八年级数学-计算试题
- 格式:docx
- 大小:238.44 KB
- 文档页数:5
春季八年级期末调考数 学 试 题说明:1. 本试卷分为第Ⅰ卷和第Ⅱ卷. 第Ⅰ卷1~2页,第Ⅱ卷3~8页. 第Ⅰ卷的答案选项用2B 铅笔填涂在机读卡上;第Ⅱ卷用蓝、黑色钢笔或圆珠笔直接答在试卷上.2. 本试卷满分120分,答题时间为120分钟. 交卷时只交第Ⅱ卷,第Ⅰ卷由学生自己保存.第Ⅰ卷 选择题(36分)一、选择题(本大题共12个小题,每小题3分,共36分) 在每小题给出的四个选项中,有且仅有一项是符合题目要求的. 1. 如图,Rt △ABC 沿直角边BC 所在的直线向右平移得到△DEF ,下列结论中错误的是A. △ABC ≌△DEFB. ∠DEF =90°C. EC =CFD. AC =DF2. 函数中自变量x 的取值范围为A. x ≥2B. x >-2C. x <-2D. x ≥-23. 边长为1和2的两个正方形,其一边在同一水平线上,小正方形沿该水平线自左向右匀速穿过大正方形. 设穿过的时间为t ,大正方形内除去小正方形部分的面积为S (阴影部分). S 随t 变化而变化的大致图象为A B C D4. 已知正比例函数y =kx (k ≠0)中,y 随x 的增大而增大. 反比例函数y =-xk过点(3,y 1),(2,y 2)和(-3,y 3),则y 1,y 2,y 3的大小关系为A .y 1<y 2<y 3B .y 1>y 2>y 3C .y 1>y 3>y 2D .y 3>y 1>y 25. 如图是学校小卖部“六一”儿童节期间儿童玩具、糖果、其它421+=x y物品等的销售额的扇形统计图. 若玩具的销售额为1800元,那么 糖果的销售额是A. 3000元B. 300元C. 30%D. 900元 6. 下列命题错误的是 A . 有三条边相等的三角形全等 B . 有两条边和一个角对应相等的三角形全等C. 有一条边和一个角对应相等的等腰三角形全等D. 有一条边和一锐角对应相等的直角三角形全等7. 如图△ABC 是等腰三角形,以两腰AB 、AC 为边向外作正方 形ABDE 和正方形ACFG ,则图中全等三角形有( )对.A. 2B. 3C. 4D. 58. 如果把分式ba ab+2中的a 和b 都扩大到原来的9倍,那么分式的值A. 扩大到原来的9倍B. 缩小9倍C. 是原来的91D. 不变9. 如图,ABCD 的周长为18cm ,点O 是对角线AC 的中点,过点O 作EF 垂直于AC ,分别交DC 、AB 于E 、F , 连结AE ,则△ADE 的周长为 A. 5cm B. 8cm C. 9cm D. 10cm10. 下列命题中,能判断四边形ABCD 是矩形的命题有 ①AC =BD ,AC ⊥BD ;②OA =OB =OC =OD ;③∠A =∠B =∠C =90°;④AB CD ,∠A =90°.A. 1个 B .2个 C .3个 D .4个11. 函数y =-kx +k (k ≠0)与y =xk的大致图象可能是A B C D12. 某服装厂准备加工300套演出服装. 在加工60套后,采用了新技术,使每天的工作效率是原来的2倍,结果共用9天完成任务. 设该厂原来每天加工x 套演出服装,则可列方程A.9260300=-x B.9602300=+x x C.960260300=+-x x D.960260300=--xx2009年春季八年级期末考试数 学 试 题全卷总分表第Ⅱ卷 非选择题(84分)二、填空题(本大题共8个小题,每小题3分,共24分)将解答结果直接填在题中的横线上.13. 在四边形ABCD 中,∠A:∠:B:∠C:∠D =1:2:1:2,则四边形ABCD 是 . 14. 一个纳米粒子的直径是0.000 000 035米,用科学记数 法表示为 米.15. 如图,在正方形ABCD 中,E 在BC 的延长线上,且 EC =AC ,AE 交CD 于点F ,则∠AFC = 度.16. 已知一组数据1,3,2,5,x 的平均数为3. 则样本的标准差为 . 17. 关于x 的方程32322=--+-xmx x 有增根,则m =. 18.已知点A(2,3)和点B (m ,-3)关于原点对称,则m = ;若点C 与点B 关于y 轴对称,则点C 的坐标为 . 19. 如图是甲、乙两地5月上旬的 日平均气温统计图,则甲、乙两地 这10天的日平均气温的方差大小 关系为:S 2甲 S 2乙.20. 已知等腰三角形的周长为10,底边为y ,腰为x. 请写出y 与x 的函数关系式及自变量x的取值范围 . 三、解答题(每题6分,共24分)21. 计算:20090-2)21(--+|-2008 |.22. 先化简,再求值:1311222+-+-+-x xx x x ,其中x =2.23. 解分式方程:93132-=--x x x .24. 作图题:在△ABC 中,∠C =90°,按下列 要求作图.(尺规作图,保留痕迹,不写作法)①作AB 边的垂直平分线,交AC 于点E ,交AB 于点F ;②连结CF ,作∠CFB 的平分线,交BC于点G . 四、几何证明题(本大题满分8分)25. 如图,在梯形ABCD 中,AB ∥DC ,AC 平分∠BCD ,AE ∥BC. 求证:四边形AECB 是菱形.五、几何证明题(本大题共9分)26. 如图,在等边△DAC 和等边△EBC 中,AE 、BD 分别与CD 、CE 交于点M 、N ,且A 、C 、B 三点在同一条直线上.求证:(1)AE =BD ;(2)CM =CN.六、解答题(本大题共9分)27. 如图,反比例函数y =xm(x >0)的图象经过A 、B 两点,且A 点的坐标为(2,-4),点B 的横坐标为4. 请根据图象的信息解答:(1)求反比例函数的解析式; (2)若AB 所在的直线的解析式为 y =kx +b (k ≠0),求出k 和b 的值.(3)求△ABO 的面积.七、(本大题共10分)28. 甲、乙两同学本期十次数学测验成绩如下表:(1)甲同学十次数学测验成绩的众数是;乙同学十次数学测验成绩的中位数是 .(2)甲同学本期数学测验成绩的平均分是 ;乙同学本期数学测验成绩的平均分是 ;乙同学本期数学测验成绩的极差是 .(3)你认为甲、乙两位同学,谁的成绩更稳定?通过计算加以说明.2009年春季八年级期末调考数学试题参考答案一、选择题(本大题共12个小题,每小题3分,共36分)1.C2.B3.A4.D5.D6.B7.D8.A9.C 10.B 11.C 12.C二、填空题(本大题共8个小题,每小题3分,共24分) 13. 平行四边形 14. 3.5×10-8 15. 112.5 16.217. -1 18. -2;(2,-3) 19. < 20. y =10-2x (25<x <5)注:18题第一空1分,第二空2分. 20题的函数关系式1分,x 的取值范围2分.三、解答题(每题6分,共24分)21.(共6分)解:20090-2)21(--+|-2008 |=1-4+2008 ……………………(每项算对,各给1分)……4分 =2005 …………………………………………………………………2分22.(共6分)解:原式=13)1)(1(122+-+-++-x x x x x x ……………………………………1分 =)1)(1()1)(3()1)(1(122-+--+-++-x x x x x x x x …………………………1分 =)1)(1(34122-+-++-x x x x x=)1)(1(22-+-x x x =)1)(1()1(2-+-x x x …………………………1分=12+x ………………………………………………………1分 当x =2时,12+x =122+=32………………………………………2分另解:原式=13)1)(1()1(2+-+-+-x xx x x ………………………………………2分 =1311+-++-x xx x ………………………………………………1分 =12+x …………………………………………………………1分 当x =2时,12+x =122+=32………………………………………2分23.(共6分)解:方程两边同乘以(x +3)(x -3),约去分母,得 ……………1分 x (x +3)-(x 2-9)=3. ………………………………………2分 解这个整式方程,得x =-2. ………………………………………………………………1分 检验:把x =-2代入x 2-9,得(-2)2-9≠0,所以,x =-2是原方程的解. ………………………………………………2分 24.(共6分)作出了AB 边的垂直平分线给3分; 作出了∠CFB 的平分线给3分. 注:若未标明字母扣1分.四、几何证明题(本大题满分8分)25. 证明:∵AB ∥DC ,AE ∥BC ,∴四边形ABCD 是平行四边形. …………2分∵AC 平分∠BCD ,∴∠ACB =∠ACE. …………………………………………………………1分 又AB ∥CD ,∴∠BAC =∠ACE (两直线平行,内错角相等), ……………………1分 ∴∠ACB =∠BAC (等量代换), …………………………………………1分 ∴BA =BC (等角对等边), ………………………………………………1分∴四边形ABCE 是菱形(有一组邻边相等的平行四边形是菱形). ……2分注:①若证得AE =EC ,或证得四边相等得菱形参照给分;②未批理由可不扣分. 五、几何证明题(本大题共9分)26.(1)(5分)证明:∵△ACD 和△BCE 是等边三角形,∴∠ACD =∠BCE =60°,∴∠ACD +∠DCE =∠BCE +∠DCE , 即∠ACE =∠DCB. …………………2分 在△ACE 和△DCB 中,AC =DC ,EC =BC (等边三角形三边相等),八年级期末考试数学试题(第Ⅱ卷) 第11页(共8页)∠ACE =∠DCB (已证),∴△ACE ≌△DCB (S.A.S.), ………………………………………………2分∴AE =BD (全等三角形的对应边相等). ………………………………1分(2)(4分)证明:∵△ACE ≌△DCB (已证),∴∠EAC =∠BDC ,即∠MAC =∠NDC. ……………………………………………………1分∵∠ACD =∠BCE =60°(已证),A 、C 、B 三点共线,∴∠ACD +∠BCE +∠DCN =180°,∴∠MCN =60°,即∠ACM =∠DCN =60°. ………………………………………………1分又AC =DC ,∴△ACM ≌△DCN (A.S.A.), …………………………………………1分∴CM =CN. ……………………………………………………………1分六、解答题(本大题共9分)27. 解:(1)(2分)把A 点的坐标(2,-4)代入y =xm 得-4=2m ,m =-8, ∴反比例函数的解析式为y =x 8-(x >0).……2分 注:若解析式未标明x >0,则只给1分.(2)(3分)当x =4时,y =x8-=-2,∴B (4,-2). ………………………………1分 ∵A (2,-4),B (4,-2)在直线y =kx +b 上,∴⎩⎨⎧+=-+=-b k b k 4224 ………………………………………………………………………1分 解之得k =1,b =-6. ………………………………………………………………1分(3)(4分)解一:作辅助线如图,则C (4,-4). …………………………………1分 S △ABO =S 正方形ODCE -S △ODA -S △OEB -S △ABC ………………………………………2分 =4×4-21×2×4-21×4×2-21×2×2 =16-4-4-2=6. ……………………………………………………………………………1分解二:如图,取AB 中点M ,连结OM ,(或作OM ⊥AB )∵OA =OB =2224+=25,∴OM ⊥AB (或AM =BM ) ………………1分而AB =22BN AN +=2222+=22 …1分八年级期末考试数学试题(第Ⅱ卷) 第12页(共8页) ∴AM =21AB =2 ∴OM =22AM OA -=22)2()52(-=32 ……………………1分∴S △AOB =21AB ·OM =21×22×32=6. …………………………1分 解三:S △ABO =S 矩形ACOD +S梯ABED -S △AOC -S △BOE ……2分 =2×4+21(2+4)×2-21×4×2-21×4×2 =8+6-4-4=6. ……………………………………2分解四:延长AB 交x 轴、y 轴于M 、N ,则M (6,0),N (0,6).S △AOB =S △MON -S △AOM -S △BON= … =6. 按解一的给分方法给分.七、(本大题共10分)28.(1)、(2)小题每空1分,共5分;(3)小题共5分.(1)98;98.(2)99;99;24.(3)1012=甲S [()()()()()2222299979998999999979998-+-+-+-+- ()()()()()22222999999989910799999998-+-+-+-+-+][]01640141041101+++++++++= 6.776101=⨯= ……………………………………………………………2分 ()()()[]222299110998999108101-+⋯+-+-=乙S []222222222211)2(9)13()1(1)1()3()10(9101+-++-+-++-+-+-+= []121481169111910081101+++++++++= 8.56568101=⨯= …………………………………………………………2分 ∵22<乙甲S S ,∴甲的成绩更稳定. ………………………………………………………1分注:①若第(3)小题,不是通过计算而得出正确结论,只给2分;若计算2甲S 正确,2乙S不正确而得出正确结论共给3分.②此题旨在考查学生计算能力,引起教师对培养学生计算能力的高度重视八年级期末考试数学试题(第Ⅱ卷)第13页(共8页)。
八年级数学计算题及答案【篇一:最新人教版八年级数学(上)期中测试题及答案】ass=txt>(考试用时:120分钟 ; 满分: 120分)一、选择题(共12小题,每小题3分,共36分. 在每小题给出的四个选项中只有一项是符合要求的,请将正确答案的序号填入对应题目后的括号内)1.下列图形分别是桂林、湖南、甘肃、佛山电视台的台徽,其中为轴对称图形的是().第1题图2. 对于任意三角形的高,下列说法不正确的是()a.锐角三角形有三条高 b.直角三角形只有一条高c.任意三角形都有三条高 d.钝角三角形有两条高在三角形的外部3. 一个三角形的两边长为3和8,第三边长为奇数,则第三边长为() a. 5或7 b. 7或9 c. 7 d. 95. 点m(3,2)关于y轴对称的点的坐标为()。
a.(—3,2)b.(-3,-2)c. (3,-2)d. (2,-3)7. 现有四根木棒,长度分别为4cm,6cm,8cm,10cm.从中任取三根木棒,能组成三角形的个数为()a.1个 b.2个 c.3个d.4个 8. 如图,△abc中,ab=ac,d为bc的中点,以下结论:(1)△abd≌△acd ;(2)ad⊥bc;(3)∠b=∠c ;(4)ad是△abc的角平分线。
其中正确的有()。
b d a.1个 b. 2个 c. 3个 d. 4个第8题图9. 如图,△abc中,ac=ad=bd,∠dac=80o,则∠b的度数是() a.40ob.35oc.25od.20o 第9题图a.30ob.36oc.60od.72o11.如图所示,某同学把一块三角形的玻璃不小心打碎成了三块,()去.a.① b.② c.③ d.①和②第11题图12.用正三角形、正四边形和正六四边形按如图所示的规律拼图案,即从第二个图案开始,每个图案中正三角形的个数都比上一个图案中正三角形的个数多4个.则第n个图案中正三角形的个数为()(用含n的代数式表示).…第一个图案第二个图案第12题图第三个图案a.2n+1 b. 3n+2 c. 4n+2 d. 4n-2二、填空题(本大题共6小题,每小题3分,共18分.请把答案填写在相应题目后的横线上)13. 若a(x,3)关于y轴的对称点是b(-2,y),则x=____ ,y=______ ,点a关于x轴的对称点的坐标是___________ 。
人教版八年级数学下册第十七章测试题(附答案)学校: 姓名: 班级: 考号:1.如图AB=AC ,则数轴上点C 所表示的数为( )A .+1B .-1C .-+1D .--12.已知x 、y 为正数,且|x-4|+(y-3)=0,如果以x 、y 的长为直角边作一个直角三角形,那么以这个直角三角形的斜边为边长的正方形的面积为( )A .5B .25C .7D .153.如图,△ABC 为等边三角形,点E 在BA 的延长线上,点D 在BC 边上,且ED=EC .若△ABC 的边长为4,AE=2,则BD 的长为( )A .2 B. 3 C .D .+1 4.如图,Rt △ABC 中,AB=9,BC=6,∠B=90°,将△ABC 折叠,使A 点与BC 的中点D 重合,折痕为MN ,则线段BN 的长为( )A.4 B.5 C.D. 5.有六根细木棒,它们的长度分别是2,4,6,8,10,12(单位:cm),从中取出三根首尾顺次连接搭成一个直角三角形,则这三根木棒的长度分别为()A.2,4,8 B.4,8,10 C.6,8,10 D.8,10,126.如右下图所示,在□ABCD中,已知∠ODA=90º, AC=10cm,BD=6cm,则AD的长为().A、4cmB、5cmC、6cmD、8cm7.如图,已知△ABC中,∠ABC=90°,AB=BC,三角形的顶点在相互平行的三条直线上,且之间的距离为1,之间的距离为2,则AC的长是()A. B. C. D. 58.已知Rt△ABC中,∠C=90°,若cm,cm,则S为().A.24cmB.36cmC.48cmD.60cm9.给出下列命题:①在直角三角形ABC中,已知两边长为3和4,则第三边长为5;②三角形的三边a、b、c满足a+c=b,则∠C=90°;③△ABC中,若∠A:∠B:∠C=1:5:6,则△ABC是直角三角形;④△ABC中,若 a:b:c=1:2:,则这个三角形是直角三角形.其中,假命题的个数为()A.1个 B.2个 C.3个 D.4个10.如图,在的方格中,有一个正方形ABCD,假设每一个小方格的边长为1个单位长度,则正方形的边长为()A、B、C、D、11.如图,在四边形ABCD中,AD∥BC,DE⊥BC,垂足为点E,连接AC交DE于点F,点G 为AF的中点,∠ACD=2∠ACB.若DG=3,EC=1,则DE的长为()A.B.C.D.二、填空题12.如图,长为8cm的橡皮筋放置在x轴上,固定两端A和B,然后把中点C向上拉升3cm 到D,则橡皮筋被拉长了 cm.13.如图,在△ABC中,AB=AC,AD⊥BC于点D,若AB=5,CD=3,则△ABC的周长是.14.已知直角三角形两边的长x、y满足|x-4|+=0,则第三边长为 .15.如图,△ABC是边长6的等边三角形,动点P、Q同时从A、B两点出发,分别在AB、BC边上均速移动,它们的速度分别为V=2cm/s, V=1cm/s,当点P到达点B时,P、Q两点停止运动,设点P的运动时间为ts,则当t= s时,△PBQ为直角三角形.16.如图,在矩形ABCD中,AB=4,BC=6,点E为BC的中点,将△ABE沿AE折叠,使点B 落在矩形内点F处,连接CF,则CF的长为.17.在△ABC中,AB=13,AC=20,BC边上的高为12,则△ABC的面积为.18.如图Rt△ABC中,AC=12,BC=5,分别以AB,AC,BC为直径作半圆,则图中阴影部分的面积为。
