有理数基础计算题
- 格式:doc
- 大小:86.50 KB
- 文档页数:1
有理数运算练习(一)【加减混合运算】一、有理数加法•3、【基础题】计算,能简便的要用简便算法:(1) (— 25)+ 34 + 156 +(— 65);(3) (— 42)+ 57+(— 84) + (— 23);(5) (— 301)+ 125+ 301+(— 75);(6) (— 52)+ 24+(— 74)+ 12 ;(7) 41 +(— 23) + (— 31)+ 0 ; (8) (— 26)+ 52 + 16+(— 72)1、【基础题】计算: (1) 2 +(— 3); (2)(-5) + (— 8); (3) 6+(— 4); (4) 5 +(— 5);(5) 0+(— 2); (6) (— 10) + (— 1); (7) 180+(— 10); (8) (— 23)+ 9;(9) (— 25) + (— 7); (10) (— 13)+ 5; (11) (— 23)+ 0; (12) 45+(— 45)2、【基础题】计算: (1) (— 8) + (— 9); (2) (— 17)+ 21; (3) (— 12)+ 25; (4) 45+(— 23);(5) (— 45)+ 23;(6) (— 29) + (— 31); (7) (— 39) + (— 45); ( 8) (— 28)+ 37.(2) (— 64)+ 17+(— 23)+ 68 ;(4) 63 + 72+(— 96) + (— 37);11 1⑺(―56)+ 0 ;(8)笃+(—花)4、【综合I 】计算: 1 3 °)3(一4);(3)(一1.2心】;I 5丿;1 3(4) (-3卫(令);5、【综合I 】计算: (1) 11 45 )(6)(右)9 19(2)(y 八75(3) 1 2 3 18 39(一」(丿(匚)(匚) 2 5 2 5 5 -43 7 7⑷(-3.5)七)(蔦)(亍 0.75 (飞)6、【基础题】计算: (1) 9—(—5); 二、有理数减法• (2) (— 3)— 1; ( 3) 0 — 8; (4) (— 5)— 0; (5) 3— 5; (6) 3 —(— 5);(7) (— 3)— 5 (8) (— 3) — (— 5); (9) (— 6) — (— 6); (10) (— 6)— 6.2 5 (5)(37) —27);2(6)(—石)+0.8;(3) 23 —(— 76)— 36 —(— 105);(4) (— 32) — (— 27) — (— 72)— 87.(5) (— 2 )— 1 —(— 5 ) — (— 1 );3 2 6 3(6) (— 12- )— [ — 6.5 —(— 6.3 )— 61 ].2 5三、有理数加减混合运算9、【综合I 】计算6.1、【综合I 】计算: (2) (— 1)— 1-;22 2 2 ⑶(--)-5 ;(4)幕-(-2.7);(5) 0 —(— 4 ); 7 (6) (— 1)—(—丄);2 2(7) 31 —5? ;(8)— 64—1— 64 丨4 57、【基础题】填空: (1) (— 7) + ( )= 21;(2) 31+()=—85;(3) ( ) — (— 21)= 37 ; (4)( ) —56=— 40&【基础题】计算:(1) (— 72) — (— 37) — (— 22)— 17;(2) (— 16) — ( — 12)— 24—(— 18);1 5 1(5)丄+(—上)一(一丄)3 6 2 10、【综合I】计算,能简便的要用简便算法:(1) 4.7 —3.4 +(—8.3 );(2) (—2.5 )—1+(—1);2 5 (3) - —(—0.25 )—1;2 6(4) (—1)—15+(—-);3 3 (5) - +(—1)—1 + -;3 5 311、【综合I】计算:(2) (—8) — (—15) + (—9) — (—12);(3) 0.5 +(— - ) — (—2.75 )+ -;4 2 (4) (— - ) + (—1) — (—1)3 6 4(1)—7+ 13-6 + 20; (2) —4.2 + 5.7 —8.4 + 10;3 1 (3)(—三)+ 丄5 