生在课堂上小组讨论,然后小组汇报讨论成果,提高学生的探究、推理、想象、表达、分析和总结归纳等方面的能力.因为本节课是在学生对圆的基本性质认识的基础上,再对圆进行代数研究.针对学生的学习过程、认知水平,在遵循参与式教学的基础上,调动全班学生积极参与,认真思考,努力体现学生学习的主体性地位.在学习过程中让学生积极思考,动手计算,不仅在“思维中参与”而且在“行动中参与”,养成主动性的学习习惯.三、学法分析为了重点培养学生分析问题、解决问题的能力.因此,要求学生在学习中遇到问题时,不要急于求成,而是通过求圆的标准方程,理解必须具备三个独立的条件才可以确定一个圆.通过推导圆的标准方程,加深用解析法求轨迹方程的理解.还要会根据问题提供的信息回忆所学知识,采用转化思想、数形结合的思想,选择最佳方案解决.四、教学基本流程及其说明结合教材与新课程标准本节课采用以下流程(一)、教师在理解教材的编写意图的基础上,应发挥主观能动性,对教材资源进行再加工、再创造,这样教学方法更有利于学生的认知结构,也有利于学生从深层次理解和掌握圆的标准方程.(二)、在整个教学过程中,主要着眼于“引”,启发学生“探”,把“引”和“探”有机结合起来,教师的每项措施都是力求给学生创造一种思维情境,动手、动脑、动口并且主动参与学习的机会,激发学生求知欲望,促使学生在不知不觉中掌握知识,解决问题.(三)、培养思维,提高能力,激励创新在问题的设计中,利用一题多解的探究,纵向挖掘知识深度,横向加强知识间的联系,培养了学生的创新精神,并且使学生的有效思维量加大,随时对所学知识和方法产生注意,使能力与知识的形成相伴而行.五、教学情境设计圆是学生比较熟悉的曲线,初中平面几何对圆的基本性质作了比较系统的研究,因此这节课的重点确定为用解析法研究圆的标准方程及其简单应用.首先,在已有圆的定义和求曲线方程的一般步骤的基础上,用实际问题引导学生探究获得圆的标准方程,然后,利用圆的标准方程由浅入深的解决问题,并通过圆的方程在实际问题中的应用,增强学生用数学的意识.另外,为了培养学生的理性思维,设计了由特殊到一般的学习思路,培养学生的归纳概括能力.在问题的设计中,用一题多解的探究,纵向挖掘知识深度,横向加强知识间的联系,培养了学生的创新精神,并且使学生的有效思维量加大,随时对所学知识和方法产生有意注意,能力与知识的形成相伴而行,这样的设计不但突出了重点,更使难点的突破水到渠成.本节课设计了六个环节,以问题为纽带,以探究活动为载体,使学生在问题的指引下、教师的指导下把探究活动层层展开、步步深入,充分体现以教师为主导,以学生为主体的指导思想.应用启发式的教学方法把学生学习知识的过程转变为学生观察问题、发现问题、分析问题、解决问题的过程,在解决问题的同时锻炼了思维、提高了能力、培养了兴趣、增强了信心.。
2.2.1 圆的方程(2)教学目标:1.掌握圆的一般方程并由圆的一般方程化成圆的标准方程2.能分析题目的条件选择圆的一般方程或标准方程解题3.解题过程中能分析和运用圆的几何性质教学重点:圆的一般方程的认识和圆的两种方程的选择使用教学难点:圆的一般方程的认识过程和判断二元二次方程是否为圆方程教学过程:1.问题情境(1)情境:方程22(1)(2)4x y -+-=表示怎样的图形?(2)问题:方程22(1)(2)4x y -+-=是几元几次方程?二元二次方程一定表示圆吗?(3)观察方程22(1)(2)4x y -+-=整理后的形式222410x y x y +--+=,得到是关于,x y 的二元二次方程,且22,x y 项的系数相等不为零,不含有xy 项;反过来,像这样的二元二次方程220x y Dx Ey F ++++=一定表示圆吗?2.圆的一般方程将方程220x y Dx Ey F ++++=配方,得22221()()(4)224D E x y D E F +++=+-与圆的标准方程进行比较得到: (1)当2240D E F +->时,方程表示以(,)22D E --为圆心,2为半径的圆; (2)当2240D E F +-=时,方程表示一个点(,)22D E --; (3)当2240D E F +-<时,方程无实数解,即方程不表示任何图形;方程22220(40)x y Dx Ey F D E F ++++=+->叫做圆的一般方程. 3.圆的一般方程的特点当二元二次方程220Ax Bxy Cy Dx Ey F +++++=具有条件:(1)2x 和2y 的系数相同,不等于零,即0A C =≠;(2)没有xy 项,即0B =; (3)2240D E AF +->.它才表示圆.条件(3)通过将方程同除以A 或C 配方不难得出.4.例题讲解例1.求过三点12(0,0),(1,1),(4,2)O M M 的圆的方程;分析:由于12(0,0),(1,1),(4,2)O M M 不在同一条直线上,因此经过12,,O M M 三点有唯一的圆.解:法一:设圆的方程为220x y Dx Ey F ++++=,∵12,,O M M 三点都在圆上,∴12,,O M M 三点坐标都满足所设方程,把12(0,0),(1,1),(4,2)O M M 代入所设方程, 得:02042200F D E F D E F =⎧⎪+++=⎨⎪+++=⎩解之得:860D E F =-⎧⎪=⎨⎪=⎩所以,所求圆的方程为22860x y x y +-+=.法二:也可以求1OM 和2OM 中垂线的交点即为圆心,圆心到O 的距离就是半径也可以求的圆的方程:22860x y x y +-+=.法三:也可以设圆的标准方程:222()()x a y b r -+-=将点的坐标代入后解方程组也可以解得22(4)(3)25x y -++=.例2.若方程()22222220x y mx m y m +-+-+=表示一个圆,且该圆的圆心位于第一象限,求实数m 的取值范围.解:将圆方程配方得,()()22112x m y m m -++-=-⎡⎤⎣⎦,则120m ->,12m ∴<. 又圆心(),1m m -在第一象限,00110m m m >⎧∴⇒<<⎨->⎩, 综上:102m <<. 例3.圆C 过点()()1,2,3,4A B ,且在x 轴上截得的弦长为6,求圆C 的方程.解:设所求圆为220x y Dx Ey F ++++=,令0y =得,20x Dx F ++=,则1212,x x D x x F +=-=,由216x x -==得,2436D F -=, 将点()()1,2,3,4A B 代入220x y Dx Ey F ++++=,得25,3425D E F D E F ++=-++=-,解方程组得,12,22,27D E F ==-=或8,2,7D E F =-=-=,则所求圆为221222270x y x y ++-+=或所求圆为228270x y x y +--+=.思考:是否有其他方法?例4.求圆心在直线:0l x y +=上,且过两圆221:210240C x y x y +-+-=和22:C x + 22280y x y ++-=交点的圆的方程.略解:联立两圆方程解得交点为()()4,0,0,2-,从而可求圆方程()()223310x y ++-=. 思考:类似直线系,能否用圆系方程来解?5.课堂小结(1)圆的一般方程220x y Dx Ey F ++++=及其条件2240D E F +->(2)方程思想求圆的一般方程。
某某省某某市第三中学高中数学 《圆的标准方程》 教学设计 新人教版必修二2知识与技能:1、掌握圆的标准方程:根据圆心坐标、半径熟练地写出圆的标准方程,能从圆的标准方程中熟练地求出圆心坐标和半径;2、会用两种方法求圆的标准方程:(1)待定系数法;(2)利用几何性质教学重点:圆的标准方程教学难点:会根据不同的已知条件,利用待定系数法和几何性质求圆的标准方程。
教学过程:情境设置:问题:①圆的定义?学生回忆所学知识:①圆是平面内到定点的距离等于定长的点的集合,确定圆的要素是圆心和半径。
问题:②如果把直线放在直角坐标系下,那么其对应的方程是二元一次方程,那么如果把一个圆放在坐标系下,其方程有什么特征?如何写出这个圆的所在的方程?二、探索研究:确定圆的基本条件为圆心和半径,设圆的圆心坐标为A(a,b),半径为r 。
(其中a 、b 、r 都是常数,r>0)设M(x,y)为这个圆上任意一点,那么点M 满足的条件是(引导学生自己列出)P={M||MA|=r},由两点间的距离公式让学生写出点M r =① 化简可得:222()()x a y b r -+-=②方程②就是圆心为A(a,b),半径为r 的圆的方程,我们把它叫做圆的标准方程。
总结出点00(,)M x y 与圆222()()x a y b r -+-=的关系的判断方法:(1)2200()()x a y b -+-=2r ⇔点在圆上(2)2200()()x a y b -+-<2r ⇔点在圆内(3)2200()()x a y b -+->2r ⇔点在圆外三、知识应用与解题研究(一)练习1、指出下列方程表示的圆心坐标和半径:(1)222=+y x ; (2)5)1()3(22=-+-y x ; (3)222)1()2(a y x =+++(0≠a )。
2、写出下列圆的标准方程:(P120-121练习1、3、4)(1)圆心在C(-3,4),半径长为5;(2)圆心在C(8,-3),且经过点M(5,1);(3)圆心在(-1,2),与y轴相切(4)以P1(4,9)、P2(6,3)为直径的圆;(5)已知△ABC的顶点坐标分别是A(4,0),B(0,3),C(0,0),求△ABC外接圆的方程。
《4.1.1 圆的标准方程》教案
授课时间:授课地点:授课教师:
一、教材分析:圆是解析几何中一类重要的曲线,是在学生学习了直线与方程的基础知识之后,知道了在直角坐标系中通过建立方程可以达到研究图形性质,圆的标准方程正是这一知识运用的延续,在学习中使学生进一步体会数形结合的思想,形成用代数方法解决几何问题的能力,是进一步学习圆锥曲线的基础。
对于知识的后续学习,具有相当重要的意义.