分式方程(计算题:较易)1、解方程:2、解方程:3、2015年4月20日,某服装厂为一学校新生生产校服,要求在9月1日前一定要完成,且在规定时间内要完成生产服装3200套,在加工了200套后,厂家把工作效率提高到原来的2倍,于是提前15天完成任务,求该服装厂原来每天生产多少套校服.4、(2015秋•阳新县期末)解方程:(1)﹣=1(2)+=.5、(6分)解方程6、解方程:.7、解方程:8、解分式方程:.9、解方程:.10、解方程:。
11、(1)解方程:(2)解不等式组:.12、解分式方程:13、解方程:14、(1)(2)15、计算:(1) 化简:-x-1 (2) 解方程:16、解方程.17、已知,求的值.18、解方程19、解方程:。
20、解方程:=.21、(1)计算:(4分)(2)解方程:(4分)22、解方程:+ =123、(本题6分)解方程:24、(8分)解方程:25、、解方程:-=126、27、解方程或解不等式组:(1)(2)28、解方程29、解方程=.30、解分式方程:解下列方程:31、- = 032、33、解方程:34、解方程:35、.36、解分式方程:.37、解方程:解方程38、39、40、解方程:41、解方程(每小题4分,共16分)(1)(2)42、(6分)解方程:43、(8分)解下列方程(组):[来源:学.科.网] (1)(2)44、解方程(本小题共6分)(1);(2)45、解方程:(1)(2)46、解方程(本小题共6分)(1);(2)47、解下列方程(每小题5分,共10分)(1)(2)48、(本小题每题6分,共12分)解方程:(1) 3x +5 = 4x + 1 (2) -1=49、解方程.50、(本题6分)解分式方程:参考答案1、(验根)2、3、1004、(1)检验x=是分式方程的解;(2)经检验x=4是分式方程的解.5、无解6、,7、x=.8、x=.9、x=1010、解:去分母,得:x=3(x-2 ),解得:x=3。
人教版八年级数学上册《幂的运算》专项练习题-附含答案一.同底数幂的乘法1.已知2m•2m•8=211则m=4.试题分析:将已知中的2m•2m•8化为同底数的幂然后利用同底数幂的乘法法则进行计算再根据指数相同列式求解即可.答案详解:解:2m•2m•8=2m•2m•23=2m+m+3∵2m•2m•8=211∴m+m+3=11解得m=4.所以答案是4.2.已知2x+3y﹣2=0 求9x•27y的值.试题分析:直接利用幂的乘方运算法则将原式变形进而化简得出答案.答案详解:解:∵2x +3y ﹣2=0∴2x +3y =2∴9x •27y =32x •33y =32x +3y =32=9.3.已知3x +2=m 用含m 的代数式表示3x ( )A .3x =m ﹣9B .3x =m 9C .3x =m ﹣6D .3x =m 6 试题分析:根据同底数幂的乘法法则解答即可.答案详解:解:∵3x +2=3x ×32=m∴3x =m 9. 所以选:B .二.同底数幂的除法4.已知:3m =2 9n =3 则3m ﹣2n = 23 .试题分析:先利用幂的乘方变为同底数幂 再逆用同底数幂的除法求解.答案详解:解:∵9n =32n =3∴3m ﹣2n =3m ÷32n =23所以答案是:23.5.已知m =154344 n =54340 那么2016m ﹣n = 1 . 试题分析:根据积的乘方的性质将m 的分子转化为以3和5为底数的幂的积 然后化简从而得到m =n 再根据任何非零数的零次幂等于1解答.答案详解:解:∵m =154344=34⋅54344=54340 ∴m =n∴2016m ﹣n =20160=1. 所以答案是:1.6.已知k a =4 k b =6 k c =9 2b +c •3b +c =6a ﹣2 则9a ÷27b = 9 . 试题分析:先将9a ÷27b 变形 再由k a =4 k b =6 k c =9 2b +c •3b +c =6a ﹣2分别得出a b c 的关系式 然后联立得方程组 整体求得(2a ﹣3b )的值 最后代入将9a ÷27b 变形所得的式子即可得出答案.答案详解:解:9a ÷27b=(32)a ÷(33)b=(3)2a ﹣3b∵k a =4 k b =6 k c =9∴k a •k c =k b •k b∴k a +c =k 2b∴a +c =2b ①;∵2b +c •3b +c =6a ﹣2∴(2×3)b +c =6a ﹣2∴b +c =a ﹣2②;联立①②得:{a +c =2b b +c =a −2∴{c =2b −a c =a −2−b∴2b ﹣a =a ﹣2﹣b∴2a ﹣3b =2∴9a ÷27b=(3)2a ﹣3b=32=9.所以答案是:9.三.幂的乘方与积的乘方(注意整体思想的运用)7.已知2m =a 32n =b m n 为正整数 则25m +10n = a 5b 2 .试题分析:根据积的乘方与幂的乘方及同底数幂的乘法的运算法则解答.答案详解:解:∵2m =a 32n =b∴25m +10n =(2m )5•(25)2n =(2m )5•322n =(2m )5•(32n )2=a 5b 2所以答案是:a 5b 2.8.计算:(﹣0.2)100×5101= 5 .试题分析:根据幂的乘方与积的乘方运算法则 将所求的式子变形为(﹣0.2×5)100×5再求解即可.答案详解:解:(﹣0.2)100×5101=(﹣0.2)100×5100×5=(﹣0.2×5)100×5=5所以答案是:5.9.若x+3y﹣3=0 则2x•8y=8.试题分析:根据已知条件求得x=3﹣3y然后根据同底数幂的乘法法则进行解答.答案详解:解:∵x+3y﹣3=0∴x=3﹣3y∴2x•8y=23﹣3y•23y=23=8.所以答案是:8.四.幂的运算中的规律10.阅读材料:求1+2+22+23+24+…+22017+22018的值.解:设S=1+2+22+23+24+…+22017+22018①将等式两边同时乘 2 得2S=2+22+23+24+25+…+22018+22019②②﹣①得2S﹣S=22019﹣1 即S=22019﹣1所以1+2+22+23+24+…+22017+22018=22019﹣1.请你仿照此法计算:(1)1+2+22+23+24+…+29+210;(2)1+3+32+33+34+…+3n﹣1+3n(其中n为正整数).试题分析:(1)直接利用例题将原式变形进而得出答案;(2)直接利用例题将原式变形进而得出答案.答案详解:解:(1)设S=1+2+22+23+24+ (210)将等式两边同时乘2得:2S=2+22+23+24+…+210+211②②﹣①得2S﹣S=211﹣1即S=211﹣1∴1+2+22+23+24+…+210=211﹣1.(2)设S=1+3+32+33+34+…+3n①将等式两边同时乘3得:3S=3+32+33+34+…+3n+3n+1②②﹣①得3S﹣S=3n+1﹣1即S=12(3n+1﹣1)∴1+3+32+33+34+…+3n=12(3n+1﹣1).11.(1)通过计算比较下列各式中两数的大小:(填“>”、“<”或“=”)①12<21②23<32③34>43④45>54⑤56>65…(2)由(1)可以猜测n n+1与(n+1)n(n为正整数)的大小关系:当n≤2时n n+1<(n+1)n;当n≥3时n n+1>(n+1)n;(3)根据上面的猜想可以知道:20082009>20092008.试题分析:先要正确计算(1)中的各个数根据计算的结果确定所填的符号观察所填符号总结规律.答案详解:解:(1)①∵12=1 21=2∴12<21②∵23=8 32=9∴23<32③∵34=81 43=64∴34>43④∵45=1024 54=625∴45>54⑤∵56=15625 65=7776∴56>65…(2)由(1)可以猜测n n+1与(n+1)n(n为正整数)的大小关系:当n≤2时n n+1<(n+1)n;当n≥3时n n+1>(n+1)n;(3)∵n =2008>3∴20082009>20092008.12.求1+2﹣1+2﹣2+2﹣3+2﹣4+…+2﹣200的值.试题分析:依据12=1−12 12+14=1−14 12+14+18=1−18 …可得规律12+14+18+⋯+12200=1−12200 进而得到1+2﹣1+2﹣2+2﹣3+2﹣4+…+2﹣200的值.答案详解:解:∵12=1−1212+14=1−1412+14+18=1−18…12+14+18+⋯+12200=1−12200∴1+2﹣1+2﹣2+2﹣3+2﹣4+…+2﹣200=1+12+14+18+⋯+12200=1+1−12200=2−12200.13.探究:22﹣21=2×21﹣1×21=2( 1 )23﹣22= 2×22﹣1×22 =2( 2 )24﹣23= 2×23﹣1×23 =2( 3 )……(1)请仔细观察 写出第4个等式;(2)请你找规律 写出第n 个等式;(3)计算:21+22+23+…+22019﹣22020.试题分析:(1)根据给出的内容 直接可以仿写25﹣24=2×24﹣1×24=24(2)2n +1﹣2n =2×2n ﹣1×2n =2n(3)将原式进行变形 即提出负号后 就转化为原题中的类型 利用(1)(2)的结论 直接得出结果.答案详解:解:探究:22﹣21=2×21﹣1×21=2123﹣22=2×22﹣1×22=2224﹣23=2×23﹣1×23=23(1)25﹣24=2×24﹣1×24=24;(2)2n+1﹣2n=2×2n﹣1×2n=2n;(3)原式=﹣(22020﹣22019﹣22018﹣22017﹣……﹣22﹣2)=﹣2.所以答案是:1;2×22﹣1×22;2;2×23﹣1×23;3五.新定义14.定义一种新运算(a b)若a c=b则(a b)=c例(2 8)=3 (3 81)=4.已知(3 5)+(3 7)=(3 x)则x的值为35.试题分析:设3m=5 3n=7 根据新运算定义用m、n表示(3 5)+(3 7)得方程求出x 的值.答案详解:解:设3m=5 3n=7依题意(3 5)=m(3 7)=n∴(3 5)+(3 7)=m+n.∴(3 x)=m+n∴x=3m+n=3m×3n=5×7=35.所以答案是:35.15.规定两数a b之间的一种运算记作(a b);如果a c=b那么(a b)=c.例如:因为23=8 所以(2 8)=3.(1)根据上述规定填空:①(5 125)=3(﹣2 ﹣32)=5;②若(x 18)=﹣3 则x=2.(2)若(4 5)=a(4 6)=b(4 30)=c试探究a b c之间存在的数量关系;(3)若(m8)+(m3)=(m t)求t的值.试题分析:(1)①根据新定义的运算进行求解即可;②根据新定义的运算进行求解即可;(2)根据新定义的运算进行求解即可;(3)根据新定义的运算进行求解即可.答案详解:解:①∵53=125∴(5 125)=3∵(﹣2)5=﹣32∴(﹣2 ﹣32)=5所以答案是:3;5;②由题意得:x﹣3=1 8则x﹣3=2﹣3∴x=2所以答案是:2;(2)∵(4 5)=a(4 6)=b(4 30)=c ∴4a=5 4b=6 4c=30∵5×6=30∴4a•4b=4c∴a+b=c.(3)设(m8)=p(m3)=q(m t)=r ∴m p=8 m q=3 m r=t∵(m8)+(m3)=(m t)∴p+q=r∴m p+q=m r∴m p•m r=m t即8×3=t∴t=24.16.规定两数a b之间的一种运算记作(a b):如果a c=b那么(a b)=c.例如:因为23=8 所以(2 8)=3.(1)根据上述规定填空:(3 27)=3(5 1)=0(2 14)=﹣2.(2)小明在研究这种运算时发现一个现象:(3n4n)=(3 4)小明给出了如下的证明:设(3n4n)=x则(3n)x=4n即(3x)n=4n所以3x=4 即(3 4)=x所以(3n4n)=(3 4).请你尝试运用这种方法证明下面这个等式:(3 4)+(3 5)=(3 20)试题分析:(1)分别计算左边与右边式子即可做出判断;(2)设(3 4)=x(3 5)=y根据同底数幂的乘法法则即可求解.答案详解:解:(1)∵33=27∴(3 27)=3;∵50=1∴(5 1)=0;∵2﹣2=1 4∴(2 14)=﹣2;(2)设(3 4)=x(3 5)=y则3x=4 3y=5∴3x+y=3x•3y=20∴(3 20)=x+y∴(3 4)+(3 5)=(3 20).所以答案是:3 0 ﹣2.六.阅读类---紧扣例题化归思想17.阅读下列材料:一般地n个相同的因数a相乘a⋅a⋯a︸n个记为a n.如2×2×2=23=8 此时3叫做以2为底8的对数记为log28(即log28=3).一般地若a n=b(a>0且a≠1 b>0)则n叫做以a为底b的对数记为log a b(即log a b=n).如34=81 则4叫做以3为底81的对数记为log381(即log381=4).(1)计算以下各对数的值:log24=2log216=4log264=6.(2)观察(1)中三数4、16、64之间满足怎样的关系式log24、log216、log264之间又满足怎样的关系式;(3)由(2)的结果你能归纳出一个一般性的结论吗?log a M+log a N=log a(MN);(a>0且a≠1 M>0 N>0)(4)根据幂的运算法则:a n•a m=a n+m以及对数的含义证明上述结论.试题分析:首先认真阅读题目准确理解对数的定义把握好对数与指数的关系.(1)根据对数的定义求解;(2)认真观察不难找到规律:4×16=64 log24+log216=log264;(3)由特殊到一般得出结论:log a M+log a N=log a(MN);(4)首先可设log a M=b1log a N=b2再根据幂的运算法则:a n•a m=a n+m以及对数的含义证明结论.答案详解:解:(1)log24=2 log216=4 log264=6;(2)4×16=64 log24+log216=log264;(3)log a M+log a N=log a(MN);(4)证明:设log a M=b1log a N=b2则a b1=M a b2=N∴MN=a b1⋅a b2=a b1+b2∴b1+b2=log a(MN)即log a M+log a N=log a(MN).18.阅读下列材料:若a3=2 b5=3 则a b的大小关系是a>b(填“<”或“>”).解:因为a15=(a3)5=25=32 b15=(b5)3=33=27 32>27 所以a15>b15所以a >b .解答下列问题:(1)上述求解过程中 逆用了哪一条幂的运算性质 CA .同底数幂的乘法B .同底数幂的除法C .幂的乘方D .积的乘方(2)已知x 7=2 y 9=3 试比较x 与y 的大小.试题分析:(1)根据幂的乘方进行解答即可;(2)根据题目所给的求解方法 进行比较.答案详解:解:∵a 15=(a 3)5=25=32 b 15=(b 5)3=33=27 32>27 所以a 15>b 15 所以a >b 所以答案是:>;(1)上述求解过程中 逆用了幂的乘方 所以选C ;(2)∵x 63=(x 7)9=29=512 y 63=(y 9)7=37=2187 2187>512∴x 63<y 63∴x <y .19.阅读下面一段话 解决后面的问题.观察下面一列数:1 2 4 8 … 我们发现 这一列数从第二项起 每一项与它前一项的比都等于2.一般地 如果一列数从第二项起 每一项与它前一项的比都等于同一个常数 这一列数就叫做等比数列 这个常数叫做等比数列的比.(1)等比数列5 ﹣15 45 …的第四项是 ﹣135 .(2)如果一列数a 1 a 2 a 3 a 4 …是等比数列 且公比为q 那么根据上述的规定 有a 2a 1=q ,a 3a 2=q ,a 4a 3= …所以a 2=a 1q a 3=a 2q =(a 1q )q =a 1q 2 a 4=a 3q =(a 1q 2)q =a 1q 3 … a n = a 1q n ﹣1 (用含a 1与q 的代数式表示).(3)一个等比数列的第二项是10 第三项是20 则它的第一项是 5 第四项是 40 . 试题分析:(1)由于﹣15÷5=﹣3 45÷(﹣15)=﹣3 所以可以根据规律得到第四项.(2)通过观察发现 第n 项是首项a 1乘以公比q 的(n ﹣1)次方 这样就可以推出公式了;(3)由于第二项是10 第三项是20 由此可以得到公比然后就可以得到第一项和第四项.答案详解:解:(1)∵﹣15÷5=﹣3 45÷(﹣15)=﹣3∴第四项为45×(﹣3)=﹣135.故填空答案:﹣135;(2)通过观察发现第n项是首项a1乘以公比q的(n﹣1)次方即:a n=a1q n﹣1.故填空答案:a1q n﹣1;(3)∵公比等于20÷10=2∴第一项等于:10÷2=5第四项等于20×2=40.a n=a1q n﹣1.故填空答案:它的第一项是5 第四项是40.七.整式除法(难点)20.我阅读:类比于两数相除可以用竖式运算多项式除以多项式也可以用竖式运算其步骤是:(i)把被除式和除式按同一字母的降幂排列(若有缺项用零补齐).(ii)用竖式进行运算.(ii)当余式的次数低于除式的次数时运算终止得到商式和余式.我会做:请把下面解答部分中的填空内容补充完整.求(5x4+3x3+2x﹣4)÷(x2+1)的商式和余式.解:答:商式是5x2+3x﹣5 余式是﹣x+1;我挑战:已知x4+x3+ax2+x+b能被x2+x+1整除请直接写出a、b的值.试题分析:我会做:根据“我阅读”的步骤计算填空即可;我挑战:用竖式计算令余式为0即可算出a b的值.答案详解:解:我阅读:(iii)余式是﹣x+1所以答案是:0x2﹣5x2﹣5x2﹣5x2+0x﹣5 ﹣x+1;我挑战:∴x4+x3+ax2+x+b=(x2+x+1)(x2+a﹣1)+(2﹣a)x+b﹣a+1 ∵x4+x3+ax2+x+b能被x2+x+1整除∴(2﹣a)x+b﹣a+1=0∴2﹣a=0且b﹣a+1=0解得a=2 b=1.21.计算:3a3b2÷a2+b•(a2b﹣3ab).试题分析:根据单项式的除法以及单项式乘以多项式进行计算即可.答案详解:解:原式=3ab2+a2b2﹣3ab2=a2b2.22.计算:(2a3•3a﹣2a)÷(﹣2a)试题分析:依据单项式乘单项式法则进行计算然后再依据多项式除以单项式法则计算即可.答案详解:解:原式=(6a4﹣2a)÷(﹣2a)=6a4)÷(﹣2a)﹣2a÷(﹣2a)=﹣3a3+1.八.巧妙比大小---化相同23.