南邮信号与系统课后答案第三章
- 格式:pdf
- 大小:939.19 KB
- 文档页数:17
文档《信号与系统》(第3版)习题解析高等教育出版社目录第1章习题解析 (2)第2章习题解析 (6)第3章习题解析 (16)第4章习题解析 (23)第5章习题解析 (31)第6章习题解析 (41)第7章习题解析 (49)第8章习题解析 (55)第1章习题解析1-1 题1-1图示信号中,哪些是连续信号?哪些是离散信号?哪些是周期信号?哪些是非周期信号?哪些是有始信号?(c) (d)题1-1图解 (a)、(c)、(d)为连续信号;(b)为离散信号;(d)为周期信号;其余为非周期信号;(a)、(b)、(c)为有始(因果)信号。
1-2 给定题1-2图示信号f ( t ),试画出下列信号的波形。
[提示:f ( 2t )表示将f ( t )波形压缩,f (2t)表示将f ( t )波形展宽。
](a) 2 f ( t - 2 ) (b) f ( 2t )(c) f ( 2t)(d) f ( -t +1 )题1-2图解 以上各函数的波形如图p1-2所示。
图p1-21-3 如图1-3图示,R 、L 、C 元件可以看成以电流为输入,电压为响应的简单线性系统S R 、S L 、S C ,试写出各系统响应电压与激励电流函数关系的表达式。
题1-3图解 各系统响应与输入的关系可分别表示为)()(t i R t u R R ⋅= tt i Lt u L L d )(d )(= ⎰∞-=tC C i Ct u ττd )(1)(1-4 如题1-4图示系统由加法器、积分器和放大量为-a 的放大器三个子系统组成,系统属于何种联接形式?试写出该系统的微分方程。
S RS LS C题1-4图解 系统为反馈联接形式。
设加法器的输出为x ( t ),由于)()()()(t y a t f t x -+=且)()(,d )()(t y t x t t x t y '==⎰故有)()()(t ay t f t y -='即)()()(t f t ay t y =+'1-5 已知某系统的输入f ( t )与输出y ( t )的关系为y ( t ) = | f ( t )|,试判定该系统是否为线性时不变系统?解 设T 为系统的运算子,则可以表示为)()]([)(t f t f T t y ==不失一般性,设f ( t ) = f 1( t ) + f 2( t ),则)()()]([111t y t f t f T == )()()]([222t y t f t f T ==故有)()()()]([21t y t f t f t f T =+=显然)()()()(2121t f t f t f t f +≠+即不满足可加性,故为非线性时不变系统。
第三章习题基础题3.1 证明cos t , cos(2)t , …, cos()nt (n 为正整数),在区间(0,2)π的正交集。
它是否是完备集?解:(积分???)此含数集在(0,2)π为正交集。
又有sin()nt 不属于此含数集02sin()cos()0nt mt dt π=⎰,对于所有的m 和n 。
由完备正交函数定义所以此函数集不完备。
3.2 上题的含数集在(0,)π是否为正交集?解:由此可知此含数集在区间(0,)π内是正交的。
3.3实周期信号()f t 在区间(,)22T T-内的能量定义为222()TT E f t dt -=⎰。
如有和信号12()()f t f t +(1)若1()f t 与2()f t 在区间(,)22T T-内相互正交,证明和信号的总能量等于各信号的能量之和;(2)若1()f t 与2()f t 不是相互正交的,求和信号的总能量。
解:(1)和信号f(t)的能量为[]222222222221212222()12()()()()()()T T T T T T T T T T E f t dt dtf t dt f t dt f t f t dtf t f t -----===+++⎰⎰⎰⎰⎰(少乘以2)由1()f t 与2()f t 在区间内正交可得2122()()0T T f t f t dt -=⎰则有 22221222()()T T T T E f t dt f t dt --=+⎰⎰即此时和信号的总能量等于各信号的能量之和。
