函数极限的几种简单求法
- 格式:doc
- 大小:25.50 KB
- 文档页数:3
极限求法总结极限是微积分中的一个重要概念,是研究函数变化趋势的基础。
在求解极限的过程中,我们常常会使用一些常用的技巧和方法。
下面我将对常见的极限求法进行总结,详细说明每种方法的步骤和应用场景。
一、直接代入法当函数在某个点有定义并且极限存在时,我们可以通过将变量直接代入函数中计算出极限的值。
例如,对于 f(x) = x^2 - 1,当 x -> 2 时,我们可以将 x 的值替换为 2,计算出 f(2) 的值。
这种方法适用于函数在该点有定义且不产生未定义结果的情况。
二、分子有理化法有些极限问题中,分子含有根式、分母含有分式等情况,为了便于计算,我们可以使用有理化方法。
主要有三种情况:有理化分母、有理化分子和有理化共轭。
1. 有理化分母:当分母中含有根式时,我们可以通过乘上分母的共轭形式,并利用差平方公式,将根式有理化为有理数。
例如,对于f(x) = 1/√x,当 x -> 4 时,我们可以乘上分母的共轭√x,得到f(x) = √x/√x^2,再利用 x^2 - a^2 = (x - a)(x + a) 的差平方公式,化简出分母为 (x - 4)。
接着我们可以直接代入计算。
2. 有理化分子:当分子中含有根式时,我们可以通过乘上分子的共轭形式,并利用和平方公式,将根式有理化为有理数。
例如,对于f(x) = √x + 1,当 x -> 2 时,我们可以乘上分子的共轭√x - 1,得到f(x) = (√x + 1)(√x - 1)/(√x - 1),再利用 a^2 -b^2 = (a - b)(a + b) 的和平方公式,化简后得到 f(x) = (x - 1)/(√x - 1)。
接着我们可以直接代入计算。
3. 有理化共轭:当分式中含有复杂的分母,我们可以根据分母的共轭形式,将分式有理化为分子和分母之间关于负号的组合。
例如,对于 f(x) = 1/(x + 3)^2,当 x -> -3 时,我们可以将分子和分母都乘上 (x + 3)^2 的共轭 (-x - 3)^2,然后化简分子和分母。
函数极限的几种求解方法函数极限是微积分中的一个重要概念,也是许多数学问题的重要工具之一。
在实际问题中,任何一个变量的变化都必须到达一个极限值才能意味着问题的解决。
因此,求函数极限是应用数学的重要基础。
下面介绍几种求解函数极限的方法。
方法一:直接代入法直接代入法是一种常见的求解函数极限的方法。
它的基本思路是将极限中的变量直接带入函数中,然后求出函数的值。
这种方法通常适用于简单的函数极限,即使该函数在某些点是不连续的也可以用这种方法求解。
例如:求函数$$f(x)=\frac{x^2-1}{x-1}$$当$x→1$时的极限值。
使用直接代入法,我们将x=1代入$f(x)$中得:根据这个式子,可以发现除数为零的情况,也就是该函数在$x=1$处不连续。
因此,使用直接代入法不能解决这种情况下的函数极限。
方法二:化简法化简法是另一种求解函数极限的常用方法。
其基本思想是通过对函数进行一系列数学加减乘除的运算,将原来等价于某个特定值的函数表示成另一种形式,从而使得求解函数极限的问题变为更加容易的形式。
不难发现,当$x=2$时,函数中的分母为零,因此我们无法使用直接代入法,需要采用其他方法求解。
考虑对上式进行化简:$$\begin{aligned} f(x)&=\frac{x^3-3x^2-4x+12}{x-2} \\&=\frac{(x^3-8)-3(x^2-4)}{x-2} \\ &=\frac{(x-2)(x^2+2x+4)-3(x-2)(x+2)}{x-2} \\ &= x^2+2x+4-3(x+2) \\ &= x^2-x+2 \end{aligned}$$$$f(2)=2^2-2×2+2=4-4+2=2$$因此,当$x→2$时,函数$f(x)$的极限值为$2$。
方法三:洛必达法则洛必达法则是一种特殊的求解函数极限的方法。
它指出,当一个函数的分子和分母都趋近于零或正无穷时,我们可以用该函数的导数来求出该函数的极限值。
千里之行,始于足下。
极限的求解方法总结极限是数学中一个重要的概念,它描述了函数在某一点或某一趋势中的趋于无穷的行为。
在求解极限问题时,我们可以使用多种方法来获得精确的结果。
下面将对常见的求解极限问题的方法进行总结。
1. 代入法:代入法是求解极限问题中最简洁和直接的方法。
它适用于大多数简洁的极限问题,只需要将极限中的变量代入函数中,计算得到的函数值就是极限的结果。
但是需要留意的是,代入法只适用于那些在给定点四周有定义的函数。
2. 夹逼准则:夹逼准则常用于求解函数极限时。
该方法的基本思想是通过构造两个函数,一个渐渐趋近于极限,并且一个渐渐远离于极限。