5(5) 1+(—2) — (— - ) + (—1);2 3 5 2 1146+ (—712(4) (—5) — (—1)+ 7 —7;2 3 (6)(6) (—12) — (— - ) + (—8)5 7 10(1) 33.1 —(—22.9 ) + (—10.5 );(4) 7—(— - )+ 1.5 ;23(5) 49—(— 20.6;58 8(8) (- 9.9 ) + 10- + 9.9 +(- 10)9913、【综合I 】计算:(5)— 0.5 —(— 31)+ 2.75 —(+ 71);4 212、【综合I 】计算: (1) 7+(— 2)- 3.4 ;(2) (- 21.6 )+ 3-7.4 +(-5);5(3) 31+(— _ )+ 0.25 ;4(1) -1 評[一2 3 4 乃广[6 7 8 ;(2) —0.5 + 1.75 + 3.25 +(— 7.5 )(3)54\-6J5 6>(6) (— - )— 7 —(— 3.2 ) + (— 1);556 (7) 12+丨一11 丨1111(―5)+ 丨21 丨7 4 2 (6) 345 1213 -9 5有理数运算练习(一)答案1、【答案】(1)—1;(8)—14; (2)—13;(9)—32;(3) 2 ;(10)-(4)8 ;0; (5)—2; (6)—11;0.(7) 170 ;(11)—23; (12)2、【答案】(1)—17; (2) 4; ( 3) 13; (4) 22 ; (5) -22 ;(6)—60; (7)—84; (8) 9.3、【答案】(1)100;(2)—2; (3)—92; (4) 2 ; (5) 50; (6) —90 ; (7)—13 ; (8)—30.4、【答案】/、5/、54/、2/、1(1)—(2) - ; (3) 0; (4)- -6; (5) (6) (7) - 5-;(8) 1267365115、【答案】(1) 6(2) 4.25(3) 1 2(4) 36、【答案】(1) 14;( 2)—4; (3) —8 ; (4) —5; (5)- 2 ; (6) 8; ( 7)—8 ;(8) 2; ( 9) 0; (10)—126.1、【答案】(1) 1; (2)—-; (3)- 16 . (4) 4.1 ; (5)- ;(6) 0 ;52157(7)—43(8)—128207、【答案】(1) 28; (2)—116 ; (3) 16 ; (4) 168【答案】(1)—30; (2)—10 ; (3) 168 ; (4)—20; (5) 01 (6) —6.1 或一6 —109、【答案】(1) 20; (2) 3.1 ; (3 )— 6 ; 1(4) (5 )—-;(6)35634 10、【答案】(1)—7; (2)—3.2; (3) 7, (4)—16 ; (5) —-;(6)39125211、【答案】(1) 45.5;(2) 10;(3) 7; (4) —13(5)2 ;-- ?(6)521215612、【答案】(1) 1.6 ; (2)- 26.4;(3) 30; (4) 9:(5) 69; (6) —6;(7) 27.1 ; ;(8) 013、【答案】(1) 8; (2)- 31(3) — ; (4) —13; (5) —2; (6) 13空490。
"有理数计算(一)2018/10/11.计算题:(10′×5=50′) (1)3.28-4.76+121-43; (2)2.75-261-343+132; (3)42÷(-121)-143÷();(4)(-48) ÷82-(-25) ÷(-6)2; (5)-52+(1276185+-)×.}2.计算题:(10′×5=50′) (1)-23÷153×(-131)2÷(132)2; (2)-14-()×31×[(21)2-(21)3];(3)-121×[1-3×(-32)2]-( 41)2×(-2)3÷(-43)3~(4)+ ÷101[-22+(-3)2-321×78]; (5)×32+×(-2)3+ ×6241、甲用1000元人民币购买了一手股票,随即他将这手股票转卖给乙,获利10%,而后乙又将这手股票反卖给甲,但乙损失了10%.最后甲按乙卖给甲的价格的九折将这手股票卖给了乙,在上述股票交易中( )A .