初一年级有理数计算题集(500题)
- 格式:doc
- 大小:7.39 MB
- 文档页数:29
初一年级有理数计算题集使用说明:本题集的制作初衷是为学生提供计算题目以便强化计算能力。
此题集共 500 道,1-445 题为基本四则运算,建议每天做 20 道,如能保证答题准确率在 80%以上,说明计算能力比较过关。
446-500 题为能力计算题目,涉及等差数列,等比数列,裂项等技巧,建议学完计算技巧后再作题进行巩固。
要相信坚持总有回报,祝愿每位同学取得优异的成绩。
感谢学而思教研部老师的辛苦工作,由于时间有限,如有错漏之处,请批评指正。
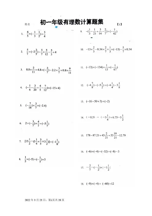
1. 65 ⨯ ( - 13 - 12 ) ÷ 542. 75 ÷ ( - 2 52 ) - 75 ⨯ 125 - 53 ÷ 43. 0.8 ⨯ 112 +4.8 ⨯ ( - 72 ) - 2.2 ÷ 73 + 0.8⨯119 4. ( - 16 - 203 + 54 - 127 ) ⨯ ( -15 ⨯ 4)5. ( - 187 ) ⨯ 73 ⨯ ( -2.4)6. 2 ÷ ( - 73 ) ⨯ 74 ÷ ( -5 17 )7. [15 12 -(1 14 ⨯ 53 +3 12 )] ÷ ( -1 81) 8. 15 ⨯ ( - 5) ÷ ( - 15) ⨯5有理数计算19.- ( 13 - 211 + 143 - 72 ) ÷ ( - 421 )10.-13 ⨯ 23 - 0.34 ⨯ 72 + 13 ⨯ ( - 13) - 75⨯ 0.3411. ( -13) ⨯ ( -134) ⨯ 131 ⨯ ( - 671 )12. ( -4 78 ) - ( -5 12 ) + ( -4 14 ) - 3 1813. ( -16 - 50 + 3) ÷ ( -2)14. (-0.5)-(-3 14)+ 6.75-5 1215. 178 - 87.21 + 43 212 + 53 1921 -12.7916. ( -6) ⨯ ( -4) + ( -32) ÷ ( -8) -317. - 2 -(- 1 )+ | -1 1 |7 2 218. (-9)⨯ ( -4) + (-60) ÷122 有理数计算19. [(- 149 ) - 1 75 + 218] ÷ ( - 421 ) 20. - | - 3 | ÷ 10 - ( - 15) ⨯ 1321. - 1 53 ⨯( 327 - 165)÷ 2 1222. (2 13-3 12 + 1 1718) ÷ ( -1 16) ⨯ ( -7) 23. - 34 ⨯ (8 - 2 13 - 0.04)24. -15 - [ ( -0.4) ⨯ ( -2.5)]525. (- 1)25 - (1 - 0.5) ⨯ 1326. -5 - 7 + -5 - (-7) + (-243) + (-246) 27. 3 - ( -2) ⨯ ( -1) - 8 ÷ ( - 12)2 ⨯ - 3 +1 28. (-27 119) ÷ 9 - ( 12 + 23 - 34 - 1211) ⨯ ( -24)有理数计算 329. -3 118 - - 1027 + ( - 119) - ( -3 54)⎛ 1 ⎫ ⎛ 1 ⎫ ⎛2 ⎫ 30. (+0.125 )+3 ⎪ + -3 ⎪ + 11 ⎪ + ( -0.25)3 ⎝4 ⎭ ⎝ 8 ⎭ ⎝ ⎭31. 211⨯ ( -455) + 365 ⨯ 455 - 211⨯ 545 + 545 ⨯36532.- 110 - (1413 - 1211 ) ⨯ [9 - ( - 3) 2 ] + 12 ÷ 333.( -1) 8 - ( 12 - 23 ) ÷ ( - 16 ) ⨯ [ -2 - ( -3) 2 ] - 18 - 0.5234.⎡⎢1 2 - ( 5 - 1 + 7 ) ⨯ 24 ⎤⎥ ÷ ( -5) ⎣ 13 8 6 12 ⎦⎛ 1 ⎫ ⎛ 3 ⎫ 35. -117 ⨯ - 0.125 ⎪ ÷ ( -1.2 )⨯ -1 ⎪ 32 ⎝ ⎭ ⎝ 13 ⎭36. 42 ⨯ ( -23 ) + ( - 34 ) ÷ ( -0.25)37. [30 - ( 79 + 56 - 1211) ⨯( - 36)]÷ ( -5)4 有理数计算学而思初中优秀教学体系38.( +1 72 ) ÷ ( - 34 ) ÷ ( - 1415 ) ⨯ ( - 85)39.(-1 34 ) ÷ ( -1 12 ) - ( 34 + 12 ) ÷ ( - 54)40. 3 ⨯ (-2)3 - 4 ⨯ (-3)2 + 841. (-1)10 ⨯ 22 + (-2)3 ÷ 242. - 22 - (-2)2 - 23 + (-2)3- 243. -14 -16 ⨯[2 - (-3) 2 ]44. (-10)2 + [(-4)2 - (3 + 32 ) ⨯ 2]45. (-1) 4 - (1 - 0.5) ⨯ 13 ⨯[2 - (-2) 2 ]46. (-2)2003 + (-2)200247. ( -0.25) 2005 ⨯ 4200448. - 0.52 + 14 - - 22 - 4 - (-1 12 )3 ⨯ 94有理数计算 549.