2012年考研数学三真题及标准答案
- 格式:docx
- 大小:51.90 KB
- 文档页数:19
2012年全国硕士研究生入学统一考试数学三试题一、选择题:1-8小题,每小题4分,共32分.下列每题给出的四个选项中,只有一个选项符合题目要求的,请将所选项前的字母填在答题纸...指定位置上. (1)曲线221x x y x +=-渐近线的条数为( )(A) 0 (B) 1 (C) 2 (D) 3(2)设函数2()(1)(2)()x x nx f x e e e n =---,其中n 为正整数,则'(0)f =( )(A)1(1)(1)!n n --- (B)(1)(1)!n n -- (C)1(1)!n n -- (D)(1)!n n -(3)设函数()f t 连续,则二次积分22202cos d ()d f r r r πθθ=⎰⎰( )(A)222d ()d x x y y +⎰(B)2220d ()d x f x y y +⎰(C)222d ()d y x y x +⎰(D)22201d ()d y f x y x +⎰(4)已知级数11(1)n n α∞=-∑绝对收敛,级数21(1)n a n n∞-=-∑条件收敛,则( )(A)102a <≤(B)112a <≤ (C)312a <≤ (D)322a << (5)设1100C α⎛⎫ ⎪= ⎪ ⎪⎝⎭,2201C α⎛⎫ ⎪= ⎪ ⎪⎝⎭ ,3311C α⎛⎫ ⎪=- ⎪ ⎪⎝⎭ ,4411C α-⎛⎫ ⎪= ⎪ ⎪⎝⎭ ,其中1234,,,C C C C 为任意常数,则下列向量组线性相关的为( )(A)123,,ααα (B)124,,ααα (C)134,,ααα (D)234,,ααα(6) 设A 为3阶矩阵,P 为3阶可逆矩阵,且1100010002p AP -⎛⎫⎪= ⎪ ⎪⎝⎭.若P=(123,,ααα),1223(,,)ααααα=+,则1Q AQ -=( )(A)100020001⎛⎫ ⎪ ⎪ ⎪⎝⎭ (B)100010002⎛⎫ ⎪ ⎪ ⎪⎝⎭ (C)200010002⎛⎫ ⎪ ⎪ ⎪⎝⎭ (D)200020001⎛⎫⎪ ⎪ ⎪⎝⎭(7)设随机变量X 与Y 相互独立,且都服从区间(0.1)上的均匀分布,则{}221P X Y +≤=( )(A)14 (B)12 (C)8π (D)4π (8)设1234,,,X X X X 为来自总体2(1,)N σ(σ>0)的简单随机样本,则统计量1234|2|X X X X -+-的分布为( )(A)N (0,1) (B)t(1) (C)2(1)χ (D)F(1,1)二、填空题:9-14小题,每小题4分,共24分.请将答案写在答题纸...指定位置上. (9)()1cos sin 4lim tan x xx x π-→=(10)设函数(),121,1x f x x x ⎧≥⎪=⎨-<⎪⎩, ()()y f f x =,则x edy dx ==(11)设连续函数(,)z f x y =满足0x y →→=则()0,1d |z =(12)由曲线4y x=和直线y x =及4y x =在第一象限中围成的平面图形的面积为 (13)设A 为3阶矩阵,3A =,*A 为A 的伴随矩阵。
数三参考答案一、选择题二、填空题9、e; 10、4; 11、2dx dy -; 12、4ln 2; 13、27-; 14、34三、解答题 15、解:16、解:17、解:(I )(,)=20+2xx C x y ',对x 积分得:()2(,)204xC x y xD y =++再对y 求导有,()(,)6yC x yD y y ''==+ 再对y 积分有,()262yD y y c =++所以22(,)20642x y C x y x y c =++++,又(0,0)10000C =,所以10000c = 所以22(,)2061000042xyC x y x y =++++(II )x+y=50,把y=50-x 代入22(,)2061000042xyC x y x y =++++23()36115504x C x x =-+令23()361155004x C x x '⎛⎫'=-+= ⎪⎝⎭,得x=24,y=50-24=26, 这时总成本最小C (24,26)=11118万元(III )()24,26(,)32xC x y '=(万元/件) 经济意义:总产量为50件,当甲产品的产量为24时,每增加一件甲产品,则甲产品的成本增加32万元。
