(完整版)大学有机化学试题及答案
- 格式:doc
- 大小:539.01 KB
- 文档页数:16
《有机化学》(上)期末试题一、名词解释(5小题, 每小题2分, 共10分)1.有机物: 。
2.同分异构现象: 。
3.共扼效应: 。
4、亲电试剂: 。
5.自由基: 。
二、命名或写出结构式(10小题, 每小题2分, 共20分)1.CH3CH2 CH2CH(CH2 CH3) CH2 CH2 CH2 CH2CH3。
2. 。
3. 。
4. 。
5.CH3CH(Br)CH2 CH2 CH3 。
6.CH3CH=CHCH2C≡CCH3 。
7、3-甲基己烷。
8、3-甲基-4-乙基-5-丙基壬烷。
9、螺[3·4]辛烷。
10、(Z)-2-丁烯。
三、完成下列反应(10小题, 每小题2.5分, 共25分)1. ()2. ()3、4、5、6、7、()8、9、10、四、推导结构(3小题, 每小题5分, 共15分)1、两个化合物A和B, 分子式都是C7H14, A与KMnO4/H+溶液共热可生成2-甲基丁酸和乙酸, B与Br2/CCl4溶液或KMnO4溶液都不反应, B 分子中含有二级碳原子5子个, 一级和三级碳原子各1个, 试写出A、B 的结构式。
2.化合物甲, 其分子式为C5H10, 能吸收1分子氢, 与KMnO4/H2SO4 作用生成一分子C4酸。
但经臭氧氧化还原水解后得到两个不同的醛, 试推测甲可能的构造式。
这个烯烃有没有顺反异构呢?3.有一炔烃, 分子式为C6H10 , 当它加氢后可生成2-甲基戊烷, 它与硝酸银氨溶液作用生成白色沉淀。
求这一炔烃的构造式。
五、鉴别下列化合物(2小题, 每小题5分, 共10分)1.鉴别丁烯、丁烷、丁炔2.鉴别丁烯、甲基环丙烷、丁烷六、有机合成(2小题, 每小题5分, 共10分)1.由丙烯合成丙醇2.由乙炔合成2-己炔七、反应历程(2小题, 每小题5分, 共10分)1、写出下列反应的历程:CH3CH=CH2+ HBr CH3CH(Br)CH32. 写出下列反应的历程:CH3CH=CH2+ HBr 过氧化物CH3CH2CH2Br《有机化学》(上)期末试题参考答案一、名词解释(5小题, 每小题2分, 共10分)1.有机物: 含有碳元素的化合物。
一、选择题1.乙烷可以发生如下反应:CH3—CH3+Br2^CH3CH2Br+HBr这个反应在有机化学中通常称为()A.裂解反应B.取代反应C.分解反应D.加成反应3•某烷烃的结构为:CH3—CH—CH—CH—C H2下列命名正确的是()CH3C H3C2H5CH3A.1,2-二甲基-3-乙基戊烷B.2,3-二甲基-4-乙基已烷C.4,5-二甲基-3-乙基已烷D.3-乙基-4,5-二甲基已烷4.下列反应属于消去反应的是A.苯与浓硝酸、浓硫酸混合,温度保持在50—60°CB.乙醇与浓硫酸共热,温度保持在170°CC.乙醇与浓硫酸共热,温度保持在140°CD.乙醇、乙酸和浓硫酸共热5.以下物质;(1)甲烷;(2)苯;(3)聚乙烯;(4)苯乙烯(5)2-丁炔;(6)环己烷;(7)邻二甲苯。
既能使KMnO4酸性溶液褪色,又能使溴水因发生化学反应而褪色的是()A、(3)(4)(5)B、(4)(5)(7))C、(4)(5)D、(3)(4)(5)(7)6.在下列物质中,分别加入金属钠,不能产生氢气的是A.蒸馏水B.无水酒精C.苯D.75%的酒精7.苯酚沾在皮肤上,正确的处理方法是()A.酒精洗涤B.65°C以上水洗C.氢氧化钠溶液洗涤D.溴水处理8.下列关于醇的结构叙述中正确的是()A.醇的官能团是羟基(一OH)B.醇的官能团是羟基氢(O—H)C.羟基与烃基碳相连的化合物就是醇D.醇的通式是C n H2n+1OH9.下面列举的是某化合物的组成和性质,以此说明该物质一定是有机化合物的是()A、在氧气中燃烧只生成CO2B、仅由碳、氢、氧三种元素组成C、仅由碳、氢两种元素组成D、熔点低而且难溶于水10.2-氯丙烷可能的构造异构体数目是多少?()A、2B、4C、6D、511.下列化合物进行硝化反应时最容易的是:()A、苯B、硝基苯C、甲苯D、氯苯12.CH3CH2C三CH与CH3CH=CHCH3可用哪种试剂鉴别?()A、硝酸银的氨溶液B、Br2的CCl4溶液C、三氯化铁溶液D、酸性KMnO4溶液C 、2CH 3CH 2OH+O 2Cu u r 2CH 3CHO+2H 2OClCH 2CH=CH 2+NaOH 运》HOCH 2CH=CH 2+NaCl O+眄殴^^O-^2+H2°D 、15.下列关于旋光性的说法正确的是A. 含有手性碳原子的化合物都具有手性B. 不含有手性碳原子的化合物一定没有手性C. 含有一个手性碳原子的化合物一定具有手性13、下列化合物不能被酸性KMnO 4氧化成苯甲酸的是() A 、甲苯B 、乙苯C 、叔丁苯D 、环己基苯 14、下列有机反应中,不属于取代反应的是()B 、16.下列化合物无旋光性的是 COOH一Br —H COOHA.H HCHO —OH —O H CH 2OB-B H. D.CH 2=CHCHCH3OHCH 33HCl17.与NH 2是同一物质的是C H 3N H 2A.Cl —H B H ―ClNH 2•CH 318. 下列物质沸点最高的是 A.3-己醇B.正己烷C.正辛醇 19. 下列物质酸性最强的是C.Cl HCH 3NH 2NH 2 D.H 十CH 3ClD.1,4-丁二醇A.水B.碳酸C.苯甲醇D.邻甲苯酚 20下列物质与卢卡斯试剂反应活性最大的是 A.乙醇B.叔丁醇C.2-丁醇D.正丙醇21.区别3-氯-1-丁烯和3-碘-1-丁烯所用的试是A 、AgNO 3的醇溶液B 、FeCl 3溶液C 、Lucas 试剂D 、溴水 22. 下列物质在水中溶解度最大的是 D.以上都不对A.正丙烷B.异丙基溴C.正丙醇D.丙二醇 23. 区别环己醇和苯酚用下列哪种试剂 A.FeCl 3溶液B.卢卡斯试剂C.格氏试剂D.KMnO 4/H +24.列结构式中,与CH 2OH相同的是(25.在亲电取代反应中,活性最大的是H3CD 、26.某烯烃经臭氧化和水解后生成等物质的量的丙酮和乙醛,则该化合物是 A.(CH 3)2C =C(CH 3)2B.CH 3CH =CHCH 3C.(CH 3)2C =CHCH 3D.(CH 3)2C =C =CH 227.从下列选项中找出哪种分子属于仲卤代烃 A 、HC-CHCHeCH3i23BrB 、CH CH CH ClBrc 、H 3C -C-CH 3CH 3D 、H 2—C HClCl28.区别伯醇、仲醇、叔醇所用的试剂是A 、FeCl 3溶液B 、I 2+NaOH29.