(-2)3- 3 ⨯[(-4)2+ 2] - (-3)2÷ (-2)50.-23÷ ( -4) ⨯ ( -7 + 5)51.(-1)10⨯ 22+ (-2)3÷ 252.8 - 23÷(- 4)⨯(- 7 + 5)53.(-3) 2⨯ [-23+ (-95)]-(-6) 2÷ 454.-1--[2-(1-0.5 ⨯43 )]55.- 2 15⨯13- (+3 54) ÷ 3 + (+2212 ) ÷3 - 212⨯1356.9+5 ⨯ ( -3)-( -2) 2÷ 457.( -5) 3⨯ [2 - ( -6)] - 300 ÷558.-1 23⨯ (1 -23 ) ÷11959.[12-4 ⨯ (3 - 10)] ÷4 6有理数计算学而思初中优秀教学体系60. 2 ⨯ ( -3) 3-4 ⨯ ( -3)+1561. -14 - 16 ⨯ [2 ―( -3) 2 ]62.3+50 ÷ 2 2 ⨯ ( - 15)-163. -2 4 ÷ 169 ⨯ ( - 34 )22 ⎛ 1 ⎫3 ⎛ 1 1 ⎫ 100 64. - 0.25 ÷ - ⎪ + - ⎪ ⨯ (-1) 2 8 ⎝ ⎭ ⎝ 2 ⎭2 1001 2 65. - 2 - ( - 1) - 12 ÷( - ) 21+ | -1 - 32 ⨯ 2 |66. -8 - 3 ⨯ ( -1) 3 - ( -4)467. 4-5 ⨯ ( - 12 )368.36 ⨯ ( 12 - 13) 269. - 2 4 ÷ 94 ⨯ (- 32 ) 2有理数计算 7⎡ 1 ⎛ 3 1 3 ⎫ 3 ⎤ 70. ⎢1 - + - ⎪ ⨯ ⎥ ÷ 5 24 86 4 4 ⎣ ⎝ ⎭ ⎦71.(125 + 23 - 34 ) ⨯ (-12)72.16 ÷ (-2)3 - (- 18) ⨯ (-4)73.( - 12 - 13 ) ÷ ( - 16 )+( -2) 2⨯ ( -14)74. - 3 - [ - 5 + (1 - 0.2 ⨯ 53) ÷ ( -2)] 75.1 + 1 + ⋅⋅⋅ + 1 1 ⨯2 2 ⨯3 99 ⨯1002 ⎛ 2 ⎫ 1 76. -1 ⨯1 - ⎪ ÷13 9 ⎝ 3 ⎭⎡12 - 4 ⨯ ( 3 - 10 ⎤ ÷ (4 -9) 77. ⎣)⎦78. -5 +(- 2)4- 24 ÷(- 2)379. 24 + 16 ÷ - 2 3 ÷ -10 ( )( )8 有理数计算学而思初中优秀教学体系1280.(5 + 3 ÷)(÷- 2)(+- 3)381. 4 - - 2 3- 33 ÷ -1 3()()32282. -⨯ [ - 33 ⨯(-)- 23]4383.-9 ÷ 3 +(12-23)⨯ 12 + 3284.(-235) ⨯ (-34) -235⨯17 -235⨯ (-6)15⎛5⎫1⎛ 1 ⎫585. 1⨯- -⎪⨯ 2+ -⎪⨯27727⎝⎭⎝ 2 ⎭86.( -2) 2⨯ ( -1) 3- 3 ⨯[- 1 - ( -2)]87.23- 32- ( -4) ⨯ ( -9) ⨯04 -5 ⨯ -1388.(2)89.-8 - 3 ⨯ - 1 3- -1 4()()有理数计算990.-2 3÷94⨯ (23)21291.-1 -⨯ [12 -(- 3)]692.(- 7)⨯(- 5)- 90 ÷(-15)93.42 ⨯(-23)+(-34)÷(- 0.25)⎛ 11 - 7 + 3 - 13 ⎫⨯(-48)94.⎝ 12 6 424 ⎪⎭⎛ 1 ⎫⎛1⎫95. (-370 )⨯ -⎪+ 0.25 ⨯ 24.5 - -5⎪⨯ 25%2⎝ 4 ⎭⎝⎭3⎛ 3 ⎫96.3⨯ -1⎪4⎝ 5 ⎭97. (-2)⨯(-5)⨯ ⎛+5⎪⎫⨯(-30) 6⎝⎭⎛-5 ⎫⨯4⨯(-1.5 )⨯1198. ⎪153⎝12 ⎭10有理数计算学而思初中优秀教学体系99.⎛-8 + 11- 0.04⎫⎪ ⨯ ⎛ - 3 ⎫⎪⎝3⎭ ⎝ 4 ⎭⎛ 3 ⎫ ⎛ 3 ⎫ 3100. (-8 )⨯ -8 ⎪ + ( -7 )⨯ -8 ⎪ - 15 ⨯87⎝7 ⎭⎝7 ⎭⎛17 ⎫101.9 ⨯ -99⎪⎝18 ⎭⎛ - 1 ⎫⨯ ( -7.98) 102.⎪ 4 ⎝ ⎭103. (-4 )⨯ 5 ⨯ ( -0.25)⨯ ( -8)⎛ 1 ⎫⎛3 ⎫104. -⎪⨯ 0.5 ⨯ -70⎪ ⨯ 45 ⎝ 4 ⎭⎝⎭⎡ ⎛ 7 ⎫ ⎛ 2 ⎫⎛ 1 ⎫⎤105. -3.2 ⨯ ⎢ -3⨯ - ⎪ ⨯ - ⎪ - 2 ⨯ - ⎪⎥⎣⎝ 9 ⎭ ⎝ 21 ⎭ ⎝ 3 ⎭⎦106. 4978 ⨯ ( -4)107. 