阅读下列解题过程试比较2100与375的大小.解:∵2100=(24)25=1625375=(33)25=2725而16<27∴2100<375请根据上述解答过程解答:比较255、344、433的大小.试题分析:根据幂的乘方的逆运算把各数化为指数相同、底数不同的形式再根据底数的大小比较即可.答案详解:解:∵255=3211344=8111433=6411且32<64<81∴255<433<344.24.比较20162017与20172016的大小我们可以采用从“特殊到一般”的思想方法:(1)通过计算比较下列各式中两数的大小:(填“>”、“<”或“=”)①12<21②23<32③34>43④45>54⑤56>65…(2)由(1)可以猜测n n+1与(n+1)n(n为正整数)的大小关系:当n≤2时n n+1<(n+1)n;当n>2时n n+1>(n+1)n;(3)根据上面的猜想则有:20162017>20172016(填“>”、“<”或“=”).试题分析:(1)通过计算可比较大小;(2)观察(1)中的符号归纳n n+1与(n+1)n(n为正整数)的大小关系;(3)由(2)中的规律可直接得到答案;答案详解:解:(1)①∵12=1 21=2∴12<21②∵23=8 32=9∴23<32③∵34=81 43=64∴34>43④∵45=1024 54=625∴45>54⑤∵56=15625 65=7776∴56>65(2)通过观察可以看出;n≤2时n n+1<(n+1)n;n>2时n n+1>(n+1)n;(3)由(2)得到的结论;2016>2∴20162017>20172016.所以答案是:(1)<<>>;≤2 >2;>.25.(1)用“>”、“<”、“=”填空:35<3653<63(2)比较下列各组中三个数的大小并用“<”连接:①41086164②255344433.试题分析:(1)根据底数为大于1的正数时底数相同指数越大幂越大和指数相同时底数越小幂越小填空即可;(2)①先把这3个数化为底数都为2的幂比较大小;②根据(a m)n=a mn(m n是正整数)的逆运算把三个数化为指数相同的数再比较底数的大小即可.答案详解:解:(1)∵3>1∴35<36所以答案是:<;∵1<5<6∴53<63所以答案是:<;(2)①∵410=(42)5=220164=(42)4=21686=218∵220>218>216∴164<86<410;②∵255=(25)11344=(34)11433=(43)11又∵25=32<43=64<34=81∴255<433<344.九.幂的运算的综合提升26.已知5a=2b=10 求1a +1b的值.试题分析:想办法证明ab=a+b即可.答案详解:解:∵5a=2b=10∴(5a)b=10b(2b)a=10a∴5ab=10b2ab=10a∴5ab•2ab=10b•10a∴10ab=10a+b∴ab=a+b∴1a+1b=a+bab=127.已知6x=192 32y=192 则(﹣2017)(x﹣1)(y﹣1)﹣2=−1 2017.试题分析:由6x=192 32y=192 推出6x=192=32×6 32y=192=32×6 推出6x﹣1=32 32y ﹣1=6 可得(6x﹣1)y﹣1=6 推出(x﹣1)(y﹣1)=1 由此即可解决问.答案详解:解:∵6x=192 32y=192∴6x=192=32×6 32y=192=32×6∴6x﹣1=32 32y﹣1=6∴(6x﹣1)y﹣1=6∴(x﹣1)(y﹣1)=1∴(﹣2017)(x﹣1)(y﹣1)﹣2=(﹣2017)﹣1=−1 201728.已知三个互不相等的有理数既可以表示为1 a a+b的形式又可以表示0 bab的形式试求a2n﹣1•a2n(n≥1的整数)的值.试题分析:由于ba 有意义则a≠0 则应有a+b=0 则ba=−1 故只能b=1 a=﹣1了再代入代数式求解.答案详解:解:由题可得:a≠0 a+b=0∴ba=−1 b=1∴a=﹣1又∵2n﹣1为奇数﹣1的奇数次方得﹣1;2n为偶数﹣1的偶数次方得1∴a2n﹣1•a2n=(﹣1)2n﹣1×(﹣1)2n=﹣1×1=﹣1.29.化简与求值:(1)已知3×9m×27m=321求(﹣m2)3÷(m3•m2)m的值.(2)已知10a=5 10b=6 求①102a+103b的值;②102a+3b的值.试题分析:(1)先根据幂的乘方的运算法则求出m的值然后化简(﹣m2)3÷(m3•m2)m并代入求值;(2)根据幂的乘方以及同底数幂的乘法法则求解.答案详解:解:(1)3×9m×27m=3×32m×33m=35m+1=321∴5m+1=21解得:m=4则(﹣m2)3÷(m3•m2)m=﹣m6﹣5m将m=4代入得:原式=﹣46﹣20=﹣4﹣14;(2)①102a+103b=(10a)2+(10b)3=52+63=241;②102a+3b=(10a)2•(10b)3=25×216=5400.。
初二数学上期期末考试试题及答案初二数学知识点总结八年级数学上册期末试题 A卷(共100分)一、选择题:(每小题3分,共30分)1.下列运算中,正确的是A。
9 = ±3B。
-8 = 2C。
(-2)² = 0D。
2¹ = 22.在5,3,-1/5中,无理数是A。
πB。
√5C。
0D。
-1/53.在平面直角坐标系中,点A(2,3)与点B关于x轴对称,则点B的坐标为A。
(3,2)B。
(-2,-3)C。
(-2,3)D。
(2,-3)4.已知方程组,则x+y的值为A。
-1B。
0C。
2D。
35.不等式组的解集为{x|x>1/2},则x的取值范围是A。
x>1B。
x<-1C。
-1<x<1/2D。
x>-26.下列说法中错误的是A。
一个三角形中,一定有一个外角大于其中一个内角B。
一个三角形中,至少有两个锐角C。
一个三角形中,至少有一个角大于60°D。
锐角三角形中,任何两个内角的和均大于90°7.已知是二元一次方程组的解,则a-b的值为A。
1B。
2C。
-1D。
38.△ABC的三边长分别为3,3,√2,则此三角形是A。
等腰三角形B。
等边三角形C。
直角三角形D。
等腰直角三角形9.学校开展为贫困地区捐书活动,以下是六名学生捐书的册数:2,2,2,3,3,6,则这组数据的方差为A。
2B。
2.5C。
3D。
3.510.关于x的一次函数y=kx+k+1的图象可能正确的是A。
B。
C。
D。
二、填空题:(每小题3分,共15分)11.使x-2在实数范围内有意义的x的取值范围是:x>212.将一副三角板如图放置.若AE∥BC,则∠AFD=60°13.已知正比例函数y=kx的图象经过点A(-1,2),则正比例函数的解析式为:y=-2x14.点P(a,a-3)在第四象限,则a的取值范围是:a<315.设f(x)=2x²-3x+1,则f(-1)的值为:6根据提供的函数关系图,解决以下问题:1.由于故障,甲组在途中停留了x小时。
初二下学期数学计算练习题1. 小明在一家商店里购买了一本数学书,原价为98元,商店打折后降价为85元。
请计算小明享受了多少折扣。
解答:商店打折后降价的金额 = 原价 - 打折后价格= 98元 - 85元= 13元小明享受的折扣金额为13元。
2. 一辆汽车每小时的油耗为7升,小明开车连续行驶了4小时。
请计算小明行驶了多少升的汽油。
解答:小明行驶4小时消耗的汽油量 = 7升/小时 × 4小时= 28升小明行驶了28升的汽油。
3. 一条绳子长48米,小明想把这条绳子切成若干段,每段长度相等。
请问小明可以切成几段,每段长度是多少米?解答:小明可以切成的段数 = 48米 ÷段长= 48米 ÷段长段长越大,切成的段数越少;段长越小,切成的段数越多。
4. 一个正方形的周长为36米,请计算这个正方形的边长。
解答:设正方形的边长为x米。
根据正方形的性质,正方形的周长等于4倍的边长:4倍的边长 = 36米边长 = 36米 ÷ 4= 9米这个正方形的边长为9米。
5. 小明去超市买了3斤苹果,每斤苹果的价格为5元,请计算小明购买这些苹果需要支付多少钱。
解答:小明购买苹果需要支付的钱数 = 3斤 × 5元/斤= 15元小明需要支付15元。
6. 小明的电话号码是一个4位数,百位数字是6,千位、十位和个位数字之和为15。
请找出小明的电话号码是多少。
解答:根据题目条件,百位数字是6,千位、十位和个位数字之和为15。
设千位数字为a,十位数字为b,个位数字为c。
根据题意可得:a +b +c = 15百位数字为6,所以小明的电话号码为:6abc将a + b + c = 15代入电话号码中:6 + a + b + c = 15整理方程:a +b +c = 9根据方程,满足条件的可能数字组合为:1 + 3 + 5 = 92 +3 +4 = 9小明的电话号码可能为6135或6234。
这些是初二下学期数学计算练习题的答案,希望能帮助到你!。
八年级下学期数学试题班级:_______姓名:________考号:_________成绩________第I卷(选择题)一、单选题A. C. D.,由下列条件不能判断它是直角三角形的是(A. B. -+15.)6.则等于()A. B. C. D.7.如图,正方形ABCD的边长为4,点E在对角线BD上,且∠BAE=22.5°,EF⊥AB,垂足为F,则EF的长为()A. 1B.C. 4-2D. 3-48.如图,矩形ABCD中,AB=8,BC=4,将矩形沿AC折叠,点D落在点D′处,则重叠部分△AFC的面积为(?)A. 6B. 10C. 8D. 129.如图,已知OP平分∠AOB,∠AOB=60°,CP=2,CP∥OA,PD⊥OA于点D,PE⊥OB于点E.如果点M是OP的中点,则DM的长是(???? )A. 2B.C.D. 210.平行四边形四个内角的角平分线所围成的四边形是()的卷(非选择题)最简二次根式与-+16.如图,正方形ABCD的边长为5,点E在边AB上,且BE=2.若点P在对角线BD上移动,则PA+PE的最小值是__________.17.将五个边长都为2的正方形按如图所示摆放,点A1、A2、A3、A4分别是四个正方形的中心,则图中四块阴影部分的面积的和为______.18.如图,在正方形ABCD中,E是对角线BD上一点,且满足BE=BC.连接CE并延长交AD于点F,连接AE,过B点作BG⊥AE于点G,延长BG交AD于点H.在下列结论中:①AH=DF;②∠AEF=45°;③S四边形EFHG=S△DEF+S△AGH;④△AEF≌△CDE其中正确的结论有?______ (填正确的序号)三、解答题19.计算下列各题(1)(2)20.如图,在平行四边形ABCD中,对角线AC,BD交于点O,经过点O的直线交AB于E,交CD于F.求证:OE=OF.AB = BC,D、E、F分别是BC23.交于=,求24.CP,求25.满足=0,C上一26.已知,在△ABC中,∠BAC=90°,∠ABC=45°,点D为直线BC上一动点(点D不与点B,C重合).以AD为边作正方形ADEF,连接CF.(1)如图1,当点D在线段BC上时.求证:CF+CD=BC;(2)如图2,当点D在线段BC的延长线上时,其他条件不变,请直接写出CF,BC,CD三条线段之间的关系;(3)如图3,当点D在线段BC的反向延长线上时,且点A,F分别在直线BC的两侧,其他条件不变;①请直接写出CF,BC,CD三条线段之间的关系;②若正方形ADEF的边长为2,对角线AE,DF相交于点O,连接OC.求OC的长度.参考答案与解析1.C【解析】分析:根据二次根式有意义的条件,被开方数为非负数,可直接列不等式求解.详解:∵式子有意义详解:根据二次根式的加减,可由与不是同类二次根式,因此不能计算,=,故不正确;故选:B.点睛:此题主要考查了二次根式的化简,关键是灵活利用二次根式的性质对式子变形即可,比较简单,是常考题.3.A【解析】分析:根据直角三角形的概念,角的特点和勾股定理的逆定理逐一判断即可.详解:根据直角三角形的两锐角互余,可知180°×=75°<90°,不是直角三角形,故正确;根据三角形的内角和定理,根据∠A+∠B+∠C=180°,且∠A=∠B+∠C,可得c=x5.B【解析】先根据角平分线及平行四边形的性质得出∠BAE=∠AEB,再由等角对等边得出BE=AB=3,从而求出C=BC-BE=5-3=2.故选:A.点睛:本题主要考查了角平分线、平行四边形的性质及等腰三角形的判定,根据已知得出∠BAE=∠AEB是解决问题的关键.6.C【解析】试题解析:∵四边形MBND是菱形,∴MD=MB.x=yMD=MB=2x-y=y∴.故选C.∵∠BAE=22.5°,∴∠DAE=90°-∠BAE=90°-22.5°=67.5°,在△ADE中,∠AED=180°-45°-67.5°=67.5°,∴∠DAE=∠AED,∴AD=DE=4,∵正方形的边长为4,∴BD=4,∴BE=BD-DE=4-4,∵EF⊥AB,∠ABD=45°,∴△BEF是等腰直角三角形,BE=4=4-2解之得:x=3,∴AF=AB-FB=8-3=5,∴S△AFC=?AF?BC=10.故选:B.点睛:本题考查了勾股定理的正确运用,本题中设D′F=x,根据直角三角形AFD′中运用勾股定理求x是解题的关键.9.C【解析】试题分析:由OP平分∠AOB,∠AOB=60°,CP=2,CP∥OA,易得△OCPCP=1=∴OP=2PE=2,∵PD⊥OA,点M是OP的中点,∴DM=OP=.故选:C.考点:角平分线的性质;含30度角的直角三角形;直角三角形斜边上的中线;勾股定理.10.B【解析】分析:作出图形,根据平行四边形的邻角互补以及角平分线的定义求出∠AEB=90°,同理可求∠F、∠FGH、∠H都是90°,再根据四个角都是直角的四边形是矩形解答.详解:∵四边形ABCD是平行四边形,ABE=∠BAD+∠【解析】试题分析:在△ABC和△CDE中,EC=AC∠ECD=∠CAB∠ACB=∠CED∴△ABC≌△CDE,∴AB=CD,BC=DE,∴AB2+DE2=DE2+CD2=CE2=3,222∴三角形(2017)是第673个循环组的第一个三角形,直角顶点的横坐标为:12×672=8064,∴三角形(2017)的直角顶点的坐标是(8064,0).故选:C.点睛:本题考查了坐标与图形变化-旋转,仔细观察图形,发现每3个三角形为一个循环组依次循环是解题的关键,也是本题的难点.13.-1【解析】分析:根据同类二次根式的性质,化为最简二次根式后,被开方数相同,可得关于a的方程即可求解.详解:(2-)(2+)=22-()2=4-5=-1故答案为:-1.点睛:此题主要考查了二次根式的运算,关键是观察式子的特点—利用平方差公式计算即可,比较简单.16.【解析】分析:作出点E关于BD的对称点E′交BC于E′,连接AE′与BDAE′=故答案为:.点睛:此题考查了轴对称-最短线路问题,以及正方形的性质,熟练掌握各自的性质是解本题的关键.17.4【解析】分析:连接AP、AN,点A是正方形的对角线的交点,则AP=AN,∠APF=∠ANE=45°,易得PAF≌△NAE,进而可得四边形AENF的面积等于△NAP的面积,同理可得答案.详解:如图,连接AP,AN,点A是正方形的对角线的交则AP=AN,∠APF=∠ANE=45°,,而正方形的面积为故答案为:4.点睛:本题考查旋转的性质.旋转变化前后,对应点到旋转中心的距离相等以及每一对对应点与旋转中心连线所构成的旋转角相等.要注意旋转的三要素:①定点-旋转中心;②旋转方向;③旋转角度.18.①②【解析】分析:?先判断出∠DAE=∠ABH,再判断△ADE≌△CDE得出∠DAE=∠DCE=22.5°,∠ABH=∠DCF,再判断出Rt△ABH≌Rt△DCF从而得到①正确,根据三角形的外角求出∠AEF=45°,得出②正确;连接HE,判断出S△EFH≠S△EFD得出③错误.再根据△AEF最长边AE和△CED的最长边CD不相等,可判断不是全等三角形.在△ADE和△CDE中,∴△ADE≌△CDE,∴∠ABH=∠DCF,在Rt△ABH和Rt△DCF中,∵AH=HE,∴∠DHE=45°,∵∠ADE=45°,∴∠DEH=90°,∠DHE=∠HDE=45°,点睛:此题是四边形综合题,主要考查了正方形的性质,全等三角形的判定和性质,三角形的内角和和三角形外角的性质,解本题的关键是判断出△ADE≌△CDE,难点是作出辅助线.19.(1) 4;(2)+2【解析】分析:(1)根据二次根式的化简、分母有理化、零次幂的性质可求解;(2)根据二次根式的化简、零次幂的性质,绝对值的性质,负整指数幂的性质可求解.详解:(1)=2×+3-1)-1-=+2要熟练掌握,21.-【解析】分析:先算除法,后算减法,分式除以分式,把这个分式的分子分母颠倒,再和这个分式相乘.解析:当时,原式=22.(1)证明见解析;(2)24cm.【解析】试题分析:(1)可根据菱形的定义“一组邻边相等的平行四边形是菱形”,先证明四边形BFED是平行四边形,然后再证明四边形的邻边相等即可.(2)F是AB的中点,有了AB的长也就求出了菱形的边长BF的长,那么菱形BDEFAB【解析】分析:(1)根据矩形的对边平行可得AB∥CD,再根据两直线平行,内错角相等求出∠BAC=∠FCO,然后利用“角角边”证明△AOE和△COF全等,再根据全等三角形的即可得证;(2)连接OB,根据等腰三角形三线合一的性质可得BO⊥EF,再根据矩形的性质可得OA=OB,根据等边对等角的性质可得∠BAC=∠ABO,再根据三角形的内角和定理列式求出∠ABO=30°,即∠BAC=30°,根据直角三角形30°角所对的直角边等于斜边的一半求出AC,再利用勾股定理列式计算即可求出AB.详解:(1)证明:在矩形ABCD中,AB∥CD,∴∠BAC=∠FCO,在△AOE和△COF中,,AC=2BC=2点睛:本题考查了矩形的性质,全等三角形的判定与性质,等腰三角形三线合一的性质,直角三角形30°角所对的直角边等于斜边的一半,综合题,但难度不大,(2)作辅助线并求出∠BAC=30°是解题的关键.24.135°【解析】试题分析:根据同角的余角相等求出∠ACP=∠BCD,再利用“边角边”证明△ACP和△BCD全等,判断出△PCD是等腰直角三角形,再根据全等三角形对应边相等可得AP=BD,然后利用勾股定理逆定理判断出△BPD是直角三角形,∠BPD=90°,再根据∠BPC=∠BPD+∠CPD代入数据计算即可得解.试题解析:解:连接BD.【解析】分析:(1)根据非负数的性质即可求得a、b的值,从而得到△AOB是等腰直角三角形,据此可求;(2)根据等腰直角三角形的性质以及三角形的外角的性质可以得到∠POC=∠DPE,即可得证△POC≌△DPE,则OC=PE,OC的长度可根据等腰直角三角形的性质可求;(3)利用等腰三角形的性质,以及外角的性质,证得∠POC=∠DPE,即可得到△POC≌△DPE,根据全等三角形的对应边相等,即可求得OD的长,从而求得D的坐标.详解:(1)根据题意得:a=b,a-3=0.解得:a=b=3,∴OA=OBPOC≌△DPE. ∴OC=PEOC=AB=3,PDO=∴∠APD=67.5°-45°=22.5°, ∴∠BPO=180°-∠OPD-∠APD=112.5°∴∠PDA=∠BPO∴在△POB和△DPA中,∴△POB≌△DPA(AAS)PA=OB= 3,,DA=PB= 6-3∴ OD=OA-DA=3-(6-3)=6-6∴ D(6-6,0)点睛:此题属于一次函数的综合题,涉及的知识有:全等三角形的判定与性质,中,∴△BAD ≌ △CA∵BD+CD=BC,∴CF+CD=BC;(3)、①CD-CF =BC.②∵∠BAC=90°,∠ABC=45°,∴∠ACB=∠ABC=45°,∴AB=AC,∵四边形ADEF是正方形,∴AD=AF,∠DAF=90°,∵∠BAD=90°-∠BAF,∠CAF=90°-∠BAF,∴∠BAD=∠CAF,则在△BAD和△CAF中,∴△BAD ≌ △CAF(SAS),∴∠ABD=∠ACF,∵∠ABC=45°,∠ABD=135°,∴∠ACF=∠ABD=135°,∴∠FCD=90°,∴△FCD是直角三角形.∵正方形ADEF的边长为且对角线AE、DF相交于点O,。
