(完整版)等比数列经典例题范文
- 格式:doc
- 大小:193.59 KB
- 文档页数:8
一、等比数列选择题1.已知等比数列{}n a 的前n 项和为n S ,且1352a a +=,2454a a +=,则n n S =a ( )A .14n -B .41n -C .12n -D .21n -2.中国古代数学名著《九章算术》中有这样一个问题:今有牛、马、羊食人苗,苗主责之粟五斗,羊主曰:“我羊食半马.”马主曰:“我马食半牛.”今欲衰偿之,问各出几何?此问题的译文是:今有牛、马、羊吃了别人的禾苗,禾苗主人要求赔偿5斗粟.羊主人说:“我羊所吃的禾苗只有马的一半.”马主人说:“我马所吃的禾苗只有牛的一半.”打算按此比例偿还,他们各应偿还多少?此问题中1斗为10升,则牛主人应偿还多少升粟?( ) A .503B .507C .1007D .20073.若1,a ,4成等比数列,则a =( ) A .1B .2±C .2D .2-4.已知数列{}n a 中,其前n 项和为n S ,且满足2n n S a =-,数列{}2n a 的前n 项和为n T ,若2(1)0n n n S T λ-->对*n N ∈恒成立,则实数λ的取值范围是( )A .()3,+∞B .()1,3-C .93,5⎛⎫ ⎪⎝⎭D .91,5⎛⎫- ⎪⎝⎭5.等比数列{}n a 中11a =,且14a ,22a ,3a 成等差数列,则()*na n N n∈的最小值为( ) A .1625B .49C .12D .16.已知数列{}n a 满足:11a =,*1()2nn n a a n N a +=∈+.则 10a =( ) A .11021B .11022 C .11023D .110247.在等比数列{}n a 中,132a =,44a =.记12(1,2,)n n T a a a n ==……,则数列{}n T ( )A .有最大项,有最小项B .有最大项,无最小项C .无最大项,有最小项D .无最大项,无最小项8.已知等比数列{}n a 的前n 项和为n S ,若213a a =,且数列{}13n S a -也为等比数列,则n a 的表达式为( )A .12nn a ⎛⎫= ⎪⎝⎭B .112n n a +⎛⎫= ⎪⎝⎭C .23nn a ⎛⎫= ⎪⎝⎭D .123n n a +⎛⎫= ⎪⎝⎭9.已知正项等比数列{}n a 的公比不为1,n T 为其前n 项积,若20172021T T =,则20202021ln ln a a =( ) A .1:3B .3:1C .3:5D .5:310.已知等比数列{a n }中a 1010=2,若数列{b n }满足b 1=14,且a n =1n nb b +,则b 2020=( )A .22017B .22018C .22019D .2202011.题目文件丢失!12.一个蜂巢有1只蜜蜂,第一天,它飞出去找回了5个伙伴;第二天,6只蜜蜂飞出去,各自找回了5个伙伴……如果这个找伙伴的过程继续下去,第六天所有的蜜蜂都归巢后,蜂巢中一共有( )只蜜蜂. A .55989B .46656C .216D .3613.等比数列{}n a 的前n 项和为n S ,416a =-,314S a =+,则公比q 为( ) A .2-B .2-或1C .1D .214.若一个数列的第m 项等于这个数列的前m 项的乘积,则称该数列为“m 积列”.若各项均为正数的等比数列{a n }是一个“2022积数列”,且a 1>1,则当其前n 项的乘积取最大值时,n 的最大值为( ) A .1009B .1010C .1011D .202015.十九世纪下半叶集合论的创立,奠定了现代数学的基础.著名的“康托三分集”是数学理性思维的构造产物,具有典型的分形特征,其操作过程如下:将闭区间[0,1]均分为三段,去掉中间的区间段12(,)33,记为第一次操作;再将剩下的两个区间1[0,]3,2[,1]3分别均分为三段,并各自去掉中间的区间段,记为第二次操作;…,如此这样,每次在上一次操作的基础上,将剩下的各个区间分别均分为三段,同样各自去掉中间的区间段.操作过程不断地进行下去,以至无穷,剩下的区间集合即是“康托三分集”.若使去掉的各区间长度之和不小于910,则需要操作的次数n 的最小值为( )(参考数据:lg 20.3010=,lg30.4771=)A .4B .5C .6D .716.设等比数列{}n a 的前n 项和为n S ,若425S S =,则等比数列{}n a 的公比为( ) A .2B .1或2C .-2或2D .-2或1或217.正项等比数列{}n a 的公比是13,且241a a =,则其前3项的和3S =( ) A .14B .13C .12D .1118.已知等比数列的公比为2,其前n 项和为n S ,则33S a =( ) A .2B .4C .74 D .15819.设b R ∈,数列{}n a 的前n 项和3nn S b =+,则( ) A .{}n a 是等比数列B .{}n a 是等差数列C .当1b ≠-时,{}n a 是等比数列D .当1b =-时,{}n a 是等比数列20.记等比数列{}n a 的前n 项和为n S ,已知5=10S ,1050S =,则15=S ( ) A .180B .160C .210D .250二、多选题21.题目文件丢失!22.已知数列{}n a 的前n 项和为n S ,且1a p =,122n n S S p --=(2n ≥,p 为非零常数),则下列结论正确的是( ) A .{}n a 是等比数列 B .当1p =时,4158S =C .当12p =时,m n m n a a a +⋅= D .3856a a a a +=+23.已知正项等比数列{}n a 的前n 项和为n S ,若31a =,135111214a a a ++=,则( ) A .{}n a 必是递减数列 B .5314S =C .公比4q =或14D .14a =或1424.已知数列{}n a 的前n 项和为n S ,1+14,()n n a S a n N *==∈,数列12(1)n n n n a +⎧⎫+⎨⎬+⎩⎭的前n 项和为n T ,n *∈N ,则下列选项正确的是( ) A .24a =B .2nn S =C .38n T ≥D .12n T <25.已知集合{}*21,A x x n n N==-∈,{}*2,nB x x n N ==∈将AB 的所有元素从小到大依次排列构成一个数列{}n a ,记n S 为数列{}n a 的前n 项和,则使得112n n S a +>成立的n 的可能取值为( ) A .25B .26C .27D .2826.已知等比数列{}n a 中,满足11a =,2q ,n S 是{}n a 的前n 项和,则下列说法正确的是( )A .数列{}2n a 是等比数列B .数列1n a ⎧⎫⎨⎬⎩⎭是递增数列C .数列{}2log n a 是等差数列D .数列{}n a 中,10S ,20S ,30S 仍成等比数列27.设首项为1的数列{}n a 的前n 项和为n S ,已知121n n S S n +=+-,则下列结论正确的是( )A .数列{}n S n +为等比数列B .数列{}n a 的通项公式为121n n a -=-C .数列{}1n a +为等比数列D .数列{}2n S 的前n 项和为2224n n n +---28.已知等比数列{}n a 的公比为q ,前n 项和0n S >,设2132n n n b a a ++=-,记{}n b 的前n 项和为n T ,则下列判断正确的是( ) A .若1q =,则n n T S = B .若2q >,则n n T S > C .若14q =-,则n n T S > D .若34q =-,则n n T S > 29.意大利著名数学家斐波那契在研究兔子繁殖问题时,发现有这样一列数:1,1,2,3,5,…,其中从第三项起,每个数等于它前面两个数的和,后来人们把这样的一列数组成的数列{}n a 称为“斐波那契数列”,记n S 为数列{}n a 的前n 项和,则下列结论正确的是( ) A .68a = B .954S =C .135********a a a a a ++++=D .22212201920202019a a a a a +++= 30.已知数列{a n },{b n }均为递增数列,{a n }的前n 项和为S n ,{b n }的前n 项和为T n .且满足a n +a n +1=2n ,b n •b n +1=2n (n ∈N *),则下列说法正确的有( ) A .0<a 1<1B .1<b 1C .S 2n <T 2nD .S 2n ≥T 2n31.数列{}n a 为等比数列( ). A .{}1n n a a ++为等比数列 B .{}1n n a a +为等比数列 C .{}221n n a a ++为等比数列D .{}n S 不为等比数列(n S 为数列{}n a 的前n 项)32.设等比数列{}n a 的公比为q ,其前n 项和为n S ,前n 项积为n T ,并且满足条件11a >,781a a >,87101a a -<-.则下列结论正确的是( ) A .01q <<B .791a a <C .n T 的最大值为7TD .n S 的最大值为7S33.已知等比数列{a n}的公比2 3q=-,等差数列{b n}的首项b1=12,若a9>b9且a10>b10,则以下结论正确的有()A.a9•a10<0 B.a9>a10C.b10>0 D.b9>b10 34.对于数列{}n a,若存在数列{}n b满足1n nnb aa=-(*n∈N),则称数列{}n b是{}na的“倒差数列”,下列关于“倒差数列”描述正确的是()A.若数列{}n a是单增数列,但其“倒差数列”不一定是单增数列;B.若31na n=-,则其“倒差数列”有最大值;C.若31na n=-,则其“倒差数列”有最小值;D.若112nna⎛⎫=-- ⎪⎝⎭,则其“倒差数列”有最大值.35.将n2个数排成n行n列的一个数阵,如图:该数阵第一列的n个数从上到下构成以m 为公差的等差数列,每一行的n个数从左到右构成以m为公比的等比数列(其中m>0).已知a11=2,a13=a61+1,记这n2个数的和为S.下列结论正确的有()A.m=3 B.767173a=⨯C.()1313jija i-=-⨯D.()()131314nS n n=+-【参考答案】***试卷处理标记,请不要删除一、等比数列选择题1.D【分析】根据题中条件,先求出等比数列的公比,再由等比数列的求和公式与通项公式,即可求出结果.【详解】因为等比数列{}n a 的前n 项和为n S ,且1352a a +=,2454a a +=,所以2413514522q a a a a =++==, 因此()()111111111221112n nnn n n n n na q S q q a a q q q ---⎛⎫- ⎪--⎝⎭====--⎛⎫ ⎪⎝⎭. 故选:D. 2.D 【分析】设羊、马、牛的主人应偿还粟的量分别为a 1,a 2,a 3,利用等比数列的前n 项和公式即可求解. 【详解】5斗50=升,设羊、马、牛的主人应偿还粟的量分别为a 1,a 2,a 3,由题意可知a 1,a 2,a 3构成公比为2的等比数列,且S 3=50,则()311212a --=50,解得a 1=507,所以牛主人应偿还粟的量为23120027a a ==故选:D 3.B 【分析】根据等比中项性质可得24a =,直接求解即可. 【详解】由等比中项性质可得:2144a =⨯=,所以2a =±, 故选:B 4.D 【分析】由2n n S a =-利用11,1,2n n n S n a S S n -=⎧=⎨-≥⎩,得到数列{}n a 是以1为首项,12为公比的等比数列,进而得到{}2n a 是以1为首项,14为公比的等比数列,利用等比数列前n 项和公式得到n S ,n T ,将2(1)0nn n S T λ-->恒成立,转化为()()321(1)210nnnλ---+>对*n N ∈恒成立,再分n 为偶数和n 为奇数讨论求解.【详解】当1n =时,112S a =-,得11a =; 当2n ≥时,由2n n S a =-, 得112n n S a --=-,两式相减得112n n a a -=, 所以数列{}n a 是以1为首项,12为公比的等比数列. 因为112n n a a -=, 所以22114n n a a -=.又211a =,所以{}2n a 是以1为首项,14为公比的等比数列, 所以1112211212nn n S ⎛⎫- ⎪⎡⎤⎛⎫⎝⎭==-⎢⎥ ⎪⎝⎭⎢⎥⎣⎦-,11414113414nnn T ⎛⎫- ⎪⎡⎤⎛⎫⎝⎭==-⎢⎥ ⎪⎝⎭⎢⎥⎣⎦-,由2(1)0n n nS T λ-->,得214141(1)10234n nnλ⎡⎤⎡⎤⎛⎫⎛⎫---⨯->⎢⎥⎢⎥ ⎪ ⎪⎝⎭⎝⎭⎢⎥⎢⎥⎣⎦⎣⎦, 所以221131(1)1022n nn λ⎡⎤⎡⎤⎛⎫⎛⎫---->⎢⎥⎢⎥ ⎪ ⎪⎝⎭⎝⎭⎢⎥⎢⎥⎣⎦⎣⎦, 所以211131(1)110222n n n nλ⎡⎤⎡⎤⎡⎤⎛⎫⎛⎫⎛⎫----+>⎢⎥⎢⎥⎢⎥ ⎪ ⎪ ⎪⎝⎭⎝⎭⎝⎭⎢⎥⎢⎥⎢⎥⎣⎦⎣⎦⎣⎦.又*n N ∈,所以1102n⎛⎫-> ⎪⎝⎭,所以1131(1)1022n nnλ⎡⎤⎡⎤⎛⎫⎛⎫---+>⎢⎥⎢⎥ ⎪ ⎪⎝⎭⎝⎭⎢⎥⎢⎥⎣⎦⎣⎦,即()()321(1)210nnnλ---+>对*n N ∈恒成立,当n 为偶数时,()()321210nnλ--+>,所以()()321321663212121nnn n n λ-+-<==-+++, 令6321n n b =-+,则数列{}n b 是递增数列,所以22693215λb <=-=+; 当n 为奇数时,()()321210nnλ-++>,所以()()321321663212121nnn n n λ-+--<==-+++,所以16332121λb -<=-=-=+, 所以1λ>-.综上,实数λ的取值范围是91,5⎛⎫- ⎪⎝⎭.故选:D. 【点睛】方法点睛:数列与不等式知识相结合的考查方式主要有三种:一是判断数列问题中的一些不等关系;二是以数列为载体,考查不等式的恒成立问题;三是考查与数列问题有关的不等式的证明.在解决这些问题时,往往转化为函数的最值问题. 5.D 【分析】首先设等比数列{}n a 的公比为(0)q q ≠,根据14a ,22a ,3a 成等差数列,列出等量关系式,求得2q ,比较()*na n N n∈相邻两项的大小,求得其最小值. 【详解】在等比数列{}n a 中,设公比(0)q q ≠, 当11a =时,有14a ,22a ,3a 成等差数列,所以21344a a a =+,即244q q =+,解得2q,所以12n na ,所以12n n a n n-=, 12111n n a n n a n n++=≥+,当且仅当1n =时取等号, 所以当1n =或2n =时,()*n a n N n∈取得最小值1,故选:D. 【点睛】该题考查的是有关数列的问题,涉及到的知识点有等比数列的通项公式,三个数成等差数列的条件,求数列的最小项,属于简单题目. 6.C【分析】根据数列的递推关系,利用取倒数法进行转化得1121n n a a +=+ ,构造11n a ⎧⎫+⎨⎬⎩⎭为等比数列,求解出通项,进而求出10a . 【详解】 因为12n n n a a a +=+,所以两边取倒数得12121n n n n a a a a ++==+,则111121n n a a +⎛⎫+=+ ⎪⎝⎭, 所以数列11n a ⎧⎫+⎨⎬⎩⎭为等比数列,则11111122n n n a a -⎛⎫+=+⋅= ⎪⎝⎭,所以121n n a =-,故101011211023a ==-. 故选:C 【点睛】方法点睛:对于形如()11n n a pa q p +=+≠型,通常可构造等比数列{}n a x +(其中1qx p =-)来进行求解. 7.B 【分析】首先求得数列的通项公式,再运用等差数列的求和公式求得n T ,根据二次函数的性质的指数函数的性质可得选项. 【详解】设等比数列{}n a 为q ,则等比数列的公比414141328a q a -===,所以12q =, 则其通项公式为:116113222n n n n a a q ---⎛⎫=⋅=⨯= ⎪⎝⎭,所以()()5611542212622222nn +n n n n n T a aa ---==⨯==,令()11t n n =-,所以当5n =或6时,t 有最大值,无最小值,所以n T 有最大项,无最小项. 故选:B. . 8.D 【分析】设等比数列{}n a 的公比为q ,当1q =时,111133(3)n S a na a n a -=-=-,该式可以为0,不是等比数列,当1q ≠时,11113311n n a aS a q a q q-=-⋅+---,若是等比数列,则11301a a q -=-,可得23q =,利用213a a =,可以求得1a 的值,进而可得n a 的表达式 【详解】设等比数列{}n a 的公比为q当1q =时,1n S na =,所以111133(3)n S a na a n a -=-=-, 当3n =时,上式为0,所以{}13n S a -不是等比数列. 当1q ≠时,()1111111n nn a q a aq S qq q-==-⋅+---, 所以11113311n n a aS a q a q q-=-⋅+---, 要使数列{}13n S a -为等比数列,则需11301a a q -=-,解得23q =. 213a a =,2123a ⎛⎫∴= ⎪⎝⎭,故21111222333n n n n a a q -+-⎛⎫⎛⎫⎛⎫=⋅=⋅= ⎪ ⎪ ⎪⎝⎭⎝⎭⎝⎭.故选:D. 【点睛】关键点点睛:本题的关键点是熟记等比数列的前n 项和公式,等比数列通项公式的一般形式,由此若11113311n n a a S a q a q q -=-⋅+---是等比数列,则11301aa q-=-,即可求得q 的值,通项即可求出. 9.A 【分析】由20172021T T =得20182019202020211a a a a =,由等比数列性质得20182021201920201a a a a ==,这样可把2020a 和2021a 用q 表示出来后,可求得20202021ln ln a a . 【详解】{}n a 是正项等比数列,0n a >,0n T ≠,*n N ∈,所以由2017202120172018201920202021T T T a a a a ==⋅,得20182019202020211a a a a =, 所以20182021201920201a a a a ==,设{}n a 公比为q ,1q ≠,22021201820213()1a a a q ==,2202020192020()1a a a q==,即322021a q =,122020a q =,所以1220203202121ln ln ln 123ln 3ln ln 2qa q a q q ===. 故选:A . 【点睛】本题考查等比数列的性质,解题关键是利用等比数列性质化简已知条件,然后用公比q 表示出相应的项后可得结论. 10.A 【分析】根据已知条件计算12320182019a a a a a ⋅⋅⋅⋅的结果为20201b b ,再根据等比数列下标和性质求解出2020b 的结果. 【详解】 因为1n n nb a b +=,所以32019202020202412320182019123201820191b b b b b b a a a a a b b b b b b ⋅⋅⋅⋅=⋅⋅⋅⋅⋅=, 因为数列{}n a 为等比数列,且10102a =, 所以()()()123201820191201922018100910111010a a a a a a a a a a a a ⋅⋅⋅=⋅⋅⋅⋅⋅⋅22220192019101010101010101010102a a a a a =⋅⋅⋅==所以2019202012b b =,又114b =,所以201720202b =, 故选:A. 【点睛】结论点睛:等差、等比数列的下标和性质:若()*2,,,,m n p q t m n p q t N +=+=∈,(1)当{}n a 为等差数列,则有2m n p q t a a a a a +=+=; (2)当{}n a 为等比数列,则有2m n p q t a a a a a ⋅=⋅=.11.无12.B 【分析】第n 天蜂巢中的蜜蜂数量为n a ,则数列{}n a 成等比数列.根据等比数列的通项公式,可以算出第6天所有的蜜蜂都归巢后的蜜蜂数量. 【详解】设第n 天蜂巢中的蜜蜂数量为n a ,根据题意得 数列{}n a 成等比数列,它的首项为6,公比6q =所以{}n a 的通项公式:1666n n n a -=⨯=到第6天,所有的蜜蜂都归巢后, 蜂巢中一共有66646656a =只蜜蜂. 