1 ⨯⎛-75 5 ⎫⎪5 ⎝6 ⎭有理数计算1 1108.⎛-924⎫⎪⨯(-125)⎝25 ⎭109.(- 2006)⨯20042005110.⎛-2+3+1⎫⎪⨯(-24)⎝ 3 4 12 ⎭111.⎛-2⎫⎪⨯⎛-62⎫⎪⨯⎛-1⎫⎪⨯⎛-11⎫⎪⎝ 3 ⎭ ⎝ 3 ⎭ ⎝ 2 ⎭ ⎝ 5 ⎭⎛ 1 ⎫⎛737 ⎫112. -1⎪⨯ -+ 1-⎪84⎝7 ⎭⎝12 ⎭113.⎛1-1⨯7⎫⎪⨯33⎝ 3 2 12 ⎭7⎛ 1 ⎫5⎛5⎫115114. -⎪⨯- -⎪⨯ 2+ 1⨯14142214⎝ 2 ⎭⎝⎭115.4⨯5+ 4 ⨯5+5⨯⎛-5⎫⎪27 927 9 ⎝ 3 ⎭116.⎛+7⎫⎪÷( -1.75⎝ 16 ⎭12有理数计算学而思初中优秀教学体系117.⎛ - 3 ⎫⎪ ÷ ⎛ -3 1 ⎫⎪ ÷ ⎛-1 2 ⎫⎪ ⎝ 5 ⎭ ⎝ 2 ⎭ ⎝ 7 ⎭118. (-81) ÷ 2 14 ⨯ 94÷ ( -15)119. (-10 )÷ ( -8)⨯ ( -4)120. (- 1) ÷ 17 ⨯ ( -7)121. -4.5⨯ 52 ÷98122.⎛ -3 1 ⎫⎪ ÷ ⎛ -1 2 ⎫⎪ ÷ ⎛ -1 ⎫⎪ ⎝ 2 ⎭ ⎝ 3 ⎭ ⎝ 4 ⎭⎛ 1 ⎫ ⎛4 ⎫ ⎛ 13 ⎫ ⎛ 1 ⎫123. +5 ⎪÷ -4 ⎪ ⨯ - ⎪ ÷ -3 ⎪⎝2 ⎭ ⎝ 25 ⎭ ⎝ 15 ⎭ ⎝ 18 ⎭4 ⨯ ( -15)⨯ ⎛ - 1 - 3 + 4 - 7 ⎫124.⎪⎝6 20 5 12 ⎭1 1 1 ⎛ 1 ⎫ ⎛1 ⎫ ⎛ 1 ⎫ ⎛ 1 ⎫ ⎛ 1 ⎫ 1 1 ⎛ 1 ⎫ 1125. ⨯ ⨯+ - ⎪ ⨯ - ⎪ ⨯ - ⎪ + - ⎪ ⨯ - ⎪ ⨯ +⨯ - ⎪ ⨯3 5 7737⎝ 3 ⎭ ⎝ 5 ⎭ ⎝ 7 ⎭ ⎝ 3 ⎭ ⎝ 5 ⎭ ⎝ 5 ⎭ 126. - ( -8) 2 ⨯ ( -1)5有理数计算1 3127. - 121 - ( + 81)128. ( -6) ⨯ ( -3)4129. ( -125 ) - ( -3.25)130. -13.5 ⨯ ( -0.7) ÷ ( -5 53)⎛ 1 1 2 ⎫ ⎛1 ⎫131.- + ⎪÷ - ⎪6 73⎝ ⎭ ⎝ 42 ⎭132.1÷ ( -0.1)- ⎛ - 2 ⎫⎪ ÷ ⎛ - 3 ⎫⎪4⎝ 3 ⎭ ⎝ 4 ⎭133. -216 ÷ 2 2⨯ ( - 12)2134. ⎛ -1 3 ⎫⎪ ⨯ 1 4 ÷ ⎛ -1 - 4 ⎫⎪ +1 4⎝ 7 ⎭ 7 ⎝ 7 ⎭ 7135. ⎛-11 2 ⎫⎪ ÷ 0.5 - ⎛ -21 1 ⎫⎪ ÷ 0.5 - ⎛ +10 1 ⎫⎪ ÷ 0.5⎝3 ⎭⎝ 2 ⎭⎝ 3 ⎭14 有理数计算学而思初中优秀教学体系136. 1.8 - ( -1.8 +23)137. - 4 15 + 2 14138. - 48 ⨯ (1 - 121 + 43)139. 0.5 ⨯ 2 2 - ( -3)2140. 121÷ ( - 13 + 43)141. ( -2) 3⨯ ( - 83 ) - ( -2) 2÷ 2 23 ⨯ ( - 23)2142. -14 - ⎡⎢ 2 - ( - 7 + 2 ) ⎤⎥ - ( 2)3⎣ 17 27 17 ⎦ 3143. (134 - 78 - 127 ) ÷ ( - 87 )144. ( -7) 2÷ 134 - ( - 30) ⨯ 314 + 3.25145. -86+86 ⨯ 35.2 - 8.6 ⨯ 42有理数计算1 5146. - 2009 ⨯ 20072008147. - 99 19 ⨯ 27148. ( - 23 ) 7⨯ (1.5)6149. ( - 13) 2010 ⨯32011150. ( -7)2011+ 14 ⨯ 72010- ( -49) ⨯ ( -7)2009151. 4.73 -⎡⎢ 22 - (2.63 -1 1)⎤⎥⎣ 33 ⎦152. ( -3 74 ) ÷ ( -1 32 ) ⨯ ( -151)153.(- 81 - 27 + 63 - 18)÷( - 9)154. -212 ⨯ - 53- +12 ÷ - 23 - ( -3)-8 ⨯ [ -7 + ⎛ 1 - 2 ⨯ 0.6 ⎫÷ ( -3 )]155.⎪⎝ 3⎭16 有理数计算学而思初中优秀教学体系156. -1 14 + ( - 56)157. - 152+ ( -0.8)1 ⎛ 5 ⎫ 158. 6+ -3⎪12⎝18 ⎭159.1.5 + {( -1.8 )+ ⎡ 0.8 + ( -0.9 ⎤⎣)⎦}11 ⎛2 ⎫1 ⎛3 ⎫160. -3 + [2+ -3⎪ + 5+ -7⎪] 3 23 24 ⎝⎭⎝⎭22⎛1 ⎫161. -15 + [13 - -4 + -4 ⎪] 335⎝ ⎭162. 0.7 ⨯ 1 94 + 2 43 ⨯ ( -15 ) + 0.7 95 + 14 ⨯ ( -15)163.