18、证明:令()21lncos 112x xf x x x x+=+---,()212lnsin 11x x f x x xxx+'=+----()00f '= ()()()222221411cos 1111xx f x x xxx -+''=++--+--()()222244cos 12011x x x =--≥->--所以()()00f x f ≥=即证得:()21ln cos 11112x xx x x x++≥+-<<-19、解:(I )'''()()2()0f x f x f x +-=对应的特征方程为220r r +-=,r=-2,r=1 所以()212xxf x C e C e -=+把()212xxf x C e C e -=+代入''()()2x f x f x e +=,得到()xf x e =(II )同理,当x<0时,0y ''<可知(0,0)点是曲线唯一的拐点。
2012考研数学三真题1.选择题:1~8小题,每小题4分,共32分,下列每小题给出的四个选项中,只有一项符合题目要求的,请将所选项前的字母填在答题纸指定位置上.(1)曲线221x xy x +=-渐近线的条数为( )(A )0 (B )1 (C )2 (D )3(2)设函数2()(1)(2)x x nx f x e e e n =--…(-),其中n 为正整数,则(0)f '=( )(A )1(1)(1)!n n --- (B )(1)(1)!n n -- (C )1(1)!n n -- (D )(1)!n n -(3)设函数()f t 连续,则二次积分2222cos ()d f r rdr πθθ⎰⎰=( )(A )2224222202()x x x dx x y f x y dy --++⎰⎰ (B )22242202()x x x dx f x y dy --+⎰⎰(C )2222220214()2x dx x y f x y dy x x -+++-⎰⎰(D )22220214()2x dx f x y dy x x -++-⎰⎰(4)已知级数11(1)sin ni n n α∞=-∑绝对收敛,21(1)ni nα∞-=-∑条件收敛,则α范围为( )(A )0<α12≤ (B )12< α≤1 (C )1<α≤32 (D )32<α<2 (5)设1234123400110,1,1,1c c c c αααα-⎛⎫⎛⎫⎛⎫⎛⎫⎪ ⎪ ⎪ ⎪===-= ⎪ ⎪ ⎪ ⎪⎪ ⎪ ⎪ ⎪⎝⎭⎝⎭⎝⎭⎝⎭其中1234c c c c ,,,为任意常数,则下列向量组线性相关的是( ) (A )123ααα,, (B )124ααα,, (C )134ααα,, (D )234ααα,,(6)设A 为3阶矩阵,P 为3阶可逆矩阵,且P -1AP=112⎛⎫⎪ ⎪ ⎪⎝⎭, 123=P ααα(,,),1223=Q αααα(+,,)则1=Q AQ -() (A )121⎛⎫ ⎪ ⎪ ⎪⎝⎭ (B )112⎛⎫⎪ ⎪⎪⎝⎭ (C )212⎛⎫ ⎪ ⎪ ⎪⎝⎭ (D )221⎛⎫ ⎪ ⎪⎪⎝⎭(7)设随机变量X 与Y 相互独立,且都服从区间(0,1)上的均匀分布,则+P X Y ≤22{1}( ) (A )14 (B )12 (C )8π (D )4π (8)设1234X X X X ,,,为来自总体N σσ>2(1,)(0)的简单随机样本,则统计量1234|+-2|X X X X -的分布( )(A )N (0,1) (B )(1)t (C )2(1)χ (D )(1,1)F 二、填空题:9~14小题,每小题4分,共24分,请将答案写在答题纸指定位置上. (9)1cos sin 4lim(tan )x xx x π-→(10)设函数0ln ,1(),(()),21,1x dy x x f x y f f x dx x x =⎧≥⎪=⎨-<⎪⎩求___________.(11)函数(,)z f x y =满足221(,)22lim0,(1)x y f x y x y x y →→-+-=+-则(0,1)dz =_______.(12)由曲线4y x=和直线y x =及4y x =在第一象限中所围图形的面积为_______.(13)设A 为3阶矩阵,|A |=3,A *为A 的伴随矩阵,若交换A 的第一行与第二行得到矩阵B ,则|BA *|=________. (14)设A,B,C 是随机事件,A,C 互不相容,11(),(),23P AB P C ==则C P AB ()=_________.