2019-2020学年八年级数学上册《整式》计算题练习100道 新人教版2、332()()a a a --??3、2323()()a a a -?4、 223()x 轾--犏臌5、3231()4x y z -6、32()()()x y x y y x ---7、53143()()n n a aa a --?-?8、2333211()()23xy x y -+10、(-0.25)11×22211、263373()()(2)x x x -12、433111()()()a a a ?-13、232(2)(2)n ?-14、33612(0.25)0.1252(2)-创?15、3312()()n x y xy+--16、5524226()()()()()x x x x x x -----17、232323(3)()x y x y ---18、32322()()(3)a b a b 轾---犏臌19、32008200910010010.25(4)8()2轾犏?--犏臌20、122()()m m m a aa +--21、3233633(4)(3)2(2)x x x x x -+---22、234342343()()()x y x y x y 轾---犏臌23、4354832263()2()5()x y xy x y x y x y -+24、已知 27927813n n n 鬃=,求n 的值25、已知23,24n m ==,求2312m n ++值26、已知36,92m n ==,求2413m n -+值27、(3x+10)(x+2)28、(4y -1)(y -5)29、(2x -521)()252y x y +30、()()()x y z y z x z x y ---+-21、232(4)122()43b a ab a a b b 轾犏----+犏臌32、若m 为正整数,且x 2m =3,求:(3x 3m )2-13(x 2)2m 的值33、532()()a a a -??34、21512525n m m -赘35、2(x -8)(x -5)-(2x -1)(x+2)36、2322(43)3(46)m m m m m m +--+-37、()04331113()()()333----+-?-38、若3918()n m x y y x y =,求: 值222223(2)mn m m n mn 轾---犏臌40、(35)(106)x y y x --41、20092008(2)(2)-+-42、3373(2)(2)x y x y 轾-?-犏臌43、22232(3)42(32)x x x x x 轾---犏臌44、化简求值:其中14,22x y =-= 2(2)()(2)2(3)()x y x y x y x y x y -+-----45、2(1)x y --46、(32)(23)x y y x --48、30131241()()()()3352----?+-?49、23021771()()(1.92)()(3)993----?---?50、化简求值:其中214x y =- 32431(1)2()22(1)2xy x x y x y x y x 轾犏---??犏臌51、22222()()()a b a b a b -++52、22()()4a b a b ab 轾+--?犏臌53、222()()()a b a b ab -+?54、2222()()()()x y x y x y y x +-----+-55、22(23)(23)(23)(23)a b a b a b a b --+-++56、化简求值:其中1x =-(21)(1)2(3)(4)x x x x +----57、(32)(32)m n m n -+58、(3)(3)a b b a -++59、4422()()()x y xy x y -??60、33()()a b a b a b 轾+--?犏臌61、1212()()m n m n ab a b -+-++-62、化简求值:其中1,13x y == 222()()3()()4x x y y x x y y x y 轾轾-+----+犏犏臌臌63、(26)(3)y y +-64、(0.5)(0.5)xy xy -+--65、3(2)(1)2(5)(3)x x x x -+---66、22222(3)(3)(9)x y x y x y +-+67、2222111()()(2)222y x y x x y 轾犏-++?犏臌68、42(1)(1)(1)(1)x x x x +--++69、已知()211x x +-=,求x 的值。
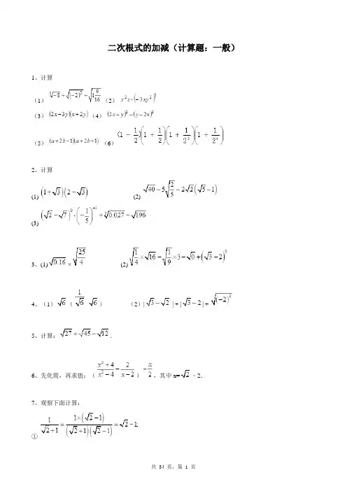
二次根式的加减(计算题:一般)1、计算(1)(2)(3)(4)(5)(6)2、计算(1) (2)(3)3、(1)× (2)4、(1)(-)(2)| | + || +5、计算:.6、先化简,再求值:(),其中x=﹣2.7、观察下面计算:①②;③④.求:(1)直接写出(n为正整数)的值;(2)利用上面所揭示的规律计算:.8、已知x= (+),y= (-),求下列各式的值:(1)x2-xy+y2;(2)+.9、(1)(2)(3)(4)÷10、化简:(1) (2)11、计算:.12、计算:(1)(2).13、14、先化简,再求值:,其中,.15、16、计算: +(﹣1)+()0.17、计算:.18、化简:(4﹣6)÷﹣(+)(﹣)19、计算﹣(﹣2)0﹣|﹣|+2﹣1.20、已知x=3+2,y=3﹣2,求下列各式的值:(1)x2y+xy2;(2).21、计算:.22、计算:.23、计算:(1);(2);(3).24、先化简,后计算:,其中,.25、(1)计算:(2)先化简,再求值:,其中.26、阅读下面计算过程:试求:(1)=__________;(2)(为正整数)=_______________;(3)的值.27、计算:4cos30°﹣|﹣2|+()0﹣+(﹣)﹣2.28、计算:()﹣2﹣()0+2sin30°+|﹣3|.29、计算:()﹣1+16÷(﹣2)3+(2016﹣)0﹣tan60°.30、计算:31、计算:32、计算题(1)(2)(3)2022+202×196+982(4)33、计算(1)(2)34、计算(1)+(﹣1)2016﹣(2)(a4)3•(a2)3÷(a4)2(3)(2x2y﹣x3y2﹣xy3)÷(﹣xy)(4)9(x+2)(x﹣2)﹣(3x﹣1)2(5)[(x﹣2y)2+(x﹣2y)(x+2y)﹣2x(2x﹣y)]÷2x.35、计算:.36、计算:37、计算:38、计算:()﹣1﹣(﹣1)0+|﹣3|﹣2sin60°.39、(2016•海南模拟)计算:(1)9×+﹣;(2).40、计算:(1﹣)0+(﹣1)2016﹣tan30°+()﹣2.41、计算:(﹣3)2+()0﹣+2﹣1+•tan30°.42、计算:|﹣|﹣2cos45°+(2016﹣π)0﹣.43、计算:.44、计算: +(﹣)﹣1+(2016﹣π)0+|﹣2|45、计算:|﹣2|+(π﹣1)0×(﹣1)2012+()﹣3.46、计算:47、计算:﹣2sin30°+(﹣)﹣1﹣3tan60°+(1﹣)0+.48、计算:.49、计算(1)(2)50、计算:﹣12+(﹣2)3×﹣×|﹣|+2÷()2.51、(1)计算:(2)化简:.52、求下列各式的值:(1) (2)-+53、计算:54、计算(1)(2)(-3a3)2·a3+(-a)2·a7-(5a3)3(3)(3x+2)2-(3x-2)2+(3x+2)(3x-2)55、计算:56、阅读下列材料,然后回答问题.在进行二次根式的化简与运算时,我们有时会碰上如,,一样的式子,其实我们还可以将其进一步化简:==;(一)=(二)==(三)以上这种化简的步骤叫做分母有理化.还可以用以下方法化简:=(四)(1)请用不同的方法化简.①参照(三)式得= = = ;②参照(四)式得= = = ;(2)化简:.57、计算①+3—5②58、(1)计算:+-;(2)化简:59、60、61、计算:(π﹣3)0+|﹣2|﹣÷+(﹣1)﹣1.62、计算:3+(﹣2)3﹣(π﹣3)0.63、(1)计算:()﹣1﹣﹣()0+|﹣1|(2)先化简,再求值:(x+2)(x﹣2)﹣(x﹣1)2,其中x=﹣.64、(1)计算:;(2)化简:2a(2a﹣3b)﹣(2a﹣3b)2.65、计算(1)(2)66、计算:(1);(2)。
⼋年级数学竞赛例题专题讲解5:和差化积--因式分解的应⽤初⼆数学试题试卷专题05 和差化积——因式分解的应⽤阅读与思考:因式分解是代数变形的有⼒⼯具,在以后的学习中,因式分解是学习分式、⼀元⼆次⽅程等知识的基础,其应⽤主要体现在以下⼏个⽅⾯:1.复杂的数值计算; 2.代数式的化简与求值; 3.简单的不定⽅程(组); 4.代数等式的证明等.有些多项式分解因式后的结果在解题中经常⽤到,我们应熟悉这些结果: 1. 4224(22)(22)xx x x x +=++-+;2. 42241(221)(221)xx x x x +=++-+;3. 1(1)(1)ab a b a b ±±+=±±;4.1(1)(1)ab a b a b ±-=± ;5. 3332223()()ab c abc a b c a b c ab bc ac ++-=++++---.例题与求解【例1】已知0≠ab ,2220aab b +-=,那么22a ba b-+的值为___________ .(全国初中数学联赛试题)解题思路:对已知等式通过因式分解变形,寻求a ,b 之间的关系,代⼊关系求值.【例2】a ,b ,c 是正整数,a >b ,且27a ab ac bc --+=,则a c -等于( ).A . -1B .-1或-7C .1 D.1或7(江苏省竞赛试题)解题思路:运⽤因式分解,从变形条件等式⼊⼿,在字母允许的范围内,把⼀个代数式变换成另⼀个与它恒等的代数式称代数式的恒等变形,它是研究代数式、⽅程和函数的重要⼯具,换元、待定系数、配⽅、因式分解⼜是恒等变形的有⼒⼯具.求代数式的值的基本⽅法有; (1)代⼊字母的值求值; (2)代⼊字母间的关系求值; (3)整体代⼊求值.【例3】计算:(1) 32321997219971995199719971998--+- (“希望杯”邀请赛试题)(2)444444444411111(2)(4)(6)(8)(10)4444411111(1)(3)(5)(7)(9)44444++++++++++ (江苏省竞赛试题)解题思路:直接计算,则必然繁难,对于(1),不妨⽤字母表⽰数,通过对分⼦、分母分解因式来探求解题思路;对于(2),可以先研究41()4x +的规律.【例4】求下列⽅程的整数解.(1)64970xy x y +--=; (上海市竞赛试题)(2)222522007x xy y ++=. (四川省竞赛试题)解题思路:不定⽅程、⽅程组没有固定的解法,需具体问题具体分析,观察⽅程、⽅程组的特点,利⽤整数解这个特殊条件,从分解因式⼊⼿.解不定⽅程的常⽤⽅法有:(1)穷举法; (2)配⽅法; (3)分解法; (4)分离参数法.⽤这些⽅程解题时,都要灵活地运⽤质数合数、奇数偶数、整除等与整数相关的知识.【例5】已知3a b +=,2ab =,求下列各式的值: (1) 22a b ab +; (2) 22a b +; (3)2211a b+.解题思路:先分解因式再代⼊求值.【例6】⼀个⾃然数a 恰等于另⼀个⾃然数b 的⽴⽅,则称⾃然数a 为完全⽴⽅数,如27=33,27就是⼀个完全⽴⽅数.若a =19951993×199519953-19951994×199519923,求证:a 是⼀个完全⽴⽅数.(北京市竞赛试题)解题思路:⽤字母表⽰数,将a 分解为完全⽴⽅式的形式即可.能⼒训练A 级1. 如图,有三种卡⽚,其中边长为a 的正⽅形卡⽚1张,边长分别为a ,b 的长⽅形卡⽚6张,边长为b 的正⽅形卡⽚9张,⽤这16张卡⽚拼成⼀个正⽅形,则这个正⽅形的边长为 ________.(烟台市初中考试题)babbaa2.已知223,4x y x y xy +=+-=,则4433x y x y xy +++的值为__________.(江苏省竞赛试题)3.⽅程25510x xy x y --+-=的整数解是__________.(“希望杯”邀请赛试题)4. 如果2(1)1x m x -++是完全平⽅式,那么m 的值为__________.(海南省竞赛试题)5. 已知22230xxy y -+=(0≠xy ),则x yy x+的值是( ). A .2,122 B .2 C .122 D .12,22-- 6.当1x y -=,43322433xxy x y x y xy y ---++的值为( ).A . -1B .0C .2D .17.已知a b c >>,22222M a b b c c a N ab bc ca =++=++,,则M 与N 的⼤⼩关系是( ).A . M <NB .M >NC .M =ND .不能确定(“希望杯”邀请赛试题)8.n 为某⼀⾃然数,代⼊代数式3n n -中计算其值时,四个同学算出如下四个结果,其中正确的结果只能是( ).A . 388944B .388945C .388954D .388948(五城市联赛试题)9.计算:(1) 3331999100099919991000999--?? (北京市竞赛试题)(2) 333322223111122222311111++ (安徽省竞赛试题)10. ⼀个⾃然数a 恰好等于另⼀个⾃然数b 的平⽅,则称⾃然数a 为完全平⽅数,如64=82,64就是⼀个完全平⽅数,若a =19982+19982×19992+19992,求证:a 是⼀个完全平⽅数.(北京市竞赛试题)11.已知四个实数a ,b ,c ,d ,且a b ≠,c d ≠,若四个关系式224,b 4a ac bc +=+=,82=+ac c ,28d ad +=,同时成⽴.(1)求a c +的值;(2)分别求a ,b ,c ,d 的值.(湖州市竞赛试题)B 级1.已知n 是正整数,且4216100n n -+是质数,那么n ____________ .(“希望杯”邀请赛试题)2.已知三个质数,,m n p 的乘积等于这三个质数的和的5倍,则2n p ++=________ .(“希望杯”邀请赛试题)3.已知正数a ,b ,c 满⾜3ab a b bc b c ac c a ++=++=++=,则(1)(1)(1)a b c +++=_________ . (北京市竞赛试题)4.在⽇常⽣活中如取款、上⽹等都需要密码,有⼀种⽤“因式分解”法产⽣的密码,⽅便记忆.原理是:如对于多项式4 4xy -,因式分解的结果是22()()()x y x y x y -++,若取x =9,y=9时,则各个因式的值是:22()0,()18,()162x y x y x y -=+=+=,于是就可以把“018162”作为⼀个六位数的密码,对于多项式324x xy -,取x =10,y =10时,⽤上述⽅法产⽣的密码是:__________.(写出⼀个即可).(浙江省中考试题)5.已知a ,b ,c 是⼀个三⾓形的三边,则444222222222a b c a b b c c a ++---的值( ).A .恒正B .恒负C .可正可负D .⾮负(太原市竞赛试题)6.若x 是⾃然数,设4322221y x x x x =++++,则( ).A . y ⼀定是完全平⽅数B .存在有限个x ,使y 是完全平⽅数C . y ⼀定不是完全平⽅数D .存在⽆限多个x ,使y 是完全平⽅数7.⽅程2223298xxy x --=的正整数解有( )组.A .3B .2C .1D .0 (“五⽺杯”竞赛试题)8.⽅程24xy x y -+=的整数解有( )组.B .4C .6D .8(”希望杯”邀请赛试题)9.设N =695+5×694+10×693+10×692+5×69+1.试问有多少个正整数是N 的因数?(美国中学⽣数学竞赛试题)10.当我们看到下⾯这个数学算式333337133713503724372461++==++时,⼤概会觉得算题的⼈⽤错了运算法则吧,因为我们知道3333a b a bc d c d++≠++.但是,如果你动⼿计算⼀下,就会发现上式并没有错,不仅如此,我们还可以写出任意多个这种算式:333331313232++=++,333352525353++=++,333373737474++=++,3333107107103103++=++,…你能发现以上等式的规律吗?11.按下⾯规则扩充新数:已有a ,b 两数,可按规则c ab a b =++扩充⼀个新数,⽽以a ,b ,c 三个数中任取两数,按规则⼜可扩充⼀个新数,…每扩充⼀个新数叫做⼀次操作. 现有数1和4,求:(1) 按上述规则操作三次得到扩充的最⼤新数;(2) 能否通过上述规则扩充得到新数1999,并说明理由.(重庆市竞赛试题)12.设k ,a ,b 为正整数.k 被22,ab 整除所得的商分别为m ,16+m .(1)若a ,b 互质,证明22a b -与22,a b 互质;(2)当a ,b 互质时.求k 的值;( 3)若a ,b 的最⼤公约数为5,求k 的值.(江苏省竞赛试题)。