和信号的能量为(2)[]222222222221212222()12()()()()()()T T T T T T T T T T E f t dt dtf t dt f t dt f t f t dtf t f t -----===+++⎰⎰⎰⎰⎰(少乘以2吧?)由1()f t 与2()f t 在区间(,)22T T-内不正交可得2122()()0T T f t f t dt K -=≠⎰则有2222222212122222()()()()T T T T T T T T E f t dt f t dt K f t dt f t dt ----=++≠+⎰⎰⎰⎰即此时和信号的总能量不等于各信号的能量之和。
《信号与系统》课后习题参考答案第二章 连续信号与系统的时域分析2-9、(1)解:∵系统的微分方程为:)(2)(3)(t e t r t r '=+',∴r(t)的阶数与e(t) 的阶数相等,则h(t)应包含一个)(t δ项。
又∵系统的特征方程为:03=+α,∴特征根3-=α∴)()(2)(3t u Ae t t h t -+=δ∴)]()(3[)(2)(33t e t u e A t t h t t δδ--+-+'=')()(3)(23t A t u Ae t t δδ+-'=-将)(t h 和)(t h '代入微分方程(此时e(t)= )(t δ),得:)()(3)(23t A t u Ae t t δδ+-'-+3)(2)]()(2[3t t u Ae t t δδ'=+-∴A=-6则系统的冲激响应)(6)(2)(3t u et t h t --=δ。
∴⎰⎰∞--∞--==t td ue d h t g τττδτττ)](6)(2[)()(3⎰∞-=t d ττδ)(2⎰∞---t d u e τττ)(63 )()(6)(203t u d e u t t ⎰-∞--=τττ )()3(6)(203t u e t u t --=-τ)()1(2)(23t u e t u t -+=- )(23t u e t -=则系统的阶跃响应)(2)(3t u et g t -=。
2-11、解:①求)(t r zi : ∵系统的特征方程为:0)3)(2(652=++=++αααα,∴特征根:21-=α,32-=α ∴t t zi e C eC t r 3221)(--+= (t ≥0) ②求)(t r zs :t t e A eA t h 3221)(--+= (t ≥0),可求得:11=A ,12-=A (求解过程略) ∴)()()(32t u e e t h t t ---=∴)(*)()(*)()]()[(*)()(*)()(3232t u e t u e t u e t u e t u e e t u e t h t e t r t t t t t t t zs --------=-==)()2121()()(21)()(3232t u e e e t u e e t u e e t t t t t t t -------+-=---= ③求)(t r :)(t r =)(t r zi +)(t r zs ++=--)(3221t te C e C )2121(32t t t e e e ---+- t tt e C e C e 3221)21()1(21---++-+= (t ≥0) ∵)()(t u Ce t r t -=,21=C 21=C ∴ 011=-C , ∴ 11=C0212=+C 212-=C ∴=-)0(r 21211)0(21=-=+=+C C r zi , ='-)0(r 2123232)0(21-=+-=--='+C C r zi 2-12、解:(1)依题意,得:)(2)(*)()(t u e t h t u t r tzi -=+)()()(t t h t r zi δ=+∴)(2)]()([*)()(t u e t r t t u t r t zi zi -=-+δ)(2)()()()1(t u e t r t u t r t zi zi --=-+∴)()12()()()1(t u e t r t r t zi zi -=---,两边求导得:)()12()(2)()(t e t u e t r t r t t zi ziδ-+-=-'-- )(2)()()(t u e t t r t r t zi zi--=-'δ ∴)(11)(112)()()1(t p p t p t t r p zi