二、教学目标:
1、知识与技能:①掌握圆的标准方程,能根据圆心、半径写出圆的标准方程;反之,
会根据圆的标方程,求圆心和半径;
②会判断点和圆的位置关系;
③会用待定系数法和几何法求圆的标准方程;
2、过程与方法:进一步培养学生能用解析法研究几何问题的能力,渗透数形结合思
想,通过圆的标准方程解决实际问题的学习,注意培养学生观察问
题、发现问题和解决问题的能力.
3、情感态度和价值观:通过运用圆的知识解决实际问题的学习,从而激发学生学习
数学的热情和兴趣.
三、内容分析:
重点:圆的标准方程的求法及其应用
难点:会根据不同的已知条件求圆的标准方程
四、教具学具的选择:多媒体、圆规、直尺、课件.
五、教学方法:采用“问题-探究”教学法.
六、教学过程:。
4.1.1 圆的标准方程一、教学目标1、目标:(1)学生掌握圆的标准方程,能根据圆心、半径写出圆的标准方程,能根据圆的标准方程写出圆的圆心、半径;(2)会用待定系数法求圆的标准方程,通过圆的标准方程解决实际问题的学习,形成代数方法处理几何问题的能力;(3)理解掌握圆的切线的求法.包括已知切点求切线,从圆外一点引切线,已知切线斜率求切线等.2、解析:由于“圆的方程”一节内容的基础性和应用的广泛性,对圆的标准方程要求层次是“掌握”,为了激发学生的主体意识,教学生学会学习和学会创造,同时培养学生的应用意识,本节内容可采用“引导探究”型教学模式进行教学设计,所谓“引导探究”是教师把教学内容设计为若干问题,从而引导学生进行探究的课堂教学模式,教师在教学过程中,主要着眼于“引”,启发学生“探”,把“引”和“探”有机的结合起来.教师的每项教学措施,都是给学生创造一种思维情境,一种动脑、动手、动口并主动参与的学习机会,激发学生的求知欲,促使学生解决问题.二、预习导引1、圆的定义平面内到的距离等于()的点的集合(轨迹)是圆,定点是(),定常是()。
2、圆的标准方程圆心为C(a,b),半径为r 的圆的标准方程是()三、问题引领,知识探究问题一:我们知道直线可以用方程表示,那么,圆可以用方程表示吗?如果能圆的方程怎样来求呢?.问题2:具有什么性质的点的轨迹称为圆?问题3:图1中哪个点是定点?哪个点是动点?动点具有什么性质?圆心和半径都反映了圆的什么特点?图1问题4:我们知道,在平面直角坐标系中,确定一条直线的条件是两点或一点和倾斜角,那么,决定圆的条件是什么?问题5:如果已知圆心坐标为C(a ,b ),圆的半径为r ,我们如何写出圆的方程?问题6:圆的方程形式有什么特点?当圆心在原点时,圆的方程是什么?问题7:根据圆的标准方程说明确定圆的方程的条件是什么?问题8:确定圆的方程的方法和步骤是什么?问题9:坐标平面内的点与圆有什么位置关系?如何判断?师生活动:学生思考,回答。
4.1.1圆的标准方程【教学目标】(一)知识与技能(1)掌握圆的标准方程,能根据圆心、半径写出圆的标准方程.(2)会用待定系数法求圆的标准方程.(二)过程与方法进一步培养学生能用解析法研究几何问题的能力,渗透数形结合思想,通过圆的标准方程解决实际问题的学习,注意培养学生观察问题、发现问题和解决问题的能力.(三)情感态度与价值观通过运用圆的知识解决实际问题的学习,从而激发学生学习数学的热情和兴趣.【教学重点】 圆的标准方程.【教学难点】 会根据不同的已知条件,利用待定系数法求圆的标准方程.【教学方法】 启发、引导、讨论.【教学过程】一、新课引入在直角坐标系中,确定直线的基本要素是什么?圆作为平面几何中的基本图形,确定它的要素又是什么呢?什么叫圆?在平面直角坐标系中,任何一条直线都可用一个二元一次方程来表示,那么,圆是否也可用一个方程来表示呢?如果能,这个方程又有什么特征呢?二、讲授新课确定圆的基本条件为圆心和半径,设圆的圆心坐标为(,)A a b ,半径为r (其中a 、b 、r 都是常数,0r ).设(,)M x y 为这个圆上任意一点,那么点M 满足的条件是(引导学生自己列出){}P M MA r ==,由两点间的距离公式让学生写出点M 适合的条件r =①化简可得:222()()x a y b r -+-= ②引导学生自己证明222()()x a y b r -+-=为圆的方程,得出结论.若点(,)M x y 在圆上,由上述讨论可知,点M 的坐标适用方程②,说明点M 与圆心A 的距离为r ,即点M 在圆心为A 的圆上.所以方程②就是圆心为(,)A a b ,半径为r 的圆的方程,我们把它叫做圆的标准方程.三、例题解析例1:写出圆心为(2,3)A -半径长等于5的圆的方程,并判断点1(5,7)M -,2(1)M -是否在这个圆上. 分析:可以从计算点到圆心的距离入手.点00(,)M x y 与圆222()()x a y b r -+-=的关系的判断方法:(1)22200()()x a y b r -+->,点在圆外(2)22200()()x a y b r -+-=,点在圆上(3)22200()()x a y b r -+-<,点在圆内解:圆心是(2,3)A -半径长等于5的圆的标准方程是22(2)(3)25x y -++=.。
4.1.2 圆的标准一般方程一、教学目标1、目标:(1)在掌握圆的标准方程的基础上,理解记忆圆的一般方程的代数特征,由圆的一般方程确定圆的圆心、半径.掌握方程x2+y2+D x+E y+F=0表示圆的条件,通过对方程x2+y2+D x+E y+F=0表示圆的条件的探究,培养学生探索发现及分析、解决问题的能力.(2)能通过配方等手段,把圆的一般方程化为圆的标准方程.能用待定系数法和轨迹法求圆的方程.2、解析:圆的标准方程的优点在于明确直观地指出圆心坐标和半径的长.我们知道,圆心确定圆的位置,半径确定圆的大小,它有利于研究圆的有关性质和作图.而由圆的一般方程可以很容易判别一般的二元二次方程中,哪些是圆的方程,哪些不是圆的方程,它们各有自己的优点,在教学过程中,应当使学生熟练地掌握圆的标准方程与圆的一般方程的互化,尤其是由圆的一般方程通过配方化为圆的标准方程,从而求出圆心坐标和半径.要画出圆,就必须要将曲线方程通过配方化为圆的标准方程,然后才能画出曲线的形状.这充分说明了学生熟练地掌握这两种方程互化的重要性和必要性.二、预习导引1,圆的一般方程的定义当D2+E2-4F>0.时,二元二次方程称为圆的一般方程,此时圆心坐标,半径。
三,问题引领、探究新知问题1:前一章我们研究直线方程用的什么顺序和方法?问题2:这里我们研究圆的方程是否也能类比研究直线方程的顺序和方法呢?问题3:给出式子x 2+y 2+D x +E y +F=0,请你利用配方法化成不含x 和y 的一次项的式子.问题4:把式子(x -a )2+(y -b )2=r 2与x 2+y 2+D x +E y +F=0配方后的式子比较,得出x 2+y 2+D x +E y +F=0表示圆的条件.问题5:对圆的标准方程与圆的一般方程作一比较,看各自有什么特点?师生活动:学生思考,回答。
教师总结后得出讨论结果:1、以前学习过直线,我们首先学习了直线方程的点斜式、斜截式、两点式、截距式,最后学习一般式.大家知道,我们认识一般的东西,总是从特殊入手.如探求直线方程的一般形式就是通过把特殊的公式(点斜式、两点式、…)展开整理而得到的.2、我们想求圆的一般方程,可仿照直线方程试一试!我们已经学习了圆的标准方程,把标准形式展开,整理得到,也是从特殊到一般.3、把式子x 2+y 2+D x +E y +F=0配方得 (x +2D )2+(y +2E )2=4422F E D -+. 4、(x -a )2+(y -b )2=r 2中,r >0时表示圆,r =0时表示点(a ,b ),r <0时不表示任何图形. 因此式子 (x +2D )2+(y +2E )2=4422F E D -+. (ⅰ)当D 2+E 2-4F >0时,表示以(-2D ,-2E )为圆心,21F E D 422-+为半径的圆;(ⅱ)当D 2+E 2-4F=0时,方程只有实数解x =-2D ,y =-2E ,即只表示一个点(-2D ,-2E ); (ⅲ)当D 2+E 2-4F <0时,方程没有实数解,因而它不表示任何图形. 综上所述,方程x 2+y 2+D x +E y +F=0表示的曲线不一定是圆,由此得到圆的方程都能写成x 2+y 2+D x +E y +F=0的形式,但方程x 2+y 2+D x +E y +F=0表示的曲线不一定是圆,只有当D 2+E 2-4F >0时,它表示的曲线才是圆.因此x 2+y 2+D x +E y +F=0表示圆的充要条件是D 2+E 2-4F >0.我们把形如x 2+y 2+D x +E y +F=0表示圆的方程称为圆的一般方程.5、圆的一般方程形式上的特点:x 2和y 2的系数相同,不等于0.没有xy 这样的二次项.圆的一般方程中有三个待定的系数D 、E 、F,因此只要求出这三个系数,圆的方程就确定了.与圆的标准方程相比较,它是一种特殊的二元二次方程,代数特征明显,圆的标准方程则指出了圆心坐标与半径大小,几何特征较明显.练习内化例1:判断下列二元二次方程是否表示圆的方程?如果是,请求出圆的圆心及半径.(1)4x 2+4y 2-4x +12y +9=0;(2)4x 2+4y 2-4x +12y +11=0.解:(1)由4x 2+4y 2-4x +12y +9=0,得D=-1,E=3,F=49, 而D 2+E 2-4F=1+9-9=1>0,所以方程4x 2+4y 2-4x +12y +9=0表示圆的方程,其圆心坐标为(21,-23),半径为21; (2)由4x 2+4y 2-4x +12y +11=0,得 D=-1,E=3,F=411,D 2+E 2-4F=1+9-11=-1<0, 所以方程4x 2+4y 2-4x +12y +11=0不表示圆的方程. 