有理数乘方及混合运算习题及答案
- 格式:doc
- 大小:62.00 KB
- 文档页数:5
有理数的混合运算练习题(含答案)(共17套)有理数混合运算练习题及答案 第1套同步练习(满分100分)1.计算题:(10′×5=50′)(1)3.28-4.76+121-43;(2)2.75-261-343+132;(3)42÷(-121)-143÷(-0.125);(4)(-48) ÷82-(-25) ÷(-6)2;(5)-52+(1276185+-)×(-2.4).2.计算题:(10′×5=50′)(1)-23÷153×(-131)2÷(132)2;(2)-14-(2-0.5)×31×[(21)2-(21)3];(3)-121×[1-3×(-32)2]-( 41)2×(-2)3÷(-43)3(4)(0.12+0.32) ÷101[-22+(-3)2-321×78];(5)-6.24×32+31.2×(-2)3+(-0.51) ×624.【素质优化训练】1.填空题:(1)如是0,0>>c b b a ,那么ac 0;如果0,0<<cbb a ,那么ac0;(2)若042=-++++c c b a ,则abc= ; -a 2b 2c 2=;(3)已知a ,b 互为相反数,c ,d 互为倒数,x 的绝对值等于2,那么x 2-(a+b)+cdx=.2.计算:(1)-32-;)3(18)52()5(223--÷--⨯-(2){1+[3)43(41--]×(-2)4}÷(-5.043101--);(3)5-3×{-2+4×[-3×(-2)2-(-4) ÷(-1)3]-7}.【生活实际运用】甲用1000元人民币购买了一手股票,随即他将这手股票转卖给乙,获利10%,而后乙又将这手股票反卖给甲,但乙损失了10%.最后甲按乙卖给甲的价格的九折将这手股票卖给了乙,在上述股票交易中( )A .甲刚好亏盈平衡;B .甲盈利1元;C .甲盈利9元;D .甲亏本1.1元.参考答案【同步达纲练习】1.(1)-0.73 (2)-121; (3)-14; (4)-181; (5)-2.92.(1)-351 (2)-1161; (3)- 5437; (4)1; (5)-624.【素质优化训练】1.(1)>,>; (2)24,-576; (3)2或6.[提示:∵x =2 ∴x 2=4,x=±2].2.(1)-31;(2)-8;2719(3)224 【生活实际运用】 B有理数的四则混合运算练习 第2套◆warmup知识点 有理数的混合运算(一)1.计算:(1)(-8)×5-40=_____;(2)(-1.2)÷(-13)-(-2)=______.2.计算:(1)-4÷4×14=_____;(2)-212÷114×(-4)=______.3.当||a a=1,则a____0;若||a a =-1,则a______0.4.(教材变式题)若a<b<0,那么下列式子成立的是( ) A .1a <1b B .ab<1 C .a b <1 D .ab>1 5.下列各数互为倒数的是( )A .-0.13和-13100B .-525和-275C .-111和-11D .-414和4116.(体验探究题)完成下列计算过程:(-25)÷113-(-112+15)解:原式=(-25)÷43-(-1-12+15)=(-25)×()+1+12-15=____+1+52 10 -=_______.◆Exersising7.(1)若-1<a<0,则a______1a;(2)当a>1,则a_______1a;(3)若0<a≤1,则a______1a.8.a,b互为相反数,c,d互为倒数,m的绝对值为2,则||4a bm++2m2-3cd值是()A.1 B.5 C.11 D.与a,b,c,d值无关9.下列运算正确的个数为()(1)(+34)+(-434)+(-6)=-10 (2)(-56)+1+(-16)=0(3)0.25+(-0.75)+(-314)+34=-3(4)1+(-3)+5+(-7)+9+(-1)=4 A.3个 B.4个 C.2个 D.1个10.a,b为有理数,在数轴上的位置如右上图所示,则()A.1a>1b>1 B.1a>1>-1bC.1>-1a>1bD.1>1a>1b11.计算:(1)-20÷5×14+5×(-3)÷15 (2)-3[-5+(1-0.2÷35)÷(-2)](3)[124÷(-114)]×(-56)÷(-316)-0.25÷14ob a◆Updating 12.(经典题)对1,2,3,4可作运算(1+2+3)×4=24,现有有理数3,4,-6,10,请运用加,减,乘,除法则写出三种不同的计算算式,使其结果为24. (1)____________ (2)____________ (3)____________ 答案: 课堂测控1.(1)-80 (2)535 2.(1)-14(2)83.>,< 4.D 5.C 6.34,-310,1[总结反思]先乘除,后加减,有括号先算括号内的. 课后测控 7.(1)> (2)> (3)≤ 8.B 9.B 10.B11.解:(1)原式=-20×15×14+5×(-3)×115=-1-1=-2(2)原式=124×(-45)×(-56)×(-619)-14÷14=124×(-419)-1=-1114-1=-11114(3)原式=-3[-5+(1-15×53)÷(-2)]=-3[-5+23×(-12)]=-3[-5-13]=15+1=16[解题技巧]除法转化为乘法,先乘除,后加减,有括号先算括号内的. 拓展测控 12.解:(1)4-(-6)÷3×10 (2)(10-6+4)×3 (3)(10-4)×3-(-6)[解题思路]运用加,减,乘除四种运算拼凑得24点.有理数的混合运算习题 第3套一.选择题1. 计算3(25)-⨯=( ) A.1000 B.-1000 C.30 D.-302. 计算2223(23)-⨯--⨯=( )A.0B.-54C.-72D.-183. 计算11(5)()555⨯-÷-⨯=A.1B.25C.-5D.354. 下列式子中正确的是( ) A.4232(2)(2)-<-<- B. 342(2)2(2)-<-<- C. 4322(2)(2)-<-<-D. 234(2)(3)2-<-<-5. 422(2)-÷-的结果是( ) A.4B.-4C.2D.-26. 如果210,(3)0a b -=+=,那么1ba +的值是( )A.-2B.-3C.-4D.4二.填空题1.有理数的运算顺序是先算 ,再算 ,最算 ;如果有括号,那么先算 。
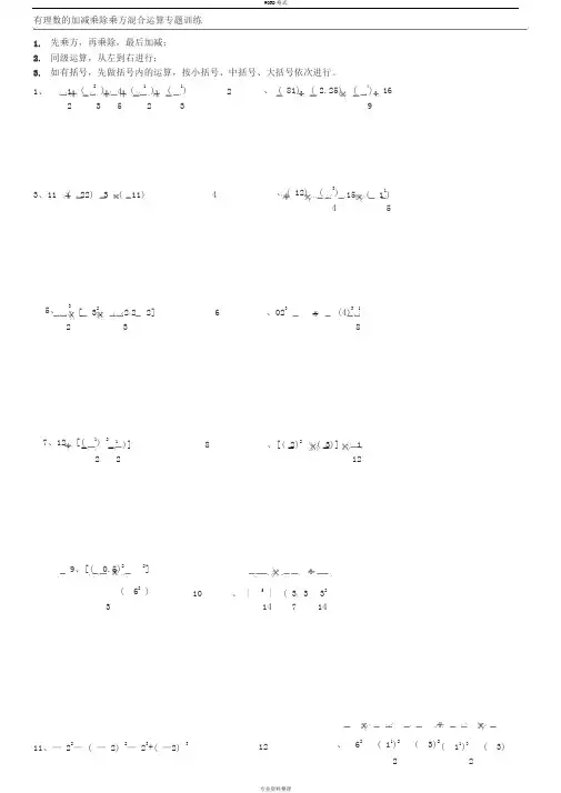
有理数的加减乘除乘方混合运算专题训练(带答案)1.先进行乘方运算,然后进行乘除运算,最后进行加减运算。
2.同级运算从左到右进行。
3.如果有括号,先进行括号内的运算,按照小括号、中括号、大括号的顺序进行。
1.18 - 6 ÷ 352.-81 ÷ (-2.25) × (-) ÷ 163.11 + (-22) - 3 × (-11)4.(+12) × (-) - 15 × (-1)5.- × [-32 × (-)2 - 2]6.-23 ÷ (-4)3 -7.12 ÷ [(-)2 - ]8.[(-2)2 × (-3)] ×9.[(-0.5) - ] × (-6)10.| - | × (-) ÷11.-22 - (-2)2 - 23 + (-2)312.-62 × (-1)2 - (-3)2 ÷ (-1)3 × (-3)13.-(-1)1997 - (1 - 0.5) × ÷ (-)14.(-1)3 - (-8) × + (-3)3 ÷ [(-2)5 + 5]15.-10 + 8 ÷ (-2)2 - (-4) × (-3)16.-49 + 2 × (-3)2 + (-6) ÷ (-)17.-14 + (1 - 0.5) × × [2 × (-3)2]18.(-2)2 - 2 × [(-)2 - 3 × ] ÷19.5 × (-6) - (-4)2 ÷ (-8)20.(-)2 + (- + 1) ×21.(- + ) × (-12) ÷ 622.(-) × (-4)2 - 0.25 × (-5) × (-4)223.(-)2 + × (- -2)24.-42 × [(-7) ÷ 6] + (-5)3 - 3 ÷ (-2)325.6 - (-12) ÷ (-2)26.(-48) ÷ 8 - (-5) ÷ (-)227.42 × (-) + (-) ÷ 0.2528.-81 ÷ (-3)229.-2 × (-3) - (-3) ÷ 330.(-5) × 6 + (-125) ÷ (-5)31.-(-0.25) × (-5) × 4 × (-1)1、-2×(-2)×1×8 + (-2)/(-2)/3 = 33/42、-12 + (-3)²/2 = -9.53、3/3 = 14、36/2 - 4×(-4)×(-3) = 1045、(3×4)×(-3) + 6 = -66、(-23)/(-2) - 13/(-4) = 5.57、23/2 × [(-2)×0.5 - (-1.6)] - 2 = -9.58、[(-2) - (-4)]/3 = 2/39、无法计算,方括号内为010、16/(-3) - (-5)×(-2)×(-2) - (-4) = -31/311、1、-44、-12、-112、无法计算,分母为013、-15 - [(-0.4)×(-2.5)] = -1414、(-8)×5 - 40 = -8015、(-1.2)/(-2) - (-2) = 1.416、-20/5×(5-3×(-3))/15 = 2/317、-3[-5+(1-0.2)/(-2)] = 1218、-23/1×(-1)²/(1)² - (2-(-4))×(-2.4) = -15/71.答案:(1) 17.(2) 删除。