δδδ+-=+-=- ∴)()(11)(t u e t p t r t zi -=+=δ (2)∵系统的起始状态保持不变,∴)()(t u e t r t zi -=∵)()()(t t h t r zi δ=+,∴)()()(t u e t t h t--=δ∴)]()([*)()()(*)()()(33t u e t t u e t u e t h t e t r t r t t t zi ----+=+=δ )()()(t u te t u e t u e tt t ----+=)()2(t u e t t --= 2-16、证:∑∑∞-∞=--∞-∞=--=-=k k t k t k t u e k t t u e t r )3()3(*)()()3(δ∑∞-∞=--=k k t k t u e e )3(3 ∵当t-3k>0即3t k <时:u(t-3k)为非零值 又∵0≤t ≤3,∴k 取负整数,则:3003311)(---∞=∞=----===∑∑e e e e e et r t k k k t k t 则t Ae t r -=)(,且311--=e A 。
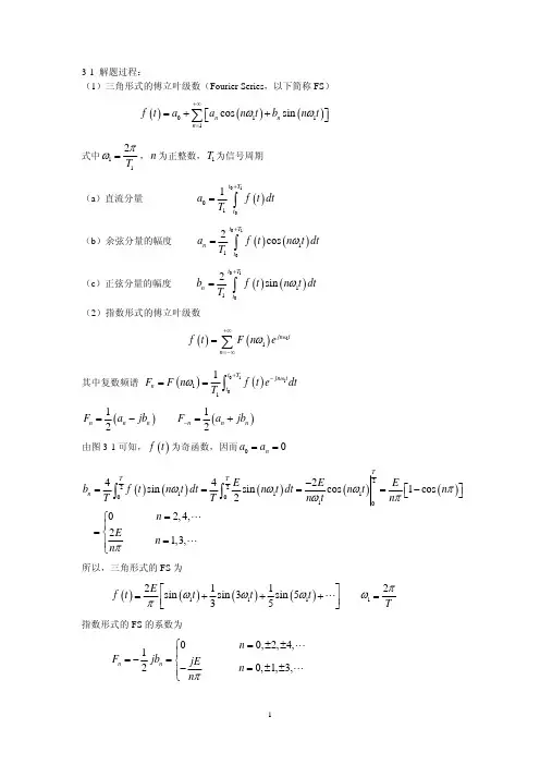
3-1 求图3-1所示对称周期矩形信号的傅利叶级数〔三角形式和指数形式〕。
图3-1解 由图3-1可知,)(t f 为奇函数,因而00==a a n2112011201)cos(2)sin(242,)sin()(4T T T n t n T n Edt t n E T T dt t n t f T b ωωωπωω-====⎰⎰所以,三角形式的傅利叶级数〔FS 〕为T t t t E t f πωωωωπ2,)5sin(51)3sin(31)sin(2)(1111=⎥⎦⎤⎢⎣⎡+++=指数形式的傅利叶级数〔FS 〕的系数为⎪⎩⎪⎨⎧±±=-±±==-= ,3,1,0,,4,2,0,021n n jE n jb F n n π所以,指数形式的傅利叶级数为T e jE e jE e jE e jE t f t j t j t j t j πωππππωωωω2,33)(11111=++-+-=--3-2 周期矩形信号如图3-2所示。
假设:图3-22τT-2τ-重复频率kHz f 5= 脉宽 s μτ20=幅度 V E 10=求直流分量大小以及基波、二次和三次谐波的有效值。
解 对于图3-2所示的周期矩形信号,其指数形式的傅利叶级数〔FS 〕的系数⎪⎭⎫⎝⎛=⎪⎭⎫ ⎝⎛====⎰⎰--22sin 12,)(1112212211τωττωππωττωωn Sa T E n n E dt Ee T T dt e t f T F tjn TT t jn n那么的指数形式的傅利叶级数〔FS 〕为∑∑∞-∞=∞-∞=⎪⎭⎫⎝⎛==n tjn n tjn ne n Sa TE eF t f 112)(1ωωτωτ 其直流分量为T E n Sa T E F n ττωτ=⎪⎭⎫ ⎝⎛=→2lim100 基波分量的幅度为⎪⎭⎫ ⎝⎛⋅=+-2sin 2111τωπEF F 二次谐波分量的幅度为⎪⎭⎫ ⎝⎛⋅=+-22sin 122τωπEF F 三次谐波分量的幅度为⎪⎭⎫ ⎝⎛⋅=+-23sin 32133τωπE F F 由所给参数kHz f 5=可得s T s rad 441102,/10-⨯==πω 将各参数的值代入,可得直流分量大小为V 110210201046=⨯⨯⨯--基波的有效值为())(39.118sin 210101010sin 210264V ≈=⨯⨯⨯- πππ二次谐波分量的有效值为())(32.136sin 251010102sin 21064V ≈=⨯⨯⨯- πππ三次谐波分量的有效值为())(21.1524sin 32101010103sin 2310264V ≈=⨯⨯⨯⨯- πππ3-3 假设周期矩形信号)(1t f 和)(2t f 的波形如图3-2所示,)(1t f 的参数为s μτ5.0=,s T μ1= ,V E 1=; )(2t f 的参数为s μτ5.1=,s T μ3= ,V E 3=,分别求:〔1〕)(1t f 的谱线间隔和带宽〔第一零点位置〕,频率单位以kHz 表示; 〔2〕)(2t f 的谱线间隔和带宽; 〔3〕)(1t f 与)(2t f 的基波幅度之比; 〔4〕)(1t f 基波与)(2t f 三次谐波幅度之比。