点评:对于形如A x 2+B y 2+D x +E y +F=0的方程判断其方程是否表示圆,要化为x 2+y 2+D x +E y +F=0的形式,再利用条件D 2+E 2-4F 与0的大小判断,不能直接套用.另外,直接配方也可以判断.变式训练:求下列圆的半径和圆心坐标:(1)x 2+y 2-8x +6y =0;(2)x 2+y 2+2by =0.(2)x 2+y 2+2by =0配方,得x 2+(y +b )2=b 2,所以圆心坐标为(0,-b ),半径为|b |例2 :求过三点O(0,0)、M 1(1,1)、M 2(4,2)的圆的方程,并求圆的半径长和圆心坐标. 解:方法一:设所求圆的方程为x 2+y 2+D x +E y +F=0,由O 、M 1、M 2在圆上,则有 ⎪⎩⎪⎨⎧=+++=+++=.02024,02.0F E D F E D F 解得D=-8,E=6,F=0,故所求圆的方程为x 2+y 2-8x +6y =0,即(x -4)2+(y +3)2=52.所以圆心坐标为(4,-3),半径为5.方法二:先求出OM 1的中点E(21,21),M 1M 2的中点F(25,23), 再写出OM 1的垂直平分线PE 的直线方程 y -21=-(x -21), ① AB 的垂直平分线PF 的直线方程 y -23=-3(x -25), ② 联立①②得⎩⎨⎧=+=+,93,1y x y x 得⎩⎨⎧-==.3,4y x则点P 的坐标为(4,-3),即为圆心.OP=5为半径.点评:请同学们比较,关于何时设圆的标准方程,何时设圆的一般方程.一般说来,如果由已知条件容易求圆心的坐标、半径或需要用圆心的坐标、半径列方程的问题,往往设圆的标准方程;如果已知条件和圆心坐标或半径都无直接关系,往往设圆的一般方程.小结①圆的标准方程.②点与圆的位置关系的判断方法.③根据已知条件求圆的标准方程的方法.④利用圆的平面几何的知识构建方程.⑤直径端点是A(x 1,y 1)、B(x 2,y 2)的圆的方程是(x -x 1)(x -x 2)+(y -y 1)(y -y 2)=0.设计意图:回顾和总结本节课的主要内容。
4.1.2 圆的一般方程(一)教学目标1.知识与技能(1)在掌握圆的标准方程的基础上,理解记忆圆的一般方程的代数特征,由圆的一般方程确定圆的圆心半径,掌握方程x2 + y2 + Dx + Ey + F = 0表示圆的条件.(2)能通过配方等手段,把圆的一般方程化为圆的标准方程,能用待定系数法求圆的方程.(3)培养学生探索发现及分析解决问题的实际能力.2.过程与方法通过对方程x2 + y2 + Dx + Ey + F = 0表示圆的条件的探究,培养学生探索发现及分析解决问题的实际能力.3.情感态度与价值观渗透数形结合、化归与转化等数学思想方法,提高学生的整体素质,激励学生创新,勇于探索.(二)教学重点、难点教学重点:圆的一般方程的代数特征,一般方程与标准方程间的互化,根据已知条件确定方程中的系数,D、E、F.教学难点:对圆的一般方程的认识、掌握和运用.备选例题例1 下列各方程表示什么图形?若表示圆,求出圆心和半径.(1)x 2 + y 2+ x + 1 = 0;(2)x 2 + y 2 + 2ac + a 2= 0 (a ≠0);(3)2x 2 + 2y 2+ 2ax – 2ay = 0 (a ≠0). 【解析】(1)因为D = 1,E = 0,F = 1,所以D 2 + E 2– 4F <0 方程(1)不表示任何图形;(2)因为D = 2a ,E = 0,F = a 2,所以D 2 + E 2 – 4F = 4a 2 – 4a 2= 0, 所以方程(2)表示点(–a ,0);(3)两边同时除以2,得x 2 + y 2+ ax – ay = 0,所以D = a ,E = – a ,F = 0. 所以D 2 + E 2– 4F >0, 所以方程(3)表示圆,圆心为(,)22a a-,半径|r a =. 点评:也可以先将方程配方再判断.例2 已知一圆过P (4,–2)、Q (–1,3)两点,且在y 轴上截得的线段长为圆的方程.【分析】涉及与圆的弦长有关的问题时,为简化运算,则利用垂径直径定理和由半弦长、弦心距、半径所构成的三角形解之.【解析】法一:设圆的方程为: x 2 + y 2 + Dx + Ey + F = 0 ① 将P 、Q 的坐标分别代入①得4220310D E F D E F -+=-⎧⎨--=⎩ 令x = 0,由①,得y 2+ Ey + F = 0 ④由已知|y 1 – y 2| = y 1,y 2是方程④的两根.∴(y 1 – y 2)2 = (y 1 + y 2) – 4y 1y 2 = E 2– 4F = 48 ⑤ 解②③⑤联立成的方程组,得故所求方程为:x 2 + y 2 – 2x – 12 = 0或x 2 + y 2– 10x – 8y + 4 = 0. 法二:求得PQ 的中垂线方程为x – y – 1 = 0 ①∵所求圆的圆心C 在直线①上,故设其坐标为(a ,a – 1),又圆C的半径||r CP ==②由已知圆C 截y轴所得的线段长为C 到y 轴的距离为|a |. 代入②并将两端平方,得a 2– 5a + 5 = 0, 解得a 1 = 1,a 2 = 5.∴12r r ==故所求的圆的方程为:(x – 1)2+ y 2= 13或(x – 5)2+ (y – 4)2= 37.【评析】(1)在解本题时,为简化运算,要避开直接去求圆和y 轴的两个交点坐标,否则计算要复杂得多.(2)涉及与圆的弦长有关问题,常用垂径定理和由半弦长、弦心距及半径所构成的直角三角形解之,以简化运算.例3 已知方程x 2 + y 2 – 2(t + 3)x + 2(1 – t 2)y + 16t 4+ 9 = 0表示一个圆,求 (1)t 的取值范围;(2)该圆半径r 的取值范围.【解析】原方程表示一个圆的条件是D 2 +E 2 – 4F = 4(t + 3)2 + 4(1 – t 2)2 – 4(16t 4 + 9)>0即7t 2– 6t – 1<0,∴117t -<<(2)2222224224(3)(1)(169)76143167()77D E F r t t t t t t +-==++--+=-++=--+∴2160,07r r <≤< ②③。
2019-2020年高中数学 2.2.1 圆的方程1教案 新人教版必修2 教学目标:1.认识圆的标准方程并掌握推导圆的方程的思想方法2.掌握圆的标准方程,并能根据方程写出圆心的坐标和圆的半径3.能根据所给条件,通过求半径和圆心的方法求圆的标准方程教学重点:圆的标准方程及其运用教学难点:圆的标准方程的推导和运用教学过程:1.问题情境(1)情境:河北赵州桥是世界上历史最悠久的石拱桥,其圆拱所在的曲线是圆,我们能否表示出该圆弧所在圆的方程呢?(2)问题:○1在表示方程以前我们应该先考察有没有坐标系?如果没有坐标系,我们应该怎样建立坐标系?如何找到表示方程的等式?○2回忆初中有关圆的定义,怎样用方程将圆表示出来? 2.圆的标准方程(1)一般地,设点是以为圆心,为半径 的圆上的任意一点,则,由两点间距离公式,得到:即(1); 反过来,若点的坐标是方程(1)的解,则,即, 这说明点到点的距离为即点在以为圆心,为半径的圆上;方程叫做以为圆心,为半径的圆的标准方程;(2)当圆心在原点时,圆的方程则为;(3)特别地,圆心在原点且半径为1的圆通常称为单位圆;其方程为.3.例题讲解例1.分别说出下列圆方程所表示圆的圆心与半径:(1); (2);(3); (4);(5) .教师指出:已知圆的标准方程,要能够熟练地求出它的圆心和半径.例2.根据下列条件,求出符合条件的圆的标准方程.(1)圆心为,半径长为.(2)圆心是,且经过原点.(3)已知两点,,以线段为直径.(4)圆心在上且过两点.(5)以点为圆心,并且和轴相切的.(6)圆心在直线上,且与直线切于点.(7)圆心在直线上,且与两坐标轴都相切.略解:(1);(2);(3);(4);(5);(6);(7)或.注:(1)圆的标准方程有三个参数,因此求圆的方程需要三个独立的条件;(2)解题时注意圆的性质的应用,如垂径定理,过切点的半径垂直切线等等.例3.判断点,是否在例2(1)的圆上.解:把点代入方程得:2222(52)(73)3425-+-+=+=,即点的坐标适合方程,∴点是这个圆上的点;把点的坐标代入方程得:22(2)(13)1325+-+=+≠,即点坐标不适合圆的方程,∴点不在这个圆上;问:点在圆内还是圆外呢?(圆内)结论:点与圆的位置关系:点与圆心的距离为,半径为,则点在圆上()()222d r x a y b r ⇔=⇔-+-=,点在圆内()()222d r x a y b r ⇔<⇔-+-<, 点在圆外()()222d r x a y b r ⇔>⇔-+->. 例4.已知隧道的截面是半径为的圆的半圆,车辆只能在道路中心线的一侧行驶,车辆宽度为,高为的货车能不能驶入这个隧道?解:以某一截面半圆的圆心为原点,半圆的直径所在的直线为轴,建立直角坐标系,如图所示,那么半圆的方程为:将代入得3 3.5y ==<=< 即离中心线处,隧道的高度低于货车的高度因此,该货车不能驶入这个隧道; 思考:是否有其他方法?析:货车截面对角线与半径比较. 略解:将代入得即限高为4.课堂小结(1)圆的标准方程及其表示的圆心和半径(2)建系思想和方程思想2019-2020年高中数学 2.2.1 圆的方程2教案 新人教版必修2教学目标:1.掌握圆的一般方程并由圆的一般方程化成圆的标准方程2.