化合物F 3C —CH==CH 2与HBr 反应的主要产物是C 、卢卡斯试剂D 、格氏试剂A 、F 3C —CHBr —CH 3B 、F 3C —CH 2—CH 2BrA 、C、OH B、D、) A 、B、CH 3C、Cl CH 3D 、F3C—CHBr==CH2C、F3C—CH==CHBr3O.C5H]o的环烷烃同分异构体数目CCH 3CH 2OHC 仲丁醇DCH 3COCH 3 D 叔丁醇ACH 3COOH BCH 3OCH 3CH 3OHDCH 3COCH 337、 烯烃的通式是38、 A.C n H 2n-2n2n -2烷烃的通式是 B.C n H 2n n2nC.C n H 2n+2n2n+2D.以上都不是 39、 A.C n H 2n-2n2n -2炔烃的通式是B.C n H 2n n2nC.C n H 2n+2n2n+2D.以上都不是A.C n H 2n-2n2n-2B.C n H 2nn2nC.C n H 2n+2n2n+2D.以上都不是C._OHD._Cl 41、A._NOB._CNC._COOHD._Cl1-5BCBBC6-10CAACA 11-15CACBC 16-20CDDBB 21-25ADACD26-30CACAC31-35DBADA36-41ABCAAD二、判断题(本题共10小题, A 、5B 、3C 、4D 、231. 与三氯化铁发生显色反应的化合物A 、乙醇B 、乙醚C 、乙醛D 、苯酚 32、鉴别丙烷和甲基环丙烷常用的试剂是A 高锰酸钾B 溴水C 浓硝酸D 氧气 33、区别丙烯和丙炔所用的试剂是AAgNO 3的氨溶液BFeCl 3溶液C 格氏试剂D 溴水 34、下列化合物属于酮的是 AHCHOBCH 3OCH 3 35、下列化合物沸点最高的是A 正丁醇B 异丁醇 36、下列化合物属于羧酸的是答案每题1分,共10分。
有机化学试题库及答案大学一、选择题(每题2分,共20分)1. 下列哪个化合物属于醇类?A. 甲烷B. 乙醇C. 丙酮D. 乙酸2. 以下哪种反应类型不是有机化学反应?A. 取代反应B. 加成反应C. 氧化反应D. 还原反应3. 以下哪个是芳香族化合物?A. 乙烯B. 乙炔C. 苯D. 环己烷4. 哪个是碳正离子的稳定化因素?A. 甲基B. 羟基C. 羧基D. 卤素5. 以下哪个化合物是烯烃?A. 甲烷B. 乙炔C. 乙烯D. 乙烷6. 哪个是碳碳双键的共轭效应?A. 碳正离子B. 碳负离子C. 碳自由基D. 碳自由基7. 以下哪种反应是消除反应?A. 卤代烃与氢氧化钠共热B. 醇与浓硫酸共热C. 酯化反应D. 水解反应8. 以下哪个是酯化反应?A. 醇与酸反应生成酯和水B. 醇与卤化氢反应生成卤代烃C. 醇与醇反应生成醚D. 醇与氢氧化钠反应生成醇钠9. 以下哪个是有机化合物的命名原则?A. 按照化学式命名B. 按照发现的先后顺序命名C. 按照功能团的优先级命名D. 按照颜色命名10. 以下哪个是有机化合物的同分异构体?A. 乙醇和甲醇B. 乙醇和乙醚C. 乙醇和丁醇D. 乙醇和丙醇答案:1. B 2. C 3. C 4. A 5. C 6. D 7. A 8. A 9. C 10. B二、填空题(每空2分,共20分)11. 有机化学中的“碳链异构”是指具有相同分子式但________不同的化合物。
12. 芳香族化合物的特征是含有________环。
13. 取代反应是指有机分子中的________原子或原子团被其他原子或原子团所替换。
14. 碳正离子的稳定性可以通过________来增加。
15. 碳碳双键的共轭效应可以增强分子的________。
答案:11. 结构 12. 苯 13. 一个 14. 甲基 15. 稳定性三、简答题(每题10分,共30分)16. 描述什么是亲核取代反应,并给出一个例子。
有机化学大学试题及答案一、选择题(每题2分,共20分)1. 下列化合物中,属于烯烃的是:A. 甲烷B. 乙醇C. 丙烯D. 乙酸答案:C2. 芳香烃的典型结构特征是:A. 碳碳单键B. 碳碳双键C. 碳碳三键D. 碳碳单双键交替答案:D3. 烷烃的通式为:A. CnH2n-2B. CnH2nC. CnH2n+2D. CnH2n-6答案:B4. 以下哪种反应是取代反应?A. 加成反应B. 消去反应C. 酯化反应D. 还原反应答案:C5. 碳原子的杂化轨道类型为sp^3的分子是:A. 乙烯B. 乙炔C. 甲烷D. 苯答案:C6. 以下化合物中,具有顺反异构体的是:A. 环己烷B. 环戊烷C. 环己烯D. 环戊烯答案:C7. 以下哪种化合物是酸性最强的?A. 甲酸B. 乙酸C. 丙酸D. 丁酸答案:A8. 以下哪种化合物是极性分子?A. 甲烷B. 乙烯C. 乙炔D. 二氧化碳答案:D9. 以下哪种化合物是芳香烃?A. 苯B. 环己烷C. 环己烯D. 环戊烷答案:A10. 以下哪种反应是消除反应?A. 卤代烃的水解B. 醇的氧化C. 卤代烃的消去D. 酯的水解答案:C二、填空题(每空1分,共20分)1. 有机化合物中,碳原子的价电子数为______。
答案:42. 乙醛的分子式为______。
答案:C2H4O3. 乙醇的官能团是______。
答案:羟基4. 芳香烃中,苯环上的碳碳键是______。
答案:单双键交替5. 烷烃的命名规则中,最长碳链的名称是______。
答案:甲烷6. 烯烃的命名规则中,双键的位置用______表示。
答案:数字7. 炔烃的命名规则中,三键的位置用______表示。
答案:数字8. 酯化反应是醇和______反应生成酯和水的过程。
答案:酸9. 有机化合物的溶解性规律是______。
答案:相似相溶10. 有机化合物的极性与______有关。
答案:分子结构三、简答题(每题10分,共30分)1. 简述什么是官能团,并给出两个例子。
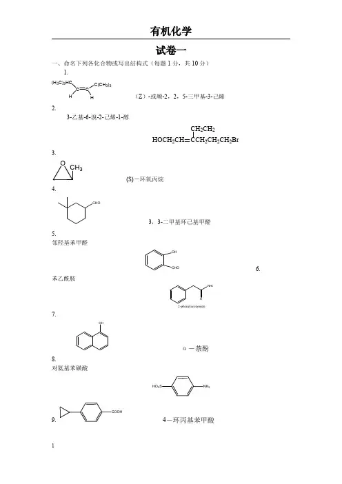
试卷一一、命名下列各化合物或写出结构式(每题1分,共10分)1.C CH C(CH3)3(H3C)2HCH(Z)-或顺-2,2,5-三甲基-3-己烯2.3-乙基-6-溴-2-己烯-1-醇HOCH2CH CCH2CH2CH2BrCH2CH23.OCH3(S)-环氧丙烷4.CHO3,3-二甲基环己基甲醛5.邻羟基苯甲醛OHCHO 6.苯乙酰胺ONH22-phenylacetamide7.OHα-萘酚8.对氨基苯磺酸NH2HO3S9.COOH4-环丙基苯甲酸10.甲基叔丁基醚O二.试填入主要原料,试剂或产物(必要时,指出立体结构),完成下列各反应式。