1试分别指出以下波形是属于哪种信号?题图1-11-2试写出题1-1图中信号的函数表达式。
1-3已知信号)(1t x 与)(2t x 波形如题图1-3中所示,试作出下列各信号的波形图,并加以标注。
题图1-3⑴)2(1-t x ⑵)1(1t x -⑶)22(1+t x⑷)3(2+t x ⑸)22(2-t x ⑹)21(2t x - ⑺)(1t x )(2t x -⑻)1(1t x -)1(2-t x ⑼)22(1t x -)4(2+t x 1-4已知信号)(1n x 与)(2n x 波形如题图1-4中所示,试作出下列各信号的波形图,并加以标注。
题图1-4⑴)12(1+n x ⑵)4(1n x -⑶)2(1n x ⑷)2(2n x -⑸)2(2+n x ⑹)1()2(22--++n x n x⑺)2(1+n x )21(2n x -⑻)1(1n x -)4(2+n x ⑼)1(1-n x )3(2-n x1-5已知信号)25(t x -的波形如题图1-5所示,试作出信号)(t x 的波形图,并加以标注。
题图1-51-6试画出下列信号的波形图:⑴)8sin()sin()(t t t x ΩΩ=⑵)8sin()]sin(211[)(t t t x ΩΩ+= ⑶)8sin()]sin(1[)(t t t x ΩΩ+=⑷)2sin(1)(t tt x = 1-7试画出下列信号的波形图:⑴)(1)(t u e t x t -+=⑵)]2()1([10cos )(---=-t u t u t e t x t π⑶)()2()(t u e t x t --=⑷)()()1(t u e t x t --=⑸)9()(2-=t u t x ⑹)4()(2-=t t x δ1-8试求出以下复变函数的模与幅角,并画出模与幅角的波形图。
⑴)1(1)(2Ω-Ω=Ωj e j X ⑵)(1)(Ω-Ω-Ω=Ωj j e e j X ⑶Ω-Ω---=Ωj j e e j X 11)(4⑷21)(+Ω=Ωj j X 1-9已知信号)]()([sin )(π--=t u t u t t x ,求出下列信号,并画出它们的波形图。
信号与系统第三版课后习题答案信号与系统第三版课后习题答案信号与系统是电子信息类专业中一门重要的基础课程,它是研究信号的产生、传输、处理和识别的学科。
在学习这门课程时,课后习题是非常重要的,它可以帮助我们巩固所学的知识,并且提高解决问题的能力。
下面是信号与系统第三版课后习题的答案。
第一章:信号与系统的基本概念1. 信号是指随时间、空间或其他独立变量的变化而变化的物理量。
系统是指能够对输入信号进行处理并产生输出信号的物理设备或数学模型。
2. 连续时间信号是在连续时间范围内定义的信号,可以用连续函数表示。
离散时间信号是在离散时间范围内定义的信号,可以用数列表示。
3. 周期信号是指在一定时间间隔内重复出现的信号,具有周期性。
非周期信号是指不具有周期性的信号。
4. 奇对称信号是指关于原点对称的信号,即f(t)=-f(-t)。
偶对称信号是指关于原点对称的信号,即f(t)=f(-t)。
5. 系统的线性性质是指系统满足叠加原理,即对于输入信号的线性组合,输出信号也是这些输入信号的线性组合。
6. 系统的时不变性质是指系统对于不同时间的输入信号,输出信号的特性是不变的。
7. 系统的因果性质是指系统的输出只依赖于当前和过去的输入信号,而不依赖于未来的输入信号。
第二章:连续时间信号与系统的时域分析1. 奇偶分解是将一个信号分解为奇对称和偶对称两个部分的过程。
奇偶分解的目的是简化信号的处理和分析。
2. 卷积是信号处理中常用的一种操作,它描述了两个信号之间的相互作用。
卷积的定义为:y(t) = ∫[x(τ)h(t-τ)]dτ。
3. 系统的冲激响应是指系统对于单位冲激信号的输出响应。
冲激响应可以用来描述系统的特性和性能。
4. 系统的单位阶跃响应是指系统对于单位阶跃信号的输出响应。
单位阶跃响应可以用来描述系统的稳定性和响应速度。
5. 系统的单位斜坡响应是指系统对于单位斜坡信号的输出响应。
单位斜坡响应可以用来描述系统的积分特性。
— P3-1 —第三章 连续系统的频域分析习题解答3-1 已知函数集}sin ,2sin ,{sin nt t t ,n 为正整数。
