大学有机化学试题1..
- 格式:doc
- 大小:422.00 KB
- 文档页数:36
大一有机化学试题库及答案一、选择题1. 下列哪个化合物不是醇?A. 甲醇(CH3OH)B. 乙醇(C2H5OH)C. 丙酮(C3H6O)D. 异丙醇(C3H7OH)答案:C2. 以下哪个反应类型不是有机化学反应?A. 取代反应B. 消除反应C. 氧化反应D. 酸碱中和反应答案:D3. 以下哪个化合物是芳香族化合物?A. 环己烷B. 环己烯C. 苯D. 环戊酮答案:C二、填空题1. 有机化学中,碳原子的四个价电子可以形成______个共价键。
答案:四2. 醇类化合物的官能团是______。
答案:羟基(-OH)三、简答题1. 请简述什么是有机化学反应中的“取代反应”?答案:取代反应是指一个原子或原子团被另一个原子或原子团所取代的反应。
在有机化学中,常见的取代反应包括亲核取代和亲电取代。
2. 什么是芳香性?答案:芳香性是指某些环状有机化合物具有的特殊稳定性,这种稳定性来源于环的共轭π电子系统,使得分子能量降低,结构稳定。
四、计算题1. 给定一个分子式C5H12O,计算该化合物的不饱和度。
答案:不饱和度 = (2C + 2 + N - H - X) / 2,其中C是碳原子数,N是氮原子数,H是氢原子数,X是卤素原子数。
对于C5H12O,不饱和度 = (2*5 + 2 - 12) / 2 = 1。
五、综合题1. 描述如何从苯酚合成对甲基苯酚,并写出反应方程式。
答案:可以通过使用甲苯和氯气在光照条件下进行卤代反应生成对氯甲苯,然后对氯甲苯在碱性条件下水解生成对甲基苯酚。
反应方程式如下:\[ C_6H_5OH + Cl_2 \rightarrow C_6H_4ClOH + HCl \]\[ C_6H_4ClOH + 2NaOH \rightarrow C_6H_4(OH)CH_3 + NaCl +H_2O \]结束语:以上就是本次大一有机化学试题库及答案的全部内容。
希望这些题目能够帮助同学们更好地理解和掌握有机化学的基础知识和概念。
有机化学复习题一、选择题: 下列各题只有一个正确答案,请选出。
1. CH 3-CH-CH 2-C-CH 2CH 3CH 3CH 3CH 3分子中伯、仲、叔、季碳原子的比例是A. 5:2:1;1B. 2:4:2:1C. 5:1:2:1D. 4:3:1:12.烷烃系统命名中的2-甲基丁烷在普通命名法中又称为: A. 异戊烷 B. 异丁烷 C. 新戊烷 D. 叔丁烷3.下列化合物不属于脂环烃的是A. 甲苯B. 2-甲基环己烯C. 环己炔D. 1.2-二甲基环己烷 4 烯烃中碳原子的杂化状态是A. SP 3B. SP 2C. SPD. SP 3和SP 2 5. 炔烃中碳原子的杂化状态是A. SP 3和SPB. SPC. SP 2 D SP 3 6.在下列脂环烃中,最不稳定的是A. 环戊烷B. 环丁烷C. 环己烷D. 环丙烷 7.马尔科夫尼科夫规律适用于A. 烯烃与溴的加成反应B. 烷烃的卤代反应C. 不对称烯烃与不对称试剂的加成D. 烯烃的氧化反应 8.下列化合物用KMnO 4/H +氧化只得到一种产物的是 A. (CH 3)2C=CHCH 3 B. CH 3CH=CHCH 2CH 2CH 3 C. CH 3CH=CH 2 D. (CH 3)2C=C(CH 3)2 9.经催化加氢可得2-甲基丁烷的化合物是A. B.CH 3CH 3-C=CH 2CH 3-CH=CH-CH 3C.CH 3CH 3-CH-C CHD.CH 3CH 3-CH C=CH 2CH 310. 化合物C=CH 3C CH 3H 5C 2COOH属于 A. E 型或顺式 B. E 型或反式 C. Z 型或顺式 D. Z 型或反式11. 1-戊炔和2-戊炔属于A. 碳链异构B. 顺反异构C. 位置异构D. 构象异构 12. 可鉴别2-丁炔与1-丁炔的试剂为A. 溴水B. Cu(OH)2C. HIO 4D. Ag(NH 3)2NO 3 13. 下列基团中,属于间位定位基的是A. –OHB. –CH 2CH 3C. –NO 2D. –Cl 14. 下列基团中,属于邻、对位定位基的是A. –COOHB. –NH 2C. –CND. –CHO15. 下列化合物氧化后可生成苯甲酸的是 A.C(CH 3)3B.CH(CH 3)2C.CH 3CH 3D.CH 316. 下列化合物中,属于叔卤代烷结构的是 A.Cl B.Cl CH 3C.ClD.CH 2Cl17. 下列化合物不能发生消除反应的是A.氯化苄B. 氯乙烷C.2-氯丁烷D. 叔丁基溴 18. 下列化合物与无水氯化锌+浓盐酸反应速度最快的是A.CH 3H 3C C CH 3OHB. CH 3CH 2OHC.CH 3OHD. CH 3CH CH 3OH19. 扎依采夫规律适用于A. 烯烃加HBr 的反应B. 卤代烃的取代反应C. 醇或卤代烃的消除反应D. 芳香烃的取代反应 20. 下列化合物能与Cu(OH)2反应生成兰色溶液的是A.OHB. CH 2CH 2CH 2OH OHC. CH 3CH 2OHD. HOOC-CH CH-COOH OH OH21. 下列化合物能与FeCl 3显色的是A.OHB.OHC.OHOH D.CHO22.下列化合物与溴水反应生成白色沉淀的是 A.-CHO B.-O HC.-OHD.-CH 2 OH23. 下列化合物属于芳香醇的是 A.-O HB.-OHC.-CH 2 OHD.-CHO24. 能区别OH和OCH 3的试剂是A. NaOHB. NaHCO 3C. HBrD. 稀HCl 25. 下列醇中可氧化成酮的是A.CH 3OH CH 3-C-CH 3 B.OHCH 3-CH-CH 2-CH 3 C. CH 3CH 2OH D.CH 3CH 2CH 2OH 26. 可用来鉴别CH 3CHO 和 CH 3COCH 3的试剂是A. 羰基试剂B. 托伦试剂C. NaHSO 3D. I 2+NaOH 27. 下列化合物中,能发生碘仿反应的是A.-C-CH 2-CH 3OB. CH 3-CH 2-C-CH 2-CH 3OC. CH 3CH 2OHD. CH 3CH 2CHO 28. 下列化合物中不能与NaHSO 3反应的是A CH 3-C-CH 3OB.CH 3CH 2CHOC.-C-OD. O29. 下列化合物中能被斐林试剂氧化的是CH 3-C-CH 3OCH 3-CH 2-CHOCH 3CH 2OH -CHO A.B. C. D.30. 下列化合物能进行醇醛缩合反应的是A.-CHOB.CHOC. HCHOD. CH 3CH 3CH 3-C-CHO31.下列化合物属于半缩醛的结构的是 A.O-CH 3O-CH 3B.O-CH 3C.O-CH-CH 3 OHD. CH 3-C-O-C 2H 5O32.下列反应不能产生二氧化碳的是 A. CH 3COOH + NaHCO 3B.CH 2=CHC.CH 3-C-CH 2O△D. CH 2=CH 2KMnO 433.己二酸加热后所得到的产物是A.二元酸B. 环酮C. 酸酐D. 酮酸34.下列化合物中,其酸性最强的是 A.OHB. H 2OC. CH 3CH 2COOHD. CH 3CH 2OH35.下列化合物中,不属于酮体的是A. CH 3-C-CH 3OB. CH 3-C-CH 2-COOH OC. CH 3-CH-CH 2-COOH OHD. CH 3-CH 2-CH-COOHOH36. 区别OH和COOHOH所用的试剂为 A. NaHCO 3 B. FeCl 3 C. HBr D. Na 37. 下列试剂中不能与OHCH 3-CH 2-CH-CH 3反应的是A. I 2 + NaOHB. NaC. KMnO 4D. NaOH 38.下列各糖中不能与托伦试剂反应的是A. α-D-吡喃葡萄糖B. α-D-呋喃果糖C. 蔗糖D.麦芽糖 39.下列化合物中碱性最弱的是CH 3-CH 2-NH 2-NH 2-C-NH 2O-NH-A. B.C.D.40.下列化合物属于五元含氮杂环的是A. 噻吩 B 咪唑 . C. 呋喃 D. 吡啶二、判断题(错×、对○)1. 炔烃都可以和Ag(NH 3)NO 3在加热的条件下产生炔化银沉淀。