有理数的混合运算习题一.选择题1. 计算3(25)-⨯=( )A.1000B.-1000C.30D.-302. 计算2223(23)-⨯--⨯=( )A.0B.-54C.-72D.-183. 计算11(5)()555⨯-÷-⨯=A.1B.25C.-5D.354. 下列式子中正确的是( )A.4232(2)(2)-<-<- B. 342(2)2(2)-<-<- C. 4322(2)(2)-<-<-D. 234(2)(3)2-<-<-5. 422(2)-÷-的结果是( )A.4B.-4C.2D.-26. 如果210,(3)0a b -=+=,那么1ba+的值是( ) A.-2 B.-3C.-4D.4二.填空题1.有理数的运算顺序是先算 ,再算 ,最算 ;如果有括号,那么先算 。
2.一个数的101次幂是负数,则这个数是 。
3.7.20.9 5.6 1.7---+= 。
4.232(1)---= 。
5.67()()51313-+--= 。
6.211()1722---+-= 。
7.737()()848-÷-= 。
8.21(50)()510-⨯+= 。
三.计算题、2(3)2--⨯ 12411()()()23523+-++-+- 11( 1.5)4 2.75(5)42-+++-8(5)63-⨯-- 3145()2-⨯- 25()()( 4.9)0.656-+----22(10)5()5-÷⨯- 323(5)()5-⨯- 25(6)(4)(8)⨯---÷-1612()(2)472⨯-÷- 2(16503)(2)5--+÷- 32(6)8(2)(4)5-⨯----⨯21122()(2)2233-+⨯-- 199711(10.5)3---⨯ 2232[3()2]23-⨯-⨯--4211(10.5)[2(3)]3---⨯⨯-- 4(81)( 2.25)()169-÷+⨯-÷232()(1)043-+-+⨯215[4(10.2)(2)]5---+-⨯÷- 666(5)(3)(7)(3)12(3)777-⨯-+-⨯-+⨯-235()(4)0.25(5)(4)8-⨯--⨯-⨯- 23122(3)(1)6293--⨯-÷- 213443811-⨯⨯÷-125)5.2()2.7()8(⨯-⨯-⨯-; 6.190)1.8(8.7-⨯⨯-⨯- 7)412(54)721(5÷-⨯⨯-÷-)251(4)5(25.0-⨯⨯-⨯-- 3)411()213()53(÷-÷-⨯- 2)21(214⨯-÷⨯-四、1、已知,032=-++y x 求xy y x 435212+--的值。
有理数的乘方及混合运算练习题1、5中,3是底数,5是指数,幂是5的3次方。
2、-5的底数是-1,指数是5,读作负一的五次方,计算结果是-3125.3、-5表示负数,负数的平方是正数,结果是3125.4、地球离太阳约有1.5×10的8次方千米,用科学记数法表示为1.5×10的8次方千米。
5、若a为大于1的有理数,则a的2次方、a的4/3次方、a的3次方、1/2按照从小到大的顺序列为1/2、a的2次方、a的4/3次方、a的3次方。
6、0.380精确到千分位,48.68万精确到百位,1.06×10的6次方精确到个位。
7、如果有理数a,b满足|a-b|=b-a,|a|=2,|b|=1,则(a+b)的3次方=-27.8、一个数的平方一定是非负数。
9、下面用科学记数法表示,其中正确的是1.06×10的5次方。
10、|x-3556/|+(2y+1)的2次方=0,则x的2次方+y的值是-1/4.11、若(b+1)+3|a-2|=0,则a-2b的值是-1.12、乘方计算:1) (-1.5)的2次方=2.25;2) (-3)×(-1/3)=1;3) 2的3次方×(-2)的2次方=-16;4) (-1)的4次方×(-4)的3次方=64;5) (-1)的4次方÷(-3)的3次方=-1/27;6) (-2)的3次方×(-3)的2次方=54.13、加减计算:1) -8-(-15)+(-9)-(-12)=10;2) (-2)-(-7)+(-3.2)+(-1)=-11.2;3) -1/2-(-2/3)-(-1/6)=1/6;4) (-2)-(-2)-(-2)=2;5) 8/3+5/2-25/3+21/5-3/3+3/7=187/70;6) -(-4.2)=4.2.。
有理数的加减乘除乘方混合运算专题训练(带答案)1)+(-3)×2答案:20改写:先做除法,再乘法和乘法,最后加减。
18-3*2*(-1)-6/(-2)=202)(-3)²+1/2÷(-2/3)×(-6/5)答案:8/5改写:先做除法,再乘法和乘法,最后加减。
(-3)^2+1/2/(-2/3)*(-6/5)=8/53)(-1/2)²-(-2/3)³×(-3/4)²-2/5答案:-49/144改写:同级运算,从左到右进行。
(-1/2)^2-(-2/3)^3*(-3/4)^2-2/5=-49/1444)(-1/2)²×(-2/3)³÷(-3/4)²-2/5答案:-25/162改写:先做乘方,再做乘除法,最后加减。
(-1/2)^2*(-2/3)^3/(-3/4)^2-2/5=-25/1625)(-5)×6+(-125)÷(-5)³答案:-24改写:先做除法,再乘法和乘法,最后加减。
-5*6+(-125)/(-5)^3=-246)(-4)²÷(-2/3)³×(-3/4)²-2/5答案:-51/4改写:先做乘方,再做乘除法,最后加减。
(-4)^2/(-2/3)^3*(-3/4)^2-2/5=-51/47)(-7)÷6-(-5)÷(-12)²答案:-191/216改写:先做乘方,再做除法,最后加减。
-7/6-(-5)/(-12)^2=-191/2168)(-81)÷(-2.25)×(-1)÷16答案:9/8改写:先做乘除法,最后加减。
(-81)/(-2.25)*(-1)/16=9/89)(-1/4)²-2/3×(-6/5)³答案:-217/200改写:先做乘方,再做乘除法,最后加减。
1.先乘方,再乘除,最后加减;2.同级运算,从左到右进行;3.如有括号,先做括号内的运算,按小括号、中括号、大括号依次进行。
1、12411()()()23523 2、4(81)( 2.25)()1693、11(22)3(11) 4、31(12)()15(1)455、2232[3()2]236、33102(4)87、)]21)21[(1228、121)]3()2[(29、)6(]32)5.0[(2210、23533||()14714223 322231113、199711(1)(10.5)()31214、33514(1)(8)(3)[(2)5]21715、-10 + 8÷(-2 )2-(-4 )×(-3 ) 16、-49 + 2×(-3 )2+ (-6 )÷(-91)17、-14+ ( 1-0.5 )×31×[2×(-3)2] 18、(-2)2-2×[(-21)2-3×43]÷51.19、)8()4()6(5220、0)132()43(235722523、)23232(21)21(224、332)2(3)5(6)7(425、6-(-12)÷2)2( 26、(-48)÷ 8-(-5)÷2)21(27、42×)43()32(÷ 0.25 28、23)9181(29、33323230、(-5)×6+(-125) ÷(-5)331、)251(4)5(25.0 32、22)3(61)2132(11、【基础题】计算:(1)618-÷)(-)(-312;(2))(-+51232;(3))(-)(-49+)(-60÷12;(4)23)(-×[ )+(--9532 ]. (1))(-)+(-2382;(2)100÷22)(--)(-2÷)(-32;(3))(-4÷)(-)(-343;(4))(-31÷231)(--3214)(-.(1)36×23121)-(;(2)12.7÷)(-1980;(3)6342+)(-;(4))(-43×)-+(-31328;(5)1323-)(-÷)(-21;(6)320-÷34)(-81-;(7)236.15.02)-(-)(-÷22)(-;(8))(-23×[ 2322-)(- ];(9)[ 2253)-(-)(- ]÷)(-2;(10)16÷)(-)-(-)(-48123.(1)11+(-22)-3×(-11);(2)0313243)-(-)(-;(3)2332-)(-;(4)23÷[ )-(-)(-423];(5))-(8743÷)(-87;(6))+()(-654360;(7)-27+2×23+(-6)÷231;(8))(-)-+-(-4151275420361.(1))-(-258÷)(-5;(2)-33121)(--;(3)223232)-(-)(-;(4)0132432)+(-)(-;(5))(-+51262;(6)-10+8÷22-4×3;(7)-51-55.24.0;(8)251-(1-0.5)×31;(1)(-8)×5-40;(2)(-1.2)÷(-13)-(-2);(3)-20÷5×14+5×(-3)÷15;(4)-3[-5+(1-0.2÷35)÷(-2)];(5)-23÷153×(-131)2÷(132)2;(6)-52+(1276185)×(-2.4)参考答案1、-1/52、-13、224、95、96、 07、-488、-19、-15 10、-15/343 11、-24 12、-89 13、3 14、2 15、-20 16、23 17、2 18、24 19、-28 20、9/16 21、1 22、10 23、-1/12 24、104/3 25、9 26、14 27、-31 28、-81又1/81 29、-9 30、-29 31、-1/5 32、9 1、【答案】(1)17;(2)511;(3)31;(4)-112、【答案】(1)-10;(2)22;(3)-16;(4)-253、【答案】(1)1;(2)0;(3)42;(4)423;(5)18;(6)0;(7)-4.64;(8)37;(9)8;(10)-25.4、【答案】(1)22;(2)0;(3)-17;(4)-423;(5)71;(6)-95;(7)-85;(8)6 .5、【答案】(1)3;(2)1;(3)-54;(4)0;(5)526;(6)-20;(7)-2;(8)-67.6、【答案】(1)-80;(2)5.6;(3)-2;(4)16;(5)-516;(6)-2.9复习有理数的乘除、乘方运算测试题一、填空题(每小题3分,共30分)1.3×(-2)=________,(-6)×(-31)=________.2.