必修五解三角形正弦定理和余弦定理
- 格式:doc
- 大小:311.00 KB
- 文档页数:8
第一章 解三角形1.1正弦定理和余弦定理1.1.1正弦定理【典型题剖析】考察点1:利用正弦定理解三角形 例1在ABC 中,已知A:B:C=1:2:3,求a :b :c.【点拨】 本题考查利用正弦定理实现三角形中边与角的互化,利用三角形内角和定理及正弦定理的变形形式 a :b :c=sinA: sinB: sinC 求解。
解:::1:2:3,A .,,,6321::sin :sin :sin sin:sin:sin:1 2.6322A B C B C A B C a b A B C πππππππ=++=∴===∴====而【解题策略】要牢记正弦定理极其变形形式,要做到灵活应用。
例2在ABC 中,已知,C=30°,求a+b 的取值范围。
【点拨】 此题可先运用正弦定理将a+b 表示为某个角的三角函数,然后再求解。
解:∵C=30°,,∴由正弦定理得:sin sin sin a b c A B C === ∴)sin (150°-A ).∴)[sinA+sin(150°)·2sin75°·cos(75°-A)=2cos(75°-A)① 当75°-A=0°,即A=75°时,a+b取得最大值2;② ∵A=180°-(C+B)=150°-B,∴A <150°,∴0°<A <150°,∴-75°<75°-A <75°,∴cos75°<cos(75°-A)≤1,∴>2cos75°=2×4. 综合①②可得a+b 的取值范围为,8+考察点2:利用正弦定理判断三角形形状 例3在△ABC 中,2a ·tanB=2b ·tanA ,判断三角形ABC 的形状。
【点拨】通过正弦定理把边的关系转化为角的关系,利用角的关系判断△ABC 的形状。
高中数学必修五第一章《解三角形》知识点收集于网络,如有侵权请联系管理员删除高中数学必修五 第一章 解三角形知识点归纳1、三角形三角关系:A+B+C=180°;C=180°—(A+B);2、三角形三边关系:a+b>c; a-b<c3、三角形中的基本关系:sin()sin ,A B C +=cos()cos ,A B C +=-tan()tan ,A B C +=- sincos ,cos sin ,tan cot 222222A B C A B C A B C +++=== 4、正弦定理:在C ∆AB 中,a 、b 、c 分别为角A 、B 、C 的对边,R 为C ∆AB 的外接圆的半径,则有2sin sin sin a b c R C===A B . 5、正弦定理的变形公式: ①化角为边:2sin a R =A ,2sin b R =B ,2sin c R C =; ②化边为角:sin 2a R A =,sin 2b R B =,sin 2c C R=; ③::sin :sin :sin a b c C =A B ; ④sin sin sin sin sin sin a b c a b c C C++===A +B +A B . 6、两类正弦定理解三角形的问题:①已知两角和任意一边,求其他的两边及一角.②已知两角和其中一边的对角,求其他边角.(对于已知两边和其中一边所对的角的题型要注意解的情况(一解、两解、三解)7、三角形面积公式:111sin sin sin 222C S bc ab C ac ∆AB =A ==B .=2R 2sinAsinBsinC=R abc 4=2)(c b a r ++=))()((c p b p a p p ---8、余弦定理:在C ∆AB 中,有2222cos a b c bc =+-A ,2222cos b a c ac =+-B , 2222cos c a b ab C =+-.9、余弦定理的推论:222cos 2b c a bc +-A =,222cos 2a c b ac +-B =,222cos 2a b c C ab+-=. 10、余弦定理主要解决的问题:①已知两边和夹角,求其余的量。
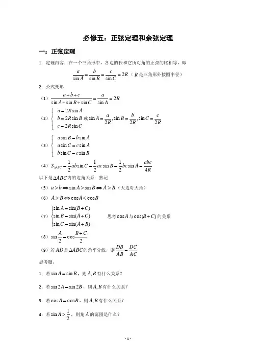
必修五:正弦定理和余弦定理一:正弦定理1:定理内容:在一个三角形中,各边的长和它所对角的正弦的比相等,即R Cc B b A a 2sin sin sin ===(R 是三角形外接圆半径) 2:公式变形(1)R Aa C B A cb a 2sin sin sin sin ==++++ (2)⎪⎩⎪⎨⎧C R c B R b A R a sin 2sin 2sin 2===或R c C R b B R a A 2sin ,2sin ,2sin === (3)⎪⎩⎪⎨⎧B c C b A c C a A b B a sin sin sin sin sin sin ===(4)Rabc A bc B ac C ab S ABC 4sin 21sin 21sin 21====∆ 以下是ABC ∆内的边角关系:熟记(5)B A B A b a >⇔>⇔>sin sin (大边对大角)(6)B A B A cos cos <⇔>(7)⎪⎩⎪⎨⎧+=+=+=)sin(sin )sin(sin )sin(sin B A C C A B C B A 思考A cos 与)cos(C B +的关系(8)2cos 2sin C B A += (9)若AD 是ABC ∆的角平分线,则AC DC AB DB = 思考题:1:若B A sin sin =,则B A ,有什么关系?2:若B A 2sin 2sin =,则B A ,有什么关系?3:若B A cos cos =,则B A ,有什么关系?4:若21sin >A ,则角A 的范围是什么?解三角形:已知三角形的几个元素,求其他元素的过程叫做解三角形.例1:已知ABC ∆,根据下列条件,解三角形.(1)10,45,60=︒=∠︒=∠a B A .(2)︒=∠==120,4,3A b a .(3)︒=∠==30,4,6A b a .(4)︒=∠==30,16,8A b a .(5)︒=∠==30,4,3A b a .思考:在已知“边边角”的情况下,如何判断三角形多解的情况判断方法:(1)用正弦定理:比较正弦值与1的关系(2)作图法:用已知角所对的高与已知角所对的边长比较.练习:(1)若︒=∠==45,12,6A b a ,则符合条件的ABC ∆有几个?(2)若︒=∠==30,12,6A b a ,则符合条件的ABC ∆有几个?(3)若︒=∠==45,12,9A b a ,则符合条件的ABC ∆有几个?例2:根据下列条件,判断三角形形状.(1)C B A 222sin sin sin =+.(2)C B A cos sin 2sin =(3)B b A a cos cos =(4)A b B a tan tan 22=二:余弦定理1:定理内容:三角形任何一边的平方等于其他两边的平方和减去这两边与它们夹角的余弦的积的两倍.即A bc c b a cos 2222-+=B ac c a b cos 2222-+=C ab b a c cos 2222-+= 另一种形式:bca cb A 2cos 222-+=. 请写出另两个:例1:根据下列条件,解三角形.(1)在ABC ∆中,︒=∠==120,4,5C b a ,求边c .(2)在ABC ∆中,︒=∠==60,8,5C b a ,求边c .(3)在ABC ∆中,8,7,5===c b a ,求最大角与最小角的和.(4)在ABC ∆中,13:8:7sin :sin :sin =C B A ,求C cos .(5)在ABC ∆中,8,120,34=+︒=∠=b a C c ,求ABC ∆的面积.(6)在ABC ∆中,34,60,4=︒=∠=∆ABC S C c ,求ABC ∆的周长.(7)在ABC ∆中,1)(22=--bcc b a ,求A ∠. (8)在ABC ∆中,4,3,2===c b a ,判断ABC ∆的形状.(9)求证:在ABC ∆中,)cos cos cos (2222C ab B ac A bc c b a ++=++.(10)求证:平行四边形两对角线的平方和等于它各边的平方和.。
正弦定理与余弦定理知识集结知识元正弦定理公式知识讲解1.正弦定理【知识点的知识】1.正弦定理和余弦定理定理正弦定理余弦定理内容=2R(R是△ABC外接圆半径)a2=b2+c2﹣2bc cos A,b2=a2+c2﹣2ac cos B,c2=a2+b2﹣2ab cos C 变形形式①a=2R sin A,b=2R sin B,c=2R sin C;②sin A=,sin B=,sin C=;③a:b:c=sin A:sin B:sin C;④a sin B=b sin A,b sin C=c sin B,a sin C=c sin Acos A=,cos B=,cos C=解决三角形的问题①已知两角和任一边,求另一角和其他两条边;②已知两边和其中一边的对角,求另一边和其他两角①已知三边,求各角;②已知两边和它们的夹角,求第三边和其他两角在△ABC 中,已知a ,b 和角A 时,解的情况A 为锐角A 为钝角或直角图形关系式a =b sin A b sin A <a <ba ≥b a >b 解的个数一解两解一解一解由上表可知,当A 为锐角时,a <b sin A ,无解.当A为钝角或直角时,a ≤b ,无解.2、三角形常用面积公式1.S =a •h a (h a 表示边a 上的高);2.S =ab sin C =ac sin B =bc sin A .3.S =r (a +b +c )(r 为内切圆半径).【正余弦定理的应用】1、解直角三角形的基本元素.2、判断三角形的形状.3、解决与面积有关的问题.4、利用正余弦定理解斜三角形,在实际应用中有着广泛的应用,如测量、航海、几何等方面都要用到解三角形的知识(1)测距离问题:测量一个可到达的点到一个不可到达的点之间的距离问题,用正弦定理就可解决.解题关键在于明确:①测量从一个可到达的点到一个不可到达的点之间的距离问题,一般可转化为已知三角形两个角和一边解三角形的问题,再运用正弦定理解决;②测量两个不可到达的点之间的距离问题,首先把求不可到达的两点之间的距离转化为应用正弦定理求三角形的边长问题,然后再把未知的边长问题转化为测量可到达的一点与不可到达的一点之间的距离问题.(2)测量高度问题:解题思路:①测量底部不可到达的建筑物的高度问题,由于底部不可到达,因此不能直接用解直角三角形的方法解决,但常用正弦定理计算出建筑物顶部或底部到一个可到达的点之间的距离,然后转化为解直角三角形的问题.②对于顶部不可到达的建筑物高度的测量问题,我们可选择另一建筑物作为研究的桥梁,然后找到可测建筑物的相关长度和仰、俯角等构成三角形,在此三角形中利用正弦定理或余弦定理求解即可.点拨:在测量高度时,要理解仰角、俯角的概念.仰角和俯角都是在同一铅锤面内,视线与水平线的夹角.当视线在水平线之上时,成为仰角;当视线在水平线之下时,称为俯角.例题精讲正弦定理公式例1.已知△ABC中,角A,B,C所对的边分别是a,b,c.若A=45°,B=30°,a=,则b=()A.B.1C.2D.例2.在△ABC中,角A,B,C的对边分别为a,b,c,若,则B=()A.B.C.D.或例3.在△ABC中,已知三个内角为A,B,C满足sin A:sin B:sin C=3:5:7,则C=()A.90°B.120°C.135°D.150°利用正弦定理解三角形知识讲解【正余弦定理的应用】1、解直角三角形的基本元素.2、判断三角形的形状.3、解决与面积有关的问题.4、利用正余弦定理解斜三角形,在实际应用中有着广泛的应用,如测量、航海、几何等方面都要用到解三角形的知识例题精讲利用正弦定理解三角形例1.在△ABC中,a,b,c是内角A,B,C所对的边.若a>b,则下列结论不一定成立的()A.A>B B.sin A>sin BC.cos A<cos B D.sin2A>sin2B例2.在△ABC中,角A,B,C的对边分别是a,b,c,且,则角A的大小为()A.B.C.D.例3.在△ABC 中,三内角A ,B ,C 的对边分别为a ,b ,c ,若sin B =b sin A ,则a =()A.B .C .1D .三角形面积公式的简单应用知识讲解1.余弦定理【知识点的知识】1.正弦定理和余弦定理定理正弦定理余弦定理内容=2R(R 是△ABC 外接圆半径)a 2=b 2+c 2﹣2bc cos A ,b 2=a 2+c 2﹣2ac cos B ,c 2=a 2+b 2﹣2ab cos C变形形式①a =2R sin A ,b =2R sin B ,c =2R sin C ;②sin A =,sin B =,sin C =;③a :b :c =sin A :sin B :sin C ;④a sin B =b sin A ,b sin C =c sin B ,a sin C =c sin A cos A =,cos B =,cos C =解决三角形的问题①已知两角和任一边,求另一角和其他两条边;②已知两边和其中一边的对角,求另一边和其他两角①已知三边,求各角;②已知两边和它们的夹角,求第三边和其他两角在△ABC 中,已知a ,b 和角A 时,解的情况A 为锐角A 为钝角或直角图形关系式a =b sin A b sin A <a <ba≥ba >b 解的个数一解两解一解一解由上表可知,当A 为锐角时,a <b sin A ,无解.当A 为钝角或直角时,a ≤b ,无解.例题精讲三角形面积公式的简单应用例1.已知△ABC 的内角A ,B ,C 的对边分别为a ,b ,c,且(a +b )2=c 2+ab ,B =30°,a =4,则△ABC 的面积为()A .4B .3C .4D .6例2.设△ABC 的三个内角A ,B ,C 成等差数列,其外接圆半径为2,且有,则三角形的面积为()A .B .C .或D .或例3.在△ABC中角ABC的对边分别为a、b、c,cos C=,且a cos B+b cos A=2,则△ABC面积的最大值为()A.B.C.D.利用余弦定理解三角形当堂练习填空题练习1.如图,O在△ABC的内部,且++3=,则△ABC的面积与△AOC的面积的比值为_____.练习2.锐角△ABC的内角A,B,C的对边分别为a,b,c,已知c2-8=(a-b)2,a=2c sin A,则△ABC的面积为____.练习3.在△ABC中,内角A,B,C的对边分别为a,b,c,已知,则的最大值是____.解答题练习1.'在△ABC中,角A,B,C所对的边分别为a,b,c,且满足.(1)求角B的大小;的最大值.(2)若D为AC的中点,且BD=1,求S△ABC'练习2.'在△ABC中,角A、B、C的对边分别是a、b、c,若(a+c)sin B-b sin C=b cos A.(1)求角A;(2)若△ABC的面积为4,a=6,求△ABC的周长.'练习3.'△ABC内角A,B,C所对的边分别为a,b,c.若。