一、选择题1.乙烷可以发生如下反应:CH3—CH3+Br2^CH3CH2Br+HBr这个反应在有机化学中通常称为()A.裂解反应B.取代反应C.分解反应D.加成反应3•某烷烃的结构为:CH3—CH—CH—CH—C H2下列命名正确的是()CH3C H3C2H5CH3A.1,2-二甲基-3-乙基戊烷B.2,3-二甲基-4-乙基已烷C.4,5-二甲基-3-乙基已烷D.3-乙基-4,5-二甲基已烷4.下列反应属于消去反应的是A.苯与浓硝酸、浓硫酸混合,温度保持在50—60°CB.乙醇与浓硫酸共热,温度保持在170°CC.乙醇与浓硫酸共热,温度保持在140°CD.乙醇、乙酸和浓硫酸共热5.以下物质;(1)甲烷;(2)苯;(3)聚乙烯;(4)苯乙烯(5)2-丁炔;(6)环己烷;(7)邻二甲苯。
既能使KMnO4酸性溶液褪色,又能使溴水因发生化学反应而褪色的是()A、(3)(4)(5)B、(4)(5)(7))C、(4)(5)D、(3)(4)(5)(7)6.在下列物质中,分别加入金属钠,不能产生氢气的是A.蒸馏水B.无水酒精C.苯D.75%的酒精7.苯酚沾在皮肤上,正确的处理方法是()A.酒精洗涤B.65°C以上水洗C.氢氧化钠溶液洗涤D.溴水处理8.下列关于醇的结构叙述中正确的是()A.醇的官能团是羟基(一OH)B.醇的官能团是羟基氢(O—H)C.羟基与烃基碳相连的化合物就是醇D.醇的通式是C n H2n+1OH9.下面列举的是某化合物的组成和性质,以此说明该物质一定是有机化合物的是()A、在氧气中燃烧只生成CO2B、仅由碳、氢、氧三种元素组成C、仅由碳、氢两种元素组成D、熔点低而且难溶于水10.2-氯丙烷可能的构造异构体数目是多少?()A、2B、4C、6D、511.下列化合物进行硝化反应时最容易的是:()A、苯B、硝基苯C、甲苯D、氯苯12.CH3CH2C三CH与CH3CH=CHCH3可用哪种试剂鉴别?()A、硝酸银的氨溶液B、Br2的CCl4溶液C、三氯化铁溶液D、酸性KMnO4溶液C 、2CH 3CH 2OH+O 2Cu u r 2CH 3CHO+2H 2OClCH 2CH=CH 2+NaOH 运》HOCH 2CH=CH 2+NaCl O+眄殴^^O-^2+H2°D 、15.下列关于旋光性的说法正确的是A. 含有手性碳原子的化合物都具有手性B. 不含有手性碳原子的化合物一定没有手性C. 含有一个手性碳原子的化合物一定具有手性13、下列化合物不能被酸性KMnO 4氧化成苯甲酸的是() A 、甲苯B 、乙苯C 、叔丁苯D 、环己基苯 14、下列有机反应中,不属于取代反应的是()B 、16.下列化合物无旋光性的是 COOH一Br —H COOHA.H HCHO —OH —O H CH 2OB-B H. D.CH 2=CHCHCH3OHCH 33HCl17.与NH 2是同一物质的是C H 3N H 2A.Cl —H B H ―ClNH 2•CH 318. 下列物质沸点最高的是 A.3-己醇B.正己烷C.正辛醇 19. 下列物质酸性最强的是C.Cl HCH 3NH 2NH 2 D.H 十CH 3ClD.1,4-丁二醇A.水B.碳酸C.苯甲醇D.邻甲苯酚 20下列物质与卢卡斯试剂反应活性最大的是 A.乙醇B.叔丁醇C.2-丁醇D.正丙醇21.区别3-氯-1-丁烯和3-碘-1-丁烯所用的试是A 、AgNO 3的醇溶液B 、FeCl 3溶液C 、Lucas 试剂D 、溴水 22. 下列物质在水中溶解度最大的是 D.以上都不对A.正丙烷B.异丙基溴C.正丙醇D.丙二醇 23. 区别环己醇和苯酚用下列哪种试剂 A.FeCl 3溶液B.卢卡斯试剂C.格氏试剂D.KMnO 4/H +24.列结构式中,与CH 2OH相同的是(25.在亲电取代反应中,活性最大的是H3CD 、26.某烯烃经臭氧化和水解后生成等物质的量的丙酮和乙醛,则该化合物是 A.(CH 3)2C =C(CH 3)2B.CH 3CH =CHCH 3C.(CH 3)2C =CHCH 3D.(CH 3)2C =C =CH 227.从下列选项中找出哪种分子属于仲卤代烃 A 、HC-CHCHeCH3i23BrB 、CH CH CH ClBrc 、H 3C -C-CH 3CH 3D 、H 2—C HClCl28.区别伯醇、仲醇、叔醇所用的试剂是A 、FeCl 3溶液B 、I 2+NaOH29.化合物F 3C —CH==CH 2与HBr 反应的主要产物是C 、卢卡斯试剂D 、格氏试剂A 、F 3C —CHBr —CH 3B 、F 3C —CH 2—CH 2BrA 、C、OH B、D、) A 、B、CH 3C、Cl CH 3D 、F3C—CHBr==CH2C、F3C—CH==CHBr3O.C5H]o的环烷烃同分异构体数目CCH 3CH 2OHC 仲丁醇DCH 3COCH 3 D 叔丁醇ACH 3COOH BCH 3OCH 3CH 3OHDCH 3COCH 337、 烯烃的通式是38、 A.C n H 2n-2n2n -2烷烃的通式是 B.C n H 2n n2nC.C n H 2n+2n2n+2D.以上都不是 39、 A.C n H 2n-2n2n -2炔烃的通式是B.C n H 2n n2nC.C n H 2n+2n2n+2D.以上都不是A.C n H 2n-2n2n-2B.C n H 2nn2nC.C n H 2n+2n2n+2D.以上都不是C._OHD._Cl 41、A._NOB._CNC._COOHD._Cl1-5BCBBC6-10CAACA 11-15CACBC 16-20CDDBB 21-25ADACD26-30CACAC31-35DBADA36-41ABCAAD二、判断题(本题共10小题, A 、5B 、3C 、4D 、231. 与三氯化铁发生显色反应的化合物A 、乙醇B 、乙醚C 、乙醛D 、苯酚 32、鉴别丙烷和甲基环丙烷常用的试剂是A 高锰酸钾B 溴水C 浓硝酸D 氧气 33、区别丙烯和丙炔所用的试剂是AAgNO 3的氨溶液BFeCl 3溶液C 格氏试剂D 溴水 34、下列化合物属于酮的是 AHCHOBCH 3OCH 3 35、下列化合物沸点最高的是A 正丁醇B 异丁醇 36、下列化合物属于羧酸的是答案每题1分,共10分。