若两个函数的极限都存在且相等,则可以得到原函数的极限。
3. 分式分解与有理化:对于一些简单的极限问题,我们可以通过将分式进行分解,或利用有理化的方法简化问题。
分式分解的方法适用于含有多项式的极限问题,将分式拆解成更简洁的形式,然后进行计算。
有理化的方法则适用于含有根式的极限问题,通过去除分母中的根式,将问题转化为含有多项式的形式。
4. 泰勒级数开放:泰勒级数开放是一种将函数用无穷级数形式进行表示的方法。
通过该方法,我们可以将一个简单的函数开放成一个无穷级数,然后利用级数的性质来求解极限问题。
泰勒级数开放的方法适用于对于某一点四周的函数近似求极限的问题。
第1页/共2页锲而不舍,金石可镂。
5. 极限性质和公式:在求解简单的极限问题时,我们可以利用极限的性质和公式来简化计算。
例如,极限的和差性、积性、倒数性、幂等性等公式都可以用来简化极限问题的计算。
6. L'Hospital法则:L'Hospital法则是一种通过对函数的导数进行操作来求解极限问题的方法。
该方法适用于极限的形式为0/0或无穷/无穷的问题。
依据L'Hospital法则,假如函数f(x)和g(x)在给定点四周连续可导,并且f(x)/g(x)的极限存在,那么f(x)/g(x)的极限等于f'(x)/g'(x)的极限。
微积分中函数极限的几种常用求解方法与策略函数极限是微积分中的一个重要概念,它描述了一个函数在某一个点上的一种趋势或者特性。
计算函数极限可以帮助我们更好地理解和分析函数的性质和行为,有助于我们在实际问题中进行数学建模和分析。
在本文中,我们将介绍一些常用的函数极限求解方法和策略,以及应用这些方法进行问题求解的一些技巧和实例。
一、基本极限1. 常函数极限:对于任何一个常数C,有lim_x→a C = C。
这个极限很容易理解,因为常数C在a点的值就是C,没有任何变化。
2. 一次函数极限:对于一个一次函数f(x) = kx+b (k≠0),有lim_x→a f(x) = ka+b。
这个极限的求解也比较简单,就是将x代入函数,得到在a点的函数值,也就是k*a+b。
3. 幂函数极限:对于一个幂函数f(x) = x^n (n为正整数),有lim_x→a f(x) = a^n。
这个极限可以用夹逼定理来证明,也可以通过直接代入公式进行求解。
二、极限的四则运算法则在很多实际问题中,我们需要对函数进行加减乘除等运算,因此需要了解极限的四则运算法则。
这些法则包括:1. 两个函数之和的极限等于两个函数在该点的极限之和。
三、夹逼定理在实际问题中,我们有时会遇到一些复杂的函数,无法直接进行求解,这时候就需要用到夹逼定理来求解。
夹逼定理的核心思想是,我们可以找到两个比较简单的函数,一个上界函数和一个下界函数,这两个函数都可以收敛到某一个极限,然后我们就可以根据夹逼原理,得到我们要求解的函数的极限值。
四、洛必达法则洛必达法则是一种常用的求解极限的方法,其核心思想是通过对函数求导来得到某一个点的导数,然后再求极限。
如果这个极限存在的话,那么这个极限就是函数在这个点的极限。
具体求解方法如下:1. 当极限的代数式飞涨或者现实复杂时,可以使用该方法求解。
2. 求出极限函数f(x)的导函数f'(x),然后将x带入f'(x)求出导数。
极限的六种求法1、代入法作者:教资备考群(865061525)之管理员,—━☆知浅づ如果自变量所趋近的值,能使函数有意义,就可以直接代入函数表达式中。
注:能使函数有意义,就是这个自变量在函数的定义域内。
【例】limx→2 x2x3 + 1− 2x + 3=( )。
2解:x2 − 2x + 3 = (x − 1)+ 2 ≥ 2 ≠ 0可见该函数的定义域是x3 + 1 R,所以可以直接将8 + 1x = 2 代入x3 + 1 。
x2 − 2x + 3limx→2 x2− 2x + 3 = limx→24 − 4 + 3= 3。
2、约公因子法如果自变量所趋近的值,使得函数没有意义。
可以考虑约公因子,将其约去。
因此经常运用因式分解。
【例】limx→3x2−x− 6x−3=( ) 。
解:这里发现,该函数的定义域为{x|x ≠ 3}。
如果x → 3,会使得函数没有意义。
因此考虑约公因子。
lim x→3x2−x−6x− 3= limx→3(x− 3)(x + 2)x− 3= lim(x + 2) = 5。
x→30 ⎩ x x x3、最高次幂法当函数是分式形式,且分子、分母都是多项式时,可以使用最高次幂法求极限。
它的原理,就是分子分母同时除以自变量的最高次幂。
这样自变量趋近于无穷大时, 那些比最高次幂低的项,直接就变为 0 了。
最高次幂法也俗称抓大头。
a⎧ ,n = m , a x m + a x m−1 + ⋯ + a⎪b 0lim 0 1 m = x→∞ b 0x n + b 1x n−1 + ⋯ + b n ⎨0,n > m , ⎪∞,n < m 。