B1.1 正弦、余弦定理一、知识点1.正弦定理:2sin sin sin a b cR A B C===外(R 为外接圆的半径) (1)C R c B R b A R a sin 2,sin 2,sin 2=== C B A c b a s i n :s i n :s i n ::=注意:利用正弦定理,可以解决以下两类问题:(1)已知两角和任一边,求其他两边和一角; (2)已知两边和其中一边的对角,求另一边的对角;有三种情况:bsinA<a<b 时有两解;a=bsinA 或a=b 时有 解;a<bsinA 时无解 2.余弦定理:a 2=b 2+c 2-2bccosA , 222cos 2b c aA bc+-=;3、面积公式:S=21a bsinC=21bcsinA=21c a sinB 利用余弦定理,可以解决以下两类问题:(1)已知三边,求三角;(2)已知两边和它们的夹角,求第三边和其他两角。
二、例题【例1】(1)在ABC ∆中,已知A=45,B=30,c=10,求b ; (2)在ABC ∆中,已知A= 45,2,2==b a ,求B ;【例2】(1)在ABC ∆中,已知,7:5:3::=c b a 求ABC ∆的最大角;(2)在ABC ∆中,已知,3:2:::x c b a =求ABC ∆为锐角三角形时x 的取值范围。
【例3】在ΔABC 中,已知a=3,b=2,B=45°,求A,C 和边c 及其面积。
【例4】已知⊙O 的半径为R ,,在它的内接三角形ABC 中,有()()B b aC A R sin 2sin sin 222-=-成立,求△ABC面积S 的最大值.【例5】不解三角形,判断下列三角形解的个数(1) 120,4,5===A b a (2)150,14,7===A b a (3)60,10,9===A b a (4)135,72,50===C b c三、练习1.在ABC ∆中,角,,AB C 的对边分别为,,a b c ,已知,13A a b π===,则c =()A.1B.212.在△ABC 中,A=︒60,b=1,且面积为3,则=++++CB A cb a sin sin sin ( )A. 338B. 3392 C. 3326 D. 323.在△ABC 中,若2cos B sin A =sin C ,则△ABC 的形状一定是A.等腰直角三角形B.直角三角形C.等腰三角形D.等边三角形4. 已知△ABC 中,a=1,b=3,A=︒30,则角B 等于( )A. ︒60B. ︒60或︒120C. ︒30或︒150D. ︒1205.在△ABC 中,a 、b 、c 分别是A 、B 、C 的对边,且2223a bc c b =++,则A 等于( )A. ︒60B. ︒30C. ︒120D. ︒1506、 在△ABC 中,角A 、B 、C 的对边分别是a 、b 、c ,若ac B b c a 3tan )(222=-+,则角B 的值为( )(1)6π B. 3π C. 6π或65π D. 3π或32π 7、满足条件a=4,b=23,A=︒45的△ABC 的个数是 ( )A. 1个B. 2个C. 无数个D. 不存在8、在△ABC 中,已知5,8==AC BC ,三角形面积为12,则=C 2cos .9、在ABC ∆中,若120A ∠=,5AB =,7BC =,则ABC ∆的面积S =_________10、 在ABC ∆中,C B A ∠∠∠、、所对的边长分别为c b a 、、,满足条件222a bc c b=-+和321+=b c ,求A ∠和B tan 的值.11、若c b a 、、是△ABC 的三边,直线0=++c by ax 与圆122=+y x 相离,试判断△ABC 的形状。
高二数学必修五 第一章解三角形一、本章知识结构:二、基础要点归纳1、三角形的性质: ①.A+B+C=π,222A B Cπ+=-⇒sin()sin A B C +=, cos()cos A B C +=-,sincos 22A B C+= ②.在ABC ∆中,a b +>c , a b -<c ; A >B ⇔sin A >sin B ,A >B ⇔cosA <cosB, a >b ⇔A >B③.假设ABC ∆为锐角∆,那么A B +>2π,B+C >2π,A+C >2π; 22a b +>2c ,22b c +>2a ,2a +2c >2b2、正弦定理与余弦定理: ①.正弦定理:2sin sin sin a b cR A B C === (2R 为ABC ∆外接圆的直径) 111sin sin sin 222ABCS ab C bc A ac B ∆=== ②.余弦定理:2222cos a b c bc A =+-222cos 2b c a A bc +-=2222cos b a c ac B =+-222cos 2a c b B ac+-=2222cos c a b ab C =+-222cos 2a b c C ab+-=〔必修五〕第二章、数列一、本章知识结构:二、本章要点归纳:1、数列的定义及数列的通项公式:①.()n a f n =,数列是定义域为N 的函数()f n ,当n 依次取1,2,⋅⋅⋅时的一列函数值。
②.n a 的求法:i.归纳法。
ii.11,1,2n n n S n a S S n -=⎧=⎨-≥⎩ 假设00S =,那么n a 不分段;假设00S ≠,那么n a 分段。
iii. 假设1n n a pa q +=+,那么可设1()n n a m p a m ++=+解得m,得等比数列{}n a m +。
iv. 假设()n n S f a =,那么先求1a ,再构造方程组:11()()n n n n S f a S f a ++=⎧⎨=⎩得到关于1n a +和n a 的递推关系式.2.等差数列:① 定义:1n n a a +-=d 〔常数〕,证明数列是等差数列的重要工具。
高中数学必修五三角函数知识点+练习题含答案解析(很详细)第一部分必修五三角函数知识点整理第一章解三角形1、三角形的性质:①.A+B+C=π,? 222A B C π+=-?sin cos 22A B C += ②.在ABC ?中, a b +>c , a b -<c ; A >B ?sin A >sinB ...........................A >B ?cosA <cosB, a >b ? A >B③.若ABC ?为锐角?,则A B +>2π,B+C >2π,A+C >2π; 22a b +>2c ,22b c +>2a ,2a +2c >2b2、正弦定理与余弦定理:①.(2R 为ABC ?外接圆的直径)2s i n a R A =、2sin b R B =、2sin c R C =sin 2a A R =、 sin 2b B R =、 sin 2c C R= 面积公式:111sin sin sin 222ABC S ab C bc A ac B ?=== ②.余弦定理:2222cos a b c bc A =+-、2222cos b a c ac B =+-、2222cos c a b ab C =+-222cos 2b c a A bc +-=、222cos 2a c b B ac +-=、222cos 2a b c C ab+-= 补充:两角和与差的正弦、余弦和正切公式:⑴()cos cos cos sin sin αβαβαβ-=+;⑵()cos cos cos sin sin αβαβαβ+=-;⑶()sin sin cos cos sin αβαβαβ-=-;⑷()sin sin cos cos sin αβαβαβ+=+;⑸()tan tan tan 1tan tan αβαβαβ --=+ ? (()()tan tan tan 1tan tan αβαβαβ-=-+);⑹()tan tan tan 1tan tan αβαβαβ++=- ? (()()tan tan tan 1tan tan αβαβαβ+=+-).二倍角的正弦、余弦和正切公式:⑴sin 22sin cos ααα=.222)cos (sin cos sin 2cos sin 2sin1ααααααα±=±+=±?⑵2222cos2cos sin 2cos 112sin ααααα=-=-=-升幂公式2sin 2cos 1,2cos 2cos 122αααα=-=+ ?落幂公式2cos 21cos 2αα+=,21cos 2sin 2αα-=.第二部分必修五练习题含答案解析第一章解三角形1.在△ABC 中,AB =5,BC =6,AC =8,则△ABC 的形状是( )A .锐角三角形B .直角三角形C .钝角三角形D .非钝角三角形解析:最大边AC 所对角为B ,则cosB =52+62-822×5×6=-320B>CB .B>A>C C .C>B>AD .C>A>B解析由正弦定理a sinA =b sinB ,∴sinB =bsinA a =32.∵B 为锐角,∴B =60°,则C =90°,故C>B>A. 答案 C3.在△ABC 中,已知a =8,B =60°,C =75°,则b 等于( )A .4 2B .4 3C .4 6 D.323解:由A +B +C =180°,可求得A =45°,由正弦定理,得b =asinB sinA =8×sin60°sin45°=8×3222=4 6. 答案 C4.在△ABC 中,AB =5,BC =7,AC =8,则BA →·BC → 的值为( )A .5B .-5C .15D .-15解析在△ABC 中,由余弦定理得:cosB =AB 2+BC 2-AC 22AB ·BC =25+49-642×5×7=17. ∴BA →·BC →=|BA →|·|BC →|cosB =5×7×17=5. 答案 A5.若三角形三边长之比是1:3:2,则其所对角之比是( )A .1:2:3B .1:3:2C .1:2: 3 D.2:3:2解析设三边长分不为a ,3a,2a ,设最大角为A ,则cosA =a 2+3a 2-2a 22·a ·3a =0,∴A =90°.设最小角为B ,则cosB =2a 2+3a 2-a 22·2a ·3a =32,∴B =30°,∴C =60°. 所以三角之比为1:2:3. 答案 A6.在△ABC 中,若a =6,b =9,A =45°,则此三角形有( )A .无解B .一解C .两解D .解的个数别确定解析由b sinB =a sinA ,得sinB =bsinA a =9×226=3 24>1.∴此三角形无解.答案 A7.已知△ABC 的外接圆半径为R ,且2R(sin 2A -sin 2C)=(2a -b)sinB(其中a ,b 分不为A ,B 的对边),这么角C 的大小为( )A .30°B .45°C .60°D .90°解析依照正弦定理,原式可化为2R ? ??a 24R 2-c 24R 2=(2a -b)·b 2R ,∴a 2-c 2=(2a -b)b ,∴a 2+b 2-c 2=2ab ,∴cosC =a 2+b 2-c 22ab =22,∴C =45°. 答案 B8.在△ABC 中,已知sin 2A +sin 2B -sinAsinB =sin 2C ,且满脚ab =4,则该三角形的面积为( )A .1B .2 C. 2 D. 3解析由a sinA =b sinB =c sinC=2R ,又sin 2A +sin 2B -sinAsinB =sin 2C ,可得a 2+b 2-ab =c 2.∴c osC =a 2+b 2-c 22ab =12,∴C =60°,sinC =32. ∴S △ABC =12absinC = 3. 答案 D9.在△ABC 中,A =120°,AB =5,BC =7,则sinB sinC 的值为( ) A.85 B.58 C.53 D.35解析由余弦定理,得 cosA =AB 2+AC 2-BC 22AB ·AC,解得AC =3. 由正弦定理sinB sinC =AC AB =35. 答案 D10.在三角形ABC 中,AB =5,AC =3,BC =7,则∠BAC 的大小为( )A.2π3B.5π6C.3π4D.π3解析由余弦定理,得cos ∠BAC =AB 2+AC 2-BC 22AB ·AC =52+32-722×5×3=-12,∴∠BAC =2π3. 答案 A11.有一长为1 km 的歪坡,它的倾歪角为20°,现要将倾歪角改为10°,则坡底要加长( )A .0.5 kmB .1 kmC .1.5 km D.32km 解析如图,AC =AB ·sin20°=sin20°,BC =AB ·cos20°=cos20°,DC =AC tan10°=2cos 210°,∴DB =DC -BC =2cos 210°-cos20°=1.答案 B12.已知△ABC 中,A ,B ,C 的对边分不为a ,b ,c.若a =c =6+2,且A =75°,则b 为( )A .2B .4+2 3C .4-2 3 D.6- 2解析在△ABC 中,由余弦定理,得a 2=b 2+c 2-2bccosA ,∵a =c ,∴0=b 2-2bccosA =b 2-2b(6+2)cos75°,而cos75°=cos(30°+45°)=cos30°cos45°-sin30°sin45°=22? ????32-12=14(6-2),∴b 2-2b(6+2)cos75°=b 2-2b(6+2)·14(6-2)=b 2-2b =0,解得b =2,或b =0(舍去).故选A. 答案 A 13.在△ABC 中,A =60°,C =45°,b =4,则此三角形的最小边是____________.解析由A +B +C =180°,得B =75°,∴c 为最小边,由正弦定理,知c =bsinC sinB =4sin45°sin75°=4(3-1).答案 4(3-1)14.在△ABC 中,若b =2a ,B =A +60°,则A =________.解析由B =A +60°,得 sinB =sin(A +60°)=12sinA +32cosA. 