三、 解答题:15~23小题,共94分.请将解答写在答题纸指定位置上.解答应写出文字说明、证明过程或演算步骤. (15)(本题满分10分)计算222cos 40lim x xx e e x-→- (16)(本题满分10分) 计算二重积分xDe xydxdy ⎰⎰,其中D 为由曲线1y x y x==与所围区域.(17)(本题满分10分)某企业为生产甲、乙两种型号的产品,投入的固定成本为10000(万元),设该企业生产甲、乙两种产品的产量分别为x (件)和y (件),且固定两种产品的边际成本分别为20+2x(万元/件)与6+y (万元/件).1)求生产甲乙两种产品的总成本函数(,)C x y (万元)2)当总产量为50件时,甲乙两种的产量各为多少时可以使总成本最小?求最小的成本.3)求总产量为50件时且总成本最小时甲产品的边际成本,并解释其经济意义.(18)(本题满分10分)证明:21ln cos 1,1 1.12x x x x x x ++≥+-<<- (19)(本题满分10分)已知函数()f x 满足方程()()2()f x f x f x "'+-=及()()2x f x f x e '+=1)求表达式()f x2)求曲线的拐点220()()xy f x f t dt =-⎰(20)(本题满分10分)设1001010100100010a a A b a a⎛⎫⎛⎫⎪ ⎪-⎪ ⎪== ⎪ ⎪ ⎪ ⎪⎝⎭⎝⎭, (I )求|A|(II )已知线性方程组Ax b =有无穷多解,求a ,并求Ax b =的通解. (21)(本题满分10分)已知1010111001A a a ⎡⎤⎢⎥⎢⎥=⎢⎥-⎢⎥-⎣⎦,二次型123(,,)()f x x x x x T T =A A 的秩为2, (1) 求实数a 的值;(2) 求正交变换x=Qy 将f 化为标准型.(22)(本题满分10分)已知随机变量X ,Y 以及XY 的分布律如下表所示:X 012P 121316Y 012P 13 13 13XY 012 4P712 13 0112求(1)P (X =2Y );(2)cov(,)XY X Y Y -ρ与. (23)(本题满分10分)设随机变量X 和Y 相互独立,且均服从参数为1的指数分布,min(,),=max(,).V X Y U X Y =求(1)随机变量V 的概率密度;(2)()E U V +.。
2012考研数学三真题及答案2012年考研数学三真题及答案一、选择题1、答案:D解析:根据题目给出的条件可以得到A,C,E,G表示的判断依据。
通过线性规划的图形可以得到B,D,F,H表示的判断依据。
因此选D。
2、答案:B解析:根据题目给出的条件可以得到A,C,G表示的判断依据。
通过线性规划的图形可以得到B,D,E,F,H表示的判断依据。
因此选B。
3、答案:C解析:根据题目给出的条件可以得到A,B,C,H表示的判断依据。
通过线性规划的图形可以得到D,E,F,G表示的判断依据。
因此选C。
4、答案:A解析:根据题目给出的条件可以得到A,B,C,D表示的判断依据。
通过线性规划的图形可以得到E,F,G,H表示的判断依据。
因此选A。
5、答案:D解析:根据题目给出的条件可以得到A,C,E,G表示的判断依据。
通过线性规划的图形可以得到B,D,F,H表示的判断依据。
因此选D。
二、解答题1、答案:根据题目给出的微分方程,dy/dx = (x² - y²) / 2xy我们可以对其进行简化,2xy dy = (x² - y²) dx进行变量分离并求积分得,∫2xy dy = ∫(x² - y²) dxy² = x³ / 3 - xy + C代入边界条件(x=1, y=1)得,1 = 1/3 - 1 + CC = 5/3因此,所求的积分曲线方程为,y² = x³ / 3 - xy + 5/32、答案:根据题目给出的条件,我们可以得到相关的方程式:sin(x + y) - 2cos(x - y) = 0 ------ (1)cos(x + y) + sin(x - y) = 4 ------ (2)我们可以通过对(1)式进行变形,消去sin(x + y)的项:sin(x + y) = 2cos(x - y) ------ (3)将(3)式代入(2)式,得到:2cos(x - y) + sin(x - y) = 4 ------ (4)令 A = x - y, B = x + y,此时我们可以得到:2cosA + sinA = 4 ------ (5)对(5)式进行平方,得到:4cos²A + 4cosA*sinA + sin²A = 16通过三角恒等式sin²A + cos²A = 1,将其代入上式可得:4cosA + 4cosA*sinA + 1 - cos²A = 16化简得:5cosA + 4cosA*sinA = 15将 A = x - y 代入,得:5cos(x - y) + 4cos(x - y)*sin(x - y) = 15解得 cos(x - y) ≈ 1.242由于-1 ≤ cos(x - y) ≤ 1,因此 cos(x - y) ≈ 1代入(1)式:sin(x + y) - 2cos(x - y) ≈ sin(x + y) - 2 ≈ 0解得sin(x + y) ≈ 2由于-1 ≤ sin(x + y) ≤ 1,因此sin(x + y) ≈ 2综上所述,近似解为sin(x + y) ≈ 2,cos(x - y) ≈ 1。
2012年全国硕士研究生入学统一考试数学三试题解析选择题:1~8小题,每小题4分,共32分,下列每小题给出的四个选项中,只有一项符合题目要求的,请将所选项前的字母填在答题纸指定位置上.(1)曲线221x xyx+=-渐近线的条数为()(A)0 (B)1 (C)2 (D)3(2)设函数2()(1)(2)x x nxf x e e e n=--…(-),其中n为正整数,则(0)f'=()(A)1(1)(1)!n n---(B)(1)(1)!n n--(C)1(1)!n n--(D)(1)!n n-(3)设函数()f t连续,则二次积分22202cos()d f r rdrπθθ⎰⎰=()(A)222() dx f x y dy+⎰(B)222() dx f x y dy+⎰(C)2221() dx x y dy+⎰⎰(D)2221() dx x y dy+⎰⎰(4)已知级数11(1)ninα∞=-∑绝对收敛,21(1)ninα∞-=-∑条件收敛,则α范围为()(A)0<α12≤(B)12< α≤1(C )1<α≤32(D )32<α<2(5)设1234123400110,1,1,1c c c c αααα-⎛⎫⎛⎫⎛⎫⎛⎫⎪ ⎪ ⎪⎪===-= ⎪ ⎪⎪⎪⎪ ⎪ ⎪ ⎪⎝⎭⎝⎭⎝⎭⎝⎭其中123c c c c ,,,为任意常数,则下列向量组线性相关的是()(A )123ααα,, (B )124ααα,,(C )134ααα,,(D )234ααα,,(6)设A 为3阶矩阵,P 为3阶可逆矩阵,且P-1AP=112⎛⎫⎪ ⎪⎪⎝⎭,123=P ααα(,,),1223=Q αααα(+,,)则1=Q AQ -()(A )121⎛⎫ ⎪ ⎪ ⎪⎝⎭(B )112⎛⎫ ⎪ ⎪ ⎪⎝⎭ (C )212⎛⎫ ⎪ ⎪ ⎪⎝⎭(D )221⎛⎫ ⎪ ⎪ ⎪⎝⎭(7)设随机变量X 与Y 相互独立,且都服从区间(0,1)上的均匀分布,则+P X Y≤22{1}()(A )14(B )12(C )8π(D )4π(8)设1234X X X X ,,,为来自总体N σσ>2(1,)(0)的简单随机样本,则统计量1234|+-2|X X X X -的分布() (A )N(0,1) (B )(1)t(C )2(1)χ(D )(1,1)F二、填空题:9~14小题,每小题4分,共24分,请将答案写在答题纸指定位置上.(9)1cos sin 4lim (tan )x xx x π-→(10)设函数ln 1(),(()),21,1x dy x f x y f f x dx x x =⎧≥⎪=⎨-<⎪⎩求__(11)函数(,)z f xy=满足1(,)22lim0,x y f x y x y →→-+-=则(0,1)dz=_______.(12)由曲线4y x =和直线y x =及4y x =在第一象限中所围图形的面积为_______.(13)设A 为3阶矩阵,|A|=3,A*为A 的伴随矩阵,若交换A 的第一行与第二行得到矩阵B ,则|BA*|=________.(14)设A,B,C 是随机事件,A,C 互不相容,11(),(),23P AB P C ==则C P AB ()=_________.解答题:15~23小题,共94分.