【 例 】10x 4 + 6x 3 − x 2 + 3( ) 。
1 limx→∞2x 4 − x 2 − 9x=首先,观察到函数是个分式的形式。
其次,分子跟分母的最高次幂都是 4;最后,求极限直接用最高次幂法,原式 = 10= 5。
2那么,不妨拿这个例子,验证一下最高次幂法的原理。
关于极限的若干种计算方法本文将极限的几种计算方法介绍如下: 一 代入求值法:这种方法只适用于在0x 点连续的函数求极限。
例1、计算3121lim 1x x x x →-+-解:321()11x x F x x x -+==+在处有定义且连续, 331212111lim 1111x x x x →-+⨯-+∴==++ 例2、计算:22ln lim sin x x x x → 2222ln 2ln 24ln :lim sin sin 2sin 2x x x x →==解二 倒数法:这种方法是利用无穷小量与无穷大量的关系来处理的。
例3、2232lim 531n n n n n →∞-++-解:因为分子分母的极限均不存在,故不能运用商的极限运算法则,可先将分子分母分别除以2n ,然后取极限。
于是2222123323lim lim 3153155n n n n n n n n n n→∞→∞-+-+==+-+- 例4、求2143lim 54x x x x →--+解:因为分母极限为零,分子极限不为零,故先考虑1()f x 的极限。
因为 21540lim0431x x x x →-+==- 所以 2143lim54x x x x →-=∞-+(无穷小量的倒数是无穷大量。
)例5、计算111lim[]1335(21)(21)n n n →∞+++⋅⋅-+解:由于极限的运算法则不适用于无限和的情形,故本题宜先求和,再求极限。
因为1111()(21)(21)22121k k k k =--+-+所以 111lim[]1335(21)(21)n n n →∞+++⋅⋅-+111111111lim[()()()]21323522121111lim[]22(21)2n n n n n →∞→∞=-+-++--+=-=+利用倒数法可得如下结论:0111001011()lim 0()(,,00)()m m m n n x n n a m n b a x a x a x a m n m n a b b x b x b x b m n ---→∞-⎧=⎪⎪+++⎪=<≠≠⎨++++⎪∞>⎪⎪⎩m 0为自然数 三 化积约分法:有些函数()f x 在0x x =处无定义,这时不能用代入求值法求极限,但当0x x =时,()f x 的极限存在与否与()f x 在点0x 处是否有定义无关,所以常将()f x 先作适当变形,如分解因式约去极限为零的分母等,转化为在0x x =处有定义的新函数()g x ,再用代入求值法。
极限的求法总结引言:在数学中,极限是解决各种问题的关键方法之一,涉及到函数的趋势和趋近性质。
从初等数学到高等数学,极限概念与求法贯穿始终。
本文将总结几种常见的极限求法,旨在帮助读者更好地理解和应用极限概念。
一、代入法代入法是最常见也是最直观的一种极限求法。
当需要求一个函数f(x)在某一点a的极限时,我们可以尝试将x的值逐渐靠近a,观察f(x)的趋势。
若存在一个固定的实数L,使得当x趋近于a时,f(x)趋近于L,则称L为f(x)在点a的极限。
代入法适用于大多数简单的初等函数,例如多项式函数和三角函数。
二、夹逼法夹逼法是一种常用的极限求法,适用于一些特殊函数或复杂函数的极限。
它的思想是通过构造两个较为简单的函数,使得它们夹在待求函数的两侧。
具体步骤为:找到两个函数g(x)和h(x),它们分别趋近于同一个极限L,且g(x) ≤ f(x) ≤ h(x)。
如果满足这个条件,那么f(x)在点a的极限也是L。
夹逼法常用于计算无穷小量、复合函数和级数等问题。
三、洛必达法则洛必达法则是一种利用导数的性质来求极限的常用方法。
当使用代入法或夹逼法无法直接得到极限结果时,可以考虑使用洛必达法则。
该法则的关键思想是利用函数的导数与函数的极限之间的关系。
具体步骤为:对于函数f(x)和g(x),如果当x趋近于某个实数a时,它们的极限都是0或无穷大,并且f'(x)和g'(x)都存在(其中f'(x)表示f(x)的导数),那么f(x)/g(x)的极限等于f'(x)/g'(x)。
洛必达法则常用于处理0/0型和∞/∞型的极限。
四、级数收敛法和发散法级数是数列的和。
在数学中,根据级数的性质,可以判断它的收敛与发散。
对于一个给定的级数,当其各项逐渐趋近于某个极限L(L可能是一个实数或无穷大)时,称该级数收敛于L。
反之,如果级数的和不会趋近于任何值,称该级数发散。