甲刚好亏盈平衡;B .甲盈利1元;C .甲盈利9元;D .甲亏本元.…2.某检修小组乘一辆检修车沿铁路检修,规定向东走为正,向西走为负,•小组的出发地记为0,某天检修完毕时,行走记录(单位:千米)如下:(1)问收工时,检修小组距出发地有多远在东侧还是西侧(2)若检修车每千米耗油升,求从出发到收工共耗油多少升`有理数计算(二)2018/10/21.计算:(1)(-8)×5-40=_____;(2)()÷(-13)-(-2)=______.2.计算:(1)-4÷4×14=_____;(2)-212÷114×(-4)=______.3.当||aa=1,则a____0;若||aa=-1,则a______0.4.(体验探究题)完成下列计算过程:(-25)÷113-(-112+15)解:原式=(-25)÷43-(-1-12+15) =(-25)×()+1+12-15=____+1+5210-=_______.》5.(1)若-1<a<0,则a______1a;(2)当a>1,则a_______1a;(3)若0<a≤1,则a______1a.6.a,b互为相反数,c,d互为倒数,m的绝对值为2,则||4a bm++2m2-3cd值是()A.1 B.5 C.11 D.与a,b,c,d值无关7.计算:(1)-20÷5×14+5×(-3)÷15 (2)-3[-5+(÷35)÷(-2)]\(3)[124÷(-114)]×(-56)÷(-316)÷148.(经典题)对1,2,3,4可作运算(1+2+3)×4=24,现有有理数3,4,-6,10,请运用加,减,乘,除法则写出三种不同的计算算式,使其结果为24.(1)____________ (2)____________ (3)___________9..体育课全班女生进行了百米测验,达标成绩为18秒,下面是第一小组8名女生的18秒。
关于有理数的练习题关于有理数的练习题有理数是数学中的一个重要概念,它包括整数和分数两种形式。
在日常生活中,我们经常会遇到有理数的运算问题。
下面,我将给大家提供一些有关有理数的练习题,希望能够帮助大家更好地理解和掌握有理数的性质和运算规律。
1. 计算下列有理数的和:-3/4 + 2/3 - 5/6。
解析:首先,需要找到这三个分数的最小公倍数,即12。
然后,将每个分数的分母改为12,得到-9/12 + 8/12 - 10/12。
最后,将分子相加,得到-11/12。
2. 计算下列有理数的积:(-2/3) × (5/7) × (-3/4)。
解析:将分数相乘,得到(-2/3) × (5/7) × (-3/4) = 30/84 = 5/14。
3. 计算下列有理数的商:(-3/4) ÷ (2/5)。
解析:将除法转化为乘法,即(-3/4) × (5/2) = -15/8。
4. 判断下列有理数的大小:-2/3,-1/2,5/6。
解析:首先,将这三个分数的分母改为6,得到-4/6,-3/6,5/6。
然后,从小到大排列,得到-4/6 < -3/6 < 5/6。
5. 计算下列有理数的绝对值:|-2/3|,|1/2|,|-5/6|。
解析:绝对值是一个数的非负值,即去掉负号。
所以,|-2/3| = 2/3,|1/2| = 1/2,|-5/6| = 5/6。
6. 计算下列有理数的倒数:1/(-2/3),2/(-5/7),(-3/4)。
解析:倒数是指一个数与其倒数相乘等于1。
所以,1/(-2/3) = -3/2,2/(-5/7)= -14/5,(-3/4) = -4/3。
7. 计算下列有理数的平方:(-2/3)^2,(1/2)^2,(-5/6)^2。
解析:平方是指一个数与自身相乘的结果。
所以,(-2/3)^2 = 4/9,(1/2)^2 =1/4,(-5/6)^2 = 25/36。
有理数加减乘除混合运算基础试题(含答案)数学练(一)有理数加减法运算练一、加减法法则、运算律的复A。
同号两数相加,取相同的符号,并把绝对值相加。
例如:(–3)+(–9)=(–12),85+(+15)=100.绝对值不相等的异号两数相加,取绝对值较大的加数的符号,并用较大的绝对值减去较小的绝对值。
例如:(–45) +(+23)=–22,(–1.35)+6.35=5.一个数同相加,仍得这个数。