(-3)2的底数是________,结果是________;-32的底数是________,结果是________.3.(-61)÷(+23)=________;-493÷(-176)=________;(+8)÷(-41)=________.4.23×(-41)3=________;(-91)÷(+34)2=________.5.(-32)×________=1;(-32)×________=-16.-65×(-2.4)×(-53)=________.7.-32×(-5)2÷(-21)3=________.8.我国台湾省的面积约为3600平方公里,用科学记数法表示为________.9.+121的倒数是________;________的倒数是-54.10.用“>”“<”填空:①23________22②(21)2________(21)3③32________22④(-2)3________(-2)2二、判断题(每小题1分,共5分)11.零除以任何数都得零()12.互为相反数的两个数的积为负数()13.如果ab >0,则a >0且b >0()14.1除以一个非零数的商叫做这个数的倒数()15.(-3)5表示5个-3相乘()三、选择题(每小题3分,共21分)16.下列说法,其中错误的有①一个数与1相乘得原数;②一个数乘以-1得原数的相反数;③0乘以任何数得0;④同号两数相乘,符号不变.A .1个B .2个C .3个D .4个17.下列各对数:①1与1;②-1与1;③a -b 与b -a ;④-1与-1;⑤-5与|6|,其中互为倒数的是A .①②③B .①③⑤C .①③④D .①④18.下列各题中两个式子的值相等的是A .-23与(-2)3B .32与23C .(-2)2与-22D .|-2|与-|-2|19.下列结论中,其中正确的个数为①0的倒数是0;②一个不等于0的数的倒数的相反数与这个数的相反数的倒数相等;③其倒数等于自身的数是±1;④若a ,b 互为倒数,则-ab=-1.A .4B .3C .2D .120.下列各式中结果大于0的是A .1-910×3 B .(1-910)×3C .1-(9×3)10D .(1-9)10×321.下列说法中正确的是A .一个数的平方必为正数B .一个数的平方必小于这个数的绝对值C .一个数的平方必大于这个数D .一个数的平方不可能为负数22.用科学记数法表示的数2.89×104,原来是A .2890B .2890000C .28900D .289000四、计算题(共35分)23.(3分)(-3)×(-5)×(+12)×(-21)24.(3分)-6÷(+3)÷(-4)×(+2)25.(3分)-5-6÷(-3)26.(3分)(-81)÷241×91÷(-16)27.(3分)-22×(-3)÷5428.(3分)(-1)2000×(-1)2001×(-1)2002÷(-1)200329.(3分)(-2)×(-2001)×[-21-(-21)]×1-200230.(3分)-)45()45(522231.(3分)(-5)2÷5×6 32.(3分)(-2.5)÷(-310)×(-3)33.(5分)30×(21-31+53-109)五、解答题(9分)34.已知A=a+a 2+a 3+……+a 2000(1)若a=1,求A 的值.(2)若a=-1,求A 的值.参考答案一、1.-6 2 2.-3 9 3 -9 3.-91913-32 4.-81-1615.-23236.-1.2 7.1800 8.3.6×103平方公里9.32-14110.>>><二、11.×12.×13.×14.√15.√三、16.A 17.D 18.A 19.B 20.D 21.D 22.C 四、23.-90 24.1 25.-3 26.4127.15 28.1 29.-2002 30.1 31.30 32.-4933.-4五、34.(1)2000 (2)0。
1.先乘方,再乘除,最后加减;之樊仲川亿创作3. 同级运算,从左到右进行;4.如有括号,先做括号内的运算,按小括号、中括号、大括号依次进行.1、12411 ()()()23523+-++-+-2、4(81)( 2.25)()169-÷-⨯-÷ 3、11(22)3(11)+--⨯- 4、31(12)()15(1)45+⨯--⨯-5、2232[3()2]23-⨯-⨯--6、33102(4)8-÷--7、)]21)21[(122--÷8、121)]3()2[(2⨯-⨯-9、)6(]32)5.0[(22-⨯--10、23533||()14714-⨯-÷11、—22—(—2)2—23+(—2)3 12、2223116(1)(3)(1)(3)22-⨯---÷-⨯-13、199711(1)(10.5)()312----⨯÷- 14、33514(1)(8)(3)[(2)5]217---⨯+-÷-+15、-10 + 8÷(-2 )2-(-4 )×(-3 ) 16、-49 + 2×(-3 )2 + (-6 )÷(-91)17、-14 + ( 1-0.5 )×31×[2×(-3)2] 18、(-2)2-2×[(-21)2-3×43]÷51.19、)8()4()6(52-÷---⨯20、0)132()43(2⨯+-+- 21、6)12()4365127(÷-⨯+-22、22)4()5(25.0)4()85(-⨯-⨯--⨯-23、)23232(21)21(2--⨯+- 24、[][]332)2(3)5(6)7(4-÷--+÷-⨯-25、6-(-12)÷2)2(- 26、(-48)÷ 8 -(-5)÷2)21(- 27、42×)43()32(-+-÷ 0.25 28、()23)9181(-÷-29、()()333232÷---⨯-30、(-5)×6+(-125) ÷(-5)331、)251(4)5(25.0-⨯⨯-⨯-- 32、22)3(61)2132(1-+÷-+-1、【基础题】计算:(1)618-÷)(-)(-312⨯; (2))(-+51232⨯; (3))(-)(-49⨯+)(-60÷12; (4)23)(-×[ )+(--9532 ]. (1))(-)+(-2382⨯; (2)100÷22)(--)(-2÷)(-32; (3))(-4÷)(-)(-343⨯; (4))(-31÷231)(--3214)(-⨯. (1)36×23121)-(; (2)12.7÷)(-1980⨯; (3)6342+)(-⨯;(4))(-43×)-+(-31328; (5)1323-)(-÷)(-21; (6)320-÷34)(-81-;(7)236.15.02)-(-)(-⨯÷22)(-; (8))(-23×[ 2322-)(- ]; (9)[ 2253)-(-)(- ]÷)(-2;(10)16÷)(-)-(-)(-48123⨯. (1)11+(-22)-3×(-11); (2)0313243⨯⨯)-(-)(-;(3)2332-)(-;(4)23÷[ )-(-)(-423]; (5))-(8743÷)(-87; (6))+()(-654360⨯; (7)-27+2×()23-+(-6)÷()231-; (8))(-)-+-(-4151275420361⨯⨯. (1))-(-258÷)(-5; (2)-33121)(--⨯; (3)223232)-(-)(-⨯⨯;(4)0132432⨯⨯)+(-)(-;(5))(-+51262⨯; (6)-10+8÷()22--4×3; (7)-51-()()[]55.24.0-⨯-; (8)()251--(1-0.5)×31; (1)(-8)×5-40; (2)(-1.2)÷(-13)-(-2);(3)-20÷5×14+5×(-3)÷15; (4)-3[-5+(1-0.2÷35)÷(-2)];(5)-23÷153×(-131)2÷(132)2; (6)-52+(1276185+-)×(-2.4) 参考答案1、-1/52、-13、224、95、96、 07、-48 8、-1 9、-15 10、-15/34311、-24 12、-89 13、3 14、2 15、-2016、23 17、2 18、24 19、-28 20、9/1621、1 22、10 23、-1/12 24、104/3 25、926、1427、-3128、-81又1/81 29、-9 30、-29 31、-1/5 32、9 1、【答案】 (1)17; (2)511; (3)31; (4)-11 2、【答案】 (1)-10; (2)22; (3)-16; (4)-25 3、【答案】 (1)1; (2)0; (3)42; (4)423; (5)18; (6)0; (7)-4.64; (8)37; (9)8; (10)-25.4、【答案】 (1)22; (2)0; (3)-17; (4)-423; (5)71; (6)-95; (7)-85;(8)6 .5、【答案】 (1)3; (2)1; (3)-54; (4)0; (5)526; (6)-20; (7)-2; (8)-67.6、【答案】(1)-80; (2)5.6; (3)-2; (4)16; (5)-516; (6)-2.9温习 有理数的乘除、乘方运算测试题一、填空题(每小题3分,共30分) 1.3×(-2)=________,(-6)×(-31)=________. 2.(-3)2的底数是________,结果是________;-32的底数是________,结果是________.3.