乘法公式(计算题)1、运用公式进行简便计算:(1)1982;(2)103×97.2、(7分)计算:(2﹣1)2﹣( +)(﹣).3、已知2a=5,2b=3,求2a+b+3的值.4、某同学在计算3(4+1)(+1)时,把3写成(4﹣1)后,发现可以连续运用两数和乘以这两数差公式计算:3(4+1)(+1)=(4﹣1)(4+1)(+1)=(﹣1)(+1)=﹣1=255.请借鉴该同学的经验,计算:.5、用乘法公式计算:(1)20152-2014×2016(2)19826、(2+3)2﹣(2﹣3)2.7、(12分)计算(1)运用乘法公式简便运算:98×102(2)8、(1)计算:|1﹣|++(﹣2)0;(2)化简:(a2b﹣2ab2﹣b3)÷b﹣(a﹣b)2.9、(1)计算:()0 -()-2 +sin 30°(2)化简:10、计算:11、化简:(a+b)(a﹣b)+2b2.12、13、(1)化简:(a+b)2+(a﹣b)(a+b)﹣2ab;14、(1)计算:= .(2)化简分式(﹣)÷(﹣1),然后选一个你喜欢的实数代入求值.15、利用乘法公式计算:(1)(2)2011×2013-2012216、计算:(1)(﹣2a)•(﹣a+3);(2)(x+3)(x+4)﹣;(3)(x+3)(x﹣3)(﹣9);(4).17、计算:(1)(2)18、先化简,再求值:(a+3)2+a(2﹣a),其中a=.19、20、计算:(x﹣7)(x+3)﹣x(x﹣2).21、计算:22、用乘法公式计算:23、下列计算中错误的是 ( )A.B.C.D.24、(a+b-c)225、26、利用乘法公式计算下列各题:①10.3×9.7 ②998227、化简并求值:4(x+1)2﹣(2x+3)(2x﹣3),其中x=﹣1.28、(1)计算:()-3-(-1)2016+((2)先化简,再求值:(3-4y)(3+4y)+(3+4y)2,其中y=-0.529、先化简,再求值.(a+b)(a﹣b)+(a+b)2﹣2a2,其中ab=﹣1.30、已知x﹣y=,求代数式(x+1)2﹣2x+y(y﹣2x)的值.31、计算题(1)103×97(2)(2a﹣b)2+2a(2b﹣a)(3)(3﹣1﹣1)0﹣2﹣3+(﹣3)2﹣()﹣1(4)[(x+y)2﹣(x﹣y)2]÷(2xy)32、先化简,再求值:(2a+b)2+5a(a+b)﹣(3a﹣b)2,其中a=3,b=﹣.33、计算(1)|﹣2|﹣(2﹣π)0++(﹣2)3(2)(﹣2x3)2•(﹣x2)÷[(﹣x)2]3(3)(x+y)2(x﹣y)2(4)(x﹣2y+3z)(x+2y﹣3z)34、先化简,再求值:,其中35、计算:(1)(2)(3)(4)(5)(-2)3-(-)·(3)2(6)(7)(a+3b-2c)(a-3b-2c)(8)(x-2y)(x+2y)(x2-4y2);36、计算(1)(2)(3)(4)37、计算(1)(2)(-2x)2•(x2)3•(-x)2(3)(x-1)(x+2)-3x(x+3)(4)(x-y)2-(x-2y)(x+2y)38、计算(1)(2)(3)(2x-1)(x-3)(4)(5)39、计算: (1)-2-3+8-1×(-1)3×(-)-2×70.(2) x(x+1)-(x-1)(x+1).40、计算:41、计算:(1)(x3y)2×2xy2(2)(3x+2y)(3x﹣2y)﹣(x﹣y)(3x+4y)42、利用整式的乘法公式计算:①1999×2001②992﹣1.43、计算:(2m+n﹣p)(2m﹣n+p)44、利用整式的乘法公式计算:①1999×2001②992﹣1.45、(2015秋•禹州市期末)计算:(1)999×1001(2)2015+20152﹣2015×2016(3)[a2+b2+2b(a﹣b)﹣(a﹣b)2]÷4b.46、(2015秋•惠山区期末)计算:(1)(﹣)2+|﹣2|﹣(﹣2)0;(2)(x+2)2﹣2(x+2).47、(2015秋•万州区校级月考)阅读下列材料,完成后面问题某同学在计算3(4+1)(42+1)时,把3写成4﹣1后,发现可以连续运用平方差公式计算:3(4+1)(42+1)=(4﹣1)(4+1)(42+1)=(42﹣1)(42+1)=162﹣1=255.请借鉴该同学的经验,计算:(2+1)(22+1)(24+1)(28+1)48、计算(1)(2)(3)(4)49、计算:(1)(2+1)(22+1)(24+1)+1(2)(3)解方程:(4)解方程:50、化简并求值:,其中.51、化简求值:(8分),其中,.52、计算(每小题3分,共12分)(1)(2)(3)(-a+3b)2-(a-3b)(-a-3b)(4)(用简便方法)53、计算(每题4分,共16分)(1)a3b2c÷a2b(2)(3)(-4x-3y)2(4)54、(16分)计算:(1)4﹣8×(﹣)3(2)﹣5(x2﹣3)﹣2(3x2+5)(3)﹣12011+4×(﹣3)2÷(﹣2)(4)4a2+2(3ab﹣2a2)﹣(7ab﹣1)55、(本题满分8分)计算:(1);(2)a(a-3)-(1-a)(1+a).56、计算:(1)+(-2)3 -()-2(2)57、(本题8分)(1)计算:(2)+(x-2)(x+2)-4x(x-)58、简便运算:-2018×201059、60、运用公式进行简便计算(每题3分共6分)(1);(2).61、计算(每题4分共24分)(1);(2);(3)-22+(-)-2-(π-5)0-|-4| ;(4);(5);(6).62、计算:(每小题5分,共10分)(1)、(2)、[]63、64、计算.(每题4分,共8分)(1)(2)65、计算:(每小题6分,共12分)(1)(2)66、若,求的值.67、计算:(1)-2-(-)0+2sin60°-|-3|;(2)(x+1)2-(x+2)(x-2)参考答案1、(1)39204;(2)9991.2、11﹣4.3、120.4、2.5、(1)1;(2)39204.6、24.7、9996;8、(1) 3;(2)﹣2b2.9、(1)-;(2)a2+2b2.10、-4xy11、原式=a2﹣b2+2b2=a2+b2.12、解:原式=4x2+4xy+y2-(4x2-9y2)=4x2+4xy+y2-4x2+9y2=4xy+10y213、14、(1)2;(2)1.15、(1);(2)-1.16、(1);(2)9x+11;(3);(4).17、(1)、8;(2)、18、5.19、 4x+520、﹣2x﹣2121、8x+29.22、9960.0423、B24、a2+b2+c2+2ab-2ac-2bc25、x2-4xy+4y2-126、(1)、99.91;(2)、99600427、化简结果:8x+13,值为5.28、(1)8;(2)18+24y;6.29、﹣230、4.31、(1)9991,(2)2a2十b2,(3)5,(4)232、﹣30.33、(1)﹣4;(2)﹣4x2;(3)x4﹣2x2y2+y4;(4)﹣x2﹣4y2+12yz﹣9z2.34、335、(1)7;(2)-2n+2+1;(3)4x+5;(4)2m-1;(5);(6)-12;(7);(8)36、(1)、42;(2)、4;(3)、;(4)、37、(1) -4;(2) 4x10;(3) -2x2-8x-2;(4) -2xy+5y2.38、(1)-5;(2) a3;(3)2x2-7x+3;(4)(9x2-4y2)2;(5)x2-4xy+4y2-1639、(1)-.(2)x+1.40、8x+2941、(1)2x7y4(2)6x2﹣xy42、①3999999②980043、4m2﹣n2+2np﹣p244、①3999999;②9800.45、(1)999999;(2)0;(3)a﹣46、(1)4;(2)x2+2x.47、216﹣1.48、(1);(2);(3);(4).49、(1)256;(2)1;(3)无解.(3)x=50、37.51、,16.52、;2;2-6ab;1.53、(1);(2);(3);(4).54、(1)5;(2)﹣11x2+5;(3)-19;(4)﹣ab+1.55、(1)+2;(2)2a2-3a-1.56、(1)-14;(2)2x-5.57、5-3;-2x-3.58、1659、6x+760、(1)39204;(2)9991.61、(1)﹣7a3b6;(2)(b-a)4;(3)﹣5 ;(4)x2-y2-9+6y;(5)-18x2y2+ 6xy2+9y3;(6)-8y2+ 4xy.62、(1)、6;(2)、2x-5y.63、64、(1)2xy-2 (2)4xy+1065、(1);(2).66、867、(1);【解析】1、试题分析:(1)原式变形后,利用完全平方公式计算即可得到结果;(2)原式变形后,利用平方差公式计算即可得到结果.试题解析:(1)原式=(200-2)2=2002-2×200×2+22=40000-800+4=39204;(2)原式=(100+3)×(100-3)=1002-32=10000-9=9991.考点:1.平方差公式;2.完全平方公式.2、试题分析:先进行二次根式的乘法运算,然后化简合并.试题解析:解:原式=13﹣4﹣(2+2)(﹣)=13﹣4﹣2=11﹣4.考点:二次根式的混合运算.3、试题分析:直接利用同底数幂的乘法运算法则求出即可.试题解析:2a+b+3=2a•2b•23=5×3×8=120.考点:同底数幂的乘法.4、试题分析:原式变形后,利用平方差公式计算即可得到结果.试题解析:原式===2.考点:平方差公式.5、试题分析:(1)运用平方差公式进行计算即可得到答案;(2)运用完全平方公式求解.试题解析:(1)20152-2014×2016=20152-(2015-1)×(2015+1)=20152-20152+1=1;(2)1982=(200-2)2=2002-2×200×2+22=40000-800+4=39204.考点:1.平方差公式;2.完全平方公式.6、试题分析:先利用平方差公式计算得到原式=(2+3+2﹣3)(2+3﹣2+3),然后把括号内合并后进行二次根式的乘法运算.试题解析:原式=(2+3+2﹣3)(2+3﹣2+3)=4•6=24.考点:二次根式的混合运算.7、试题分析:利用平方差公式计算即可;先算0指数幂,负指数幂,以及积的乘方计算,再算加法.试题解析:(1)98×102=(100﹣2)×(100+2)=10000﹣4=9996;(2)原式=+1+1=.考点:整式的混合运算;零指数幂;负整数指数幂.8、试题分析:(1)原式第一项利用绝对值的代数意义化简,第二项化为最简二次根式,第三项利用零指数幂法计算即可得到结果;(2)原式第一项利用多项式除以单项式法则计算,第二项利用完全平方公式化简,去括号合并即可得到结果.试题解析:解:(1)原式=﹣1+2+1=3;(2)原式=a2﹣2ab﹣b2﹣a2+2ab﹣b2=﹣2b2.点评:此题考查了整式的混合运算,以及实数的运算,熟练掌握运算法则是解本题的关键.考点:整式的混合运算;实数的运算;零指数幂.9、试题分析:(1)先计算0指数幂、负指数幂、三角函数,然后按顺序计算即可;(2)先进行完全平方公式、单项式与多项式乘法的运算,然后再合并同类项即可;试题解析:(1)原式=;(2)原式=a2-2ab+b2+2ab+b2=a2+2b2;考点:1.实数的运算;2.整式的运算.10、试题分析:首先根据多项式的乘法法则将括号去掉,然后进行合并同类项计算.试题解析:原式=-4-4xy+4=-4xy.考点:多项式的乘法计算.11、试题分析:应用平方差公式化简后,找到多项式中的同类项,合并同类项即可.考点:平方差公式、整式加减点评:该题考查了平方差公式化简整式乘法,注意符合平方差公式中的两项为两个数的和与两个数的差的乘积.12、试题分析:根据平方差公式和完全平方公式分别进行计算,再把所得的结果合并即可.考点:整式的混合运算点评:此题考查了整式的混合运算,熟练掌握运算法则是解本题的关键.13、试题解析:解:==考点:整式的混合运算点评:本题主要考查了整式的混合运算.首先利用完全平方公式和平方差公式把整式中的各部分展开,然后再合并同类项.14、试题分析:(1)分别进行负整数指数幂、零指数幂、特殊角的三角函数值、二次根式的化简等运算,然后按照实数的运算法则计算即可.(2)原式括号中两项通分并利用同分母分式的减法法则计算,同时利用除以一个数等于乘以这个数的倒数将除法运算化为乘法运算,约分得到最简结果,将a=1代入计算即可求出值.试题解析:(1)原式=3﹣1﹣4×+=2.(2)原式=[]÷===当a=1时,原式=1.考点:1.实数的运算;2.零指数幂;3.负整数指数幂;4.特殊角的三角函数值.5. 分式的化简求值.15、试题分析:(1)先把原题化为,再根据平方差公式进行计算即可;(2)先把原题化为(2012-1)(2012+1)-20122,再根据平方差公式进行计算即可.试题解析:(1)原式=;(2)原式=(2012-1)(2012+1)-20122=20122-1-20122=-1.考点:平方差公式.16、试题分析:(1)根据单项式乘以多项式的法则进行计算即可;(2)根据多项式乘以多项式的法则进行计算即可;(3)根据平方差公式进行计算即可;(4)根据平方差公式进行计算即可.试题解析:(1)(﹣2a)•(﹣a+3)=;(2)(x+3)(x+4)﹣=+7x+12﹣+2x﹣1=9x+11;(3)(x+3)(x﹣3)(﹣9)==;(4)====.考点:整式的混合运算.17、试题分析:(1)、根据单项式乘以多项式的计算法则得出答案;(2)、根据平方差公式和完全平方公式进行化简计算.试题解析:(1)、原式===(2)、原式=[3a+(b-2)]·[3a-(b-2)]=9-=考点:整式的乘法公式.18、试题分析:原式利用完全平方公式,以及单项式乘以多项式法则计算,去括号合并得到最简结果,把a的值代入计算即可求出值.试题解析:原式=a2+6a+9+2a﹣a2=8a+9,当a=﹣时,原式=﹣4+9=5.【考点】整式的混合运算—化简求值.19、试题分析:首先根据完全平方公式和平方差公式将括号去掉,然后进行合并同类项计算得出答案. 试题解析:原式=+4x+4-+1=4x+5考点:多项式的乘法20、试题分析:原式利用多项式乘以多项式,单项式乘以多项式法则计算即可得到结果.解:原式=x2﹣4x﹣21﹣x2+2x=﹣2x﹣21.点评:此题考查了多项式乘多项式,以及单项式乘多项式,熟练掌握运算法则是解本题的关键.21、试题分析:先运用完全平方公式和平方差公式进行计算后,再合并同类项即可求出答案.试题解析:原式=4(x2+2x+1)-(4x2-25)=4x2+8x+4-4x2+25=8x+29.考点:1,完全平方公式;2.平方差公式.22、试题分析:把99.8写成(100-0.2),然后利用完全平方公式计算即可得解.试题解析:=(100-0.2)2=10000-2×100×0.2+0.04=9960.0423、试题分析:根据多项式的乘法计算法则m(a+b+c)=ma+mb+mc可得:B、原式=.考点:多项式的乘法计算24、试题分析:首先将a+b看做一个整体,然后利用两次完全平方公式进行计算.试题解析:原式==考点:完全平方公式25、试题分析:首先将原式转化成[(x-2y)+1][(x-2y)-1],然后利用完全平方公式和平方差公式进行计算.试题解析:原式=[(x-2y)+1][(x-2y)-1]=.考点:平方差公式26、试题分析:(1)、利用平方差公式进行简便计算;(2)、利用完全平方公式进行计算.试题解析:(1)、原式=(10+0.3)×(10-0.3)=100-0.09=99.91(2)、原式==996004考点:公式法简便计算27、试题分析:先展开完全平方式,再根据平方差公式计算乘法,最后算加减,计算结果要化成最简整式,并把x的值代入进行计算即可.试题解析:先展开完全平方式,再根据平方差公式计算乘法,最后算加减,原式=4(x2+1+2x)﹣(4x2﹣9)=4x2+4+8x﹣4x2+9=8x+13,当x=﹣1时,原式=﹣8+13=5.考点:整式的化简求值.28、试题分析:(1)、首先根据负指数次幂、零次幂和(-1)的偶数次幂的计算法则求出各式的值,然后进行求和;(2)、根据平方差公式和完全平方公式将多项式进行展开,然后进行合并同类型化简,最后将y的值代入化简后的代数式得出答案.试题解析:(1)、原式=8-1+1=8(2)、原式=9-16+9+24y+16=18+24y当y=-0.5时,原式=18+24×(-0.5)=18+(-12)=6.考点:(1)、实数的计算;(2)、多项式的化简求值29、试题分析:按平方差公式和完全平方公式把原式化简,然后把给定的值代入求值.解:原式=a2﹣b2+a2+2ab+b2﹣2a2=2ab当ab=﹣1时,原式=2×(﹣1)=﹣2.点评:考查的是整式的混合运算,主要考查了公式法、单项式与多项式相乘以及合并同类项的知识点.30、试题分析:∵x﹣y=,∴(x+1)2﹣2x+y(y﹣2x)=x2+2x+1﹣2x+y2﹣2xy=x2+y2﹣2xy+1=(x﹣y)2+1=()2+1=3+1=4.考点:整式的化简求值.31、(1)解:原式=(100+3)(100﹣3)=1002﹣32=9991,(2)解:原式=4a2﹣4ab+b2+4ab﹣2a2=2a2十b2,(3)解:原式=1﹣+9﹣4=5,(4)解:原式=(x2+2xy+y2﹣x2+2xy﹣y2)÷(2xy)=(4xy)÷(2xy)=2.32、试题分析:先算乘法,再合并同类项,最后代入求出即可.解:(2a+b)2+5a(a+b)﹣(3a﹣b)2=4a2+4ab+b2+5a2+5ab﹣9a2+6ab﹣b2=15ab,当a=3,b=﹣时,原式=15×3×(﹣)=﹣30.点评:本题考查了整式的混合运算和求值的应用,主要考查学生的化简能力和计算能力,题目比较好,难度适中.33、试题分析:(1)直接利用绝对值以及零指数幂的性质和负整数指数幂分别化简求出答案;(2)直接利用积的乘方运算法则以及结合同底数幂的乘除法运算法则求出答案;(3)直接利用积的乘方运算法则求出答案;(4)直接利用多项式乘法运算法则求出答案.解:(1))|﹣2|﹣(2﹣π)0++(﹣2)3=2﹣1+3﹣8=﹣4;(2)(﹣2x3)2•(﹣x2)÷[(﹣x)2]3=﹣4x8÷x6=﹣4x2;(3)原式=[(x+y)(x﹣y)]2=(x2﹣y2)2=x4﹣2x2y2+y4;(4)(x﹣2y+3z)(x+2y﹣3z)=x2﹣(2y﹣3z)2=﹣x2﹣4y2+12yz﹣9z2.34、试题分析:解题关键是化简,再代入求值试题解析:(x-1)2+x(x+2)=x2-2x+1+x2+2x=2x2+1把x=-1代入,原式=2×(-1)2+1=3.考点:整式的化简求值35、试题分析:(1)根据任何不为零的实数的零次幂为1,求出各式的值,然后进行求和;(2)根据多项式除以单项式的计算法则进行计算;(3)根据完全平方公式和平方差公式将括号去掉,然后进行合并计算;(4)根据平方差公式和多项式乘以多项式的计算法则将括号去掉,然后进行合并计算;(5)根据积的乘方以及同底数幂的计算法则求出各式的值,然后进行求和;(6)首先根据积的乘方法则以及同底数幂的乘除法法则求出各式的值,然后进行求和;(7)利用平方差公式以及完全平方公式进行化简求值;(8)利用平方差公式和完全平方公式进行计算.试题解析:(1)原式=2+4+1=7(2)原式=-2n+2+1(3)原式=+4x+4-+1=4x+5(4)原式=-4-+2m+3=2m-1(5)原式=-8+9=(6)原式==-8+(-4)=-12(7)原式=[(a-2c)+3b][(a-2c)-3b]==(8)原式=()()=考点:(1)多项式乘法的计算;(2)幂的计算.36、试题分析:(1)、根据0次幂以及负指数次幂的计算法则将其求出,然后再进行有理数的加减法计算;(2)、根据同底数幂的乘除法、乘方计算法则进行计算;(3)、利用积的乘方的逆运算以及完全平方公式进行计算;(4)、利用平方差和完全平方公式进行计算.试题解析:(1)、原式=27-1+16=42 (2)、原式=+4-=4(3)、原式==(4)、原式==.