故选:B . 13.A 【分析】由416a =-,314S a =+列出关于首项与公比的方程组,进而可得答案. 【详解】 因为314S a =+, 所以234+=a a ,所以()2131416a q q a q ⎧+=⎪⎨=-⎪⎩, 解得2q =-, 故选:A . 14.C 【分析】根据数列的新定义,得到122021...1a a a =,再由等比数列的性质得到210111a =,再利用11,01a q ><<求解即可.【详解】根据题意:2022122022...a a a a =, 所以122021...1a a a =,因为{a n }等比数列,设公比为q ,则0q >,所以212021220201011...1a a a a a ====,因为11a >,所以01q <<, 所以1010101110121,1,01a a a >=<<,所以前n 项的乘积取最大值时n 的最大值为1011. 故选:C. 【点睛】关键点睛:本题主要考查数列的新定义以及等比数列的性质,数列的最值问题,解题的关键是根据定义和等比数列性质得出210111a =以及11,01a q ><<进行判断.15.C 【分析】依次求出第次去掉的区间长度之和,这个和构成一个等比数列,再求其前n 项和,列出不等式解之可得. 【详解】第一次操作去掉的区间长度为13;第二次操作去掉两个长度为19的区间,长度和为29;第三次操作去掉四个长度为127的区间,长度和为427;…第n 次操作去掉12n -个长度为13n 的区间,长度和为123n n -,于是进行了n 次操作后,所有去掉的区间长度之和为1122213933nn n n S -⎛⎫=++⋅⋅⋅+=- ⎪⎝⎭, 由题意,902131n⎛⎫-≥ ⎪⎝⎭,即21lg lg1031n ≤=-,即()lg3lg21n -≥,解得:115.679lg3lg 20.47710.3010n ≥=≈--,又n 为整数,所以n 的最小值为6. 故选:C . 【点睛】本题以数学文化为背景,考查等比数列通项、前n 项和等知识及估算能力,属于中档题. 16.C 【分析】设等比数列{}n a 的公比为q ,由等比数列的前n 项和公式运算即可得解. 【详解】设等比数列{}n a 的公比为q , 当1q =时,4121422S a S a ==,不合题意; 当1q ≠时,()()41424222111115111a q S q q q S qa q q---===+=---,解得2q =±. 故选:C. 17.B 【分析】根据等比中项的性质求出3a ,从而求出1a ,最后根据公式求出3S ; 【详解】解:因为正项等比数列{}n a 满足241a a =,由于2243a a a =,所以231a =. 所以31a =,211a q ∴=,因为13q =,所以19a =.因此()3131131a q S q-==-.故选:B 18.C 【分析】利用等比数列的通项公式和前n 项和公式代入化简可得答案 【详解】解:因为等比数列的公比为2,所以31312311(12)7712244a S a a a a --===⋅, 故选:C 19.D 【分析】根据n S 与n a 的关系求出n a ,然后判断各选项. 【详解】由题意2n ≥时,111(3)(3)23n n n n n n a S S b b ---=-=+-+=⨯,13n na a +=(2)n ≥, 113a Sb ==+,若212333a a b⨯==+,即1b =-,则{}n a 是等比数列,否则不是等比数列,也不是等差数列, 故选:D . 【点睛】关键点点睛:本题考查等比数列的定义.在由1n n n a S S -=-求通项时,2n ≥必须牢记,11a S =它与(2)n a n ≥的求法不相同,因此会影响{}n a 的性质.对等比数列来讲,不仅要求3423a a a a ==,还必须满足3212a a a a =. 20.C 【分析】首先根据题意得到5S ,105S S -,1510S S -构成等比数列,再利用等比中项的性质即可得到答案. 【详解】因为{}n a 为等比数列,所以5S ,105S S -,1510S S -构成等比数列. 所以()()2155010=1050S --,解得15210S =. 故选:C二、多选题 21.无22.ABC 【分析】由122(2)n n S S p n --=≥和等比数列的定义,判断出A 正确;利用等比数列的求和公式判断B 正确;利用等比数列的通项公式计算得出C 正确,D 不正确. 【详解】由122(2)n n S S p n --=≥,得22p a =. 3n ≥时,1222n n S S p ---=,相减可得120n n a a --=,又2112a a =,数列{}n a 为首项为p ,公比为12的等比数列,故A 正确; 由A 可得1p =时,44111521812S -==-,故B 正确; 由A 可得m n m n a a a +⋅=等价为2121122m n m n p p ++⋅=⋅,可得12p =,故C 正确;38271133||||22128a a p p ⎛⎫+=+=⋅ ⎪⎝⎭,56451112||||22128a a p p ⎛⎫+=+=⋅ ⎪⎝⎭,则3856a a a a +>+,即D 不正确; 故选:ABC. 【点睛】 方法点睛:由数列前n 项和求通项公式时,一般根据11,2,1n n n S S n a a n --≥⎧=⎨=⎩求解,考查学生的计算能力. 23.BD 【分析】设设等比数列{}n a 的公比为q ,则0q >,由已知得1112114a a ++=,解方程计算即可得答案. 【详解】解:设等比数列{}n a 的公比为q ,则0q >,因为21531a a a ==,2311a a q == ,所以51115135151511111112111114a a a a a a a a a a a a a ++=++=++=+=+++=, 解得1412a q =⎧⎪⎨=⎪⎩或1142.a q ⎧=⎪⎨⎪=⎩, 当14a =,12q =时,551413121412S ⎛⎫- ⎪⎝⎭==-,数列{}n a 是递减数列;当114a =,2q 时,5314S =,数列{}n a 是递增数列; 综上,5314S =. 故选:BD. 【点睛】本题考查数列的等比数列的性质,等比数列的基本量计算,考查运算能力.解题的关键在于结合等比数列的性质将已知条件转化为1112114a a ++=,进而解方程计算. 24.ACD 【分析】在1+14,()n n a S a n N *==∈中,令1n =,则A 易判断;由32122S a a =+=,B 易判断;令12(1)n n n b n n a ++=+,138b =,2n ≥时,()()1112211(1)12212n n n n n n n b n n a n n n n +++++===-++⋅+⋅,裂项求和3182n T ≤<,则CD 可判断. 【详解】解:由1+14,()n n a S a n N *==∈,所以2114a S a ===,故A 正确;32212822S a a =+==≠,故B 错误;+1n n S a =,12,n n n S a -≥=,所以2n ≥时,11n n n n n a S S a a -+=-=-,12n na a +=, 所以2n ≥时,2422n nn a -=⋅=,令12(1)n n n b n n a ++=+,12123(11)8b a +==+,2n ≥时,()()1112211(1)12212n n n n n n n b n n a n n n n +++++===-++⋅+⋅,1138T b ==,2n ≥时,()()23341131111111118223232422122122n n n n T n n n ++=+-+-++-=-<⨯⋅⋅⋅⋅+⋅+⋅ 所以n *∈N 时,3182n T ≤<,故CD 正确;故选:ACD. 【点睛】方法点睛:已知n a 与n S 之间的关系,一般用()11,12n nn a n a S S n -=⎧=⎨-≥⎩递推数列的通项,注意验证1a 是否满足()12n n n a S S n -=-≥;裂项相消求和时注意裂成的两个数列能够抵消求和. 25.CD 【分析】由题意得到数列{}n a 的前n 项依次为231,2,3,2,5,7,2,9,利用列举法,结合等差数列以及等比数列的求和公式,验证即可求解. 【详解】由题意,数列{}n a 的前n 项依次为231,2,3,2,5,7,2,9,利用列举法,可得当25n =时,AB 的所有元素从小到大依次排列构成一个数列{}n a ,则数列{}n a 的前25项分别为:1,3,5,7,9,11,13,37,39,2,4,8,16,32,可得52520(139)2(12)40062462212S ⨯+-=+=+=-,2641a =,所以2612492a =,不满足112n n S a +>; 当26n =时,AB 的所有元素从小到大依次排列构成一个数列{}n a ,则数列{}n a 的前25项分别为:1,3,5,7,9,11,13,37,39,41,2,4,8,16,32,可得52621(141)2(12)44162503212S ⨯+-=+=+=-,2743a =,所以2612526a =,不满足112n n S a +>; 当27n =时,AB 的所有元素从小到大依次排列构成一个数列{}n a ,则数列{}n a 的前25项分别为:1,3,5,7,9,11,13,37,39,41,43,2,4,8,16,32,可得52722(143)2(12)48462546212S ⨯+-=+=+=-,2845a =,所以2712540a =,满足112n n S a +>; 当28n =时,AB 的所有元素从小到大依次排列构成一个数列{}n a ,则数列{}n a 的前25项分别为:1,3,5,7,9,11,13,37,39,41,43,45,2,4,8,16,32,可得52823(145)2(12)52962591212S ⨯+-=+=+=-,2947a =,所以2812564a =,满足112n n S a +>,所以使得112n n S a +>成立的n 的可能取值为27,28. 故选:CD. 【点睛】本题主要考查了等差数列和等比数列的前n 项和公式,以及“分组求和法”的应用,其中解答中正确理解题意,结合列举法求得数列的前n 项和,结合选项求解是解答的关键,着重考查推理与运算能力. 26.AC 【分析】 由已知得12n na 可得以2122n n a -=,可判断A ;又1111122n n n a --⎛⎫== ⎪⎝⎭,可判断B ;由122log log 21n n a n -==-,可判断C ;求得10S ,20S ,30S ,可判断D.【详解】等比数列{}n a 中,满足11a =,2q,所以12n n a ,所以2122n n a -=,所以数列{}2n a 是等比数列,故A 正确;又1111122n n n a --⎛⎫== ⎪⎝⎭,所以数列1n a ⎧⎫⎨⎬⎩⎭是递减数列,故B 不正确; 因为122log log 21n n a n -==-,所以{}2log n a 是等差数列,故C 正确;数列{}n a 中,101010111222S -==--,202021S =-,303021S =-,10S ,20S ,30S 不成等比数列,故D 不正确; 故选:AC . 【点睛】本题综合考查等差、等比数列的定义、通项公式、前n 项和公式,以及数列的单调性的判定,属于中档题. 27.AD 【分析】由已知可得11222n n n n S n S nS n S n ++++==++,结合等比数列的定义可判断A ;可得2n n S n =-,结合n a 和n S 的关系可求出{}n a 的通项公式,即可判断B ;由1231,1,3a a a ===可判断C ;由分组求和法结合等比数列和等差数列的前n 项和公式即可判断D. 【详解】因为121n n S S n +=+-,所以11222n n n n S n S nS n S n++++==++.又112S +=,所以数列{}n S n +是首项为2,公比为2的等比数列,故A 正确;所以2n n S n +=,则2nn S n =-.当2n ≥时,1121n n n n a S S --=-=-,但11121a -≠-,故B 错误;由1231,1,3a a a ===可得12312,12,14a a a +=+=+=,即32211111a a a a ++≠++,故C 错; 因为1222n n S n +=-,所以2311222...2221222 (2)2n n S S S n ++++=-⨯+-⨯++-()()()23122412122...2212 (22412)2n n n n n n n n n ++--⎡⎤=+++-+++=-+=---⎢⎥-⎣⎦ 所以数列{}2n S 的前n 项和为2224n n n +---,故D 正确. 故选:AD . 【点睛】本题考查等比数列的定义,考查了数列通项公式的求解,考查了等差数列、等比数列的前n 项和,考查了分组求和.28.BD 【分析】先求得q 的取值范围,根据q 的取值范围进行分类讨论,利用差比较法比较出n T 和n S 的大小关系. 【详解】由于{}n a 是等比数列,0n S >,所以110,0a S q =>≠, 当1q =时,10n S na =>,符合题意; 当1q ≠时,()1101n n a q S q-=>-,即101nq q ->-,上式等价于1010n q q ⎧->⎨->⎩①或1010n q q ⎧-<⎨-<⎩②.解②得1q >.解①,由于n 可能是奇数,也可能是偶数,所以()()1,00,1q ∈-.综上所述,q 的取值范围是()()1,00,-+∞.2213322n n n n b a a a q q ++⎛⎫=-=- ⎪⎝⎭,所以232n n T q q S ⎛⎫=- ⎪⎝⎭,所以()2311222n n n n T S S q q S q q ⎛⎫⎛⎫-=⋅--=⋅+⋅- ⎪ ⎪⎝⎭⎝⎭,而0n S >,且()()1,00,q ∈-⋃+∞.所以,当112q -<<-,或2q >时,0n n T S ->,即n n T S >,故BD 选项正确,C 选项错误. 当12(0)2q q -<<≠时,0n n T S -<,即n n T S <. 当12q =-或2q 时,0,n n n n T S T S -==,A 选项错误.综上所述,正确的选项为BD. 故选:BD 【点睛】本小题主要考查等比数列的前n 项和公式,考查差比较法比较大小,考查化归与转化的数学思想方法,考查分类讨论的数学思想方法,属于中档题. 29.ACD 【分析】由题意可得数列{}n a 满足递推关系12211,1,(3)n n n a a a a a n --===+≥,依次判断四个选项,即可得正确答案. 【详解】对于A ,写出数列的前6项为1,1,2,3,5,8,故A 正确; 对于B ,911235813+21+3488S =++++++=,故B 错误;对于C ,由12a a =,342a a a =-,564a a a =-,……,201920202018a a a =-,可得:13520192426486202020182020a a a a a a a a a a a a a a +++⋅⋅⋅+=+-+-+-++-=,故C正确.对于D ,斐波那契数列总有21n n n a a a ++=+,则2121a a a =,()222312321a a a a a a a a =-=-,()233423423a a a a a a a a =-=-,……,()220182018201920172018201920172018a a a a a a a a =-=-,220192019202020192018a a a a a =-,可得22212201920202019201920202019a a a a a a a a+++==,故D 正确;故选:ACD. 【点睛】本题以“斐波那契数列”为背景,考查数列的递推关系及性质,考查方程思想、转化与化归思想,考查逻辑推理能力和运算求解能力,求解时注意递推关系的灵活转换,属于中档题. 30.ABC 【分析】利用代入法求出前几项的关系即可判断出a 1,b 1的取值范围,分组法求出其前2n 项和的表达式,分析,即可得解. 【详解】∵数列{a n }为递增数列;∴a 1<a 2<a 3; ∵a n +a n +1=2n ,∴122324a a a a +=⎧⎨+=⎩; ∴12123212244a a a a a a a +⎧⎨+=-⎩>> ∴0<a 1<1;故A 正确.∴S 2n =(a 1+a 2)+(a 3+a 4)+…+(a 2n ﹣1+a 2n )=2+6+10+…+2(2n ﹣1)=2n 2; ∵数列{b n }为递增数列;∴b 1<b 2<b 3;∵b n •b n +1=2n∴122324b b b b =⎧⎨=⎩; ∴2132b b b b ⎧⎨⎩>>; ∴1<b1B 正确.∵T 2n =b 1+b 2+…+b 2n=(b 1+b 3+b 5+…+b 2n ﹣1)+(b 2+b 4+…+b 2n )()()()()121212122122nn n b b b b ⋅--=+=+-))2121n n ≥-=-;∴对于任意的n ∈N*,S 2n <T 2n ;故C 正确,D 错误.故选:ABC【点睛】本题考查了分组法求前n 项和及性质探究,考查了学生综合分析,转化划归,数学运算的能力,属于较难题.31.BCD【分析】举反例,反证,或按照等比数列的定义逐项判断即可.【详解】解:设{}n a 的公比为q ,A. 设()1n n a =-,则10n n a a ++=,显然{}1n n a a ++不是等比数列.B. 2211n n n n a a q a a +++=,所以{}1n n a a +为等比数列. C. ()()24222221222211n n n n n n a q q a a q a a a q +++++==++,所以{}221n n a a ++为等比数列. D. 当1q =时,n S np =,{}n S 显然不是等比数列;当1q ≠时,若{}n S 为等比数列,则()222112n n n S S n S -+=≥, 即()()()211111111111nn n a q a q a q q q q -+⎛⎫⎛⎫⎛⎫--- ⎪ ⎪⎪= ⎪ ⎪⎪---⎝⎭⎝⎭⎝⎭,所以1q =,与1q ≠矛盾, 综上,{}n S 不是等比数列.故选:BCD.【点睛】考查等比数列的辨析,基础题.32.ABC【分析】由11a >,781a a >,87101a a -<-,可得71a >,81a <.由等比数列的定义即可判断A ;运用等比数列的性质可判断B ;由正数相乘,若乘以大于1的数变大,乘以小于1的数变小,可判断C; 因为71a >,801a <<,可以判断D.【详解】11a >,781a a >,87101a a -<-, 71a ∴>,801a <<,∴A.01q <<,故正确;B.27981a a a =<,故正确; C.7T 是数列{}n T 中的最大项,故正确.D. 因为71a >,801a <<,n S 的最大值不是7S ,故不正确.故选:ABC .【点睛】本题考查了等比数列的通项公式及其性质、递推关系、不等式的性质,考查了推理能力与计算能力,属于中档题.33.AD【分析】设等差数列的公差为d ,运用等差数列和等比数列的通项公式分析A 正确,B 与C 不正确,结合条件判断等差数列为递减数列,即可得到D 正确.【详解】数列{a n }是公比q 为23-的等比数列,{b n }是首项为12,公差设为d 的等差数列, 则8912()3a a =-,91012()3a a =-,∴a 9•a 1021712()3a =-<0,故A 正确;∵a 1正负不确定,故B 错误;∵a 10正负不确定,∴由a 10>b 10,不能求得b 10的符号,故C 错误;由a 9>b 9且a 10>b 10,则a 1(23-)8>12+8d ,a 1(23-)9>12+9d , 由于910,a a 异号,因此90a <或100a <故 90b <或100b <,且b 1=12 可得等差数列{b n }一定是递减数列,即d <0,即有a 9>b 9>b 10,故D 正确.故选:AD【点睛】本题考查了等差等比数列的综合应用,考查了等比数列的通项公式、求和公式和等差数列的单调性,考查了学生综合分析,转化划归,数学运算的能力,属于中档题.34.ACD【分析】根据新定义进行判断.【详解】A .若数列{}n a 是单增数列,则11111111()(1)n n n n n n n n n n b b a a a a a a a a ------=--+=-+, 虽然有1n n a a ->,但当1110n n a a -+<时,1n n b a -<,因此{}n b 不一定是单增数列,A 正确;B .31n a n =-,则13131n b n n =---,易知{}n b 是递增数列,无最大值,B 错; C .31n a n =-,则13131n b n n =---,易知{}n b 是递增数列,有最小值,最小值为1b ,C 正确; D .若112n n a ⎛⎫=-- ⎪⎝⎭,则111()121()2n n n b =-----, 首先函数1y x x=-在(0,)+∞上是增函数, 当n 为偶数时,11()(0,1)2n n a =-∈,∴10n n nb a a =-<, 当n 为奇数时,11()2n n a =+1>,显然n a 是递减的,因此1n n n b a a =-也是递减的, 即135b b b >>>,∴{}n b 的奇数项中有最大值为13250236b =-=>,∴156b =是数列{}(*)n b n N ∈中的最大值.D 正确. 故选:ACD .【点睛】 本题考查数列新定义,解题关键正确理解新定义,把问题转化为利用数列的单调性求最值.35.ACD【分析】根据第一列成等差,第一行成等比可求出1361,a a ,列式即可求出m ,从而求出通项ij a , 再按照分组求和法,每一行求和可得S ,由此可以判断各选项的真假.【详解】∵a 11=2,a 13=a 61+1,∴2m 2=2+5m +1,解得m =3或m 12=-(舍去), ∴a ij =a i 1•3j ﹣1=[2+(i ﹣1)×m ]•3j ﹣1=(3i ﹣1)•3j ﹣1, ∴a 67=17×36,∴S =(a 11+a 12+a 13+……+a 1n )+(a 21+a 22+a 23+……+a 2n )+……+(a n 1+a n2+a n 3+……+a nn ) 11121131313131313n n n n a a a ---=+++---()()() 12=(3n ﹣1)•2312n n +-() 14=n (3n +1)(3n ﹣1) 故选:ACD.【点睛】本题主要考查等差数列,等比数列的通项公式的求法,分组求和法,等差数列,等比数列前n 项和公式的应用,属于中档题.。