⎛14 - 25 - 8 ⎫⎪⨯60⎝ 56 15 ⎭164. (-42 )÷ 3 1 5 ⎛ 15 ⎫-÷ -⎪29 ⎝ 18 ⎭有理数计算1 7165. - 81 ÷ 214 ÷( -16)⨯ 94166.(+ 0.1)+( + 813)+ 1123 + -4.4167.(- 36.32)+ 35 5041+ -9 258 + -36 2585314⎛ 5 ⎫ ⎛1 ⎫168. 19+ ( -20) + ( -302.5) + ( -151) + -119⎪ + -197⎪13 17 17⎝13 ⎭ ⎝ 2 ⎭511⎛ 3 ⎫169. ( -3)+ [ -( +2) + ( +5.175 )+ -3⎪ + 6.325]37 148 37⎝⎭170. -4 56 - ( +3 53) - ( -3 16) - ( +1 52)171. (+ 1 34)- 56 - 1 16 + 122 ⎛ 2 ⎫44172. 1- +1⎪ - ( -) - ( -0.6) - 33 35⎝5 ⎭ 173. -75 - 115 - 2 53 + 3 15 + 2 - 54 + 5418 有理数计算学而思初中优秀教学体系1 ⎡ 1 ⎛1 ⎫6 ⎤174. -32- ⎢ 5+ -3⎪ - 5.25 - 2⎥3 4 7 7⎣ ⎝ ⎭ ⎦275⎛ 3 ⎫15175. ( +3)+ ( -2) - ( +3) - -5⎪ + ( -1) - 55812 5812⎝⎭176. 123 ⨯ ( -1 15)177. (- 6.5 )⨯ ( -56 )178. ( - 34 ) ⨯ ( -1 12 ) ⨯ ( - 94)179. -56 ⨯ 0.25 ⨯ ( - 4) ⨯9180. ( - 56 ) ÷ ( -3 13)181. ( -3 74 ) ÷ ( -1 23 ) ÷ ( -1 141)182. ( - 12 ) ⨯ ( - 23 ) ⨯ ( - 1 14 ) ⨯ ( - 1 13 ) ⨯ ( -1 54)有理数计算1 9183. -3.8 ⨯ 2.4 ⨯ 799.6 ⨯ ( -117)⨯ (33- 3 ⨯ 9) ⨯8823184. -8 - [-3.6 - ( -0.2) ⨯ ( -0.4) ⨯ ( -1)]185. 3 ⨯ ⎡52 - 6 + ( -8) 2 - 2 ⨯ ( -2)3⨯ 1 ⎤⎢⎣4 ⎦186. 5.72 -( +15.8)187. - 0.47 - ( -3 5047)188. ( - 3 12 ) - ( +5 14 )189. - ( + 16 )- ( - 14 ) - ( + 13 ) - ( - 12 )190. -32 ⨯ 2 + (-2)3 ⨯ 3 - 48 ÷ ( -2 )+ (-2)6191. ( -3 1 - 2 1) ÷ ⎡ -4 2 ⨯ ( -0.5) 3⎤⨯ ( -1 1)232⎣⎦5192. ( - 56 ) ÷ ( -3) ⨯ ( -1 54) ⨯ ( -2)20 有理数计算学而思初中优秀教学体系193. 818 ⨯ 6 43- 72 ÷ ( - 1 75 ) + ( -0.5)2194. 113 - 1 12 - 2 ⨯ ( -2) 3 + -3 3195. ( - 85) ⨯ ( - 4) 2 - 0.25 ⨯ ( -5) ⨯ ( -4)3196. - ( -3) 2⨯ 2197.12 + ( - 32) + 54 + ( - 12 ) + ( - 13)198. ( -1.5) + 414 + 2.75 + ( -5 12)199. -8 ⨯ ( -5) - 63200. 4 - 5 ⨯ ( - 12 )3201. ( - 52 ) + ( - 56 ) - ( - 4.9) - 0.6202. ( - 10)2÷ 5 ⨯ ( - 52)有理数计算2 1203. ( - 5) 3⨯ ( - 53)2204. 5 ⨯ ( -6) - ( -4) 2÷ ( -8)205. 214 ⨯ ( - 76 ) ÷ ( 12 - 2)206. ( - 136) + ( - 137) - 5207. - 72- ( - 12 ) + -1 12208. ( 78 -34 ) ÷ ( - 78 )209. ( - 50) ⨯ ( 52 + 101)210. ( -16 - 50 + 3 52) ÷ ( -2)211. ( -6) ⨯ 8 - ( -2) 3 - ( -4) 2⨯5212. ( -12 ) 2+ 12 ⨯ ( 23 - 23 - 2 )22 有理数计算学而思初中优秀教学体系213. -11997- (1 - 0.5) ⨯13214. -32 ⨯ [ - 32⨯ ( -23 ) 2- 2]215. ( - 34 ) 2 + ( - 23 + 1) ⨯ 0216. -14- (1 - 0.5) ⨯ 13 ⨯ [2 - ( -3) 2]217. ( - 81) ÷ ( +2 .25) ⨯ ( - 94) ÷16218. - 5 2- [ - 4 + (1 - 0.2 ⨯15) ÷ ( -2)]219. ( -5) ⨯ ( - 3 76 ) + ( -7) ⨯ ( - 3 76 ) + 12 ⨯ ( -3 76)220. ( - 85) ⨯ ( - 4) 2 - 0.25 ⨯ ( -5) ⨯ ( -4)3221. ( -3) 2- (112 ) 3⨯ 92 - 6 ÷ - 32222. ( -2) 3⨯ ( -23 ) 2⨯ ( - 32)3有理数计算2 3223.