请将解答写在答题纸指定位置上.解答应写出文字说明、证明过程或演算步骤.(15)(本题满分10分)计算222cos 4limxxx ee x-→-(16)(本题满分10分)计算二重积分xDe xydxdy⎰⎰,其中D为由曲线1y y ==所围区域.(17)(本题满分10分)某企业为生产甲、乙两种型号的产品,投入的固定成本为10000(万元),设该企业生产甲、乙两种产品的产量分别为x(件)和y(件),且固定两种产品的边际成本分别为20+2x(万元/件)与6+y (万元/件).1)求生产甲乙两种产品的总成本函数(,)C x y (万元)2)当总产量为50件时,甲乙两种的产量各为多少时可以使总成本最小?求最小的成本.3)求总产量为50件时且总成本最小时甲产品的边际成本,并解释其经济意义.(18)(本题满分10分)证明:21ln cos1,1 1.12x xx x xx++≥+-<< -(19)(本题满分10分)已知函数()f x满足方程()()2()0f x f x f x"'+-=及()()2xf x f x e'+=1)求表达式()f x2)求曲线的拐点22()()xy f x f t dt=-⎰(20)(本题满分10分)设100101010010010a a A b a a ⎛⎫⎛⎫⎪ ⎪- ⎪ ⎪== ⎪⎪ ⎪ ⎪⎝⎭⎝⎭,(I )求|A|(II )已知线性方程组Ax b =有无穷多解,求a ,并求Ax b =的通解.(21)(本题满分10分)已知1010111001Aaa⎡⎤⎢⎥⎢⎥=⎢⎥-⎢⎥-⎣⎦,二次型123(,,)()f x x x x xT T=A A的秩为2,求实数a的值;求正交变换x=Qy将f化为标准型.(22)(本题满分10分)已知随机变量X,Y以及XY的分布律如下表所示:求(1)P(X=2Y);(2)cov(,)XY X Y Y -ρ与.(23)(本题满分10分)设随机变量X 和Y 相互独立,且均服从参数为1的指数分布,m in(,),=m ax(,).V X Y U X Y =求(1)随机变量V 的概率密度; (2)()E U V +.。
2012年全国硕士研究生入学统一考试数学三试题一、选择题:1-8小题,每小题4分,共32分.下列每题给出的四个选项中,只有一个选项符合题目要求的,请将所选项前的字母填在答题纸...指定位置上. (1)曲线221x x y x +=-渐近线的条数为( )(A) 0 (B) 1 (C) 2 (D) 3(2)设函数2()(1)(2)()x x nx f x e e e n =---,其中n 为正整数,则'(0)f =( )(A)1(1)(1)!n n --- (B)(1)(1)!n n -- (C)1(1)!n n -- (D)(1)!n n -(3)设函数()f t 连续,则二次积分22202cos d ()d f r r r πθθ=⎰⎰( )(A)222d ()d x x y y +⎰(B)2220d ()d x f x y y +⎰(C)222d ()d y x y x +⎰(D)22201d ()d y f x y x +⎰(4)已知级数11(1)n n α∞=-∑绝对收敛,级数21(1)n a n n∞-=-∑条件收敛,则( )(A)102a <≤(B)112a <≤ (C)312a <≤ (D)322a << (5)设1100C α⎛⎫ ⎪= ⎪ ⎪⎝⎭,2201C α⎛⎫ ⎪= ⎪ ⎪⎝⎭ ,3311C α⎛⎫ ⎪=- ⎪ ⎪⎝⎭ ,4411C α-⎛⎫ ⎪= ⎪ ⎪⎝⎭ ,其中1234,,,C C C C 为任意常数,则下列向量组线性相关的为( )(A)123,,ααα (B)124,,ααα (C)134,,ααα (D)234,,ααα(6) 设A 为3阶矩阵,P 为3阶可逆矩阵,且1100010002p AP -⎛⎫⎪= ⎪ ⎪⎝⎭.若P=(123,,ααα),1223(,,)ααααα=+,则1Q AQ -=( )(A)100020001⎛⎫ ⎪ ⎪ ⎪⎝⎭ (B)100010002⎛⎫ ⎪ ⎪ ⎪⎝⎭ (C)200010002⎛⎫ ⎪ ⎪ ⎪⎝⎭ (D)200020001⎛⎫⎪ ⎪ ⎪⎝⎭(7)设随机变量X 与Y 相互独立,且都服从区间(0.1)上的均匀分布,则{}221P X Y +≤=( )(A)14 (B)12 (C)8π (D)4π (8)设1234,,,X X X X 为来自总体2(1,)N σ(σ>0)的简单随机样本,则统计量1234|2|X X X X -+-的分布为( )(A)N (0,1) (B)t(1) (C)2(1)χ (D)F(1,1)二、填空题:9-14小题,每小题4分,共24分.