(每空2分,共48分)1.CH CH 2ClCHBrKCN/EtOH 答BrCN2.答3.答4.+CO 2CH 3答CO 2CH35.1, B 2H 62, H 2O 2, OH -1, Hg(OAc)2,H 2O-THF 2, NaBH 4答OH OH(上面)(下面)6.OO OO O答NH 2NH 2, NaOH,(HOCH 2CH 2)2O7.CH 2ClClNaOH H 2OCH 2OHCl+C 12高温高压、O 3H 2O Zn 粉①②CH = CH 2CH 3COCH 3H 2O ①②HBrMg 醚H+CH 3COC1OHCCHCH 2CH 2CH 2CHO C1C1;OBr OHCHCH 3CH 3CHMgBr CH 3CHC(CH 3)2CH 3O ;;CH 3CH C CH 3C CH 3;8.ClCH 3+H 2OOH -SN 1历程答CH 3OH+CH 3OH 9.C 2H 5ONaOCH 3O+ CH 2=CHCCH3O C 2H 5ONa答OO CH 3CH 2CH 2C CH 3OOCH3O10.BrBrZnEtOH答11.C O CH 3+Cl 2H +答COCH 2Cl12.CH 3NH 2Fe,HClH 2SO 4HNO 3CH 3NO 2CH 3(CH 3CO)2OCH 3NHCOCH 3CH 3NHCOCH 3BrBr 2NaOHCH 3NH 2Br H 2SO 4NaNO 2H 3PO 2CH 3Br (2)三.选择题。
大学有机化学真题及答案Modified by JEEP on December 26th, 2020.适用专业:无机化学、分析化学、有机化学、物理化学1. 氯甲酸异丁酯2. 对甲苯磺酰氯3. 间氯过氧苯甲酸4. 四丁基溴化铵5. (E )- 2,3-二甲基-1-苯基-1-戊烯6. 1,7,7-三甲基-双环[2.2.1]庚-2-酮7. (S )-苯丙氨酸(费舍尔投影式) 8. (S, S )- 2,3-二羟基丁二酸(费舍尔投影式)9.OCH 3O10.CHO OCH 3NO 211.N N12.NH 2ONH13.14. 15. HCOOHOH CH 2CH 316.1. 下列化合物中含有sp 2杂化轨道的碳原子的化合物为( )2. 下列化合物中,不能跟乙炔钠反应的是( )A. CH 3CH 2CH 2BrB. CH 3CH 2OCH 2CH 3C. CH 3CH 2OHD. CH 3COCH 3 3. 二氯丙烷可能的构造异构体数目是多少( ) C. 5 D. 64. 下列物质中碱性由强到弱的排列顺序是( )(1)氢氧化钠 (2)乙醇钠 (3)苯酚钠 (4)叔丁醇钠 A. (1)(2)(3)(4) B. (1)(4)(2)(3) C. (1)(2)(4)(3) D. (4)(2)(1)(3) 5. 下列试剂中,亲核性最强的是( )A. 苯硫酚钠B. 苯酚钠C. 对甲氧基苯硫酚钠D. 对甲氧基苯酚钠一、命名或写出化合物的结构式(如有立体异构体请注明R/S ,E/Z 等)(本大题共16小题,13-16题每小题2分,其它每小题1分,共20分) 二、单项选择题(本大题共15小题,每小题2分,共30分) A . CH 3CH 3 B . CH 3CH 2OH C . CH 3CHO ≡CH CH 36. 2,5-二甲基环戊烷甲酸总共有多少种立体化学异构体( ) A . 2 B . 4 C . 5 D . 67. 下列化合物最容易与水反应的是( ) A. 乙酸酐 B. 乙酸乙酯 C. 乙酰胺 D. 乙酰氯 8. 以下化合物碱性最弱的是( ) A.NHB.NC.NH 2D.O 2N NH 29. 下列化合物,互为对映体的是( )A. CH 3H OH HBr 3和 BrH CH 3HOH 3B. COOH H Br H Br HBr COOH和COOHBr H Br H BrH COOHC.3和3D.BrHC 2H 5HCH 3 和HBrCH 3HC 2H 510. 对苯二甲酸二乙酯的核磁共振1H 谱有几组峰化学位移由底到高的信号峰的面积比为多少 ( )A . 4 组;3:2:1:1B . 4 组;3:1:1:2C . 3 组;3:2:2D . 3 组;2:3:211. 下列化合物构型为R 的是( )A. CH 2OCH 3CH 2OH HO HB. CH 2Cl 2C. H OHCH 2OH CH 3 D. CH 3COOH H NH 212. 以下化合物在相同的碱性条件下,水解速度由大到小排列的顺序是( ) (1)对硝基苯甲酸甲酯 (2)苯甲酸甲酯 (3)间硝基苯甲酸甲酯 (4)对甲基苯甲酸甲酯 A. (2)(4)(1)(3) B. (1)(3)(2)(4) C. (3)(1)(2)(4) D. (4)(2)(1)(3) 13. 反-2-丁烯与溴加成得到的产物为( )A . 内消旋体 B. 非对映体 C. 外消旋体 D. 构造异构体 14. 下列有机物进行硝化反应的活性最大的是( ) A . 氯苯 B. 甲苯 C. 苯甲醚 D. 苯甲醛 15. 倍半萜天然产物分子一般含有的碳原子数为( ) A . 5个 B. 10个 C. 15个 D. 20个三、完成下列反应(本大题共14小题,19问,每问2分,共38分) 1. CH 3CH CHCH 1) O 32?2.?HCl3. HNBrK 2CO 3?4. 氢溴酸?5.OZn (Hg ) 浓HCl? 6.OCHOCH 2(CO 2Et)+六氢吡啶?7.COOEtCOOEt ??8.OCOCH -??9. CH 3CHO + 4HCHO-?10. PhCHO +(CH 3CO)2O?11.H +N OH?12.O22+?13. (CH 2)2CO 2H2332NaH???14.BH 3??四、 化合物的鉴别或分离(本大题共2小题,共10分,请用流程线表示)1. 鉴别正丁炔、正丁醇、正丁醚、正丁醛、正丁酸及正丁胺。
大一有机化学试题及答案一、选择题(每题2分,共20分)1. 下列化合物中,属于醇类的是:A. CH3COOHB. CH3CH2OHC. CH3CH2CH3D. CH3CH2NH2答案:B2. 以下哪种反应是取代反应?A. 加成反应B. 消去反应C. 酯化反应D. 还原反应答案:C3. 以下化合物中,哪个是芳香烃?A. 环己烷B. 苯C. 环戊烷D. 环丁烷答案:B4. 下列哪个是烯烃的命名?A. 1-丁烯B. 2-丁烯C. 2-甲基丙烷D. 2-甲基丁烷答案:A5. 以下哪种反应是氧化反应?A. 燃烧B. 还原C. 加成D. 酯化答案:A6. 以下化合物中,哪个是酮?A. CH3COCH3B. CH3CH2OHC. CH3CH2CHOD. CH3CH2COOH答案:A7. 以下哪种反应是消除反应?A. 酯化反应B. 还原反应C. 水解反应D. 消去反应答案:D8. 以下化合物中,哪个是醛?A. CH3CHOB. CH3CH2OHC. CH3CH2COOHD. CH3CH2CH3答案:A9. 下列哪个是羧酸?A. CH3COOHB. CH3CH2OHC. CH3CH2CH3D. CH3CH2NH2答案:A10. 以下哪种反应是还原反应?A. 氧化B. 还原C. 加成D. 酯化答案:B二、填空题(每题2分,共20分)1. 乙醇的化学式是______。