等比数列求和公式简单例题求和公式例子:根据历史传说记载,国际象棋起源于古印度,相传国王要奖赏国际象棋的发明者,问他想要什么,发明者说:请您在棋盘的第一个格子里放1粒麦子,第二个格子里放2粒,第三个格子里放4粒,第四个格子里放8粒,以此类推,直到最后一个格子,第64格放满为止。
想要填满64格棋盘,到底需要多少麦粒。
实际上这是一个等比数列求和问题。
棋盘的第一格只需要麦粒a1=1,第二个需要麦粒a2=2,第3格a3=4,等等,这些麦粒的数量构成一个首项a1=1,公比q=2的等比数列。
那么要求64格棋盘的总麦粒数。
再观察对比这两个等式,发现它们有很多相同的指数幂,所以可以把两个等式相减来化简,我们用2式减1式,等号左边相减,2S64-S64,等号右边相减,这些相同的指数幂会消掉。
最后留下来的,只有264,减去1.所以能得到棋盘上的总麦粒数S64,等于264-1,这是一个天文数字,相当于全世界2000年的小麦产量。
上面计算麦粒的方法,对任何一个q不等于1的等比数列求和,都是适用的。
等比数列的前n项和Sn,=a1+a2+...+an,我们用a1和q来表示。
扩展资料性质:①若m、n、p、q∈N,且m+n=p+q,则aman=apaq;②在等比数列中,依次每k项之和仍成等比数列;③若m、n、q∈N,且m+n=2q,则am×an=(aq)^2;④若G是a、b的等比中项,则G2=ab(G ≠0);⑤在等比数列中,首项a1与公比q都不为零;⑥在数列{an}中每隔k(k∈N*)取出一项,按原来顺序排列,所得新数列仍为等比数列且公比为q^(k+1);⑦当数列{an}使各项都为正数的等比数列,数列{lgan}是lgq的等差数列。
等比数列典型例题及详细解答(总11页)-CAL-FENGHAI.-(YICAI)-Company One1-CAL-本页仅作为文档封面,使用请直接删除1.等比数列的定义一般地,如果一个数列从第2项起,每一项与它的前一项的比等于同一常数,那么这个数列叫做等比数列,这个常数叫做等比数列的公比,通常用字母__q __表示(q ≠0).2.等比数列的通项公式设等比数列{a n }的首项为a 1,公比为q ,则它的通项a n =a 1·qn -1. 3.等比中项若G 2=a ·b _(ab ≠0),那么G 叫做a 与b 的等比中项.4.等比数列的常用性质(1)通项公式的推广:a n =a m ·q n -m (n ,m ∈N *).(2)若{a n }为等比数列,且k +l =m +n (k ,l ,m ,n ∈N *),则a k ·a l =a m ·a n .(3)若{a n },{b n }(项数相同)是等比数列,则{λa n }(λ≠0),⎩⎨⎧⎭⎬⎫1a n ,{a 2n },{a n ·b n },⎩⎨⎧⎭⎬⎫a n b n 仍是等比数列. 5.等比数列的前n 项和公式等比数列{a n }的公比为q (q ≠0),其前n 项和为S n ,当q =1时,S n =na 1;当q ≠1时,S n =a 11-q n 1-q =a 1-a n q 1-q. 6.等比数列前n 项和的性质公比不为-1的等比数列{a n }的前n 项和为S n ,则S n ,S 2n -S n ,S 3n -S 2n 仍成等比数列,其公比为__q n __.【思考辨析】判断下面结论是否正确(请在括号中打“√”或“×”)(1)满足a n +1=qa n (n ∈N *,q 为常数)的数列{a n }为等比数列.( × )(2)G 为a ,b 的等比中项G 2=ab .( × )(3)如果数列{a n }为等比数列,b n =a 2n -1+a 2n ,则数列{b n }也是等比数列.( × )(4)如果数列{a n }为等比数列,则数列{ln a n }是等差数列.( × )(5)数列{a n }的通项公式是a n =a n,则其前n 项和为S n =a 1-a n1-a .( × ) (6)数列{a n }为等比数列,则S 4,S 8-S 4,S 12-S 8成等比数列.( × )1.(2015·课标全国Ⅱ)已知等比数列{a n }满足a 1=3,a 1+a 3+a 5=21,则a 3+a 5+a 7等于( )A .21B .42C .63D .84答案 B解析 设等比数列{a n }的公比为q ,则由a 1=3,a 1+a 3+a 5=21得3(1+q 2+q 4)=21,解得q 2=-3(舍去)或q 2=2,于是a 3+a 5+a 7=q 2(a 1+a 3+a 5)=2×21=42,故选B.2.设等比数列{a n }的前n 项和为S n .若S 2=3,S 4=15,则S 6等于( )A .31B .32C .63D .64答案 C解析 根据题意知,等比数列{a n }的公比不是-1.由等比数列的性质,得(S 4-S 2)2=S 2·(S 6-S 4),即122=3×(S 6-15),解得S 6=63.故选C.3.等比数列{a n }中,a 4=2,a 5=5,则数列{lg a n }的前8项和等于( )A .6B .5C .4D .3答案 C解析 数列{lg a n }的前8项和S 8=lg a 1+lg a 2+…+lg a 8=lg(a 1·a 2·…·a 8)=lg(a 1·a 8)4=lg(a 4·a 5)4=lg(2×5)4=4.4.(2015·安徽)已知数列{a n }是递增的等比数列,a 1+a 4=9,a 2a 3=8,则数列{a n }的前n 项和等于________. 答案 2n -1解析 由等比数列性质知a 2a 3=a 1a 4,又a 2a 3=8,a 1+a 4=9,所以联立方程⎩⎪⎨⎪⎧ a 1a 4=8,a 1+a 4=9,解得⎩⎪⎨⎪⎧ a 1=1,a 4=8或⎩⎪⎨⎪⎧a 1=8,a 4=1,又∵数列{a n }为递增数列, ∴a 1=1,a 4=8,从而a 1q 3=8,∴q =2.∴数列{a n }的前n 项和为S n =1-2n1-2=2n -1. 5.(教材改编)在9与243中间插入两个数,使它们同这两个数成等比数列,则这两个数为________. 答案 27,81解析 设该数列的公比为q ,由题意知,243=9×q 3,q 3=27,∴q =3.∴插入的两个数分别为9×3=27,27×3=81. 题型一 等比数列基本量的运算例1 (1)设{a n }是由正数组成的等比数列,S n 为其前n 项和.已知a 2a 4=1,S 3=7,则S 5等于( )A.152B.314C.334D.172(2)在等比数列{a n }中,若a 4-a 2=6,a 5-a 1=15,则a 3=________.答案 (1)B (2)4或-4解析 (1)显然公比q ≠1,由题意得⎩⎪⎨⎪⎧ a 1q ·a 1q 3=1,a 11-q 31-q =7,解得⎩⎪⎨⎪⎧ a 1=4,q =12,或⎩⎪⎨⎪⎧ a 1=9q =-13(舍去), ∴S 5=a 11-q 51-q =41-1251-12=314. (2)设等比数列{a n }的公比为q (q ≠0), 则⎩⎪⎨⎪⎧a 1q 3-a 1q =6,a 1q 4-a 1=15,两式相除,得q 1+q 2=25, 即2q 2-5q +2=0,解得q =2或q =12. 所以⎩⎪⎨⎪⎧ a 1=1,q =2,或⎩⎪⎨⎪⎧a 1=-16,q =12.故a 3=4或a 3=-4. 思维升华 等比数列基本量的运算是等比数列中的一类基本问题,数列中有五个量a 1,n ,q ,a n ,S n ,一般可以“知三求二”,通过列方程(组)可迎刃而解.(1)在正项等比数列{a n }中,a n +1<a n ,a 2·a 8=6,a 4+a 6=5,则a 5a 7等于( ) A.56B.65C.23D.32(2)(2015·湖南)设S n 为等比数列{a n }的前n 项和,若a 1=1,且3S 1,2S 2,S 3成等差数列,则a n =________. 答案 (1)D (2)3n -1解析 (1)设公比为q ,则由题意知0<q <1, 由⎩⎪⎨⎪⎧a 2·a 8=a 4·a 6=6,a 4+a 6=5,得a 4=3,a 6=2, 所以a 5a 7=a 4a 6=32. (2)由3S 1,2S 2,S 3成等差数列知,4S 2=3S 1+S 3,可得a 3=3a 2,所以公比q =3,故等比数列通项a n =a 1q n -1=3n -1. 题型二 等比数列的判定与证明例2 设数列{a n }的前n 项和为S n ,已知a 1=1,S n +1=4a n +2.(1)设b n =a n +1-2a n ,证明:数列{b n }是等比数列;(2)求数列{a n }的通项公式.(1)证明 由a 1=1及S n +1=4a n +2,有a 1+a 2=S 2=4a 1+2.∴a 2=5,∴b 1=a 2-2a 1=3.又⎩⎪⎨⎪⎧S n +1=4a n +2, ①S n =4a n -1+2 n ≥2, ② ①-②,得a n +1=4a n -4a n -1 (n ≥2),∴a n +1-2a n =2(a n -2a n -1) (n ≥2).∵b n =a n +1-2a n ,∴b n =2b n -1 (n ≥2),故{b n }是首项b 1=3,公比为2的等比数列.(2)解 由(1)知b n =a n +1-2a n =3·2n -1,∴a n +12n +1-a n 2n =34, 故{a n 2n }是首项为12,公差为34的等差数列. ∴a n 2n =12+(n -1)·34=3n -14, 故a n =(3n -1)·2n -2.引申探究例2中“S n +1=4a n +2”改为“S n +1=2S n +(n +1)”,其他不变探求数列{a n }的通项公式.解 由已知得n ≥2时,S n =2S n -1+n .∴S n +1-S n =2S n -2S n -1+1,∴a n +1=2a n +1,∴a n +1+1=2(a n +1),又a 1=1,当n =1时上式也成立,故{a n +1}是以2为首项,以2为公比的等比数列,∴a n +1=2·2n -1=2n ,∴a n =2n -1.思维升华 (1)证明一个数列为等比数列常用定义法与等比中项法,其他方法只用于选择题、填空题中的判定;若证明某数列不是等比数列,则只要证明存在连续三项不成等比数列即可.(2)利用递推关系时要注意对n =1时的情况进行验证.设数列{a n }的前n 项和为S n ,已知a 1+2a 2+3a 3+…+na n =(n -1)S n +2n (n ∈N *).(1)求a 2,a 3的值;(2)求证:数列{S n +2}是等比数列.(1)解 ∵a 1+2a 2+3a 3+…+na n =(n -1)S n +2n (n ∈N *),∴当n =1时,a 1=2×1=2;当n =2时,a 1+2a 2=(a 1+a 2)+4,∴a 2=4;当n =3时,a 1+2a 2+3a 3=2(a 1+a 2+a 3)+6,∴a 3=8.综上,a 2=4,a 3=8.(2)证明 a 1+2a 2+3a 3+…+na n =(n -1)S n +2n (n ∈N *),①∴当n ≥2时,a 1+2a 2+3a 3+…+(n -1)a n -1=(n -2)S n -1+2(n -1).②①-②得na n =(n -1)S n -(n -2)S n -1+2=n (S n -S n -1)-S n +2S n -1+2=na n -S n +2S n -1+2.∴-S n +2S n -1+2=0,即S n =2S n -1+2,∴S n +2=2(S n -1+2).∵S 1+2=4≠0,∴S n -1+2≠0,∴S n +2S n -1+2=2,故{S n +2}是以4为首项,2为公比的等比数列.题型三 等比数列的性质及应用例3 (1)在等比数列{a n }中,各项均为正值,且a 6a 10+a 3a 5=41,a 4a 8=5,则a 4+a 8=________.(2)等比数列{a n }的首项a 1=-1,前n 项和为S n ,若S 10S 5=3132,则公比q =________. 答案 (1)51 (2)-12解析 (1)由a 6a 10+a 3a 5=41及a 6a 10=a 28,a 3a 5=a 24, 得a 24+a 28=41.因为a 4a 8=5,所以(a 4+a 8)2=a 24+2a 4a 8+a 28=41+2×5=51.又a n >0,所以a 4+a 8=51.(2)由S 10S 5=3132,a 1=-1知公比q ≠±1, 则可得S 10-S 5S 5=-132. 由等比数列前n 项和的性质知S 5,S 10-S 5,S 15-S 10成等比数列,且公比为q 5,故q 5=-132,q =-12. 思维升华 (1)在等比数列的基本运算问题中,一般利用通项公式与前n 项和公式,建立方程组求解,但如果能灵活运用等比数列的性质“若m +n =p +q ,则有a m a n =a p a q ”,可以减少运算量.(2)等比数列的项经过适当的组合后构成的新数列也具有某种性质,例如等比数列S k ,S 2k -S k ,S 3k -S 2k ,…成等比数列,公比为q k (q ≠-1).已知等比数列{a n }的公比为正数,且a 3a 9=2a 25,a 2=2,则a 1等于( )A.12B.22C. 2 D .2(2)等比数列{a n }共有奇数项,所有奇数项和S 奇=255,所有偶数项和S 偶=-126,末项是192,则首项a 1等于( )A .1B .2C .3D .4答案 (1)C (2)C 解析 (1)由等比数列的性质得a 3a 9=a 26=2a 25, ∵q >0,∴a 6=2a 5,q =a 6a 5=2,a 1=a 2q =2,故选C. (2)设等比数列{a n }共有2k +1(k ∈N *)项,则a 2k +1=192,则S 奇=a 1+a 3+…+a 2k -1+a 2k +1=1q(a 2+a 4+…+a 2k )+a 2k +1=1q S 偶+a 2k +1=-126q +192=255,解得q =-2,而S 奇=a 1-a 2k +1q 21-q 2=a 1-192×-221--22=255,解得a 1=3,故选C.12.分类讨论思想在等比数列中的应用典例 (12分)已知首项为32的等比数列{a n }的前n 项和为S n (n ∈N *),且-2S 2,S 3,4S 4成等差数列. (1)求数列{a n }的通项公式;(2)证明:S n +1S n ≤136(n ∈N *). 思维点拨 (1)利用等差数列的性质求出等比数列的公比,写出通项公式;(2)求出前n 项和,根据函数的单调性证明.规范解答(1)解 设等比数列{a n }的公比为q ,因为-2S 2,S 3,4S 4成等差数列,所以S 3+2S 2=4S 4-S 3,即S 4-S 3=S 2-S 4,可得2a 4=-a 3,于是q =a 4a 3=-12.[2分] 又a 1=32,所以等比数列{a n }的通项公式为 a n =32×⎝⎛⎭⎫-12n -1=(-1)n -1·32n .[3分] (2)证明 由(1)知,S n =1-⎝⎛⎭⎫-12n , S n +1S n =1-⎝⎛⎭⎫-12n+11-⎝⎛⎭⎫-12n=⎩⎪⎨⎪⎧ 2+12n 2n +1,n 为奇数,2+12n 2n -1,n 为偶数.[6分]当n 为奇数时,S n +1S n随n 的增大而减小, 所以S n +1S n ≤S 1+1S 1=136.[8分] 当n 为偶数时,S n +1S n随n 的增大而减小, 所以S n +1S n ≤S 2+1S 2=2512.[10分] 故对于n ∈N *,有S n +1S n ≤136.[12分] 温馨提醒 (1)分类讨论思想在等比数列中应用较多,常见的分类讨论有①已知S n 与a n 的关系,要分n =1,n ≥2两种情况.②等比数列中遇到求和问题要分公比q =1,q ≠1讨论.③项数的奇、偶数讨论.④等比数列的单调性的判断注意与a 1,q 的取值的讨论.(2)数列与函数有密切的联系,证明与数列有关的不等式,一般是求数列中的最大项或最小项,可以利用图象或者数列的增减性求解,同时注意数列的增减性与函数单调性的区别.[方法与技巧]1.已知等比数列{a n }(1)数列{c ·a n }(c ≠0),{|a n |},{a 2n },{1a n}也是等比数列. (2)a 1a n =a 2a n -1=…=a m a n -m +1.2.判断数列为等比数列的方法(1)定义法:a n +1a n =q (q 是不等于0的常数,n ∈N *)数列{a n }是等比数列;也可用a n a n -1=q (q 是不等于0的常数,n ∈N *,n ≥2)数列{a n }是等比数列.二者的本质是相同的,其区别只是n 的初始值不同.(2)等比中项法:a 2n +1=a n a n +2(a n a n +1a n +2≠0,n ∈N *)数列{a n }是等比数列.[失误与防范]1.特别注意q =1时,S n =na 1这一特殊情况.2.由a n +1=qa n ,q ≠0,并不能立即断言{a n }为等比数列,还要验证a 1≠0.3.在运用等比数列的前n 项和公式时,必须注意对q =1与q ≠1分类讨论,防止因忽略q =1这一特殊情形而导致解题失误.4.等比数列性质中:S n ,S 2n -S n ,S 3n -S 2n 也成等比数列,不能忽略条件q ≠-1.A 组 专项基础训练(时间:35分钟)1.已知等比数列{a n }中,a 2+a 3=1,a 4+a 5=2,则a 6+a 7等于( )A .2B .2 2C .4D .4 2 答案 C解析 因为a 2+a 3,a 4+a 5,a 6+a 7成等比数列,a 2+a 3=1,a 4+a 5=2,所以(a 4+a 5)2=(a 2+a 3)(a 6+a 7),解得a 6+a 7=4.2.等比数列{a n }满足a n >0,n ∈N *,且a 3·a 2n -3=22n (n ≥2),则当n ≥1时,log 2a 1+log 2a 2+…+log 2a 2n -1等于( )A .n (2n -1)B .(n +1)2C .n 2D .(n -1)2答案 A解析 由等比数列的性质,得a 3·a 2n -3=a 2n =22n ,从而得a n =2n . 方法一 log 2a 1+log 2a 2+…+log 2a 2n -1=log 2[(a 1a 2n -1)·(a 2a 2n -2)·…·(a n -1a n +1)a n ]=log 22n (2n -1)=n (2n -1). 方法二 取n =1,log 2a 1=log 22=1,而(1+1)2=4,(1-1)2=0,排除B ,D ;取n =2,log 2a 1+log 2a 2+log 2a 3=log 22+log 24+log 28=6,而22=4,排除C ,选A.3.