又由b =2a ,知sinB =2sinA.∴2sinA =12sinA +32cosA. 即32sinA =32cosA.∵cosA ≠0,∴tanA =33.∵0°<A<180°,∴A =30°. 答案30° 15.在△ABC 中,A +C =2B ,BC =5,且△ABC 的面积为103,则B =_______,AB =_______.解析由A +C =2B 及A +B +C =180°,得B =60°.又S =12AB ·BC ·sinB ,∴10 3=12AB ×5×sin60°,∴AB =8. 答案60° 816.在△ABC 中,已知(b +c):(c +a):(a +b)=8:9:10,则sinA :sinB :sinC =________.解析设b +c =8k ,c +a =9k ,a +b =10k ,可得a :b :c =11:9:7.∴sinA :sinB :sinC =11:9:7.答案 11:9:717.在非等腰△ABC 中,角A ,B ,C 所对的边分不为a ,b ,c ,且a 2=b(b +c).(1)求证:A =2B ;(2)若a =XXX ,试推断△ABC 的形状.解 (1)证明:在△ABC 中,∵a 2=b ·(b +c)=b 2+bc ,由余弦定理,得cosB =a 2+c 2-b 22ac =bc +c 22ac =b +c 2a =a 2b =sinA 2sinB ,∴sinA =2sinBcosB =sin2B.则A =2B 或A +2B =π.若A +2B =π,又A +B +C =π,∴B =C.这与已知相矛盾,故A =2B.(2)∵a =XXX ,由a 2=b(b +c),得XXX 2=b 2+bc ,∴c =2b.又a 2+b 2=4b 2=c 2.故△ABC 为直角三角形.18.锐角三角形ABC 中,边a ,b 是方程x 2-23x +2=0的两根,角A ,B 满脚2sin(A +B)-3=0.求:(1)角C 的度数;(2)边c 的长度及△ABC 的面积.解 (1)由2sin(A +B)-3=0,得sin(A +B)=32. ∵△ABC 为锐角三角形,∴A +B =120°,∴∠C =60°.(2)∵a ,b 是方程x 2-23x +2=0的两个根,∴a +b =23,ab =2.∴c 2=a 2+b 2-2abcosC =(a +b)2-3ab =12-6=6.∴c = 6.S △ABC =12absinC =12×2×32=32. 19.已知△ABC 的角A ,B ,C 所对的边分不是a ,b ,c ,设向量m =(a ,b),n =(sinB ,sinA),p =(b -2,a -2).(1)若m ∥n ,求证:△ABC 为等腰三角形;(2)若m ⊥p ,边长c =2,角C =π3,求△ABC 的面积.解 (1)证明:∵m ∥n ,∴asinA =bsinB.由正弦定得知,sinA =a 2R ,sinB =b 2R (其中R 为△ABC 外接圆的半径),代入上式,得a ·a 2R =b ·b 2R,∴a =b.故△ABC 为等腰三角形.(2)∵m ⊥p ,∴m ·p =0,∴a(b -2)+b(a -2)=0,∴a +b =ab.由余弦定理c 2=a 2+b 2-2abcosC 得4=(a+b)2-3ab,即(ab)2-3ab-4=0. 解得ab=4,ab=-1(舍去).∴△ABC的面积S=12absinC=12×4×sinπ3= 3.。
专题22正弦定理和余弦定理1.掌握正弦定理、余弦定理,并能解决一些简单的三角形度量问题;1.正、余弦定理在△ABC 中,若角A ,B ,C 所对的边分别是a ,b ,c ,R 为△ABC 外接圆半径,则 定理正弦定理余弦定理内容a sin A =b sin B =csin C=2R a 2=b 2+c 22bc cos__A ;b 2=c 2+a 22ca cos__B ; c 2=a 2+b 2-2ab cos__C常见变形(1)a =2R sin A ,b =2R sin__B ,c =2R sin_C ;(2)sin A =a 2R ,sin B =b 2R ,sin C =c2R ;(3)a ∶b ∶c =sin__A ∶sin__B ∶sin__C ;(4)a sin B =b sin A ,b sin C =c sin B ,a sin C =c sin Acos A =b 2+c 2-a 22bc ;cos B =c 2+a 2-b 22ac ;cos C =a 2+b 2-c 22ab2.S △ABC =12ab sin C =12bc sin A =12ac sin B =4R =12(a +b +c )·r (r 是三角形内切圆的半径),并可由此计算R ,r .高频考点一 利用正弦定理、余弦定理解三角形例1、(1)在△ABC 中,已知a =2,b =6,A =45°,则满足条件的三角形有( ) A .1个 B .2个 C .0个D .无法确定(2)在△ABC 中,已知sin A ∶sin B =2∶1,c 2=b 2+2bc ,则三内角A ,B ,C 的度数依次是________.(3)设△ABC 的内角A ,B ,C 的对边分别为a ,b ,c .若a =3,sin B =12,C =π6,则b =________.答案 (1)B (2)45°,30°,105° (3)1 解析 (1)∵b sin A =6×22=3,∴b sin A <a <b .解得b =1.【感悟提升】(1)判断三角形解的个数的两种方法①代数法:根据大边对大角的性质、三角形内角和公式、正弦函数的值域等判断. ②几何图形法:根据条件画出图形,通过图形直观判断解的个数.(2)已知三角形的两边和其中一边的对角解三角形.可用正弦定理,也可用余弦定理.用正弦定理时,需判断其解的个数,用余弦定理时,可根据一元二次方程根的情况判断解的个数. 【变式探究】(1)已知在△ABC 中,a =x ,b =2,B =45°,若三角形有两解,则x 的取值范围是( ) A .x >2 B .x <2 C .2<x <2 2D .2<x <2 3(2)在△ABC 中,A =60°,AC =2,BC =3,则AB =________. 答案 (1)C (2)1解析 (1)若三角形有两解,则必有a >b ,∴x >2,又由sin A =a b sin B =x 2×22<1,可得x <22,∴x 的取值范围是2<x <2 2. (2)∵A =60°,AC =2,BC =3, 设AB =x ,由余弦定理,得BC 2=AC 2+AB 2-2AC ·AB cos A ,化简得x 2-2x +1=0, ∴x =1,即AB =1.高频考点二 利用正弦、余弦定理判定三角形的形状例2、(2015·浙江)在△ABC 中,内角A ,B ,C 所对的边分别是a ,b ,c ,已知A =π4,b 2-a2=12c 2. (1)求tan C 的值;(2)若△ABC 的面积为3,求b 的值. 解 (1)由b 2-a 2=12c 2及正弦定理得(2)由tan C =2,C ∈(0,π)得 sin C =255,cos C =55,因为sin B =sin(A +C )=sin ⎝ ⎛⎭⎪⎫π4+C ,所以sin B =31010,由正弦定理得c =223b ,又因为A =π4,12bc sin A =3,所以bc =62,故b =3. 【感悟提升】(1)对于面积公式S =12ab sin C =12ac sin B =12bc sin A ,一般是已知哪一个角就使用哪一个公式.(2)与面积有关的问题,一般要用到正弦定理或余弦定理进行边和角的转化. 【变式探究】四边形ABCD 的内角A 与C 互补,AB =1,BC =3,CD =DA =2. (1)求C 和BD ;(2)求四边形ABCD 的面积.解 (1)由题设A 与C 互补及余弦定理得BD 2=BC 2+CD 2-2BC ·CD cos C =13-12cos C ,① BD 2=AB 2+DA 2-2AB ·DA cos A =5+4cos C .②由①②得cos C =12,BD =7,因为C 为三角形内角,故C =60°. (2)四边形ABCD 的面积S =12AB ·DA sin A +12BC ·CD sin C=⎝ ⎛⎭⎪⎫12×1×2+12×3×2sin60° =2 3.高频考点三 正弦、余弦定理的简单应用例3、设△ABC 的内角A ,B ,C 所对的边分别为a ,b ,c ,若b cos C +c cos B =a sin A ,则△ABC 的形状为( )A.锐角三角形B.直角三角形C.钝角三角形D.不确定答案 B【感悟提升】(1)判断三角形形状的方法①化边:通过因式分解、配方等得出边的相应关系,从而判断三角形的形状.②化角:通过三角恒等变形,得出内角的关系,从而判断三角形的形状,此时要注意应用A +B +C =π这个结论. (2)求解几何计算问题要注意①根据已知的边角画出图形并在图中标示; ②选择在某个三角形中运用正弦定理或余弦定理.【变式探究】(1)在△ABC 中,内角A ,B ,C 所对的边长分别是a ,b ,c ,若c -a cos B =(2a -b )cos A ,则△ABC 的形状为( ) A .等腰三角形B .直角三角形C .等腰直角三角形D .等腰或直角三角形(2)如图,在△ABC 中,已知点D 在BC 边上,AD ⊥AC ,sin∠BAC =223,AB =32,AD =3,则BD 的长为______.答案 (1)D (2) 3∴△ABC 为等腰或直角三角形.(2)sin∠BAC =sin(π2+∠BAD )=cos∠BAD ,∴cos∠BAD =223.BD 2=AB 2+AD 2-2AB ·AD cos∠BAD=(32)2+32-2×32×3×223,即BD 2=3,BD = 3.高频考点三 和三角形面积有关的问题【例3】 (2016·全国Ⅰ卷)△ABC 的内角A ,B ,C 的对边分别为a ,b ,c ,已知2cos C (a cosB +b cos A )=c .(1)求C ;(2)若c =7,△ABC 的面积为332,求△ABC 的周长. 解 (1)由已知及正弦定理得,2cos C (sin A cos B +sin B ·cos A )=sin C ,2cos C sin(A +B )=sinC ,故2sin C cos C =sin C . 由C ∈(0,π)知sin C ≠0, 可得cos C =12,所以C =π3.(2)由已知,12ab sin C =332,又C =π3,所以ab =6,由已知及余弦定理得,a 2+b 2-2ab cos C =7,故a 2+b 2=13, 从而(a +b )2=25.所以△ABC 的周长为5+7. 【方法规律】三角形面积公式的应用原则(1)对于面积公式S =12ab sin C =12ac sin B =12bc sin A ,一般是已知哪一个角就使用哪一个公式.(2)与面积有关的问题,一般要用到正弦定理或余弦定理进行边和角的转化.【变式探究】在△ABC 中,角A ,B ,C 的对边分别为a ,b ,c ,满足(2a -b )cos C -c cos B =0.(1)求角C 的值;(2)若三边a ,b ,c 满足a +b =13,c =7,求△ABC 的面积.1.【2016高考新课标3理数】在ABC △中,π4B =,BC 边上的高等于13BC ,则cos A =( ) (A )310 (B )10 (C )10- (D )310-【答案】C【解析】设BC 边上的高为AD ,则3BC AD =,所以225AC AD DC AD =+=,2AB AD=.由余弦定理,知22222210cos 210225AB AC BC A AB AC AD AD+-===-⋅⨯⨯,故选C . 2.【2016高考新课标2理数】ABC ∆的内角,,A B C 的对边分别为,,a b c ,若4cos 5A =,5cos 13C =,1a =,则b = . 【答案】21133.【2016高考天津理数】在△ABC 中,若AB ,120C ∠=o ,则AC = ( ) (A )1(B )2(C )3(D )4【答案】A【解析】由余弦定理得213931AC AC AC =++⇒=,选A.4.【2016高考江苏卷】在锐角三角形ABC 中,若sin 2sin sin A B C =,则tan tan tan A B C 的最小值是 ▲ . 【答案】8. 【解析】sin sin()2sin sin tan tan 2tan tan A B+C B C B C B C==⇒+=,又tan tan tan tan tan 1B+CA=B C -,因tan tan tan tan tan tan tan 2tan tan tan tan tan 8,A B C A B C A B C A B C =++=+≥≥即最小值为8.5.(2016·山东卷)在△ABC 中,角A ,B ,C 的对边分别是a ,b ,c ,已知b =c ,a 2=2b 2(1-sinA ),则A =( )A.3π4 B.π3 C.π4 D.π6解析 在△ABC 中,由b =c ,得cos A =b 2+c 2-a 22bc =2b 2-a 22b 2,又a 2=2b 2(1-sin A ),所以cos A =sin A ,即tan A =1,又知A ∈(0,π),所以A =π4,故选C.答案 C【2015高考天津,理13】在ABC ∆ 中,内角,,A B C 所对的边分别为,,a b c ,已知ABC ∆的面积为 ,12,cos ,4b c A -==- 则a 的值为 . 【答案】【解析】因为0A π<<,所以sin 4A ==,又1sin 242ABC S bc A bc ∆===∴=,解方程组224b c bc -=⎧⎨=⎩得6,4b c ==,由余弦定理得2222212cos 64264644a b c bc A ⎛⎫=+-=+-⨯⨯⨯-= ⎪⎝⎭,所以8a =.【2015高考北京,理12】在ABC △中,4a =,5b =,6c =,则sin 2sin AC= .【答案】1【解析】222sin 22sin cos 2sin sin 2A A A a b c a C C c bc +-==⋅2425361616256⨯+-=⋅=⨯⨯【2015高考新课标1,理16】在平面四边形ABCD 中,∠A =∠B =∠C =75°,BC =2,则AB 的取值范围是 . 