(-61)÷(+23)=________;-493÷(-176)=________;(+8)÷(-41)=________. 4.23×(-41)3=________;(-91)÷(+34)2=________.5.(-32)×________=1;(-32)×________=-16.-65×(-2.4)×(-53)=________.7.-32×(-5)2÷(-21)3=________.8.我国台湾省的面积约为3600平方千米,用科学记数法暗示为________. 9.+121的倒数是________;________的倒数是-54. 10.用“>”“<”填空: ①23________22②(21)2________(21)3 ③32________22④(-2)3________(-2)2二、判断题(每小题1分,共5分) 11.零除以任何数都得零( )12.互为相反数的两个数的积为正数( ) 13.如果ab >0,则a >0且b >0( )14.1除以一个非零数的商叫做这个数的倒数( ) 15.(-3)5暗示5个-3相乘( ) 三、选择题(每小题3分,共21分) 16.下列说法,其中错误的有①一个数与1相乘得原数;②一个数乘以-1得原数的相反数;③0乘以任何数得0;④同号两数相乘,符号不变.A .1个B .2个C .3个D .4个17.下列各对数:①1与1;②-1与1;③a -b 与b -a ;④-1与-1;⑤-5与|6|,其中互为倒数的是A .①②③B .①③⑤C .①③④D .①④ 18.下列各题中两个式子的值相等的是A .-23与(-2)3B .32与23C .(-2)2与 -22D .|-2|与-|-2| 19.下列结论中,其中正确的个数为①0的倒数是0;②一个不等于0的数的倒数的相反数与这个数的相反数的倒数相等;③其倒数等于自身的数是±1;④若a,b 互为倒数,则-ab=-1.A .4B .3C .2D .1 20.下列各式中结果大于0的是 A .1-910×3 B .(1-910)×3 C .1-(9×3)10 D .(1-9)10×3 21.下列说法中正确的是 A .一个数的平方必为正数B .一个数的平方必小于这个数的绝对值C .一个数的平方必大于这个数D .一个数的平方不成能为正数22.用科学记数法暗示的数2.89×104,原来是 A .2890 B .2890000 C .28900 D .289000 四、计算题(共35分)23.(3分)(-3)×(-5)×(+12)×(-21) 24.(3分)-6÷(+3)÷(-4)×(+2) 25.(3分)-5-6÷(-3)26.(3分)(-81)÷241×91÷(-16) 27.(3分)-22×(-3)÷5428.(3分)(-1)2000×(-1)2001×(-1)2002÷(-1)200329.(3分)(-2)×(-2001)×[-21-(-21)]×1-2002 30.(3分)-)45()45(5222-÷-⨯⨯ 31.(3分)(-5)2÷5×632.(3分)(-2.5)÷(-310)×(-3) 33.(5分)30×(21-31+53-109)五、解答题(9分)34.已知A=a+a2+a3+……+a2000 (1)若a=1,求A 的值. (2)若a=-1,求A 的值.参考答案一、1.-6 2 2.-3 9 3 -9 3.-91913-32 4.-81 -161 5.-2323 6.-1.2 7.1800 8.3.6×103平方千米 9.32 -14110.> > > <二、11.× 12.× 13.× 14.√ 15.√三、16.A 17.D 18.A 19.B 20.D 21.D 22.C 四、23.-90 24.1 25.-3 26.4127.15 28.1 29.-2002 30.1 31.30 32.-4933.-4。
有理数乘方及混合运算(习题及答案)1. 计算下列各式的值:a) (3/4)^2解:将3/4写成分数形式为3/4,所以(3/4)^2 = (3/4) × (3/4) = 9/16。
b) (-2/3)^3解:将-2/3写成分数形式为-2/3,所以(-2/3)^3 = (-2/3) × (-2/3) × (-2/3) = -8/27。
c) (5/6)^0解:任何非零实数的0次方都等于1,所以(5/6)^0 = 1。
2. 计算下列各式的值:a) 2/3 + 1/4解:将2/3和1/4的分母都改为12,得到8/12 + 3/12 = 11/12。
b) 5/6 - 2/9解:将5/6和2/9的分母都改为18,得到15/18 - 4/18 = 11/18。
c) (1/2)^2 + (2/3)^3解:将(1/2)^2和(2/3)^3分别计算得到1/4和8/27,所以(1/2)^2 +(2/3)^3 = 1/4 + 8/27 = 27/108 + 32/108 = 59/108。
3. 计算下列各式的值:a) 2/3 × 5/7解:将2/3和5/7相乘得到10/21。
b) 3/4 ÷ 2/5解:将3/4除以2/5转化为乘法,即3/4 × 5/2 = 15/8。
c) (3/5)^2 × (5/7)^3解:将(3/5)^2和(5/7)^3分别计算得到9/25和125/343,所以(3/5)^2 × (5/7)^3 = 9/25 × 125/343 = 1125/8575。
4. 混合运算:a) 2/3 + 1/4 × 3/5解:先计算1/4 × 3/5 = 3/20,然后将2/3和3/20相加得到40/60 + 3/20 = 43/60。
b) 1/2 - 3/4 ÷ 2/3解:先计算3/4 ÷ 2/3 = 9/8,然后将1/2和9/8相减得到4/8 - 9/8 = -5/8。
六年级数学下册有理数的加减乘除乘方的混合运算附答案练习一(B级)(一)计算题:(1)23+(-73)(2)(-84)+(-49)(3)7+(-2.04)(4)4.23+(-7.57)(5)(-7/3)+(-7/6)(6)9/4+(-3/2)(7)3.75+(2.25)+5/4(8)-3.75+(+5/4)+(-1.5)(二)用简便方法计算:(1)(-17/4)+(-10/3)+(+13/3)+(11/3)(2)(-1.8)+(+0.2)+(-1.7)+(0.1)+(+1.8)+(+1.4)(三)已知:X=+17(3/4),Y=-9(5/11),Z=-2.25,求:(-X)+(-Y)+Z的值(四)用“>“,“0,则a-ba (C)若ba (D)若a<0,ba(二)填空题:(1)零减去a的相反数,其结果是_____________; (2)若a-b>a,则b是_____________数; (3)从-3.14中减去-π,其差应为____________; (4)被减数是-12(4/5),差是4.2,则减数应是_____________; (5)若b-a<-,则a,b的关系是___________,若a-b<0,则a,b的关系是______________; (6)(+22/3)-( )=-7(三)判断题:(1)一个数减去一个负数,差比被减数小. (2)一个数减去一个正数,差比被减数小. (3)0减去任何数,所得的差总等于这个数的相反数. (4)若X+(-Y)=Z,则X=Y+Z (5)若a<0,b|b|,则a-b>0练习二(B级)(一)计算:(1)(+1.3)-(+17/7)(2)(-2)-(+2/3)(3)|(-7.2)-(-6.3)+(1.1)|(4)|(-5/4)-(-3/4)|-|1-5/4-|-3/4|)(二)如果|a|=4,|b|=2,且|a+b|=a+b,求a-b的值.(三)若a,b为有理数,且|a|<|b|试比较|a-b|和|a|-|b|的大小(四)如果|X-1|=4,求X,并在数轴上观察表示数X的点与表示1的点的距离.练习三(A级)(一)选择题:(1)式子-40-28+19-24+32的正确读法是( )(A)负40,负28,加19,减24与32的和(B)负40减负28加19减负24加32 (C)负40减28加19减24加32 (D)负40负28加19减24减负32(2)若有理数a+b+C<0,则( )(A)三个数中最少有两个是负数(B)三个数中有且只有一个负数(C)三个数中最少有一个是负数(D)三个数中有两个是正数或者有两个是负数(3)若m<0,则m和它的相反数的差的绝对值是( )(A)0 (B)m (C)2m (D)-2m(4)下列各式中与X-y-Z诉值不相等的是( )(A)X-(Y-Z) (B)X-(Y+Z) (C)(X-y)+(-z) (D)(-y)+(X-Z)(二)填空题:(1)有理数的加减混合运算的一般步骤是:(1)________;(2)_________;(3)________ _______;(4)__________________. (2)当b0,(a+b)(a-1)>0,则必有( ) (A)b与a同号(B)a+b与a-1同号(C)a>1 (D)b1 (6)一个有理数和它的相反数的积( ) (A)符号必为正(B)符号必为负(C)一不小于零(D)一定不大于零(7)若|a-1|*|b+1|=0,则a,b的值( ) (A)a=1,b不可能为-1 (B)b=-1,a不可能为1 (C)a=1或b=1 (D)a与b的值相等(8)若a*B*C=0,则这三个有理数中( ) (A)至少有一个为零(B)三个都是零(C)只有一个为零(D)不可能有两个以上为零(二)填空题:(1)有理数乘法法则是:两数相乘,同号__________,异号_______________,并把绝对值_____, 任何数同零相乘都得__________________. (2)若四个有理数a,b,c,d之积是正数,则a,b,c,d中负数的个数可能是______________; (3)计算(-2/199)*(-7/6-3/2+8/3)=________________; (4)计算:(4a)*(-3b)*(5c)*1/6=__________________; (5)计算:(-8)*(1/2-1/4+2)=-4-2+16=10的错误是___________________; (6)计算:(-1/6)*(-6)*(10/7)*(-7/10)=[(-1/6)*(-6)][(+10/7)*(-7/10)]=-1的根据是_______(三)判断题:(1)两数之积为正,那么这两数一定都是正数; (2)两数之积为负,那么这两个数异号; (3)几个有理数相乘,当因数有偶数个时,积为正; (4)几个有理数相乘,当积为负数时,负因数有奇数个; (5)积比每个因数都大.