在正项等比数列{a n }中,已知a 1a 2a 3=4,a 4a 5a 6=12,a n -1a n a n +1=324,则n 等于( )A .12B .13C .14D .15答案 C解析 设数列{a n }的公比为q ,由a 1a 2a 3=4=a 31q 3与a 4a 5a 6=12=a 31q 12,可得q 9=3,a n -1a n a n +1=a 31q 3n -3=324, 因此q 3n -6=81=34=q 36,所以n =14,故选C.4.若正项数列{a n }满足lg a n +1=1+lg a n ,且a 2 001+a 2 002+…+a 2 010=2 016,则a 2 011+a 2 012+…+a 2 020的值为( )A .2 015·1010B .2 015·1011C .2 016·1010D .2 016·1011 答案 C解析 ∵lg a n +1=1+lg a n ,∴lg a n +1a n=1, ∴a n +1a n=10,∴数列{a n }是等比数列, ∵a 2 001+a 2 002+…+a 2 010=2 016,∴a 2 011+a 2 012+…+a 2 020=1010(a 2 001+a 2 002+…+a 2 010)=2 016×1010.5.已知S n 是等比数列{a n }的前n 项和,若存在m ∈N *,满足S 2m S m =9,a 2m a m =5m +1m -1,则数列{a n }的公比为( ) A .-2 B .2 C .-3 D .3答案 B解析 设公比为q ,若q =1,则S 2m S m=2, 与题中条件矛盾,故q ≠1.∵S 2m S m =a 11-q 2m1-q a 11-qm 1-q=q m +1=9,∴q m =8. ∴a 2m a m =a 1q 2m -1a 1q m -1=q m =8=5m +1m -1, ∴m =3,∴q 3=8,∴q =2.6.等比数列{a n }中,S n 表示前n 项和,a 3=2S 2+1,a 4=2S 3+1,则公比q 为________. 答案 3解析 由a 3=2S 2+1,a 4=2S 3+1得a 4-a 3=2(S 3-S 2)=2a 3,∴a 4=3a 3,∴q =a 4a 3=3. 7.等比数列{a n }的前n 项和为S n ,公比不为1.若a 1=1,则对任意的n ∈N *,都有a n +2+a n +1-2a n =0,则S 5=________.答案 11解析 由题意知a 3+a 2-2a 1=0,设公比为q ,则a 1(q 2+q -2)=0.由q 2+q -2=0解得q =-2或q =1(舍去),则S 5=a 11-q 51-q=1--253=11. 8.已知数列{a n }的首项为1,数列{b n }为等比数列且b n =a n +1a n,若b 10·b 11=2,则a 21=________. 答案 1 024解析 ∵b 1=a 2a 1=a 2,b 2=a 3a 2, ∴a 3=b 2a 2=b 1b 2,∵b 3=a 4a 3, ∴a 4=b 1b 2b 3,…,a n =b 1b 2b 3·…·b n -1,∴a 21=b 1b 2b 3·…·b 20=(b 10b 11)10=210=1 024.9.数列{b n }满足:b n +1=2b n +2,b n =a n +1-a n ,且a 1=2,a 2=4.(1)求数列{b n }的通项公式;(2)求数列{a n }的前n 项和S n .解 (1)由b n +1=2b n +2,得b n +1+2=2(b n +2),∴b n +1+2b n +2=2,又b 1+2=a 2-a 1+2=4,∴数列{b n +2}是首项为4,公比为2的等比数列.∴b n +2=4·2n -1=2n +1,∴b n =2n +1-2.(2)由(1)知,a n -a n -1=b n -1=2n -2 (n ≥2),∴a n -1-a n -2=2n -1-2 (n >2),…,a 2-a 1=22-2,∴a n -2=(22+23+…+2n )-2(n -1),∴a n =(2+22+23+…+2n )-2n +2=22n -12-1-2n +2=2n +1-2n . ∴S n =41-2n 1-2-n 2+2n 2=2n +2-(n 2+n +4). 10.已知数列{a n }和{b n }满足a 1=λ,a n +1=23a n +n -4,b n =(-1)n (a n -3n +21),其中λ为实数,n 为正整数. (1)证明:对任意实数λ,数列{a n }不是等比数列;(2)证明:当λ≠-18时,数列{b n }是等比数列.证明 (1)假设存在一个实数λ,使{a n }是等比数列,则有a 22=a 1a 3,即⎝⎛⎭⎫23λ-32=λ⎝⎛⎭⎫49λ-449λ2-4λ+9=49λ2-4λ9=0,矛盾. 所以{a n }不是等比数列.(2)b n +1=(-1)n +1[a n +1-3(n +1)+21]=(-1)n +1⎝⎛⎭⎫23a n -2n +14=-23(-1)n ·(a n -3n +21)=-23b n . 又λ≠-18,所以b 1=-(λ+18)≠0.由上式知b n ≠0,所以b n +1b n =-23(n ∈N *). 故当λ≠-18时,数列{b n }是以-(λ+18)为首项,-23为公比的等比数列. B 组 专项能力提升(时间:20分钟)11.设{a n }是各项为正数的无穷数列,A i 是边长为a i ,a i +1的矩形的面积(i =1,2,…),则{A n }为等比数列的充要条件是( )A .{a n }是等比数列B .a 1,a 3,…,a 2n -1,…或a 2,a 4,…,a 2n ,…是等比数列C .a 1,a 3,…,a 2n -1,…和a 2,a 4,…,a 2n ,…均是等比数列D .a 1,a 3,…,a 2n -1,…和a 2,a 4,…,a 2n ,…均是等比数列,且公比相同答案 D解析 ∵A i =a i a i +1,若{A n }为等比数列,则A n +1A n =a n +1a n +2a n a n +1=a n +2a n 为常数,即A 2A 1=a 3a 1,A 3A 2=a 4a 2,….∴a 1,a 3,a 5,…,a 2n -1,…和a 2,a 4,…,a 2n ,…成等比数列,且公比相等.反之,若奇数项和偶数项分别成等比数列,且公比相等,设为q ,则A n +1A n =a n +2a n=q ,从而{A n }为等比数列. 12.若等比数列{a n }的各项均为正数,且a 10a 11+a 9a 12=2e 5,则ln a 1+ln a 2+…+ln a 20=________. 答案 50解析 因为a 10a 11+a 9a 12=2a 10a 11=2e 5,所以a 10a 11=e 5.所以ln a 1+ln a 2+…+ln a 20=ln(a 1a 2…a 20)=ln [(a 1a 20)·(a 2a 19)·…·(a 10a 11)]=ln(a 10a 11)10=10ln(a 10a 11)=10ln e 5=50.13.数列{a n }满足a 1=2且对任意的m ,n ∈N *,都有a n +m a m=a n ,则a 3=________;{a n }的前n 项和S n =________.答案 8 2n +1-2解析 ∵a n +m a m=a n , ∴a n +m =a n ·a m ,∴a 3=a 1+2=a 1·a 2=a 1·a 1·a 1=23=8;令m =1,则有a n +1=a n ·a 1=2a n ,∴数列{a n }是首项为a 1=2,公比为q =2的等比数列,∴S n =21-2n1-2=2n +1-2. 14.定义在(-∞,0)∪(0,+∞)上的函数f (x ),如果对于任意给定的等比数列{a n },{f (a n )}仍是等比数列,则称f (x )为“保等比数列函数”.现有定义在(-∞,0)∪(0,+∞)上的如下函数:①f (x )=x 2;②f (x )=2x ;③f (x )=|x |;④f (x )=ln |x |.则其中是“保等比数列函数”的f (x )的序号为________.答案 ①③解析 设{a n }的公比为q ,验证①fa n +1fa n =a 2n +1a 2n =q 2,③fa n +1fa n =|a n +1||a n |=|q |,故①③为“保等比数列函数”. 15.已知数列{a n }中,a 1=1,a n ·a n +1=⎝⎛⎭⎫12n ,记T 2n 为{a n }的前2n 项的和,b n =a 2n +a 2n -1,n ∈N *.(1)判断数列{b n }是否为等比数列,并求出b n ;(2)求T 2n .解 (1)∵a n ·a n +1=⎝⎛⎭⎫12n ,∴a n +1·a n +2=⎝⎛⎭⎫12n +1,∴a n +2a n =12,即a n +2=12a n . ∵b n =a 2n +a 2n -1,∴b n +1b n =a 2n +2+a 2n +1a 2n +a 2n -1=12a 2n +12a 2n -1a 2n +a 2n -1=12, ∵a 1=1,a 1·a 2=12, ∴a 2=12b 1=a 1+a 2=32. ∴{b n }是首项为32,公比为12的等比数列. ∴b n =32×⎝⎛⎭⎫12n -1=32n . (2)由(1)可知,a n +2=12a n , ∴a 1,a 3,a 5,…是以a 1=1为首项,以12为公比的等比数列;a 2,a 4,a 6,…是以a 2=12为首项,以12为公比的等比数列,∴T 2n =(a 1+a 3+…+a 2n -1)+(a 2+a 4+…+a 2n )=1-⎝⎛⎭⎫12n 1-12+12⎣⎡⎦⎤1-⎝⎛⎭⎫12n 1-12=3-32n .。
等比数列求和例题
哎呀呀,同学们,今天咱们来聊聊等比数列求和的例题!
先给大家举个例子哈。
比如说有一个等比数列,首项是2,公比是3,那这数列就是2,6,18,54……一直这样下去。
那咱们怎么求它前n 项的和呢?
这就好像咱们去爬山,每走一段路,高度就增加好多,但是咱们得知道爬到山顶一共走了多高,对吧?
咱们设前n 项和是Sₙ,那Sₙ = 2 + 2×3 + 2×3² + 2×3³ +…… + 2×3ⁿ⁻¹ 。
这看起来是不是有点头疼?别慌!
咱们给这个式子乘以公比3 试试,那就变成3Sₙ = 2×3 + 2×3² + 2×3³ +…… + 2×3ⁿ。
这两个式子一相减,嘿!好多项都能消掉,就像咱们玩消消乐一样!
(2 - 3)Sₙ = 2 - 2×3ⁿ,那Sₙ 不就等于3ⁿ - 1 嘛!
大家想想,这是不是很神奇?就像变魔术一样!
再比如说,又有一个等比数列,首项是1,公比是2,那就是1,2,4,8……
咱们按照刚才的方法来算算它的前n 项和,是不是也能很快就求出来啦?
咱们学习等比数列求和,就像是在探索一个神秘的宝藏,每一步计算都是在解开谜题的钥匙,可有趣啦!难道你们不觉得吗?
所以说呀,等比数列求和其实并不难,只要咱们掌握了方法,就像有了超级武器,什么难题都能打败!同学们,加油呀,咱们一起在数学的世界里畅游,发现更多的奇妙!。
完整版)数列典型例题(含答案)等差数列的前n项和公式为代入已知条件,得到解得代入已知条件,得到解得代入已知条件,得到解得代入已知条件,得到解得代入已知条件,得到解得代入已知条件,得到解得代入已知条件,得到解得代入已知条件,得到解得代入已知条件,得到解得代入已知条件,得到解得代入已知条件,得到解得代入已知条件,得到解得代入已知条件,得到解得代入已知条件,得到解得代入已知条件,得到解得代入已知条件,得到解得代入已知条件,得到解得代入已知条件,得到解得代入已知条件,得到解得代入已知条件,得到解得代入已知条件,得到解得代入已知条件,得到解得代入已知条件,得到解得代入已知条件,得到解得代入已知条件,得到解得代入已知条件,得到解得。
因此,前项和为。
⑵由已知条件可得代入等差数列的前n项和公式,得到化简得因此,前项和为。
8.(2010山东理) 已知等差数列 $a_1,a_2,\ldots,a_n,\ldots$,其中 $a_1=1$,公差为 $d$。
1) 求 $a_5$ 和 $a_{10}$。
2) 满足 $a_1+a_2+\ldots+a_k=100$,$a_1+a_2+\ldots+a_{k+1}>100$,$k\in\mathbb{N}$,求该等差数列的前 $k$ XXX。
考查目的:考查等差数列的通项公式和前项和公式等基础知识,考查数列求和的基本方法以及运算求解能力。
答案:(1) $a_5=5d+1$,$a_{10}=10d+1$;(2) $k=13$,前$k$ 项和为 $819$。
解析:(1) 根据等差数列的通项公式 $a_n=a_1+(n-1)d$,可得 $a_5=1+4d$,$a_{10}=1+9d$。
2) 设该等差数列的前 $k$ 项和为 $S_k$,则由等差数列的前项和公式可得 $S_k=\dfrac{k}{2}[2a_1+(k-1)d]$。
根据已知条件可列出不等式组:begin{cases}S_k=100\\S_{k+1}>100end{cases}将 $S_k$ 代入得:frac{k}{2}[2+(k-1)d]=100整理得:$k^2+kd-400=0$。
一、等比数列选择题1.明代数学家程大位编著的《算法统宗》是中国数学史上的一座丰碑.其中有一段著述“远望巍巍塔七层,红光点点倍加增,共灯三百八十一”.注:“倍加增”意为“从塔顶到塔底,相比于上一层,每一层灯的盏数成倍增加”,则该塔正中间一层的灯的盏数为( )A .3B .12C .24D .482.已知等比数列{a n }中,有a 3a 11=4a 7,数列{b n }是等差数列,且b 7=a 7,则b 5+b 9=( ) A .4 B .5 C .8 D .15 3.若1,a ,4成等比数列,则a =( )A .1B .2±C .2D .2-4.已知数列{}n a 满足112a =,*11()2n n a a n N +=∈.设2n n n b a λ-=,*n N ∈,且数列{}n b 是单调递增数列,则实数λ的取值范围是( )A .(,1)-∞B .3(1,)2-C .3(,)2-∞D .(1,2)-5.312与312的等比中项是( )A .-1B .1C .22D .22±6.已知等比数列{}n a 的前n 项和为n S ,若213a a =,且数列{}13n S a -也为等比数列,则n a 的表达式为( )A .12nn a ⎛⎫= ⎪⎝⎭B .112n n a +⎛⎫= ⎪⎝⎭C .23nn a ⎛⎫= ⎪⎝⎭D .123n n a +⎛⎫= ⎪⎝⎭7.等比数列{}n a 的前n 项积为n T ,且满足11a >,10210310a a ->,102103101a a -<-,则使得1n T >成立的最大自然数n 的值为( )A .102B .203C .204D .2058.设等比数列{}n a 的公比为q ,其前n 项和为n S ,前n 项积为n T ,并且满足条件11a >,667711,01a a a a -><-,则下列结论正确的是( ) A .681a a >B .01q <<C .n S 的最大值为7SD .n T 的最大值为7T9.已知各项均为正数的等比数列{}n a ,若543264328a a a a +--=,则7696a a +的最小值为( ) A .12B .18C .24D .3210.在数列{}n a 中,12a =,对任意的,m n N *∈,m n m n a a a +=⋅,若1262n a a a ++⋅⋅⋅+=,则n =( )A .3B .4C .5D .611.已知等比数列{}n a 的前n 项和为n S ,若1231112a a a ++=,22a =,则3S =( ) A .8B .7C .6D .412.设数列{}n a 的前n 项和为n S ,且()*2n n S a n n N =+∈,则3a=( )A .7-B .3-C .3D .713.在数列{}n a 中,32a =,12n n a a +=,则5a =( ) A .32B .16C .8D .414.若一个数列的第m 项等于这个数列的前m 项的乘积,则称该数列为“m 积列”.若各项均为正数的等比数列{a n }是一个“2022积数列”,且a 1>1,则当其前n 项的乘积取最大值时,n 的最大值为( ) A .1009B .1010C .1011D .202015.十九世纪下半叶集合论的创立,奠定了现代数学的基础.著名的“康托三分集”是数学理性思维的构造产物,具有典型的分形特征,其操作过程如下:将闭区间[0,1]均分为三段,去掉中间的区间段12(,)33,记为第一次操作;再将剩下的两个区间1[0,]3,2[,1]3分别均分为三段,并各自去掉中间的区间段,记为第二次操作;…,如此这样,每次在上一次操作的基础上,将剩下的各个区间分别均分为三段,同样各自去掉中间的区间段.操作过程不断地进行下去,以至无穷,剩下的区间集合即是“康托三分集”.若使去掉的各区间长度之和不小于910,则需要操作的次数n 的最小值为( )(参考数据:lg 20.3010=,lg30.4771=)A .4B .5C .6D .716.已知1,a 1,a 2,9四个实数成等差数列,1,b 1,b 2,b 3,9五个数成等比数列,则b 2(a 2﹣a 1)等于( )A .8B .﹣8C .±8D .9817.若数列{}n a 是等比数列,且17138a a a =,则311a a =( ) A .1B .2C .4D .818.在等比数列{}n a 中,首项11,2a =11,,232n q a ==则项数n 为( ) A .3B .4C .5D .619.已知正项等比数列{}n a 满足7652a a a =+,若存在两项m a ,n a 14a =,则14m n +的最小值为( ) A .53B .32C .43D .11620.已知公比大于1的等比数列{}n a 满足2420a a +=,38a =.则数列(){}111n n n a a -+-的前n 项的和为( )A .()2382133n n +--B .()23182155n n +---C .()2382133n n ++-D .()23182155n n +-+-二、多选题21.设()f x 是定义在R 上恒不为零的函数,对任意实数x 、y ,都有()()()f x y f x f y +=,若112a =,()()*n a f n n N =∈,数列{}n a 的前n 项和n S 组成数列{}n S ,则有( ) A .数列{}n S 递增,且1n S < B .数列{}n S 递减,最小值为12C .数列{}n S 递增,最小值为12D .数列{}n S 递减,最大值为122.已知数列{}n a 是等比数列,则下列结论中正确的是( ) A .数列2{}n a 是等比数列 B .若4123,27,a a ==则89a =± C .若123,a a a <<则数列{}n a 是递增数列 D .若数列{}n a 的前n 和13,n n S r -=+则r =-123.记单调递增的等比数列{a n }的前n 项和为S n ,若2410a a +=,23464a a a =,则( )A .112n n n S S ++-=B .12n n aC .21nn S =- D .121n n S -=-24.已知数列{}n a 的前n 项和为n S 且满足11130(2),3n n n a S S n a -+=≥=,下列命题中正确的是( )A .1n S ⎧⎫⎨⎬⎩⎭是等差数列B .13n S n=C .13(1)n a n n =--D .{}3n S 是等比数列25.设等比数列{}n a 的公比为q ,其前n 项和为n S ,前n 项积为n T ,并且满足条件11a >,667711,01a a a a -><-,则下列结论正确的是( ) A .01q <<B .681a a >C .n S 的最大值为7SD .n T 的最大值为6T26.设等比数列{}n a 的公比为q ,其前n 项和为n S ,前n 项积为n T ,并且满足条件11a >,671a a >,67101a a -<-,则下列结论正确的是( ) A .01q <<B .8601a a <<C .n S 的最大值为7SD .n T 的最大值为6T27.已知数列{}n a 的首项为4,且满足()*12(1)0n n n a na n N++-=∈,则( )A .n a n ⎧⎫⎨⎬⎩⎭为等差数列B .{}n a 为递增数列C .{}n a 的前n 项和1(1)24n n S n +=-⋅+D .12n n a +⎧⎫⎨⎬⎩⎭的前n 项和22n n n T +=28.