级数的收敛性与发散性在数学中具有广泛应用,特别是在实际问题中的数值分析和近似计算中。
高等数学中函数极限的求法技巧解析
函数极限是高等数学中的重要概念,也是其他数学领域的基础。
在计算函数极限时,有一些常用的技巧和方法,可以帮助我们更快地求解极限问题。
下面是一些常用的函数极限求法技巧。
1. 代入法:当函数极限中存在形如"0/0"或"无穷大/无穷大"的不定型时,可以尝试使用代入法求解。
即将函数中的变量逐渐靠近极限值进行代入,计算出函数在极限点附近的取值,进而得到极限结果。
2. 无穷小代换法:当函数极限中含有无穷大或无穷小的项时,可以使用无穷小代换法进行求解。
即将无穷大或无穷小项替换为相应的无穷小量,对含有无穷大或无穷小的函数进行化简,再进行极限计算。
3. 分子分母除以最高幂次法:当函数极限中含有多项式的幂次较高时,可以尝试使用分子分母除以最高幂次的方法进行化简。
将函数中的每一项均除以该最高幂次,使得函数的分子和分母变为相对较小的多项式,从而更便于求解极限。
4. 辅助函数法:当函数极限较复杂时,可以尝试构造一个辅助函数来辅助求解。
通过适当选择辅助函数,将原函数转化为一个更简单的形式,再求解极限。
5. 夹逼定理:夹逼定理是函数极限求解的重要工具,适用于求解某些特殊的函数极限。
当函数的上下界均存在且极限相等时,可以通过夹逼定理求出函数的极限。
6. 泰勒级数展开法:当函数极限中含有三角函数、指数函数等特殊函数时,可以尝试使用泰勒级数展开法进行求解。
通过将特殊函数展开为无穷级数的形式,可以将原函数转化为一个容易求解的形式,再进行极限计算。
- 1 -
一、函数极限的定义
定义一:若当x 无限变大时,恒有|f(x)-a|<ε,其中ε是可以任意小的正数,则称当x 趋向无穷大时,函数f (x )趋向于a ,记作+∞→x lim f(x)=a 或f(x )→a(x →+∞)。
定义二:若当x 无限接近0x 时,恒有|f(x)-a|<ε,其中ε是可以任意小的正数,则称当x 趋向0x 时,函数f (x )趋向于a ,记作0
x lim →x f(x)=a 或f(x) →a(x-0x )。
二、函数极限的求法
下面我们以相关的概念、定理及公式为依据,解决常见函数极限的求解方法:
1、直接代入法
适用于分子、分母的极限不同时为零或不同时为∞。
例1:求1
352lim 22+-+→x x x x 分析:由于
2lim
→x (22x +x-5)=22lim →x 2x +2lim →x x-2lim →x 5=2·22+2-5=5, 2lim →x (3x+1)=32lim →x x+2
lim →x 1=3·2+1=7 所以采用直接代入法。
解:原式=)13(lim 5x x 2lim 222
x +-+→→x x )
(=12352222+⋅-+⋅=7
5 2、利用极限的四则运算法则求极限
这是求极限的基本方法,主要应用函数的和、差、积、商的极限法则及若干基本函数的极限结果进行极限的计算,为此有事往往要对函数作一些变形。
定理 若0x lim →x f(x)=A 0x lim →x g (x )=B。
求极限的若干方法求极限的方法可以分为以下几种:1. 代入法:将函数中的自变量代入,并通过逐渐逼近的方法求得极限值。
这种方法比较直观简单,特别适用于一些特殊函数的极限计算,如三角函数、指数函数等。
2. 分子分母分别求极限法:当函数形式较为复杂时,可以将分子和分母分别求极限,再求两者的商的极限。
通过这种方法,可以将复杂的极限问题简化为较为简单的子问题,更容易求解。
3. 极限运算法则:极限运算法则是求极限的一种常用方法,通过运用一些基本极限的性质,可以简化复杂极限的计算。
常用的极限运算法则包括加法法则、乘法法则、除法法则、幂函数法则等。
4. 复合函数求极限法:对于复合函数的极限,可以先对内部函数求极限,再对外层函数求极限。
这种方法适用于复杂函数的极限计算,可以将复杂函数拆分为多个较为简单的函数,分别求其极限。
5. 求导法:对于一些特殊的极限问题,求导法可以起到一定的辅助作用。
通过对函数求导,可以将原问题转化为导函数的极限问题,进而求得原函数的极限。
6. 泰勒展开法:对于某些无法直接求得极限的函数,可以通过泰勒展开,将函数近似为多项式形式,并通过多项式的极限计算得到原函数的极限。
7. 渐进法:当函数中含有无穷大或无穷小量时,可以使用渐进法求极限。
这种方法通过分析无穷大或无穷小量在极限过程中的变化趋势,来确定极限的值。
8. 变量替换法:当函数中含有复杂的无穷小量或无穷大量时,可以通过替换变量的方法,将复杂的极限问题转化为简单的极限问题。
9. 用L'Hôpital法则:对于某些不定式形式的极限,如0/0、∞/∞等,可以使用L'Hôpital法则求极限。
该法则利用导数的性质,将原函数的极限转化为导函数的极限。