能分析题目的条件选择圆的一般方程或标准方程解题3.解题过程中能分析和运用圆的几何性质教学重点:圆的一般方程的认识和圆的两种方程的选择使用教学难点:圆的一般方程的认识过程和判断二元二次方程是否为圆方程教学过程:1.问题情境(1)情境:方程表示怎样的图形?(2)问题:方程是几元几次方程?二元二次方程一定表示圆吗?(3)观察方程整理后的形式,得到是关于的二元二次方程,且项的系数相等不为零,不含有项;反过来,像这样的二元二次方程220x y Dx Ey F ++++=一定表示圆吗? 2.圆的一般方程将方程220x y Dx Ey F ++++=配方,得22221()()(4)224D E x y D E F +++=+-与圆的标准方程进行比较得到:(1)当时,方程表示以为圆心,为半径的圆;(2)当时,方程表示一个点;(3)当时,方程无实数解,即方程不表示任何图形;方程22220(40)x y Dx Ey F D E F ++++=+->叫做圆的一般方程.3.圆的一般方程的特点当二元二次方程220Ax Bxy Cy Dx Ey F +++++=具有条件:(1)和的系数相同,不等于零,即;(2)没有项,即;(3).它才表示圆.条件(3)通过将方程同除以或配方不难得出.4.例题讲解例1.求过三点的圆的方程;分析:由于不在同一条直线上,因此经过三点有唯一的圆.解:法一:设圆的方程为220x y Dx Ey F ++++=,∵三点都在圆上,∴三点坐标都满足所设方程,把代入所设方程, 得:02042200F D E F D E F =⎧⎪+++=⎨⎪+++=⎩解之得:860D E F =-⎧⎪=⎨⎪=⎩所以,所求圆的方程为.法二:也可以求和中垂线的交点即为圆心,圆心到的距离就是半径也可以求的圆的方程:. 法三:也可以设圆的标准方程:将点的坐标代入后解方程组也可以解得.例2.若方程()22222220x y mx m y m +-+-+=表示一个圆,且该圆的圆心位于第一象限,求实数的取值范围.解:将圆方程配方得,()()22112x m y m m -++-=-⎡⎤⎣⎦,则,.又圆心在第一象限,,综上:.例3.圆过点,且在轴上截得的弦长为,求圆的方程.解:设所求圆为220x y Dx Ey F ++++=,令得,, 则,由216x x -==得,, 将点代入220x y Dx Ey F ++++=,得25,3425D E F D E F ++=-++=-,解方程组得,或,则所求圆为221222270x y x y ++-+=或所求圆为.思考:是否有其他方法?例4.求圆心在直线上,且过两圆221:210240C x y x y +-+-=和 交点的圆的方程.略解:联立两圆方程解得交点为,从而可求圆方程.思考:类似直线系,能否用圆系方程来解?5.课堂小结(1)圆的一般方程220x y Dx Ey F ++++=及其条件(2)方程思想求圆的一般方程。
圆的一般方程教学目标:1.掌握圆的一般方程的形式特点及与标准方程互化;2.进一步熟悉并掌握待定系数法.教学重点:掌握圆的一般方程的形式特点及与标准方程互化教学过程:一、复习回顾:圆的标准方程及其应用二、1.圆的一般方程:022=++++F Ey Dx y x 〔F E D 422-+>0〕2.二元二次方程表示圆的条件:由二元二次方程的一般形式:Ax 2+Bxy +Cy 2+Dx +Ey +F =0有如下结论:〔1〕x 2和y 2的系数相同,且不等于0,即A =C ≠0;〔2〕没有xy 项,即B =0;〔3〕D 2+E 2-4AF >0.三、例1两点 P 1〔3,8〕和 P 2〔4,7〕,求以 P 1P 2 为直径的圆的方程,并且判断点M 〔3,7〕、N 〔2,2〕、Q 〔1,4〕是在圆上,在圆内,还是在圆外解:设所求圆的方程为 022=++++F Ey Dx y x用待定系数法,根据所给条件来确定D 、E 、F 、因为O 、M 1、M 2在圆上,所以它们的坐标是方程的解.把它们的坐标依次代入上面的方程,可得 ⎪⎩⎪⎨⎧=+++=+++=02024020F E D F E D F 解得⎪⎩⎪⎨⎧==-=068F E D于是所求圆方程为:x 2+y 2-8x +6y =0化成标准方程为:〔x -4〕2+[y -(-3)]2=52所以圆半径r =5,圆心坐标为〔4,-3〕例2一曲线是与两个定点O 〔0,0〕、A 〔3,0〕距离的比为21的点的轨迹,求此曲线的方程,并画出曲线.解:在给定的坐标系里,设点M 〔x,y 〕是曲线上的任意一点,也就是点M 属于集合. }.21|||||{==AM OM M P 由两点间的距离公式,点M 所适合的条件可以表示为21)3(2222=+-+y x y x , ① 将①式两边平方,得41)3(2222=+-+y x y x化简得x2+y2+2x-3=0 ②化为标准形式得:〔x+1〕2+y2=4所以方程②表示的曲线是以C〔-1,0〕为圆心,2为半径的圆. 课堂练习:第109页 A,B小结:掌握圆的一般方程的形式特点及与标准方程互化课后作业:第114页习题2-3A:2、3、5。
4.1.1 圆的标准方程教学要求:使学生掌握圆的标准方程的特点,能根据所给有关圆心、半径的具体条件准确地写出圆的标准方程,能运用圆的标准方程正确地求出其圆心和半径,解决一些简单的实际问题,并会推导圆的标准方程教学重点:圆的标准方程的推导步骤;根据具体条件正确写出圆的标准方程.教学难点:运用圆的标准方程解决一些简单的实际问题教学过程:一、复习准备:1.提问:两点间的距离公式?2.讨论:具有什么性质的点的轨迹称为圆?圆的定义?3.思考:在平面直角坐标系中,如何确定一个圆呢?二、讲授新课:1. 圆的标准方程:①设定点 A(a ,b),半径r ,设圆上任一点M 坐标为(x ,y).②写点集:根据定义,圆就是集合P={M||MA|=r}④化简方程: 将上式两边平方得222)))(r b x a x =-+-(建系设点→写点集→列方程→化简方程⇒圆的标准方程 (standard equation of circle)) ⑤思考:圆的方程形式有什么特点?当圆心在原点时,圆的方程是什么?⑥师指出:只要a ,b ,r 三个量确定了且r >0,圆的方程就给定了.这就是说要确定圆的方程,必须具备三个独立的条件.注意,确定a 、b 、r ,可以根据条件,利用待定系数法来解决.2. 圆的标准方程的应用例1、写出下列各圆的方程:(1)圆心在原点,半径是3; (2)经过点P(5,1),圆心在点C(8,-3); (指出:要求能够用圆心坐标、半径长熟练地写出圆的标准方程.)例2、已知两点P 1(4,9)和P 2(6,3),求以P 1P 2为直径的圆的方程,试判断点M(6,9)、N(3,3)、 Q(5,3)是在圆上,在圆内,还是在圆外?(从确定圆的条件考虑,需要求圆心和半径,可用待定系数解决)探究:点M (00,y x )在圆222r y x =+内的条件是什么?在圆外呢?例3、 ABC ∆的三个定点的坐标分别是 A(5,1), B(7,-3), C(2,-8),求它的外接圆的方程 ( 用待定系数法解)思考:你还有其它方法吗?例4、已知圆心为C 的圆经过点A(1,1)和B(2,-2),却圆心C 在直线L:10x y -+=上,求圆心为C的圆的标准方程。
12.2圆的方程教学内容分析①本节内容教学的重点是圆的标准方程、一般方程的推导、掌握.进一步理解曲线方程的意义.②本节的难点是圆的标准方程的推导、圆的一般方程的结构特征,以及圆方程的求解和应用.二.教学目标设计在平面直角坐标系中,探索并掌握圆的标准方程;会由圆的方程写出圆的半径和圆心,能根据条件写出圆的方程.进一步提高用解析法研究几何问题的能力;加深对数形结合思想和待定系数法的理解;增强用数学的意识.三.教学重点及难点圆的标准方程的推导;圆的一般方程及其代数特征.四.教学流程设计五.教学过程设计一.圆的标准方程课堂小结并布置作业圆一般方程的代数特征圆的标准方程圆的一般方程问题引入圆的方程问题1:已知一定圆C 的半径为r ,求此圆的方程.分析:设M 是圆上任意一点,根据圆的定义,可知点M 到圆心C 的距离等于r,所以圆C 就是集合P={M||MC|=r}如左图,以圆心C 原点建立平面直角坐标系,设圆上任意一点),(y x M , 因为r MC =, 所以 r y x =+22整理得: 222r y x =+ (1)这里边我们要注意点M 的坐标与方程(1)的关系:由方程(1)的推导过程可知,若点M 在圆上,则M 的坐标满足方程(1);反之,若点M 的坐标是方程(1)的解,即222r y x =+,则有r y x =+22,即r MC =,可知点M 在圆上.综上可知,圆C 的方程是222r y x =+.[说明]求圆的方程应需考察以下两个方面:首先应建立一个合适的平面直角坐标系(若没有给出直角坐标系);其次,所得方程是否为轨迹(圆)方程,可由曲线方程的定义验证. 问题2:若设一定圆C 的圆心在),(b a 半径为r ,求此圆的方程.设圆上任意一点),(y x M ,因为r MC =,所以r b y a x =-+-22)()(,整理后得:222)()(r b y a x =-+-.同问题1,可以验证方程222)()(r b y a x =-+-是圆心在),(b a 半径为r 的圆的方程.可以看到只要知道了圆心坐标和半径,就可以得出其相应的圆方程.我们称方程222)()(r b y a x =-+- 是 圆心为),(b a C ,半径为r 的圆的标准方程.[说明]这种对应关系把圆和方程联系起来,我们把圆的定义从文字语言转化为数学语言,把圆的几何性质代数化,从而体现了解析几何的特点.