例如:(–9)+ 0=–9,0 +(+15)=15.B。
加法交换律:a + b = b + a,加法结合律:(a + b) + c = a + (b + c)。
例如:(–1.76)+(–19.15)+ (–8.24)=-29.15,23+(–17)+(+7)+(–13)=0.3)+(–2)+5+(–8)=–2,(–4)+(+5)=1.C。
有理数的减法可以转化为正数来进行,转化的“桥梁”是减号(正号可以省略)或是加上被减数的相反数。
例如:a–b=a+(-b)。
即(–3)–(–5)=2,3–13–(–1)+(–5)=6.D。
加减混合运算可以统一为加法运算。
即a + b–c = a + b +(-c)。
例如:(–3)–(+5)+(–4)–(–10)=–2,1–4 + 3–5=–5,2.4 + 3.5–4.6 + 3.5=4.8,3–2+5–8=–2.二、综合提高题。
A XXX their blood pressure once a day in the afternoon。
The table below XXX blood pressure was 160 units last Sunday。
What is the XXX Friday?XXXXXX blood pressure (compared to us day) +30 units -20 units +17 units +18 units -20 unitsXXX: 160 + 30 - 20 + 17 + 18 - 20 = 185 units.Math Exercise 2: XXXA。
有理数加减混合运算100题有理数加减混合运算测试题一、有理数加法运算基础题:求下列算式的值:2.1)+3.8+(-6)+8+(-3)+120.36+(—7.4)+0.3+(—0.6)+0.648.5)+(-4.2)+1+2/5+213-3/8+(-3)-4/3+1-1/2+1-1/4二、有理数减法运算基础题:求下列算式的值:3211)-(-5522)-(-1215)+17-8+9-6+143-(-2)+107.2|—|—6.3|+12+|-14|-|-2|+6三、有理数加减混合运算基础题:求下列算式的值:7)-5+(-4)+10-4.2+5.7-8.4+1012-(-18)+7+15 4.7-(-8.9)-7.5+(-6)+70-28+19+24+123.3+5.4-2.8+7.5+23-27+9-520)+3+5-7-23+50-37+20四、有理数加减混合运算过关题:求下列算式的值:0.7-0.9-1.8+1.3-0.20.5)+3+2.75-5-3.3+4.6-6.5+100.6+1.8-5.4+4.29.9)+10+9.9-1020.75)-3.25-4.25+19.75五、有理数加减混合运算提升题:求下列算式的值:1.4-(-3.6+5.2)-4.3]-(-1.5)-4/5-(-5)-(-3)-(-1)+8-6-(-2/3)2-(-3)1.删除明显有问题的段落。
2.改写每段话:1.[1.8-(-1.2+2.1)-0.2]-(-1.5)改写为:求表达式 [1.8-(-1.2+2.1)-0.2]-(-1.5) 的值。
2.-15-(-2)-(-5)改写为:计算 -15-(-2)-(-5) 的结果。
3.2(5-31)+|-25|+|-1/3|+|-13|改写为:求表达式 2(5-31)+|-25|+|-1/3|+|-13| 的值。
4.|-0.25|+(-0.125)+|-0.75|+10-[(-8)+(-3)-(-5)]改写为:计算 |-0.25|+(-0.125)+|-0.75|+10-[(-8)+(-3)-(-5)] 的结果。