10. 用积分法:对于一些函数极限,可以通过积分的方法来求解。
通过将极限转化为积分形式,可以利用积分的性质和计算方法得到极限的值。
求极限的方法有很多种,具体选择哪种方法取决于函数的特点和问题的要求。
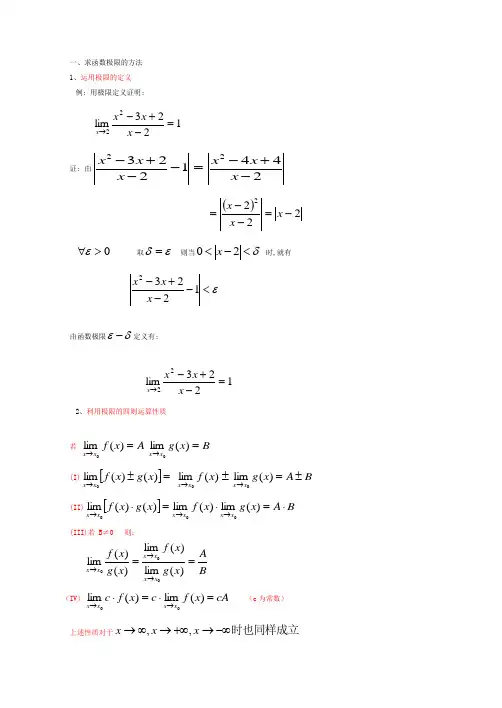
一、求函数极限的方法 1、运用极限的定义 例: 用极限定义证明:1223lim 22=-+-→x x x x 证: 由244122322-+-=--+-x x x x x x()2222-=--=x x x0>∀ε取εδ= 则当δ<-<20x 时,就有ε<--+-12232x x x由函数极限δε-定义有:1223lim 22=-+-→x x x x 2、利用极限的四则运算性质若A x f x x =→)(lim 0B x g x x =→)(lim 0(I)[]=±→)()(lim 0x g x f x x )(lim 0x f x x →±B A x g x x ±=→)(lim 0(II)[]B A x g x f x g x f x x x x x x ⋅=⋅=⋅→→→)(lim )(lim )()(lim 0(III)若 B ≠0 则:BAx g x f x g x f x x x x x x ==→→→)(lim )(lim )()(lim 000(IV )cA x f c x f c x x x x =⋅=⋅→→)(lim )(lim 0(c 为常数)上述性质对于时也同样成立-∞→+∞→∞→x x x ,,例:求 453lim 22+++→x x x x解: 453lim 22+++→x x x x =254252322=++⋅+3、约去零因式(此法适用于型时0,0x x →例: 求解:原式=()())12102(65)2062(103lim2232232+++++--+---→x x x x xx x x x x x=)65)(2()103)(2(lim 222+++--+-→x x x x x x x=)65()103(lim 222++---→x x x x x =)3)(2()2)(5(lim 2+++--→x x x x x=2lim-→x 735-=+-x x4、通分法(适用于∞-∞型) 例: 求 )2144(lim 22xx x ---→解: 原式=)2()2()2(4lim2x x x x -⋅++-→=)2)(2()2(lim2x x x x -+-→=4121lim2=+→x x5、利用无穷小量性质法(特别是利用无穷小量与有界量之乘积仍为无穷小量的性质) 设函数f(x)、g(x) 满足: (I )0)(lim 0=→x f x x(II)M x g ≤)( (M 为正整数)则:0)()(lim 0=→x f x g x x例: 求 xx x 1sinlim⋅→ 解: 由 0lim=→x x 而 11sin≤x故 原式 =01sinlim=⋅→xx x6、利用无穷小量与无穷大量的关系。
函数极限的十种求法函数极限是高等数学中的一个重要概念,在数学分析、微积分、实变函数、复变函数等领域均有应用。
函数极限的求法有很多种,以下将介绍其中的十种方法。
一、代数方法利用现有函数的代数性质,根据极限的定义求解。
例如,对于函数 f(x)=2x+1-x,当 x 趋近于 1 时,有:lim f(x) = lim (2x+1-x) = lim x+1 = 2x→1 x→1 x→1 x→1二、夹逼定理夹逼定理也称为夹逼准则或夹逼定律。
当f(x)≤g(x)≤h(x),且lim f(x)=lim h(x)=l 时,有 lim g(x)=l。
例如,对于函数 f(x)=sin(x)/x 和 g(x)=1,当 x 趋近于 0 时,有:-1 ≤sin(x)/x ≤ 1lim -1 ≤ lim sin(x)/x ≤ lim 1x→0 x→0 x→0 x→0lim sin(x)/x = 1三、单调有界准则单调有界准则也称收敛定理。
当一个数列同时满足单调有界性质,即数列单调递增或单调递减且有上(下)界时,该数列必定收敛。
对于函数而言,只需要证明其单调有界的性质,即可用该准则求出其极限值。
例如,对于函数 f(x)=sin(x)/x,当 x 趋近于 0 时,此时 f(x) 没有极限值,但是根据单调有界准则,可以求得其极限是 1。
四、洛必达法则洛必达法则是一种有效的求函数极限值的方法,通常用在0/0形式的极限中。
对于连续可导的函数 f(x) 和 g(x),若 lim f(x)/g(x)存在,则有:lim f(x) lim f'(x)lim ——— = lim ———x→a g(x) x→a g'(x)其中“lim” 表示极限符号,f'(x) 表示 f(x) 的导数,g'(x) 表示 g(x) 的导数。