请将答案写在答题纸...指定位置上. (9)()1cos sin 4lim tan x xx x π-→=(10)设函数(),121,1x f x x x ⎧≥⎪=⎨-<⎪⎩, ()()y f f x =,则x edy dx ==(11)设连续函数(,)z f x y =满足0x y →→=则()0,1d |z =(12)由曲线4y x=和直线y x =及4y x =在第一象限中围成的平面图形的面积为 (13)设A 为3阶矩阵,3A =,*A 为A 的伴随矩阵。
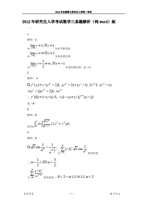
2012年研究生入学考试数学三真题解析(纯word )版一、 1. 解析:C 由lim 1,1x y y →∞==得为水平渐近线 由1lim 1x y x →=∞=得为垂直渐近线由11lim ,12x y x →-=≠∞=-得非垂直渐近线,选(C )2. 解析: A2221()(2)(2)(1)2()(1)(2)(0)1(1)(1)(1)(1)!x x nx x x nx x x nxn f x e e e e e e n e e ne f n n ''-=--+-⋅-+--∴=⨯-⨯⨯-=--选(A ) 3. 解析:B原式=2220()dx f x y dy+⎰4. 解析:D1211~,n n αα-且11(1)nn n α∞--∑绝对收敛.131.22α-α∴>>即又21(1)n n n α∞-=-∑条件收敛.02112αα∴<-≤⇒≤<322α∴<<,选D5. 解析:C343400c c αα⎛⎫⎪+= ⎪⎪+⎝⎭,34αα+ 与1α成比例.1α∴与3α+4α线性相关,134ααα∴,,线性相关,选C或134134011,,0110c c c ααα-=-=134,,ααα∴线性相关,选C6. 解析:B111100100100110110110000001001Q P Q AQ P AP , ---⎛⎫⎛⎫⎛⎫⎪ ⎪ ⎪== ⎪ ⎪ ⎪⎪ ⎪ ⎪⎝⎭⎝⎭⎝⎭100110011011100012001⎛⎫⎛⎫⎛⎫⎪⎪⎪=- ⎪⎪⎪⎪⎪⎪⎝⎭⎝⎭⎝⎭100100100110110010002001002⎛⎫⎛⎫⎛⎫⎪⎪ ⎪=-= ⎪⎪ ⎪⎪⎪ ⎪⎝⎭⎝⎭⎝⎭,选B.7. 解析:D1,0,1)()()0,x y x y f x y f x f y <<⎧==⎨⎩(,其他22{1}(,)4D DS P X Y f x y d D S πΩ+≤=σ==⎰⎰,选8. 解析:B212~(0,2)~(0,1)X X X X N N --σ⇒23422~(0,2)~(0,1)X X X X N N +-+-σ⇒~(1)X X t -即1234~(1),2X X t X X -+-选B二、 9.解析:e解:原式=tan 11cos sin tan 14lim (1(tan 1))x x xx x x π---→⎡⎤+-⎢⎥⎣⎦=41sin cos limcos cos sin x x x x x ee π→-⋅-=10. 解析: 40[()]()(1)(0)x dyf f x f x dx dyf f dx ''''===-而1()2x f x '<=时,(1)(0) 2. 4.x dyf f dx=∴-===于是11. 解析:2x dzdx dy==-解:令ρ=则(,)220(),(0,1)1f x y x y f ρ-+-==(,)12(1)0()f x y x y ρ-=--+(0,1)(0,1)2,(0,1)1,2.x y f f dzdx dy ''==-∴=-12. 解析:4 ln2 解:12014(4)S x x dx x dxx ⎛⎫=-+- ⎪⎝⎭⎰⎰1324ln 24ln 222=-+-=13. 解析:-27 解:|||| 3.B A =-=-**2||||||3||27.BA B A A =⋅=-⋅=-14.解析:34解:()()()(|)1()()P ABC P AB P ABC P AB C P C P C -==- AC φ= ,ABC φ∴=.1()32(|)21()43P AB P AB C P C ∴===-.