练习(四)(B级)(一)计算题:(1)(-4)(+6)(-7)(2)(-27)(-25)(-3)(-4)(3)0.001*(-0.1)*(1.1)(4)24*(-5/4)*(-12/15)*(-0.12)(5)(-3/2)(-4/3)(-5/4)(-6/5)(-7/6)(-8/7)(6)(-24/7)(11/8+7/3-3.75)*24(二)用简便方法计算:(1)(-71/8)*(-23)-23*(-73/8)(2)(-7/15)*(-18)*(-45/14)(3)(-2.2)*(+1.5)*(-7/11)*(-2/7)(三)当a=-4,b=-3,c=-2,d=-1时,求代数式(ab+cd)(ab-cd)的值.(四)已知1+2+3+......+31+32+33=17*33,计算下式1-3+2-6+3-9-12+...+31-93+32-96+33-99的值练习五(A级)(一)选择题:(1)已知a,b是两个有理数,如果它们的商a/b=0,那么( )(A)a=0且b≠0 (B)a=0 (C)a=0或b=0 (D)a=0或b≠0(2)下列给定四组数1和1;-1和-1;0和0;-2/3和-3/2,其中互为倒数的是( )(A)只有(B)只有(C)只有(D)都是(3)如果a/|b|(b≠0)是正整数,则( )(A)|b|是a的约数(B)|b|是a的倍数(C)a与b同号(D)a与b异号(4)如果a>b,那么一定有( )(A)a+b>a (B)a-b>a (C)2a>ab (D)a/b>1(二)填空题:(1)当|a|/a=1时,a______________0;当|a|/a=-1时,a______________0;(填>,0,则a___________0;(11)若ab/c0,则b___________0; (12)若a/b>0,b/c(-0.3)4>-106 (B)(-0.3)4>-106>(-0.2)3(C)-106>(-0.2)3>(-0.3)4 (D)(-0.3)4>(-0.2)3>-106 (4)若a为有理数,且a2>a,则a的取值范围是( ) (A)a<0 (B)0<1 (C)a1 (D)a>1或a<0 (5)下面用科学记数法表示106000,其中正确的是( ) (A)1.06*105 (B)10.6*105 (C)1.06*106 (D)0.106*107 (6)已知1.2363=1.888,则123.63等于( ) (A)1888 (B)18880 (C)188800 (D)1888000 (7)若a是有理数,下列各式总能成立的是( ) (A)(-a)4=a4 (B)(-a)3=A4 (C)-a4=(-a)4 (D)-a3=a3 (8)计算:(-1)1-(-2)2-(-3)3-(-4)4所得结果是( ) (A)288 (B)-288 (C)-234 (D)280(二)填空题:(1)在23中,3是________,2是_______,幂是________;若把3看作幂,则它的底数是________,指数是________; (2)根据幂的意义:(-2)3表示________相乘; (-3)2v表示________相乘;-23表示________. (3)平方等于36/49的有理数是________;立方等于-27/64的数是________ (4)把一个大于10的正数记成a*10n(n为正整数)的形成,a的范围是________,这里n比原来的整数位数少_________,这种记数法称为科学记数法; (5)用科学记数法记出下面各数:4000=___________;950000=________________;地球的质量约为49800...0克(28位),可记为________; (6)下面用科学记数法记出的数,原来各为多少105=_____________;2*105=______________;9.7*107=______________9.756*103=_____________ (7)下列各数分别是几位自然数7*106是______位数1.1*109是________位数; 3.78*107是______位数1010是________位数; (8)若有理数m 0,b0 (B)a-|b|>0 (C)a2+b3>0 (D)a<0 (6)代数式(a+2)2+5取得最小值时的a值为( ) (A)a=0 (B)a=2 (C)a=-2 (D)a0 (B)b-a>0 (C)a,b互为相反数; (D)-ab (C)a(5)用四舍五入法得到的近似数1.20所表示的准确数a的范围是( )(A)1.195≤a<1.205 (B)1.15≤a<1.18 (C)1.10≤a<1.30 (D)1.200≤a<1.205 (6)下列说法正确的是( ) (A)近似数3.80的精确度与近似数38的精确度相同; (B)近似数38.0与近似数38的有效数字个数一样(C)3.1416精确到百分位后,有三个有效数字3,1,4; (D)把123*102记成1.23*104,其有效数字有四个.(二)填空题:(1)写出下列由四舍五入得到的近似值数的精确度与有效数字: (1)近似数85精确到________位,有效数字是________; (2)近似数3万精确到______位,有效数字是________; (3)近似数5200千精确到________,有效数字是_________; (4)近似数0.20精确到_________位,有效数字是_____________. (2)设e=2.71828......,取近似数2.7是精确到__________位,有_______个有效数字;取近似数2.7183是精确到_________位,有_______个有效数字. (3)由四舍五入得到π=3.1416,精确到0.001的近似值是π=__________; (4)3.1416保留三个有效数字的近似值是_____________;(三)判断题:(1)近似数25.0精确以个痊,有效数字是2,5; (2)近似数4千和近似数4000的精确程度一样;(3)近似数4千和近似数4*10^3的精确程度一样; (4)9.949精确到0.01的近似数是9.95.练习八(B级)(一)用四舍五入法对下列各数取近似值(要求保留三个有效数字): (1)37.27 (2)810.9(3)0.0045078 (4)3.079(二)用四舍五入法对下列各数取近似值(要求精确到千位): (1)37890.6 (2)213612.4(3)1906.57(三)计算(结果保留两个有效数字): (1)3.14*3.42 (2)972*3.14*1/4练习九(一)查表求值:(1)7.042 (2)2.482 (3)9.52 (4)2.0012 (5)123.42 (6)0.12342 (7)1.283 (8)3.4683 (9)(-0.5398)3 (10)53.733(二)已知2.4682=6.901,不查表求24.682与0.024682的值(三)已知5.2633=145.7,不查表求(1)0.52633 (2)0.05263 (3)52.632 (4)52633(四)已知21.762^2=473.5,那么0.0021762是多少保留三个有效数字的近似值是多少(五)查表计算:半径为77cm的球的表面积.(球的面积=4π*r2)。
有理数混合运算典型习题一.会用三个概念的性质1.如果a;b互为相反数;那么a+b=0;a=-b2.如果c;d互为倒数;那么cd=1;c=1/d3.如果︱x︱=a;那么x=a或x=-a二.运算技巧1.归类组合;讲不同类数如分母相同或易于通分的数分别组合;将同类数如正数或负数归类计算2.凑整;将相加可得整数的数凑整;讲相加得零的数如互为相反数相消3.分解;将一个数分解成几个数和的形式;或分解为它的因数相乘的形式4.约简;将互为倒数的数或有倍数的数约简5.倒序相加;利用运算律;改算运算顺序;简化计算例计算2+4+6+ (2000)6.正逆用运算律;正难则反;逆用运算定律以简化计算..如ab+c=ab+ac.反之ab+ac=ab+c 三.思想方法:转化1.通过绝对值将加法;乘法在先确定符号的前提下;转化为小学里学的算术的加法;乘法2.通过相反数和倒数分别将减法;除法转化为加法;乘法3.通过将乘方运算转化为积的形式有理数加、减、乘、除、乘方测试一一.选择题1.计算3(25)-⨯=2.A.1000 B.-1000 C.30 D.-303.计算2223(23)-⨯--⨯=4.A.0 B.-54 C.-72 D.-185.计算11(5)()5⨯-÷-⨯=556.A.1 B.25 C.-5 D.357. 下列式子中正确的是8. A.4232(2)(2)-<-<- B.342(2)2(2)-<-<- 9. C.4322(2)(2)-<-<- D.234(2)(3)2-<-<- 10. 422(2)-÷-的结果是11. A.4 B.-4 C.2 D.-2 12. 如果210,(3)0a b -=+=;那么1b a+的值是 13.A.-2B.-3C.-4D.4二.填空题1.有理数的运算顺序是先算;再算;最算;如果有括号;那么先算..2.一个数的101次幂是负数;则这个数是..3.7.20.9 5.6 1.7---+=..4.232(1)---=..5.67()()51313-+--=.. 6.211()1722---+-=..7.737()()848-÷-=.. 