( -12 )13⨯ 38⨯ ( - 2)12⨯ ( -13)7224.-7 2+ 2 ⨯ ( - 3) 2+ (-6) ÷ ( -1 3)2225.(- 2 )4÷ ( - 8) - ( -12) 3⨯ ( -2 2 )226.8 - 23÷ (-4)3-18227.100 ÷ ( - 2) 2- ( - 2) ÷ ( -2 3)228.( -3) 2÷ ( -4)2229.-2 2⨯ ( -12) 2÷ ( -0.8)3230.-32⨯ ( -13 ) 2- ( -2) 3÷ ( -12)2231.( -34 ) 2⨯ ( -23+ 1) ⨯ 024有理数计算学而思初中优秀教学体系232. 6 + 2 2⨯ ( -15)233. -10 + 8 ÷ ( -2) 2- 4 ⨯3234. -15 - [ ( -0.4) ⨯ ( -2.5)]5235. ( - 1)25- (1 - 0.5) ⨯ 13236. ( -14) + 26 + (-14) + (-16) +8237. ( -5.5) + ( -3.2) - ( -2.5) - 4.8238. ( -8) ⨯ ( -25) ⨯ ( -0.02)239. (12 - 95 + 65 - 127) ⨯ ( -72)240. ( - 2) ÷ (13 - 12)241. 12 + ( -4) 2⨯ ( - 12)有理数计算2 50.6 ⨯5+ 5 ÷ (31- 15) -5 - 20 ÷ 4 242.12281÷ 0.52243.1 1⨯⎡3 ⨯ ( -2) 2- 1⎤-1⨯ ⎡ ( -2)2- ( -4.5 + 3)⎤⎢⎥⎣⎦2 ⎣3⎦ 3244.( -32 ) 3⨯ ( -43 ) 2÷ ( -12 ) ⨯ ( - 1) 4- 32+ -2 2⎧ ⎡ 151225 ⎤5⎫11 245. ⎨⎢÷ ( -) +⨯⎥÷ ( -) - 16⎬⨯ ( -1) 4453⎩ ⎣ 4 ⎦⎭246.-20 + ( -15) - ( -28) -17247.-65 + 23 - 15 + 7248.23-18- ( -13 ) + ( -1 83)249.( -5.54) + ( -3.2) - ( -2.5) - 4.8 250.9 + 5 ⨯ ( -3) - ( -2) 2÷ 4251.( -1) 3⨯ ( -5) ÷ ⎡ ( -3) 2+ 2 ⨯ ( -5)⎤⎣⎦26有理数计算学而思初中优秀教学体系252.-23+ ( -2) 2⨯ ( -1) - ( -2) 4÷ ( -2)3 253.(-5)3⨯[ 2 - (-6) ]- 300 ÷5254.- ( 23 ) 2⨯ 3 - 2 ⨯ ( -23 ) +23- 4 ⨯ ( -112 )2255.-32⨯1-⎡⎢ ( -5) 2⨯ ( -3) - 240 ÷ ( -4) ⨯1- 2⎤⎥3 ⎣54⎦256.( -16-203+54-127) ⨯ ( -15 ⨯ 4)257.2 ÷ ( -73) ⨯74÷ ( -517 )258.( -5.5) ⨯ 3.2 + 4.5 ⨯6.8259.8 ⨯ ( -52) - ( -4) ⨯ ( -92) + ( -8) ⨯53260.( -13) ⨯ ( -134) ⨯131⨯ ( -671)261.⎡⎣(-5 )2- 4 2-(- 3 )2⎤⎦⨯ ( 78÷115) ⨯(-7)4有理数计算2 7262. 100 ÷ ( -2 )2- ( - 2 ) ÷ ( - 23) + ( -2)3263. -7 2+ 2 ⨯ ( -3) 2+ ( - 6) ÷ ( - 13)2264. -52-⎡⎢ ( -2)3+ (1 - 0.8 ⨯ 3) ÷ -1 -1 ⎤⎥⎣4⎦265. (- 1)3-⎡⎢( 1 )2 ÷ (-1) - 1 ⎤⎥ ⨯ (-2) ÷ (-1)20102⎣ 216 ⎦266. - 52 +285 ÷ (-2) ⨯ (-145)267. ( -4 78 ) - ( -5 12 ) + ( -4 14 ) - 3 18268. ( - 0.5) - ( -3 14 ) + 6.75 - 5 12269. ( -6) ⨯ ( -4) + ( -32) ÷ ( -8) -3270. ( - 5 13) ÷ ( -16) ÷ ( -2)271. ( - 2)4÷ ( - 8) - ( - 12 ) 3⨯ ( -2 2)28 有理数计算学而思初中优秀教学体系2⎡ 3⎤ 2 3 3 272. -1 -1+ (-12)÷ 6⎥ ⨯ (-)⎢74⎣⎦273. 