如果上式右边的极限存在,那么左边的极限也存在,并且二者相等。
例如,对于函数 f(x)=x^2+2x 和 g(x)=x+1,当 x 趋近于 1 时,有:lim (x^2+2x) lim (2x+2)lim ———— = lim ———— = 4x→1 x+1 x+1五、泰勒公式泰勒公式是求解函数在某点处的极限值的有效方法之一。
求极限方法基本公式
求极限的方法有很多,基本公式包括但不限于以下几种:
1. 极限的运算法则:lim(uv) = limu limv,lim(u/v) = limu / limv,
lim(u^n) = [limu]^n (n为正整数)。
2. 幂函数的极限:limx^n = x^n / n! (x不为0),当n为偶数时,x可以为0。
3. 指数函数的极限:lime^(x) = e^x,limln(x) = ln(x)。
4. 分段函数或分式函数的极限:如果函数在某点的极限存在,那么该函数在该点的值等于该点的极限。
5. 无穷小量乘以有界量等于无穷小量:limu v = 0,其中u是无穷小量,v 是有界量。
6. 无穷大量与常数的乘积等于无穷大量:limu C = u,其中C是常数,u 是无穷大量。
7. 无穷小量的阶:limx^n = 0 (n>0),limx^n = 1 (n=0),limx^n = ∞ (n<0)。
8. 幂级数的收敛性:对于形如1/(1-x)、1/(1+x)、(1-x)^(-1)等幂级数,在x<1的范围内收敛。
9. 导数与极限的关系:如果f'(x0)存在,那么limf'(x0) = f'(x0)。
10. 洛必达法则:当一个极限的分子和分母都趋向于0或无穷大时,可以应用洛必达法则求极限。
以上是求极限的基本公式,希望对解决您的问题有所帮助。
函数极限的几种求解方法函数极限是微积分中一个重要的概念,它在数学中有着广泛的应用。
在求解函数极限时,我们可以通过多种方法来得到结果。
本文将介绍几种常用的函数极限求解方法,帮助读者更好地理解和掌握这一重要的数学概念。
一、直接代入法直接代入法是求解函数极限最简单的方法之一,它适用于绝大多数函数。
在这种方法中,我们只需将自变量x的值代入到我们要求解的函数中,然后计算得到函数的极限值。
对于函数f(x) = x^2,要求解lim(x→3) x^2的极限值,我们只需将x=3代入到函数中得到9,即lim(x→3) x^2 = 9。
这种方法简单直接,适用范围广泛,但在某些情况下可能会出现不确定形式的极限,这时就需要借助其他方法来求解。
二、夹逼定理夹逼定理也是求解函数极限常用的方法之一,它适用于一些复杂的函数极限问题。
夹逼定理的基本思想是通过找到一个上界函数和一个下界函数,使得它们的极限值相同,并且夹住要求解的函数,在夹逼定理的约束下,我们可以通过求解上界函数和下界函数的极限值来得到要求解函数的极限值。
对于函数f(x) = x*sin(1/x),要求解lim(x→0)x*sin(1/x)的极限值,我们可以找到上界函数g(x) = |x|和下界函数h(x) = -|x|,满足lim(x→0) g(x) = 0,lim(x→0) h(x) = 0,同时g(x) ≤ f(x) ≤ h(x),因此根据夹逼定理,我们可以得到lim(x→0) x*sin(1/x) = 0。
夹逼定理在求解复杂的函数极限问题时非常有用,它可以帮助我们找到一些难以直接代入求解的函数极限的解析形式。
求解函数极限有多种不同的方法,每种方法都有其适用的范围和特点。
在实际应用中,我们可以根据具体的问题情况选择合适的方法来求解函数极限,从而得到准确的结果。
通过掌握这些方法,读者可以更加深入地理解和应用函数极限的概念,提高数学分析问题的能力和水平。
希望本文能够帮助读者更好地理解和掌握函数极限的求解方法,为进一步学习数学分析和微积分打下坚实的基础。
求函数极限的几种方法求函数极限是微积分中的重要概念,它在数学和物理等领域具有广泛的应用。
在求解函数极限时,我们可以采用多种方法,下面将介绍其中的几种常用方法。
一、代入法代入法是最简单直接的求函数极限方法之一。
当函数在某一点的极限存在时,我们可以直接将该点的函数值代入极限公式中,求得极限值。
例如,要求函数f(x) = 2x + 1当x趋于3时的极限,我们可以直接将x = 3代入函数中,得到f(3) = 2(3) + 1 = 7。
二、夹逼定理夹逼定理是求解函数极限中常用的一种方法。
当我们无法直接通过代入法求得函数极限时,可以通过夹逼定理来确定极限的值。
夹逼定理的核心思想是找到两个函数,一个上界函数和一个下界函数,它们的极限值相等,且夹在要求极限的函数之间。
通过夹逼定理,我们可以得到要求的函数的极限值。
三、无穷小量法无穷小量法是一种常用的求解函数极限的方法。
在这种方法中,我们通过将函数转化为无穷小量的形式来求解极限。