在《增删算法统宗》中有这样一则故事:“三百七十八里关,初行健步不为难;次日脚痛减一半,如此六日过其关.”则下列说法正确的是( ) A .此人第二天走了九十六里路B .此人第三天走的路程站全程的18C .此人第一天走的路程比后五天走的路程多六里D .此人后三天共走了42里路29.已知数列{}n a 的前n 项和为S n ,22n n S a =-,若存在两项m a ,n a ,使得64m n a a =,则( )A .数列{}n a 为等差数列B .数列{}n a 为等比数列C .22212413nn a a a -+++=D .m n +为定值30.已知数列{a n },{b n }均为递增数列,{a n }的前n 项和为S n ,{b n }的前n 项和为T n .且满足a n +a n +1=2n ,b n •b n +1=2n (n ∈N *),则下列说法正确的有( ) A .0<a 1<1B .1<b1C .S 2n <T 2nD .S 2n ≥T 2n31.已知数列{}n a 满足11a =,()*123nn na a n N a +=∈+,则下列结论正确的有( ) A .13n a ⎧⎫+⎨⎬⎩⎭为等比数列 B .{}n a 的通项公式为1123n n a +=-C .{}n a 为递增数列D .1n a ⎧⎫⎨⎬⎩⎭的前n 项和2234n n T n +=--32.数列{}n a 为等比数列( ). A .{}1n n a a ++为等比数列 B .{}1n n a a +为等比数列 C .{}221n n a a ++为等比数列D .{}n S 不为等比数列(n S 为数列{}n a 的前n 项)33.设{}n a 是无穷数列,若存在正整数k ,使得对任意n +∈N ,均有n k n a a +>,则称{}n a 是间隔递增数列,k 是{}n a 的间隔数,下列说法正确的是( )A .公比大于1的等比数列一定是间隔递增数列B .已知4n a n n=+,则{}n a 是间隔递增数列 C .已知()21nn a n =+-,则{}n a 是间隔递增数列且最小间隔数是2D .已知22020n a n tn =-+,若{}n a 是间隔递增数列且最小间隔数是3,则45t ≤<34.在递增的等比数列{a n }中,S n 是数列{a n }的前n 项和,若a 1a 4=32,a 2+a 3=12,则下列说法正确的是( ) A .q =1 B .数列{S n +2}是等比数列C .S 8=510D .数列{lga n }是公差为2的等差数列35.对于数列{}n a ,若存在数列{}n b 满足1n n nb a a =-(*n ∈N ),则称数列{}n b 是{}n a 的“倒差数列”,下列关于“倒差数列”描述正确的是( ) A .若数列{}n a 是单增数列,但其“倒差数列”不一定是单增数列;B .若31n a n =-,则其“倒差数列”有最大值;C .若31n a n =-,则其“倒差数列”有最小值;D .若112nn a ⎛⎫=-- ⎪⎝⎭,则其“倒差数列”有最大值.【参考答案】***试卷处理标记,请不要删除一、等比数列选择题 1.C 【分析】题意说明从塔顶到塔底,每层的灯盏数构成公比为2的等比数列,设塔顶灯盏数为1a ,由系数前n 项和公式求得1a ,再由通项公式计算出中间项. 【详解】根据题意,可知从塔顶到塔底,每层的灯盏数构成公比为2的等比数列,设塔顶灯盏数为1a ,则有()7171238112a S ⋅-==-,解得13a =,中间层灯盏数34124a a q ==,故选:C. 2.C 【分析】由等比中项,根据a 3a 11=4a 7求得a 7,进而求得b 7,再利用等差中项求解. 【详解】 ∵a 3a 11=4a 7, ∴27a =4a 7, ∵a 7≠0, ∴a 7=4, ∴b 7=4, ∴b 5+b 9=2b 7=8. 故选:C 3.B 【分析】根据等比中项性质可得24a =,直接求解即可. 【详解】由等比中项性质可得:2144a =⨯=,所以2a =±, 故选:B4.C 【分析】 由*11()2n n a a n N +=∈可知数列{}n a 是公比为2的等比数列,12n n a =,得2(2)2n n nn b n a λλ-==-,结合数列{b n }是单调递增数列,可得1n n b b +>对于任意的*n N ∈*恒成立,参变分离后即可得解.【详解】 由*11()2n n a a n N +=∈可知数列{}n a 是公比为2的等比数列, 所以1111()222n n n a -==, 2(2)2n n nn b n a λλ-==- ∵数列{n b 是单调递增数列, ∴1n n b b +>对于任意的*n N ∈*恒成立, 即1(12)2(2)2n n n n λλ++->-,整理得:22n λ+<32λ∴< ,故选:C. 【点睛】本题主要考查了已知数列的单调性求参,一般研究数列的单调性的方法有: 一、利用数列单调性的定义,由1n n a a +>得数列单增,1n n a a +<得数列单减; 二、借助于函数的单调性研究数列的单调性. 5.D 【分析】利用等比中项定义得解. 【详解】2311()((22-==±,的等比中项是2± 故选:D 6.D 【分析】设等比数列{}n a 的公比为q ,当1q =时,111133(3)n S a na a n a -=-=-,该式可以为0,不是等比数列,当1q ≠时,11113311n n a aS a q a q q-=-⋅+---,若是等比数列,则11301a a q -=-,可得23q =,利用213a a =,可以求得1a 的值,进而可得n a 的表达式 【详解】设等比数列{}n a 的公比为q当1q =时,1n S na =,所以111133(3)n S a na a n a -=-=-, 当3n =时,上式为0,所以{}13n S a -不是等比数列. 当1q ≠时,()1111111n nn a q a aq S qq q-==-⋅+---, 所以11113311n n a aS a q a q q-=-⋅+---, 要使数列{}13n S a -为等比数列,则需11301a a q -=-,解得23q =. 213a a =,2123a ⎛⎫∴= ⎪⎝⎭,故21111222333n n n n a a q -+-⎛⎫⎛⎫⎛⎫=⋅=⋅= ⎪ ⎪ ⎪⎝⎭⎝⎭⎝⎭.故选:D. 【点睛】关键点点睛:本题的关键点是熟记等比数列的前n 项和公式,等比数列通项公式的一般形式,由此若11113311n n a a S a q a q q -=-⋅+---是等比数列,则11301aa q-=-,即可求得q 的值,通项即可求出. 7.C 【分析】由题意可得1021031a a >,1021031,1a a ><,利用等比数列的性质即可求解. 【详解】由10210310a a ->,即1021031a a >,则有21021a q ⨯>,即0q >。
高中数学等比数列10例一.选择题(共10小题)1.已知等比数列{a n}的前n项和为S n,S4=1,S8=3,则a9+a10+a11+a12=()A.8 B.6 C.4 D.22.已知a1,a2,a3,a4成等比数列,且a1+a2+a3+a4=ln(a1+a2+a3),若a1>1,则()A.a1<a3,a2<a4B.a1>a3,a2<a4C.a1<a3,a2>a4D.a1>a3,a2>a4 3.已知正项等比数列{a n}满足a3=1,a5=,则a1的值为()A.4 B.2 C.D.4.在等差数列{a n}中,已知a4,a7是函数f(x)=x2﹣4x+3的两个零点,则{a n}的前10项和等于()A.﹣18 B.9 C.18 D.205.中国古代数学著作《算法统宗》中有这样一个问题:“三百七十八里关,初行健步不为难,次日脚痛减一半,六朝才得到其关,要见次日行里数,请公仔细算相还.”其意思是“有一个人走378里,第一天健步行走,从第二天起脚痛每天走的路程是前一天的一半,走了6天后到达目的地.”请问第三天走了()A.60里B.48里C.36里D.24里6.设{a n}是等比数列,则下列结论中正确的是()A.若a1=1,a5=4,则a3=﹣2 B.若a1+a3>0,则a2+a4>0C.若a2>a1,则a3>a2 D.若a2>a1>0,则a1+a3>2a27.已知等比数列{a n}的前n项和为S n,a1+a3=,且a2+a4=,则等于()A.4n﹣1 B.4n﹣1 C.2n﹣1 D.2n﹣18.等比数列{a n}的前n项和为,则r的值为()A.B.C.D.9.已知等比数列{a n}公比为q,其前n项和为S n,若S3、S9、S6成等差数列,则q3等于()A.﹣ B.1 C.﹣或1 D.﹣1或10.已知等比数列{a n}满足a1+a2=6,a4+a5=48,则数列{a n}前8项的和S n=()A.510 B.126 C.256 D.512高中数学等比数列10例参考答案与试题解析一.选择题(共10小题)1.已知等比数列{a n}的前n项和为S n,S4=1,S8=3,则a9+a10+a11+a12=()A.8 B.6 C.4 D.2【解答】解:∵等比数列{a n}的前n项和为S n,S4=1,S8=3,由等比数列的性质得S4,S8﹣S4,S12﹣S8成等比数列,∴1,3﹣1=2,S12﹣S8=a9+a10+a11+a12成等比数列,∴a9+a10+a11+a12=4.故选:C.2.已知a1,a2,a3,a4成等比数列,且a1+a2+a3+a4=ln(a1+a2+a3),若a1>1,则()A.a1<a3,a2<a4B.a1>a3,a2<a4C.a1<a3,a2>a4D.a1>a3,a2>a4【解答】解:a1,a2,a3,a4成等比数列,由等比数列的性质可知,奇数项符号相同,偶数项符号相同,a1>1,设公比为q,当q>0时,a1+a2+a3+a4>a1+a2+a3,a1+a2+a3+a4=ln(a1+a2+a3),不成立,即:a1>a3,a2>a4,a1<a3,a2<a4,不成立,排除A、D.当q=﹣1时,a1+a2+a3+a4=0,ln(a1+a2+a3)>0,等式不成立,所以q≠﹣1;当q<﹣1时,a1+a2+a3+a4<0,ln(a1+a2+a3)>0,a1+a2+a3+a4=ln(a1+a2+a3)不成立,当q∈(﹣1,0)时,a1>a3>0,a2<a4<0,并且a1+a2+a3+a4=ln(a1+a2+a3),能够成立,故选:B.3.已知正项等比数列{a n}满足a3=1,a5=,则a1的值为()A.4 B.2 C.D.【解答】解:∵正项等比数列{a n}满足a3=1,a5=,∴,解得,∴a1的值为2.故选:B.4.在等差数列{a n}中,已知a4,a7是函数f(x)=x2﹣4x+3的两个零点,则{a n}的前10项和等于()A.﹣18 B.9 C.18 D.20【解答】解:a4,a7是函数f(x)=x2﹣4x+3的两个零点,由韦达定理可知:a4+a7=4,,故选:D.5.中国古代数学著作《算法统宗》中有这样一个问题:“三百七十八里关,初行健步不为难,次日脚痛减一半,六朝才得到其关,要见次日行里数,请公仔细算相还.”其意思是“有一个人走378里,第一天健步行走,从第二天起脚痛每天走的路程是前一天的一半,走了6天后到达目的地.”请问第三天走了()A.60里B.48里C.36里D.24里【解答】解:由题意得,每天行走的路程成等比数列{a n},且公比为,∵6天后共走了378里,∴S6=,解得a1=192,∴第三天走了a3=a1×=192×=48,故选:B.6.设{a n}是等比数列,则下列结论中正确的是()A.若a1=1,a5=4,则a3=﹣2 B.若a1+a3>0,则a2+a4>0C.若a2>a1,则a3>a2 D.若a2>a1>0,则a1+a3>2a2【解答】解:A.由等比数列的性质可得:=a1•a5=4,由于奇数项的符号相同,可得a3=2,因此不正确.B.a1+a3>0,则a2+a4=q(a1+a3),其正负由q确定,因此不正确;C.若a2>a1,则a1(q﹣1)>0,于是a3﹣a2=a1q(q﹣1),其正负由q确定,因此不正确;D.若a2>a1>0,则a1q>a1>0,可得a1>0,q>1,∴1+q2>2q,则a1(1+q2)>2a1q,即a1+a3>2a2,因此正确.故选:D.7.已知等比数列{a n}的前n项和为S n,a1+a3=,且a2+a4=,则等于()A.4n﹣1 B.4n﹣1 C.2n﹣1 D.2n﹣1【解答】解:∵等比数列{a n}的前n项和S n,且a1+a3=,a2+a4=,∴两式相除可得公比q=,∴a1=2,∴a n==,S n==4(1﹣),∴=2n﹣1,故选:D.8.等比数列{a n}的前n项和为,则r的值为()【解答】解:当n≥2时,a n=S n﹣S n﹣1=32n﹣1+r﹣32n﹣3﹣r=8•32n﹣3,当n=1时,a1=S1=32﹣1+r=3+r,∵数列是等比数列,∴当a1满足a n=8•32n﹣3,即8•32﹣3=3+r=,即r=﹣,故选:B.9.已知等比数列{a n}公比为q,其前n项和为S n,若S3、S9、S6成等差数列,则q3等于()A.﹣ B.1 C.﹣或1 D.﹣1或【解答】解:若S3、S9、S6成等差数列,则S3+S6=2S9,若公比q=1,则S3=3a1,S9=9a1,S6=6a1,即3a1+6a1=18a1,则方程不成立,即q≠1,则=,即1﹣q3+1﹣q6=2﹣2q9,即q3+q6=2q9,即1+q3=2q6,即2(q3)2﹣q3﹣1=0,解得q3=,故选:A.10.已知等比数列{a n}满足a1+a2=6,a4+a5=48,则数列{a n}前8项的和S n=()【解答】解:由a1+a2=6,a4+a5=48得得a1=2,q=2,则数列{a n}前8项的和S8==510,故选:A.。
例 1:已知在等比数列{a n }中,公比 q <1.(1)若a 1+a 3=10,a 4+a 6=54,求S 5;(2)若 a 3=2,S 4=5S 2,求{a n }的通项公式. 解(1)⎩⎪⎨⎪⎧a 1+a 1q 2=10a 1q 3+a 1q 5=54,即⎩⎪⎨⎪⎧a 1(1+q 2)=10a 1q 3(1+q 2)=54.∵a 1≠0,1+q 2≠0, ∴两式相除得q 3=18. ∴q =12,a 1=8,∴S 5=8⎣⎢⎡⎦⎥⎤1-⎝ ⎛⎭⎪⎫1251-12=312.(2)由已知得⎩⎪⎨⎪⎧a 1q 2=2 ①a 1(1-q 4)1-q=5×a 1(1-q 2)1-q ②,由②得1-q 4=5(1-q 2),(q 2-4)(q 2-1)=0,∵q <1,∴q =-1或q =-2.当q =-1时,代入①得a 1=2,通项公式为a n =2×(-1)n -1;当q =-2时,代入①得a 1=12,通项公式为a n =12×(-2)n -1.1-1.在等比数列{a n }中,S 3=72,S 6=632,求a n .解:若q =1,则S 6=2S 3,这与已知S 3=72,S 6=632是矛盾的,所以q ≠1.从而S 3=a 1(1-q 3)1-q=72,S 6=a 1(1-q 6)1-q=632.将上面两个等式的两边分别相除,得1+q 3=9, 所以q =2,由此可得a 1=12, 因此a n =12×2n -1=2n -2.例 2:在等比数列{a n }中,a 1a 3=36,a 2+a 4=60,S n >400,求 n 的范围.∵n ∈N *且必须为偶数,∴n ≥8.2-1.设等比数列{a n }的前 n 项和为 S n ,若 S 3+S 6=2S 9,求数列的公比 q.例3:求数列1,1+2,1+2+22,1+2+22+23,…,1+2+22+…+2n -1的前n 项和.思维突破:观察数列,发现每一项是一个等比数列的和, 为此先求出数列的通项,再将每一项拆成两部分分别求和.解:设数列为{a n },则 a n =1+2+22+…+2n -1=1-2n 1-2=2n -1, ∴S n =a 1+a 2+…+a n=(2-1)+(22-1)+…+(2n -1) =(2+22+…+2n )-n =2n +1-n -2.S n =a 1(1-q n )1-q =2(3n -1)2>400⇒3n>401,∴n ≥6, 当a 1=-2,q =-3时,S n =(-2)[(-3)n -1]-4>400⇒(-3)n >801,解:∵a 1a 3=a 21q 2=36,∴a 1q =±6 又∵a 2+a 4=a 1q (1+q 2)=60,且1+q 2>0, ∴a 1q >0,得a 1q =6,1+q 2=10.解得⎩⎪⎨⎪⎧a 1=2q =3或⎩⎪⎨⎪⎧a 1=-2q =-3.当a 1=2,q =3时,例 4:已知等比数列{a n }中,a 1=2,S 3=6,求 a 3 和 q.1.等比数列{a n }的各项都是正数,若 a 1=81,a 5=16,则它的前 5 项和是( 211 )2.等比数列{a n }中,a 3=7,前 3 项之和 S 3=21, 则公比 q 的值为(1 或-1/2 )3.在公比为整数的等比数列{a n }中,已知 a 1+a 4=18,a 2+a 3=12,那么 a 5+a 6+a 7+a 8 等于(480)5.在等比数列{a n }中,a 1+a 2=20,a 3+a 4=40,则 S 6=140例 1:已知等比数列前 n 项和为 48,前 2n 项和为 60.求前3n 项的和. 解法一:设数列为{a n }依题意可得 S n =48,S 2n =60.又∵在等比数列{a n }中, S n ,S 2n -S n ,S 3n -S 2n 成等比数列∴(S 2n -S n )2=S n ·(S 3n -S 2n ), (60-48)2=48·(S 3n -60),即S 3n =63. 解法二:∵S 2n ≠2S n ,∴q ≠1,由已知得⎩⎪⎨⎪⎧a 1(1-q n)1-q =48 ①a 1(1-q 2n )1-q=60 ②②①得,1+q n =54, 即q n =14 ③. 将③代入①得a 11-q=64, ∴S 3n =a 1(1-q 3n )1-q=64×⎝ ⎛⎭⎪⎫1-143=63.解:112+214+318+…+n 12n=(1+2+3+…+n )+⎝⎛⎭⎪⎫12+14+18+ (12)=n (n +1)2+1-⎝ ⎛⎭⎪⎫12n . 3-1.求数列112,214,318,4116,…,n 12n 的前n 项和.1-1.在等比数列{a n }中,a 1=-1,前 n 项和为 S n ,若例 2:在等比数列{a n }中,a 1+a n =66,a 2·a n -1=128,且前 n 项和 S n =126,求 n 及公比 q . 解:∵a 1a n =a 2a n -1=128, 又 a 1+a n =66,∴a 1、a n 是方程 x 2-66x +128=0 的两根, 解方程得 x 1=2,x 2=64,∴a 1=2,a n =64 或 a 1=64,a n =2,显然 q ≠1.若a 1=2,a n =64,由得2-64q =126-126q ,∴q =2,由a n =a 1q n -1得2n -1=32,∴n =6.若a 1=64,a n =2,同理可求得q =12,n =6. 综上所述,n 的值为6,公比q =2或12.例3..(2010 年广东)已知数列{a n }为等比数列,S n 是它的前 n31解析:设{a n }的公比为q ,则由等比数列的性质知,a 2·a 3=a 1·a 4=2a 1,即a 4=2.由a 4与2a 7的等差中项为54知,a 4+2a 7=2×54,∴a 7=14,∴q 3=a 7a 4=18,即a 1=16,q =12,∴S 5=31. 项和,若a 2·a 3=2a 1,且a 4与2a 7的等差中项为54,则S 5=( )解:∵S 10S 5=3132,∴设S 10=31x ,S 5=32x ,且x ≠0.则S 10-S 5=31x -32x =-x . 又(S 10-S 5)2=S 5(S 15-S 10),∴S 15=(S 10-S 5)2S 5+S 10=(-x )232x +31x =99332x . ∴S 15S 10=99332x31x =993992.3132,求S 15S 10的值.S 10S 5=例 4:已知数列{a n }是等比数列,试判断该数列从第一项起依次 k 项的和组成的数列{b n }是否仍为等比数列.正解:设b n =a (n -1)k +1+a (n -1)k +2+…+a nk ,…,且数列{a n } 的公比为q . 则当q =1 时,b 1=b 2=…=b n =ka , ∴{b n }是公比为1 的等比数列.∴{b n }是公比为q k 的等比数列.当 q =-1 时,若k 为偶数,则b n =0,此时{b n }不能为等比 数列;若k 为奇数,则{b n }是公比为-1 的等比数列.例5. (2010 年辽宁)设{a n }是有正数组成的等比数列,S n 为其前 n 项和.已知 a 2a 4=1,S 3=7,则 S 5=( )解析:由a 2a 4=1可得a 21q 4=1,因此a 1=1q 2,又因为S 3=a 1(1+q +q 2)=7,联立两式有⎝ ⎛⎭⎪⎫1q +3⎝ ⎛⎭⎪⎫1q -2=0,所以q =12,所以S 5=4×⎝ ⎛⎭⎪⎫1-1251-12=314.当q ≠±1时,b n =a (n -1)k +1(1-q k )1-q ,b n +1b n=q k ,。