考点:(1)、实数的计算;(2)、幂的计算;(3)、多项式的乘法计算.37、试题分析:(1)根据负整数指数幂、零指数幂、绝对值、平方进行计算即可;(2)根据同底数幂的乘法、积的乘方和幂的乘方进行计算即可;(3)根据多项式乘以多项式、单项式乘以多项式进行计算即可;(4)根据完全平方公式和平方差公式进行计算即可.试题解析:(1)=-4+4-1-3=-4;(2)(-2x)2•(x2)3•(-x)2=4x2•x6•x2=4x10;(3)原式=x2+x-2-3x2-9x=-2x2-8x-2;(4)原式=x2-2xy+y2-x2+4y2=-2xy+5y2.考点:整式的混合运算;零指数幂;负整数指数幂.38、试题分析:(1)根据有理数的乘方法则、负整数指数幂的定义和零指数幂的定义计算,再合并即可;(2)根据同底数幂的乘除法法则计算即可;(3)根据多项式与多项式相乘的法则计算,再合并即可;(4)先运用平方差公式计算,再运用完全平方公式计算即可;(5)先运用平方差公式计算,再运用完全平方公式计算即可.试题解析:(1)-22+(-)-1+(3-π)0=-4-2+1=-5;(2)(-a)2•a4÷a3=a2•a4÷a3=a3;(3)(2x-1)(x-3)=2x2-6x-x+3=2x2-7x+3;(4)(3x-2y)2(3x+2y)2=[(3x-2y)(3x+2y)]2=(9x2-4y2)2=81x4-72x2y2+16y4(5)(x-2y+4)(x-2y-4)=(x-2y)2-42=x2-4xy+4y2-16考点:1.整式的混合运算;2.零指数幂;3.负整数指数幂.39、试题分析:(1)先算负整数指数幂、乘方、零指数幂,再计算乘法,最后计算加减法即可求解;(2)先根据单项式乘多项式的计算法则和平方差公式计算,再合并同类项即可得到结果.试题解析:(1)原式=-+×(-1)×4×1=--=-.(2)原式=x2+x-(x2-1)=x2+x-x2+1=x+1.考点:1.整式的混合运算;2.零指数幂;3.负整数指数幂.40、试题分析:根据整式的运算法则进行运算求出结果.试题解析:=8x+29.考点:整式的混合运算.41、试题分析:(1)原式利用幂的乘方与积的乘方运算法则计算,再利用单项式乘以单项式法则计算即可得到结果;(2)原式利用平方差公式,以及多项式乘以多项式法则计算,去括号合并即可得到结果.解:(1)原式=x6y2×2xy2=2x7y4;(2)原式=9x2﹣4y2﹣3x2﹣4xy+3xy+4y2=6x2﹣xy.考点:整式的混合运算.42、试题分析:两式变形后,利用平方差公式计算即可得到结果.解:①原式=(2000﹣1)×(2000+1)=20002﹣1=4000000﹣1=3999999;②原式=(99+1)×(99﹣1)=100×98=9800.考点:平方差公式.43、试题分析:先把原式变形为[2m+(n﹣p)[2m﹣(n+p)],再根据平方差公式展开得到(2m)2﹣(n﹣p)2,然后利用完全平方公式展开得到4m2﹣(n2﹣2np+p2),接着去括号即可.解:原式=[2m+(n﹣p)][2m﹣(n﹣p)]=(2m)2﹣(n﹣p)2=4m2﹣(n2﹣2np+p2)=4m2﹣n2+2np﹣p2.考点:平方差公式;完全平方公式.44、试题分析:两式变形后,利用平方差公式计算即可得到结果.解:①原式=(2000﹣1)×(2000+1)=20002﹣1=4000000﹣1=3999999;②原式=(99+1)×(99﹣1)=100×98=9800.考点:平方差公式.45、试题分析:(1)直接利用平方差公式计算得出答案;(2)首先提取公因式2015,进而计算得出答案;(3)首先去括号,进而合并同类项,再化简求出答案.解:(1)999×1001=(1000﹣1)(1000+1)=1000000﹣1=999999;(2)2015+20152﹣2015×2016=2015×(1+2015﹣2106)=0;(3)[a2+b2+2b(a﹣b)﹣(a﹣b)2]÷4b=(a2+b2+2ab﹣2b2﹣a2﹣b2+2ab)÷4b=(﹣2b2+4ab)÷4b=a﹣.考点:整式的混合运算.46、试题分析:(1)原式第一项进行乘方运算,第二项利用绝对值的代数意义化简,最后一项利用零指数幂法则计算即可得到结果.(2)原式第一项根据乘法公式进行乘方运算,第二项去括号,然后合并同类项即可得到结果.解:(1)(﹣)2+|﹣2|﹣(﹣2)0=3+2﹣1=4.(2)(x+2)2﹣2(x+2)=x2+4x+4﹣2x﹣4=x2+2x.考点:实数的运算;整式的混合运算;零指数幂.47、试题分析:直接利用平方差公式将原式变形分别化简求出答案.解:(2+1)(22+1)(24+1)(28+1)=(2﹣1)(2+1)(22+1)(24+1)(28+1)=(22﹣1)(22+1)(24+1)(28+1)=(24﹣1)(24+1)(28+1)=(28﹣1)(28+1)=216﹣1.考点:平方差公式.48、试题分析:(1)利用乘法公式计算,合并即可得到结果;(2)利用多项式乘以多项式法则计算,去括号合并即可得到结果;(3)先利用平方差公式计算,再利用完全平方公式计算即可;(4)利用乘法公式计算,再去括号合并同类项即可.试题解析:(1)原式===;(2)原式===;(3)原式====;(4)原式===.考点:1.多项式乘多项式;2.单项式乘多项式.49、试题分析:(1)运用平方差公式进行计算即可;(2)变成同分母后,再进行计算即可;(3)(4)按照解分式方程的步骤进行计算即可.试题解析:(1)原式=(2-1)(2+1)(22+1)(24+1)+1=(22-1)(22+1)(24+1)+1=(24-1)(24+1)+1=28-1+1=256.(2)原式=;(3)去分母得:2x=x-5+10移项得:2x-x=-5+10∴x=5经检验:x=5是原方程的增根.故原方程无解.(4)去分母得:2(x-3)+x2=x(x-3)去括号得:2x-6+x2= x2-3x移项得:2x+x2-x2+3x=6合并同类项,得:5x=6系数化为1,得:x=经检验:x=是原方程的解.考点:1.平方差;2.分式的运算;3.解分式方程.50、试题分析:首先对原式进行乘方运算,去括号,合并同类项,然后代入数值计算即可.试题解析:原式===="37"考点:整式的混合运算—化简求值.51、试题分析:先由平方差公式和完全平方公式算乘法,再合并同类项,最后代入求出即可.试题解析:解:原式==;当,时,原式==18-2=16.考点:整式的混合运算—化简求值.52、试题分析:根据二次根式的性质将各式进行化简,然后进行加减法计算;根据完全平方公式和多项式的乘法将各式进行展开,然后进行合并同类项;利用平方差公式进行计算.试题解析:(1)原式=-+2=(2)原式=4+(-2)+=2(3)原式=-6ab+9-(9-)=-6ab+9-9+=2-6ab(4)原式=-(2003-1)×(2003+1)=-(-1)=1.考点:二次根式的计算、多项式的乘法、完全平方公式53、试题分析:(1)根据单项式除以单项式的除法法则计算即可;(2)先根据幂的乘方的运算法则计算后再利用同底数幂的乘法法则计算即可;(3)利用完全平方公式展开即可;(4)先把式子化为后,先利用平方差公式展开后.再利用完全平方公式展开即可.试题解析:解:(1)原式=;(2)原式==;(3)原式=;(4)原式===.考点:整式的乘除运算.54、试题分析:(1)先算乘方,再算乘法,最后算减法;(2)去括号,再合并同类项即可;(3)先算乘方,再算乘除,最后算加法.(4)先去括号,再合并同类项即可;试题解析:(1)原式=4﹣8×(﹣)=4+1=5;(2)原式=﹣5x2+15﹣6x2﹣10=﹣11x2+5;(3)原式=﹣1+4×9÷(﹣2)=﹣1﹣18=﹣19;(4)原式=4a2+6ab﹣4a2﹣7ab+1=﹣ab+1.考点:有理数的混合运算;整式的加减.55、试题分析:(1)根据实数的运算顺序计算,注意sin45°=,任何不等于0的数的0次幂都等于1,()-1==2;(2)根据单项式与多项式相乘,先用单项式乘多项式的每一项,(1-a)(1+a)的计算可运用平方差公式,得1-a2;本题解题的关键是熟练掌握运算法则,计算时还要注意符号的处理.试题解析:(1)-+2sin45°+(3-π)0+()-1原式=a2-3a-(1-a2)=+2(2)a(a-3)-(1-a)(1+a)原式=-1++1+2=2a2-3a-1考点:1.特殊角的三角函数值;2.零指数幂和负整数指数幂;3单项式乘多项式.56、试题分析:(1)根据负整数幂、有理数的乘方、算术平方根的意义进行计算即可;(2)根据平方差和完全平方公式把括号去掉,然后再合并同类项即可.试题解析:(1)原式==3-8-9=-14.(2)原式=x2-4-(x2-2x+1)=x2-4-x2+2x-1=2x-5.考点:1.实数的运算;2.整式的运算.57、试题分析:(1)首先根据负指数次幂和0次幂以及二次根式的化简法则进行化简,然后求和;(2)首先根据法则去括号,然后利用合并同类项进行计算.试题解析:(1)原式=4-3+1=5-3(2)原式=4-4x+1+-4-4+2x=-2x-3.考点:实数的计算、整式的乘法计算.58、试题分析:首先将2018和2010转化成(2014+4)和(2014-4),然后利用平方差公式进行计算.试题解析:原式=-(2014+4)×(2014-4)=-(-16)=16.考点:平方差公式的应用.59、试题分析:先分别按顺序进行完全平方公式、整式乘法的运算,然后再合并同类项即可试题解析:原式=x2+4x+4-(x2-3x+x-3)=x2+4x+4-x2+3x-x+3=6x+7考点:整式的运算60、试题分析:(1)198接近200,所以可以表示为,然后应用完全平方公式进行计算;(2)把103表示为100+3,97表示为100-3,则原式可以表示为,应用平方差公式进行计算.试题解析:解:(1)===39204;(2)===9991.考点:应用乘法公式进行简便计算..61、试题分析:(1)考查了幂的乘方和积的乘方公式;(2)考查了同底数幂的除法公式;(3)考查了实数的运算;(4)通过变形可以应用平方差公式计算;(5)应用乘法分配律展开,然后合并同类项;(6)应用平方差公式和完全平方公式展开,然后合并同类项.试题解析:解:(1)=;(2)=;(3)-22+(-)-2-(π-5)0-|-4|;(4)=;(5);(6).考点:整式的乘法公式;整式的运算;实数的运算.62、试题分析:(1)、根据绝对值、0次幂、负指数次幂以及算术平方根的计算方法将各值求出,然后进行有理数的加减法计算;(2)、首先将中括号里的多项式进行化简,然后根据除法计算公式进行求解.试题解析:(1)、原式=3+4+1-2=6;(2)、原式=()÷4y=÷4y=2x-5y.考点:实数的计算、多项式除以单项式.63、试题解析:解:==.考点:整式的混合运算点评:本题主要考查了整式的混合运算.首先利用完全平方公式和单项式乘以多项式把各部分展开,然后再合并同类项.64、试题分析:(1)首先根据单项式的乘法公式将中括号去掉,然后再利用除法进行计算;(2)根据完全平方公式和平方差公式进行展开,然后再进行合并同类项.试题解析:(1)原式===2xy-2(2)原式==4xy+10.考点:多项式的除法计算、完全平方公式和平方差公式.65、试题分析:(1)先把二次根式进行化简,然后再同类二次根式即可.(2)先根据完全平方公式和平方差公式把括号去掉,再合并即可求出答案.试题解析:(1)原式==;(2)原式==.考点:二次根式的化简.66、试题分析:根据幂的乘方运算的逆运算,可知,,因此,可以根据2x+5y=3可求得结果.试题解析:由得2x+5y=3,所以====8考点:幂的乘方运算的逆运算67、试题分析:(1)先计算负整数指数幂、零次幂、特殊三角函数值、绝对值,再进行加减运算即可;(2)先根据完全平方公式及平方差公式的运算法则把括号展开,再合并同类项即可求解.试题解析:(1)原式=4-1+2×-3=;(2)原式=x2+2x+1-(x2-4)=2x+5考点:1.实数的混合运算;2.完全平方公式;3.平方差公式.。
一、选择题1.下列计算,正确的是( )A . 235+=B . 2323+=C . 8220-=D . 510-=2.二次根式1x -中字母x 的取值可以是( )A .2B .0C .12-D .-13.下列说法错误的个数是( )①所有无限小数都是无理数;②()23-的平方根是3±;③2a a =;④数轴上的点都表示有理数A .1个B .2个C .3个D .4个 4.设a 为3535+--的小数部分,b 为633633+--的小数部分,则21b a-的值为( ) A .621+- B .621-+ C .621-- D .621++5.如图直线a ,b 都与直线m 垂直,垂足分别为M 、N ,MN =1,等腰直角△ABC 的斜边,AB 在直线m 上,AB =2,且点B 位于点M 处,将等腰直角△ABC 沿直线m 向右平移,直到点A 与点N 重合为止,记点B 平移平移的距离为x ,等腰直角△ABC 的边位于直线a ,b 之间部分的长度和为y ,则y 关于x 的函数图象大致为( )A .B .C .D .6.已知a 227122a a -+( )A .0B .3C .3D .97.下列运算中错误的是( )A .235+=B .236⨯=C .822÷=D .2 (3)3-=8.若75与最简二次根式1m +是同类二次根式,则m 的值为( ) A .7 B .11 C .2 D .19.x ≥3是下列哪个二次根式有意义的条件( )A .3x +B .13x -C .13x +D .3x -10.下列运算中正确的是( )A .27?3767=B .()24423233333=== C .3313939=== D .155315151÷⨯=÷=二、填空题11.设四边形ABCD 是边长为1的正方形,以对角线AC 为边作第二个正方形ACEF ,再以对角线AE 为边作第二个正方形AEGH ,如此下去…….⑴记正方形ABCD 的边长为11a =,按上述方法所作的正方形的边长依次为234,,,,n a a a a ,请求出234,,a a a 的值;⑵根据以上规律写出n a 的表达式.12.如果表示a 、b 的实数的点在数轴上的位置如图所示,那么化简|a ﹣b |+2()a b +的结果是_____.13.观察下列等式:第1个等式:a 12112=+, 第2个等式:a 23223=+, 第3个等式:a 332+3,第4个等式:a 42=, … 按上述规律,回答以下问题:(1)请写出第n 个等式:a n =__________.(2)a 1+a 2+a 3+…+a n =_________14.已知aa 3+5a 2﹣4a ﹣6的值为_____.15.+的形式(,,a b c 为正整数),则abc =______.16.化简:17.已知1<x <2,171x x +=-_____. 18.若实数a =,则代数式244a a -+的值为___.19.如果0xy >.20.mn =________.三、解答题21.2-+1 【分析】先根据二次根式的乘除法法则计算乘除法,同时分别化简各加数中的二次根式,最后计算加减法.【详解】2-+=1)2(3+⨯=121. 【点睛】此题考查二次根式的混合运算,二次根式的化简,正确掌握二次根式的化简法则是解题的关键.22.阅读下面问题:阅读理解:==1;==2==-.应用计算:(1(21(n 为正整数)的值.归纳拓展:(3198++【答案】应用计算:(12 归纳拓展:(3)9.【分析】由阅读部分分析发现式子的分子、分母都乘以分母的有理化因式,为此(1分母利用平方差公式计算即可,(2(3)根据分母的特点各项分子分母乘以各分母的有理化因式,分母用公式计算化去分母,分子合并同类项二次根式即可.【详解】(1(2(31+98+,(+98+,++99-,=10-1,=9.【点睛】本题考查二次根式化简求值问题,关键找到各分母的有理化因式,用平方差公式化去分母.23.已知1,2y =. 【答案】1【解析】【分析】根据已知和二次根式的性质求出x 、y 的值,把原式根据二次根式的性质进行化简,把x 、y 的值代入化简后的式子计算即可.【详解】1-8x≥0,x≤18 8x-1≥0,x≥18,∴x=18,y=12,∴原式532-==1222. 【点睛】本题考查的是二次根式的化简求值,把已知条件求出x 、y ,把要求的代数式进行正确变形是解题的关键,注意因式分解在化简中的应用.24.计算(1+(2+-(3)2b ÷ (4)(【答案】(1)234)7. 【分析】 (1)先把各二次根式化为最简二次根式,然后合并即可;(2)先把各二次根式化为最简二次根式,然后合并即可;(3)根据二次根式的乘除法则运算;(4)利用平方差公式计算;【详解】(1+=+22=;(2==;÷(3)2b=2b=;4(4)((22=-=7【点睛】本题考查了二次根式的混合运算:先把各二次根式化为最简二次根式,再进行二次根式的乘除运算,然后合并同类二次根式.也考查了平方差公式.25.观察下列各式:11111=+-=122111=+-=11236111=+-=113412请你根据上面三个等式提供的信息,猜想:(1=_____________(2)请你按照上面每个等式反映的规律,写出用n(n为正整数)表示的等式:______________;(3【答案】(1)1120;(211(1)n n =++;(3)1156,过程见解析 【分析】 (1)仿照已知等式确定出所求即可;(2)归纳总结得到一般性规律,写出即可;(3)原式变形后,仿照上式得出结果即可.【详解】解:(1111114520=+-=; 故答案为:1120;(2111111(1)n n n n =+-=+++;11(1)n n =++;(31156== 【点睛】此题是一个阅读题目,通过阅读找出题目隐含条件.总结:找规律的题,都要通过仔细观察找出和数之间的关系,并用关系式表示出来.26.计算(1(2)(()21-【答案】(1);(2)24+ 【分析】(1)先将各二次根式化为最简二次根式,再进行合并即可得到答案;(2)原式运用平方差公式和完全平方公式把括号展开后,再合并同类二次根式即可得到答案.【详解】解:(1=2+=(2-+=2(2)(()21-=22(181)---=452181--+=24+.【点睛】此题主要考查了二次根式的混合运算,熟练掌握运算法则和运算顺序是解答此题的关键.27.在一个边长为(cm 的正方形的内部挖去一个长为()cm ,cm 的矩形,求剩余部分图形的面积.【答案】【解析】试题分析:用大正方形的面积减去长方形的面积即可求出剩余部分的面积.试题解析:剩余部分的面积为:(2﹣()=()﹣(﹣)=(cm 2).考点:二次根式的应用28.先化简,再求值:2443(1)11m m m m m -+÷----,其中2m =.【答案】22m m-+ 1. 【解析】分析:先根据分式的混合运算顺序和运算法则化简原式,再将m 的值代入计算可得.详解:原式=221m m --()÷(31m -﹣211m m --) =221m m --()÷241m m -- =221m m --()•122m m m --+-()()=﹣22 mm-+=22mm -+当m﹣2时,原式===﹣1+=1.