无穷小量是指当自变量趋于某一值时,函数趋于零的量。
利用无穷小量法,我们可以将要求的函数表示为一个无穷小量与一个有限量相乘,然后求这个有限量的极限。
四、洛必达法则洛必达法则是一种经典的求解函数极限的方法。
它利用了两个函数的导数的极限与原函数的极限之间的关系。
当我们求解某一函数的极限时,如果使用代入法或其他方法无法得到确定的结果,可以尝试使用洛必达法则。
洛必达法则的核心思想是,如果一个函数在某一点的极限存在,且该点的函数值和导数的极限值同时存在,那么函数的极限值等于导数的极限值。
五、级数展开法级数展开法是一种常用的求解函数极限的方法。
在级数展开法中,我们将要求的函数展开成一个级数,并利用级数的性质来求解极限。
通过级数展开法,我们可以将复杂的函数化简成一个级数,并根据级数的性质求得函数的极限值。
求解函数极限的方法有很多种,我们可以根据具体情况选择合适的方法。
代入法适用于简单的函数,夹逼定理适用于无法直接求解的函数,无穷小量法适用于将函数转化为无穷小量形式的函数,洛必达法则适用于利用导数与函数极限之间的关系求解极限,级数展开法适用于将复杂函数化简为级数形式的函数。
求函数极限的方法和技巧1、运用极限的定义 例: 用极限定义证明:1223lim 22=-+-→x x x x 证: 由244122322-+-=--+-x x x x x x ()2222-=--=x x x0>∀ε 取εδ= 则当δ<-<20x 时,就有ε<--+-12232x x x由函数极限δε-定义有:1223lim 22=-+-→x x x x 2、利用极限的四则运算性质若 A x f x x =→)(lim 0B x g x x =→)(lim 0(I)[]=±→)()(lim 0x g x f x x )(lim 0x f x x →±B A x g x x ±=→)(lim 0(II)[]B A x g x f x g x f x x x x x x ⋅=⋅=⋅→→→)(lim )(lim )()(lim 0(III)若 B ≠0 则:BA x g x f x g x f x x x x x x ==→→→)(lim )(lim )()(lim 000(IV )cA x f c x f c x x x x =⋅=⋅→→)(lim )(lim 0(c 为常数)上述性质对于时也同样成立-∞→+∞→∞→x x x ,,例:求 453lim 22+++→x x x x解: 453lim 22+++→x x x x =254252322=++⋅+3、约去零因式(此法适用于型时0,0x x →)例: 求121672016lim 23232+++----→x x x x x x x解:原式=()())12102(65)2062(103lim2232232+++++--+---→x x x x xx x x x xx =)65)(2()103)(2(lim 222+++--+-→x x x x x x x=)65()103(lim 222++---→x x x x x =)3)(2()2)(5(lim 2+++--→x x x x x =2lim -→x 735-=+-x x4、通分法(适用于∞-∞型) 例: 求 )2144(lim 22x xx ---→解: 原式=)2()2()2(4lim2x x x x -⋅++-→=)2)(2()2(lim2x x x x -+-→=4121lim2=+→x x5、利用无穷小量性质法(特别是利用无穷小量与有界量之乘积仍为无穷小量的性质)设函数f(x)、g(x) 满足: (I )0)(lim 0=→x f x x(II) M x g ≤)( (M 为正整数) 则:0)()(lim 0=→x f x g x x例: 求 xx x 1sinlim 0⋅→ 解: 由 0lim 0=→x x 而 11sin≤x故 原式 =01sinlim 0=⋅→xx x6、利用无穷小量与无穷大量的关系。
函数极限的几种求解方法函数极限是数学中一个重要的概念,表示函数在某一点或无穷远处的趋势。
在求解函数极限时,可以采用不同的方法,下面介绍几种常用的方法。
1. 代入法:对于一些简单的函数,可以直接将极限点代入函数中计算。
例如计算函数f(x) = 2x+1在x=2处的极限,可以将x=2代入函数中计算f(2) = 2*2 + 1 = 5,得到极限为5。
2. 夹逼定理:夹逼定理是一种常用的计算极限的方法,适用于一些复杂的函数求解。
夹逼定理的思想是通过找到两个比原函数更简单的函数,使得它们的极限与原函数的极限相等,从而间接求得原函数的极限。
具体步骤是找到两个函数g(x)和h(x),使得g(x) ≤ f(x) ≤ h(x),且g(x)和h(x)的极限都为L,那么f(x)的极限也为L。
3. 极限的性质:极限具有一些特定的性质,可以通过这些性质来计算复杂函数的极限。