例1.根据圆的方程写出圆心和半径(1)5)3()2(22=-+-y x ; (2)222)(a y a x =++ 0≠a ;(3)04222=-++y y x x . [说明]本题要求学生熟练掌握配方法来求圆的几何量:圆心及半径.例2.写出下列各圆的方程:(1)圆心在)4,3(C ,半径为5;(2)经过点)1,5(P ,圆心)3,8(-C .(3)直径的两个端点为A (3,-2)和B (-1,6)(4)求以C (-1,2)为圆心,并且和直线2x-3y-5=0相切的圆的方程.[说明]本例体现了求圆方程的方法之一:找出圆心和半径.例3. 过点)32,2(且与圆422=+y x 相切的圆的方程;[说明]利用圆相切的几何性质来解决该问题.二.圆的一般方程问题1:将圆的标准方程222)()(r b y a x =-+-展开后都可化到:022=++++F Ey Dx y x 这一形式,反之对于任意的R F E D ∈、、,方程022=++++F Ey Dx y x (*) 是否就一定可以表示为圆的方程呢? 将方程(*)配方:44)2()2(2222F E D E y D x -+=+++ (1) 当0422>-+F E D 时,方程(*)表示的轨迹为圆心)2,2(E D --,半径 F E D r 422-+=的圆;(2) 当0422=-+F E D 时,方程(*)表示一个点)2,2(E D --; (3) 当0422<-+F E D 时,方程(*)无解,无轨迹图形.由此可知,当且仅当0422>-+F E D 时,方程022=++++F Ey Dx y x 是圆的方程.我们把方程022=++++F Ey Dx y x (0422>-+F E D )称为圆的一般方程. 例4.根据下列条件,求圆的方程:1、 经过三点(2,2)、(1,0)、(3,0);2、 过原点)0,0(O 和点()1,3-A ,且在y 轴上截得的弦长为2 ;3、 过点A (5,2)和B (3,2),且圆心在直线032=--y x 上.[说明]本题既可以通过几何的方法求出圆心、半径后写出圆的标准方程;也可通过设出圆的一般方程后,用待定系数法来求出圆的方程.可让学生在解题中体会下两种方程的各自特点. 小结:圆一般方程的代数特点:①2x 、2y 项的系数相同 、没有xy 项 ;②F E D 、、是3个参量,因此只需3个独立的条件就可以列出一个三元一次方程组,解出未知数F E D 、、,得到圆的一般方程,这与圆标准方程中的3个参量r b a 、、意义上不同,但在代数方程中本质上完全相同.例5.过圆O :1622=+y x 外一点M (2,-6)作直线交圆O 于A 、B 两点,求弦AB 的中点C 的轨迹.[说明]例5要求学生进一步熟练掌握用圆的几何性质解决直线与圆相交位置关系下的各类问题.三.课堂小结1.圆的标准方程及圆方程下的圆心半径的求法;2.圆的一般方程的代数特征; 3.在求圆方程的问题中,两类方程形式各有千秋:(1)圆的标准方程带有明显的几何的影子,圆心和半径一目了然.(2)圆的一般方程表现出明显的代数的形式与结构,更适合方程理论的运用四.课后作业书上第39页1、3、4 ; 第41页 3、4 ; 第42页 1、2、3.六. 教学设计说明(1) 圆是最基本的曲线.教材将其安排在学习了曲线方程概念和求曲线方程之后,学习三大圆锥曲线之前,旨在熟悉曲线和方程的理论,为后继学习做好准备.学生在运用方程来描绘出圆的轨迹的过程中,使学生建立起方程和轨迹的一种对应,这对以后圆锥曲线的学习非常重要.同时,有关圆的问题,特别是直线与圆的位置关系问题,也是解析几何中的基本问题,这些问题的解决为圆锥曲线问题的解决提供了基本的思想方法.因此教学中应加强练习,使学生确实掌握这一单元的知识和方法.(2) 在解决有关圆的问题的过程中多次用到配方法、待定系数法等思想方法,教学中应多总结.(3) 解决有关圆的问题,要经常用到一元二次方程的理论、平面几何知识和以前所学过的解析几何的基本知识,因此在教学中要注意多复习、多运用,培养学生运算能力和简化运算过程的意识.。
圆的一般方程三维目标:知识与技能:(1)在掌握圆的标准方程的基础上,理解记忆圆的一般方程的代数特征,由圆的一般方程确定圆的圆心半径.掌握方程x2+y2+Dx+Ey+F=0表示圆的条件.(2)能通过配方等手段,把圆的一般方程化为圆的标准方程.能用待定系数法求圆的方程。
(3):培养学生探索发现及分析解决问题的实际能力。
过程与方法:通过对方程x2+y2+Dx+Ey+F=0表示圆的条件的探究,培养学生探索发现及分析解决问题的实际能力。
情感态度价值观:渗透数形结合、化归与转化等数学思想方法,提高学生的整体素质,激励学生创新,勇于探索。
教学重点:圆的一般方程的代数特征,一般方程与标准方程间的互化,根据已知条件确定方程中的系数,D、E、F.教学难点:对圆的一般方程的认识、掌握和运用王新敞教具:多媒体、实物投影仪王新敞教学过程:课题引入:问题:求过三点A(0,0),B(1,1),C(4,2)的圆的方程。
利用圆的标准方程解决此问题显然有些麻烦,得用直线的知识解决又有其简单的局限性,那么这个问题有没有其它的解决方法呢?带着这个问题我们来共同研究圆的方程的另一种形式——圆的一般方程。
探索研究:请同学们写出圆的标准方程:(x-a)2+(y-b)2=r2,圆心(a,b),半径r.把圆的标准方程展开,并整理:x2+y2-2ax-2by+a2+b2-r2=0.取222,2,2rbaFbEaD-+=-=-=得022=++++F Ey Dx y x ①这个方程是圆的方程.反过来给出一个形如x2+y2+Dx +Ey +F=0的方程,它表示的曲线一定是圆吗? 把x2+y2+Dx +Ey +F=0配方得44)2()2(2222F E D E y D x -+=+++② (配方过程由学生去完成)这个方程是不是表示圆?(1)当D2+E2-4F >0时,方程②表示(1)当0422>-+FE D 时,表示以(-2D ,-2E)为圆心,FE D 42122-+为半径的圆;(2)当0422=-+F E D 时,方程只有实数解2D x -=,2E y -=,即只表示一个点(-2D ,-2E);(3)当0422<-+F E D 时,方程没有实数解,因而它不表示任何图形王新敞综上所述,方程022=++++F Ey Dx y x 表示的曲线不一定是圆王新敞只有当0422>-+F E D 时,它表示的曲线才是圆,我们把形如022=++++F Ey Dx y x 的表示圆的方程称为圆的一般方程王新敞()2214x y ++=我们来看圆的一般方程的特点:(启发学生归纳) (1)①x2和y2的系数相同,不等于0. ②没有xy 这样的二次项.(2)圆的一般方程中有三个特定的系数D 、E 、F ,因之只要求出这三个系数,圆的方程就确定了.(3)、与圆的标准方程相比较,它是一种特殊的二元二次方程,代数特征明显,圆的标准方程则指出了圆心坐标与半径大小,几何特征较明显。
第四章圆与方程本章教材分析上一章,学生已经学习了直线与方程,知道在直角坐标系中,直线可以用方程表示,通过方程,可以研究直线间的位置关系、直线与直线的交点坐标、点到直线的距离等问题,对数形结合的思想方法有了初步体验.本章将在上章学习了直线与方程的基础上,学习在平面直角坐标系中建立圆的代数方程,运用代数方法研究点与圆、直线与圆、圆与圆的位置关系,了解空间直角坐标系,以便为今后的坐标法研究空间的几何对象奠定基础,这些知识是进一步学习圆锥曲线方程、导数和微积分的基础,在这个过程中进一步体会数形结合的思想,形成用代数方法解决几何问题的能力.通过方程,研究直线与圆、圆与圆的位置关系是本章的重点内容之一,坐标法不仅是研究几何问题的重要方法,而且是一种广泛应用于其他领域的重要数学方法,通过坐标系把点和坐标、曲线和方程联系起来,实现了形和数的统一,因此在教学过程中,要始终贯穿坐标法这一重要思想,不怕反复.用坐标法解决几何问题时,先用坐标和方程表示相应的几何元素:点、直线、圆;然后对坐标和方程进行代数运算;最后把运算结果“翻译”成相应的几何结论.这就是坐标法解决几何问题的三步曲.坐标法还可以与平面几何中的综合方法、向量方法建立联系,同时可以推广到空间,解决立体几何问题.本章教学时间约需9课时,具体分配如下(仅供参考):§4.1 圆的方程§4.1.1 圆的标准方程一、教材分析在初中曾经学习过圆的有关知识,本节内容是在初中所学知识及前几节内容的基础上,进一步运用解析法研究圆的方程,它与其他图形的位置关系及其应用.同时,由于圆也是特殊的圆锥曲线,因此,学习了圆的方程,就为后面学习其他圆锥曲线的方程奠定了基础.也就是说,本节内容在教材体系中起到承上启下的作用,具有重要的地位,在许多实际问题中也有着广泛的应用.由于“圆的方程”一节内容的基础性和应用的广泛性,对圆的标准方程要求层次是“掌握”,为了激发学生的主体意识,教学生学会学习和学会创造,同时培养学生的应用意识,本节内容可采用“引导探究”型教学模式进行教学设计,所谓“引导探究”是教师把教学内容设计为若干问题,从而引导学生进行探究的课堂教学模式,教师在教学过程中,主要着眼于“引”,启发学生“探”,把“引”和“探”有机的结合起来.教师的每项教学措施,都是给学生创造一种思维情境,一种动脑、动手、动口并主动参与的学习机会,激发学生的求知欲,促使学生解决问题.二、教学目标1.知识与技能(1)掌握圆的标准方程,能根据圆心、半径写出圆的标准方程.(2)会用待定系数法求圆的标准方程.2.过程与方法进一步培养学生能用解析法研究几何问题的能力,渗透数形结合思想,通过圆的标准方程解决实际问题的学习,注意培养学生观察问题发现问题和解决问题的能力.3.