【答案】(62-,6+2)AB 的取值范围为(62-,6+2).【2015江苏高考,15】(本小题满分14分) 在ABC ∆中,已知ο60,3,2===A AC AB . (1)求BC 的长; (2)求C 2sin 的值 【答案】(17(243【2015高考湖南,理17】设ABC ∆的内角A ,B ,C 的对边分别为a ,b ,,tan a b A =,且B 为钝角. (1)证明:2B A π-=;(2)求sin sin A C +的取值范围. 【答案】(1)详见解析;(2)29,]28. 【解析】(1)由tan a b A =及正弦定理,得sin sin cos sin A a AA bB ==,∴sin cos B A =,即sin sin()2B A π=+,又B 为钝角,因此(,)22A πππ+∈,故2B A π=+,即2B A π-=; (2)由(1)知,()C A B π=-+(2)2022A A πππ-+=->,∴(0,)4A π∈,于是sin sin sin sin(2)2A C A A π+=+-2219sin cos 22sin sin 12(sin )48A A A A A =+=-++=--+,∵04A π<<,∴20sin A <<221992(sin )488A <--+≤,由此可知sin sin A C +的取值范围是29]28.(2014·湖北卷)某实验室一天的温度(单位:℃)随时间t (单位:h)的变化近似满足函数关系:f (t )=10-3cos π12t -sin π12t ,t ∈[0,24).(1)求实验室这一天的最大温差.(2)若要求实验室温度不高于11℃,则在哪段时间实验室需要降温?即sin ⎝⎛⎭⎪⎫π12t +π3<-12.又0≤t <24,因此7π6<π12t +π3<11π6,即10<t <18.故在10时至18时实验室需要降温.(2014·江西卷)已知函数f (x )=sin(x +θ)+a cos(x +2θ),其中a ∈R,θ∈⎝ ⎛⎭⎪⎫-π2,π2.(1)当a =2,θ=π4时,求f (x )在区间[0,π]上的最大值与最小值;(2)若f ⎝ ⎛⎭⎪⎫π2=0,f (π)=1,求a ,θ的值.【解析】(1)f (x )=sin ⎝ ⎛⎭⎪⎫x +π4+2cos ⎝⎛⎭⎪⎫x +π2=22(sin x +cos x )-2sin x =22cos x -22sin x =sin ⎝ ⎛⎭⎪⎫π4-x .因为x ∈[0,π],所以π4-x ∈⎣⎢⎡⎦⎥⎤-3π4,π4,故f (x )在区间[0,π]上的最大值为22,最小值为-1. (2)由⎩⎪⎨⎪⎧f ⎝ ⎛⎭⎪⎫π2=0,f (π)=1,得⎩⎪⎨⎪⎧cos θ(1-2a sin θ)=0,2a sin 2θ-sin θ-a =1. 又θ∈⎝ ⎛⎭⎪⎫-π2,π2,知cos θ≠0, 所以⎩⎪⎨⎪⎧1-2a sin θ=0,(2a sin θ-1)sin θ-a =1,解得⎩⎪⎨⎪⎧a =-1,θ=-π6.(2014·四川卷)已知函数f (x )=sin ⎝ ⎛⎭⎪⎫3x +π4.(1)求f (x )的单调递增区间;(2)若α是第二象限角,f ⎝ ⎛⎭⎪⎫α3=45cos ⎝⎛⎭⎪⎫α+π4cos 2α,求cos α-sin α的值.当sin α+cos α=0时,由α是第二象限角,得α=3π4+2k π,k ∈Z,此时,cos α-sin α=- 2.当sin α+cos α≠0时,(cos α-sin α)2=54.由α是第二象限角,得cos α-sin α<0,此时cos α-sin α=-52. 综上所述,cos α-sin α=-2或-52. (2013·北京卷)在△ABC 中,a =3,b =2 6,∠B=2∠A. (1)求cos A 的值; (2)求c 的值.【解析】(1)因为a =3,b =2 6,∠B=2∠A, 所以在△ABC 中,由正弦定理得3sin A =2 6sin 2A .所以2sin Acos A sin A =2 63.故cos A =63. (2)由(1)知cos A =63,所以sin A =1-cos 2A =33. 又因为∠B=2∠A,所以cos B =2cos 2A -1=13.所以sin B =1-cos 2B =2 23.在△ABC 中,sin C =sin(A +B) =sin AcosB +cos Asin B =5 39. 所以c =a sin Csin A=5.(2013·全国卷)设△ABC 的内角A ,B ,C 的对边分别为a ,b ,c ,(a +b +c)(a -b +c)=ac. (1)求B ; (2)若sin Asin C =3-14,求C.=32, 故A -C =30°或A -C =-30°,因此C =15°或C =45°. (2013·浙江卷)已知α∈R,sin α+2cos α=102,则tan 2α=( ) A.43 B.34 C .-34 D .-43 【答案】C【解析】由(sin α+2cos α)2=1022'得sin 2α+4sin αcos α+4cos 2α=104=52,4sin αcos α+1+3cos 2α=52,2sin 2α+1+3×1+cos 2α2=52,故2sin 2α=-3cos 2α2,所以tan2α=-34,选择C.(2013·重庆卷)4cos 50°-tan 40°=( ) A. 2 B.2+32C. 3 D .2 2-1 【答案】C1.在△ABC 中,AB =3,AC =1,B =30°,△ABC 的面积为32,则C =( ) A.30° B.45°C.60°D.75°解析 法一 ∵S △ABC =12·AB ·AC ·sin A =32,即12×3×1×sin A =32,∴sin A =1, 由A ∈(0°,180°),∴A =90°,∴C =60°.故选C. 法二 由正弦定理,得sin B AC =sin C AB ,即12=sin C 3,sin C =32,又C ∈(0°,180°),∴C =60°或C =120°. 当C =120°时,A =30°,S △ABC =34≠32(舍去).而当C =60°时,A =90°, S △ABC =32,符合条件,故C =60°.故选C. 答案 C2.在△ABC 中,角A ,B ,C 对应的边分别为a ,b ,c ,若A =2π3,a =2,b =233,则B 等于( )A.π3B.5π6C.π6或5π6D.π6解析∵A=2π3,a=2,b=233,∴由正弦定理asin A=bsin B可得,sin B=basin A=2332×32=12.∵A=2π3,∴B=π6.答案 D3.在△ABC中,cos2B2=a+c2c(a,b,c分别为角A,B,C的对边),则△ABC的形状为( ) A.等边三角形 B.直角三角形C.等腰三角形或直角三角形D.等腰直角三角形答案 B4.△ABC的内角A,B,C的对边分别为a,b,c,则“a>b”是“cos 2A<cos 2B”的( )A.充分不必要条件B.必要不充分条件C.充分必要条件D.既不充分也不必要条件解析因为在△ABC中,a>b⇔sin A>sin B⇔sin2A>sin2B⇔2sin2A>2sin2B⇔1-2sin2A<1-2sin2B⇔cos 2A<cos 2B.所以“a>b”是“cos 2A<cos 2B”的充分必要条件.答案 C5.已知△ABC的内角A,B,C的对边分别为a,b,c,且c-bc-a=sin Asin C+sin B,则B等于( ) A.π6B.π4C.π3D.3π4答案 C解析 根据正弦定理a sin A =b sin B =csin C =2R ,得c -b c -a =sin A sin C +sin B =ac +b, 即a 2+c 2-b 2=ac ,得cos B =a 2+c 2-b 22ac =12,故B =π3,故选C.6.在△ABC 中,角A ,B ,C 的对边分别为a ,b ,c .若(a 2+c 2-b 2)tan B =3ac ,则角B 的值为________. 答案π3或2π3解析 由余弦定理,得a 2+c 2-b 22ac=cos B ,结合已知等式得cos B ·tan B =32, ∴sin B =32,∴B =π3或2π3. 7.在△ABC 中,若b =5,B =π4,tan A =2,则a =______.答案 2108.已知a ,b ,c 分别为△ABC 三个内角A ,B ,C 的对边,a =2,且(2+b )(sin A -sin B )=(c -b )sin C ,则△ABC 面积的最大值为________. 答案3解析 由正弦定理,可得(2+b )(a -b )=(c -b )·c . ∵a =2,∴a 2-b 2=c 2-bc ,即b 2+c 2-a 2=bc .由余弦定理,得cos A =b 2+c 2-a 22bc =12.∴sin A =32. 由b 2+c 2-bc =4,得b 2+c 2=4+bc . ∵b 2+c 2≥2bc ,即4+bc ≥2bc ,∴bc ≤4. ∴S △ABC =12bc ·sin A ≤3,即(S △ABC )max = 3.9.在△ABC 中,内角A ,B ,C 所对的边分别为a ,b ,c .已知a ≠b ,c =3,cos 2A -cos 2B =3sin A cos A -3sin B cos B . (1)求角C 的大小;(2)若sin A =45,求△ABC 的面积.由a <c ,得A <C ,从而cos A =35,故sin B =sin(A +C )=sin A cos C +cos A sin C=4+3310, 所以,△ABC 的面积为S =12ac sin B =83+1825.10.如图,在△ABC 中,B =π3,AB =8,点D 在BC 边上,且CD =2,cos∠ADC =17.(1)求sin∠BAD ; (2)求BD 、AC 的长.在△ABD 中,由正弦定理得 BD =AB ·sin∠BADsin∠ADB =8×3314437=3.在△ABC 中,由余弦定理得AC 2=AB 2+BC 2-2AB ·BC ·cos B=82+(2+3)2-2×8×5×12=49.所以AC =7.11.在△ABC 中,角A ,B ,C 的对边分别为a ,b ,c ,且a 2-(b -c )2=(2-3)bc ,sin A sin B =cos 2C2,BC 边上的中线AM 的长为7.(1)求角A 和角B 的大小; (2)求△ABC 的面积.解 (1)由a 2-(b -c )2=(2-3)bc , 得a 2-b 2-c 2=-3bc ,∴cos A =b 2+c 2-a 22bc =32,(2)由(1)知,a =b ,由余弦定理得AM 2=b 2+(a2)2-2b ·a2·cos C =b 2+b 24+b 22=(7)2,解得b=2,故S △ABC =12ab sin C =12×2×2×32= 3.12.设f (x )=sin x cos x -cos 2⎝ ⎛⎭⎪⎫x +π4.(1)求f (x )的单调区间;精品文档. (2)在锐角△ABC 中,角A ,B ,C 的对边分别为a ,b ,c .若f ⎝ ⎛⎭⎪⎫A 2=0,a =1,求△ABC 面积的最大值.解 (1)由题意知f (x )=sin 2x 2-1+cos ⎝ ⎛⎭⎪⎫2x +π22=sin 2x 2-1-sin 2x 2=sin 2x -12. 由-π2+2k π≤2x ≤π2+2k π,k ∈Z, 可得-π4+k π≤x ≤π4+k π,k ∈Z ; 由π2+2k π≤2x ≤3π2+2k π,k ∈Z, 可得π4+k π≤x ≤3π4+k π,k ∈Z . 所以f (x )的单调递增区间是⎣⎢⎡⎦⎥⎤-π4+k π,π4+k π(k ∈Z ); 单调递减区间是⎣⎢⎡⎦⎥⎤π4+k π,3π4+k π(k ∈Z ). (2)由f ⎝ ⎛⎭⎪⎫A 2=sin A -12=0,得sin A =12, 由题意知A 为锐角,所以cos A =32. 由余弦定理a 2=b 2+c 2-2bc cos A ,可得1+3bc =b 2+c 2≥2bc ,即bc ≤2+3,且当b =c 时等号成立. 因此12bc sin A ≤2+34.所以△ABC 面积的最大值为2+34.。
解三角形1.1 正弦定理和余弦定理1.1.1 正弦定理【典型题剖析】考察点1:利用正弦定理解三角形例1在V ABC 中,已知A:B:C=1:2:3, 求a :b :c.【点拨】本题考查利用正弦定理实现三角形中边与角的互化,利用三角形内角和定理及正弦定理的变形形式 a :b :c=sinA: sinB: sinC 求解。
Q A:B :C1: 2: 3,而A B C .解:A, B ,C ,6 3 21 3a :b :sin A: sin B : sinC sin : sin : sin : :1 1: 3 :2.6 3 2 2 2【解题策略】要牢记正弦定理极其变形形式,要做到灵活应用。
例2 在ABC 中,已知c= 2+ 6 ,C=30°,求a+b 的取值范围。
【点拨】此题可先运用正弦定理将a+b 表示为某个角的三角函数,然后再求解。
解:∵C=30°,c= 2+ 6 ,∴由正弦定理得:a b c2 6 sin A sin B sin C sin 30,∴a=2( 2+ 6 )sinA,b=2( 2+ 6 )sinB=2( 2+ 6 )sin(150°-A) .∴a+b=2( 2+ 6 )[sinA+sin(150 °-A)]= 2( 2+ 6 ) ·2sin75 °·cos(75 °-A)= 22 6 cos(75 °-A)①当75°-A=0°,即A=75°时,a+b 取得最大值22 6 =8+43 ;②∵A=180°-(C+B)=150 °-B, ∴A<150°,∴0°<A<150°, ∴-75 °<75°-A<75°,∴cos75 °<cos(75 °-A) ≤1,∴>22 6 cos75 °=22 6 ×6 24= 2+ 6 .综合①②可得a+b 的取值范围为( 2+ 6 ,8+ 4 3 >考察点2:利用正弦定理判断三角形形状例3在△ABC中, 2a ·tanB=2b ·tanA,判断三角形ABC的形状。