719 ⨯ (1 12 - 1 18 + 3 14 ) ⨯ ( -2 14)274. ⎛ - 5 ⎫⎪⨯ ( -4) 2 - 0.25 ⨯ ( -5) ⨯ ( -4)3⎝ 8 ⎭275.⎡⎢ - | -16 | -21⨯ ( -4)⎤⎥ ÷ ⎡⎢ 1 - ( -13)⎤⎥⎣4⎦ ⎣ 48 ⎦276. ( -9) ⨯ ( -4) + ( -60) ÷12277. 0 - ( -3) 2 ÷ 3 ⨯ ( -2)3278. -2 2⨯ ( -12) 2 ÷ ( -0.8)3279. -1 53 ⨯ ( 327 - 165 ) ÷ 2 12280. -32⨯ ( -13 ) 2 - ( -2)3( - 12)2281. ( -2) 2 - ( -3) 3 ⨯ ( -1) 3 - ( -3)3有理数计算2 9282. -2 3÷ ( - 13 ) 2- ( - 13) 3 ⨯ ( -2 3)283. ( - 2) 2- 2 ⨯ [( - 12 ) 2- 3 ⨯ 43 ] ÷ 15284. 31 72 - 22 136+ 4 75 +11136285. (18 - 125) ⨯ 24 - (-3 - 3)2 ÷ (-6 ÷ 3)2286. 3 + 2 2⨯ (- 15)287. -7 2+ 2 ⨯ ( -3) 2+ ( - 6) ÷ ( - 13)2288. ( - 3) 2⨯ [ - 23 + ( - 95)]289. 8 + ( -3) 2⨯ ( -2)290. 100 ÷ (-2) 2-(-2) ÷ (-23)291. -34÷ 213 ⨯ (- 32)230 有理数计算学而思初中优秀教学体系292. - ( -3) 2⨯ 2 - ( -3) 4⨯ 4293.12 + ( - 32) + 54 + ( - 12 ) + ( - 13)294. ( -1.5) + 414 + 2.75 + ( -5 12)295. ( -1)2006+ ( -24) ⨯ ( 18 + 2 23 - 2.75)296. ( -1)10 ⨯ 2 + ( -2) 3÷ 4297. ( -10) 4 + [( -4) 2 - (3 + 32) ⨯2]298. -23÷ 94⨯ ( - 23 )3299. -0.25 2 ÷ ( - 0.5)3+ ( 18 - 12 ) ⨯ ( -1)10300. ( - 2)4÷ ( - 8) - ( - 12 ) 3⨯ ( -2 2)301. ⎡ ( - 5) 2 - 4 2 - ( -3) 2 ⎤ ⨯ ( 7 ÷ 5) ⨯ ( -7)4⎣⎦8 11有理数计算3 1302.-{( - 3) 3- [3 + 0.4 ⨯ ( - 1 12) ÷ ( -2)]}303.-14+(1 - 0.5)⨯13⨯[2 ⨯ ( -3)2]304.-4 ⨯ [(1 - 7) ÷ 6]3+ [( -5) 3- 3] ÷ ( -2)3305.- 33- [8 ÷ ( - 2) 3- 1] + ( - 3) 2⨯ ( - 2)3÷0.1 25306.9.53 - 8 - (2- | -11.64 + 1.53 -1.36 |) 307.73.17 - (812.03- | 219.83 +518 |) 308.-11 + 12 - (39 -8)309.-9 - 5 - (9 - 45)310.-5.6 + 4.7 - | -3.8 - 3.8|311.21 12+ ( -36 72+ ( -1612 ) + ( -45 73) + ( +10 75)312.315⨯ ( -92) ⨯ ( -2 151) ⨯ ( -412)32有理数计算学而思初中优秀教学体系313. ( - 56 ) ⨯ 83 + ( - 56 ) ⨯ ( -13) - ( - 56) ⨯ 28314. 2 - 22 - 23 - ... - 218 - 219 + 220315.1 +1 + ... + 11 ⨯ 3 3 ⨯ 5 1997 ⨯1999316. 4 - 5 ⨯ ( -12 )3317. ( - 52 ) + ( - 56 ) - ( - 4.9) - 0.6318. ( - 10)2÷ 5 ⨯ ( - 52)319. ( - 5) 3⨯ ( - 53)2320. 5 ⨯ ( -6) - ( -4) 2÷ ( -8)321. 