情感态度与价值观通过运用圆的知识解决实际问题的学习,从而激发学生学习数学的热情和兴趣.三、教学重点与难点教学重点:圆的标准方程的推导过程和圆的标准方程特点的明确.教学难点:会根据不同的已知条件,利用待定系数法求圆的标准方程.四、课时安排1课时五、教学设计(一)导入新课思路1.课前准备:(用淀粉在一张白纸上画上海和山)说明:在白纸上要表演的是一个小魔术,名称是《日出》,所以还缺少一个太阳,请学生帮助在白纸上画出太阳.要求其他学生在自己的脑海里也构画出自己的太阳.课堂估计:一种是非尺规作图(指出数学作图的严谨性);一种作出后有同学觉得不够美(点评:其实每个人心中都有一个自己的太阳,每个人都有自己的审美观点).然后上升到数学层次:不同的圆心和半径对应着不同的圆,进而对应着不同的圆的方程.从用圆规作图复习初中所学圆的定义:到定点的距离等于定长的点的轨迹.那么在给定圆心和半径的基础上,结合我们前面所学的直线方程的求解,应该如何建立圆的方程?教师板书本节课题:圆的标准方程.思路2.同学们,我们知道直线可以用一个方程表示,那么,圆可以用一个方程表示吗?圆的方程怎样来求呢?这就是本堂课的主要内容,教师板书本节课题:圆的标准方程.(二)推进新课、新知探究、提出问题①已知两点A(2,-5),B(6,9),如何求它们之间的距离?若已知C(3,-8),D(x,y),又如何求它们之间的距离?②具有什么性质的点的轨迹称为圆?③图1中哪个点是定点?哪个点是动点?动点具有什么性质?圆心和半径都反映了圆的什么特点?图1④我们知道,在平面直角坐标系中,确定一条直线的条件是两点或一点和倾斜角,那么,决定圆的条件是什么?⑤如果已知圆心坐标为C(a,b),圆的半径为r,我们如何写出圆的方程?⑥圆的方程形式有什么特点?当圆心在原点时,圆的方程是什么? 讨论结果:①根据两点之间的距离公式221221)()(y y x x -+-,得 |AB|=212)59()62(22=++-, |CD|=22)8()3(++-y x .②平面内与一定点距离等于定长的点的轨迹称为圆,定点是圆心,定长是半径(教师在黑板上画一个圆).③圆心C 是定点,圆周上的点M 是动点,它们到圆心距离等于定长|MC|=r,圆心和半径分别确定了圆的位置和大小.④确定圆的条件是圆心和半径,只要圆心和半径确定了,那么圆的位置和大小就确定了.⑤确定圆的基本条件是圆心和半径,设圆的圆心坐标为C(a,b),半径为r(其中a 、b 、r 都是常数,r >0).设M(x,y)为这个圆上任意一点,那么点M 满足的条件是(引导学生自己列出)P={M||MA|=r},由两点间的距离公式让学生写出点M 适合的条件22)()(b y a x -+-=r.①将上式两边平方得(x-a)2+(y-b)2=r 2.化简可得(x-a)2+(y-b)2=r 2.②若点M(x,y)在圆上,由上述讨论可知,点M 的坐标满足方程②,反之若点M 的坐标满足方程②,这就说明点M 与圆心C 的距离为r,即点M 在圆心为C 的圆上.方程②就是圆心为C(a,b),半径长为r 的圆的方程,我们把它叫做圆的标准方程.⑥这是二元二次方程,展开后没有xy 项,括号内变数x,y 的系数都是1.点(a,b)、r 分别表示圆心的坐标和圆的半径.当圆心在原点即C(0,0)时,方程为x 2+y 2=r 2.提出问题①根据圆的标准方程说明确定圆的方程的条件是什么?②确定圆的方程的方法和步骤是什么?③坐标平面内的点与圆有什么位置关系?如何判断?讨论结果:①圆的标准方程(x-a)2+(y-b)2=r2中,有三个参数a、b、r,只要求出a、b、r且r>0,这时圆的方程就被确定,因此确定圆的标准方程,需三个独立条件,其中圆心是圆的定位条件,半径是圆的定形条件.②确定圆的方程主要方法是待定系数法,即列出关于a、b、r的方程组,求a、b、r或直接求出圆心(a,b)和半径r,一般步骤为:1°根据题意,设所求的圆的标准方程(x-a)2+(y-b)2=r2;2°根据已知条件,建立关于a、b、r的方程组;3°解方程组,求出a、b、r的值,并把它们代入所设的方程中去,就得到所求圆的方程.③点M(x0,y0)与圆(x-a)2+(y-b)2=r2的关系的判断方法:当点M(x0,y0)在圆(x-a)2+(y-b)2=r2上时,点M的坐标满足方程(x-a)2+(y-b)2=r2.当点M(x0,y0)不在圆(x-a)2+(y-b)2=r2上时,点M的坐标不满足方程(x-a)2+(y-b)2=r2.用点到圆心的距离和半径的大小来说明应为:1°点到圆心的距离大于半径,点在圆外⇔(x0-a)2+(y0-b)2>r2,点在圆外;2°点到圆心的距离等于半径,点在圆上⇔(x0-a)2+(y0-b)2=r2,点在圆上;3°点到圆心的距离小于半径,点在圆内⇔(x0-a)2+(y0-b)2<r2,点在圆内. (三)应用示例思路1例1 写出下列各圆的标准方程:(1)圆心在原点,半径是3;⑵圆心在点C(3,4),半径是5;(3)经过点P(5,1),圆心在点C(8,-3);(4)圆心在点C(1,3),并且和直线3x-4y-7=0相切.解:(1)由于圆心在原点,半径是3,所以圆的标准方程为(x-0)2+(y-0)2=32,即x 2+y 2=9.(2)由于圆心在点C(3,4),半径是5,所以圆的标准方程是(x-3)2+(y-4)2=(5)2,即(x-3)2+(y-4)2=5.(3)方法一:圆的半径r=|CP|=25)31()85(22=++-=5,因此所求圆的标准方程为(x-8)2+(y+3)2=25.方法二:设圆的标准方程为(x-8)2+(y+3)2=r 2,因为圆经过点P(5,1),所以(5-8)2+(1+3)2=r 2,r 2=25,因此所求圆的标准方程为(x-8)2+(y+3)2=25.这里方法一是直接法,方法二是间接法,它需要确定有关参数来确定圆的标准方程,两种方法都可,要视问题的方便而定.(4)设圆的标准方程为(x-1)2+(y-3)2=r 2,由圆心到直线的距离等于圆的半径,所以r=25|16|25|7123|=--.因此所求圆的标准方程为(x-1)2+(y-3)2=25256. 点评:要求能够用圆心坐标、半径长熟练地写出圆的标准方程.例2 写出圆心为A(2,-3),半径长等于5的圆的方程,并判断点M 1(5,-7),M 2(-5,-1)是否在这个圆上.解:圆心为A(2,-3),半径长等于5的圆的标准方程是(x-2)2+(y+3)2=25,把点M 1(5,-7),M 2(-5,,-1)分别代入方程(x-2)2+(y+3)2=25, 则M 1的坐标满足方程,M 1在圆上.M 2的坐标不满足方程,M 2不在圆上.点评:本题要求首先根据坐标与半径大小写出圆的标准方程,然后给一个点,判断该点与圆的关系,这里体现了坐标法的思想,根据圆的坐标及半径写方程——从几何到代数;根据坐标满足方程来看在不在圆上——从代数到几何.例3 △ABC 的三个顶点的坐标是A(5,1),B(7,-3),C(2,-8),求它的外接圆的方程.活动:教师引导学生从圆的标准方程(x-a)2+(y-b)2=r 2入手,要确定圆的标准方程,可用待定系数法确定a 、b 、r 三个参数.另外可利用直线AB 与AC 的交点确定圆心,从而得半径,圆的方程可求,师生总结、归纳、提炼方法.解法一:设所求的圆的标准方程为(x-a)2+(y-b)2=r 2,因为A(5,1),B(7,-3),C(2,-8)都在圆上,它们的坐标都满足方程(x-a)2+(y-b)2=r 2,于是 ⎪⎩⎪⎨⎧=--+-=--+-=-+-)3(.)8()2()2()3()7()1(,)1()5(222222222r b a rb a r b a 解此方程组得⎪⎩⎪⎨⎧=-==.5,3,2r b a 所以△ABC 的外接圆的方程为(x-2)2+(y+3)2=25.解法二:线段AB 的中点坐标为(6,-1),斜率为-2,所以线段AB 的垂直平分线的方程为y+1=21(x-6). 同理线段AC 的中点坐标为(3.5,-3.5),斜率为3,所以线段AC 的垂直平分线的方程为y+3.5=3(x-3.5).解由①②组成的方程组得x=2,y=-3,所以圆心坐标为(2,-3),半径r=22)31()25(++-=5,所以△ABC 的外接圆的方程为(x-2)2+(y+3)2=25. 点评:△ABC 外接圆的圆心是△ABC 的外心,它是△ABC 三边的垂直平分线的交点,它到三顶点的距离相等,就是圆的半径,利用这些几何知识,可丰富解题思路.思路2例1 图2是某圆拱桥的一孔圆拱的示意图,该圆拱跨度AB=20 m,拱高OP=4 m,在建造时每隔4 m 需用一个支柱支撑,求支柱A 2P 2的长度(精确到0.01 m).图2解:建立坐标系如图,圆心在y 轴上,由题意得P(0,4),B(10,0).设圆的方程为x 2+(y-b)2=r 2,因为点P(0,4)和B(10,0)在圆上,所以⎪⎩⎪⎨⎧=-+=-+.)0(10,)4(0222222r b r b 解得⎩⎨⎧=-=,5.14,5.1022r b 所以这个圆的方程是x 2+(y+10.5)2=14.52.设点P 2(-2,y 0),由题意y 0>0,代入圆方程得(-2)2+(y 0+10.5)2=14.52,解得y 0=2225.14--10.5≈14.36-10.5=3.86(m).答:支柱A 2P 2的长度约为3.86 m.例2 求与圆x 2+y 2-2x=0外切,且与直线x+3y=0相切于点(3,-3)的圆的方程. 活动:学生审题,注意题目的特点,教师引导学生利用本节知识和初中学过的几何知识解题.