高中数学必修五公式方法总结第一章 解三角形一、正弦定理:2(sin sin sin a b cR R A B C===为三角形外接圆半径)变形:2sin (sin )22sin (sin )22sin (sin )2a a R A A R b b R B B R c c R C C R ⎧==⎪⎪⎪==⎨⎪⎪==⎪⎩推论:::sin :sin :sin a b c A B C = 二、余弦定理:变形:三、三角形面积公式:111sin sin sin .222===ABC S bc A ac B ab C △ 第二章 数列一、等差数列: 1.定义:a n+1-a n =d (常数)2.通项公式:()n1n 1d a a =+-或()nmn m d a a =+-3.求和公式:()()1n n 1n n n 1n d22a a S a +-==+4.重要性质(1)a a a a qpnmq p n m +=+⇒+=+(2) m,2m,32m m m S S S S S --仍成等差数列二、等比数列:1.定义:)0(1≠=+q q a a nn 2.通项公式:q a a n n11-∙=或q a a mn mn-∙=3.求和公式:1n n 11n na ,q 1S a (1q )a a q ,q 11q 1q =⎧⎪=--⎨=≠⎪--⎩2222222222cos 2cos 2cos a b c bc Ab ac ac B c a b ab C =+-=+-=+-222222222cos 2cos 2cos 2b c a A bc a c b B aca b c C ab +-=+-=+-=4.重要性质(1)a a a a q p n m q p n m =⇒+=+(2)m,2m,32--m m m S S S S S 仍成等比数列三、数列求和方法总结:1.等差等比数列求和可采用求和公式(公式法).2.非等差等比数列可考虑分组求和法、错位相减法等转化为等差或等比数列再求和, 常见的拆项公式: 111(1)n(n 1)n n 1=-++第三章:不等式一、解一元二次不等式三步骤: 222(1)ax bx c 0ax bx c 0(a 0).(2)ax bx c 0.(3).⎧++>++<>⎪++=⎨⎪⎩化不等式为标准式或计算的值,确定方程的根根据图象写出不等式的解集∆ 特别地:若二次项系数a 为正且有两根时写解集用口诀:不等号大于0取两边,小于0取中间二、分式不等式的求解通法:(1)标准化:①右边化零,②系数化正.(2)转 换:化为一元二次不等式(依据:两数的商与积同号)三、二元一次不等式Ax+By+C >0(A ,B 不同时为0),确定其所表示的平面区域用口诀:同上异下(A与不等式的符号)(注意:包含边界直线用实线,否则用虚线)四、线性规划问题求解步骤:画(可行域),移(平行线),求(交点坐标,最优解,最值),答. 五、基本不等式:0,0)2a ba b +≥≥≥(当且仅当a=b 时,等号成立).1111(2)()n(n k)k nn k=-++1111(3)()(2n 1)(2n 1)22n 12n 1=--+-+1111(4[]n(n 1)(n 2)2n(n 1)(n 1)(n 2)=-+++++)=()10()()0()()(2)0()()0()0()()()30()()>⇔>≥⇔≥≠≥⇔-≥f x f x g x g x f x f x g x g x g x f x f x a a g x g x 常用的解分式不等式的同解变形法则为()且(),再通分2a b (1)a b (2)ab ().2++≥≤变形;变形(和定积最大) 利用基本不等式求最值应用条件:一正数 ; 二定值 ; 三相等。
人教A 版必修五第一章《解三角形》章末复习知识梳理1.正弦定理:A a sin =B b sin =C csin =2R ,其中R 是三角形外接圆半径.2.余弦定理:(1)形式一:A cos bc 2c b a 222⋅-+=,B cos ac 2c a b 222⋅-+=,C cos ab 2b a c 222⋅-+=形式二:bc 2a c b A cos 222-+=,ac 2b c a B cos 222-+=,ab2c b a C cos 222-+=,(角到边的转换)3.S △ABC =21absinC=21bcsinA=21acsinB,S △=))()((c S b S a S S ---=Sr (S=2cb a ++,r 为内切圆半径)=R abc 4(R 为外接圆半径).4.在三角形中大边对大角,反之亦然.5.射影定理:a=bcosC+ccosB,b=acosC+ccosA,c=acosB+bcosA.6.三角形内角的诱导公式(1)sin(A+B)=sinC,cos(A+B)=-cosC,tanC=-tan(A+B),cos 2C =sin 2BA +,sin 2C =cos 2BA ……在△ABC 中,熟记并会证明tanA+tanB+tanC=tanA·tanB·tanC; (2)A 、B 、C 成等差数列的充要条件是B=60°;(3)△ABC 是正三角形的充要条件是A 、B 、C 成等差数列且a 、b 、c 成等比数列.7.解三角形常见的四种类型(1)已知两角A 、B 与一边a,由A+B+C=180°及A a sin =B b sin =C c sin ,可求出角C ,再求b 、c.(2)已知两边b 、c 与其夹角A ,由a 2=b 2+c 2-2bccosA ,求出a ,再由余弦定理,求出角B 、C.(3)已知三边a 、b 、c ,由余弦定理可求出角A 、B 、C.(4)已知两边a 、b 及其中一边的对角A ,由正弦定理A a sin =B bsin ,求出另一边b 的对角B ,由C=π-(A+B),求出c ,再由A a sin =C c sin 求出C ,而通过A a sin =Bbsin 求B 时,可能出一解,两解或无解的情况,其判断方法,如下表:A>90° A=90° A<90° a>b 一解 一解 一解 a=b无解 无解 一解a<ba>bsinA 两解 无解 无解 a=bsinA 一解a<bsinA无解9.三角形的分类或形状判断的思路,主要从边或角两方面入手.专题一:正、余弦定理的应用1.正弦定理主要有两个方面的应用:(1)已知三角形的任意两个角与一边,由三角形内角和定理,可以计算出三角形的第三个角,由正弦定理可以计算出三角形的另两边;(2)已知三角形的任意两边和其中一边的对角,应用正弦定理,可以计算出另一边的对角的正弦值,进而确定这个角和三角形其他的边和角. 2.余弦定理有两方面的应用:(1)已知三角形的两边和它们的夹角可以由余弦定理求出第三边,进而求出其他两角;(2)已知三角形的三边,利用余弦定理求出一个角,进而求出其他两角.例1..(2011江西卷17).(本小题满分12分)在ABC ∆中,角,,A B C 所对应的边分别为,,a b c ,23a =,tantan 4,22A B C++= 2sin cos sin B C A =,求,A B 及,b c例2..(2009北京理) 在ABC ∆中,角,,A B C 的对边分别为,,,3a b c B π=,4cos ,35A b ==。
§1.1 正弦定理和余弦定理1.1.1 正弦定理学习目标 1.掌握正弦定理的内容及其证明方法.2.能运用正弦定理与三角形内角和定理解决简单的解三角形问题.知识点一 正弦定理思考1 如图,在Rt △ABC 中,a sin A ,b sin B ,csin C分别等于什么?答案a sin A =b sin B =c sin C=c . 思考2 在一般的△ABC 中,a sin A =b sin B =csin C 还成立吗?答案 在一般的△ABC 中,a sin A =b sin B =csin C 仍然成立.梳理 在任意△ABC 中,都有a sin A =b sin B =c sin C,这就是正弦定理. 特别提醒:正弦定理的特点(1)适用范围:正弦定理对任意的三角形都成立.(2)结构形式:分子为三角形的边长,分母为相应边所对角的正弦的连等式.(3)刻画规律:正弦定理刻画了三角形中边与角的一种数量关系,可以实现三角形中边角关系的互化.知识点二 解三角形一般地,把三角形的三个角A ,B ,C 和它们的对边a ,b ,c 叫做三角形的元素.已知三角形的几个元素求其他元素的过程叫做解三角形.1.对任意△ABC ,都有a sin A =b sin B =csin C.(√)2.任意给出三角形的三个元素,都能求出其余元素.(×) 3.在△ABC 中,已知a ,b ,A ,则三角形有唯一解.(×)类型一 正弦定理的证明例1 在钝角△ABC 中,证明正弦定理. 考点 正弦定理及其变形应用 题点 正弦定理的理解证明 如图,过C 作CD ⊥AB ,垂足为D ,D 是BA 延长线上一点,根据正弦函数的定义知,CD b =sin ∠CAD =sin(180°-A )=sin A ,CD a =sin B . ∴CD =b sin A =a sin B . ∴a sin A =bsin B. 同理,b sin B =csin C .故a sin A =b sin B =c sin C. 反思与感悟 (1)用正弦函数定义沟通边与角内在联系,充分挖掘这些联系可以使你理解更深刻,记忆更牢固.(2)要证a sin A =bsin B ,只需证a sin B =b sin A ,而a sin B ,b sin A 都对应CD .初看是神来之笔,仔细体会还是有迹可循的,通过体会思维的轨迹,可以提高我们的分析解题能力.跟踪训练1 如图,锐角△ABC 的外接圆O 半径为R ,角A ,B ,C 对应的边分别为a ,b ,c ,证明:asin A=2R .考点 正弦定理及其变形应用 题点 正弦定理的理解证明 连接BO 并延长,交外接圆于点A ′,连接A ′C , 则圆周角A ′=A .∵A ′B 为直径,长度为2R , ∴∠A ′CB =90°, ∴sin A ′=BC A ′B =a 2R ,∴sin A =a 2R ,即asin A =2R .类型二 已知两角及一边解三角形例2 在△ABC 中,已知A =30°,B =60°,a =10,解三角形. 考点 用正弦定理解三角形 题点 已知两角及一边解三角形 解 根据正弦定理,得b =a sin B sin A =10sin 60°sin 30°=10 3. 又C =180°-(30°+60°)=90°. ∴c =a sin C sin A =10sin 90°sin 30°=20.反思与感悟 (1)正弦定理实际上是三个等式:a sin A =b sin B ,b sin B =c sin C ,a sin A =csin C ,每个等式涉及四个元素,所以只要知道其中的三个就可以求另外一个.(2)因为三角形内角和为180°,所以已知两角一定可以求出第三个角. 跟踪训练2 在△ABC 中,已知a =18,B =60°,C =75°,求b 的值. 考点 用正弦定理解三角形 题点 已知两角及一边解三角形 解 根据三角形内角和定理,得A =180°-(B +C )=180°-(60°+75°)=45°. 根据正弦定理,得b =a sin B sin A =18sin 60°sin 45°=9 6.类型三 已知两边及其中一边的对角解三角形例3 在△ABC 中,已知c =6,A =45°,a =2,解三角形. 考点 用正弦定理解三角形题点 已知两边及其中一边对角解三角形解 ∵a sin A =c sin C ,∴sin C =c sin A a =6sin 45°2=32,∵C ∈(0°,180°),∴C =60°或C =120°. 当C =60°时,B =75°,b =c sin B sin C =6sin 75°sin 60°=3+1; 当C =120°时,B =15°,b =c sin B sin C =6sin 15°sin 120°=3-1. ∴b =3+1,B =75°,C =60°或b =3-1,B =15°,C =120°. 引申探究若把本例中的条件“A =45°”改为“C =45°”,则角A 有几个值? 解 ∵a sin A =c sin C ,∴sin A =a sin C c =2·226=33.∵c =6>2=a ,∴C >A .∴A 为小于45°的锐角,且正弦值为33,这样的角A 只有一个. 反思与感悟 已知三角形两边和其中一边的对角解三角形的方法:首先用正弦定理求出另一边所对的角的正弦值,若这个角不是直角,当已知的角为大边所对的角时,则能判断另一边所对的角为锐角,当已知的角为小边所对的角时,则不能判断,此时就有两组解,再分别求解即可;然后由三角形内角和定理求出第三个角;最后根据正弦定理求出第三条边. 跟踪训练3 在△ABC 中,若a =2,b =2,A =30°,则C =________. 考点 用正弦定理解三角形题点 已知两边及其中一边对角解三角形 答案 105°或15°解析 由正弦定理a sin A =b sin B ,得sin B =b sin A a =2sin 30°2=22.∵B ∈(0°,180°),∴B =45°或135°,∴C =180°-45°-30°=105°或C =180°-135°-30°=15°.1. 在△ABC 中,一定成立的等式是( ) A .a sin A =b sin B B .a cos A =b cos B C .a sin B =b sin AD .a cos B =b cos A考点 正弦定理及其变形应用 题点 正弦定理的变形应用 答案 C解析 由正弦定理a sin A =bsin B ,得a sin B =b sin A ,故选C.2.在△ABC 中,sin A =sin C ,则△ABC 是( ) A .直角三角形 B .等腰三角形 C .锐角三角形D .钝角三角形 考点 用正弦定理解三角形题点 利用正弦定理进行边角互化解三角形 答案 B解析 由sin A =sin C 及正弦定理,知a =c , ∴△ABC 为等腰三角形.3.在△ABC 中,已知a =8,B =60°,C =75°,则b 等于( ) A .4 2 B .4 3 C .4 6D .4考点 用正弦定理解三角形 题点 已知两角及一边解三角形 答案 C解析 易知A =45°,由a sin A =b sin B 得b =a sin B sin A=8×3222=4 6. 4.在△ABC 中,a =3,b =2,B =π4,则A =________.考点 用正弦定理解三角形题点 已知两边及其中一边对角解三角形 答案 π3或2π3解析 由正弦定理,得sin A =a sin Bb=3×222=32, 又A ∈(0,π),a >b ,∴A >B ,∴A =π3或2π3.5.