有机化学试题库及答案大学一、选择题(每题2分,共20分)1. 下列哪个化合物属于醇类?A. 甲烷B. 乙醇C. 丙酮D. 乙酸2. 以下哪种反应类型不是有机化学反应?A. 取代反应B. 加成反应C. 氧化反应D. 还原反应3. 以下哪个是芳香族化合物?A. 乙烯B. 乙炔C. 苯D. 环己烷4. 哪个是碳正离子的稳定化因素?A. 甲基B. 羟基C. 羧基D. 卤素5. 以下哪个化合物是烯烃?A. 甲烷B. 乙炔C. 乙烯D. 乙烷6. 哪个是碳碳双键的共轭效应?A. 碳正离子B. 碳负离子C. 碳自由基D. 碳自由基7. 以下哪种反应是消除反应?A. 卤代烃与氢氧化钠共热B. 醇与浓硫酸共热C. 酯化反应D. 水解反应8. 以下哪个是酯化反应?A. 醇与酸反应生成酯和水B. 醇与卤化氢反应生成卤代烃C. 醇与醇反应生成醚D. 醇与氢氧化钠反应生成醇钠9. 以下哪个是有机化合物的命名原则?A. 按照化学式命名B. 按照发现的先后顺序命名C. 按照功能团的优先级命名D. 按照颜色命名10. 以下哪个是有机化合物的同分异构体?A. 乙醇和甲醇B. 乙醇和乙醚C. 乙醇和丁醇D. 乙醇和丙醇答案:1. B 2. C 3. C 4. A 5. C 6. D 7. A 8. A 9. C 10. B二、填空题(每空2分,共20分)11. 有机化学中的“碳链异构”是指具有相同分子式但________不同的化合物。
12. 芳香族化合物的特征是含有________环。
13. 取代反应是指有机分子中的________原子或原子团被其他原子或原子团所替换。
14. 碳正离子的稳定性可以通过________来增加。
15. 碳碳双键的共轭效应可以增强分子的________。
答案:11. 结构 12. 苯 13. 一个 14. 甲基 15. 稳定性三、简答题(每题10分,共30分)16. 描述什么是亲核取代反应,并给出一个例子。
有机化学测试题一。
选择题(本题只有一个选项符合题意。
)1. 在农业上常用稀释的福尔马林来浸种,给种子消毒。
该溶液中含有()A。
甲醇 B。
甲醛 C. 甲酸 D. 乙醇2。
常温常压下为无色液体,而且密度大于水的是( )① 苯② 硝基苯③ 溴苯④ 四氯化碳⑤ 溴乙烷⑥ 乙酸乙酯A. ①⑥B. ②③④⑥C. ②③④⑤D. ③④⑤⑥3。
常温常压下为气体的有机物是()① 一氯甲烷② 二氯甲烷③ 甲醇④ 甲醛⑤ 甲酸⑥ 甲酸甲酯A. ①②B. ②④⑤ C。
③⑤⑥ D. ①④4. 结构简式是 A. 加成反应 B。
还原反应C. 水解反应 D。
氧化反应5。
下列有机物命名正确的是()A。
2,2,3-三甲基丁烷 B。
2-乙基戊烷C。
2-甲基-1-丁炔 D。
2,2-甲基-1-丁烯6。
下列各化学式中,只表示一种纯净物的是()A. B. D.7。
下列有机物能使酸性 A. 苯 B。
甲苯 C。
乙烯 D。
丙炔8。
2001年9月1日将执行国家食品卫生标准规定,酱油中3-氯丙醇结构)共有()A. 5种B. 4种C. 3种 D。
2种9. 苯的同系物,在铁作催化剂的条件下,与液溴反应,其中只能生成一种一溴化物的是( )A。
B. C. D.10. 检验酒精中是否含有水,可选用的试剂是( )A。
金属钠 B. 浓C。
无水D。
胆矾11。
下列过程中,不涉及化学变化的是( )A。
用明矾净化水B. 甘油加水作护肤剂C。
烹鱼时,加入少量的料酒和食醋可减少腥味,增加香味D。
烧菜用过的铁锅,经放置常出现红棕色斑迹12. 等质量的铜片在酒精灯上热后,分别插入下列液体中,放置片刻后取出,铜片质量不变的是()A. 盐酸 B。
无水乙醇C. 冰醋酸D. 乙醛13. 结构简式为的有机物,不能发生的反应是()A. 消去反应B. 加成反应C. 酯化反应D. 银镜反应14. L?D多巴是一种有机物,它可用于帕金森综合症的治疗,其结构简式如下:()这种药物的研制是基于获得2000年诺贝尔生理学或医学奖和获得2001年诺贝尔化学奖的研究成果.下列关于L?D多巴酸碱性的叙述正确的是()A. 既没有酸性,又没有碱性B。
有机化学考试试题(第一套)1. 光照下,烷烃卤代反应的机理是通过哪一种中间体进行的? B(A) 碳正离子 (B) 自由基(C) 碳正离子 (D) 协同反应,无中间体2. 与 相互关系是: D(A) 对映体 (B) 非对映体(C) 构型异构体 (D) 构造异构体3.(CH 3)2C=CH 2 + HCl 产物主要是: B(A) (CH 3)2CHCH 2Cl (B) (CH 3)2CClCH 3(C) CH 3CH 2CH 2CH 2Cl (D) CH 3CHClCH 2CH 34.CH 3CH=CHCH 2CH=CHCF 3 + Br 2 (1 mol) 主要产物为: A(A) CH 3CHBrCHBrCH 2CH=CHCF 3(B) CH 3CH=CHCH 2CHBrCHBrCF 3(C) CH 3CHBrCH=CHCH 2CHBrCF 3(D) CH 3CHBrCH=CHCHBrCH 2CF 35.在NaOH 水溶液中, (CH 3)3CX(I), (CH 3)2CHX(II), CH 3CH 2CH 2X(III), CH 2=CHX(IV)各卤代烃的反应活性次序为: A(A) I >II>III>IV (B) I>II>IV>III(C) IV>I>II>III (D) III>II>I>IV6.(R)-2-氯丁烷 与(S)-2-氯丁烷的哪种性质不同? D(A) 熔点 (B) 沸点(C) 折射率 (D) 比旋光度7. 与 一对化合物的相互关系是: A(A) 对映异构体 (B) 非对映异构体(C) 相同化合物 (D) 不同的化合物8.冠醚可以和金属正离子形成络合物,并随着环的大小不同而与不同的金属离子络合,18-冠-6最容易络合的离子是: C(A) Li + (B) Na + (C) K + (D) Mg 2+CH 3CH 3H CHH CH 3C 2H 5CH 3H Br CH 32H 5H9.下列化合物有对映异构的应是: C(A) (1) (2) (B) (1) (3) (C) (2) (4) (D) (3)(4)10.用来表示下列药物假麻黄碱的投影式应是: D11.1,2-二甲基环丙烷有几个立体异构体? C(A) 无立体异构体 (B) 二个,一对对映体(C) 三个,一对对映体和一个内消旋体 (D) 四个,二对对映体12.下列构象的稳定性顺序为: CCH 3COCH 3 CH 3CHOHCH 2CH 3CH 3CHOHCH 2CH 3CH 3CHOHCH 2CH 3(4)(3)(2)(1)(D)(C)(B)(A)NHMe OH Ph H H NHMe H Ph HO Me Me H Ph HOMeHN Me OH Ph H H Me H OH H Ph (A) (a)>(b)>(c)>(d) (B) (b)>(a)>(d)>(c)(C) (c)>(b)>(a)>(d) (D) (d)>(a)>(b)>(c) (b)(d)(c)(a)H Br C 2H 5H 3C Br H Br Br H H CH 32H 52H 5H 3CH 32H 5Br H Br H13.下列各组投影式中, 两个投影式相同的组是: A14.下列试剂中,哪一个可用来区别顺和 反-1,2-环戊二醇?(A) 丙酮 (B) 臭氧 (C) 异丙氧基铝 (D) 氢化铝锂15.碳数相同的化合物乙醇(I),乙硫醇(II),二甲醚(III)的沸点次序是: B(A) II>I>III (B) I>II>III (C) I>III>II (D) II>III>I16.下列哪个化合物不能起卤仿反应? C(A) CH 3CH(OH)CH 2CH 2CH 3 (B) C 6H 5COCH 3(C) CH 3CH 2CH 2OH (D) CH 3CHO17. Clemmensen 还原是用Zn(Hg)/HCl 进行还原,其作用是使 : B(A) 羰基成醇 (B) 羰基成亚甲基 (C) 酯成醇 (D) 酯成烃18. 