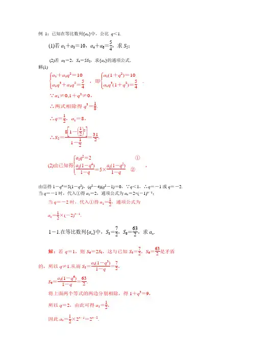
1.(2009 安徽卷文)已知为等差数列,,则等于A. -1B. 1C. 3【分析】∵ a 1 a 3 a 5105 即 3a 3105 ∴ a 3 35 同理可得 a 4 33 ∴公差 d a 4 a 32 ∴a 20a4(20 4) d 1 . 选 B 。
【答案】 B2.(2009年广东卷文 ) 已知等比数列 { a n } 的公比为正数,且 a 3 2· a 9 =2 a 5 , a 2 =1,则 a 1 = 1 B.2 C.2A.22【答案】 Bq , 由已知得 a 1 q 2 a 1 q 8a 1q 42【分析】设公比为2 , 即 q 2 2 , 又因为等比数列 { a n } 的公比为正数,所以 q2 , 故a 1a 2 1 2 q22, 选 B3.(2009 江西卷文) 公差不为零的等差数列 { a n } 的前 n 项和为 S n . 若 a 4 是 a 3与 a 7 的等比中 项, S 8 32 , 则 S 10 等于A. 18B. 24C. 60D. 90【答案】 C【 解 析 】 由 a 42a 3 a 7 得 ( a 1 3d) 2 (a 1 2d )(a 1 6d) 得 2a 13d 0 , 再 由 S 8 8a 156d 32 得2a 1 7d 8 则 d 2, a 13 , 所 以2S1010a 190d 60 ,. 应选 C24. ( 2009 湖南卷文)设 S n 是等差数列 a n 的前 n 项和,已知 a 23 , a 611,则 S 7 等于( )A . 13B . 35 C. 49 D . 63【分析】 7(a 1 a 7 ) 7(a 2a 6 )7(3 11) 49. 应选 C.S 7222a 2 a 1 d 3 a 1 1 a 71 62 13.或由a 6 a 1 5d11d ,2所以 S 7 7( a 1 a 7 ) 7(1 13)49. 应选 C.225. ( 2009 福建卷理)等差数列 { a n } 的前 n 项和为 S n ,且 S 3 =6 , a 1 =4, 则公差 d 等于A . 1B5C.- 2D 33【答案】: C[ 分析 ] ∵ S 363( a 1 a 3 ) 且 a 3 a 1 2d a 1 =4 d=2 . 应选 C26. ( 2009 辽宁卷文)已知a n 为等差数列,且 a 7 - 2 a 4 =- 1, a 3 = 0, 则公差 d =A. - 2B.-1C.1221 【分析】 a 7-2a 4= a 3+ 4d - 2(a 3+ d) =2d =- 1d =-2【答案】 B7. ( 2009 四川卷文)等差数列{a n }的公差不为零,首项 a 1 = 1, a 2 是 a 1 和 a 5 的等比中项,则数列的前 10 项之和是A. 90B. 100C. 145D. 190【答案】 B【分析】 设公差为 d ,则 (1 d ) 2 1 (1 4d) . ∵ d ≠ 0,解得 d = 2,∴ S 10 = 1008. ( 2009 宁夏海南卷文)等差数列a n的前 n 项和为 S n ,已知 a m 1 a m 1a m 2 0 ,S 2 m 1 38 , 则 m【答案】 C【分析】 因为a n 是等差数列, 所以, a m 1 a m 1 2a m ,由 a m 1 a m 1 a m 2 0 ,得:2 a m- a m 2= 0,所以,a m= 2,又S2m 1 38 ,即(2m 1)( a1 a2m 1)= 38,即( 2m- 1)× 22=38,解得 m= 10,应选 .C 。
1.等比数列的定义一般地,如果一个数列从第2项起,每一项与它的前一项的比等于同一常数,那么这个数列叫做等比数列,这个常数叫做等比数列的公比,通常用字母__q __表示(q ≠0). 2.等比数列的通项公式设等比数列{a n }的首项为a 1,公比为q ,则它的通项a n =a 1·q n -1. 3.等比中项若G 2=a ·b _(ab ≠0),那么G 叫做a 与b 的等比中项. 4.等比数列的常用性质(1)通项公式的推广:a n =a m ·q n -m (n ,m ∈N *).(2)若{a n }为等比数列,且k +l =m +n (k ,l ,m ,n ∈N *),则a k ·a l =a m ·a n .(3)若{a n },{b n }(项数相同)是等比数列,则{λa n }(λ≠0),⎩⎨⎧⎭⎬⎫1a n ,{a 2n },{a n ·b n },⎩⎨⎧⎭⎬⎫a n b n 仍是等比数列.5.等比数列的前n 项和公式等比数列{a n }的公比为q (q ≠0),其前n 项和为S n , 当q =1时,S n =na 1;当q ≠1时,S n =a 1(1-q n )1-q =a 1-a n q 1-q .6.等比数列前n 项和的性质公比不为-1的等比数列{a n }的前n 项和为S n ,则S n ,S 2n -S n ,S 3n -S 2n 仍成等比数列,其公比为__q n __. 【思考辨析】判断下面结论是否正确(请在括号中打“√”或“×”)(1)满足a n +1=qa n (n ∈N *,q 为常数)的数列{a n }为等比数列.( × )(2)G 为a ,b 的等比中项⇔G 2=ab .( × )(3)如果数列{a n }为等比数列,b n =a 2n -1+a 2n ,则数列{b n }也是等比数列.( × ) (4)如果数列{a n }为等比数列,则数列{ln a n }是等差数列.( × ) (5)数列{a n }的通项公式是a n =a n,则其前n 项和为S n =a (1-a n )1-a.( × )(6)数列{a n }为等比数列,则S 4,S 8-S 4,S 12-S 8成等比数列.( × )1.(2015·课标全国Ⅱ)已知等比数列{a n }满足a 1=3,a 1+a 3+a 5=21,则a 3+a 5+a 7等于( ) A .21 B .42 C .63 D .84 答案 B解析 设等比数列{a n }的公比为q ,则由a 1=3,a 1+a 3+a 5=21得3(1+q 2+q 4)=21,解得q 2=-3(舍去)或q 2=2,于是a 3+a 5+a 7=q 2(a 1+a 3+a 5)=2×21=42,故选B. 2.设等比数列{a n }的前n 项和为S n .若S 2=3,S 4=15,则S 6等于( ) A .31 B .32 C .63 D .64 答案 C解析 根据题意知,等比数列{a n }的公比不是-1.由等比数列的性质,得(S 4-S 2)2=S 2·(S 6-S 4),即122=3×(S 6-15),解得S 6=63.故选C.3.等比数列{a n }中,a 4=2,a 5=5,则数列{lg a n }的前8项和等于( ) A .6 B .5 C .4 D .3 答案 C解析 数列{lg a n }的前8项和S 8=lg a 1+lg a 2+…+lg a 8=lg(a 1·a 2·…·a 8)=lg(a 1·a 8)4 =lg(a 4·a 5)4=lg(2×5)4=4.4.(2015·安徽)已知数列{a n }是递增的等比数列,a 1+a 4=9,a 2a 3=8,则数列{a n }的前n 项和等于________. 答案 2n -1解析 由等比数列性质知a 2a 3=a 1a 4,又a 2a 3=8,a 1+a 4=9,所以联立方程⎩⎪⎨⎪⎧a 1a 4=8,a 1+a 4=9,解得⎩⎪⎨⎪⎧ a 1=1,a 4=8或⎩⎪⎨⎪⎧a 1=8,a 4=1,又∵数列{a n }为递增数列,∴a 1=1,a 4=8,从而a 1q 3=8,∴q =2.∴数列{a n }的前n 项和为S n =1-2n1-2=2n -1.5.(教材改编)在9与243中间插入两个数,使它们同这两个数成等比数列,则这两个数为________. 答案 27,81解析 设该数列的公比为q ,由题意知, 243=9×q 3,q 3=27,∴q =3.∴插入的两个数分别为9×3=27,27×3=81.题型一 等比数列基本量的运算例1 (1)设{a n }是由正数组成的等比数列,S n 为其前n 项和.已知a 2a 4=1,S 3=7,则S 5等于( )A.152B.314C.334D.172(2)在等比数列{a n }中,若a 4-a 2=6,a 5-a 1=15,则a 3=________. 答案 (1)B (2)4或-4解析 (1)显然公比q ≠1,由题意得⎩⎪⎨⎪⎧a 1q ·a 1q 3=1,a 1(1-q 3)1-q =7,解得⎩⎪⎨⎪⎧ a 1=4,q =12,或⎩⎪⎨⎪⎧a 1=9q =-13(舍去),∴S 5=a 1(1-q 5)1-q =4(1-125)1-12=314.(2)设等比数列{a n }的公比为q (q ≠0),则⎩⎪⎨⎪⎧a 1q 3-a 1q =6,a 1q 4-a 1=15,两式相除,得q 1+q 2=25,即2q 2-5q +2=0,解得q =2或q =12.所以⎩⎪⎨⎪⎧a 1=1,q =2,或⎩⎪⎨⎪⎧a 1=-16,q =12.故a 3=4或a 3=-4.思维升华 等比数列基本量的运算是等比数列中的一类基本问题,数列中有五个量a 1,n ,q ,a n ,S n ,一般可以“知三求二”,通过列方程(组)可迎刃而解.(1)在正项等比数列{a n }中,a n +1<a n ,a 2·a 8=6,a 4+a 6=5,则a 5a 7等于( )A.56B.65C.23D.32(2)(2015·湖南)设S n 为等比数列{a n }的前n 项和,若a 1=1,且3S 1,2S 2,S 3成等差数列,则a n =________. 答案 (1)D (2)3n -1解析 (1)设公比为q ,则由题意知0<q <1,由⎩⎪⎨⎪⎧a 2·a 8=a 4·a 6=6,a 4+a 6=5,得a 4=3,a 6=2, 所以a 5a 7=a 4a 6=32.(2)由3S 1,2S 2,S 3成等差数列知,4S 2=3S 1+S 3,可得a 3=3a 2,所以公比q =3,故等比数列通项a n =a 1q n -1=3n -1.题型二 等比数列的判定与证明例2 设数列{a n }的前n 项和为S n ,已知a 1=1,S n +1=4a n +2. (1)设b n =a n +1-2a n ,证明:数列{b n }是等比数列; (2)求数列{a n }的通项公式. (1)证明 由a 1=1及S n +1=4a n +2, 有a 1+a 2=S 2=4a 1+2. ∴a 2=5,∴b 1=a 2-2a 1=3.又⎩⎪⎨⎪⎧S n +1=4a n +2, ①S n =4a n -1+2 (n ≥2), ②①-②,得a n +1=4a n -4a n -1 (n ≥2), ∴a n +1-2a n =2(a n -2a n -1) (n ≥2). ∵b n =a n +1-2a n ,∴b n =2b n -1 (n ≥2), 故{b n }是首项b 1=3,公比为2的等比数列. (2)解 由(1)知b n =a n +1-2a n =3·2n -1, ∴a n +12n +1-a n 2n =34, 故{a n 2n }是首项为12,公差为34的等差数列. ∴a n 2n =12+(n -1)·34=3n -14, 故a n =(3n -1)·2n -2. 引申探究例2中“S n +1=4a n +2”改为“S n +1=2S n +(n +1)”,其他不变探求数列{a n }的通项公式. 解 由已知得n ≥2时,S n =2S n -1+n . ∴S n +1-S n =2S n -2S n -1+1, ∴a n +1=2a n +1,∴a n +1+1=2(a n +1),又a 1=1,当n =1时上式也成立,故{a n +1}是以2为首项,以2为公比的等比数列, ∴a n +1=2·2n -1=2n ,∴a n =2n -1.思维升华 (1)证明一个数列为等比数列常用定义法与等比中项法,其他方法只用于选择题、填空题中的判定;若证明某数列不是等比数列,则只要证明存在连续三项不成等比数列即可.(2)利用递推关系时要注意对n =1时的情况进行验证.设数列{a n }的前n 项和为S n ,已知a 1+2a 2+3a 3+…+na n =(n -1)S n +2n (n ∈N *).(1)求a 2,a 3的值;(2)求证:数列{S n +2}是等比数列.(1)解 ∵a 1+2a 2+3a 3+…+na n =(n -1)S n +2n (n ∈N *), ∴当n =1时,a 1=2×1=2;当n =2时,a 1+2a 2=(a 1+a 2)+4, ∴a 2=4;当n =3时,a 1+2a 2+3a 3=2(a 1+a 2+a 3)+6, ∴a 3=8.综上,a 2=4,a 3=8.(2)证明 a 1+2a 2+3a 3+…+na n =(n -1)S n +2n (n ∈N *),① ∴当n ≥2时,a 1+2a 2+3a 3+…+(n -1)a n -1 =(n -2)S n -1+2(n -1).②①-②得na n =(n -1)S n -(n -2)S n -1+2=n (S n -S n -1)-S n +2S n -1+2=na n -S n +2S n -1+2. ∴-S n +2S n -1+2=0,即S n =2S n -1+2, ∴S n +2=2(S n -1+2).∵S 1+2=4≠0,∴S n -1+2≠0, ∴S n +2S n -1+2=2,故{S n +2}是以4为首项,2为公比的等比数列.题型三 等比数列的性质及应用例3 (1)在等比数列{a n }中,各项均为正值,且a 6a 10+a 3a 5=41,a 4a 8=5,则a 4+a 8=________. (2)等比数列{a n }的首项a 1=-1,前n 项和为S n ,若S 10S 5=3132,则公比q =________.答案 (1)51 (2)-12解析 (1)由a 6a 10+a 3a 5=41及a 6a 10=a 28,a 3a 5=a 24, 得a 24+a 28=41.因为a 4a 8=5,所以(a 4+a 8)2=a 24+2a 4a 8+a 28=41+2×5=51.又a n >0,所以a 4+a 8=51.(2)由S 10S 5=3132,a 1=-1知公比q ≠±1,则可得S 10-S 5S 5=-132.由等比数列前n 项和的性质知S 5,S 10-S 5,S 15-S 10成等比数列,且公比为q 5, 故q 5=-132,q =-12.思维升华 (1)在等比数列的基本运算问题中,一般利用通项公式与前n 项和公式,建立方程组求解,但如果能灵活运用等比数列的性质“若m +n =p +q ,则有a m a n =a p a q ”,可以减少运算量.(2)等比数列的项经过适当的组合后构成的新数列也具有某种性质,例如等比数列S k ,S 2k -S k ,S 3k -S 2k ,…成等比数列,公比为q k (q ≠-1).已知等比数列{a n }的公比为正数,且a 3a 9=2a 25,a 2=2,则a 1等于( )A.12 B.22C. 2D .2(2)等比数列{a n }共有奇数项,所有奇数项和S 奇=255,所有偶数项和S 偶=-126,末项是192,则首项a 1等于( ) A .1 B .2 C .3D .4答案 (1)C (2)C解析 (1)由等比数列的性质得a 3a 9=a 26=2a 25,∵q >0,∴a 6=2a 5,q =a 6a 5=2,a 1=a 2q =2,故选C.(2)设等比数列{a n }共有2k +1(k ∈N *)项,则a 2k +1=192,则S 奇=a 1+a 3+…+a 2k -1+a 2k +1=1q (a 2+a 4+…+a 2k )+a 2k +1=1q S 偶+a 2k +1=-126q+192=255,解得q =-2,而S 奇=a 1-a 2k +1q 21-q 2=a 1-192×(-2)21-(-2)2=255,解得a 1=3,故选C.12.分类讨论思想在等比数列中的应用典例 (12分)已知首项为32的等比数列{a n }的前n 项和为S n (n ∈N *),且-2S 2,S 3,4S 4成等差数列.(1)求数列{a n }的通项公式; (2)证明:S n +1S n ≤136(n ∈N *).思维点拨 (1)利用等差数列的性质求出等比数列的公比,写出通项公式; (2)求出前n 项和,根据函数的单调性证明. 规范解答(1)解 设等比数列{a n }的公比为q , 因为-2S 2,S 3,4S 4成等差数列,所以S 3+2S 2=4S 4-S 3,即S 4-S 3=S 2-S 4, 可得2a 4=-a 3,于是q =a 4a 3=-12.[2分]又a 1=32,所以等比数列{a n }的通项公式为a n =32×⎝⎛⎭⎫-12n -1=(-1)n -1·32n .[3分] (2)证明 由(1)知,S n =1-⎝⎛⎭⎫-12n , S n+1S n=1-⎝⎛⎭⎫-12n+11-⎝⎛⎭⎫-12n=⎩⎪⎨⎪⎧2+12n(2n+1),n 为奇数,2+12n(2n-1),n 为偶数.[6分]当n 为奇数时,S n +1S n 随n 的增大而减小,所以S n +1S n ≤S 1+1S 1=136.[8分]当n 为偶数时,S n +1S n 随n 的增大而减小,所以S n +1S n ≤S 2+1S 2=2512.[10分]故对于n ∈N *,有S n +1S n ≤136.[12分]温馨提醒 (1)分类讨论思想在等比数列中应用较多,常见的分类讨论有 ①已知S n 与a n 的关系,要分n =1,n ≥2两种情况. ②等比数列中遇到求和问题要分公比q =1,q ≠1讨论. ③项数的奇、偶数讨论.④等比数列的单调性的判断注意与a 1,q 的取值的讨论.(2)数列与函数有密切的联系,证明与数列有关的不等式,一般是求数列中的最大项或最小项,可以利用图象或者数列的增减性求解,同时注意数列的增减性与函数单调性的区别.[方法与技巧] 1.已知等比数列{a n }(1)数列{c ·a n }(c ≠0),{|a n |},{a 2n },{1a n }也是等比数列. (2)a 1a n =a 2a n -1=…=a m a n -m +1. 2.判断数列为等比数列的方法(1)定义法:a n +1a n =q (q 是不等于0的常数,n ∈N *)⇔数列{a n }是等比数列;也可用a n a n -1=q (q是不等于0的常数,n ∈N *,n ≥2)⇔数列{a n }是等比数列.二者的本质是相同的,其区别只是n 的初始值不同.(2)等比中项法:a 2n +1=a n a n +2(a n a n +1a n +2≠0,n ∈N *)⇔数列{a n }是等比数列.[失误与防范]1.特别注意q =1时,S n =na 1这一特殊情况.2.由a n +1=qa n ,q ≠0,并不能立即断言{a n }为等比数列,还要验证a 1≠0.3.在运用等比数列的前n 项和公式时,必须注意对q =1与q ≠1分类讨论,防止因忽略q =1这一特殊情形而导致解题失误.4.等比数列性质中:S n ,S 2n -S n ,S 3n -S 2n 也成等比数列,不能忽略条件q ≠-1.A 组 专项基础训练(时间:35分钟)1.已知等比数列{a n}中,a2+a3=1,a4+a5=2,则a6+a7等于()A.2 B.2 2C.4 D.4 2答案 C解析因为a2+a3,a4+a5,a6+a7成等比数列,a2+a3=1,a4+a5=2,所以(a4+a5)2=(a2+a3)(a6+a7),解得a6+a7=4.2.等比数列{a n}满足a n>0,n∈N*,且a3·a2n-3=22n(n≥2),则当n≥1时,log2a1+log2a2+…+log2a2n-1等于()A.n(2n-1) B.(n+1)2C.n2D.(n-1)2答案 A解析由等比数列的性质,得a3·a2n-3=a2n=22n,从而得a n=2n.方法一log2a1+log2a2+…+log2a2n-1=log2[(a1a2n-1)·(a2a2n-2)·…·(a n-1a n+1)a n]=log22n(2n-1)=n(2n-1).方法二取n=1,log2a1=log22=1,而(1+1)2=4,(1-1)2=0,排除B,D;取n=2,log2a1+log2a2+log2a3=log22+log24+log28=6,而22=4,排除C,选A.3.