在△ABC 中,已知a =5,sin C =2sin A ,则c =________. 考点 正弦定理及其变形应用 题点 正弦定理的变形应用 答案 2 5解析 由正弦定理,得c =a sin Csin A=2a =2 5.1. 正弦定理的表示形式:a sin A =b sin B =csin C =2R ,或a =k sin A ,b =k sin B ,c =k sin C (k >0). 2. 正弦定理的应用范围(1)已知两角和任一边,求其他两边和其余一角. (2)已知两边和其中一边的对角,求另一边和其余两角.3. 已知三角形两边和其中一边的对角解三角形的方法 (1)首先由正弦定理求出另一边对角的正弦值.(2)如果已知的角为大边所对的角,由三角形中大边对大角、大角对大边的法则能判断另一边所对的角为锐角,由正弦值可求唯一锐角.(3)如果已知的角为小边所对的角,则不能判断另一边所对的角为锐角,这时由正弦值可求得两个角,要分类讨论.一、选择题1.在△ABC 中,a =5,b =3,则sin A ∶sin B 的值是( ) A.53 B.35 C.37 D.57 考点 用正弦定理解三角形题点 利用正弦定理进行边角互化解三角形 答案 A解析 根据正弦定理,得sin A sin B =a b =53.2.在△ABC 中,a =b sin A ,则△ABC 一定是( ) A .锐角三角形 B .直角三角形 C .钝角三角形D .等腰三角形考点 正弦定理及其变形应用 题点 正弦定理的变形应用 答案 B解析 由题意有a sin A =b =bsin B,则sin B =1,又B ∈(0,π),故角B 为直角,故△ABC 是直角三角形. 3.在△ABC 中,若sin A a =cos Cc ,则C 的值为( )A .30°B .45°C .60°D .90° 考点 正弦定理及其变形应用 题点 正弦定理的变形应用 答案 B解析 由正弦定理知sin A a =sin Cc ,∴sin C c =cos Cc,∴cos C =sin C ,∴tan C =1, 又∵C ∈(0°,180°),∴C =45°,故选B.4.在△ABC 中,若A =105°,B =45°,b =22,则c 等于( ) A .1 B .2 C. 2 D. 3 考点 用正弦定理解三角形 题点 已知两角及一边解三角形 答案 B解析 ∵A =105°,B =45°,∴C =30°. 由正弦定理,得c =b sin C sin B =22sin 30°sin 45°=2.5.在△ABC 中,a =15,b =10,A =60°,则cos B 等于( ) A .-223 B.223 C .-63 D.63考点 用正弦定理解三角形题点 已知两边及其中一边对角解三角形 答案 D解析 由正弦定理,得15sin 60°=10sin B ,∴sin B =10sin 60°15=10×3215=33. ∵a >b ,∴A >B ,又∵A =60°,∴B 为锐角. ∴cos B =1-sin 2B =1-⎝⎛⎭⎫332=63. 6.在△ABC 中,已知A =π3,a =3,b =1,则c 的值为( )A .1B .2 C.3-1 D. 3 考点 用正弦定理解三角形题点 已知两边及其中一边对角解三角形 答案 B解析 由正弦定理a sin A =bsin B,可得3sinπ3=1sin B ,∴sin B =12,由a >b ,得A >B ,∴B ∈⎝⎛⎭⎫0,π3,∴B =π6. 故C =π2,由勾股定理得c =2.7.在△ABC 中,B =π4,BC 边上的高等于13BC ,则sin A 等于( )A.310B.1010C.55D.31010 考点 用正弦定理解三角形 题点 正弦定理解三角形综合 答案 D解析 如图,设BC 边上的高为AD ,不妨令AD =1.由B =π4,知BD =1.又AD =13BC =BD ,∴DC =2,AC =12+22= 5.由正弦定理知,sin ∠BAC =sin B ·BC AC =225·3=31010.8.在△ABC 中,若A =60°,B =45°,BC =32,则AC 等于( ) A .4 3 B .2 3 C. 3 D.32考点 用正弦定理解三角形 题点 已知两角及一边解三角形 答案 B解析 由正弦定理得,BC sin A =AC sin B ,即32sin 60°=AC sin 45°,所以AC =3232×22=23,故选B.二、填空题9.在△ABC 中,若C =2B ,则cb的取值范围为________.考点 用正弦定理解三角形题点 利用正弦定理、三角变换解三角形 答案 (1,2)解析 因为A +B +C =π,C =2B ,所以A =π-3B >0,所以0<B <π3,所以12<cos B <1.因为c b =sin C sin B =sin 2Bsin B =2cos B ,所以1<2cos B <2,故1<cb<2.10.△ABC 的内角A ,B ,C 的对边分别为a ,b ,c ,若cos A =45,cos C =513,a =1,则b =_____.考点 用正弦定理解三角形 题点 已知两角及一边解三角形 答案2113解析 在△ABC 中,由cos A =45,cos C =513,可得sin A =35,sin C =1213,sin B =sin(A +C )=sin A cos C +cos A ·sin C =6365,又a =1,由正弦定理得b =a sin B sin A =2113.11.锐角三角形的内角分别是A ,B ,C ,并且A >B .则下列三个不等式中成立的是______. ①sin A >sin B ; ②cos A <cos B ;③sin A +sin B >cos A +cos B . 考点 用正弦定理解三角形题点 利用正弦定理、三角变换解三角形 答案 ①②③解析 A >B ⇔a >b ⇔sin A >sin B ,故①成立. 函数y =cos x 在区间[0,π]上是减函数, ∵A >B ,∴cos A <cos B ,故②成立. 在锐角三角形中,∵A +B >π2,∴0<π2-B <A <π2,函数y =sin x 在区间⎣⎡⎦⎤0,π2上是增函数, 则有sin A >sin ⎝⎛⎭⎫π2-B ,即sin A >cos B , 同理sin B >cos A ,故③成立.三、解答题12.已知在△ABC 中,角A ,B ,C 的对边分别为a ,b ,c ,c =10,A =45°,C =30°,求a ,b 和B .考点 用正弦定理解三角形题点 已知两角及一边解三角形解 ∵a sin A =c sin C, ∴a =c sin A sin C =10sin 45°sin 30°=10 2. B =180°-(A +C )=180°-(45°+30°)=105°.又∵b sin B =c sin C, ∴b =c sin B sin C =10sin 105°sin 30°=20sin 75° =20×6+24=5(6+2). 13.在△ABC 中,A =60°,a =43,b =42,求B .考点 用正弦定理解三角形题点 已知两边及其中一边对角解三角形解 由正弦定理a sin A =b sin B ,得sin B =22, ∵a >b ,∴A >B .∴B 只有一解,∴B =45°.四、探究与拓展14.在△ABC 中,内角A ,B ,C 的对边分别为a ,b ,c ,a =x ,b =2,B =45°.若△ABC 有两解,则x 的取值范围是( )A .(2,+∞)B .(0,2)C .(2,22)D .(2,2)考点 用正弦定理解三角形题点 已知两边及其中一边对角解三角形答案 C解析 因为△ABC 有两解,所以a sin B <b <a ,即x sin 45°<2<x ,所以2<x <22,故选C.15.已知下列各三角形中的两边及其中一边的对角,判断三角形是否有解,有解的作出解答.(1)a =10,b =20,A =80°;(2)a =23,b =6,A =30°.考点 用正弦定理解三角形题点 已知两边及其中一边对角解三角形解 (1)a =10,b =20,a <b ,A =80°<90°,讨论如下:∵b sin A =20sin 80°>20sin 60°=103,∴a <b sin A ,∴本题无解.(2)a =23,b =6,a <b ,A =30°<90°,∵b sin A =6sin 30°=3,a >b sin A ,∴b sin A <a <b ,∴本题有两解.由正弦定理得sin B =b sin A a =6sin 30°23=32, 又∵B ∈(0°,180°),∴B =60°或B =120°.当B =60°时,C =90°,c =a sin C sin A =23sin 90°sin 30°=43; 当B =120°时,C =30°,c =a sin C sin A =23sin 30°sin 30°=2 3. ∴当B =60°时,C =90°,c =43;当B =120°时,C =30°,c =2 3.。
1.1.2 余弦定理第1课时 余弦定理及其直接应用学习目标 1.掌握余弦定理的两种表示形式及证明余弦定理的向量方法.2.会运用余弦定理解决两类基本的解三角形问题.知识点一 余弦定理思考1 根据勾股定理,在△ABC 中,C =90°,则c 2=a 2+b 2=a 2+b 2-2ab cos C .① 试验证①式对等边三角形还成立吗?你有什么猜想? 答案 当a =b =c 时,C =60°,a 2+b 2-2ab cos C =c 2+c 2-2c ·c cos 60°=c 2,即①式仍成立,据此猜想,对一般△ABC ,都有c 2=a 2+b 2-2ab cos C .思考2 在c 2=a 2+b 2-2ab cos C 中,ab cos C 能解释为哪两个向量的数量积?你能由此证明思考1的猜想吗? 答案 ab cos C =|CB →||CA→CB →,CA →=CB →·CA →.∴a 2+b 2-2ab cos C =CB →2+CA →2-2CB →·CA →=(CB →-CA →)2=AB →2=c 2. 猜想得证.梳理 余弦定理的公式表达及语言叙述特别提醒:余弦定理的特点(1)适用范围:余弦定理对任意的三角形都成立.(2)揭示的规律:余弦定理指的是三角形中的三条边与其中一个角的余弦之间的关系,它含有四个不同的量,知道其中的三个量,就可求得第四个量. 知识点二 适宜用余弦定理解决的两类基本的解三角形问题思考1 观察知识点一梳理表格第一行中的公式结构,其中等号右边涉及几个量?你认为可用来解哪类三角形?答案 每个公式右边都涉及三个量,两边及其夹角.故如果已知三角形的两边及其夹角,可用余弦定理解三角形.思考2 观察知识点一梳理表格第三行中的公式结构,其中等号右边涉及几个量?你认为可用来解哪类三角形?答案 每个公式右边都涉及三个量,即三角形的三条边,故如果已知三角形的三边,也可用余弦定理解三角形.梳理 余弦定理适合解决的问题:(1)已知两边及其夹角,解三角形;(2)已知三边,解三角形.1.勾股定理是余弦定理的特例.(√)2.余弦定理每个公式中均涉及三角形的四个元素.(√)3.在△ABC 中,已知两边及夹角时,△ABC 不一定唯一.(×)类型一 余弦定理的证明例1 已知△ABC ,BC =a ,AC =b 和角C ,求c 的值. 考点 余弦定理及其变形应用 题点 余弦定理的理解解 如图,设CB →=a ,CA →=b ,AB →=c ,由AB →=CB →-CA →,知c =a -b , 则|c |2=c ·c =(a -b )·(a -b ) =a ·a +b ·b -2a ·b =a 2+b 2-2|a ||b |cos C . 所以c 2=a 2+b 2-2ab cos C , 即c =a 2+b 2-2ab cos C .反思与感悟 所谓证明,就是在新旧知识间架起一座桥梁.桥梁架在哪儿,要勘探地形,证明一个公式,要观察公式两边的结构特征,联系已经学过的知识,看有没有相似的地方. 跟踪训练1 例1涉及线段长度,能不能用解析几何的两点间距离公式来研究这个问题? 考点 余弦定理及其变形应用 题点 余弦定理的理解解 如图,以A 为原点,边AB 所在直线为x 轴建立直角坐标系,则A (0,0),B (c ,0), C (b cos A ,b sin A ),∴BC 2=b 2cos 2A -2bc cos A +c 2+b 2sin 2A , 即a 2=b 2+c 2-2bc cos A . 同理可证b 2=c 2+a 2-2ca cos B , c 2=a 2+b 2-2ab cos C . 类型二 用余弦定理解三角形 命题角度1 已知两边及其夹角例2 在△ABC 中,角A ,B ,C 的对边分别为a ,b ,c ,若a =3,b =2,cos(A +B )=13,则c 等于( ) A.4 B.15 C.3D.17考点 用余弦定理解三角形 题点 已知两边及其夹角解三角形 答案 D解析 由三角形内角和定理可知 cos C =-cos(A +B )=-13,又由余弦定理得c 2=a 2+b 2-2ab cos C =9+4-2×3×2×⎝⎛⎭⎫-13=17, 所以c =17.反思与感悟 已知三角形两边及其夹角时,应先从余弦定理入手求出第三边,再利用正弦定理求其余的角.跟踪训练2 在△ABC 中,已知a =2,b =22,C =15°,求A . 考点 用余弦定理解三角形 题点 已知两边及其夹角解三角形解 由余弦定理,得c 2=a 2+b 2-2ab cos C =8-43, 所以c =6- 2.由正弦定理,得sin A =a sin C c =12,因为b >a ,所以B >A , 所以A 为锐角,所以A =30°. 命题角度2 已知三边例3 在△ABC 中,已知a =26,b =6+23,c =43,求A ,B ,C . 考点 用余弦定理解三角形 题点 已知三边解三解形解 根据余弦定理,cos A =b 2+c 2-a 22bc=(6+23)2+(43)2-(26)22×(6+23)×(43)=32. ∵A ∈(0,π),∴A =π6,cos C =a 2+b 2-c 22ab=(26)2+(6+23)2-(43)22×26×(6+23)=22, ∵C ∈(0,π),∴C =π4.