214 ⨯ ( - 76) ÷ ( 12 - 2)322. ( -16 - 50 + 3 52) ÷ ( -2)有理数计算3 3323. ( -6) ⨯ 8 - ( -2) 3 - ( -4) 2⨯5324. ( - 85) ⨯ ( - 4) 2 - 0.25 ⨯ ( -5) ⨯ ( -4)3325. ( -3) 2- (1 12 ) 3⨯ 92 - 6 ÷ - 32326. ( - 12 ) 2+ 12 ⨯ ( 23 - 23 - 2 )327. - ( -1)1997- (1 - 0.5) ⨯ 13328. - 32 ⨯ [ - 32⨯ ( -23 ) 2- 2]329. ( - 34 ) 2 + ( - 23 + 1) ⨯ 0330. -14- (1 - 0.5) ⨯ 13 ⨯ [2 - ( -3) 2]331. - 5 2- [ - 4 + (1 - 0.2 ⨯ 15) ÷ ( -2)]332. ( -5) ⨯ ( - 3 76 ) + ( -7) ⨯ ( - 3 76 ) + 12 ⨯ ( -3 76)34 有理数计算学而思初中优秀教学体系333.-14-16⨯ [ - 22- ( -3)3 ]334.-4.03712 + 7.53712 - 36 ⨯(79-56+187)335.[- 32⨯ ( -13)2- 0.8] ÷ ( -2 52)- 3 -⎛+ 2⎫+⎛- 5⎫- 3 - - +336. ⎪ ⎪( 2) 18 ⎝ 5⎭ ⎝ 8⎭ 5337.[( -3) ⨯ ( -4) - 5] ⨯ [ -8 - 2 ⨯ ( -6)] ÷4 338.-8 ÷ (-2)3- 4 ÷ (-1)4339.(-1155) ÷[(-11) ⨯ 3 ⨯ (-5)]2⎛1⎫ 499⎛31⎫340. -0.25÷ -⎪⨯ ( -1)+ 1+ 2- 3.75⎪⨯24⎝2⎭⎝83⎭341.1 - 3 111÷43⨯43÷34111⎛3⎫⎛342.-1- -⎪- -1--3⎝4⎭⎝有理数计算3 5343.-22-(-2)2- 23-(-2)3⎧⎡2⎤⎫2⎪3⎛1⎫⎛3⎫1⎪2344.1- ⎨5- 2÷ ⎢-⎪+ 3 ⨯ -⎪⎥ ⨯⎬348⎪⎢⎝ 2 ⎭⎝4⎭⎥⎪⎩⎣⎦⎭345.-22- (-2)2-|(-3)2÷ (-3)3 |+ -13-|4 ÷ 9|-|-72 |13⎛ 5 ⎫346.-2- 5÷ ( -2) ⨯ -⎪25⎝14 ⎭2⎛3⎫4347. (-1.5)÷ -⎪⨯ 1- 243⎝⎭4⎡⎛1⎫3⎤3348. -1- ⎢ - ⎪⎥- ( -1)2⎢⎝⎭⎥⎣⎦⎡⎛2⎫⎤349.1 - 0.2⨯⎢-3- 4⨯ 3- 5.3⎪⎥5⎣⎝⎭⎦222⎛4⎫2 350. -3- ( -3)+ ( -5)⨯ -⎪- ( -0.3)÷-0.95⎝⎭11⨯⎡3⨯⎛-2⎫2-(-14⎤+1÷⎛-1⎫3351. ⎪⎥ ⎪24⎢⎝3⎭⎥⎝2⎭⎣⎦36有理数计算学而思初中优秀教学体系⎛7.195 - 71⎫÷⎛0.25 -1÷1⨯ 13⎫352. ⎪413⎝8⎭⎝⎭13⨯(-0.2)⨯ 13⎛3⎫353.-1÷÷ 14.⨯ -⎪244⎝5⎭⎧1 +⎡ 1-(-0.75 3 ⎤⨯(-2)4⎫÷⎛-1-3- 0.5⎫⎢⎥⎬354. ⎨)164⎪⎩⎣16⎦⎭⎝⎭355.(-2)⨯⎛-1⎫2- 3 ⨯ 42-⎡1 -3⨯⎛1 -4⎫2 ⎤⨯⎡92⨯⎛1 -1-1⎫⎤⎪⎪⎥⎪⎥⎢ ⎢⎝2⎭⎢ 5 ⎝9⎭⎥⎣⎝ 3 9⎭⎦⎣⎦356.- 14- (1 - 0.5) ⨯1⨯ ⎡ 2 - ( -3)2⎤3⎣⎦357.-23- 3 ⨯ ( -1) 3- ( -1)4⎡⎛ 3 ⎫⎤358.-3 -⎢-5+ 1- 0.2⨯⎪÷ ( -2)⎥⎣⎝ 5 ⎭⎦359.-2 - ( -17) ÷⎡⎢1 -1+ ( -0.6)⎤⎥⎣4⎦ 360.-12- ⎡13- (1 - 0.64 ÷32)⎤⎣⎦。
WORD格式整理 专业技术参考资料 姓名 WORD格式整理
专业技术参考资料 WORD格式整理
专业技术参考资料 WORD格式整理
专业技术参考资料 WORD格式整理
专业技术参考资料 WORD格式整理
专业技术参考资料 WORD格式整理
专业技术参考资料 WORD格式整理
专业技术参考资料 WORD格式整理
专业技术参考资料 WORD格式整理
专业技术参考资料 WORD格式整理
专业技术参考资料 WORD格式整理
专业技术参考资料 WORD格式整理
专业技术参考资料 WORD格式整理
专业技术参考资料 WORD格式整理
专业技术参考资料 WORD格式整理
专业技术参考资料 WORD格式整理
专业技术参考资料 WORD格式整理
专业技术参考资料 WORD格式整理
专业技术参考资料 WORD格式整理
专业技术参考资料 WORD格式整理
专业技术参考资料 WORD格式整理
专业技术参考资料 WORD格式整理
专业技术参考资料 WORD格式整理
专业技术参考资料 WORD格式整理
专业技术参考资料 WORD格式整理
专业技术参考资料 WORD格式整理
专业技术参考资料 WORD格式整理
专业技术参考资料 WORD格式整理
专业技术参考资料 WORD格式整理
专业技术参考资料