点睛:本题主要考查分式的化简求值,解题的关键是掌握分式的混合运算顺序和运算法则.【参考答案】***试卷处理标记,请不要删除一、选择题1.C解析:C【分析】A、B、C、根据合并同类二次根式的法则即可判定;D、利用根式的运算法则计算即可判定.【详解】解:A、B、D不是同类二次根式,不能合并,故选项不符合题意;C=,故选项正确.故选:C.【点睛】此题主要考查二次根式的运算,应熟练掌握各种运算法则,且准确计算.2.A解析:A【分析】根据二次根式有意义,被开方数非负列出不等式,求解,再依此选择合适的选项.【详解】解:由题意得:x-1≥0解之:x≥1.>.1故选:A.【点睛】本题考查二次根式有意义的条件.理解二次根式有意义,被开方数非负是解题关键.3.C解析:C【分析】根据无理数定义判断①;根据平方根的算法判断②;利用二次根式的性质化简判断③;根据数轴的特点,判断④.【详解】无限不循环小数才是无理数,①错误;=,3的平方根是②正确;3=,③错误;a数轴上的点可以表示所有有理数和无理数,④错误故选:C.【点睛】本题考查无理数的定义、平方根的计算、二次根式的性质以及数轴表示数,紧抓相关定义是解题关键.4.B解析:B【分析】首先分别化简所给的两个二次根式,分别求出a、b对应的小数部分,然后化简、运算、求值,即可解决问题.【详解】∴a,3+33-3=-22=6∴b的小数部分为6-2,∴2121=-=6+2-2-1=6-2+1 b6-22-1a,故选:B.【点睛】该题主要考查了二次根式的化简与求值问题;解题的关键是灵活运用二次根式的运算法则来分析、判断、解答.5.D解析:D【解析】【分析】根据等腰直角△ABC被直线a和b所截的图形分为三种情况讨论:①当0≤x≤1时,y是BM+BD;②当1<x≤2时,y是CP+CQ+MN;当2<x≤3时,y=AN+AF,分别用x表示出这三种情况下y的函数式,然后对照选项进行选择.【详解】①当0≤x≤1时,如图1所示.此时BM=x,则DM=x,在Rt△BMD中,利用勾股定理得BD=2x,所以等腰直角△ABC的边位于直线a,b之间部分的长度和为y=BM+BD=(2+1)x,是一次函数,当x=1时,B点到达N点,y=2+1;②当1<x≤2时,如图2所示,△CPQ是直角三角形,此时y=CP+CQ+MN2+1.即当1<x≤2时,y2+1.③当2<x ≤3时,如图3所示,此时△AFN 是等腰直角三角形,AN =3﹣x ,则AF =2(3﹣x ),y =AN +AF =(﹣1﹣2)x +3+32,是一次函数,当x =3时,y =0.综上所述只有D 答案符合要求.故选:D .【点睛】本题主要考查动点问题的函数图象,解题的方法是动中找静,在不同的情况下找到y 与x 的函数式.6.B 解析:B【解析】227122a a -+=22(69)9a a -++22(3)9a -+,可知当(a ﹣3)2=0,即a=3227122a a -+9故选B .7.A 解析:A【分析】 根据合并同类二次根式的法则对A 进行判断;根据二次根式的乘法法则对B 进行判断;根据二次根式的除法法则对C 进行判断;根据二次根式的性质对D 进行判断.【详解】23 23236=⨯= 828242÷÷===,故此项正确,不符合要求;D. 2 (3=,故此项正确,不符合要求;故选A .【点睛】本题考查了二次根式的计算:先把各二次根式化为最简二次根式,再进行二次根式的乘除运算,然后合并同类二次根式.8.C解析:C【分析】几个二次根式化为最简二次根式后,如果被开方数相同,则这几个二次根式即为同类二次根式.【详解】解=m=7时==,故A 错误;当m=11时==B 错误;当m=1时=故D 错误;当m=2时=故C 正确; 故选择C.【点睛】本题考查了同类二次根式的定义.9.D解析:D【分析】根据二次根式有意义的条件逐项求解即可得答案.【详解】A 、x+3≥0,解得:x≥-3,故此选项错误;B 、x-3>0,解得:x >3,故此选项错误;C 、x+3>0,解得:x >-3,故此选项错误;D 、x-3≥0,解得:x≥3,故此选项正确,故选D .【点睛】本题考查了二次根式和分式有意义的条件,二次根式的被开方数是非负数.分式的分母不能等于0.10.B解析:B【分析】根据二次根式的乘除法则求出每个式子的值,再判断即可.【详解】解: A. 67=⨯==42,故本选项不符合题意;===,故本选项,符合题意;===,故本选项不符合题意;D. ==3,故本选项不符合题意;故选B.【点睛】本题考查二次根式的性质和二次根式的乘除法则,能灵活运用二次根式的乘除法则进行计算是解题关键.二、填空题11.(1)a2=,a3=2,a4=2;(2)an=(n为正整数).【解析】(1)∵四边形ABCD是正方形,∴AB=BC=1,∠B=90°.∴在Rt△ABC中,AC===.同理:AE=2,EH=2,解析:(1)a2,a3=2,a4=;(2)a n n为正整数).【解析】(1)∵四边形ABCD是正方形,∴AB=BC=1,∠B=90°.∴在Rt△ABC中,ACAE=2,EH=,…,即a2a3=2,a4=(2)an n为正整数).12.﹣2b【解析】由题意得:b<a<0,然后可知a-b>0,a+b<0,因此可得|a﹣b|+=a﹣b+[﹣(a+b)]=a﹣b﹣a﹣b=﹣2b.故答案为﹣2b.点睛:本题主要考查了二次根式和绝对解析:﹣2b【解析】由题意得:b<a<0,然后可知a-b>0,a+b<0,因此可得|a﹣=a﹣b+[﹣(a+b)]=a﹣b﹣a﹣b=﹣2b.故答案为﹣2b.点睛:本题主要考查了二次根式和绝对值的性质与化简.特别因为a.b都是数轴上的实数,注意符号的变换.13.【分析】(1)由题意,找出规律,即可得到答案;(2)由题意,通过拆项合并,然后进行计算,即可得到答案.【详解】解:∵第1个等式:a1=,第2个等式:a2=,第3个等式:=1-【分析】(1)由题意,找出规律,即可得到答案;(2)由题意,通过拆项合并,然后进行计算,即可得到答案.【详解】解:∵第1个等式:a 11=,第2个等式:a 2=,第3个等式:a 3,第4个等式:a42=, ……∴第n==(2)123(21)(32)(23)(1)n a a a a n n +++=-+-+-+++-=121n +++=1-;1-.【点睛】本题考查了二次根式的加减混合运算,以及数字规律问题,解题的关键是掌握题目中的规律,从而进行解题14.-4【分析】先将a 进行化简,然后再进一步分组分解代数式,最后代入求得答案即可.解:当a=-=-=-3时,原式=a3+6a2+9a-(a2+6a+9)-7a+3=a(a+3)2-(解析:-4【分析】先将a进行化简,然后再进一步分组分解代数式,最后代入求得答案即可.【详解】-3时,解:当a原式=a3+6a2+9a-(a2+6a+9)-7a+3=a(a+3)2-(a+3)2-7a+3=7a-7-7a+3=-4.故答案为:-4.【点睛】本题综合运用了二次根式的化简,提公因式及完全平方公式法分解因式,熟练掌握分母有理化的方法及因式分解的方法是解题的关键.15.【解析】【分析】根据题意,可得到=,利用平方关系把根号去掉,根据、、的系数相等的关系得到关于a,b,c的三元方程组,解方程组即可.【详解】∵=∴,即.解得.【点睛】本题考查了解析:【解析】【分析】a,b,c的三元方程组,解方程组即可.∴(22118=,即2222118235a b c =+++++. 2222352118,2120,2540,2144,a b c ab ac bc ⎧++=⎪=⎪∴⎨=⎪⎪=⎩ 解得15,4,18.a b c =⎧⎪=⎨⎪=⎩154181080abc ∴=⨯⨯=.【点睛】本题考查了二次根式的加减,解本题的关键是将等式平方去根号,利用等量关系中等式左、.16.【解析】根据二次根式的性质,化简为:-=-=-4;==.故答案为 ; .解析:【解析】根据二次根式的性质,化简为:故答案为;17.-2【详解】∵x+=7,∴x-1+=6,∴(x-1)-2+=4,即 =4,又∵1<x <2,∴=-2,故答案为-2.【点睛】本题主要考查完全平方式的应用以及二次根式的运算,解题的关键是 解析:-2∵x+11x -=7,∴x-1+11x -=6,∴(x-1)-2+11x -=4,即2=4, 又∵1<x <2,∴, 故答案为-2.【点睛】本题主要考查完全平方式的应用以及二次根式的运算,解题的关键是要根据所求的式子对已知的式子进行变形.18.3【解析】∵ =,∴=(a-2)2==3,故答案为3.解析:3【解析】∵a = ∴244a a -+=(a-2)2=()222+=3, 故答案为3.19.【分析】由,且,即知,,据此根据二次根式的性质化简可得.【详解】∵,且,即,∴,,∴,故答案为:. 【点睛】本题主要考查了二次根式的性质与化简,熟练掌握二次根式的性质是解题的关键.解析:-【分析】由0xy >,且20xy -≥,即•0y xy -≥知0x <,0y <,据此根据二次根式的性质化简【详解】∵0xy >,且20xy -≥,即•0y xy -≥,∴0x <,0y <,==-故答案为:-【点睛】本题主要考查了二次根式的性质与化简,熟练掌握二次根式的性质是解题的关键. 20.21【分析】根据二次根式及同类二次根式的定义列出方程组即可求出答案.【详解】∵最简二次根式与是同类二次根式,∴ ,解得,,∴故答案为21.解析:21【分析】根据二次根式及同类二次根式的定义列出方程组即可求出答案.【详解】∴1221343n m m -=⎧⎨-=-⎩, 解得,73m n =⎧⎨=⎩, ∴7321.mn =⨯=故答案为21.三、解答题21.无22.无23.无24.无25.无26.无27.无28.无。
八年级数学计算题及答案【篇一:最新人教版八年级数学(上)期中测试题及答案】ass=txt>(考试用时:120分钟 ; 满分: 120分)一、选择题(共12小题,每小题3分,共36分. 在每小题给出的四个选项中只有一项是符合要求的,请将正确答案的序号填入对应题目后的括号内)1.下列图形分别是桂林、湖南、甘肃、佛山电视台的台徽,其中为轴对称图形的是().第1题图2. 对于任意三角形的高,下列说法不正确的是()a.锐角三角形有三条高 b.直角三角形只有一条高c.任意三角形都有三条高 d.钝角三角形有两条高在三角形的外部3. 一个三角形的两边长为3和8,第三边长为奇数,则第三边长为() a. 5或7 b. 7或9 c. 7 d. 95. 点m(3,2)关于y轴对称的点的坐标为()。
a.(—3,2)b.(-3,-2)c. (3,-2)d. (2,-3)7. 现有四根木棒,长度分别为4cm,6cm,8cm,10cm.从中任取三根木棒,能组成三角形的个数为()a.1个 b.2个 c.3个d.4个 8. 如图,△abc中,ab=ac,d为bc的中点,以下结论:(1)△abd≌△acd ;(2)ad⊥bc;(3)∠b=∠c ;(4)ad是△abc的角平分线。
其中正确的有()。
b d a.1个 b. 2个 c. 3个 d. 4个第8题图9. 如图,△abc中,ac=ad=bd,∠dac=80o,则∠b的度数是() a.40ob.35oc.25od.20o 第9题图a.30ob.36oc.60od.72o11.如图所示,某同学把一块三角形的玻璃不小心打碎成了三块,()去.a.① b.② c.③ d.①和②第11题图12.用正三角形、正四边形和正六四边形按如图所示的规律拼图案,即从第二个图案开始,每个图案中正三角形的个数都比上一个图案中正三角形的个数多4个.则第n个图案中正三角形的个数为()(用含n的代数式表示).…第一个图案第二个图案第12题图第三个图案a.2n+1 b. 3n+2 c. 4n+2 d. 4n-2二、填空题(本大题共6小题,每小题3分,共18分.请把答案填写在相应题目后的横线上)13. 若a(x,3)关于y轴的对称点是b(-2,y),则x=____ ,y=______ ,点a关于x轴的对称点的坐标是___________ 。
2021-2022学年广东省潮州市饶平县八年级(上)期末数学试卷一、单选题(共30分)1.下列计算正确的是()A .a 2•a 3=a 6B .2ab +3ab =5a 2b 2C .a 8÷a 4=a 2D .(a 3)2=a 62.到三角形三条边...的距离都相等的点是这个三角形的()A .三条中线的交点B .三条高的交点C .三条边的垂直平分线的交点D .三条角平分线的交点3.将一副直角三角尺如图放置,若∠AOD =20°,则∠BOC 的大小为()A .140°B .160°C .170°D .150°4.如图,在ABC 中,已知点D 、E ,F 分别为BC 、AD 、EC 的中点,且212ABC S cm =△,则阴影部分面积S =()2cm .A .1B .2C .3D .45.如图,边长为a 的正方形中挖掉边长为b 的正方形(a >b ),把剩下的部分拼成一个矩形,通过计算两处图形的面积,验证了一个等式,此等式是()A .()()22a b a b a b -=+-B .()2222a b a ab b +=++C .()2222a b a ab b -=-+D .()()222a b a b a ab b+-=+-6.202020214(0.25)-⨯的值为()A .4B .4-C .0.25D .0.25-7.若2x y +=,1xy =-,则()()1212x y --的值是()A .7-B .3-C .1D .98.如图,在△ABC 中,BC =10,CD 是∠ACB 的平分线.若P ,Q 分别是CD 和AC 上的动点,且△ABC 的面积为24,则PA +PQ 的最小值是()A .125B .4C .245D .59.已知,,a b c 满足22227,-21,617a b b c c a +==--=-,则a b c +-的值为()A .1B .-5C .-6D .-710.如图,△ABC 中,P 、Q 分别是BC 、AC 上的点,作PR ⊥AB ,PS ⊥AC ,垂足分别是R 、S ,若AQ =PQ ,PR =PS ,下面四个结论:①AS =AR ;②QP ∥AR ;③△BRP ≌△QSP ;④AP 垂直平分RS ,其中正确结论的序号是()A .①②B .①②③C .①②④D .①②③④二、填空题(共28分)11.因式分解:225x y y -=______.12.am =6,an =3,则am ﹣2n =__.13.如图,△ABC ≌△DBC ,∠A =45°,∠DCB =43°,则∠ABC =______.14.如图,ABC 的三边AB BC CA 、、的长分别为405060、、,其三条角平分线交于点O ,则::ABO BCO CAO S S S =______.15.一位工人师傅加工1500个零件后,把工作效率提高到原来的2.5倍,因此再加工1500个零件时,较前提早了18个小时完工,问这位工人师傅提高工作效率的前后每小时各加工多少个零件?设提高工作效率前每小时加工x 个零件,则根据题意可列方程为________.16.若x 4y 1+=,则xy 的最大值为_____.17.如图,已知△ABC 的面积为1,分别倍长(延长一倍)边AB ,BC ,CA 得到△A 1B 1C 1,再分别倍长边A 1B 1,B 1C 1,C 1A 1得到△A 2B 2C 2…按此规律,倍长2021次后得到的△A 2021B 2021C 2021的面积为_________.三、解答题(共62分)18.解分式方程:21133x x+=--19.化简求值:2(2)(1)(1)a a a +-+-,其中3=2a 20.如图,△ABC 中,∠BAC=90°,AD ⊥BC ,垂足为D .(1)求作∠ABC 的平分线(要求:尺规作图,保留作图痕迹,不写作法);(2)若∠ABC 的平分线分别交AD ,AC 于P ,Q 两点,证明:AP=AQ .21.先化简,再求值:22241---÷+a a a a a请从-2,-1,0,1,2中选择一个合适的数,求此分式的值.22.如图所示,在△ABC 中,AD ⊥BC 于D ,CE ⊥AB 于E ,AD 与CE 交于点F ,且AD =CD ,(1)求证:△ABD ≌△CFD ;(2)已知BC =7,AD =5,求AF 的长.23.在汕头市“创文”活动中,一项绿化工程由甲、乙两工程队承担.已知甲工程队单独完成这项工作需120天,甲工程队单独工作30天后,乙工程队参与合做,两队又共同工作了36天完成.(1)求乙工程队单独完成这项工作需要多少天?(2)因工期的需要,将此项工程分成两部分,甲做其中一部分用了a天完成,乙做另一部分用了y天完成.若乙工程队还有其它工作任务,最多只能做52天.求甲工程队至少应做多少天?24.如图1,射线OP平分∠MON,在射线OM,ON上分别截取线段OA,OB,使OA=OB,在射线OP上任取一点D,连接AD,BD.易得:AD=BD.(1)如图2,在Rt△ABC中,∠ACB=90°,∠A=60°,CD平分∠ACB,求证:BC=AC+AD;(2)如图3,在四边形ABDE中,AB=10,DE=2,BD=6,C为BD边中点.若AC平分∠BAE,EC平分∠AED,∠ACE=120°,求AE的值.25.如图1,直线AB分别与x轴、y轴交于A、B两点,OC平分∠AOB交AB于点C,点D为线段AB上一点,过点D作DE//OC交y轴于点E,已知AO=m,BO=n,且m、n满足n2-12+36+|n-2m|=0.(1)求A、B两点的坐标?(2)若点D为AB中点,求OE的长?(3)如图2,若点P(x,-2x+6)为直线AB在x轴下方的一点,点E是y轴的正半轴上一动点,以E 为直角顶点作等腰直角△PEF,使点F在第一象限,且F点的横、纵坐标始终相等,求点P的坐标.1.D【分析】利用合并同类项的法则,幂的乘方的法则,同底数幂的乘法的法则,同底数幂的除法的法则对各项进行运算即可.【详解】解:A、a2•a3=a5,故该选项不符合题意;B、2ab+3ab=5ab,故该选项不符合题意;C、a8÷a4=a4,故该选项不符合题意;D、(a3)2=a6,故该选项符合题意;故选:D.【点睛】本题主要考查了合并同类项,幂的乘方,同底数幂的乘法,同底数幂的除法,解答的关键对相应的运算法则的掌握.2.D【分析】到角两边的距离相等的点在这个角的角平分线上,据此到三角形三条边的距离都相等的点是三条角平分线的交点.【详解】解:∵到角两边的距离相等的点在这个角的角平分线上,∴三角形的角平分线的交点到三角形的三边的距离相等,即到三角形的三边的距离相等的点是三条角平分线的交点.故选∶D.【点睛】该题考查的是角平分线的判定,因为角的平分线上的点到角的两边的距离相等,到角两边的距离相等的点在这个角的角平分线上,熟练掌握三角形的角平分线的性质是解题的关键.3.B【详解】解:根据∠AOD=20°可得:∠AOC=70°,根据题意可得:∠BOC=∠AOB+∠AOC=90°+70°=160°.故选B.4.C 【分析】根据三角形面积公式由点D 为BC 的中点得到S △ABD =S △ADC =12S △ABC =6,同理得到S △EBD =S △EDC =12S △ABD =3,则S △BEC =6,然后再由点F 为EC 的中点得到S △BEF =12S △BEC =3.