∴B =π-A -C =π-π6-π4=7π12,∴A =π6,B =7π12,C =π4.反思与感悟 已知三边求三角,可利用余弦定理的变形cos A =b 2+c 2-a 22bc ,cos B =a 2+c 2-b 22ac ,cos C =b 2+a 2-c 22ba 先求一个角,求其余角时,可用余弦定理也可用正弦定理.跟踪训练3 在△ABC 中,sin A ∶sin B ∶sin C =2∶4∶5,判断三角形的形状. 考点 用余弦定理解三角形 题点 已知三边解三角形解 因为a ∶b ∶c =sin A ∶sin B ∶sin C =2∶4∶5, 所以可令a =2k ,b =4k ,c =5k (k >0). c 最大,cos C =(2k )2+(4k )2-(5k )22×2k ×4k <0,所以C 为钝角,从而三角形为钝角三角形.1.一个三角形的两边长分别为5和3,它们夹角的余弦值是-35,则三角形的第三边长为( )A.52B.213C.16D.4 考点 用余弦定理解三角形 题点 已知两边及其夹角解三角形 答案 B解析 设第三边长为x ,则x 2=52+32-2×5×3×⎝⎛⎭⎫-35=52,∴x =213. 2.在△ABC 中,a =7,b =43,c =13,则△ABC 的最小角为( ) A.π3 B.π6 C.π4 D.π12考点 用余弦定理解三角形 题点 已知三边解三角形 答案 B解析 ∵a >b >c ,∴C 为最小角且C 为锐角, 由余弦定理,得cos C =a 2+b 2-c 22ab=72+(43)2-(13)22×7×43=32. 又∵C 为锐角,∴C =π6.3.如果等腰三角形的周长是底边长的5倍,那么它的顶角的余弦值为( ) A.518 B.34 C.32 D.78 考点 用余弦定理解三角形 题点 已知三边解三角形 答案 D解析 设顶角为C ,周长为l ,因为l =5c ,所以a =b =2c , 由余弦定理,得cos C =a 2+b 2-c 22ab =4c 2+4c 2-c 22×2c ×2c =78.4.在△ABC 中,a =32,b =23,cos C =13,则c 2= .考点 用余弦定理解三角形 题点 已知两边及其夹角解三角形 答案 30-4 6解析 c 2=a 2+b 2-2ab cos C =(32)2+(23)2-2×32×23×13=30-4 6.5.在△ABC 中,若b =1,c =3,C =2π3,则a = .考点 余弦定理及其变形应用 题点 用余弦定理求边或角的取值范围 答案 1解析 ∵c 2=a 2+b 2-2ab cos C , ∴(3)2=a 2+12-2a ×1×cos 2π3,∴a 2+a -2=0,即(a +2)(a -1)=0.∴a =1或a =-2(舍去).∴a =1.1.利用余弦定理可以解决两类有关三角形的问题 (1)已知两边和夹角,解三角形. (2)已知三边求三角形的任意一角.2.余弦定理与勾股定理的关系:余弦定理可以看作是勾股定理的推广,勾股定理可以看作是余弦定理的特例.(1)如果一个三角形两边的平方和大于第三边的平方,那么第三边所对的角是锐角. (2)如果一个三角形两边的平方和小于第三边的平方,那么第三边所对的角是钝角. (3)如果一个三角形两边的平方和等于第三边的平方,那么第三边所对的角是直角.一、选择题1.在△ABC 中,已知a =2,则b cos C +c cos B 等于( ) A.1 B. 2 C.2 D.4 考点 余弦定理及其变形应用 题点 余弦定理的变形应用 答案 C解析 b cos C +c cos B =b ·a 2+b 2-c 22ab +c ·c 2+a 2-b 22ca =2a 22a =a =2.2.在△ABC 中,已知B =120°,a =3,c =5,则b 等于( ) A.4 3 B.7 C.7 D.5 考点 用余弦定理解三角形 题点 已知两边及其夹角解三角形 答案 C解析 ∵b 2=a 2+c 2-2ac cos B =32+52-2×3×5×cos 120°=49,∴b =7. 3.边长为5,7,8的三角形的最大角与最小角的和是( ) A.90° B.120° C.135° D.150° 考点 用余弦定理解三角形 题点 已知三边解三角形答案 B解析 设中间角为θ,则θ为锐角,cos θ=52+82-722×5×8=12,θ=60°,180°-60°=120°为所求.4.在△ABC 中,已知b 2=ac 且c =2a ,则cos B 等于( ) A.14 B.34 C.24 D.23 考点 余弦定理及其变形应用 题点 余弦定理的变形应用 答案 B解析 ∵b 2=ac ,c =2a ,∴b 2=2a 2, ∴cos B =a 2+c 2-b 22ac =a 2+4a 2-2a 22a ×2a=34.5.若△ABC 的三边长分别为AB =7,BC =5,CA =6,则AB →·BC →的值为( ) A.19 B.14 C.-18 D.-19 考点 余弦定理及其变形应用 题点 余弦定理的变形应用 答案 D解析 设三角形的三边分别为a ,b ,c , 依题意得,a =5,b =6,c =7.∴AB →·BC →=|AB →|·|BC →|·cos(π-B )=-ac ·cos B . 由余弦定理得b 2=a 2+c 2-2ac ·cos B ,∴-ac ·cos B =12(b 2-a 2-c 2)=12(62-52-72)=-19,∴AB →·BC →=-19.6.在△ABC 中,内角A ,B ,C 所对的边分别为a ,b ,c .若a =4,b =5,c =6,则sin 2A sin C 等于( )A.1B.2C.12D.34考点 用余弦定理解三角形 题点 已知三边解三角形 答案 A解析 由余弦定理得cos A =b 2+c 2-a 22bc =25+36-162×5×6=34,所以sin 2A sin C =2sin A cos A sin C =2a cos Ac=4cos A3=1.7.如图,某住宅小区的平面图呈圆心角为120°的扇形AOB ,C 是该小区的一个出入口,小区里有一条平行于AO 的小路CD .已知某人从点O 沿OD 走到点D 用了2 min ,从点D 沿DC 走到点C 用了3 min.若此人步行的速度为50 m/min ,则该扇形的半径为( ) A.50 m B.45 m C.507 m D.47 m 考点 用余弦定理解三角形 题点 已知两边及其夹角解三角形 答案 C解析 依题意得OD =100 m , CD =150 m , 连接OC ,易知∠ODC =180°-∠AOB =60°, 因此由余弦定理,得OC 2=OD 2+CD 2-2OD ×CD ×cos ∠ODC , 即OC 2=1002+1502-2×100×150×12,解得OC =507(m).8.若△ABC 的内角A ,B ,C 所对的边a ,b ,c 满足(a +b )2-c 2=4,且C =60°,则ab 的值为( )A.43B.8-4 3C.1D.23 考点 余弦定理及其变形应用 题点 余弦定理的变形应用 答案 A解析 (a +b )2-c 2=a 2+b 2-c 2+2ab =4, 又c 2=a 2+b 2-2ab cos C =a 2+b 2-ab ∴a 2+b 2-c 2=ab ,∴3ab =4,∴ab =43.二、填空题9.在△ABC 中,内角A ,B ,C 所对的边分别为a ,b ,c ,若a 2+b 2<c 2,且sin C =32,则C = .考点 余弦定理及其变形应用 题点 用余弦定理求边或角的取值范围 答案2π3解析 因为a 2+b 2<c 2,所以cos C =a 2+b 2-c 22ab <0,所以三角形是钝角三角形,且C >π2.又因为sin C =32,所以C =2π3. 10.在△ABC 中,A =60°,最大边长与最小边长是方程x 2-9x +8=0的两个实根,则边BC 的长为 .考点 余弦定理及其变形应用题点 余弦定理与一元二次方程结合问题 答案57解析 设内角B ,C 所对的边分别为b ,c .∵A =60°,∴可设最大边与最小边分别为b ,c .由条件可知b +c =9,bc =8,∴BC 2=b 2+c 2-2bc cos A =(b +c )2-2bc -2bc cos A =92-2×8-2×8×cos 60°=57,∴BC =57.11.在△ABC 中,AB =2,AC =6,BC =1+3,AD 为边BC 上的高,则AD 的长是 . 考点 余弦定理解三解形 题点 已知三边解三角形 答案3解析 ∵cos C =BC 2+AC 2-AB 22×BC ×AC=22,∵C ∈⎝⎛⎭⎫0,π2,∴sin C =22.∴AD =AC ·sin C =3. 三、解答题12.在△ABC 中,已知A =120°,a =7,b +c =8,求b ,c . 考点 余弦定理及其变形应用 题点 余弦定理的变形应用解 由余弦定理,得a 2=b 2+c 2-2bc cos A =(b +c )2-2bc (1+cos A ),所以49=64-2bc ⎝⎛⎭⎫1-12,即bc =15, 由⎩⎪⎨⎪⎧ b +c =8,bc =15,解得⎩⎪⎨⎪⎧ b =3,c =5或⎩⎪⎨⎪⎧ b =5,c =3. 13.在△ABC 中,a 2+c 2=b 2+2ac .(1)求B 的大小;(2)求2cos A +cos C 的最大值.考点 用余弦定理解三角形题点 余弦定理解三角形综合问题解 (1)由a 2+c 2=b 2+2ac 得a 2+c 2-b 2=2ac ,由余弦定理得cos B =a 2+c 2-b 22ac =2ac 2ac =22. 又0<B <π,所以B =π4. (2)A +C =π-B =π-π4=3π4,所以C =3π4-A,0<A <3π4. 所以2cos A +cos C =2cos A +cos ⎝⎛⎭⎫3π4-A=2cos A +cos3π4cos A +sin 3π4sin A =2cos A -22cos A +22sin A =22sin A +22cos A =sin ⎝⎛⎭⎫A +π4. ∵0<A <3π4,∴π4<A +π4<π, 故当A +π4=π2, 即A =π4时,2cos A +cos C 取得最大值1. 四、探究与拓展14.已知a ,b ,c 是△ABC 的三边长,若直线ax +by +c =0与圆x 2+y 2=1无公共点,则△ABC 的形状是( )A.锐角三角形B.钝角三角形C.直角三角形D.不能确定考点 判断三角形形状 题点 利用余弦定理判断三角形形状答案 B解析 ∵直线ax +by +c =0与圆x 2+y 2=1无公共点,∴圆心(0,0)到直线ax +by +c =0的距离d =|c |a 2+b2>1,即a 2+b 2-c 2<0,∴cos C =a 2+b 2-c 22ab <0, 又C ∈(0,π),∴C 为钝角.故△ABC 为钝角三角形.15.在△ABC 中,已知BC =7,AC =8,AB =9,则AC 边上的中线长为 . 考点 用余弦定理解三角形题点 已知三边解三角形答案 7解析 由条件知cos A =AB 2+AC 2-BC 22×AB ×AC =92+82-722×9×8=23, 设中线长为x ,由余弦定理,知x 2=⎝⎛⎭⎫AC 22+AB 2-2×AC 2×AB cos A =42+92-2×4×9×23=49, 所以x =7.所以AC 边上的中线长为7.。
数学5 第一章解三角形章节总体设计(一)课标要求本章的中心内容是如何解三角形,正弦定理和余弦定理是解三角形的工具,最后落实在解三角形的应用上。
通过本章学习,学生应当达到以下学习目标:(1)通过对任意三角形边长和角度关系的探索,掌握正弦定理、余弦定理,并能解决一些简单的三角形度量问题。
(2)能够熟练运用正弦定理、余弦定理等知识和方法解决一些与测量和几何计算有关的生活实际问题。
(二)编写意图与特色1.数学思想方法的重要性数学思想方法的教学是中学数学教学中的重要组成部分,有利于学生加深数学知识的理解和掌握。
本章重视与内容密切相关的数学思想方法的教学,并且在提出问题、思考解决问题的策略等方面对学生进行具体示范、引导。
本章的两个主要数学结论是正弦定理和余弦定理,它们都是关于三角形的边角关系的结论。
在初中,学生已经学习了相关边角关系的定性的知识,就是“在任意三角形中有大边对大角,小边对小角”,“如果已知两个三角形的两条对应边及其所夹的角相等,那么这两个三角形全”等。
教科书在引入正弦定理内容时,让学生从已有的几何知识出发,提出探究性问题:“在任意三角形中有大边对大角,小边对小角的边角关系.我们是否能得到这个边、角的关系准确量化的表示呢?”,在引入余弦定理内容时,提出探究性问题“如果已知三角形的两条边及其所夹的角,根据三角形全等的判定方法,这个三角形是大小、形状完全确定的三角形.我们仍然从量化的角度来研究这个问题,也就是研究如何从已知的两边和它们的夹角计算出三角形的另一边和两个角的问题。
”设置这些问题,都是为了加强数学思想方法的教学。
2.注意加强前后知识的联系加强与前后各章教学内容的联系,注意复习和应用已学内容,并为后续章节教学内容做好准备,能使整套教科书成为一个有机整体,提高教学效益,并有利于学生对于数学知识的学习和巩固。
本章内容处理三角形中的边角关系,与初中学习的三角形的边与角的基本关系,已知三角形的边和角相等判定三角形全等的知识有着密切联系。