首先利用配方法,把已知圆的方程写成标准方程,再利用两圆外切及直线与圆相切建立方程组,求出参数,得到所求的圆的方程.解:设所求圆的方程为(x-a)2+(y-b)2=r 2.圆x 2+y 2-2x=0的圆心为(1,0),半径为1.因为两圆外切,所以圆心距等于两圆半径之和,即22)0()1(-+-b a =r+1, ①由圆与直线x+3y=0相切于点(3,-3),得⎪⎪⎩⎪⎪⎨⎧=++-=-•-+)3(.)3(1|3|)2(,1)31(332r b a a b 解得a=4,b=0,r=2或a=0,b=-43,r=6.故所求圆的方程为(x-4)2+y 2=4或x 2+(y+43)2=36. 点评:一般情况下,如果已知圆心(或易于求出)或圆心到某一直线的距离(或易于求出),可用圆的标准方程来求解,用待定系数法,求出圆心坐标和半径.变式训练一圆过原点O 和点P(1,3),圆心在直线y=x+2上,求此圆的方程.解法一:因为圆心在直线y=x+2上,所以设圆心坐标为(a,a+2).则圆的方程为(x-a)2+(y-a-2)2=r 2.因为点O(0,0)和P(1,3)在圆上, 所以⎪⎩⎪⎨⎧=--+-=--+-,)23()1(,)20()0(222222r a a r a a 解得⎪⎪⎩⎪⎪⎨⎧=-=.825,412r a 所以所求的圆的方程为(x+41)2+(y-47)2=825. 解法二:由题意:圆的弦OP 的斜率为3,中点坐标为(21,23), 所以弦OP 的垂直平分线方程为y-23=-31(x-21),即x+3y-5=0. 因为圆心在直线y=x+2上,且圆心在弦OP 的垂直平分线上,所以由⎩⎨⎧=-++=,053,2y x x y 解得⎪⎪⎩⎪⎪⎨⎧=-=,47,41y x ,即圆心坐标为C(-41,47). 又因为圆的半径r=|OC|=825)47()41(22=+-, 所以所求的圆的方程为(x+41)2+(y-47)2=825. 点评:(1)圆的标准方程中有a 、b 、r 三个量,要求圆的标准方程即要求a 、b 、r 三个量,有时可用待定系数法.(2)要重视平面几何中的有关知识在解题中的运用. 例3 求下列圆的方程:(1)圆心在直线y=-2x 上且与直线y=1-x 相切于点(2,-1). (2)圆心在点(2,-1),且截直线y=x-1所得弦长为22.解:(1)设圆心坐标为(a,-2a),由题意知圆与直线y=1-x 相切于点(2,-1),所以2222)12()2(11|12|+-+-=+--a a a a ,解得a=1.所以所求圆心坐标为(1,-2),半径r=22)12()21(+-+-=2.所以所求圆的标准方程为(x-1)2+(y+2)2=2.(2)设圆的方程为(x-2)2+(y+1)2=r 2(r >0),由题意知圆心到直线y=x-1的距离为d=2211|112|+-+=2.又直线y=x-1被圆截得弦长为22,所以由弦长公式得r 2-d 2=2,即r=2.所以所求圆的标准方程为(x-2)2+(y+1)2=4.点评:本题的两个题目所给条件均与圆心和半径有关,故都利用了圆的标准方程求解,此外平面几何的性质的应用,使得解法简便了许多,所以类似问题一定要注意圆的相关几何性质的应用,从确定圆的圆心和半径入手来解决. (四)知能训练课本本节练习1、2. (一)拓展提升1.求圆心在直线y=2x 上且与两直线3x+4y-7=0和3x+4y+3=0都相切的圆的方程.活动:学生思考交流,教师提示引导,求圆的方程,无非就是确定圆的圆心和半径,师生共同探讨解题方法. 解:首先两平行线的距离d=2221B A C C +-=2,所以半径为r=2d=1. 方法一:设与两直线3x+4y-7=0和3x+4y+3=0的距离相等的直线方程为3x+4y+k=0,由平行线间的距离公式d=2221||BA C C +-,得222234|3|43|7|+-=++k k ,即k=-2,所以直线方程为3x+4y-2=0.解3x+4y-2=0与y=2x 组成的方程组⎩⎨⎧==-+,2,0243x y y x 得⎪⎪⎩⎪⎪⎨⎧==,114,112y x ,因此圆心坐标为(112,114).又半径为r=1,所以所求圆的方程为(x-112)2+(y-114)2=1. 方法二:解方程组⎪⎪⎩⎪⎪⎨⎧-=-=⎪⎪⎩⎪⎪⎨⎧==⎩⎨⎧==++⎩⎨⎧==-+.113,116117,1114,2,0343,2,0743x y x y x y y x x y y x 和得与因此圆心坐标为(112,114).又半径r=1,所以所求圆的方程为(x-112)2+(y-114)2=1. 点评:要充分考虑各几何元素间的位置关系,把它转化为代数问题来处理.(六)课堂小结①圆的标准方程.②点与圆的位置关系的判断方法. ③根据已知条件求圆的标准方程的方法. ④利用圆的平面几何的知识构建方程.⑤直径端点是A(x 1,y 1)、B(x 2,y 2)的圆的方程是(x-x 1)(x-x 2)+(y-y 1)(y-y 2)=0. (七)作业1.复习初中有关点与圆的位置关系,直线与圆的位置关系,圆与圆的位置关系有关内容.2.预习有关圆的切线方程的求法.3.课本习题4.1 A 组第2、3题.§4.1.2 圆的一般方程一、教材分析教材通过将二元二次方程x 2+y 2+Dx+Ey+F=0配方后化为(x+2D )2+(y+2F )2=4422F E D -+后只需讨论D 2+E 2-4F >0、D 2+E 2-4F=0、D 2+E 2-4F <0.与圆的标准方程比较可知D 2+E 2-4F >0时,表示以(-2D ,-2E )为圆心,21F E D 422-+为半径的圆;当D 2+E 2-4F=0时,方程只有实数解x=-2D ,y=-2E ,即只表示一个点(-2D ,-2E );当D 2+E 2-4F <0时,方程没有实数解,因而它不表示任何图形.从而得出圆的一般方程的特点:(1)x 2和y 2的系数相同,不等于0;(2)没有x·y 这样的二次项;(3)D 2+E 2-4F >0.其中(1)和(2)是二元一次方程Ax 2+Bxy +Cy 2+Dx +Ey +F=0表示圆的必要条件,但不是充分条件,只有三条同时满足才是充要条件. 同圆的标准方程(x -a)2+(y -b)2=r 2含有三个待定系数a 、b 、r 一样,圆的一般方程x 2+y 2+Dx+Ey+F=0中也含有三个待定系数D 、E 、F,因此必须具备三个独立条件才能确定一个圆.同样可以用待定系数法求得圆的一般方程.在实际问题中,究竟使用圆的标准方程还是使用圆的一般方程更好呢?应根据具体问题确定.圆的标准方程的特点是明确指出了圆心的坐标和圆的半径,因此,对于由已知条件容易求得圆心坐标和圆的半径或需利用圆心坐标列方程的问题,一般采用圆的标准方程.如果已知条件和圆心坐标、圆的半径都无直接关系,通常采用圆的一般方程;有时两种方程形式都可用时也常采用圆的一般方程的形式,这是因为它可避免解三元二次方程组.圆的标准方程的优点在于明确直观地指出圆心坐标和半径的长.我们知道,圆心确定圆的位置,半径确定圆的大小,它有利于研究圆的有关性质和作图.而由圆的一般方程可以很容易判别一般的二元二次方程中,哪些是圆的方程,哪些不是圆的方程,它们各有自己的优点,在教学过程中,应当使学生熟练地掌握圆的标准方程与圆的一般方程的互化,尤其是由圆的一般方程通过配方化为圆的标准方程,从而求出圆心坐标和半径.要画出圆,就必须要将曲线方程通过配方化为圆的标准方程,然后才能画出曲线的形状.这充分说明了学生熟练地掌握这两种方程互化的重要性和必要性.二、教学目标1.知识与技能(1)在掌握圆的标准方程的基础上,理解记忆圆的一般方程的代数特征,由圆的一般方程确定圆的圆心半径,掌握方程x2 + y2 + Dx + Ey + F = 0表示圆的条件.(2)能通过配方等手段,把圆的一般方程化为圆的标准方程,能用待定系数法求圆的方程.(3)培养学生探索发现及分析解决问题的实际能力.2.过程与方法通过对方程x2 + y2 + Dx + Ey + F = 0表示圆的条件的探究,培养学生探索发现及分析解决问题的实际能力.3.情感态度与价值观渗透数形结合、化归与转化等数学思想方法,提高学生的整体素质,激励学生创新,勇于探索.三、教学重点与难点教学重点:圆的一般方程的代数特征,一般方程与标准方程间的互化,根据已知条件确定方程中的系数D、E、F.教学难点:对圆的一般方程的认识、掌握和运用.四、课时安排1课时五、教学设计(一)导入新课思路1.①说出圆心为(a,b),半径为r的圆的标准方程.②学生练习:将以C(a,b)为圆心,r为半径的圆的标准方程展开并整理得x 2+y 2-2ax-2by+a 2+b 2-r 2=0.③指出:如果D=-2a,E=-2b,F=a 2+b 2-r 2,得到方程x 2+y 2+Dx+Ey+F=0,这说明圆的方程还可以表示成另外一种非标准方程形式.④能不能说方程x 2+y 2+Dx+Ey+F=0所表示的曲线一定是圆呢?这就是我们本堂课的内容,教师板书课题:圆的一般方程.思路2.问题:求过三点A(0,0),B(1,1),C(4,2)的圆的方程.利用圆的标准方程解决此问题显然有些麻烦,用直线的知识解决又有其简单的局限性,那么这个问题有没有其他的解决方法呢?带着这个问题我们来共同研究圆的方程的另一种形式.教师板书课题:圆的一般方程.(二)推进新课、新知探究、提出问题①前一章我们研究直线方程用的什么顺序和方法?②这里我们研究圆的方程是否也能类比研究直线方程的顺序和方法呢? ③给出式子x 2+y 2+Dx+Ey+F=0,请你利用配方法化成不含x 和y 的一次项的式子. ④把式子(x -a)2+(y -b)2=r 2与x 2+y 2+Dx+Ey+F=0配方后的式子比较,得出x 2+y 2+Dx+Ey+F=0表示圆的条件.