答案:C2H5OH2. 芳香烃的特点是含有______个碳原子的环状结构。
答案:63. 烯烃的命名规则是将双键放在______号位。
答案:14. 酮类化合物的特点是含有______基团。
答案:C=O5. 醛类化合物的特点是含有______基团。
答案:-CHO6. 羧酸的化学式一般为______。
答案:RCOOH7. 酯化反应的一般反应式为______。
答案:酸 + 醇→ 酯 + 水8. 消去反应的特点是生成______。
答案:烯烃9. 取代反应的特点是生成______。
大学有机化学试题及答案一、选择题(每题2分,共20分)1. 下列化合物中,哪一个是芳香烃?A. 环己烷B. 苯C. 环戊烷D. 环己烯答案:B2. 以下哪个反应是亲核取代反应?A. Friedel-Crafts反应B. 羟醛缩合C. 酯化反应D. 威廉姆森醚合成答案:A3. 以下哪个化合物是手性分子?A. 乙醇B. 丙醇C. 异丙醇D. 正丁醇答案:C4. 下列哪种反应类型属于消除反应?A. SN1反应B. SN2反应C. E1反应D. E2反应答案:D5. 以下哪个化合物是烯烃?A. 环己烷B. 环戊烷C. 环己烯D. 环戊二烯答案:C6. 以下哪个化合物是炔烃?A. 乙炔B. 丙炔C. 丁炔D. 所有以上答案:D7. 以下哪个化合物是芳香胺?A. 苯胺B. 甲苯胺C. 乙苯胺D. 所有以上答案:D8. 以下哪个化合物是酮?A. 丙酮B. 丁酮C. 环己酮D. 所有以上答案:D9. 以下哪个化合物是醛?A. 甲醛B. 乙醛C. 丙醛D. 所有以上答案:D10. 以下哪个化合物是酯?A. 乙酸乙酯B. 乙酸丙酯C. 乙酸丁酯D. 所有以上答案:D二、填空题(每题2分,共20分)1. 芳香族化合物的特征是含有一个或多个______环。
答案:苯2. 亲核取代反应中,亲核试剂攻击底物的______原子。
答案:碳3. 手性分子是指不能与其镜像完全重叠的______分子。
答案:有机4. 消除反应中,两个相邻的原子或基团被______。
答案:移除5. 烯烃是含有一个______键的化合物。
答案:碳-碳双6. 炔烃是含有一个______键的化合物。
答案:碳-碳三7. 芳香胺是指含有苯环和氨基的______化合物。
答案:有机8. 酮是指含有一个______氧原子的化合物。
答案:羰基9. 醛是指含有一个______氧原子的化合物。
答案:羰基10. 酯是由羧酸和醇反应生成的含有______基的化合物。
答案:酯基三、简答题(每题10分,共30分)1. 描述SN1和SN2反应机制的主要区别。
大学有机考试试题及答案一、选择题(每题2分,共20分)1. 下列化合物中,哪一个是醇?A. CH3CH2OHB. CH3CH2OCH3C. CH3COOHD. CH3CH2CHO答案:A2. 以下哪个反应是亲核取代反应?A. 卤代烃的水解B. 醇的脱水C. 烯烃的加成D. 酯的水解答案:A3. 羧酸和醇反应生成什么?A. 酮B. 醛C. 酯D. 醚答案:C4. 以下哪种化合物属于芳香烃?A. 环己烷B. 苯C. 环戊烷D. 环己烯答案:B5. 以下哪种反应是消除反应?A. 醇的氧化B. 醇的脱水C. 酯的水解D. 醛的还原答案:B6. 以下哪种化合物是烯烃?A. CH3CH2CH3B. CH3CH=CH2C. CH3CH2OHD. CH3COOH答案:B7. 以下哪种化合物是羧酸?A. CH3CH2CH2COOHB. CH3CH2CH2OHC. CH3CH2CH2CHOD. CH3CH2CH2COCH3答案:A8. 以下哪种化合物是酮?A. CH3COCH3B. CH3CH2COCH3C. CH3CH2CH2OHD. CH3CH2CH2CHO答案:A9. 以下哪种化合物是醛?A. CH3CHOB. CH3CH2CH2OHC. CH3CH2CH2CHOD. CH3CH2CH2COCH3答案:A10. 以下哪种化合物是醚?A. CH3CH2OCH3B. CH3CH2CH2OHC. CH3CH2CH2CHOD. CH3CH2CH2COCH3答案:A二、填空题(每题2分,共20分)1. 醇和羧酸反应生成的化合物是______。
答案:酯2. 芳香烃的典型代表是______。
答案:苯3. 烯烃的通式是______。
答案:CnH2n4. 羧酸的官能团是______。
答案:-COOH5. 酮的官能团是______。
答案:-CO-6. 醛的官能团是______。
答案:-CHO7. 醚的官能团是______。
答案:-O-8. 消除反应的结果是生成______。
大学有机化学试题及答案第一部分:选择题1. 下列化合物中属于醇的是:A. 丙酮B. 乙醛C. 甲醇D. 乙烯答案:C2. 下列化合物中具有酸性的是:A. 乙醇B. 甲烷C. 甲酸D. 乙醚答案:C3. 以下反应中,不能发生求核试剂进攻反应的是:A. 乙醛和氨水反应B. 丙酮和氨水反应C. 甲酮和氨水反应D. 乙酮和氨水反应答案:D第二部分:填空题1. 甲烷的分子式为_______。
答案:CH₄2. 乙醇的结构式中含有_______键。
答案:C-OH3. 甲苯是苯甲烷的一种________。
答案:同分异构体第三部分:判断题1. 醇可以与酸发生酯化反应。
答案:正确2. 醚的结构中含有碳、氧、氢元素。
答案:正确3. 极性溶剂中有机化合物的溶解度通常较小。
答案:错误第四部分:简答题1. 请简述醛的命名规则。
答案:醛通过将对应的烷烃末端的一个氢原子替换为羰基(-CHO)来命名。
在命名时,需要确定羰基所在的位置,并以醛作为后缀。
例如,甲醛(CH₃CHO)的命名中,甲表示羰基所连接的碳原子的位置。
2. 解释一下酯的制备方法。
答案:酯的制备主要是通过醇与酸发生酯化反应来实现的。
在反应中,酸酐或酸与醇在酸性条件下进行反应,生成酯和水。
该反应需要催化剂存在,常见的催化剂有硫酸或盐酸等。
酯的制备方法也可以通过酸催化下的醇缩聚来实现。
第五部分:解答题1. 请结合反应机理,详细解释醇与碱的反应机制。
答案:醇与碱发生反应可以得到醇盐,具体反应机制如下:首先,碱与醇中的羟基发生质子化反应,生成氢氧根离子(OH-)和正离子形式的醇。
接着,氢氧根离子与正离子相互结合,形成醇盐。
该反应可以通过控制反应体系的酸碱平衡来进行。
2. 请解释一下酚的性质及其在有机化学中的应用。
答案:酚是一种含有苯环的有机化合物,具有羟基(-OH)官能团。
酚具有酸碱性,能够与碱和金属形成盐,并且能够发生酯化、取代等反应。
在有机化学中,酚广泛应用于合成化学反应、药物合成和涂料工业等领域。