初一有理数加减混合运算百题第一部分一、有理数加法运算基础题1、(—)+2、(—6)+8+(—4)+123、+(—++(—+二、有理数减法运算基础题1、(-52)-(-53)2、(-21)-(-21)3、(-17)-(-8)-(-9)-(+6)-(-14);4、(-32)-(+21)-(-65)-(-31)5、3-[(-3)-10]三、有理数加减混合运算基础题1、(-7)-(+5)+(-4)-(-10)2、+、12-(-18)-(-7)-154、()+(-6)5、-41+65-43+616、-70-28-(-19)+24-(-12)7、+、(+23)+(-27)+(+9)+(-5)9、(-20)+(+3)-(-5)-(+7)10、-23+50+(-37)+20四、有理数加减混合运算过关题1、++++()2、()+343++(-521)3、+、+、(-2521)+14++(-14)6、16-(-865)-(+465)+27、-9+(—343)+3438、+五.列式计算(1)、什么数减去544-的差是313的相反数(2)、从–4中减去41与-31的和,其差是多少(3)、什么数与-7的和等于-11第二部份1、(-9)-(-13)+(-20)+(-2)2、3+13-(-7)÷63、(-2)-8-14-134、(-7)×(-1)÷7+85、(-11)×4-(-18)÷186、4+(-11)-1÷(-3)7、(-17)-6-16÷(-18)8、5÷7+(-1)-(-8)9、(-1)×(-1)+15+110、3-(-5)×3÷(-15)11、6×(-14)-(-14)+(-13)12、(-15)×(-13)-(-17)-(-4)13、(-20)÷13÷(-7)+1114、8+(-1)÷7+(-4)15、(-13)-(-9)×16×(-12)16、(-1)+4×19+(-2)17、(-17)×(-9)-20+(-6)18、(-5)÷12-(-16) ×(-15)19、(-3)-13×(-5)×1320、5+(-7)+17-1021、(-10)-(-16)-13×(-16)22、(-14)+4-19-1223、5×13÷14÷(-10)24、3×1×17÷(-10)25、6+(-12)+15-(-15)26、15÷9÷13+(-7)27、2÷(-10)×1-(-8)28、11÷(-19)+(-14)-529、19-16+18÷(-11)30、(-1)÷19+(-5)+131、(-5)+19÷10×(-5)32、11÷(-17)×(-13)×1233、(-8)+(-10)÷8×1734、7-(-12)÷(-1)+(-12)35、12+12-19+2036、(-13)×(-11)×20+(-4)37、17÷(-2)-2×(-19)38、1-12×(-16)+(-9)39、13×(-14)-15÷2040、(-15)×(-13)-6÷(-9)41、15×(-1)÷12+742、(-13)+(-16)+(-14)-(-6)43、14×12×(-20)×(-13)44、17-9-20+(-10)45、12÷(-14)+(-14)+(-2)46、(-15)-12÷(-17)-(-3)47、6-3÷9÷(-8)48、(-20)×(-15)×10×(-4)49、7÷(-2)×(-3)÷(-14)50、13÷2×18×(-7)答案:1、-182、103÷63、-374、95、-436、-(20÷3)7、-(199÷9)8、54÷79、1710、211、-8312、21613、1021÷9114、27÷715、-174116、7317、12718、-(2885÷12)19、84220、521、21422、-4123、-(13÷28)24、-(51÷10)25、2426、-(268÷39)27、39÷528、-(372÷19)29、15÷1130、-(77÷19) 31、-(29÷2)32、1716÷1733、-(117÷4)34、-1735、2536、285637、59÷238、18439、-(731÷4)40、587÷341、23÷442、-3743、4368044、-2245、-(118÷7)46、-(192÷17)47、145÷2448、-1200049、-(3÷4)50、-819(一)计算题:(1)23+(-73)(2)(-84)+(-49)(3)7+(4)+(5)(-7÷3)+(-7÷6)(6)9÷4+(-3÷2)(7)++5÷4(8)+(+5÷4)+(二)用简便方法计算:(1)(-17÷4)+(-10÷3)+(+13÷3)+(11÷3)(2)+(++++(++(+(3)若a-b>a,则b是_____________数;(4)从中减去-π,其差应为____________;(5)被减数是-12(4÷5),差是,则减数应是_____________;(6)若b-a<-,则a,b的关系是___________,若a-b<0,则a,b的关系是______________;(7)(+22÷3)-()=-7(三)判断题:(1)一个数减去一个负数,差比被减数小。