还原 C=O 为 CH 2 的试剂应是: D(A) Na/EtOH (B) H 2N-NH 2/HCl(C) Sn/HCl (D) Zn-Hg/HCl19.苯乙烯用热KMnO 4氧化,得到什么产物? C20.傅-克反应烷基易发生重排,为了得到正烷基苯,最可靠的方法是: C(A) 使用AlCl 3作催化剂 (B) 使反应在较高温度下进行(C) 通过酰基化反应,再还原 (D) 使用硝基苯作溶剂21.三聚氰胺甲醛树脂常用于制造贴面板,合成原料是: A(A) 三聚氰胺与甲醛 (B) 三聚异氰酸与甲胺(C) 尿素与甲醛 (D) 尿素 + 丙二酸酯(C)(A)(D)(B)CHO CHO CH 3COOH H 2N COOH H CH 32CH 2NH 2H H C 2H 5HOCH 2CH 3C 2H 5Br H 2OH OH H 2NH 2COOH C 6H 5Cl COOH 6H 5Cl CH 3(C)(D)(B)(A)CH 2COOH CH OH CH 2OH CO 2H CH 2CHO22.在下列化合物中,能被2,4-二硝基苯肼鉴别出的是: A(A) 丁酮 (B) 丁醇 (C) 丁胺 (D) 丁腈23. 下面化合物羰基活性最强的是: C(A) ClCH 2CH 2CHO (B) CH 3CH 2CHO(C) CH 3CHClCHO (D) CH 3CHBrCHO24.下述反应不能用来制备α,β-不饱和酮的是: C(A) 丙酮在酸性条件下发生羟醛缩合反应(B) 苯甲醛和丙酮在碱性条件下加热发生羟醛缩合(C) 甲醛与苯甲醛在浓碱条件下反应(D) 环己烯臭氧化水解, 然后在碱性条件下加热反应25.下列化合物中, 不能发生羟醛缩合反应的是: D26.下列哪种条件下可以得到叔醇的酯? B(A) 羧酸 + 叔醇 (B) 酸酐 + 叔醇(C) 酯交换 (D) 酰胺 + 叔醇27. 当R 为何基团时,CH 3COOR 的碱性水解相对速率最慢? D(A) Et (B) i-Pr (C) Me (D) t-Bu28.合成 应采用丙二酸二乙酯二钠盐与下列哪种化合物作用? B(A) (B) BrCH 2CH 2Br(C) BrCH 2COOH (D) 2molCH 3I29. 下列碳负离子最稳定的是 C30. 下列化合物在硝化时,间位取代比例较高的是: A(D)C 2H 5CHO CH 3CHOCH (C)(CH 3)2CHCHO (B)(A)CH 3CHO O H +OH -COOH Br (A) CH 3COCH 2-(B) CH 3COCH -CH 3(C) -CH 2COPh (D) CH 3COCH 2CH 2-(A)Cl NHCCH 3O (B)NH 2(C)OCCH 3O (D)。
有机化学大学试题及答案一、选择题(每题2分,共20分)1. 下列化合物中,属于烯烃的是:A. 甲烷B. 乙醇C. 丙烯D. 乙酸答案:C2. 芳香烃的典型结构特征是:A. 碳碳单键B. 碳碳双键C. 碳碳三键D. 碳碳单双键交替答案:D3. 烷烃的通式为:A. CnH2n-2B. CnH2nC. CnH2n+2D. CnH2n-6答案:B4. 以下哪种反应是取代反应?A. 加成反应B. 消去反应C. 酯化反应D. 还原反应答案:C5. 碳原子的杂化轨道类型为sp^3的分子是:A. 乙烯B. 乙炔C. 甲烷D. 苯答案:C6. 以下化合物中,具有顺反异构体的是:A. 环己烷B. 环戊烷C. 环己烯D. 环戊烯答案:C7. 以下哪种化合物是酸性最强的?A. 甲酸B. 乙酸C. 丙酸D. 丁酸答案:A8. 以下哪种化合物是极性分子?A. 甲烷B. 乙烯C. 乙炔D. 二氧化碳答案:D9. 以下哪种化合物是芳香烃?A. 苯B. 环己烷C. 环己烯D. 环戊烷答案:A10. 以下哪种反应是消除反应?A. 卤代烃的水解B. 醇的氧化C. 卤代烃的消去D. 酯的水解答案:C二、填空题(每空1分,共20分)1. 有机化合物中,碳原子的价电子数为______。
答案:42. 乙醛的分子式为______。
答案:C2H4O3. 乙醇的官能团是______。
答案:羟基4. 芳香烃中,苯环上的碳碳键是______。
答案:单双键交替5. 烷烃的命名规则中,最长碳链的名称是______。
答案:甲烷6. 烯烃的命名规则中,双键的位置用______表示。
答案:数字7. 炔烃的命名规则中,三键的位置用______表示。
答案:数字8. 酯化反应是醇和______反应生成酯和水的过程。
答案:酸9. 有机化合物的溶解性规律是______。
答案:相似相溶10. 有机化合物的极性与______有关。
答案:分子结构三、简答题(每题10分,共30分)1. 简述什么是官能团,并给出两个例子。
大一有机化学试题及答案一、选择题(每题2分,共20分)1. 下列化合物中,属于醇类的是:A. CH3COOHB. CH3CH2OHC. CH3CH2CH3D. CH3CH2NH2答案:B2. 以下哪种反应是取代反应?A. 加成反应B. 消去反应C. 酯化反应D. 还原反应答案:C3. 以下化合物中,哪个是芳香烃?A. 环己烷B. 苯C. 环戊烷D. 环丁烷答案:B4. 下列哪个是烯烃的命名?A. 1-丁烯B. 2-丁烯C. 2-甲基丙烷D. 2-甲基丁烷答案:A5. 以下哪种反应是氧化反应?A. 燃烧B. 还原C. 加成D. 酯化答案:A6. 以下化合物中,哪个是酮?A. CH3COCH3B. CH3CH2OHC. CH3CH2CHOD. CH3CH2COOH答案:A7. 以下哪种反应是消除反应?A. 酯化反应B. 还原反应C. 水解反应D. 消去反应答案:D8. 以下化合物中,哪个是醛?A. CH3CHOB. CH3CH2OHC. CH3CH2COOHD. CH3CH2CH3答案:A9. 下列哪个是羧酸?A. CH3COOHB. CH3CH2OHC. CH3CH2CH3D. CH3CH2NH2答案:A10. 以下哪种反应是还原反应?A. 氧化B. 还原C. 加成D. 酯化答案:B二、填空题(每题2分,共20分)1. 乙醇的化学式是______。
答案:C2H5OH2. 芳香烃的特点是含有______个碳原子的环状结构。
答案:63. 烯烃的命名规则是将双键放在______号位。
答案:14. 酮类化合物的特点是含有______基团。
答案:C=O5. 醛类化合物的特点是含有______基团。
答案:-CHO6. 羧酸的化学式一般为______。
答案:RCOOH7. 酯化反应的一般反应式为______。
答案:酸 + 醇→ 酯 + 水8. 消去反应的特点是生成______。
答案:烯烃9. 取代反应的特点是生成______。
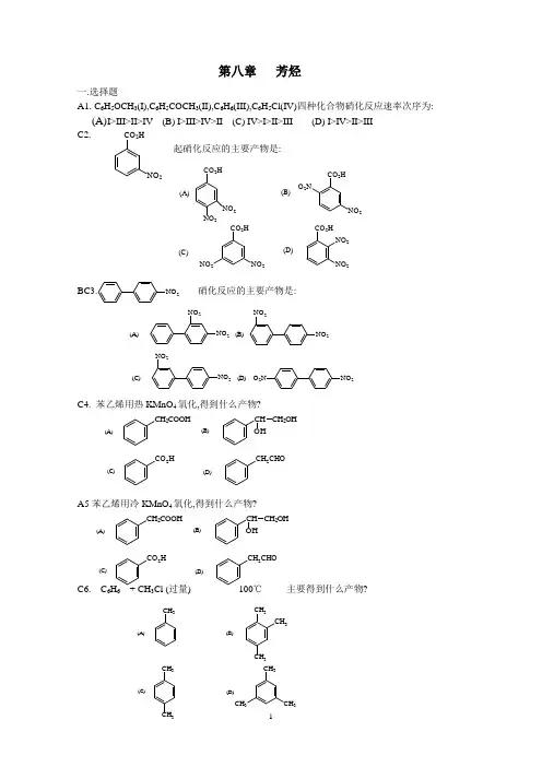