大学有机化学试题及答案一、选择题(每题2分,共20分)1. 下列化合物中,哪一个是芳香烃?A. 环己烷B. 环戊二烯C. 苯D. 环己烯答案:C2. 羧酸的酸性比醇强,是因为:A. 羧酸分子中的氧原子电负性更强B. 羧酸分子中的氢原子更易离去C. 羧酸分子中的羧基更稳定D. 羧酸分子中的碳原子更易被氧化答案:C3. 下列反应中,哪一个是亲核取代反应?A. 酯化反应B. 卤代烃的水解C. 酯的水解D. 酯的醇解答案:B4. 醇的脱水反应中,生成的主要产物是:A. 烯烃B. 醚C. 醛D. 酮5. 烯烃的加成反应中,使用催化剂时,产物的立体化学是:A. 外消旋B. 顺式C. 反式D. 无规则答案:C6. 下列化合物中,哪一个是手性分子?A. 乙醇B. 2-丁醇C. 2-甲基-1-丙醇D. 2-甲基-2-丙醇答案:D7. 烷烃的卤代反应中,主要产物是:A. 单卤代物B. 多卤代物C. 卤化氢D. 卤化烷答案:A8. 芳香族化合物的亲电取代反应中,取代基团进入的位置是:A. 邻位B. 对位C. 间位D. 任意位置答案:B9. 下列化合物中,哪一个是酸性最强的?B. 乙酸C. 丙酸D. 丁酸答案:A10. 酯化反应中,催化剂是:A. 硫酸B. 盐酸C. 氢氧化钠D. 碳酸钠答案:A二、填空题(每题2分,共20分)1. 甲烷的分子式是______。
答案:CH42. 芳香烃的典型代表是______。
答案:苯3. 羧酸的官能团是______。
答案:羧基4. 醇的脱水反应生成的化合物是______。
答案:烯烃5. 烯烃的加成反应中,使用催化剂时,产物的立体化学是______。
答案:反式6. 手性分子是指______。
答案:不能与它的镜像重叠的分子7. 烷烃的卤代反应中,主要产物是______。
答案:单卤代物8. 芳香族化合物的亲电取代反应中,取代基团进入的位置是______。
答案:对位9. 酸性最强的羧酸是______。
大学有机化学试题及答案pdf一、选择题(每题2分,共20分)1. 下列哪个化合物不是芳香化合物?A. 苯B. 甲苯C. 环己烷D. 萘2. 碳正离子的稳定性顺序是?A. 3° > 2° > 1°B. 1° > 2° > 3°C. 2° > 3° > 1°D. 3° = 2° = 1°3. 以下哪个反应是亲电加成反应?A. 卤代烃的水解B. 烯烃与溴水反应C. 醇的脱水D. 羧酸与醇的酯化4. 哪个反应是消除反应?A. 醇的氧化B. 醇的脱水C. 醛的还原D. 酯的水解5. 以下哪个是立体异构体?A. 1-丁醇和2-丁醇B. 1,2-二氯乙烷C. 1,1,2-三氯乙烷D. 1,1,1-三氯乙烷...(此处省略其他选择题)二、简答题(每题10分,共20分)1. 简述SN1和SN2反应的区别。
2. 解释什么是共振结构,并给出一个例子。
三、计算题(每题15分,共30分)1. 某化合物的分子式为C3H6O,已知其红外光谱显示有羰基吸收峰,请写出可能的结构式,并计算其分子量。
2. 给定一个醇的分子式C2H6O,如果它发生脱水反应生成一个烯烃,请计算该烯烃的分子式。
四、合成题(每题15分,共15分)1. 给出从苯合成硝基苯的合成路径,并说明每一步反应的条件和机理。
五、实验题(每题15分,共15分)1. 描述如何通过实验鉴别1-丁醇和2-丁醇。
结束语本试题涵盖了大学有机化学的基础知识和应用,旨在检验学生对有机化学概念、反应机理、合成策略以及实验技能的掌握程度。
希望同学们能够通过本试题,加深对有机化学的理解,提高解决实际问题的能力。
答案一、选择题1. C2. A3. B4. B5. D二、简答题1. SN1反应是单分子亲核取代反应,反应速率只与底物浓度有关,而SN2反应是双分子亲核取代反应,反应速率与底物和亲核试剂的浓度都有关。
试卷一一、命名下列各化合物或写出结构式(每题1分,共10分)1.C H C(CH3)3(H3C)2HCH(Z)-或顺-2,2,5-三甲基-3-己烯2.3-乙基-6-溴-2-己烯-1-醇HOCH2CH CCH2CH2CH2BrCH2CH23.OCH3(S)-环氧丙烷4.CHO3,3-二甲基环己基甲醛5.邻羟基苯甲醛OHCHO 6. 苯乙酰胺ONH22-phenylacetamide7.OHα-萘酚8.对氨基苯磺酸NH2HO3S9. COOH4-环丙基苯甲酸10.甲基叔丁基醚O二. 试填入主要原料,试剂或产物(必要时,指出立体结构),完成下列各反应式。
(每空2分,共48分) 1.CH CH 2ClCHBrKCN/EtOH答BrCN2.答 3.答 4.+CO 2CH 3答CO 2CH 35.1, B 2H 62, H 2O 2, OH -1, Hg(OAc)2,H 2O-THF 2, NaBH 4答OH OH(上面)(下面)6.OOOOO答 NH 2NH 2, NaOH,(HOCH 2CH 2)2O7.CH 2ClClNaOH H 2OCH 2OHCl+C12高温高压、O 3H 2O Zn 粉①②CH = C H 2CH 3COCH 3H 2O ①②HBrMg 醚H+CH 3COC1OHCCHCH 2CH 2CH 2CHO C1C1;8.3+H2O-SN1历程答3+39.C2H5ONaOCH3O+ CH2=CH C CH3O答OOCH3CH2CH2CCH3OCH3O10.BrBrZnEtOH答11.COCH3+Cl2H+答COCH2Cl12.2H2SO43CH3NO2CH3(CH CO)OCH3NHCOCH3CH3NHCOCH3BrBrNaOHCH3NH2Br24NaNO H POCH3Br(2)三. 选择题。
(每题2分,共14分)1、与NaOH水溶液的反应活性最强的是( A )(A). CH3CH2COCH2Br (B). CH3CH2CHCH2Br (C). (CH3)3CH2Br (D). CH3(CH2)2CH2BrCH32. 对CH3Br进行亲核取代时,以下离子亲核性最强的是:(B )(A). CH3COO-(B). CH3CH2O-(C). C6H5O-(D). OH-3. 下列化合物中酸性最强的是( D )(A) CH 3CCH (B) H 2O (C) CH 3CH 2OH (D) p-O 2NC 6H 4OH(E) C 6H 5OH (F) p-CH 3C 6H 4OH 4. 下列化合物具有旋光活性得是:( A )COOHOHH OH COOHHA,CH 3CH 3B,C, (2R, 3S, 4S)-2,4-二氯-3-戊醇5. 下列化合物不发生碘仿反应的是( C ) C 6H 5COCH 3 B 、C 2H 5OHC 、 CH 3CH 2COCH 2CH 3D 、CH 3COCH 2CH 3 6. 与HNO 2作用没有N 2生成的是( C )A 、H 2NCONH 2B 、CH 3CH (NH 2)COOHC 、C 6H 5NHCH 3D 、C 6H 5NH 2 7. 能与托伦试剂反应产生银镜的是( D )CCl 3COOH B 、CH 3COOH C 、 CH 2ClCOOH D 、HCOOH 四、鉴别下列化合物(共6分)苯胺、苄胺、苄醇和苄溴五、从指定的原料合成下列化合物。