8.21(50)()510-⨯+=.. 三.计算题、2(3)2--⨯12411()()()23523+-++-+-11( 1.5)4 2.75(5)42-+++-125)5.2()2.7()8(⨯-⨯-⨯-;6.190)1.8(8.7-⨯⨯-⨯-7)412(54)721(5÷-⨯⨯-÷- 四、1、已知,032=-++y x 求xy y x 435212+--的值..2、若a;b 互为相反数;c;d 互为倒数;m 的绝对值是1;求m cd b a 2009)(-+的值..有理数加、减、乘、除、乘方测试二一、选择1、已知两个有理数的和为负数;则这两个有理数A 、均为负数B 、均不为零C 、至少有一正数D 、至少有一负数 2、计算3)2(232-+-⨯的结果是A 、—21B 、35C 、—35D 、—293、下列各数对中;数值相等的是A 、+32与+23B 、—23与—23C 、—32与—32D 、3×22与3×22 4、某地今年1月1日至4日每天的最高气温与最低气温如下表:其中温差最大的是A 、1月1日B 、1月2日C 、1月3日D 、1月4日 5、已知有理数a 、b 在数轴上的位置如图所示;下列结论正确的是A 、a >bB 、ab <0C 、b —a >0D 、a +b >0 6、下列等式成立的是A 、100÷71×—7=100÷⎥⎦⎤⎢⎣⎡-⨯)7(71B 、100÷71×—7=100×7×—7 C 、100÷71×—7=100×71×7D、100÷71×—7=100×7×7 7、6)5(-表示的意义是A 、6个—5相乘的积B 、-5乘以6的积C 、5个—6相乘的积D 、6个—5相加的和 8、现规定一种新运算“*”:a *b =b a ;如3*2=23=9;则21*3= A 、61B 、8 C 、81D 、23 二、填空9、吐鲁番盆地低于海平面155米;记作—155m ;南岳衡山高于海平面1900米;则衡山比吐鲁番盆地高m10、比—1大1的数为11、—9、6、—3三个数的和比它们绝对值的和小12、两个有理数之积是1;已知一个数是—712;则另一个数是 13、计算-2.5×0.37×1.25×—4×—8的值为14、一家电脑公司仓库原有电脑100台;一个星期调入、调出的电脑记录是:调入38台;调出42台;调入27台;调出33台;调出40台;则这个仓库现有电脑台15、小刚学学习了有理数运算法则后;编了一个计算程序;当他输入任意一个有理数时;显示屏上出现的结果总等于所输入的有理数的平方与1的和;当他第一次输入2;然后又将所得的结果再次输入后;显示屏上出现的结果应是16、若│a —4│+│b +5│=0;则a —b =;若0|2|)1(2=++-b a ;则b a +=_________.. 三、解答17、计算:)411()413()212()411()211(+----+++-)415()310()10(815-÷-⨯-÷ 232223)2()2()2(2--+-+---8+―41―5――0.25721×143÷-9+1925×43+―25×21+25×-41-79÷241+94×-29-13-1-21÷3×3――32 18、1已知|a|=7;|b|=3;求a+b 的值..2已知a 、b 互为相反数;m 、n 互为倒数;x 绝对值为2;求x nm cb mn --++-2的值 四、综合题19、小虫从某点O 出发在一直线上来回爬行;假定向右爬行的路程记为正;向左爬行的路程记为负;爬过的路程依次为单位:厘米:+5;-3;+10;-8;-6;+12;-10 问:1小虫是否回到原点O2小虫离开出发点O 最远是多少厘米3、在爬行过程中;如果每爬行1厘米奖励一粒芝麻;则小虫共可得到多少粒芝麻 答案 一、选择1、D2、D3、B4、D5、A6、B7、A8、C二、填空9、205510、011、2412、97-13、—37 14、5015、2616、9 三、解答17、43-18、61-19、—13拓广探究题20、∵a 、b 互为相反数;∴a +b =0;∵m 、n 互为倒数;∴mn =1;∵x 的绝对值为2; ∴x =±2;当x =2时;原式=—2+0—2=—4;当x =—2时;原式=—2+0+2=0 21、1、10—4-3×-6=242、4——6÷3×10=24 3、3×[]24)6(104=-++综合题22、1、∵5-3+10-8-6+12-10=0∴小虫最后回到原点O ; 2、12㎝3、5+3-+10++8-+6-+12++10-=54;∴小虫可得到54粒芝麻。
有理数的加减乘除乘方混合运算专题训练1.先乘方,再乘除,最后加减;2.同级运算,从左到右进行;3.如有括号,先做括号内的运算,按小括号、中括号、大括号依次进行。
1、 1 ( 2 ) 4 ( 1 ) ( 1) 2 、 ( 81) ( 2.25) ( 4) 162 3 5 2 3 93、11 ( 22) 3 ( 11) 4 、( 12) ( 3) 15 ( 11)4 55、3[ 32( 2)2 2] 6 、023(4)312 3 87、12 [( 1) 21 )] 8 、[( 2)2 ( 3)] 12 2 129、[( 0.5)22]( 62 ) 10 、 | 5 | ( 3) 3 323 14 7 1411、— 22— ( — 2) 2— 23+( —2) 312 、 62 ( 11)2 ( 3)2( 11)3 ( 3)第 1 页13、 ( 1)1997(1 0.5) 1( 1 )14 、( 1)3 ( 81) 4 ( 3)3 [( 2)55]3 12 2 1715、-10 + 8 ÷(-2 ) 2-(-4 ) ×(-3 ) 16 、-49+2×(-3)2+( -6)÷(-1)917、-14 + ( 1 -0.5 ) ×1×[2 ×( -3) 2] 18 、( -2) 2-2×[( -1 ) 2-3×3]÷1.3 24 519、5 ( 6) ( 4)2( 8) 20 、( 3)2( 21) 04 321、( 7 5 3)(12)6 22 、( 5) ( 4)20.25 ( 5) ( 4)212 6 4 823、 ( 1)2 1 ( 2 2 2 ) 24 、 42(7) 6 (5)3 3 (2)32 23 325、6-(- 12)÷ ( 2) 226 、( -48 )÷ 8-(-5)÷ ( 1)2227、42× ( 2 ) ( 3) ÷ 0.25 28 、( 811)3 23 4 929、 2 3 2 3 3 3 30 、( -5) ×6+( -125) ÷( -5) 331、0.25 (5) 4( 1 )32 、 12( 21) 1 ( 3)225 3 2 61、【基础题】计算:(- )(- 1) + 2 (- 1 ) (1)18-6 ÷ 2 ;(2)3 2 5 ; 3(3)(-9)(-4)+(- 60)÷12 ; 2 2 5(4)(-3)×[ - +(- ) ].3 9(1) 22 28+(- 3) (- 2) (- 2) (- ); ;(2)100÷ -(-2)÷ 3(- 3 )(- 3)1 (- 12 1 3( )(- ) - (- ) (3)(-4)÷ ; )÷ 4 .4 43 3 2(1) 36 ×(1 - 1 2( ) 12.7÷(- 8 )0 ;);2 3 2 19第 4 页有理数的加减乘除乘方混合运算专题训练(3)2(-3)(-+2-1)4 (- 3)+6;(4)4×83 3;3(-1)3 3-1(- 2)-13(6) 0-2 ÷(- 4);(5)÷2 ;83 2 2 3(-2 2(7)(- 2)0.5-(- 1.6)÷(-2);()(-)×[ )-2 ] ;82 32 2÷(-);163 1(9)[ (- 3)-(- 5)] (10)÷(-)-(-)(-)2 2 4 .8(1)11+(- 22)- 3×(- 11);( 2)(-3)(-2-1) 0;4 3 3第 5 页有理数的加减乘除乘方混合运算专题训练3 2;( )÷3( 3)(- 2)-323 (- 2)-(-4)] ;4 [( 3- 7) (-7)(- )(3+ 5) ( 5)÷ ; (6)60;4884 6( 7)- 7 2 × 2 (- )÷ 1 2 ; (8)(- 1 - 3 + 4 - 7)(-15 4) +2 3 +63 6 20 5 12 .(1) 8-(- 25)÷(-5);(2)-1 3 3-2 (-1);( 3)(- ) 2 -(- 23 2 2; ) ; (4)(- ) (- +1) 0 2 3 2 34 3第 6 页有理数的加减乘除乘方混合运算专题训练( 5) + 2(- 1) ()-+÷ 2 - × ; 6 2; 25 6 10 8 4 3(7)- 5 - 0.4 2.5 5 25 -( - )× 1 ; 1;( ) 1 0.58 13(1)(- 8)× 5- 40; (2)(-1.2 )÷( - 1)- (-2 );3(3)-20 ÷5× 1+5×( -3 )÷ 15; (4)-3[-5+ (1-0.2 ÷ 3)÷( -2 )] ;45(5)-23÷1 3 ×( -1 1)2÷(1 2)2;(6)- 2 +( 5 1 7) ×( -2.4)53 35 86 12第7 页有理数的加减乘除乘方混合运算专题训练参考答案1、 -1/5 2 、 -1 3 、 22 4、95、9 6 、 07、-488、-1 9、-15 10 、-15/34311、-24 12 、-89 13 、 314 、215 、-20 16、23 17 、 2 18 、24 19 、-28 20 、9/16 21、1 22 、10 23 、-1/12 24 、104/325 、926、14 27、 -31 28 、-81 又 1/81 29 、-9 30 、 -2931、-1/5 32 、91、【答案】( 1) 17;(2)11;(3)31;(4)- 1152、【答案】( 1)- 10;(2)22;(3)- 16;(4)-5(2)0;(3)42;(4)23;23、【答案】(1)1;(5)18;( 6) 0;(7)- 4.64 ;(8)7;(9)8;(10)-5 .43 2(4)-23;(5)1;4、【答案】(1)22;( 2)0;(3)- 17;(6)- 95;( 7)4 7-85;(8)6 .5、【答案】( 1)3;(2)1;(3)-54;(4)0;( 5)26;(6)-20;(7)- 2;(8)5-7 .66、【答案】( 1)- 80;(2)5.6 ;(3)- 2;(4)16;(5)-16;(6)- 2.95第8 页有理数的加减乘除乘方混合运算专题训练复习有理数的乘除、乘方运算测试题一、填空题(每小题3 分,共30 分)1. 