第八章 芳烃一.选择题A1. C 6H 5OCH 3(I),C 6H 5COCH 3(II),C 6H 6(III),C 6H 5Cl(IV)四种化合物硝化反应速率次序为:(A) I >III>II>IV (B) I>III>IV>II (C) IV>I>II>III (D) I>IV>II>IIIC2.起硝化反应的主要产物是:BC3. 硝化反应的主要产物是:C4. 苯乙烯用热KMnO 4氧化,得到什么产物?A5苯乙烯用冷KMnO 4氧化,得到什么产物?C6. C 6H 6 + CH 3Cl (过量) 100℃ 主要得到什么产物?CO 2H NO 2(A)(B)(C)(D)CO 2H NO 22O 2N CO 2H NO 2CO 2H NO 2NO 2CO 2H NO 2NO 2NO 2(C)(D)(B)(A)O 2N NO 2NO 2NO 2NO 2NO 2NO 2NO 2(C)(D)(B)(A)CH 2COOH CH OH CH 2OH CO 2H CH 2CHO (C)(D)(B)(A)CH 2COOH CH OH CH 2OH CO 2H CH 2CHO (C)(D)(B)(A)CH 3CH 3CH 33CH 3CH 3CH 3CH 3C7. 傅-克反应烷基易发生重排,为了得到正烷基苯,最可靠的方法是:(A) 使用AlCl 3作催化剂 (B) 使反应在较高温度下进行(C) 通过酰基化反应,再还原 (D) 使用硝基苯作溶剂 A8. 用KMnO 4氧化的产物是:D9. 根据定位法则哪种基团是间位定位基?(A) 带有未共享电子对的基团 (B) 负离子 (C) 致活基团 (D) 带正电荷或吸电子基团 A10. 正丙基苯在光照下溴代的主要产物是:(A) 1-苯基-1-溴丙烷 (B) 1-苯基-2-溴丙烷 (C) 邻溴丙苯 (D) 对溴丙苯 B11.邻甲基乙苯在KMnO 4,H +作用下主要产物是:(A) 邻甲基苯甲酸 (B) 邻苯二甲酸 (C) 邻甲基苯乙酸 (D) 邻乙基苯甲酸 B12. 由萘氧化成邻苯二甲酸酐的条件是:(A) CrO 3,CH 3COOH (B) V 2O 5,空气,400~500℃ (C) KMnO 4,H + (D) O 3,H 2O A 13. 分子式为C 9H 12的芳烃,氧化时,生成三元羧酸,硝化时只有一种一元硝化物,则该化合物的构造式应为:B14.主要产物是:B 15.有一个氯化物和镁在四氢呋喃中反应的产物倒在干冰上,得到邻甲氧基苯甲酸, 该化合物为:CH 3C(CH 3)3COOH C(CH 3)3CH 3COOH COOH COOH CHO C(CH 3)3(D)(C)(B)(A)CH 3H 3C CH 3CH 3CH 3CH 3CH 2CH 3CH 3CH 3CH 3CH 3(D)(C)(B)(A)CH 2CH 2CH 2COCl AlCl 3CH 2CH 2CH 2CO (C)(A)COCH 2CH 2CH 3(D)(B)OCH 3Cl OCH 2Br COOH COCl OCH 3CH 2ClOCH 3(A)(B)(C)(D)Cl NO 2+NO 2A 16.是什么类型的反应? (A) 亲电取代 (B) 亲核取代 (C) 加成-消除 (D) 自由基反应C17. 芳香硝基化合物最主要用途之一是做炸药,TNT 是什么化合物?C 18.下列化合物哪一个能溶于NaHCO 3?(A) 苯胺 (B) 对甲苯酚 (C) 苯甲酸 (D) 乙酰苯胺 D19. 下列哪个化合物具有芳香性?(A) 环丙烯酮 (B) 环戊二烯 (C) 环辛四烯 (D) [10]轮烯 B20.下列化合物哪个没有芳香性?C21. 下列哪个具有芳香性?A 22. 下列反应经过的主要活性中间体是:(A) 碳正离子(或离子对中碳原子为正电一端) (B) 碳负离子(及烯醇盐负离子碎片)(C) 卡宾(即碳烯Carbene) (D) 乃春(即氮烯Nitrene) (E) 苯炔(Benzyne)A23. 下列反应属于哪种类型:(A)亲电反应 (B)亲核反应 (C)自由基反应 (D)周环反应D24.下面化合物进行硝化反应速率最快的是:(D)(C)(B)(A)O 2N NO 2COOH2CH 3NO 2O 2N 2O 2N NO 22OH O 2N NO 22+O N (D)(C)(B)(A)(A)(C)N +H (B)NH H +(D)CH CH 22+CH 3Ph C 6H 6+CH 3COCl C 6H 5COCH 33(A)COCH 3CH 3(B)OCH 3(C)NHCOCH 3(D)C25. 下面化合物中无芳香性的是:D26.下面化合物中有芳香性的是: (A) (1) (2) (B) (1) (3) (C) (2) (3) (D) (2) (4)A 27.下面化合物中有芳香性的是:(A) (2) (3)(B) (1) (2) (C) (1) (4) (D) (1) (3)B28. 下列化合物中, 不能发生傅-克烷基化反应的是:A29.PhCH=CHCH 3与HBr 反应的主要产物为:B 30. 煤焦油的主要成分(约占70%)是:(A) 芳香烃 (B) 烯烃 (C) 环烷烃 (D) 杂环化合物 B31. 左式,CCS 名称应是:(A) 2,5-二甲基萘 (B) 1,6-二甲基萘 (C) 1,5-二甲基萘 (D) 2,10-二甲基萘A32. 下列反应,当G 为何基团时,反应最难?(A) ─NO 2 (B) ─OCH 3 (C) ─CH(CH 3)2 (D) ─HD 33 由苯合成对氯间硝基苯磺酸可由三步反应完成,你看三步反应以哪个顺序较好?(A) (1)磺化 (2)硝化 (3)氯化 (B) (1)氯化 (2)磺化 (3)硝化 (C) (1)硝化 (2)磺化 (3)氯化 (D) (1)氯化 (2)硝化 (3)磺化二.填空题(A)+(B)_(C)(D)+(1)(2)(3)(4)_+NN H (1)(2)(3)(4)+(D)CH 2Cl (C)CH 3(B)NO 2(A)(A) PhCHCH 2CH 3 (B) PhCH 2CHCH 3(C) Br Br Br CH CHCH 3 (D) Br CHCH 2CH 3CH 33G+O AlCl 3G CORNO 21.无O 2,无过氧化物2. 2Ph 3CCl + 2Ag ────────→ ? (C 38H 30)3. 4.5.化合物2-硝基-3,5-二溴甲苯的结构式是:6.化合物2-硝基对甲苯磺酸的结构式是:7. 8.9.10.11.12.13.1415. C lr ()1()2 M g , E t 2O D 2O ? 16. 17. 18.二茂铁的结构式是_______________,其分子式的完整写法是______________。
大学有机化学试题及答案一、选择题(每题2分,共20分)1. 下列化合物中,哪一个是芳香烃?A. 环己烷B. 苯C. 环戊烷D. 环己烯答案:B2. 以下哪个反应是亲核取代反应?A. Friedel-Crafts反应B. 羟醛缩合C. 酯化反应D. 威廉姆森醚合成答案:A3. 以下哪个化合物是手性分子?A. 乙醇B. 丙醇C. 异丙醇D. 正丁醇答案:C4. 下列哪种反应类型属于消除反应?A. SN1反应B. SN2反应C. E1反应D. E2反应答案:D5. 以下哪个化合物是烯烃?A. 环己烷B. 环戊烷C. 环己烯D. 环戊二烯答案:C6. 以下哪个化合物是炔烃?A. 乙炔B. 丙炔C. 丁炔D. 所有以上答案:D7. 以下哪个化合物是芳香胺?A. 苯胺B. 甲苯胺C. 乙苯胺D. 所有以上答案:D8. 以下哪个化合物是酮?A. 丙酮B. 丁酮C. 环己酮D. 所有以上答案:D9. 以下哪个化合物是醛?A. 甲醛B. 乙醛C. 丙醛D. 所有以上答案:D10. 以下哪个化合物是酯?A. 乙酸乙酯B. 乙酸丙酯C. 乙酸丁酯D. 所有以上答案:D二、填空题(每题2分,共20分)1. 芳香族化合物的特征是含有一个或多个______环。
答案:苯2. 亲核取代反应中,亲核试剂攻击底物的______原子。