在正项等比数列{a n}中,已知a1a2a3=4,a4a5a6=12,a n-1a n a n+1=324,则n等于() A.12 B.13C.14 D.15答案 C解析设数列{a n}的公比为q,由a1a2a3=4=a31q3与a4a5a6=12=a31q12,可得q9=3,a n-1a n a n+1=a31q3n-3=324,因此q3n-6=81=34=q36,所以n=14,故选C.4.若正项数列{a n}满足lg a n+1=1+lg a n,且a2 001+a2 002+…+a2 010=2 016,则a2 011+a2 012+…+a2 020的值为()A.2 015·1010B.2 015·1011C.2 016·1010D.2 016·1011答案 C解析 ∵lg a n +1=1+lg a n ,∴lg a n +1a n=1, ∴a n +1a n=10,∴数列{a n }是等比数列, ∵a 2 001+a 2 002+…+a 2 010=2 016,∴a 2 011+a 2 012+…+a 2 020=1010(a 2 001+a 2 002+…+a 2 010)=2 016×1010.5.已知S n 是等比数列{a n }的前n 项和,若存在m ∈N *,满足S 2m S m =9,a 2m a m =5m +1m -1,则数列{a n }的公比为( )A .-2B .2C .-3D .3答案 B解析 设公比为q ,若q =1,则S 2m S m=2, 与题中条件矛盾,故q ≠1.∵S 2m S m =a 1(1-q 2m )1-q a 1(1-q m )1-q=q m +1=9,∴q m =8. ∴a 2m a m =a 1q 2m -1a 1q m -1=q m =8=5m +1m -1, ∴m =3,∴q 3=8,∴q =2.6.等比数列{a n }中,S n 表示前n 项和,a 3=2S 2+1,a 4=2S 3+1,则公比q 为________. 答案 3解析 由a 3=2S 2+1,a 4=2S 3+1得a 4-a 3=2(S 3-S 2)=2a 3,∴a 4=3a 3,∴q =a 4a 3=3. 7.等比数列{a n }的前n 项和为S n ,公比不为1.若a 1=1,则对任意的n ∈N *,都有a n +2+a n +1-2a n =0,则S 5=________.答案 11解析 由题意知a 3+a 2-2a 1=0,设公比为q ,则a 1(q 2+q -2)=0.由q 2+q -2=0解得q =-2或q =1(舍去),则S 5=a 1(1-q 5)1-q=1-(-2)53=11. 8.已知数列{a n }的首项为1,数列{b n }为等比数列且b n =a n +1a n,若b 10·b 11=2,则a 21=________. 答案 1 024解析 ∵b 1=a 2a 1=a 2,b 2=a 3a 2, ∴a 3=b 2a 2=b 1b 2,∵b 3=a 4a 3, ∴a 4=b 1b 2b 3,…,a n =b 1b 2b 3·…·b n -1,∴a 21=b 1b 2b 3·…·b 20=(b 10b 11)10=210=1 024.9.数列{b n }满足:b n +1=2b n +2,b n =a n +1-a n ,且a 1=2,a 2=4.(1)求数列{b n }的通项公式;(2)求数列{a n }的前n 项和S n .解 (1)由b n +1=2b n +2,得b n +1+2=2(b n +2),∴b n +1+2b n +2=2,又b 1+2=a 2-a 1+2=4, ∴数列{b n +2}是首项为4,公比为2的等比数列.∴b n +2=4·2n -1=2n +1,∴b n =2n +1-2.(2)由(1)知,a n -a n -1=b n -1=2n -2 (n ≥2),∴a n -1-a n -2=2n -1-2 (n >2),…,a 2-a 1=22-2,∴a n -2=(22+23+…+2n )-2(n -1),∴a n =(2+22+23+…+2n )-2n +2=2(2n -1)2-1-2n +2=2n +1-2n . ∴S n =4(1-2n )1-2-n (2+2n )2=2n +2-(n 2+n +4).10.已知数列{a n }和{b n }满足a 1=λ,a n +1=23a n +n -4,b n =(-1)n (a n -3n +21),其中λ为实数,n 为正整数.(1)证明:对任意实数λ,数列{a n }不是等比数列;(2)证明:当λ≠-18时,数列{b n }是等比数列.证明 (1)假设存在一个实数λ,使{a n }是等比数列,则有a 22=a 1a 3,即⎝⎛⎭⎫23λ-32=λ⎝⎛⎭⎫49λ-4 ⇔49λ2-4λ+9=49λ2-4λ⇔9=0,矛盾. 所以{a n }不是等比数列.(2)b n +1=(-1)n +1[a n +1-3(n +1)+21]=(-1)n +1⎝⎛⎭⎫23a n -2n +14 =-23(-1)n ·(a n -3n +21)=-23b n . 又λ≠-18,所以b 1=-(λ+18)≠0.由上式知b n ≠0,所以b n +1b n =-23(n ∈N *). 故当λ≠-18时,数列{b n }是以-(λ+18)为首项,-23为公比的等比数列. B 组 专项能力提升(时间:20分钟)11.设{a n }是各项为正数的无穷数列,A i 是边长为a i ,a i +1的矩形的面积(i =1,2,…),则{A n }为等比数列的充要条件是( )A .{a n }是等比数列B .a 1,a 3,…,a 2n -1,…或a 2,a 4,…,a 2n ,…是等比数列C .a 1,a 3,…,a 2n -1,…和a 2,a 4,…,a 2n ,…均是等比数列D .a 1,a 3,…,a 2n -1,…和a 2,a 4,…,a 2n ,…均是等比数列,且公比相同答案 D解析 ∵A i =a i a i +1,若{A n }为等比数列,则A n +1A n =a n +1a n +2a n a n +1=a n +2a n 为常数,即A 2A 1=a 3a 1,A 3A 2=a 4a 2,….∴a 1,a 3,a 5,…,a 2n -1,…和a 2,a 4,…,a 2n ,…成等比数列,且公比相等.反之,若奇数项和偶数项分别成等比数列,且公比相等,设为q ,则A n +1A n =a n +2a n=q ,从而{A n }为等比数列.12.若等比数列{a n }的各项均为正数,且a 10a 11+a 9a 12=2e 5,则ln a 1+ln a 2+…+ln a 20=________.答案 50解析 因为a 10a 11+a 9a 12=2a 10a 11=2e 5,所以a 10a 11=e 5.所以ln a 1+ln a 2+…+ln a 20=ln(a 1a 2…a 20)=ln [(a 1a 20)·(a 2a 19)·…·(a 10a 11)]=ln(a 10a 11)10=10ln(a 10a 11)=10ln e 5=50.13.数列{a n }满足a 1=2且对任意的m ,n ∈N *,都有a n +m a m=a n ,则a 3=________;{a n }的前n 项和S n =________.答案 8 2n +1-2解析 ∵a n +m a m=a n , ∴a n +m =a n ·a m ,∴a 3=a 1+2=a 1·a 2=a 1·a 1·a 1=23=8;令m =1,则有a n +1=a n ·a 1=2a n ,∴数列{a n }是首项为a 1=2,公比为q =2的等比数列,∴S n =2(1-2n )1-2=2n +1-2. 14.定义在(-∞,0)∪(0,+∞)上的函数f (x ),如果对于任意给定的等比数列{a n },{f (a n )}仍是等比数列,则称f (x )为“保等比数列函数”.现有定义在(-∞,0)∪(0,+∞)上的如下函数:①f (x )=x 2;②f (x )=2x ;③f (x )=|x |;④f (x )=ln |x |.则其中是“保等比数列函数”的f (x )的序号为________.答案 ①③解析 设{a n }的公比为q ,验证①f (a n +1)f (a n )=a 2n +1a 2n =q 2,③f (a n +1)f (a n )=|a n +1||a n |=|q |,故①③为“保等比数列函数”.15.已知数列{a n }中,a 1=1,a n ·a n +1=⎝⎛⎭⎫12n ,记T 2n 为{a n }的前2n 项的和,b n =a 2n +a 2n -1,n ∈N *. (1)判断数列{b n }是否为等比数列,并求出b n ;(2)求T 2n .解 (1)∵a n ·a n +1=⎝⎛⎭⎫12n ,∴a n +1·a n +2=⎝⎛⎭⎫12n +1,∴a n +2a n =12,即a n +2=12a n . ∵b n =a 2n +a 2n -1,∴b n +1b n =a 2n +2+a 2n +1a 2n +a 2n -1=12a 2n +12a 2n -1a 2n +a 2n -1=12, ∵a 1=1,a 1·a 2=12, ∴a 2=12⇒b 1=a 1+a 2=32. ∴{b n }是首项为32,公比为12的等比数列. ∴b n =32×⎝⎛⎭⎫12n -1=32n . (2)由(1)可知,a n +2=12a n , ∴a 1,a 3,a 5,…是以a 1=1为首项,以12为公比的等比数列;a 2,a 4,a 6,…是以a 2=12为首项,以12为公比的等比数列, ∴T 2n =(a 1+a 3+…+a 2n -1)+(a 2+a 4+…+a 2n )=1-⎝⎛⎭⎫12n 1-12+12⎣⎡⎦⎤1-⎝⎛⎭⎫12n 1-12=3-32n .。
等比数列公式例题等比数列是数学中一种重要的知识,它在常见的数学问题中经常被使用。
等比数列的定义是,按照相同的比例,等比数列中的每一项都是前一项的某一倍。
此外,等比数列中的比率称为公比,其定义为等比数列中相邻两项之比。
等比数列通常用形如an的递推式来表示,其中a1是等比数列中的第一项,而q是公比。
体来说, a1,a2,a3,… an关系是:a1=a,a2=aq,a3=aq2,……,an=aqn-1。
例1:已知数列{ 179,47,11.75 }是等比数列,求该数列的公比q和前n项和Sn。
解:根据等比数列的递推公式有:179=a1,47=aq,11.75=aq2,由此可以求出q=3,a1=179。
综上所述,本题的等比数列表示为:179,47,11.75,……,an=179*3n-1。
前n项和Sn=a1(1-qn)/(1-q),即Sn=(179*3n-1 -179)/(3-1),根据公式可得Sn=179*3n-2。
例2:已知数列{ 17,-51,153,-459 }是等比数列,求该数列的通项公式和前n项和Sn。
解:根据等比数列的递推公式有:17=a1,-51=aq,153=aq2,-459=aq3,由此可以求出q=-3,a1=17。
综上所述,本题的等比数列表示为:17,-51,153,-459,…,an=17*(-3)n-1。
前n项和Sn=a1(1-qn)/(1-q),即Sn=(17*(-3)n-1 -17)/(3+1),根据公式可得Sn=17*(-3)n-2。
等比数列的运用十分广泛,它在统计学、生物学、经济学等多个领域都有着重要的应用。
在医药学中,等比数列可以用来评估药物的潜在毒性。
在经济学中,等比数列可以用来对资源的开采和消耗进行预测。
了解了等比数列的公式和通用方程,我们将通过一些介绍性的例题来深入学习它。
例3:若等比数列{ 64,16,4,1 }的公比为1/4,求该数列的通项公式和前n项和Sn。
等比数列公式例题等比数列是指一组数据中相邻两项之比均相等的数列。
等比数列有很多应用,一般用于计算等比数列中已知项的未知项或者求解未知数列中的特定项。
也可以用于解决物理问题。
以下是一些等比数列的具体例题。
例题1:已知等比数列{an}的前三项a1=2,a2=4,a3=8,求数列的n项。
解:设等比数列的公比为q,则有a1=2,a2=4,a2 = q×a1。
又有a3=8,a3=q×a2,故有q×q×a1=a3,从而有q=2。
故数列的通项公式为an=2^(n-1)×a1,即an=2^(n-1)×2,当n=7时,a7=2^(7-1)×2=64。
例题2:已知等比数列{an}满足a2/a1=2/3,求前n项a1,a2,a3,…,an的和Sn。
解:设等比数列的公比为q,则有a2/a1=2/3,即q=3/2。
设Sn=a1+a2+…+an,则由等比数列的求和公式可知Sn=a1×(1-q^n)/(1-q)。
由题意知q=3/2,代入Sn=a1×(1-q^n)/(1-q),得Sn=a1×(1-(3/2)^n)/(1/2),即Sn=2a1×(1-(3/2)^n)。
例题3:若等比数列{an}中,a1=1,a17=128,求数列的公比q。
解:这是一个求数列公比的问题,等比数列的公式为an=a1×q^(n-1),由题意可知a1=1,a17=128,将数列公式代入得到1×q^(17-1)=128,从而q=2。
以上就是关于等比数列的公式的例题的介绍,从以上例题可以看出,等比数列的公式对于解决等比数列中已知项的未知项或者求解未知数列中的特定项具有很强的实用性。
有关等比数列的更多理论以及具体例题,考生可以自行查阅相关资料了解。
等比数列公式例题在数学中,等比数列是指由数字按照恒定的比例连续变化的序列。
一般来讲,它以比例尺r被定义为:a,ar,ar2,ar3,ar4,……,arn,其中a为等比数列的第一个数,而rn则是等比数列中的第n个数。
在数学中,等比数列有着广泛的应用,下面就给出一些常见的等比数列公式例题,以供参考。
1、求等比数列前n项和设等比数列为:a,ar,ar2,ar3,ar4,……,arn,其中a为等比数列的第一个数,而rn则是等比数列中的第n个数,则等比数列的前n项和公式如下:Sn=a(1-rn)/(1-r)其中,Sn表示等比数列前n项和,a表示等比数列的第一项,而rn则表示等比数列的第n项。
2、求等比数列前n项积设等比数列为:a,ar,ar2,ar3,ar4,……,arn,其中a为等比数列的第一个数,而rn则是等比数列中的第n个数,则等比数列的前n项积公式如下:Pn=anrn-1其中,Pn表示等比数列的前n项积,a表示等比数列的第一项,而rn则表示等比数列的第n项。
3、求等比数列第n项设等比数列为:a,ar,ar2,ar3,ar4,……,arn,其中a为等比数列的第一个数,而rn则是等比数列中的第n个数,则等比数列第n项公式如下:an=ar(n-1)其中,an表示等比数列第n项,a表示等比数列的第一项,而rn则表示等比数列的第n-1项。
4、求等比数列的公比设等比数列为:a,ar,ar2,ar3,ar4,……,arn,其中a为等比数列的第一个数,而rn则是等比数列中的第n个数,则等比数列的公比公式如下:r=ar/a其中,r表示等比数列的公比,a表示等比数列的第一项,而rn 表示等比数列的第n项。
综上所述,等比数列一般可以用以上几种公式来求解,即:前n 项和公式、前n项积公式、等比数列第n项公式以及等比数列的公比公式,利用这些公式可以很容易地解决一些关于等比数列的问题。
下面就给出两个关于等比数列的实例计算,以供参考:例1:已知等比数列:2,4,8,16,…,求前5项和解:设等比数列前5项和为S5,则有:a=2,r=4/2=2根据等比数列前n项和公式:S5=a(1-rn)/(1-r)=2(1-25)/(1-2)=2(1-32)=2(-31)=-62即,等比数列前5项和为-62。
以下是等差数列和等比数列的经典例题:
等差数列求和问题:已知一个等差数列的首项为a1,公差为d,第n项为an,求前n项和Sn。
解法:根据等差数列的通项公式an = a1 + (n-1)d,得到Sn = (a1+an)n/2 = n(a1+an)/2 = n(a1+a1+(n-1)d)/2。
将其化简可得Sn = n(a1+an)/2 = n(a1+a1+(n-1)d)/2 = (n/2)(a1+an) = (n/2)(a1+a1+(n-1)d),其中a1和an可以根据公式计算出来,从而求得Sn。
等比数列求和问题:已知一个等比数列的首项为a1,公比为q,第n项为an,求前n项和Sn。
解法:根据等比数列的通项公式an = a1q^(n-1),得到Sn = a1(1-q^n)/(1-q)。
将其化简可得Sn = a1*(1-q^n)/(1-q) = a1*(1-q)*(1+q+q^2+...+q^(n-1))/(1-q)。
由于1+q+q^2+...+q^(n-1)是一个等比数列的前n项和,因此可以用等比数列求和公式S=q^n-1/(q-1)求出,将其代入上式,就可以得到Sn的表达式。
这些例题是等差数列和等比数列求和问题中比较经典的例子,掌握了这些例题的解法,就能够比较顺利地解决一类问题。
在实际应用中,还会有更加复杂的情况,需要根据具体的条件设计相应的求和方法。
高二数学等比数列典型例题【例1】 已知S n 是数列{a n }的前n 项和,S n = P n (p € R , n € N*),那么数列{a n }.[] A •是等比数列 B .当p z 0时是等比数列 C .当p z 0, p 丰1时是等比数列 D .不是等比数列分析 由S n = p n (n € N*),有ai=Si = p ,并且当n 》2时, a n =S n _ S n-1 = p n - p n-1 = (p - 1)P n-1p z 0故a 2 = (p — 1)p ,因此数列{a n }成等比数列p - 1Z 0(p 1)p n1 p(p 1)(p n 22)p p但满足此条件的实数 p 是不存在的,故本题应选D .解 1, x 〔, X 2, , X 2n , 2成等比数列,公比 q2 = 1 • q 2n+12n( 1+2 n)n(2 n 1)q1【例3】等比数列{a n }中,⑴已知a 2=4,a 5 一 2,求通项公式;(2)已知 a 3 • a 4 • a 5= 8,求 *2*3*4*506 的值.解(1)a 5 = a 2q 5 2.q =— 12・ n 21n 21、n 4…a n = a ?q = 4(-2)=( 2)23c⑵••• a 3 • a 5 = a 4 a 3 a 4 • a 5 =a 4 = 8--a 4 = 2又 3236 — 8335 — a 4【例4】 已知a >0, b >0且a z b ,在a , b 之间插入n 个正数,x?,…,x n ,使得a , ,x?,…,【例2】 已知等比数列 1, x 1 , X 2,…,x 2n , 2,求 X 1 • X 2 • X 3X 1X 2X3 …x 2 n = qq 2 • q 3...q 2n =q 1+2+3+ (2)--a 2a 3a 4a 5a 6 =a 4 = 32x n , b 成等比数列,求证 nX 1X 2 (x)n <a b 2 .证明设这n + 2个数所成数列的公比为q ,则 b=aq n+1n 1b•-q—an 1•-n X 1X 2 …X nnaqaq 2…aq n aq 2— a b•、ab < -2【例5】设a 、b 、c 、d 成等比数列,求证:(b — e)2 + (e — a)2 + (d — b)2 = (a —d)2证法一 • •' a 、b 、c 、d 成等比数列a b c bed••• b 2= ae , e 2 = bd , ad = be左边=b 2 — 2bc + e 2 + C 2 — 2ac + a 2 + d 2— 2bd + b 2 =2(b 2— ae) + 2(e 2 — bd) + (a 2 — 2bc + d 2) =a 2 — 2ad + d 2 =(a — d)2 =右边 证毕.证法二 ■/ a 、b 、c 、d 成等比数列,设其公比为 q ,则:b = aq , e = aq 2, d=aq 3•左边=(aq — aq 2)2 + (aq 2— a)2 + (aq 3 — aq)2 =a 2 — 2a 2q 3 + a 2q 6 =(a — aq 3)2 =(a—d)2=右边证毕.【例6】 求数列的通项公式: (1) {a n}中,ai = 2, a n+1= 3a n + 2(2) {a n}中,ai=2, a? = 5,且 a n+2 — 3a n+1 + 2a n = 0 思路:转化为等比数列.解⑴a n+1 = 3a n + 2 a n+1 + 1 = 3(a n + 1)••• {a n + 1}是等比数列 ••• a n + 仁3 • 3n-1a n =3n - 1•-{a n+1 — a n }是等比数列,即 a n+1—an =(a 2 — a 1) • 2n-1=3 • 2n-1再注意到a?