3×(- 2) =________,(- 6)×(-1) =________.32.(- 3)2的底数是 ________,结果是 ________ ;- 32的底数是 ________ ,结果是________.3.(-1)÷( + 3)=________;-3÷(- 1 6)=________;( +8)÷(-1)=________.6 2 497 4 4. 23×(-1)3=________ ;(-1)÷( + 4)2=________.4 9 35.(-2)× ________=1;(-2)× ________=- 13 36.-5×(- 2.4)×(-3) =________.6 57.- 32×(- 5)2÷(-1)3=________.28.我国台湾省的面积约为3600 平方公里,用科学记数法表示为________.9. +1 1的倒数是 ________; ________的倒数是-4.2 510.用“>”“<”填空:① 23________22②(1)2 ________(1)32 2③ 32________22④(- 2)3________(- 2)2二、判断题(每小题1 分,共5分)11.零除以任何数都得零()12.互为相反数的两个数的积为负数()13.如果 ab> 0,则 a>0 且 b> 0()14. 1 除以一个非零数的商叫做这个数的倒数()15.(- 3)5表示 5 个- 3 相乘()三、选择题(每小题3 分,共21 分)16.下列说法,其中错误的有①一个数与 1 相乘得原数;②一个数乘以-1 得原数的相反数;③0 乘以任何数得 0;④同号两数相乘,符号不变.A.1 个B.2 个C.3 个D.4 个17.下列各对数:① 1 与 1;②- 1 与 1;③ a- b 与 b- a;④- 1 与- 1;⑤,- 5 与 |6|其中互为倒数的是A.①②③B.①③⑤C.①③④D.①④18.下列各题中两个式子的值相等的是A.- 23与(- 2)3B.32与 231有理数的加减乘除乘方混合运算专题训练C.(- 2)2与-22D. | -2| 与- | -2| 19.下列结论中,其中正确的个数为① 0 的倒数是 0;②一个不等于0 的数的倒数的相反数与这个数的相反数的倒数相等;③其倒数等于自身的数是±1;④若 a, b 互为倒数,则- ab=- 1.A. 4 B. 3C. 2 D. 120.下列各式中结果大于0 的是10 10A. 1-9 ×3 B.(1-9 )× 3 C. 1-( 9× 3)10D.( 1- 9)10× 3 21.下列说法中正确的是A.一个数的平方必为正数B.一个数的平方必小于这个数的绝对值C.一个数的平方必大于这个数D.一个数的平方不可能为负数22.用科学记数法表示的数2. 89×104,原来是A. 2890 B. 2890000C. 28900 D. 289000四、计算题(共35 分)23.(3 分)(- 3)×(- 5)×( +12)×(- 1 )224.(3 分)- 6÷( +3)÷(- 4)×( +2)25.(3 分)- 5- 6÷(- 3)26.(3 分)(- 81)÷ 2 1×1÷(- 16)4 927.(3 分)- 22×(- 3)÷452有理数的加减乘除乘方混合运算专题训练28.(3 分)(- 1)2000×(- 1)2001×(- 1)2002÷(- 1)200329.(3 分)(- 2)×(- 2001 )×[- 1 -(-1)]× 1- 20022 230.(3 分)- 2 2( 5)2( 5)5 4 431.(3 分)(- 5)2÷ 5× 632.(3 分)(- 2.5 )÷(-10)×(- 3)333.(5分)30×(1-1+3-9)2 3 5 103有理数的加减乘除乘方混合运算专题训练五、解答题(9 分)34.已知 A=a+a2+a 3+⋯⋯ +a2000( 1)若 a=1,求 A 的值.( 2)若 a=- 1,求 A 的值.参考答案一、 1.- 6 2 2.-3 9 3 -9 3.-13- 324.-1 1 5.-3 3 9 91-6.- 1.2 7. 1800 8.3.6 × 103平方公里8 16 2 29.2- 1 110.>>><3 4二、 11.×12.×13.×14.√ 15.√三、 16. A17. D 18.A 19.B 20. D 21. D 22. C四、 23.-9024. 1 25.-3 26.127. 15 28. 1 29.-200232.-9430. 1 31. 3033.- 44五、34.( 1)2000 (2)04。
有理数乘方及混合运算(通用版)试卷简介:乘方的意义,运用有理数的运算法则进行运算.一、单选题(共20道,每道5分)1.下列每对数中,不相等的一对是( )A. B.C. D.答案:B解题思路:,,A选项中两个数相等;,,B选项中两个数不相等;,,C选项中两个数相等;,,D选项中两个数相等.不相等的一对是B选项,故选B.试题难度:三颗星知识点:乘方的意义2.计算的结果是( )A.1B.2C.-1D.-7答案:A解题思路:故选A.试题难度:三颗星知识点:有理数混合运算3.关于的相反数,有下列说法:①等于;②等于;③值可能为0;④值一定是正数.其中正确的有( )A.1个B.2个C.3个D.4个答案:C解题思路:,它的相反数是,故①正确;因为,所以②也正确;当时,,所以的相反数的值可能为0,③也正确;由③可知,的值也可能为0,所以④不正确.正确的有①②③,共3个,故选C.试题难度:三颗星知识点:乘方的意义4.若(其中n为奇数),则a( )A.一定是正数B.一定是负数C.可正可负D.以上都不对答案:A解题思路:表示个相乘,为奇数,当时,则,所以a不是负数;当a=0时,,所以a不是0;当时,.综上,一定是正数,故选A.试题难度:三颗星知识点:乘方的意义5.计算的结果是( )A.26B.-24C.11D.61答案:C解题思路:故选C.试题难度:三颗星知识点:有理数混合运算6.计算的结果是( )A. B.C. D.答案:B解题思路:故选B.试题难度:三颗星知识点:有理数混合运算7.计算的结果是( )A.7B.C.-7D.答案:B解题思路:故选B.试题难度:三颗星知识点:有理数混合运算8.计算的结果是( )A.10B.-10C. D.答案:A解题思路:故选A.试题难度:三颗星知识点:有理数的混合运算9.计算的结果是( )A. B.C. D.答案:B解题思路:故选B.试题难度:三颗星知识点:有理数的混合运算10.计算的结果是( )A. B.C. D.答案:D解题思路:故选D.试题难度:三颗星知识点:有理数的混合运算11.计算的结果是( )A. B.C. D.答案:C解题思路:故选C.试题难度:三颗星知识点:有理数的混合运算12.计算的结果是( )A.26B.24C.40D.-26答案:B解题思路:故选B.试题难度:三颗星知识点:有理数的混合运算13.计算的结果是( )A. B.C. D.答案:A解题思路:故选A.试题难度:三颗星知识点:有理数的混合运算14.计算的结果是( )A. B.C.-12D.-6答案:B解题思路:故选B.试题难度:三颗星知识点:有理数的混合运算15.计算的结果是( )A.70B.10C.2D.-10答案:C解题思路:故选C.试题难度:三颗星知识点:有理数混合运算16.计算的结果是( )A. B.-2C.2D.0答案:D解题思路:故选D.试题难度:三颗星知识点:有理数混合运算17.计算的结果是( )A. B.C.1D.答案:A解题思路:故选A.试题难度:三颗星知识点:有理数混合运算18.计算的结果是( )A.-16B.-10C.16D.-8答案:B解题思路:先观察结构,分为两个部分,对每一部分依照法则去做,每部分每次向前推进一小步.故选B.有学生在第一部分出错,把前面的负号忽略了;有的学生在第二部分出错,乘方的意义理解有问题,算成了1,算成了-8;像这步就是每次推进一点点,先变成,然后再计算.要保证每步的计算都是正确的,在每次推进一点点的过程中,需要对有理数的运算法则非常清楚.试题难度:三颗星知识点:有理数混合运算19.计算的结果是( )A. B.-10C.2D.4答案:C解题思路:故选C.试题难度:三颗星知识点:有理数混合运算20.计算的结果是( )A.30B.18C.-3D.21答案:D解题思路:故选D.试题难度:三颗星知识点:有理数混合运算第 11 页共 11 页。
有理数的混合运算练习题(含答案)(大综合17套)友情提示:一、认真对待每一次复习及考试。
.二、遇到不懂的题目或者知识点就是并解决它就是进步的机会。