答案:碳3. 手性分子是指不能与其镜像完全重叠的______分子。
答案:有机4. 消除反应中,两个相邻的原子或基团被______。
答案:移除5. 烯烃是含有一个______键的化合物。
答案:碳-碳双6. 炔烃是含有一个______键的化合物。
答案:碳-碳三7. 芳香胺是指含有苯环和氨基的______化合物。
答案:有机8. 酮是指含有一个______氧原子的化合物。
答案:羰基9. 醛是指含有一个______氧原子的化合物。
答案:羰基10. 酯是由羧酸和醇反应生成的含有______基的化合物。
答案:酯基三、简答题(每题10分,共30分)1. 描述SN1和SN2反应机制的主要区别。
一、选择题(共20分,每题1分)1.属于烃基的是()A.C6H5CO—B. —CH2COOHC. —CH=CH2D. —OCH32.反映油脂的不饱和程度的是()A.皂化值B.碘值C.酸值D.氢化值3.下列化合物构象最稳定的是()A.B.C. D.4.下列化合物进行一元硝化,硝基进入位置正确的是()5.下列化合物加热能放出二氧化碳的为()A. 丁酸B. 草酸C. 乳酸D.醋酸6.下列操作中错误的是()A.熔点测定中毛细管中的样品位于温度计水银球的中部B.旋光仪使用时应先检查零点C.常压蒸馏实验烧瓶中不用加沸石D.纸层析中滤纸需用热风吹干才能显色7.某氨基酸在pH=6.0的溶液中向阳极移动,此氨基酸的pI( )A.<6.0B.>6.0C.=7.0D. =6.08.可用于保护氨基的反应是()A. 醇醛缩合B.乙酰化C.还原D.酯化反应9.鉴别葡萄糖和果糖可用()A.班氏试剂B.碘仿反应C.托伦斯试剂D.Br2水10.鉴别苯酚和羧酸不能采用()A.FeCl3溶液B.溴水C.碳酸氢钠溶液D.NaOH溶液11.马氏规则适用于()A.醇的酯化反应B.醇的消去反应C.不对称试剂和不对称烯烃的加成反应D.苯的取代反应12.苯环上的氢被卤素取代的反应机理是()A.亲核取代B.亲电取代C.亲电加成D.亲核加成13. 下列化合物可与斐林试剂反应生成砖红色沉淀的是()A、蔗糖B、果糖C、淀粉D、纤维素14. 下列化合物不能发生碘仿反应的是()A、乙醇B、异丙醇C、丙醛D、2-戊酮15. 下列基团是较优基团的为()。
A、-OHB、-CH3C、-NH2D、-CHO16. 顺反异构属于()。
A、构造异构B、互变异构C、构型异构D、构象异构17. 某烯烃经酸性KMnO4氧化后得到丙酮和乙酸,此烯烃的结构为( )Cl(H3C)3C ClC(CH3)3ClC(CH3)318. 下列能使苯环致钝的基团是()A、—OHB、—CH3C、—ClD、—NH219.盐析使蛋白质沉淀析出,主要是破坏了蛋白质的()A、氢键B、疏水键C、水化膜D、盐键20. 组成蛋白质的旋光性氨基酸的构型均为()A、DB、SC、RD、L二、是非题(共10分,每题0.5分)正确的写“∨”,错误的写“×”1.只有酚羟基结构才能与FeCl3溶液发生显色反应()2. 2-丁炔可以发生炔凎反应,与AgNO3的氨溶液反应生成白色沉淀()3.单糖都是还原性糖()4. 外消旋体是没有旋光性的化合物()5.烯烃的过氧化物效应只适合于与HBr的加成()6. 由于苯环的稳定性,苯、甲苯等不能使高锰酸钾溶液褪色()7. 乙烷只有重叠式和交叉式两种构象()8. 2-甲基-2-丁烯与HBr的加成取向遵守反马氏规则()9.麦芽糖是由两个葡萄糖通过α-1,4-苷键连接的还原性二糖()10.天然蛋白质水解生成的20种编码氨基酸,除了甘氨酸外,其他氨基酸都为S构型()11. 环丙烷与氯气在光照下发生加成反应()12. 由一种异构体转变为其对映体时,必须断裂与手性碳原子相连的化学键()13. 羟醛缩合反应是指醇和醛发生的亲核加成反应()14. 苯胺分子中N原子采取的杂化类型是sp ()15. β-D-吡喃葡萄糖和α-D-吡喃葡萄糖是一对对映体()16. 环己烷的椅式构象中,C-H键的类型有a键和e键。
大1有机化学试题及答案一、选择题(每题2分,共20分)1. 下列化合物中,哪一个不是芳香烃?A. 苯B. 甲苯C. 环己烷D. 萘答案:C2. 羧酸的酸性比醇强,其主要原因是:A. 羧酸的碳氧双键极性大B. 羧酸的羧基上的氧原子有孤对电子C. 羧酸的羧基上的氢原子更易电离D. 羧酸的羧基上的氧原子半径较大答案:C3. 以下哪种反应属于取代反应?A. 卤代反应B. 酯化反应C. 加成反应D. 消去反应答案:A4. 以下化合物中,哪一个是手性分子?A. 甲烷C. 2-丁醇D. 2,3-二甲基丁烷答案:C5. 以下哪种催化剂可以用于催化氧化反应?A. 硫酸B. 氢氧化钠C. 硫酸铜D. 碳酸钠答案:C6. 以下哪种化合物是烯烃?A. 环己烷B. 苯乙烯C. 环己烯D. 丙烷答案:B7. 以下哪种反应属于消除反应?A. 卤代烷的水解B. 醇的脱水C. 酯的水解D. 羧酸的酯化答案:B8. 以下哪种化合物是芳香族化合物?B. 环己烯C. 苯D. 乙炔答案:C9. 以下哪种化合物是酮?A. 丙酮B. 乙醇C. 乙酸D. 丙醛答案:A10. 以下哪种化合物是醛?A. 甲醛B. 乙醛C. 丙酮D. 丙醇答案:B二、填空题(每题2分,共20分)1. 有机化合物中,碳原子的价电子数是______。
答案:42. 烷烃的通式是______。
答案:CnH2n+23. 芳香烃的特点是含有______个π电子的环状结构。
答案:4n+24. 酯化反应的生成物是______和______。
答案:酯,水5. 消去反应的产物是______和______。
答案:烯烃,卤素离子6. 醇的氧化产物是______。
答案:醛或酮7. 羧酸的官能团是______。
答案:羧基8. 卤代烃的官能团是______。
答案:卤素原子9. 醚的官能团是______。
答案:醚键10. 胺的官能团是______。
答案:氨基三、简答题(每题5分,共30分)1. 请简述芳香烃的稳定性来源。
大学有机化学试题及答案第一部分:选择题1. 下列化合物中属于醇的是:A. 丙酮B. 乙醛C. 甲醇D. 乙烯答案:C2. 下列化合物中具有酸性的是:A. 乙醇B. 甲烷C. 甲酸D. 乙醚答案:C3. 以下反应中,不能发生求核试剂进攻反应的是:A. 乙醛和氨水反应B. 丙酮和氨水反应C. 甲酮和氨水反应D. 乙酮和氨水反应答案:D第二部分:填空题1. 甲烷的分子式为_______。
答案:CH₄2. 乙醇的结构式中含有_______键。
答案:C-OH3. 甲苯是苯甲烷的一种________。
答案:同分异构体第三部分:判断题1. 醇可以与酸发生酯化反应。
答案:正确2. 醚的结构中含有碳、氧、氢元素。
答案:正确3. 极性溶剂中有机化合物的溶解度通常较小。
答案:错误第四部分:简答题1. 请简述醛的命名规则。
答案:醛通过将对应的烷烃末端的一个氢原子替换为羰基(-CHO)来命名。
在命名时,需要确定羰基所在的位置,并以醛作为后缀。
例如,甲醛(CH₃CHO)的命名中,甲表示羰基所连接的碳原子的位置。
2. 解释一下酯的制备方法。
答案:酯的制备主要是通过醇与酸发生酯化反应来实现的。
在反应中,酸酐或酸与醇在酸性条件下进行反应,生成酯和水。
该反应需要催化剂存在,常见的催化剂有硫酸或盐酸等。
酯的制备方法也可以通过酸催化下的醇缩聚来实现。
第五部分:解答题1. 请结合反应机理,详细解释醇与碱的反应机制。