【详解】解:∵点D 为BC 的中点,∴S △ABD =S △ADC =12S △ABC =6,∵点E 为AD 的中点,∴S △EBD =S △EDC =12S △ABD =3,∴S △EBC =S △EBD +S △EDC =6,∵点F 为EC 的中点,∴S △BEF =12S △BEC =3,即阴影部分的面积为3cm 2.故选:C .【点睛】本题主要考查了三角形面积及三角形面积的等积变换,三角形的中线将三角形分成面积相等的两部分.5.A 【分析】由图可知,正方形剩下的面积为:22a b -,矩形宽为a b -;长为a b +;得面积:()()a b a b +-,根据两者面积相等,即可求出答案.【详解】由图得,正方形剩下面积:22a b -∵矩形边长为a b -,a b +∴矩形面积:()()a b a b +-又∵正方形面积等于矩形面积∴()()22a b a b a b -=+-故选:A .【点睛】本题考查整式乘法,平方差公式;解题的关键是掌握几何图形与整式乘法的运用.6.D 【分析】直接利用积的乘方把式子变形计算即可.【详解】202020214(0.25)-⨯=202020204(0.25)(0.25)⨯⨯--=20202020[4(0.25)2)](0.5--⨯⨯=2020[4(0.25)(0.25)]⨯⨯--=2020(1)(0.25)⨯--=1(0.25)-⨯=0.25-故选:D 【点睛】此题考查了积的乘方的逆用,掌握正确的计算法则是解答此题的关键.7.A 【分析】利用多项式乘以多项式法则计算,整理后将已知等式代入计算即可求出值.【详解】解:∵x+y=2,xy=-1,∴(1-2x )(1-2y )=1-2y-2x+4xy=1-2(x+y )+4xy=1-2×2-4=-7;故选:A .【点睛】本题考查了多项式乘多项式,熟练掌握运算法则是解本题的关键.8.C 【分析】过点A 作AG ⊥BC 交于G ,交CD 于P 点,过点P 作PQ ⊥AC 交于Q 点,当A 、P 、G 三点共线时,AP +PQ 的值最小,求出AG 的长即为所求.【详解】解:过点A 作AG ⊥BC 交于G ,交CD 于P 点,过点P 作PQ ⊥AC 交于Q 点,∵CD 是∠ACB 的平分线,∴PG =PQ ,∴PA +PQ =AP +PG ≥AG ,∴当A 、P 、G 三点共线时,AP +PQ 的值最小,∵BC =10,△ABC 的面积为24,∴AG =245,∴AP +PQ 的最小值为245,故选:C .【点睛】本题考查最短距离的求法,熟练掌握角平分线的性质,垂线段最短是解题的关键.9.A 【分析】三个式子相加,化成完全平方式,得出,,a b c 的值,代入计算即可.【详解】解:∵22227,-21,617a b b c c a +==--=-,∴(a 2+2b )+(b 2-2c )+(c 2-6a )=7+(-1)+(-17),∴a 2+2b +b 2-2c +c 2-6a =-11∴(a 2-6a +9)+(b 2+2b +1)+(c 2-2c +1)=0,∴(a -3)2+(b +1)2+(c -1)2=0∴a -3=0,b +1=0,c -1=0,∴a +b -c =3-1-1=1.故选:A .【点睛】本题考查了代数式求值和完全平方公式,解题关键是通过等式变形化成完全平方式,根据非负数的性质求出,,a b c 的值,准确进行计算.10.C【分析】连接AP ,RS ,证明Rt APR ≌Rt APS ,即可判断①,根据等边对等角可得QAP QPA ∠=∠,根据角平分线的性质可得BAP CAP ∠=∠,等量代换可得QPA BAP ∠=∠,进而即可判定QP ∥AR ,即可判断②,假设③成立,可得到BC AC =,与已知矛盾,进而可判断③,根据垂直平分线的判定定理即可判断④.【详解】连接AP ,RS ,如图,PR ⊥AB ,PS ⊥AC ,PR =PS ,AP ∴是BAC ∠的角平分线,BAP CAP∴∠=∠在Rt APR 与Rt APSPS PR PA PA=⎧⎨=⎩∴Rt APR ≌Rt APSAS AR∴=故①正确;AQ PQ= QAP QPA∴∠=∠QPA BAP∴∠=∠AR QP∴∥故②正确;假设△BRP ≌△QSP ;则SQ RB =,PBR PQS∠=∠ AR QP∥PQS BAC∠∠∴=BC AC∴=而题中没有说明BC AC =,故③不正确;,AR AS PR PS== ∴AP 是RS 是垂直平分线,故④正确故正确的有①②④故选C【点睛】本题考查了角平分线的性质与判定,等边对等角,HL 判定三角形全等,垂直平分线的性质与判定,掌握以上性质定理是解题的关键.11.()()55y x x -+【分析】先提取公因式,再运用平方差公式计算即可;【详解】先提取公因式y ,再利用平方差公式,可得()()22555x y y y x x -=-+.故答案是()()55y x x -+.【点睛】本题主要考查了因式分解的应用,准确化简是解题的关键.12.23【分析】直接利用同底数幂的除法运算法则结合幂的乘方运算法则进而将原式变形得出答案.【详解】∵am=6,an=3,∴am﹣2n=am÷(an)2=6÷32=2 3.故答案为:2 3.【点睛】此题主要考查了同底数幂的除法运算法则和幂的乘方运算,正确掌握运算法则是解题关键.13.92°【分析】根据全等三角形的性质和三角形的内角和定理即可得到结论.【详解】解:∵△ABC≌△DBC,∴∠ACB=∠DCB=43°,∵∠A=45°,∴∠ABC=180°﹣∠A﹣∠ACB=92°,故答案为:92°.【点睛】本题考查了三角形内角和定理,全等三角形的性质,能正确运用全等三角形的性质进行推理是解此题的关键,注意:全等三角形的对应边相等,对应角相等.14.4:5:6【分析】首先过点O作OD⊥AB于点D,作OE⊥AC于点E,作OF⊥BC于点F,由OA,OB,OC 是△ABC的三条角平分线,根据角平分线的性质,可得OD=OE=OF,又由△ABC的三边AB、BC、CA长分别为40、50、60,即可求得S△ABO:S△BCO:S△CAO的值.【详解】解:过点O作OD⊥AB于点D,作OE⊥AC于点E,作OF⊥BC于点F,∵OA ,OB ,OC 是△ABC 的三条角平分线,∴OD=OE=OF ,∵△ABC 的三边AB 、BC 、CA 长分别为40、50、60,∴S △ABO :S △BCO :S △CAO =(12AB•OD ):(12BC•OF ):(12AC•OE )=AB :BC :AC=40:50:60=4:5:6.故答案为:4:5:6.【点睛】此题考查了角平分线的性质.此题难度不大,注意掌握辅助线的作法,注意数形结合思想的应用.15.1500x −18=15002.5x 【分析】关键描述语为:“较前提早了18个小时完工”;本题的等量关系为:原来加工1500个零件所用时间-18=现在加工1500个零件所用时间,把相应数值代入即可求解.【详解】解:原来加工1500个零件所用时间为:1500x ,现在加工1500个零件所用时间为:15002.5x ,∴根据题意可列方程为1500x −18=15002.5x 故答案为:1500x −18=15002.5x .【点睛】本题主要考查分式方程的应用,根据加工相同零件所用的时间找到相应的等量关系是解决本题的关键.16.116【分析】利用完全平方公式列出关于xy 的不等式.求不等式的解,根据不等式的解,即可求得xy 的最大值.【详解】解:22(4)(4)160x y x y xy -=+-≥.41x y += ,1160xy ∴-≥,116xy ∴≤.故答案为:116.【点睛】本题考查完全平方公式,求不等式的解,平方的符号法则.能利用完全平方公式和的公式与差的公式之间的关系以及偶次方的非负性,列出不等式是解决此题的关键.17.20217【分析】根据等底等高的三角形的面积相等可得三角形的中线把三角形分成两个面积相等的三角形,然后求出第一次倍长后△A 1B 1C 1的面积是△ABC 的面积的7倍,依此规律可得结论.【详解】解:连接AB 1、BC 1、CA 1,根据等底等高的三角形面积相等,△A 1BC 、△A 1B 1C 、△AB 1C 、△AB 1C 1、△ABC 1、△A 1BC 1、△ABC 的面积都相等,所以,1117A B C ABC S S = ,同理222111277A B C A B C ABC S S S == ,依此类推,△A 2021B 2021C 2021的面积为=72021S △ABC ,∵△ABC 的面积为1,∴△A 2021B 2021C 2021的面积=72021.故答案为:72021.【点睛】本题考查了三角形的面积,根据等底等高的三角形的面积相等求出一次倍长后所得的三角形的面积等于原三角形的面积的7倍是解题的关键.18.x=4【分析】两边都乘以x-3化为整式方程求解,然后验根即可.【详解】解:两边都乘以x-3,得2-1=x-3,解得x=4,检验:当x=4时,x-3≠0,∴x=4是原方程的解.【点睛】本题考查了分式方程的解法,其基本思路是把方程的两边都乘以各分母的最简公分母,化为整式方程求解,求出x 的值后不要忘记检验.19.45a +,11【分析】先利用完全平方公式和平方差公式进行化简,再代值运算即可.【详解】解:2(2)(1)(1)a a a +-+-22441a a a =++-+45a =+把3=2a 代入得:345112⨯+=【点睛】本题主要考查了整式的化简求值,熟悉掌握完全平方公式和平方差公式是解题的关键.20.(1)见解析;(2)见解析.【分析】(1)作出角平分线BQ 即可.(2)根据余角的定义得出∠AQP +∠ABQ =90°,根据角平分线的性质得出∠ABQ =∠PBD ,再由∠BPD =∠APQ 可知∠APQ =∠AQP ,据此可得出结论.【详解】(1)BQ 就是所求的∠ABC 的平分线,P 、Q 就是所求作的点.(2)∵AD ⊥BC ,∴∠ADB =90°,∴∠BPD +∠PBD =90°.∵∠BAC =90°,∴∠AQP +∠ABQ =90°.∵∠ABQ =∠PBD ,∴∠BPD =∠AQP .∵∠BPD =∠APQ ,∴∠APQ =∠AQP ,∴AP =AQ .21.12a +,13【分析】先根据分式的混合运算顺序和运算法则化简原式,再选取使分式有意义的a 的值代入计算可得.【详解】解:22241---÷+a a a a a2(1)1(2)(2)a a a a a a -+=-⨯+-112a a +=-+12a =+,∵a ≠0且a ≠±2,a ≠-1,∴a =1,则原式=11123=+.【点睛】本题主要考查了分式的化简求值,解题的关键是掌握分式的混合运算顺序和运算法则.22.(1)证明见解析;(2)3.【分析】(1)利用ASA ,可证△ABD ≌△CFD ;(2)由△ABD ≌△CFD ,得BD =DF ,所以BD =BC ﹣CD =2,所以AF =AD ﹣DF =5﹣2.【详解】(1)证明:∵AD ⊥BC ,CE ⊥AB ,∴∠ADB =∠CDF =∠CEB =90°,∴∠BAD +∠B =∠FCD +∠B =90°,∴∠BAD =∠ECD ,在△ABD 和CFD 中,ADB CDF BAD DCF AD CD ∠=∠⎧⎪∠=∠⎨⎪=⎩,∴△ABD ≌△CFD (AAS ),(2)∵△ABD ≌△CFD ,∴BD =DF ,∵BC =7,AD =DC =5,∴BD =BC ﹣CD =2,∴AF =AD ﹣DF =5﹣2=3.【点睛】本题考查了全等三角形的判定与性质,解题的关键点证明两个三角形全等.23.(1)乙工程队单独做需要80天完成(2)甲工程队至少应做42天.【分析】(1)设乙工程队单独完成这项工作需要x 天,由题意列出分式方程,求出x 的值即可;(2)首先根据题意列出a 和y 的关系式,进而求出a 的取值范围,结合a 和y 都是正整数,即可求出a 的值.【详解】(1)设乙工程队单独完成这项工作需要x 天,由题意得:3011361120120x ⎛⎫++⨯= ⎪⎝⎭解得:x =80,经检验x =80是原方程的解.答:乙工程队单独做需要80天完成.(2)因为甲工程队做其中一部分用了a 天,乙工程队做另一部分用了y 天,依题意得:112080a y +=,∴2803y a =-.∵52y ≤,∴280523a -≤,解得:42a ≥.答:甲工程队至少应做42天.【点睛】本题考查分式方程的应用,分析题意,找到合适的等量关系是解决问题的关键.此题涉及的公式:工作总量=工作效率×工作时间.24.(1)见解析;(2)15.【分析】(1)证△ECD ≌△ACD (SAS ),得EC =AC ,DE =AD ,∠CED =∠A =60°,再证BE =DE ,则BE =AD ,即可得出结论;(2)在AE 上取点F ,使AF =AB ,连接CF ,在AE 上取点G ,使EG =ED ,连接CG ,证△ACB ≌△ACF (SAS ),得CB =CF =3,AF =AB =10,∠BCA =∠FCA .同理可证△CGE ≌△CDE (SAS ),得CG =CD =3,GE =DE =2,∠DCE =∠GCE ,再证△CFG 是等边三角形,得FG =CG =3,即可求解.【详解】(1)证明:在CB 上截取CE =AE ,连接DE ,如图所示:∵CD 平分∠ACB ,∴∠BCD =∠ACD ,又∵CD =CD ,∴△ECD ≌△ACD (SAS ),∴EC=AC,DE=AD,∠CED=∠A=60°,∵∠ACB=90°,∠A=60°,∴∠B=30°,又∵∠CED=∠EDB+∠B,∴∠EDB=60°-30°=30°,∴∠EDB=∠B,∴BE=DE,∴BE=AD,∵BC=EC+BE,∴BC=AC+AD;(2)解:在AE上取点F,使AF=AB,连接CF,在AE上取点G,使EG=ED,连接CG,如图所示:∵C是BD边的中点,BD=6,∴CB=CD=12BD=3,∵AC平分∠BAE,∴∠BAC=∠FAC,又∵AC=AC,∴△ACB≌△ACF(SAS),∴CB=CF=3,AF=AB=10,∠BCA=∠FCA.同理可证:△CGE≌△CDE(SAS),∴CG=CD=3,GE=DE=2,∠DCE=∠GCE,∵CB=CD,∴CG=CF,∵∠ACE=120°,∴∠BCA+∠DCE=180°-120°=60°,∴∠FCA+∠GCE=60°,∴∠FCG =180°-60°-60°=60°,∴△FGC 是等边三角形,∴FG =FC =3,∴AE =AF +GE +FG =10+2+3=15.【点睛】本题考查了全等三角形的判定及性质、角平分线定义、等边三角形的判定与性质、等腰三角形的判定与性质等知识,本题综合性强,熟练掌握等边三角形的判定与性质,正确作出辅助线,构造全等三角形是解题的关键.25.(1)A (3,0),B (0,6);(2)OE=1.5;(3)P (6,-6)【分析】(1)根据非负数的性质,得出方程(n-6)2=0,|n-2m|=0,求得m=3,n=6,即可得到A 、B 两点的坐标;(2)延长DE 交x 轴于点F ,延长FD 到点G ,使得DG=DF ,连接BG ,构造全等三角形,再根据BG=BE 列出关于x 的方程,即可求得OE 的长;(3)分别过点F 、P 作FM ⊥y 轴于点M ,PN ⊥y 轴于点N ,设点E 为(0,m ),构造全等三角形,再根据F 点的横坐标与纵坐标相等,得出方程m+2x-6=m+x ,解得:x=6,即可得到点P 为(6,-6).【详解】解:(1)∵2123620n n n m -++-=∴()2620n n m -+-=∵()260n -≥,-20n m ≥∴()260n -=,-20n m =∴m =3,n =6∴点A 为(3,0),点B 为(0,6)(2)延长DE 交x 轴于点F ,延长FD 到点G ,使得DG =DF ,连接BG设OE =x∵OC 平分∠AOB∴∠BOC =∠AOC =45°∵DE ∥OC∴∠EFO =∠FEO =∠BEG =∠BOC =∠AOC =45°在△ADF和△BDG中∵AD BD ADF BDG DF DG=⎧⎪∠=∠⎨⎪=⎩∴△ADF≌△BDG(SAS)∴BG=AF=3+x,∠G=∠AFE=45°∴∠G=∠BEG=45°∴BG=BE=6-x∴6-x=3+x解得:x=1.5∴OE=1.5(3)分别过点F、P作FM⊥y轴于点M,PN⊥y轴于点N 设点E为(0,m)∵点P的坐标为(x,-2x+6)则PN=x,EN=m+2x-6∵∠PEF=90°∴∠PEN+∠FEM=90°∵FM⊥y轴∴∠MFE+∠FEM=90°∴∠PEN=∠MFE在△EFM和△PEN中∵MFE PEN FME PNEEF EP∠=∠⎧⎪∠=∠⎨⎪=⎩∴△EFM≌△PEN(AAS)∴ME=NP=x,FM=EN=m+2x-6∴点F为(m+2x-6,m+x)∵F点的横坐标与纵坐标相等∴m+2x-6=m+x∴点P为(6,-6)【点睛】本题属于三角形综合题,主要考查了非负数的性质,等腰直角三角形的性质及全等三角形的判定与性质的综合应用,解决问题的关键是作辅助线构造全等三角形,据全等三角形的对应边相等进行计算即可.。
八年级数学计算能力大赛试题
时间:60分分数:120分
一、选择题(共10小题;共40分)
1. 下列方程不是分式方程的为
A. B.
C. D.
2. 计算:
A. B. C. D.
3. 计算的结果是
A. B.
C. D.
4. 下列运算错误的是
A. B.
C. D.
5. 下列代数式运算正确的是
A. B.
C. D.
6. 已知,则的值为
A. B. C. D.
7. 已知空气的单位体积质量为克/ 厘米,用小数表示为
A. B. C. D.
8. 下列各式计算正确的是
A. B.
C. D.
9. 计算的结果为
A. B. C. D.
10. 化简的结果等于
A. B. C. D.
二、填空题(共10小题;共40分)
11. 如果,那么,.
12. 计算:.
13. 已知点是线段的黄金分割点,且线段的长为厘米,则最短线段
的长是厘米.
14. 计算:.
15. 若代数式与是同类项,那么.
16. 若,,则.
17. 分解因式:.
18. 计算:.
19. 计算:.
20. 计算:
(1);
(2);
(3);
(4).
三、解答题(共6小题;共40分)
21.(6分)解方程:.
22.(6分)当时,如何求的值?
23.(6分),,,,聪明的你是否
发现了什么呢?遇到这样的问题,你是否会速算了呢?
计算:.
24.(6分)试说明,若为自然数,那么的值一定是的
倍数.
25.(8分)计算:
(1);
(2)
26.(8分) 先化简,再求值:,其中,.
答案
1. C
2. B
3. A
4. D
5. B
6. C
7. D
8. B
9. D 10. B
11. 12. 13. 14. 15. 16.
17. 18. 19.
20. (1),(2),(3),(4)
21. 是原方程的根.
22. 当时,
23.
24.
因为为自然数,一定是的倍数,
所以的值一定是的倍数.
25. (1)
(2)
26.
当,时,.。