有理数练习题计算题一、基础运算1. 计算:(3) + 7 =2. 计算:5 (2) =3. 计算:4 × (3) =4. 计算:18 ÷ 3 =5. 计算:(5 + 3) × 2 =6. 计算:4 × (5) 6 ÷ 2 =7. 计算:7 9 + 4 × 2 =8. 计算:3 × (4) ÷ 2 =9. 计算:15 ÷ (3) + 8 =10. 计算:(6 4) × (3) ÷ 2 =二、分数运算1. 计算:$\frac{1}{2} + \frac{1}{3} = $2. 计算:$\frac{3}{4} \frac{1}{4} = $3. 计算:$\frac{2}{5} × \frac{5}{6} = $4. 计算:$\frac{8}{9} ÷ \frac{2}{3} = $5. 计算:$1\frac{1}{2} + 2\frac{1}{3} = $6. 计算:$3\frac{3}{4} 1\frac{1}{4} = $7. 计算:$\frac{4}{7} × \frac{7}{8} = $8. 计算:$\frac{9}{10} ÷ \frac{3}{5} = $9. 计算:$2\frac{2}{5} + 1\frac{1}{5} = $10. 计算:$4\frac{4}{9} 1\frac{1}{9} = $三、混合运算1. 计算:3 + $\frac{2}{5} × (4 \frac{1}{2}) = $2. 计算:$\frac{3}{4} ÷ (2) + 5 × \frac{1}{2} = $3. 计算:$4 × (2 + \frac{3}{5}) ÷ \frac{2}{3} = $4. 计算:$7 \frac{1}{2} × (6 \frac{3}{4}) = $5. 计算:$3\frac{1}{2} + 4 × \frac{2}{3} = $6. 计算:$\frac{5}{6} × (2 \frac{2}{3}) ÷ \frac{1}{2} = $7. 计算:$2\frac{2}{3} ÷ (1 \frac{1}{3}) + 4 = $8. 计算:$6 ÷ \frac{3}{4} \frac{4}{5} × 2 = $9. 计算:$5 + (3\frac{1}{2} \frac{2}{5}) × 2 = $10. 计算:$8 ÷ (2 \frac{1}{2}) + \frac{3}{4} = $四、简便运算1. 计算:$(3) × (2) + 4 × (3) = $2. 计算:$5 × (3) + 7 × (3) = $3. 计算:$4 + 6 8 + 10 = $4. 计算:$9 ÷ 3 + 12 ÷ 4 = $5. 计算:$7 9 + 11 13 = $6. 计算:$5 × (2) 4 × 2 = $7. 计算:$6 ÷ (3) + 9 ÷ 3 = $8. 计算:$8 + 4 6 + 2 = $9. 计算:$12 ÷ 4 + 15 ÷ 5 = $10. 计算:$10 20 + 30 40 = $五、绝对值运算1. 计算:|3 7| =2. 计算:|4 × 2| =3. 计算:|5 + (3)| =4. 计算:|6 ÷ 3| =5. 计算:|(2) + 4 × (1)| =6. 计算:|7 9| + |2 4| =7. 计算:|(3) × (4) ÷ 2| =8. 计算:|15 ÷ (5) 3| =9. 计算:|8 (6 2)| =10. 计算:|(5) × (6) ÷ (3)| =六、指数运算1. 计算:2^3 =2. 计算:(3)^2 =3. 计算:5^0 =4. 计算:(2)^3 =5. 计算:8^(1/3) =6. 计算:(4)^2 ÷ 2^3 =7. 计算:(2^3) × (3^2) =8. 计算:(4^2)^3 ÷ 4^2 =9. 计算:3^(2+1) ÷ 3^2 =10. 