答案:醇与碱发生反应可以得到醇盐,具体反应机制如下:首先,碱与醇中的羟基发生质子化反应,生成氢氧根离子(OH-)和正离子形式的醇。
接着,氢氧根离子与正离子相互结合,形成醇盐。
该反应可以通过控制反应体系的酸碱平衡来进行。
2. 请解释一下酚的性质及其在有机化学中的应用。
答案:酚是一种含有苯环的有机化合物,具有羟基(-OH)官能团。
酚具有酸碱性,能够与碱和金属形成盐,并且能够发生酯化、取代等反应。
在有机化学中,酚广泛应用于合成化学反应、药物合成和涂料工业等领域。
大学有机化学试题及答案一、选择题(每题2分,共20分)1. 下列化合物中,哪一个是芳香烃?A. 环己烷B. 环戊二烯C. 苯D. 环己烯答案:C2. 羧酸的酸性比醇强,是因为:A. 羧酸分子中的氧原子电负性更强B. 羧酸分子中的氢原子更易离去C. 羧酸分子中的羧基更稳定D. 羧酸分子中的碳原子更易被氧化答案:C3. 下列反应中,哪一个是亲核取代反应?A. 酯化反应B. 卤代烃的水解C. 酯的水解D. 酯的醇解答案:B4. 醇的脱水反应中,生成的主要产物是:A. 烯烃B. 醚C. 醛D. 酮5. 烯烃的加成反应中,使用催化剂时,产物的立体化学是:A. 外消旋B. 顺式C. 反式D. 无规则答案:C6. 下列化合物中,哪一个是手性分子?A. 乙醇B. 2-丁醇C. 2-甲基-1-丙醇D. 2-甲基-2-丙醇答案:D7. 烷烃的卤代反应中,主要产物是:A. 单卤代物B. 多卤代物C. 卤化氢D. 卤化烷答案:A8. 芳香族化合物的亲电取代反应中,取代基团进入的位置是:A. 邻位B. 对位C. 间位D. 任意位置答案:B9. 下列化合物中,哪一个是酸性最强的?B. 乙酸C. 丙酸D. 丁酸答案:A10. 酯化反应中,催化剂是:A. 硫酸B. 盐酸C. 氢氧化钠D. 碳酸钠答案:A二、填空题(每题2分,共20分)1. 甲烷的分子式是______。
答案:CH42. 芳香烃的典型代表是______。
答案:苯3. 羧酸的官能团是______。
答案:羧基4. 醇的脱水反应生成的化合物是______。
答案:烯烃5. 烯烃的加成反应中,使用催化剂时,产物的立体化学是______。
答案:反式6. 手性分子是指______。
答案:不能与它的镜像重叠的分子7. 烷烃的卤代反应中,主要产物是______。
答案:单卤代物8. 芳香族化合物的亲电取代反应中,取代基团进入的位置是______。
答案:对位9. 酸性最强的羧酸是______。
大学有机化学试题及答案一、选择题(每题2分,共20分)1. 下列化合物中,哪一个是芳香烃?A. 甲烷B. 乙炔C. 苯D. 乙醇答案:C2. 有机化合物中,碳原子的杂化方式有几种?A. 1种B. 2种C. 3种D. 4种答案:C3. 以下哪个反应是亲核取代反应?A. 酯化反应B. 还原反应C. 消除反应D. 卤代反应答案:D4. 以下化合物中,哪一个不属于烯烃?A. 乙烯B. 丙烯C. 环己烯D. 环己烷5. 以下哪种催化剂可以用于石油裂化?A. 铂B. 镍C. 钯D. 铁答案:D6. 以下哪种化合物是手性分子?A. 乙醇B. 甲烷C. 丙烷D. 2-丁醇答案:D7. 以下哪种反应是自由基反应?A. 酯化反应B. 还原反应C. 消除反应D. 聚合反应答案:C8. 以下哪种化合物是芳香烃?A. 环己烷B. 环己烯C. 环己二烯D. 苯答案:D9. 以下哪种化合物是醛?B. 乙醛C. 丙酮D. 丙醇答案:B10. 以下哪种化合物是酮?A. 丙酮B. 丙醛C. 丙酸D. 丙醇答案:A二、填空题(每空1分,共20分)1. 有机化学中,碳原子可以形成______种杂化轨道。
答案:32. 芳香烃的典型代表是______。
答案:苯3. 亲核取代反应中,亲核试剂是______。
答案:带负电的原子或基团4. 烯烃的通式为______。
答案:CnH2n5. 有机化合物中,碳原子最多可以形成______个共价键。
答案:46. 手性分子是指具有______的分子。
答案:非超posable镜像异构体7. 石油裂化反应中,催化剂的作用是______。
答案:降低反应活化能8. 环己烷的分子式为______。
答案:C6H129. 醛的特征官能团是______。
答案:-CHO10. 酮的特征官能团是______。
答案:-CO-三、简答题(每题10分,共30分)1. 简述亲核取代反应和亲电取代反应的区别。
答案:亲核取代反应中,亲核试剂攻击底物的电性正的中心原子,而亲电取代反应中,亲电试剂攻击底物的电性负的中心原子。
《有机化学》第一学期期末试题(A )(考核卤代烃、芳烃、醇酚醚、醛酮)一、命名或写结构(1×9,9%)CH 3CH 2CH CH 2O1.OO2.ClNO 2OH3.4. 4-戊烯醛5. (R)-2-甲基-1-己醇6. 2-甲基-5-氯甲基庚烷7. TMS8. THF9. TNT二、完成下列化学反应方程式(1×20,20%)CH=CHBr CH 2ClKCN10.CH 2CHCH 3BrKOH/EtOH11.CH 3CH 2CH 2CHO212.CHOCH 3HCHOconOH-+13.CH 3CH 2CH 2CHCH 3OHI 2 NaOH 过量14.(CH 3)2CHOHPBr 315.CH 3(CH 2)3Cl+16.AlCl 3OH OHH+17.CH 3MgBr18.HCHO 乙醚,H 3O+OPh 3P=CH 2+20.CH 3CH 2CH 2CHO21.+NaHSO 3(饱和O CO22.(CH 3)2CHMgBr23.O(1)醚(2)2+OCH 2CH=CHREt Me200C。
24.OHH 2SO 4HNO 325.HCHOHCl26.++ZnCl 2无水CH 3CH=CHCH 2CH 2CHOAg(NH 3)2+OH-27.C CH 3H 3C OHCHON H++H+28.2C 2H 5OH Odry HCl29.+三、有机理论部分(5×5,25%)30按沸点从大到小排列成序,并简要说明理由。
CH 2CH CH 2OH OH OHCH 3CH 2CH 2OH CH 3CH 2CH 2OCH 3CH 2CH CH 2OH OH OCH 3(a)(b)(c)(d)31.按羰基的活性从大到小排列成序,并简要说明理由。
CH 3CH O CH 3CCHOO CH 3CCH 2CH 3O (CH 3)3CCC(CH 3)3O(a)(b)(c)(d)32.解释:为什么化合物无论是进行S N 1还是进行S N 2反应都十分困难?33.写出反应机理CH 2CH 2ClClCH CH 3+(过量)AlCl 3无水34.写出反应机理OO四、有机结构分析部分(4×4,16%)35.用化学方法鉴别化合物C2H5Br CH3O CH2Br C2H5OHA B C36.用化学方法鉴别化合物O OH OHOHA B C D37.根据所给化学式、IR、NMR主要数据,推测化合物的结构C4H8O IR/cm-1: 2970, 2878, 2825, 2718, 1724; NMR: δH: 9.5(三重峰,1H)38.化合物A的分子式为C8H14O。
A可以很快地使溴退色,可以和苯肼发生反应。
A用KMnO4氧化后得到一分子丙酮及另一化合物B;B具有酸性,和次碘酸钠反应生成碘仿和一分子酸,该酸的结构是HOOCCH2CH2COOH。
写出A可能的几个构造式。