学案正弦定理和余弦定理导学目标: 1.利用正弦定理、余弦定理进行边角转化,进而进行恒等变换解决问题.2.掌握正弦定理、余弦定理,并能解决一些简单的三角形度量问题.自主梳理1.三角形的有关性质(1)在△ABC中,A+B+C=________;(2)a+b____c,a-b<c;(3)a>b⇔sin A____sin B⇔A____B;(4)三角形面积公式:S△ABC=12ah=12ab sin C=12ac sin B=_________________;(5)在三角形中有:sin 2A=sin 2B⇔A=B或________________⇔三角形为等腰或直角三角形;sin(A+B)=sin C,sin A+B2=cosC2.自我检测1.(2010·上海)若△ABC的三个内角满足sin A∶sin B∶sin C=5∶11∶13,则△ABC()A.一定是锐角三角形B.一定是直角三角形C.一定是钝角三角形D.可能是锐角三角形,也可能是钝角三角形2.(2010·天津)在△ABC中,内角A,B,C的对边分别是a,b,c,若a2-b2=3bc,sin C=23sin B,则A等于()A.30°B.60°C.120°D.150°3.(2011·烟台模拟)在△ABC中,A=60°,b=1,△ABC的面积为3,则边a的值为() A.27 B.21C.13 D.34.(2010·山东)在△ABC 中,角A ,B ,C 所对的边分别为a ,b ,c .若a =2,b =2,sin B +cos B =2,则角A 的大小为________.5.(2010·北京)在△ABC 中,若b =1,c =3,C =2π3,则a =________.探究点一 正弦定理的应用例1 (1)在△ABC 中,a =3,b =2,B =45°,求角A 、C 和边c ;(2)在△ABC 中,a =8,B =60°,C =75°,求边b 和c .变式迁移1 (1)在△ABC 中,若tan A =13,C =150°,BC =1,则AB =________; (2)在△ABC 中,若a =50,b =256,A =45°,则B =________.探究点二 余弦定理的应用例2 (2011·咸宁月考)已知a 、b 、c 分别是△ABC 中角A 、B 、C 的对边,且a 2+c 2-b 2=ac .(1)求角B 的大小;(2)若c =3a ,求tan A 的值.变式迁移2 在△ABC 中,a 、b 、c 分别为A 、B 、C 的对边,B =2π3,b =13,a +c =4,求a .探究点三 正、余弦定理的综合应用例3 在△ABC 中,a 、b 、c 分别表示三个内角A 、B 、C 的对边,如果(a 2+b 2)sin(A-B )=(a 2-b 2)sin(A +B ),试判断该三角形的形状.变式迁移3 (2010·天津)在△ABC 中,AC AB =cos B cos C. (1)证明:B =C ;(2)若cos A =-13,求sin ⎝⎛⎭⎫4B +π3的值.1.解斜三角形可以看成是三角变换的延续和应用,用到三角变换的基本方法,同时它是对正、余弦定理,三角形面积公式等的综合应用.2.在利用正弦定理解已知三角形的两边和其中一边的对角,求另一边的对角,进而求出其他的边和角时,有可能出现一解、两解或无解的情况,应结合图形并根据“三角形中大边对大角”来判断解的情况,作出正确取舍.3.在解三角形中的三角变换问题时,要注意两点:一是要用到三角形的内角和及正、余弦定理,二是要用到三角变换、三角恒等变形的原则和方法.“化繁为简”“化异为同”是解此类问题的突破口.(满分:75分) 一、选择题(每小题5分,共25分)1.(2010·湖北)在△ABC 中,a =15,b =10,A =60°,则cos B 等于 ( )A .-223 B.223 C .-63 D.632.在△ABC 中AB =3,AC =2,BC 则AB →⋅AC →等于 ( )A .-32B .-23 C.23 D.323.在△ABC 中,sin 2A 2=c -b 2c(a ,b ,c 分别为角A ,B ,C 的对边),则△ABC 的形状为( )A .正三角形B .直角三角形C .等腰直角三角形D .等腰三角形4.(2011·聊城模拟)在△ABC 中,若A =60°,BC =43,AC =42,则角B 的大小为( )A .30°B .45°C .135°D .45°或135°5.(2010·湖南)在△ABC 中,角A ,B ,C 所对的边长分别为a ,b ,c ,若C =120°,c =2a ,则( )A .a >bB .a <b6.在△ABC 中,B =60°,b 2=ac ,则△ABC 的形状为________________.7.(2010·广东)已知a ,b ,c 分别是△ABC 的三个内角A ,B ,C 所对的边,若a =1,b=3,A +C =2B ,则sin C =________.8.(2011·龙岩模拟)在锐角△ABC 中,AD ⊥BC ,垂足为D ,且BD ∶DC ∶AD =2∶3∶6,则∠BAC 的大小为________.三、解答题(共38分)9.在△ABC 中,角A ,B ,C 所对的边分别为a ,b ,c ,且满足cos 2A =,AB →AC →=3. (1)求△ABC 的面积;(2)若b +c =6,求a 的值.10.(12分)(2010·陕西)在△ABC 中,已知B =45°,D 是BC 边上的一点,AD =10,AC=14,DC =6,求AB 的长.11.(14分)(2010·重庆)设△ABC 的内角A 、B 、C 的对边长分别为a 、b 、c ,且3b 2+3c 2-3a 2=42bc .(1)求sin A 的值;(2)求2sin ⎝⎛⎭⎫A +π4sin ⎝⎛⎭⎫B +C +π41-cos 2A的值.答案 自主梳理1.(1)π (2)> (3)> > (4)12bc sin A (5)A +B =π2 2.a sin A =b sin B =c sin Cb 2+c 2-2bc cos A a 2+c 2-2ac cos B a 2+b 2-2ab cos C ①2R sin A 2R sin B 2R sin C ②a 2R b 2Rc 2R ③sin A ∶sin B ∶sin C b 2+c 2-a 22bc a 2+c 2-b 22ac a 2+b 2-c 22ab自我检测1.C 2.A 3.C4.π65.1 课堂活动区例1 解题导引 已知三角形的两边和其中一边的对角,可利用正弦定理求其他的角和边,但要注意对解的情况进行判断,这类问题往往有一解、两解、无解三种情况.具体判断方法如下:在△ABC 中.已知a 、b 和A ,求B .若A 为锐角,①当a ≥b 时,有一解;②当a =b sin A 时,有一解;③当b sin A <a <b 时,有两解;④当a <b sin A 时,无解.若A 为直角或钝角,①当a >b 时,有一解;②当a ≤b 时,无解.解 (1)由正弦定理a sin A =b sin B 得,sin A =32. ∵a >b ,∴A >B ,∴A =60°或A =120°.当A =60°时,C =180°-45°-60°=75°,c =b sin C sin B =6+22; 当A =120°时,C =180°-45°-120°=15°,c =b sin C sin B =6-22. 综上,A =60°,C =75°,c =6+22, 或A =120°,C =15°,c =6-22. (2)∵B =60°,C =75°,∴A =45°.由正弦定理a sin A =b sin B =c sin C, 得b =a ·sin B sin A =46,c =a ·sin C sin A=43+4. ∴b =46,c =43+4.变式迁移1 (1)102(2)60°或120° 解析 (1)∵在△ABC 中,tan A =13,C =150°,∴A 为锐角,∴sin A =110. 又∵BC =1. ∴根据正弦定理得AB =BC ·sin C sin A =102. (2)由b >a ,得B >A ,由a sin A =b sin B, 得sin B =b sin A a =25650×22=32, ∵0°<B <180°∴B =60°或B =120°.例2 解 (1)∵a 2+c 2-b 2=ac ,∴cos B =a 2+c 2-b 22ac =12. ∵0<B <π,∴B =π3. (2)方法一 将c =3a 代入a 2+c 2-b 2=ac ,得b =7a .由余弦定理,得cos A =b 2+c 2-a 22bc =5714. ∵0<A <π,∴sin A =1-cos 2A =2114, ∴tan A =sin A cos A =35. 方法二 将c =3a 代入a 2+c 2-b 2=ac ,得b =7a . 由正弦定理,得sin B =7sin A .由(1)知,B =π3,∴sin A =2114. 又b =7a >a ,∴B >A ,∴cos A =1-sin 2A =5714. ∴tan A =sin A cos A =35. 方法三 ∵c =3a ,由正弦定理,得sin C =3sin A .∵B =π3,∴C =π-(A +B )=2π3-A , ∴sin(2π3-A )=3sin A , ∴sin 2π3cos A -cos 2π3sin A =3sin A , ∴32cos A +12sin A =3sin A , ∴5sin A =3cos A ,∴tan A =sin A cos A =35. 变式迁移2 解 由余弦定理得,b 2=a 2+c 2-2ac cos B=a 2+c 2-2ac cos 23π =a 2+c 2+ac =(a +c )2-ac .又∵a +c =4,b =13,∴ac =3,联立⎩⎪⎨⎪⎧a +c =4ac =3,解得a =1,c =3,或a =3,c =1. ∴a 等于1或3.例3 解题导引 利用正弦定理或余弦定理进行边角互化,转化为边边关系或角角关系.解 方法一 ∵(a 2+b 2)sin(A -B )=(a 2-b 2)sin(A +B )⇔a 2[sin(A -B )-sin(A +B )]=b 2[-sin(A +B )-sin(A -B )],∴2a 2cos A sin B =2b 2cos B sin A ,由正弦定理,得sin 2A cos A sin B =sin 2B cos B sin A ,∴sin A sin B (sin A cos A -sin B cos B )=0,∴sin 2A =sin 2B ,由0<2A <2π,0<2B <2π,得2A =2B 或2A =π-2B ,即△ABC 是等腰三角形或直角三角形.方法二 同方法一可得2a 2cos A sin B =2b 2cos B sin A ,由正、余弦定理,即得a 2b ×b 2+c 2-a 22bc =b 2a ×a 2+c 2-b 22ac, ∴a 2(b 2+c 2-a 2)=b 2(a 2+c 2-b 2),即(a 2-b 2)(c 2-a 2-b 2)=0,∴a =b 或c 2=a 2+b 2,∴三角形为等腰三角形或直角三角形.变式迁移3 解题导引 在正弦定理a sin A =b sin B =c sin C=2R 中,2R 是指什么?a =2R sin A ,b =2R sin B ,c =2R sin C 的作用是什么?(1)证明 在△ABC 中,由正弦定理及已知得sin B sin C =cos B cos C. 于是sin B cos C -cos B sin C =0,即sin(B -C )=0.因为-π<B -C <π,从而B -C =0.所以B =C .(2)解 由A +B +C =π和(1)得A =π-2B ,故cos 2B =-cos(π-2B )=-cos A =13. 又0<2B <π,于是sin 2B =1-cos 22B =223. 从而sin 4B =2sin 2B cos 2B =429, cos 4B =cos 22B -sin 22B =-79. 所以sin ⎝⎛⎭⎫4B +π3 =sin 4B cos π3+cos 4B sin π3=42-7318. 课后练习区1.D 2.D 3.B 4.B 5.A6.等边三角形解析 ∵b 2=a 2+c 2-2ac cos B ,∴ac =a 2+c 2-ac ,∴(a -c )2=0,∴a =c ,又B =60°,∴△ABC 为等边三角形.7.1解析 由A +C =2B 及A +B +C =180°知,B =60°.由正弦定理知,1sin A =3sin 60°, 即sin A =12. 由a <b 知,A <B ,∴A =30°,C =180°-A -B =180°-30°-60°=90°,∴sin C =sin 90°=1.8.π4解析 设∠BAD =α,∠DAC =β,则tan α=13,tan β=12, ∴tan ∠BAC =tan(α+β)=tan α+tan β1-tan αtan β=13+121-13×12=1. ∵∠BAC 为锐角,∴∠BAC 的大小为π4. 9.解 (1)因为cos A 2=255, 所以cos A =2cos 2A 2-1=35,sin A =45.……………………………………………………(4分)又由AB →·AC →=3得bc cos A =3,所以bc =5,因此S △ABC =12bc sin A =2.…………………………………………………………………(8分)(2)由(1)知,bc =5,又b +c =6,由余弦定理,得a 2=b 2+c 2-2bc cos A =(b +c )2-165bc =20,所以a =2 5.………(12分) 10.解在△ADC 中,AD =10,AC =14,DC =6,由余弦定理得,cos ∠ADC =AD 2+DC 2-AC 22AD ·DC=100+36-1962×10×6=-12,…………………………………………………………………(6分) ∴∠ADC =120°,∠ADB =60°.…………………………………………………………(8分)在△ABD 中,AD =10,B =45°,∠ADB =60°,由正弦定理得AB sin ∠ADB =AD sin B, ∴AB =AD ·sin ∠ADB sin B =10sin 60°sin 45°=10×3222=5 6.…………………………………………………………………………(12分)11.解 (1)∵3b 2+3c 2-3a 2=42bc ,∴b 2+c 2-a 2=423bc . 由余弦定理得,cos A =b 2+c 2-a 22bc =223,……………………………………………(4分) 又0<A <π,故sin A =1-cos 2A =13.……………………………………………………(6分) (2)原式=2sin ⎝⎛⎭⎫A +π4sin ⎝⎛⎭⎫π-A +π41-cos 2A………………………………………………………(8分)=2sin ⎝⎛⎭⎫A +π4sin ⎝⎛⎭⎫A -π42sin 2A=2⎝⎛⎭⎫22sin A +22cos A ⎝⎛⎭⎫22sin A -22cos A 2sin 2A…………………………………………(11分) =sin 2A -cos 2A 2sin 2A =-72. 所以2sin (A +π4)sin (B +C +π4)1-cos 2A=-72.……………………………………………………(14分)。