— a 〔=3, a3 — *2=3 • 21, a@ — 83=3 • 22,…,玄门—玄门_1=3 • 2n-2,这些等式相加,即可以 得到n 1丄2n-22 1n 1a n = 3[1 + 2 + 2 +…+ 2]= 3 • 2 1 = 3(2— 1)【例7】 若实数a 1> a 2、a 3、a 4都不为零,且满足(a f + a ;)a ; — 2a 2⑻+ a 3)a 4 + a ; + a : = 0求证:a 1、a ?、a 3成等比数列,且公比为a °.证 T a 〔、a2、83、84均为不为零的实数•- (a f + a ;)x 2 — 2& (a 1 +a 3)x +a ; + a f = 0为实系数一兀—次方程 等式(a l +a 2 )a 4 —2a 2 (a 1+a 3)a 4 + a 2 + a : = 0说明上述方程有实数根a 4.•上述方程的判别式0,即2 2 2 2 2[—2a 2(a 1 +a 3)] — 4(a 1 + a 2)(a 2 + a 3)=—4(a ; — ae s )2》0 • (a ; - a^)2 < 0又• • • a 〔、 a2、a3为实数•(a ; — a£3)2 > 0必有 a 2 — a 1a 3 = 0 即 a 2 = a 1a 3因而a 〔、a2、a3成等比数列• a4即为等比数列a 「a2、ag 的公比.【例8】 若a 、b 、c 成等差数列,且 a + 1、b 、c 与a 、b 、c + 2都成等比数列,求 b 的值.解 设a 、b 、c 分别为b — d 、b 、b + d ,由已知b — d +1、b 、b + d 与b — d 、b 、b + d + 2都成等比数 列,有b 2 = (b — d + 1)(b + d) ① b 2 = (b — d)(b + d + 2)②整理,得(2)a n +2 - 3a n +! + 2a n = 0an+2 an+1=2(a n+1— an)2a 2 (a 1 a 3) 2(a f a ;)a 2 (a 1 a 3) a 2a 〔 a 1 a 3 ab 2 = b 2 — d 2 + b + d b 2 = b 2 — d 2 + 2b — 2d••• b + d=2b — 2d 即 b=3d 代入①,得 9d 2=(3d — d + 1)(3d + d) 9d 2=(2d + 1) • 4d 解之,得d=4或d=0(舍) • b=12【例9】 已知等差数列{a n }的公差和等比数列{b n }的公比都是d ,又知1,且a 4=b 4, a 10=b 10: (1)求a 1与d 的值; (2)bi6是不是{an }中的项?思路:运用通项公式列方程a i (1— d 3) = — 3d a 1(1— d 9)= — 9d d 6 + d 3— 2 = 0 d i 1(舍)或d 2 32•a id 3 2 d 3 2(2) •/ b 16=b 1 • d 15= — 32b 1且 a 4=a + 3d = 23.2 = b 4 b 4 = b 1 • d 3 = — 2b 1 = — 23 2 • b 1 = a 1 = 3 2•-b 16= — 32b 1 = — 32a 1,如果 b 16 是{a n }中的第 k 项,则 —32a 〔=a 〔+(k — 1)d --(k — 1)d= — 33a 〔=33d • k=34即b 16是{a n }中的第34项.1 21【例10】 设{a n }是等差数列,b n = (―)an ,已知b 1 + b 2 + b 3 = § , 1b 1b 2b 3 = 2,求等差数列的通项.8解 设等差数列{a n }的公差为d ,则a n =a 1 + (n — 1)d解⑴由a 4 =b 4a iob io3 a 1 + 3d = a 1d9a 1 + 9d = a 1d11 1由b 1b 2 b 3 =,解得b 2 =,解得b 288解这个方程组,得1 、 1bi =2,b3 = 8或bi =8,b3 = 2二 a 〔 = — i , d=2 或 ai=3, d= — 2•••当 a 〔=——i , d=2 时,a n =ai + (n — i)d=2n — 3当 a i =3, d=2 时,an=ai + (n — i)d =5 — 2n 【例11】 三个数成等比数列,若第二个数加 成等比数列,求这三个数.解法一 按等比数列设三个数,设原数列为 a ,aq , aq 2由已知:a , aq + 4, aq 2成等差数列 即:2(aq + 4)=a + aq 2a , aq + 4, aq 2 + 32成等比数列 即:(aq + 4)2=a(aq 2 + 32)aq + 2 = 4a①,②两式联立解得:•这三数为:2, 6, 18或 - ,10, 50. 99 9由已知:三个数成等比数列 即:(b — 4)2=(b — d)(b + d)飞=(2)a i(n 1)db i b 3 = (》ai,1、a i +2d (2) =(1)2(a i +d) =(2)2a =2亠 a ■c 或 '9 q =3q =—5解法二按等差数列设三个数,设原数列为 b — d , b — 4, b +d1―,代入已知条件 21b i b 2b 3 = 8 b i b 3b i b 2b 3整理得 21 8 17b 1 + b 3 =-1 8 4就成等差数列,再把这个等差数列的第3项加32又18b—d2 = 16b—d, b, b+ d + 32成等比数列解法 设前三个数为a — d , a , a + d ,则第四个数为(a d)2 a(a d)依题意,有 a — d +a =16a + (a + d) =12a 〔= 4a 2 = 9解方程组得:一或d 1 = 4d 2 =— 6所求四个数为:0, 4, 8, 16或 15, 9, 3, 1依题意有:22b — bq + bq 2 = 16 b + bq = 12b 1 = 4b 2 =9 解万程组得:或1 q 1 =2 q 2 =3所求四个数为:0, 4, 8, 16或 15, 9, 3, 1 .解法三 设四个数依次为 x , y , 12 — y , 16 — xx + (12 — y) = 2y y • (16 — x) = (12 — y)即 b 2=(b — d)(b + d + 32)32b — d 2 — 32d = 0【例12】 有四个数,其中前三个数成等差数列,后三个数成等比数列,并且第一个数与第四个数的和是16,第二个数与第三个数的和是12,求这四个数.分析本题有三种设未知数的方法方法一 设前三个数为a — d , a , a + d ,则第四个数由已知条方法二 设后三个数为b , bq , bq 2,则第一个数由已知条件推得为 2b — bq .方法三 设第一个数与第二个数分别为x , y ,则第三、第四个数依次为12 — y , 16 — x .由这三种设法可利用余下的条件列方程组解出相关的未知数,从而解出所求的四个数,①、②两式联立,解得:26b9 或 b =108 d = 8 d =2 •••三数为9, 10 9, 50 或 2, 6 , 18• 9 件可推得:(a d)2 a解法二 设后三个数为:b , bq , bq 2,则第一个数为:2b — bq依题意有2解方程组得:x^i = 0x 2 = 15 或y 1 = 4y 2 = 9这四个数为0, 4, 8, 16或15, 9, 3, 1.【例13】 已知三个数成等差数列,其和为 126;另外三个数成等比数列,把两个数列的对应项依次相加,分别得到 85,76,84.求这两个数列.解 设成等差数列的三个数为 b — d , b , b + d ,由已知,b — d + b + b + d=126••• b=42这三个数可写成 42 — d , 42, 42 + d . 再设另三个数为a , aq, aq 2.由题设,得a + 42 — d = 85 ap + 42 = 762aq + 42 + d = 84a — d = 43① 整理,得 aq = 34② 2aq + d = 42③解这个方程组,得a 〔=17 或玄2=68当 a=17 时,q=2, d= — 261当a= 68时,q 二,d = 252从而得到:成等比数列的三个数为三个数为68, 34, 17,此时成等差的三个数为17, 42, 67.数成等差数列,证明:a 〔、a3、a5成等比数列.证明由已知,有 2a2=a 〔 + a 3217, 34, 68,此时成等差的三个数为68, 42, 16;或者成等比的【例14】 已知在数列{a n }中,a 「a 2> a 3成等差数列,a2、电、成等比数列,玄3、玄厶、的倒a 4 1= 322 1a4 a3 a5由③,2a3 •a5a4 =a3 + a5由①,a1 + a3a?= 2代入②,得整理,2a3a1 + a3 2a3 • a52 a3 a5a3a5(a1+a2)a3 + a5即a3(a 3+a5)=a 5(a 1+a3)= a 1a 5+a 3a 5所以 a 1、 a 3、a 5 成等比数列.【例15】 已知 (b - c )logm x + (c - a )log m y + (a - b )log m z=0 .(1)设 a ,b ,c 依次成等差数列,且公差不为零,求证: x , y ,(2)设正数 x , y ,z 依次成等比数列,且公比不为 1,求证: a , 证明 (1)T a , b , c 成等差数列,且公差 d 丰0 ••• b — c=a — b=— d , c — a=2d代入已知条件,得:-d (logm x -2log m y + log m z )=0•logm x +log m z=2log m y2• y 2=xz••• x , y , z 均为正数 • x , y , z 成等比数列⑵■/ x , y , z 成等比数列且公比 q z 1 • y=xq , z=xq 2 代入已知条件得:(b — c)log m x +(c — a)log m xq +(a — b)log m xq 2=0 变形、整理得: (c +a — 2b)log m q=0 •••q z 1•log m q z 0• c + a — 2b=0 即 2b=a +c即 a , b , c 成等差数列z 成等比数列. b , c 成等差数列. a 3 +a 3a 5。
1.(2009安徽卷文)已知为等差数列,,则等于A. -1B. 1C. 3D.7【解析】∵即∴同理可得∴公差∴.选B 。
【答案】B2.(2009年广东卷文)已知等比数列的公比为正数,且·=2,=1,则=A. B. C. D.2【答案】B【解析】设公比为,由已知得,即,又因为等比数列的公比为正数,所以,故,选B 3.(2009江西卷文)公差不为零的等差数列的前项和为.若是的等比中项, ,则等于A. 18B. 24C. 60D. 90【答案】C【解析】由得得,再由得 则,所以,.故选C 4.(2009湖南卷文)设是等差数列的前n 项和,已知,,则等于( )A .13B .35C .49D . 63 【解析】故选C. 135105a a a ++=33105a =335a =433a =432d a a =-=-204(204)1a a d =+-⨯=}{n a 3a 9a 25a 2a 1a 21222q ()22841112a q a q a q ⋅=22q=}{n a q =212a a q ==={}n a n n S 4a 37a a 与832S =10S 2437a a a =2111(3)(2)(6)a d a d a d +=++1230a d +=81568322S a d =+=1278a d +=12,3d a ==-1019010602S a d =+=n S {}n a 23a =611a =7S 172677()7()7(311)49.222a a a a S +++====或由, 所以故选C. 5.(2009福建卷理)等差数列的前n 项和为,且 =6,=4, 则公差d 等于A .1B C.- 2 D 3【答案】:C [解析]∵且.故选C 6.(2009辽宁卷文)已知为等差数列,且-2=-1, =0,则公差d = A.-2 B.-C. D.2 【解析】a 7-2a 4=a 3+4d -2(a 3+d)=2d =-1 ⇒ d =- 【答案】B7.(2009四川卷文)等差数列{}的公差不为零,首项=1,是和的等比中项,则数列的前10项之和是A. 90B. 100C. 145D. 190 【答案】B【解析】设公差为,则.∵≠0,解得=2,∴=1008.(2009宁夏海南卷文)等差数列的前n 项和为,已知,,则A.38B.20C.10D.9 【答案】C【解析】因为是等差数列,所以,,由,得:221161315112a a d a a a d d =+==⎧⎧⇒⎨⎨=+==⎩⎩716213.a =+⨯=1777()7(113)49.22a a S ++==={}n a n S 3S 1a 5331336()2S a a ==+3112 =4 d=2a a d a =+∴{}n a 7a 4a 3a 121212n a 1a 2a 1a 5a d )41(1)1(2d d +⋅=+d d 10S {}n a n S 2110m m m a a a -++-=2138m S -=m ={}n a 112m m m a a a -++=2110m m m a a a -++-=ma-=0,所以,=2,又,即=38,即(2m -1)×2=38,解得m =10,故选.C 。
9..(2009重庆卷文)设是公差不为0的等差数列,且成等比数列,则的前项和=( )A .B .C .D .【答案】A【解析】设数列的公差为,则根据题意得,解得或(舍去),所以数列的前项和二、填空题10.(2009全国卷Ⅰ理) 设等差数列的前项和为,若,则= 答案 24解析 是等差数列,由,得.11.(2009浙江理)设等比数列的公比,前项和为,则 . 答案:15解析 对于12.(2009北京文)若数列满足:,则 ;前8项的和 .(用数字作答) 答案 225解析 本题主要考查简单的递推数列以及数列的求和问题. 属于基础知识、基本运算的考查.2m a m a 2138m S -=2))(12(121-+-m a a m {}n a 12a =136,,a a a {}n a n n S 2744n n+2533n n +2324n n +2n n +{}n a d (22)22(25)d d +=⋅+12d =0d ={}n a n 2(1)1722244n n n n nS n -=+⨯=+{}n a n n S 972S =249a a a ++{}n a Q 972S =599,S a ∴=58a =∴2492945645()()324a a a a a a a a a a ++=++=++=={}n a 12q =n n S 44S a =4431444134(1)1,,151(1)a q s q s a a q q a q q --==∴==--{}n a 111,2()n n a a a n N *+==∈5a =8S =,易知,∴应填255. 13.(2009全国卷Ⅱ文)设等比数列{}的前n 项和为。
若,则= × 答案:3解析:本题考查等比数列的性质及求和运算,由得q 3=3故a 4=a 1q 3=314.(2009全国卷Ⅱ理)设等差数列的前项和为,若则解析 为等差数列,答案 915.(2009辽宁卷理)等差数列的前项和为,且则 解析 ∵S n =na 1+n(n -1)d ∴S 5=5a 1+10d,S 3=3a 1+3d∴6S 5-5S 3=30a 1+60d -(15a 1+15d)=15a 1+45d =15(a 1+3d)=15a 4 答案三、解答题16.(2009浙江文)设为数列的前项和,,,其中是常数.(I ) 求及;(II )若对于任意的,,,成等比数列,求的值. 解(Ⅰ)当,()经验,()式成立, (Ⅱ)成等比数列,,即,整理得:,对任意的成立,17.(2009北京文)设数列的通项公式为. 数列定义1213243541,22,24,28,216a a a a a a a a a ========882125521S -==-n a n s 3614,1s s a ==4a 3614,1s s a =={}n a n n S 535a a =95S S ={}n a Q 9553995S a S a ∴=={}n a n n S 53655,S S -=4a =1231n S {}n a n 2n S kn n =+*n N ∈k 1a n a *m N ∈m a 2m a 4m a k 1,111+===k S a n 12)]1()1([,2221+-=-+--+=-=≥-k kn n n k n kn S S a n n n n *,1=n *12+-=∴k kn a n m m m a a a 42,,Θm m m a a a 422.=∴)18)(12()14(2+-+-=+-k km k km k km 0)1(=-k mk *∈N m 10==∴k k 或{}n a (,0)n a pn q n N P *=+∈>{}n b如下:对于正整数m ,是使得不等式成立的所有n 中的最小值. (Ⅰ)若,求; (Ⅱ)若,求数列的前2m 项和公式;(Ⅲ)是否存在p 和q ,使得?如果存在,求p 和q 的取值范围;如果不存在,请说明理由.【解析】本题主要考查数列的概念、数列的基本性质,考查运算能力、推理论证能力、 分类讨论等数学思想方法.本题是数列与不等式综合的较难层次题. 解(Ⅰ)由题意,得,解,得. ∴成立的所有n 中的最小整数为7,即. (Ⅱ)由题意,得, 对于正整数,由,得. 根据的定义可知当时,;当时,.∴. (Ⅲ)假设存在p 和q 满足条件,由不等式及得. ∵,根据的定义可知,对于任意的正整数m 都有,即对任意的正整数m 都成立. m b n a m ≥11,23p q ==-3b 2,1p q ==-{}m b 32()m b m m N *=+∈1123n a n =-11323n -≥203n ≥11323n -≥37b =21n a n =-n a m ≥12m n +≥m b 21m k =-()*m b k k N=∈2m k =()*1mbk k N =+∈()()1221321242m m m b b b b b b b b b -+++=+++++++L L L ()()1232341m m =++++++++++⎡⎤⎣⎦L L ()()213222m m m m m m ++=+=+pn q m +≥0p >m qn p-≥32()m b m m N *=+∈m b 3132m qm m p-+<≤+()231p q p m p q --≤-<--当(或)时,得(或), 这与上述结论矛盾! 当,即时,得,解得. ∴ 存在p 和q ,使得;p 和q 的取值范围分别是,.. 18.(2009山东卷文)等比数列{}的前n 项和为, 已知对任意的 ,点,均在函数且均为常数)的图像上. (1)求r 的值; (11)当b=2时,记 求数列的前项和 解:因为对任意的,点,均在函数且均为常数)的图像上.所以得,当时,,当时,, 又因为{}为等比数列, 所以, 公比为, 所以(2)当b=2时,, 则 相减,得 310p ->310p -<31p q m p +<--231p qm p +≤--310p -=13p =21033q q --≤<--2133q -≤<-32()m b m m N *=+∈13p =2133q -≤<-n a n S n N +∈(,)n n S (0xy b r b =+>1,,b b r ≠1()4n nn b n N a ++=∈{}n b n n T n N +∈(,)n n S (0xy b r b =+>1,,b b r ≠nn S b r =+1n =11a S b r ==+2n ≥1111()(1)n n n n n n n n a S S b r b r b b b b ----=-=+-+=-=-n a 1r =-b 1(1)n n a b b -=-11(1)2n n n a b b --=-=111114422n n n n n n n b a -++++===⨯234123412222n n n T ++=++++L 3451212341222222n n n n n T +++=+++++L 23451212111112222222n n n n T +++=+++++-L所以 【命题立意】:本题主要考查了等比数列的定义,通项公式,以及已知求的基本题型,并运用错位相减法求出一等比数列与一等差数列对应项乘积所得新数列的前项和. 19.(2009全国卷Ⅱ文)已知等差数列{}中,求{}前n 项和.解析:本题考查等差数列的基本性质及求和公式运用能力,利用方程的思想可求解。