五、 有机合成(5×4,20%)39.以苯为原料合成40.以乙烯为原料合成 CH 3CH 2CH 2CH 2OH41.以乙醛为原料合成42.完成转变 CH 3CH=CH 2 CH 3CH 2CH 2CHO六、应用部分(5×2,10%)43.汽油中混有乙醇,设计一个测定其中乙醇含量的化学方法。
COOHNO 2CH 3CH O O CH CH 2CH 2CH 344.正己醇用48%氢溴酸、浓硫酸一起回流2.5h ,反应完后,反应混合物中有正己基溴、正己醇、氢溴酸、硫酸、水。
试提出分离纯化所得到的正己基溴的方法(正己基溴沸点157℃,正己醇沸点156℃)。
《有机化学》第一学期期末试题(B )(考核卤代烃、芳烃、醇酚醚、醛酮、四大光谱)七、命名或写结构(1×9,9%)CH=CHCHO1.CCH 2CH 2OHHC 2.NO 2Et3.4. 3-羟基-5-碘苯乙醛5. 2-乙氧基-2-氯乙醇6. 甲基异丁基酮7. 甘油 8. THF9. TMS八、完成下列化学反应方程式(1×20,20%)CH 2ClNaCN10.CH 2CH 3CH 3Br H H 3C HKOH/EtOH11.12.CH 3(CH 2)6CHO2OCHOconNaOH13.14.(CH 3)3CCCH 3OI 2 NaOH15.CH 2OH+CH 3+16.AlCl 3CH 3C=CH 2CH 3H+17.(C 6H 5)2C CHC 6H5OHOHCH 3(CH 2)3MgBr 2318.ClBrCH 2ONa+19.CH 3CH 2CCH 3OCH 3CH=P(C 6H 5)320.+(CH 3)2CHCHOHCN21.CH 3K 2Cr 2O 7, H 2SO 422.MgBrO (2) H 2O/H+23.+1乙醚(3) H +,OCH 2CH=CHC 6H 5200C。
24.OHNO 2NO 2NO 225.(C 2H 5)2SO 4HCHOHCl26.++冰醋酸CH 3CH=CHCH 2CH 2CHO27.KMnO 4C CH 3OHCHON H++H+28.HOCH 2CH 2CH 2CH 2CHO29.H+九、有机理论部分(5×5,25%)30.按在水中溶解度从大到小排序,并简要说明理由。
CH 2CH 2CH 2CH 2OHOCH 3CH 2CH 2CH 2CH 2OCH 3OCH 3CH 2CH 2CH 2CH 2OHOH CH 2CH CH CH 2OH OH OH OHABCD31.下列化合物,哪些可以和亚硫酸氢钠发生反应?如发生反应,哪一个反应最快?A 苯丁酮B 环戊酮C 丙醛D 二苯酮32.解释:为什么下列反应中主要产物是A ,而B 的量却很少?CH 3CCH 2ClCH 3CH 3C CH 3CH 3CH 2CH 3CH 2C CH 3CH 3CH 3+ABAlCl 3无水+33. 正氯丁烷与NaOH 生成正丁醇的反应,往往加入少量的KI 作催化剂。
试解释KI 的催化作用。
34. 写出反应机理。
CH 3CHOCH 3CHCH 2CHOOHNaOH10%5C。
2四、有机结构分析部分(4×4,16%)35.用化学方法鉴别化合物。
OOHABC36.用红外光谱区分下列异构体。
37.根据所给化学式、IR 、NMR 主要数据,推测化合物的结构。
C 3H 8O IR :3600~3200cm -1 (宽)NMR: δH : 1.1(二重峰,6H ), 3.8(多重峰,1H ), 4.4(二重峰,1H )。
38. 用HIO 4氧化一邻二醇,只得一种氧化产物CH 3COCH 2CH 3。
写出该邻二醇的构造式。
五、有机合成(5×4,20%)39.以苯为原料合成40. 以不超过三个碳的醇为原料合成CH 3CH CH C OHCH 3C C CH 2OHA B COOHO 2NClCH 3CHCH 2CH 2OHCH 341. 从异丁醛以及一个碳的化合物合成42.完成转变六、应用部分(5×2,10%)43.分离并提纯化合物 CH 3(CH 2)3CHO(b.p. 86℃) 和CH 3(CH 2)3CH=CH 2(b.p.80℃)44. 为什么碱对半缩醛 有催化分解作用,而对缩醛 则无上述现象?CH 3CHOC 2H 5OHCH 3CH(OC 2H 5)2ClCH 2CH 2CHO CH 3CHCH 2CH 2CHOOHOOOHCH 3CH 3《有机化学》第一学期期末试题(C )(考核卤代烃、芳烃、醇酚醚、醛酮、四大光谱)命名或写结构(1×9,9%)3.2.O OOHISO 3H1.CH 2CH 2CHCH 2CHCH 2CH 3CH 3O4. γ-甲氧基丁醛5. 反-1-溴-4-碘环己烷6. 2,4-己二炔-1,6-二醇7. 硝化甘油 8. THF9. TMS完成下列化学反应方程式(1×20,20%)C CH 3CH 3CH3Br 10.CH 3BrNaCN11.CHOCH 3COC 2H 5ONa12.+20C。
(CH 3CH 2)3CCHOHCHOOH13.+OI 2/NaOH14.(1)2+(2)C 6H 5CH 2CHCH 2CH 3OH+15.CH 3CH 2COClAlCl 316.+CH 2CH CH CH 2OH OH OH OHmol HIO 417.3CHOMgBr (1) Et 2O2+(2)+18.CH 3I(CH 3)2CHONa+19.CH 3COBrZn(Hg)HCl20.HCN21.CH 3CH 2CHCHOCH 3CH 3SO 3HH 2SO 4, HNO 322.MgBrO(2) H 2O/H +23.+1乙醚(3) H +,OCH 2CH=CHC 6H 5200C。
24.CH 3CH 2CH=CHCH 2BrOHNO 2NO 2O 2N25.(C 2H 5)2SO 4C 6H 5CHO(CH 3CO)2OCH 3COOK26.+CH 3CH=CHCH 2CH 2CHO27.NaBH 4CH 3CH 2CCH 3OCH 3CH=P(C 6H 5)3+28.OH 2NNH C NH 2O+29.有机理论部分(5×5,25%)30. 预测下列三种醇与氢溴酸进行S N 1反应的相对速率,并简单说明理由。
CH 2CH 2OHCHOH CH 3CH 2OH ABC31. 将下列化合物按酸性从大到小排列成序。
ABCO 2NCH 2NO 2CH 3CCH 2CCH 3OO CH 3CH 2CCH 2CCH 2CH 3O O C 6H 5CCH 2CCH 3O O C 6H 5CCH 2CCF 3O ODE32. CH 3CH 2CH=CHCH 2OH与氢溴酸反应,得到下列两种化合物的混合物,请提出一个合理的解释。
A BCH 3CH 2CHCH=CH 2Br33.写出反应机理。
34.在交错的Cannizzaro 反应中,为什么是甲醛被氧化成甲酸?有机结构分析部分(4×4,16%)35. 用简单的化学方法区别下列化合物。
C 2H 5OC 2H 5OHCHCH 3OHABCD36.用红外光谱区分下列异构体。
C O CH 3C O CH 3AB37. 一个未知物分子式为C 2H 4O ,它的红外光谱图中3200~3600cm -1和1600~1800 cm -1处都没有吸收峰,试问上述化合物的结构如何?38. 分子式为C 8H 10O 的化合物A ,能与卢卡斯试剂反应,亦可被KMnO 4氧化,并能吸收1molBr 2,A 经催化加氢得B ,将B 氧化得C ,C 分子式为C 6H 10O ,将B 在加热下与OH OHOH+浓硫酸作用的产物还原可得到环己烷,试推测A可能的结构。