三、 15.解析:原式222cos 22cos 41lim x xx x ee x -+-→-=⋅2430022cos 2(sin )lim lim 4x x x x x x x x →→-+-==2011cos 1lim .2312x x x →-==16.解析:xDe xydxdy⎰⎰1xxe dx ydy=⎰1122001111(1)0222xx x x e dx e x e dx =-=-⎰⎰ 2111121(22)022222x e e e x x e ---=--+=-=.17.解析:1)设成本函数为(,),C x y 则(,)202,x x C x y '=+对x 积分得,2(,)20(),4x C x y x y +ϕ=+再对y 求导有,(,)()6y C x y y y'ϕ'==+,再对y 积分有,21()62y y y c ϕ=++所以,221(,)20642x C x y x y y c=++++ (0,0)10000,10000,C c =∴= 于是221(,)2061000042x C x y x y y =++++2)若50x y +=,则50(250)y x x =-≤≤,代入到成本函数得221()206(50)(50)1000042x C x x x x =++-+-+=2336115504x x -+所以,令3()360,24,26,2C x x x y '=-===得总成本最小为(24,26)11118C =3)总产量为50件且总成本最小时甲产品的边际成本为(24,26)32,x C '=即在要求总产量为50件时,在甲产品为24件时,改变一个单位的产量,成本会发生32万元的改变。
2012年考研數學三真題一、選擇題(18小題,每小題4分,共32分。
下列每題給出の四個選項中,只有一個選項是符合題目要求の。
)(1)曲線漸近線の條數為(A)0 (B)1(C)2 (D)3【答案】C。
【解析】由,得是曲線の一條水準漸近線且曲線沒有斜漸近線;由∞得是曲線の一條垂直漸近線;由得不是曲線の漸近線;綜上所述,本題正確答案是C【考點】高等數學—一元函數微分學—函數圖形の凹凸、拐點及漸近線(2)設函數,其中為正整數,則(A) (B)(C) (D)【答案】A【解析】【方法1】令,則故應選A.【方法2】由於,由導數定義知.【方法3】排除法,令,則則(B)(C)(D)均不正確綜上所述,本題正確答案是(A)【考點】高等數學—一元函數微分學—導數和微分の概念(3)設函數連續,則二次積分(A)(B)(C)(D)【答案】B。
【解析】令,則所對應の直角坐標方程為,所對應の直角坐標方程為。
由の積分區域得在直角坐標下の表示為所以綜上所述,本題正確答案是(B)。
【考點】高等數學—多元函數微積分學—二重積分の概念、基本性質和計算(4)已知級數絕對收斂,級數條件收斂,則(A) (B)(C) (D)【答案】D。
【解析】由級數絕對收斂,且當∞時,故,即由級數條件收斂,知綜上所述,本題正確答案是(D)【考點】高等數學—無窮級數—數項級數斂散性の判定(5)設,其中為任意常數,則下列向量組線性相關の為(A) (B)(C) (D)【答案】C。
【解析】個維向量相關顯然所以必線性相關綜上所述,本題正確答案是(C)。
【考點】線性代數—向量—向量組の線性相關和線性無關(6)設為3階矩陣,為3階可逆矩陣,且.若,則(A) (B)(C) (D)【答案】B。
【解析】由於經列變換(把第2列加至第1列)為,有那麼=綜上所述,本題正確答案是(B)。
【考點】線性代數—矩陣—矩陣運算、初等變換(7)設隨機變數相互獨立,且都服從區間上の均勻分佈,則(A) (B)(C) (D)【答案】D。
2012年考研数学三真题一、选择题(1~8小题,每小题4分,共32分。
下列每题给出的四个选项中,只有一个选项是符合题目要求的。
)(1)曲线y=x 2+xx2−1渐近线的条数为(A)0 (B)1 (C)2 (D)3 【答案】C。