大学有机化学试题及答案一、选择题(每题2分,共20分)1. 下列化合物中,哪一个是芳香烃?A. 甲烷B. 乙炔C. 苯D. 乙醇答案:C2. 有机化合物中,碳原子的杂化方式有几种?A. 1种B. 2种C. 3种D. 4种答案:C3. 以下哪个反应是亲核取代反应?A. 酯化反应B. 还原反应C. 消除反应D. 卤代反应答案:D4. 以下化合物中,哪一个不属于烯烃?A. 乙烯B. 丙烯C. 环己烯D. 环己烷5. 以下哪种催化剂可以用于石油裂化?A. 铂B. 镍C. 钯D. 铁答案:D6. 以下哪种化合物是手性分子?A. 乙醇B. 甲烷C. 丙烷D. 2-丁醇答案:D7. 以下哪种反应是自由基反应?A. 酯化反应B. 还原反应C. 消除反应D. 聚合反应答案:C8. 以下哪种化合物是芳香烃?A. 环己烷B. 环己烯C. 环己二烯D. 苯答案:D9. 以下哪种化合物是醛?B. 乙醛C. 丙酮D. 丙醇答案:B10. 以下哪种化合物是酮?A. 丙酮B. 丙醛C. 丙酸D. 丙醇答案:A二、填空题(每空1分,共20分)1. 有机化学中,碳原子可以形成______种杂化轨道。
答案:32. 芳香烃的典型代表是______。
答案:苯3. 亲核取代反应中,亲核试剂是______。
答案:带负电的原子或基团4. 烯烃的通式为______。
答案:CnH2n5. 有机化合物中,碳原子最多可以形成______个共价键。
答案:46. 手性分子是指具有______的分子。
答案:非超posable镜像异构体7. 石油裂化反应中,催化剂的作用是______。
答案:降低反应活化能8. 环己烷的分子式为______。
答案:C6H129. 醛的特征官能团是______。
答案:-CHO10. 酮的特征官能团是______。
答案:-CO-三、简答题(每题10分,共30分)1. 简述亲核取代反应和亲电取代反应的区别。
答案:亲核取代反应中,亲核试剂攻击底物的电性正的中心原子,而亲电取代反应中,亲电试剂攻击底物的电性负的中心原子。
一 . 命名下列各化合物或写出结构式(每题 1 分,共 10 分)1.(H3C)2HCC(CH 3 )3C CH H2.3-乙基-6-溴-2-己烯-1-醇3.O 4.5. CH 3 CHO邻羟基苯甲醛6.苯乙酰胺7.OH8.对氨基苯磺酸9.COOH10.甲基叔丁基醚二. 试填入主要原料,试剂或产物(必要时,指出立体结构),完成下列各反应式。
(每空 2 分,共 48 分)1.CH CHBrKCN/EtOHCH2Cl2.高温 、高压①O3+ C12② H 2O Zn 粉3.HBrMgCH = C H 2醚CH 3COC14.+CO 2CH 35.1, B 2H 62, H 2O 2, OH -1, Hg(OAc) 2 ,H 2 O-THF 2, NaBH 46.OOOOO7.CH 2ClNaOH H 2O Cl8.CH 3+ H 2 O OH -SN1 历程Cl+9.OCH 3 O C 2 H 5 ONa+ CH 2=CH C 2 H 5 ONaC CH 3O10.① CH 3COCH 3② H 2O H +BrBrZnEtOH11.OH+C CH 3 + Cl 212.CH 3HNO 3Fe,HCl(CH 3CO) 2O( 2)H 2SO 4Br 2NaOHNaNO 2 H 3 PO 2H 2SO 4三 . 选择题。
(每题 2 分,共 14 分)1. 与 NaOH 水溶液的反应活性最强的是()(A). CH 3CH 2COCH 2Br (B). CH 3CH 2CHCH 2Br (C). (CH 3 )3CH 2Br (D). CH 3(CH 2)2CH 2BrCH 32. 对 CH 3Br 进行亲核取代时,以下离子亲核性最强的是: ( )(A). CH 3COO - (B). CH 3CH 2O - (C). C 6H 5O - (D). OH -3. 下列化合物中酸性最强的是()(A) CH 3CCH(B) H 2O (C) CH 3CH 2OH (D) p-O 2NC 6H 4OH(E) C H OH(F) p-CH C H OH6 53 6 44. 下列化合物具有旋光活性得是: ()COOHA,HOHCH 3B, HCOOHOHCH 3C, (2R, 3S, 4S)-2,4- 二氯 -3- 戊醇5. 下列化合物不发生碘仿反应的是 ( ) A 、 C 6 5 3、2 5H COCH3B C H OHC 、 CH 3 22D 、 32 3CHCOCHCH CHCOCHCH6. 与 HNO 2作用没有 2 生成的是( )A 、H 22 NB 3 2NCONH、CHCH ( NH )COOHC 、C 6 53 D6 52H NHCH、C H NH7. 能与托伦试剂反应产生银镜的是 ( )A 、 CCl 3COOH B、 3C 、 CH CHCOOHClCOOHD、 HCOOH2四 . 鉴别下列化合物(共 6 分)苯胺、苄胺、苄醇和苄溴五 . 从指定的原料合成下列化合物。
有机化学测试卷(A)一.命名下列各化合物或写出结构式(每题1分,共10分)1.C CH C(CH3)3(H3C)2HCH2.3-乙基-6-溴-2-己烯-1-醇3.OCH34.CHO5.邻羟基苯甲醛6.苯乙酰胺7.OH8.对氨基苯磺酸9.COOH10.甲基叔丁基醚二. 试填入主要原料,试剂或产物(必要时,指出立体结构),完成下列各反应式。
(每空2分,共48分)1.CH CH2ClCHBrKCN/EtOH2.3.4.+CO2CH35.46.OOOO 7.CH2ClCl8.3+H2O-SN1历程+ 9.C2H5ONaOCH3O+ CH2=CH C CH3O10.+C12高温高压、CH = C H2HBrMgCH3COC1BrBrZn EtOH11.C O CH 3+Cl 2H +12.Fe,HClH 2SO 43CH 3(CH3CO)2O2NaOH24NaNO H PO (2)三. 选择题。