常用的性质有:- 基本初等函数极限:对于常见的基本初等函数,可以通过一些已知的极限来计算复杂函数的极限。
sinx的极限是0,exp(x)的极限是无穷大等。
- 基本运算法则:函数的极限具有一些基本的运算法则,可以通过这些法则来计算函数的极限。
若函数f(x)和g(x)的极限都存在,那么f(x)±g(x)的极限等于两个极限的和,f(x)g(x)的极限等于两个极限的乘积等。
4. 泰勒展开:对于一些复杂的函数,可以使用泰勒展开来近似计算极限。
泰勒展开是将一个函数以无穷级数的形式展开,通过截取前几项无穷级数来近似函数的值。
具体步骤是将函数f(x)展开成无穷级数形式,然后可以通过计算前几项无穷级数来近似计算函数在某一点的极限值。
5. 极限的图像分析法:对于一些函数,在无法直接计算极限的情况下,可以通过绘制函数的图像来分析其极限。
通过观察函数图像在极限点附近的变化趋势,来推断函数的极限值。
函数极限的几种简单求法
极限是高等数学中最基本、最重要的内容;求极限是高等数学教学中极为重要的基础运算,求极限有直接代入法、消公共因子法、分子有理化法、用X最高次幂同除分子分母法、通分法、利用两个重要极限的方法、无穷小量等价代换法及用罗必达法则求法等幾种简单而有效的方法,这些法则各有长处和注意事项。
标签:极限求法
引言
极限是高等数学中最基本、最重要的内容,在高等数学的多数重要概念和方法;如函数的连续性、导数、微分、积分以及级数等无一不是以极限为基础引入的,可以说没有极限就没有高等数学。
所以人们说极限是高等数学中最基础,是初等数学升入高等数学的台阶。
在高职院校,高等数学是被当做学校专业课的基础和工具课程来开设的,因此在高等数学教学中极限的求法有种特别重要的地位和作用。
本文专门讨论高职高等数学课程中遇到的极限的几种常见求法以及各种求法中的具体求解过程中应该注意事项。
一、极限的求法及求解时该注意事项
1.直接代入法
直接代入法是求极限的最基本的方法。
这里所说的代入法是指用极限的定义,直接把x的趋向的值x0代入极限式中,求出极限即可。
代入法实际上就是对极限定义的直接运用。
例如:;。
显然代入法简单易学,但它只适用于较简单的极限的运算,对于“ ”型和“ ”型等常见未定式极限,只用代入法求不出极限。
2.消公共因子法
消公共因子法常用于“ ”型未定式极限,它的解题思路是消除
公共因子(一般是零因子),如:
3.分子有理化法
分子有理化法主要针对分子中带有根号的极限的计算中,如
用有理化法时,常用
等公式来有理化,之后消除零因子。
4.用X最高次幂同除分子分母法
对于分子分母都是多项式的“ ”型未定式极限,常用x的最高次幂同除分子分母的方法能较容易求出极限。
如
,本方法适用于
的极限。
5.通分法
如。
通分法一般用于“ ”型未定式极限,用通分的方法把它化成或型极限,再用上面的方法求出其极限。
6.利用两个重要极限的方法
在高等数学中,有,两个极限称为两个重要极限,并把它们当做公式应用。
如
,
,利用两个重要极限求极限一般只能求出各自相近类型的极限,并且在具体求解过程中,需要进行转化过程。
7.等价无穷小量代换法
在高职阶段的高等数学中,当时常见以下几个等价无穷小量
,。
在极限求解过程中,无穷小量之间互相代换之后能起到很好的效果。
如
由以上例题可见,用无穷小量之间等价代换之后,很多极限的计算变得简单,但用这个方法时一定要注意仅当时才能用,且两个无穷小量之间相互加减运算时,一般不能进行等价代换。
如
8.用罗必达法则求法
罗必达法则是利用导数求极限的方法,它的表达式为。
如:,。
用罗必达法则求极限对“ ”型和“ ”型极限有效外,对“ ”型,“ ”型极限也可以通过简单转化成“ ”型和“ ”型之后也可以计算。
再如:
(注意在这里用罗必达法则两次)。
用罗必达法则求极限时,可以不管,还是,只要满足
及(或及)存在,且,函数
在x0处可以要可微,甚至x0处不连续,只要“ ”型和“ ”型未定式极限都可以用罗必达法则来求极限。
并且在一道题内可以应用多次使用该法则。
二、结束语
求极限方法很多,且各有长处。
从总体上看,具体求极限时,如果不是“ “型的未定式极限,用代入法求即可;如果是“ ”(或“ ”)型未定式极限,用罗必达法则为首选方法;对于“ ”或“ ”型的未定式极限先把它化成“ ”(或“ ”)型之后用罗必达法则计算;对于或类似的极限用重要极限為较好。
需要说明的是罗必达法则相对简单,所以是首选方法,但它也不是万能的,对于个别“ ”(或“ ”)型极限的计算中也有困难。
总之,根据具体题型灵活交叉运用上述各种求极限的方法是求极限的最好途径。
参考文献
[1]邹豪思冯尚主编《高等数学》内蒙古大学出版社2008年7月
[2]傅英定钟守铭主编《高等数学》电子科技大学出版社2007年2月。