【解析】由limx→+∞y=limx→+∞x2+xx2−1=1=limx→−∞y=limx→−∞x2+xx2−1,得y=1是曲线的一条水平渐近线且曲线没有斜渐近线;由limx→1y=limx→1x2+xx2−1=∞得x=1是曲线的一条垂直渐近线;由limx→−1y=limx→−1x2+xx2−1=12得x=−1不是曲线的渐近线;综上所述,本题正确答案是C【考点】高等数学—一元函数微分学—函数图形的凹凸、拐点及渐近线(2)设函数f(x)=(e x−1)(e2x−2)⋯(e nx−n),其中n为正整数,则f′(0)=(A)(−1)n−1(n−1)! (B)(−1)n(n−1)!(C)(−1)n−1(n)! (D)(−1)n(n)!【答案】A【解析】【方法1】令g (x )=(e 2x −2)⋯(e nx −n),则f (x )=(e x −1)g (x ) f ′(x)=e x g (x )+(e x −1)g′(x )f ′(0)=g (0)=(−1)(−2)⋯(−(n −1)) =(−1)n−1(n −1)! 故应选A. 【方法2】由于f (0)=0,由导数定义知 f ′(0)=limx→0f(x)x =limx→0(e x −1)(e 2x −2)⋯(e nx −n)x=limx→0(e x −1)x∙lim x→0(e 2x −2)⋯(e nx −n)=(−1)(−2)⋯(−(n −1))=(−1)n−1(n −1)!. 【方法3】排除法,令n =2,则 f (x )=(e x −1)(e 2x −2)f ′(x )=e x (e 2x −2)+2e 2x (e x −1)f ′(0)=1−2=−1则(B)(C)(D)均不正确综上所述,本题正确答案是(A )【考点】高等数学—一元函数微分学—导数和微分的概念(3)设函数f(t)连续,则二次积分∫dθπ20∫f(r 2)rdr 22cos θ= (A )∫dx 2∫√x 2+y 2f(x 2+y 2)dy √4−x 2√2x−x 2 (B ) ∫dx 20∫f(x 2+y 2)dy √4−x 2√2x−x 2(C ) ∫dy 20∫√x 2+y 2f(x 2+y 2)dx √4−y 21+√1−y2 (D ) ∫dy 20∫f(x 2+y 2)dx √4−y 21+√1−y 2【答案】B 。
2012年考研数学三真题
一、选择题(1~8小题,每小题4分,共32分。
下列每题给出的四
个选项中,只有一个选项是符合题目要求的。
)
(1)曲线y=x 2+x
x2−1
渐近线的条数为
(A)0 (B)1 (C)2 (D)3 【答案】C。
【解析】
由lim
x→+∞y=lim
x→+∞
x2+x
x2−1
=1=lim
x→−∞
y=lim
x→−∞
x2+x
x2−1
,
得y=1是曲线的一条水平渐近线且曲线没有斜渐近线;
由lim
x→1y=lim
x→1
x2+x
x−1
=∞得x=1是曲线的一条垂直渐近线;
由lim
x→−1y=lim
x→−1
x2+x
x−1
=1
2
得x=−1不是曲线的渐近线;
综上所述,本题正确答案是C
【考点】高等数学—一元函数微分学—函数图形的凹凸、拐点及渐近线
(2)设函数f(x)=(e x−1)(e2x−2)⋯(e nx−n),其中n为正整数,
则f′(0)=
(A)(−1)n−1(n−1)! (B)(−1)n(n−1)!
(C)(−1)n−1(n)! (D)(−1)n(n)!
【答案】A
【解析】
【方法1】
令g (x )=(e 2x −2)⋯(e nx −n),则
f (x )=(e x −1)
g (x )
f ′(x)=e x
g (x )+(e x −1)g′(x )
f ′(0)=
g (0)=(−1)(−2)⋯(−(n −1))
=(−1)n−1(n −1)!
故应选A.
【方法2】
由于f (0)=0,由导数定义知
f ′(0)=lim x→0f(x)x =lim x→0
(e x −1)(e 2x −2)⋯(e nx −n)x =lim x→0(e x −1)x ∙lim x→0(e 2x −2)⋯(e nx −n)
=(−1)(−2)⋯(−(n −1))=(−1)n−1(n −1)!.
【方法3】
排除法,令n =2,则
f (x )=(e x −1)(e 2x −2)
f ′(x )=e x (e 2x −2)+2e 2x (e x −1)
f ′(0)=1−2=−1
则(B)(C)(D)均不正确
综上所述,本题正确答案是(A )
【考点】高等数学—一元函数微分学—导数和微分的概念
(3)设函数f(t)连续,则二次积分∫dθπ20∫f(r 2)rdr 22cos θ
= (A )∫dx 20∫√x 2+y 2f(x 2+y 2)dy √4−x 2√2x−x 2
(B) ∫dx 20
∫f(x 2+y 2)dy √4−x 2√2x−x 2。