证明该函数集在区间(0, 2π)内为正交函数集;试问该函数集在区间(0, π!2)内是否为正交函数集?解:(1)证:⎩⎨⎧=>≠=++---=⎰. , 0π; , 0]π2)sin[(]π2)sin[(21sin sin }{π20r i r i r i r i r i r i rtdt it 可见满足正交函数集的条件。
证毕。
(2) }{]2π)sin[(]2π)sin[(21sin sin ,2π0ri r i r i r i rtdt it r i ++---=≠⎰/时不恒为0, 可见在此区间上不是正交函数集。
3-2 证明图示矩形脉冲信号f (t )在区间(0, 1)内与t n t t πc o s , ,π2cos ,πcos 正交,n 为正整数。
证:.πcos ,,π2cos ,πcos )( )1 ,0(, ,0πsin ππcos πcos )( 10 10 正交与内在为正整数t n t t t f n n n Atdt n A tdt n t f ∴===⎰⎰3-3 将图示周期信号展开为三角型傅立叶级数。
解:(a);πd sin π212π 0 0 m m U t t U a ==⎰ ⎪⎩⎪⎨⎧==-=-++==⎰⎰ ,5 ,3 ,1 , 0 ,6 ,4 ,2 ,)1(π2d ])1sin()1[sin(π2d cos sin π222ππn n n U t t n t n U tnt t U a mmm n [sin 41212)(1, 0 1 ,2 sin sin 221 0t U t f n n U dt nt t U b n m mm n ⎰∞=++=∴⎪⎩⎪⎨⎧≠===ππππ(b) f 2(t )求二阶导数如中图,t— 2 —).5cos 513cos 31(cos π42)( 22;,4,2 , 0 ,3,1 ,π4)πcos 1(8)1()(82)1(8)1(8)]2()([42)j (222200222222222 0 2j j j j+++-=⇒==⎪⎩⎪⎨⎧==-=--=--==-=-=--=----⎰--t t t E E t f E aA n n n E n n E e T n E F A e T E e T E dt e T t t T E T F n n n n t n n n n TT n ΩΩΩΩΩΩΩ且显然/故πψδδππ3-4 图题3-4所示信号展开为指数型傅里叶级数。
信号与系统第二版课后答案第一章简介1.1 信号与系统的定义1.1.1 信号的定义信号是对某一现象或信息的描述,可以是物理量、采样值、传感器输出等。
根据信号的不同特性,可以将其分为连续信号和离散信号。
1.1.2 系统的定义系统是对信号加工与处理过程的描述。
系统可以是硬件电路、算法或计算机软件。
根据系统对信号的作用方式,可以将其分为线性系统和非线性系统。
1.2 信号的分类1.2.1 连续信号与离散信号连续信号是在时间上连续变化的信号,可以用数学函数进行描述。
离散信号则是在时间上呈现离散变化的信号,通常通过采样离散化得到。
1.2.2 有限信号与无限信号有限信号是在有限时间内存在的信号,其持续时间有限。
无限信号则是在无限时间内存在的信号,持续时间可以是无限的。
1.3 系统的分类1.3.1 线性系统与非线性系统线性系统满足线性叠加原理,即将输入信号与线性系统的响应相加所得到的输出信号仍然是系统的响应。
非线性系统则不满足线性叠加原理。
1.3.2 因果系统与非因果系统因果系统的输出只与当前和过去的输入有关,不受未来输入的影响。
非因果系统的输出则可能与未来的输入有关。
第二章离散信号与系统2.1 离散信号的表示与性质2.1.1 离散信号的表示离散信号可以通过序列来表示,其中序列是一组按照一定顺序排列的数字。
离散信号可以是有限序列或无限序列。
2.1.2 离散信号的性质离散信号的性质包括幅度、相位、频率、周期性等。
这些性质可以通过变换来描述和分析离散信号。
2.2 离散系统的表示与性质2.2.1 离散系统的表示离散系统可以通过差分方程来表示,其中差分方程描述了输入和输出之间的关系。
离散系统也可以通过单位脉冲响应来描述,单位脉冲响应是当输入为单位脉冲序列时系统的输出。
2.2.2 离散系统的性质离散系统的性质包括稳定性、因果性、线性性等。
这些性质对系统的行为和性能有重要影响。
2.3 离散系统的频域分析2.3.1 傅立叶变换傅立叶变换是一种将信号从时域转换到频域的方法,可以将信号表示为频率的函数。