⑤对圆的标准方程与圆的一般方程作一比较,看各自有什么特点?讨论结果:①以前学习过直线,我们首先学习了直线方程的点斜式、斜截式、两点式、截距式,最后学习一般式.大家知道,我们认识一般的东西,总是从特殊入手.如探求直线方程的一般形式就是通过把特殊的公式(点斜式、两点式、…)展开整理而得到的.②我们想求圆的一般方程,可仿照直线方程试一试!我们已经学习了圆的标准方程,把标准形式展开,整理得到,也是从特殊到一般.③把式子x 2+y 2+Dx+Ey+F=0配方得(x+2D )2+(y+2E )2=4422F E D -+.④(x-a)2+(y -b)2=r 2中,r >0时表示圆,r=0时表示点(a,b),r <0时不表示任何图形.因此式子(x+2D )2+(y+2E )2=4422FE D -+.(ⅰ)当D 2+E 2-4F >0时,表示以(-2D ,-2E )为圆心,21FE D 422-+为半径的圆;(ⅱ)当D 2+E 2-4F=0时,方程只有实数解x=-2D ,y=-2E,即只表示一个点(-2D ,-2E); (ⅲ)当D 2+E 2-4F <0时,方程没有实数解,因而它不表示任何图形.综上所述,方程x 2+y 2+Dx+Ey+F=0表示的曲线不一定是圆,由此得到圆的方程都能写成x 2+y 2+Dx+Ey+F=0的形式,但方程x 2+y 2+Dx+Ey+F=0表示的曲线不一定是圆,只有当D 2+E 2-4F >0时,它表示的曲线才是圆.因此x 2+y 2+Dx+Ey+F=0表示圆的充要条件是D 2+E 2-4F >0.我们把形如x 2+y 2+Dx+Ey+F=0表示圆的方程称为圆的一般方程. ⑤圆的一般方程形式上的特点:x 2和y 2的系数相同,不等于0.没有xy 这样的二次项.圆的一般方程中有三个待定的系数D 、E 、F,因此只要求出这三个系数,圆的方程就确定了.与圆的标准方程相比较,它是一种特殊的二元二次方程,代数特征明显,圆的标准方程则指出了圆心坐标与半径大小,几何特征较明显. (三)应用示例思路1例1 判断下列二元二次方程是否表示圆的方程?如果是,请求出圆的圆心及半径.(1)4x 2+4y 2-4x+12y+9=0; (2)4x 2+4y 2-4x+12y+11=0.解:(1)由4x 2+4y 2-4x+12y+9=0,得D=-1,E=3,F=49, 而D 2+E 2-4F=1+9-9=1>0,所以方程4x 2+4y 2-4x+12y+9=0表示圆的方程,其圆心坐标为(21,-23),半径为21; (2)由4x 2+4y 2-4x+12y+11=0,得 D=-1,E=3,F=411,D 2+E 2-4F=1+9-11=-1<0, 所以方程4x 2+4y 2-4x+12y+11=0不表示圆的方程.点评:对于形如Ax 2+By 2+Dx+Ey+F=0的方程判断其方程是否表示圆,要化为x 2+y 2+Dx+Ey+F=0的形式,再利用条件D 2+E 2-4F 与0的大小判断,不能直接套用.另外,直接配方也可以判断.变式训练求下列圆的半径和圆心坐标:(1)x 2+y 2-8x+6y=0;(2)x 2+y 2+2by=0.解:(1)把x 2+y 2-8x+6y=0配方,得(x -4)2+(y+3)2=52,所以圆心坐标为(4,-3),半径为5;(2)x 2+y 2+2by=0配方,得x 2+(y+b)2=b 2,所以圆心坐标为(0,-b),半径为|b|. 例2 求过三点O(0,0)、M 1(1,1)、M 2(4,2)的圆的方程,并求圆的半径长和圆心坐标.解:方法一:设所求圆的方程为x 2+y 2+Dx+Ey+F=0,由O 、M 1、M 2在圆上,则有⎪⎩⎪⎨⎧=+++=+++=.02024,02.0F E D F E D F 解得D=-8,E=6,F=0,故所求圆的方程为x 2+y 2-8x+6y=0,即(x -4)2+(y+3)2=52.所以圆心坐标为(4,-3),半径为5.方法二:先求出OM 1的中点E(21,21),M 1M 2的中点F(25,23), 再写出OM 1的垂直平分线PE 的直线方程y-21=-(x-21),①AB 的垂直平分线PF的直线方程y-23=-3(x-25),②联立①②得⎩⎨⎧=+=+,93,1y x y x 得⎩⎨⎧-==.3,4y x 则点P 的坐标为(4,-3),即为圆心.OP=5为半径.方法三:设所求圆的圆心坐标为P(a,b),根据圆的性质可得|OP|=|AP|=|BP|, 即x 2+y 2=(x-1)2+(y-1)2=(x-4)2+(y-2)2,解之得P(4,-3),OP=5为半径.方法四:设所求圆的方程为(x -a)2+(y -b)2=r 2,因为O(0,0)、A(1,1)、B(4,2)在圆上,所以它们的坐标是方程的解.把它们的坐标代入上面的方程,可以得到关于a 、b 、r 的方程组,即⎪⎩⎪⎨⎧=-+-=+=-+-.)2()4(,,)1()1(222222222r b a r b a r b a 解此方程组得⎪⎩⎪⎨⎧=-==.5,3,4r b a 所以所求圆的方程为(x -4)2+(y+3)2=52,圆心坐标为(4,-3),半径为5.点评:请同学们比较,关于何时设圆的标准方程,何时设圆的一般方程.一般说来,如果由已知条件容易求圆心的坐标、半径或需要用圆心的坐标、半径列方程的问题,往往设圆的标准方程;如果已知条件和圆心坐标或半径都无直接关系,往往设圆的一般方程.例3 已知点P(10,0),Q 为圆x 2+y 2=16上一动点.当Q 在圆上运动时,求PQ 的中点M的轨迹方程.活动:学生回想求曲线方程的方法与步骤,思考讨论,教师适时点拨提示,本题可利用平面几何的知识,见中点作中线,利用中线定长可得方程,再就是利用求曲线方程的办法来求.图1解法一:如图1,作MN∥OQ 交x 轴于N, 则N 为OP 的中点,即N(5,0). 因为|MN|=21|OQ|=2(定长). 所以所求点M 的轨迹方程为(x-5)2+y 2=4.点评:用直接法求轨迹方程的关键在于找出轨迹上的点应满足的几何条件,然后再将条件代数化.但在许多问题中,动点满足的几何条件较为隐蔽复杂,将它翻译成代数语言时也有困难,这就需要我们探讨求轨迹问题的新方法.转移法就是一种很重要的方法.用转移法求轨迹方程时,首先分析轨迹上的动点M 的运动情况,探求它是由什么样的点控制的.解法二:设M(x,y)为所求轨迹上任意一点Q(x 0,y 0).因为M 是PQ的中点,所以⎪⎩⎪⎨⎧=-=⎪⎪⎩⎪⎪⎨⎧+=+=.2.102,20,2100000y y x x y y x x 即 (*)又因为Q(x 0,y 0)在圆x 2+y 2=16上,所以x 02+y 02=16.将(*)代入得(2x-10)2+(2y)2=16.故所求的轨迹方程为(x-5)2+y 2=4.点评:相关点法步骤:①设被动点M(x,y),主动点Q(x 0,y 0). ②求出点M 与点Q 坐标间的关系⎪⎩⎪⎨⎧==).,(),,(002001y x f y y x f x (Ⅰ)③从(Ⅰ)中解出⎪⎩⎪⎨⎧==).,(),,(2010y x g y y x g x (Ⅱ)④将(Ⅱ)代入主动点Q 的轨迹方程(已知曲线的方程),化简得被动点的轨迹方程.这种求轨迹方程的方法也叫相关点法,以后要注意运用. 变式训练已知线段AB 的端点B 的坐标是(4,3),端点A 在圆(x+1)2+y 2=4上运动,求线段AB 的中点M 的轨迹方程.解:设点M 的坐标是(x,y), 点A 的坐标是(x 0,y 0).由于点B 的坐标是(4,3)且M 是线段AB 的中点,所以x=240+x ,y=230+y .于是有x 0=2x-4,y 0=2y-3.因为点A 在圆(x+1)2+y 2=4上运动,所以点A 的坐标满足方程(x+1)2+y 2=4,即(x 0+1)2+y 02=4.②把①代入②,得(2x-4+1)2+(2y-3)2=4,整理,得(x-23)2+(y-23)2=1. 所以点M 的轨迹是以(23,23)为圆心,半径长为1的圆. 思路2例 1 求圆心在直线l :x+y=0上,且过两圆C 1:x 2+y 2-2x+10y-24=0和C 2:x 2+y 2+2x+2y-8=0的交点的圆的方程.活动:学生审题,教师引导,强调应注意的问题,根据题目特点分析解题思路,确定解题方法.由于两圆的交点可求,圆心在一直线上,所以应先求交点再设圆的标准方程.解:解两圆方程组成的方程组⎪⎩⎪⎨⎧=-+++=-+-+.0822,024*******y x y x y x y x 得两圆交点为(0,2),(-4,0).设所求圆的方程为(x-a)2+(y-b)2=r 2,因为两点在所求圆上,且圆心在直线l 上,所以得方程组 ⎪⎩⎪⎨⎧=+=-+=+--.0,)2(,)4(222222b a r b a r b a解得a=-3,b=3,r=10.故所求圆的方程为(x+3)2+(y-3)2=10. 点评:由已知条件容易求圆心坐标、半径或需要用圆心的坐标、半径列方程的问题,往往设圆的标准方程.例2 已知圆在x 轴上的截距分别为1和3,在y 轴上的截距为-1,求该圆的方程.解法一:利用圆的一般方程.设所求的圆的方程为x 2+y 2+Dx+Ey+F=0,由已知,该圆经过点(1,0),(3,0)和(0,-1),则有⎪⎩⎪⎨⎧=+--=++=++.0)1(,033,0122F E F D F D ,解之得D=-4,E=4,F=3.故所求圆的方程为x 2+y 2-4x+4y+3=0.解法二:利用圆的标准方程.由题意该圆经过P(1,0),Q(3,0),R(-1,0),。