(每题2分,共14分)1. 与NaOH 水溶液的反应活性最强的是( )(A). CH 3CH 2COCH 2Br (B). CH 3CH 2CHCH 2Br (C). (CH 3)3CH 2Br (D). CH 3(CH 2)2CH 2Br32. 对CH 3Br 进行亲核取代时,以下离子亲核性最强的是:( )(A). CH 3COO - (B). CH 3CH 2O - (C). C 6H 5O - (D). OH -3. 下列化合物中酸性最强的是( )(A) CH 3CCH (B) H 2O (C) CH 3CH 2OH (D) p-O 2NC 6H 4OH(E) C 6H 5OH (F) p-CH 3C 6H 4OH4. 下列化合物具有旋光活性得是:( )A,CH 3CH 3B,C, (2R, 3S, 4S)-2,4-二氯-3-戊醇5. 下列化合物不发生碘仿反应的是( )A 、 C 6H 5COCH 3B 、C 2H 5OH C 、 CH 3CH 2COCH 2CH 3D 、CH 3COCH 2CH 36. 与HNO2作用没有N2生成的是( )A、H2NCONH2B、CH3CH(NH2)COOHC、C6H5NHCH3D、C6H5NH27. 能与托伦试剂反应产生银镜的是( )A、CCl3COOHB、CH3COOHC、 CH2ClCOOHD、HCOOH四.鉴别下列化合物(共6分)苯胺、苄胺、苄醇和苄溴五.从指定的原料合成下列化合物。
大学有机化学试题及答案一、选择题(每题2分,共20分)1. 下列化合物中,哪一个是芳香化合物?A. 乙醇B. 丙酮C. 苯D. 环己烷答案:C2. 乙烷的二氯代物有几种?A. 1种B. 2种C. 3种D. 4种答案:B3. 以下哪个反应是亲电加成反应?A. 酯化反应B. 卤代反应C. 氧化反应D. 还原反应答案:B4. 以下哪个化合物是手性分子?A. 乙醇C. 乳酸D. 乙酸答案:C5. 以下哪种反应类型是消除反应?A. 酯化B. 卤代C. 羟醛缩合D. 脱卤化氢答案:D6. 以下哪种反应是自由基反应?A. 酯化B. 卤代C. 氧化D. 聚合答案:D7. 以下哪种化合物具有顺反异构?A. 环己烷B. 环己烯C. 环己醇D. 环己酮答案:B8. 以下哪种化合物是酸性最强的?B. 乙酸C. 甲酸D. 甲酸甲酯答案:C9. 以下哪种化合物是酮类化合物?A. 丙酮B. 丙醛C. 丙酸D. 丙醇答案:A10. 以下哪种化合物是醛类化合物?A. 甲醛B. 乙醛C. 丙酮D. 丙酸答案:B二、填空题(每题2分,共20分)1. 有机化学中,碳原子的四个价电子可以形成______个共价键。
答案:42. 芳香化合物的典型结构特征是含有______个连续的双键。
答案:63. 亲电加成反应中,亲电试剂通常是______。
答案:电子受体4. 手性分子是指分子中的一个原子与四个不同的原子或原子团相连,这种分子的______是不同的。
答案:镜像异构体5. 消除反应通常发生在______化合物上。
答案:醇6. 亲电加成反应中,亲电试剂通常是______。
答案:电子受体7. 自由基反应中,反应的中间体是______。
答案:自由基8. 顺反异构体是指分子中双键两侧的原子或原子团的______不同。
答案:空间排列9. 酮类化合物的官能团是______。
答案:羰基10. 醛类化合物的官能团是______。
答案:醛基三、简答题(每题10分,共30分)1. 简述芳香化合物的稳定性来源。
简单题目1.用括号内的试剂和方法除去下列各物质的少量杂质,不正确的是A、苯中含有苯酚(浓溴水,过滤)B、乙酸钠中含有碳酸钠(乙酸、蒸发)C、乙酸乙酯中含有乙酸(饱和碳酸钠溶液、分液)D、溴乙烷中含有醇(水、分液)2.下列物质不能使酸性KMnO4溶液褪色的是A、B、C2H2C、CH3D、CH3COOH3.(CH3CH2)2CHCH3的正确命名是A、3-甲基戊烷B、2-甲基戊烷C、2-乙基丁烷D、3-乙基丁烷4.手性分子是指在分子结构中,当a、b、x、y为彼此互不相同的原子或原子团时,称此分子为手性分子,中心碳原子为手性碳原子。
下列分子中指定的碳原子(用*标记)不属于手性碳原子的是A、苹果酸B、丙氨酸C H3CH COOHNH2C、葡萄糖D、甘油醛CH CH2 CHOOHOH5.某烷烃发生氯代反应后,只能生成三种沸点不同的一氯代烃,此烷烃是A、(CH3)2CHCH2CH2CH3B、(CH3CH2)2CHCH3C、(CH3)2CHCH(CH3)2D、(CH3)3CCH2CH36.有—CH3,— OH,—COOH,—C6H5四种基团,两两结合而成的有机化合物中,水溶液具有酸性的有()A、3种B、4种C、5种D、6种7.下列说法错误的是()A、C2H6和C4H10一定是同系物B、C2H4和C4H8一定都能使溴水退色C、C3H6不只表示一种物质D、单烯烃各同系物中碳的质量分数相同8.常见有机反应类型有:①取代反应②加成反应③消去反应④酯化反应⑤加聚反应 ⑥缩聚反应 ⑦氧化反应 ⑧还原反应,其中可能在有机分子中新产生羟基的反应类型是 ( )A 、①②③④B 、⑤⑥⑦⑧C 、①②⑦⑧D 、③④⑤⑥9.乙醛和新制的Cu (OH )2反应的实验中,关键的操作是 ( ) A 、Cu (OH )2要过量 B 、NaOH 溶液要过量 C 、CuSO 4要过量 D 、使溶液pH 值小于710.PHB 塑料是一种可在微生物作用下降解的环保型塑料,其结构简式为:n OCHC 2H 5CO 。
下面有关PHB 说法不正确的是 ( )A 、PHB 是一种聚酯B 、PHB 的单体是CH 3CH 2CH(OH)COOHC 、PHB 的降解产物可能有CO 2和H 2OD 、PHB 通过加聚反应制得11. 能与银氨溶液发生银镜反应,且其水解产物也能发生银镜反应的糖类是 ( )A 、葡萄糖B 、麦芽糖C 、蔗糖D 、淀粉12. “茶倍健”牙膏中含有茶多酚,但茶多酚是目前尚不能人工合成的纯天然、多功能、高效能的抗氧化剂和自由基净化剂。
其中没食子儿茶素(EGC )的结构如下图所示。
关于EGC 的下列叙述中正确的是 ( )A 、分子中所有的原子共面B 、1molEGC 与4molNaOH 恰好完全反应 C 、易发生加成反应,难发生氧化反应和取代反应D 、遇FeCl 3溶液发生显色反应 13.化合物丙可由如下反应得到:丙的结构简式不可能是 ( ) A 、CH 3CH (CH 2Br )2 B 、(CH 3)2C Br CH 2 Br C 、C 2H 5CH Br CH 2 Br D 、CH 3(CH Br )2CH 314.某有机物甲经氧化后得乙(分子式为C 2H 3O 2Cl );而甲经水解可得丙,1mol 丙和2mol 乙反应的一种含氯的酯(C 6H 8O 4Cl 2)。
由此推断甲的结构简式为 ( )O—OHOHOHOHA 、HO CH 2 CH 2 OHB 、 HC O CH 2 Cl OC 、CH 2CHO ClD 、15.大约在500年前,人们就注意到某些菊科植物的花蕾中存在有杀虫作用的物质。
后经研究,凡具有下列方框内结构,且R 不是H 原子的有机物,就可能是一种高效、低毒、对昆虫有强烈触杀作用的杀虫剂。
对此杀虫剂的下列叙述中错误的是( )A 、能发生加氢反应,但其生成物无杀虫作用B 、在酸性溶液中,此类杀虫剂将会失去杀虫作用C 、此类杀虫剂密封保存在碱溶液中,会丧失其杀虫作用D 、左端的甲基(-CH 3)不可被替换为H ,否则其替代物将失去杀虫作用15.“绿色化学”是当今社会人们提出的一个新概念,“绿色化学”工艺中原子利用率为100%。