三、试题卷中所有试题的答案填涂或书写在答题卷的相应位置,写在试题卷上无效. 四、请仔细审题,细心答题,相信你一定会有出色的表现!有理数混合运算练习题及答案 第1套同步练习(满分100分)1.计算题:(10′×5=50′)(1)3.28-4.76+121-43;(2)2.75-261-343+132;(3)42÷(-121)-143÷(-0.125);(4)(-48) ÷82-(-25) ÷(-6)2; (5)-52+(1276185+-)×(-2.4).2.计算题:(10′×5=50′)(1)-23÷153×(-131)2÷(132)2;(2)-14-(2-0.5)×31×[(21)2-(21)3];(3)-121×[1-3×(-32)2]-( 41)2×(-2)3÷(-43)3(4)(0.12+0.32) ÷101[-22+(-3)2-321×78];(5)-6.24×32+31.2×(-2)3+(-0.51) ×624.【素质优化训练】1.填空题:(1)如是0,0>>cbb a ,那么ac 0;如果0,0<<cbb a ,那么ac 0;(2)若042=-++++c c b a ,则abc=; -a 2b 2c 2=;(3)已知a ,b 互为相反数,c ,d 互为倒数,x 的绝对值等于2,那么x 2-(a+b)+cdx= .2.计算:(1)-32-;)3(18)52()5(223--÷--⨯-(2){1+[3)43(41--]×(-2)4}÷(-5.043101--);(3)5-3×{-2+4×[-3×(-2)2-(-4) ÷(-1)3]-7}.【生活实际运用】甲用1000元人民币购买了一手股票,随即他将这手股票转卖给乙,获利10%,而后乙又将这手股票反卖给甲,但乙损失了10%.最后甲按乙卖给甲的价格的九折将这手股票卖给了乙,在上述股票交易中( )A .甲刚好亏盈平衡;B .甲盈利1元;C .甲盈利9元;D .甲亏本1.1元.参考答案【同步达纲练习】1.(1)-0.73 (2)-121; (3)-14; (4)-181; (5)-2.9 2.(1)-351 (2)-1161; (3)- 5437; (4)1; (5)-624.【素质优化训练】1.(1)>,>; (2)24,-576; (3)2或6.[提示:∵x =2 ∴x 2=4,x=±2].2.(1)-31; (2)-8;2719(3)224【生活实际运用】 B有理数的四则混合运算练习 第2套◆warmup知识点 有理数的混合运算(一)1.计算:(1)(-8)×5-40=_____;(2)(-1.2)÷(-13)-(-2)=______. 2.计算:(1)-4÷4×14=_____;(2)-212÷114×(-4)=______. 3.当||a a=1,则a____0;若||a a =-1,则a______0.4.(教材变式题)若a<b<0,那么下列式子成立的是()A.1a<1bB.ab<1 C.ab<1 D.ab>15.下列各数互为倒数的是()A.-0.13和-13100B.-525和-275C.-111和-11 D.-414和4116.(体验探究题)完成下列计算过程:(-25)÷113-(-112+15)解:原式=(-25)÷43-(-1-12+15)=(-25)×()+1+12-15=____+1+52 10 -=_______.◆Exersising7.(1)若-1<a<0,则a______1a;(2)当a>1,则a_______1a;(3)若0<a≤1,则a______1a.8.a,b互为相反数,c,d互为倒数,m的绝对值为2,则||4a bm++2m2-3cd值是()A.1 B.5 C.11 D.与a,b,c,d值无关9.下列运算正确的个数为()(1)(+34)+(-434)+(-6)=-10 (2)(-56)+1+(-16)=0(3)0.25+(-0.75)+(-314)+34=-3(4)1+(-3)+5+(-7)+9+(-1)=4A.3个 B.4个 C.2个 D.1个10.a,b为有理数,在数轴上的位置如右上图所示,则()A.1a>1b>1 B.1a>1>-1bC.1>-1a>1bD.1>1a>1b11.计算:(1)-20÷5×14+5×(-3)÷15 (2)-3[-5+(1-0.2÷35)÷(-2)]ob a(3)[124÷(-114)]×(-56)÷(-316)-0.25÷14◆Updating12.(经典题)对1,2,3,4可作运算(1+2+3)×4=24,现有有理数3,4,-6,10,请运用加,减,乘,除法则写出三种不同的计算算式,使其结果为24.(1)____________ (2)____________ (3)____________答案:课堂测控1.(1)-80 (2)5352.(1)-14(2)83.>,< 4.D 5.C 6.34,-310,1[总结反思]先乘除,后加减,有括号先算括号内的.课后测控7.(1)> (2)> (3)≤ 8.B 9.B 10.B11.解:(1)原式=-20×15×14+5×(-3)×115=-1-1=-2(2)原式=124×(-45)×(-56)×(-619)-14÷14=124×(-419)-1=-1114-1=-11114(3)原式=-3[-5+(1-15×53)÷(-2)]=-3[-5+23×(-12)]=-3[-5-13]=15+1=16[解题技巧]除法转化为乘法,先乘除,后加减,有括号先算括号内的.拓展测控12.解:(1)4-(-6)÷3×10 (2)(10-6+4)×3(3)(10-4)×3-(-6)[解题思路]运用加,减,乘除四种运算拼凑得24点.有理数的混合运算习题 第3套一.选择题1. 计算3(25)-⨯=( )A.1000B.-1000C.30D.-302. 计算2223(23)-⨯--⨯=( )A.0B.-54C.-72D.-183. 计算11(5)()555⨯-÷-⨯=A.1B.25C.-5D.354. 下列式子中正确的是( )A.4232(2)(2)-<-<- B. 342(2)2(2)-<-<- C. 4322(2)(2)-<-<-D. 234(2)(3)2-<-<-5. 422(2)-÷-的结果是( )A.4B.-4C.2D.-26. 如果210,(3)0a b -=+=,那么1ba+的值是( ) A.-2 B.-3C.-4D.4二.填空题1.有理数的运算顺序是先算 ,再算 ,最算 ;如果有括号,那么先算 。
有理数乘方及混合运算(习题)
➢ 巩固练习
1. 据某市统计局公布的第六次人口普查数据,该市常住人口约
为760万人,其中760万人用科学记数法表示为( ) A .7.6×106人 B .7.6×105人 C .7.6×102人
D .0.76×107人 2. 下列等式中,成立的是( )
A .3(2)6-=-
B .239-=
C .523233
-=-
D .2525--=
3. 下列各式中成立的是( )
A .33(2)2-=-
B .332(2)=-
C .2222-=-
D .222(2)=- 4. 下列各式中正确的是( )
A .(2)2n n -=
B .22(2)2n n -=
C .22(2)2n n -=-
D .2121(2)2n n ++-=
5. 地球上的海洋面积约361 000 000平方千米,用科学记数法
表示为______________平方千米.
6. 下列用科学记数法表示的数据,原来各是什么数?
(1)水星的半径约为2.44×106 m ,则原数为___________m .
(2)据报告,某市去年国民生产总值为23 877 000万元,则 用科学记数法可表示为______________元.
7. 已知A 点的高度为3米,现通过四个中间点B ,C ,D ,E ,
最后测量最远处的F 点的高度,每次测量的结果如下表:
C ______,
D _______,
E _______,
F _______. 8. (1)[]322(1)31(2)-⨯--⨯--;
(2)
2332(4)(9)0---⨯-⨯;
(3)3
3
2116(2)(2)2⎛⎫
÷---⨯- ⎪⎝⎭
;
(4)442
3(3)2⎡⎤-÷-⨯-(-)⎣⎦;
(5)221230.8535⎡⎤⎛⎫⎛⎫
-⨯--÷-⎢⎥ ⎪
⎪⎝⎭⎝⎭⎢⎥⎣⎦;
(6)3
2118(3)5(15)52⎛⎫
-÷-+⨯---÷ ⎪⎝⎭.
9.股民小万上周五以每股13元的价格买进某种股票10 000
股,下表是本周每天股票的涨跌情况(单位:元;用正数表示比前一天上涨数,用负数表示比前一天下跌数,周
六、周日不开盘):
(2)已知小万买进股票时付了3‰的手续费,卖出时需付成
交额3‰的手续费和2‰的交易税.如果小万在星期五收盘前将全部股票卖出,他的收益情况如何?(“‰”是千分号,
如“3‰”表示的是“
3
1000
”)
10.某工厂本周计划每日生产自行车100辆,由于工人实行轮
休,每日上班人数不一定相等,实际每日生产量与计划量相比情况如下表(单位:辆;增加的为正数,减少的为负数):
辆?
(2)本周总生产量是多少辆?与计划相比是增加了还是减少
了,增减数为多少?
➢ 思考小结
1. (“24点”游戏)从一副扑克牌(去掉大、小王)中任意抽
取4张,根据牌面上的数字进行混合运算(每张牌只能用一次),使得运算结果为24或-24.其中红色扑克牌代表负数,黑色扑克牌代表正数,现给你四张扑克牌:黑桃3,梅花4,方块6和梅花10,请列出一个有理数的混合运算式子(加、减、乘、除、乘方),使最后结果为24.
2. 一个数的平方为16,这个数可能是_________;
一个数的平方是0,这个数是_________.
3. 设n 为正整数,计算:
1n =_______;2(1)n -=______;21(1)n +-=_______. 由此可知:
正数的任何次幂都是_______(填“正数”、“负数”或“0”);负数的奇次幂是_________;负数的偶次幂是__________.
【参考答案】
➢巩固练习
1. A
2. C
3. D
4. B
5. 3.61×108
6.(1)2 440 000
7.(2)2.3 877×1011
8.2米,-1米,-9米,-7米,3米
9.(1)13;(2)-9;(3)
3
2
-;(4)4;(5)
1
3
;(6)
3
8
10.(1)13.8元;(2)收益为6 920元.
11.(1)17辆;
(2)本周总产量为696辆,与计划相比减少了4辆.➢思考小结
1.(104)3(6)24
-⨯--=;
(104)3(6)24
--⨯-=;
(4106)324
+-⨯=
2.±4;0
3.1;1;-1;正数;负数;正数.。