初中有理数计算题500道及答案910-⑴亠"圧+殳(”二心4373 V 7 73 O,8xI + 4«x(.£)-2J-\o.8xl4— ^―+ — — ^―) x (― 15 x 4) 6 20 5 1216 (-€)x(-4)+ (^32)-(-8)-3“(七)心34)洛2吉)(-—)x-x(-2,4) 18 7耳)15口―21+43寻 E 罟 72 肿13 (-16-50 + 3)-(-2)6—x21 G X<「扫"(-7)13 («9) x (^4) + (-60)^1219|-5-7| +|-5 一(-7)| +1(-243)+(-246)|3 —(—2) x (―I) —8 -r ( -- )* x |—3 + 1|24-1s-[(-0.4)x (-2.5)]'2738211x(-453) + M5x 433 -211x545 + 345 x36542-2:-(-2)'-23 + |(-2)3-243 ■ 1" _ _冥[2 _ (—3)"]44(-10)' + |(-4)- - (3 + 3J ) x 2]45(-1)4 -(l-05)xlx[2-(-2)3]«X (-£)+(-i)-r(-0.2J )令心⑹H(J )46(一2)皿'+ (-2)辿-31 11(-0.25)393 1 3 1 5(七“宫(-.-).(<-):9 SO31323534353637403x(-2)J -4x(-3)J +8(-l)iU x 2J + (-2)J -r22^17-U7xf —-0,125 k(-1.2)x6747 (-0.25)^ x 4^57 (-5)' x[2-(-6)]-300^548 -0.5: +丄一1-2】-4 - (-1-)3xl4 I 2949 (-2)^ - 3x [(-4)J + 2]- (-3)J ^(-2)50一21 (-4) x (-7 + 5) 51 卜1)山冥2' +(-2)42 5: 8 — 2^-r(— 4)x(— 7 + 5) 53 (-3)‘ x [-彳 + (-》] (—6),-5-4'■J54 *1-[-2-(1H).5X 43)]55 - 2 — x — (+3_) -r 3 + (+22 —)-r3 — 2 — x —5 3 5 2 2 356 9+5 x (-3)一 (一2)让 458一上“丄“丄33959 I12-4x(3-10)]^4 602x(-3)J -4x(-3)+15 61-I 4--x(2—(-3)?]636566683+50-S-22iV2.1+|:匚 3:2j-S-3X (-1)J -(-4)436x(±-±)2r x (-ir79 24 + 16-r(-2?-r(-10) 80^5 + 3-r — )-?f — 2)+( —3),3814-(-2?-33 + (-1/82 —x [ 33 x( — — 23|83—9宁 3 +( f — 一 )x12 + 32235 5 S84( ----- ) x (-34) --------- xl7 - — X (-6)23 23 23-3 ■" [―5 + (1 — 0.2 x —J -r (—2)]36(-2)* x(-l)J -3x[-l-(-2)]872<3J -(-4)x(-9)xO 8$4-5x(-£)'89 -8-3x(-l/-(-l )4697071727374757677781x22x3+…+ ------99x100——)-r (■ —) + (—2)* X (—14) 2 3 6|_12-4其(3-】0 屮(4-9}3 \ 3J 9102[一扌jx(_7.98)(-7)X (-5)-9O + (-15)103 (-4)x5x(-0.25)x(-8)99091929394959697989910042X (.|)+(-|)+(_O .25) + 0.25x24,5-i}-5-1x25%(3、—8 +1 - ■ 0*t M I x (—8)x —8— + |—7)x'87_15X 870>/Z£ (i } (tf(L } (i〕-Kx-f-x*-1 I TI I Il JIlJIl JJL i f -x- I If n f OZ 9 I L I---b -------- -- X ( C f I /KI爭一卜信一卜俘T 彳补9 i—:—x £"p_ 6 Zon(討)4“G jP nt(^-)x(8-) +(。
2022年3月23日;第1页共20页
姓名【1】
2022年3月23日;第2页共20页
2022年3月23日;第3页共20页
2022年3月23日;第4页共20页
2022年3月23日;第5页共20页
2022年3月23日;第6页共20页
2022年3月23日;第7页共20页
2022年3月23日;第8页共20页
2022年3月23日;第9页共20页
2022年3月23日;第10页共20页
2022年3月23日;第11页共20页
2022年3月23日;第12页共20页
2022年3月23日;第13页共20页
2022年3月23日;第14页共20页
2022年3月23日;第15页共20页
2022年3月23日;第16页共20页
2022年3月23日;第17页共20页
2022年3月23日;第18页共20页
2022年3月23日;第19页共20页
2022年3月23日;第20页共20页