工业上可用乙基蒽醌(A )经两步反应制备H 2O 2,其反应可简单表示如下(条件省略):下列有关说法不正确的是 ( )A 、上述工业生产消耗的原料是H 2、O 2和乙基蒽醌B 、该法生产H 2O 2符合“绿色化学工艺”的要求C 、乙基蒽醌(A )的作用相当于催化剂,化合物(B )属于中间产物D 、第1反应中乙基蒽醌(A )发生还原反应,第2个反应中化合物(B )发生氧化反应17.(用数字序号填空,共9分)有 ①NH 2-CH 2-COOH ②CH 2OH(CHOH)4CHO③(C 6H 10O 5)n (纤维素) ④HCOOC 2H 5 ⑤苯酚 ⑥HCHO 等物质, 其中: (1)难溶于水的是 ,易溶于水的是 ,常温下在水中溶解度不大,+2H 2C 2H 5OH OHOOC 2H 5(A)(B)2H 2O 2+C 2H 5OO2O 2+C 2H 5OHOH70℃时可与水任意比例互溶的是 。
(2)能发生银镜反应的是 。
(3)能发生酯化反应的是 。
(4)能跟氢气发生加成反应的是 ,能在一定条件下跟水反应的是 。
(5)能跟盐酸反应的是 ,能跟氢氧化钠溶液反应的是 。
答案:一.1.A2.D3.A4.A5.D6.B7.B8.C9.B 10.D 11.B12.D13.A 14.D 15.A二.17.(1)③④,①②⑥,⑤。
(2)②④⑥。
(3)①②③。
(4)②⑤⑥,③④。
(5)①④,①④⑤。
一、命名下列化合物:18.CH CH 3CH 3C CH 2CH 2CH 3CH 3CH 319. C 2H 5CH CH 3CH 3C CH 2CH 2CH 3CH 3CH 2CH 22,2,3-甲基己烷 4,4-二甲基-5-乙基辛烷20. C 2H 5CHCH CH 3CH 3CH 321. CH C 2H 5CH CH CH 3CH 3CH 2CH 2CH 3CH 3CH 22,3-二甲基戊烷 2,6-二甲基-3-乙基辛烷22. CH C 2H 5CH CH CH 3CH 3CH 3CH 3CH 2 23.CH C 2H 5CH CH CH 3CH 3C 2H 5CH 3CH 22,4-二甲基-3-乙基己烷 2,5-二甲基-3-乙基庚烷24. CH C 2H 5CH CH 3CH 3CH 2CH 2CH 3CH 2CH 2CH 325.CH 2CH 3C (C 2H 5)2(CH 3)2,6-二甲基-5-乙基壬烷 3-甲基-3-乙基戊烷26.CH 2CH 2CH CH 2CH 3CH CH 3CH 3CH 2CH 2CH 3 27. (CH 3)2CH CH 2CH 2(C 2H 5)23-甲基-5-乙基辛烷 2-甲基-5-乙基庚烷28.将下列烷烃按其沸点由高到低的顺序排列 。
(A) 正戊烷 (B) 异戊烷 (C) 正丁烷 (D) 正己烷 D >A >B >C29.将下列烷烃中沸点最高的是( ),沸点最低的是( )。
(A)3-甲基庚烷;(B)2,2,3,3-四甲基丁烷;(C)正辛烷;(D)2,3-二甲基己烷最高为:C ,最低为: B ;30.将下面化合物按其沸点由高到低的顺序排列 。
(A) 辛烷 (B) 3-甲基庚烷 (C) 2,3-二甲基戊烷 (D) 2-甲基己烷 A >B >D >C31.下列自由基中最稳定的是( ),最不稳定的是( )。
(A) CH 3·(B) C(CH 3)3· (C) CH(CH 3)2· (D) CH 2CH 3· 最稳定的为:B ,最不稳定的为: A ; 32. 下列自由基中最稳定的是( )。
(A)CH 2CH (CH 3)2CH 2·(B)CH CH 3CH (CH 3)2· (C) CH 2CH 3(CH 3)2C · (D) CH 2CH 3CH CH 2CH 3· 最稳定的为:C33.将下列烷烃中沸点最高的是( ),沸点最低的是( )。
(A) 新戊烷 (B) 异戊烷 (C) 正己烷 (D) 正辛烷最12.将下面化合物按其沸点由高到低的顺序排列 。
(A) 3,3-二甲基戊烷 (B) 正庚烷 (C) 2-甲基己烷 (D) 正戊烷 B >C >A >D 高为:D ,最低为: A ; 34..将下列化合物按其沸点由高到低的顺序排列 。
(A) 正辛烷 (B) 3-甲基庚烷 (C) 2,3-二甲基戊烷 (D) 正丁烷 A >B >C >D35.试将下列烷基自由基按其稳定性大小顺序排列 。
(A) CH 3· (B) (C 2H 5)3C · (C) (C 2H 5)2CH · (D) CH 2C 2H 5· B >C >D >A36.把下列化合物按熔点高低排列成顺序 。
(A) 金刚烷 (B) 环己烷 (C) 环庚烷 (D) 庚烷 A >B >C >D37下列烯烃最稳定的是( ),最不稳定的是( )。
(A) 2,3-二甲基-2-丁烯 (B) 3-甲基-2-戊烯 (C) 反-3-己烯 (D) 顺-3-己烯 A / D38.下列烯烃最不稳定的是( ),最稳定的是( )。
(A) 3,4-二甲基-3-己烯 (B) 3-甲基-3-己烯 (C) 2-己烯 (D) 1-己烯 D /A39.下列烯烃最不稳定的是( ),最稳定的是( )。
(A) 3,4-二甲基-3-己烯 (B) 3-甲基-3-己烯 (C) 2-己烯(D) 1-己烯 D /A40.下列化合物与Br2/CCl4加成反应速度为。
(A) CH3CH=CH2(B) CH2=CHCH2COOH (C) CH2=CHCOOH (D) (CH3)2C=CHCH3D>A>B>C简单题目:41、下列反应的生成物为纯净物的是A.CH4与Cl2光照B.氯乙烯加聚C.乙烯和氯化氢加成D.丙烯和氯化氢加成42、下列有机物命名正确的是A.2-乙基丙烷B.CH3CH2CH=CH21-丁烯C.间二甲苯D.2—甲基—2—丙烯一、写出下列化合物的名称或结构式(10分):2.2CH CH2= 3.1.32CH34. 5. 6.CC3CH3C27. 4 -甲酰氨基己酰氯8.7 , 7 -二甲基二环[ 2 , 2 , 1 ]- 2 , 5 -庚二烯9.α-呋喃甲醛10.α-甲基葡萄糖苷1. 3,6 –二甲基– 4 –丙基辛烷;2. 3 –烯丙基环戊烯;3. N –甲基– N –乙基环丁胺(或甲基乙基环丁胺);CH3CH3CH3-CH-CH3CH2 CH3CH3-C=CH2CH34. 3 –甲基戊二酸单乙酯;5. 7 –甲基– 4 –苯乙烯基– 3 –辛醇;6. (2Z,4R)- 4 –甲基– 2 –戊烯;CH3CH2CHCH2CH2COCl7.8.9.OH310.二、回答下列问题1. 下列物种中的亲电试剂是:;亲核试剂是a. H+;b. RCH2+;c. H2O;d. RO—;e. NO2+; f CN—;g. NH3;h. R C=O+2. 下列化合物中有对映体的是:。