计算:(2^5) × (2^3) ÷ 2^2 =七、根式运算1. 计算:√16 =2. 计算:√(25/9) =3. 计算:√(49) ÷ √(4) =4. 计算:√(64) + √(81) =5. 计算:√(121) √(81) =6. 计算:3√27 =7. 计算:2√(64/9) =8. 计算:√(144) ÷ √(121) =9. 计算:√(225) + 2√(64) =10. 计算:√(324) 3√(121) =八、综合运算1. 计算:(3 + √9) × (2 √4) =2. 计算:|2^3 4^2| ÷ √16 =3. 计算:(5 √49) ÷(3 + √64) =4. 计算:(3)^3 + |(2)^4| =5. 计算:2√(25) 3√(16) + 4^0 =6. 计算:(√16)^3 ÷ 2^2 + |(5) × (6)| =7. 计算:(3√27) (2√64) + 7^1 =8. 计算:√(81) × (4)^2 ÷ √(16) =9. 计算:(2^5) ÷ (2^3) + √(121) √(81) =10. 计算:|(3)^2 2^3| ÷ √(36) =答案一、基础运算1. (3) + 7 = 42. 5 (2) = 73. 4 × (3) = 124. 18 ÷ 3 = 65. (5 + 3) × 2 = 166. 4 × (5) 6 ÷ 2 = 20 3 = 177. 7 9 + 4 × 2 = 2 + 8 = 68. 3 × (4) ÷ 2 = 12 ÷ 2 = 69. 15 ÷ (3) + 8 = 5 + 8 = 310. (6 4) × (3) ÷ 2 = 2 × (3) ÷ 2 = 6 ÷ 2 = 3二、分数运算1. $\frac{1}{2} + \frac{1}{3} = \frac{3}{6} + \frac{2}{6} = \frac{5}{6}$2. $\frac{3}{4} \frac{1}{4} = \frac{2}{4} = \frac{1}{2}$3. $\frac{2}{5} × \frac{5}{6} = \frac{10}{30} =\frac{1}{3}$4. $\frac{8}{9} ÷ \frac{2}{3} = \frac{8}{9} ×\frac{3}{2} = \frac{24}{18} = \frac{4}{3}$5. $1\frac{1}{2} + 2\frac{1}{3} = \frac{3}{2} +\frac{7}{3} = \frac{9}{6} + \frac{14}{6} = \frac{23}{6}$6. $3\frac{3}{4} 1\frac{1}{4} = \frac{15}{4} \frac{5}{4} = \frac{10}{4} = \frac{5}{2}$7. $\frac{4}{7} × \frac{7}{8} = \frac{28}{56} =\frac{1}{2}$8. $\frac{9}{10} ÷ \frac{3}{5} = \frac{9}{10} ×\frac{5}{3} = \frac{45}{30} = \frac{3}{2}$9. $2\frac{2}{5} + 1\frac{1}{5} = \frac{12}{5} +\frac{6}{5} = \frac{18}{5}$10. $4\frac{4}{9} 1\frac{1}{9} = \frac{40}{9}\frac{10}{9} = \frac{30}{9} = \frac{10}{3}$三、混合运算1. 3 + $\frac{2}{5} × (4 \frac{1}{2}) = 3 + \frac{2}{5} × \frac{7}{2} = 3 + \frac{14}{10} = 3 + 1.4 = 1.6$2. $\frac{3}{4} ÷ (2) + 5 × \frac{1}{2} = \frac{3}{8} + \frac{5}{2} = \frac{3}{8} + \frac{20}{8} = \frac{17}{8}$3. $4 × (2 + \frac{3}{5}) ÷ \frac{2}{3} = 4 ×\frac{13}{5} × \frac{3}{2} = \frac{78}{5} × \frac{3}{2} =\frac{234}{10} = 23.4$4. $7 \frac{1}{2} × (6 \frac{3}{4}) = 7 \frac{1}{2}× \frac{21}{4} = 7 \frac{21}{8} = \frac{56}{8} \frac{21}{8} = \frac{35}{8}$5. $3\frac{1}{2} + 4 × \frac{2}{3} = \frac{7}{2} +\frac{8}{3} = \frac{21}{6} + \frac{16}{6} = \。
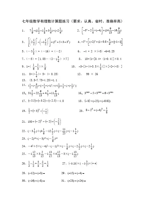
七年级数学有理数计算题练习(要求:认真、省时、准确率高)1、 111117(113)(2)92844⨯-+⨯-2、419932(4)(1416)41313⎡⎤--⨯-÷-⎢⎥⎣⎦3、 33221121(5533)22⎡⎤⎛⎫⎛⎫--÷+⨯+⎢⎥ ⎪ ⎪⎝⎭⎝⎭⎢⎥⎣⎦4、2335(2)(10.8)114⎡⎤---+-⨯÷--⎢⎥⎣⎦ 5、(—315)÷(—16)÷(—2) 6、 –4 + 2 ×(-3) –6÷0.257、(—5)÷[1.85—(2—431)×7] 8、 18÷{1-[0.4+ (1-0.4)]×0.49、1÷( 61-31)×61 10、 –3-[4-(4-3.5×31)]×[-2+(-3) ]11、 8+(-41)- 5- (- 0.25) 12、 99 × 2613、 (3.5-7.75-4.25)÷1.1 14、|])21((|31)322(|)2(41[|)116(21523---÷-⨯-+----15、13611754136227231++-; 16、20012002200336353⨯+⨯-17、()5.5-+()2.3-()5.2---4.8 18、()8-)02.0()25(-⨯-⨯19、21+()23-⎪⎭⎫ ⎝⎛-⨯21 20、81)4(2833--÷- 21、100()()222---÷⎪⎭⎫ ⎝⎛-÷3222、(-371)÷(461-1221)÷(-2511)×(-143) 23、(-2)14×(-3)15×(-61)1424、-42+5×(-4)2-(-1)51×(-61)+(-221)÷(-241)25、-11312×3152-11513×41312-3×(-11513)26、41+3265+2131-- 27、()()4+×733×250)-(.-28、=++-)3()12( 29、=-++)4()15( 30、=-+-)8()16( 31、=+++)24()23(32、=+-132)102( 33、=+(-11)(-32) 34、=+-0)35( 35、=-+)85(78 36、)3()26()2()4()14(-+++-+-++ 37、)15()41()26()83(++-+++- 38、)2.0(3.1)9.0()7.0()8.1(-++-+++- 39、)326()434()313(41-+++-+ 40、=+--)15()14( 41、=---)16()14( 42、=--+)9()12( 43、=+-)17(12 44、=+-)52(0 45、=--)11(10846、=+-)3.2(8.4 47、=--)213(248、)5()]7()4[(--+-- 49、]12)3[(3--- 50、)109(8-- 51、)106()53(--- 52、543210-+-+- 53、2.104.87.52.4+-+- 54、18)12()10(1130+-+----55、)61(41)31()412(213+---+--56、2111943+-+-- 57、31211+- 58、)]18()21(26[13-+--- 59、2111)43(412--+--- 60、=⨯(-4)3 61、=⨯(-6)2 62、=⨯0(-6)63、=-⨯)43(32 64、=-⨯-)21()2( 65、=-⨯-)25.0()4(66、)25()7()4(-⨯-⨯- 67、)34(8)53(-⨯⨯-68、)1514348(43--⨯ 69、)8(45)201(-⨯⨯-70、53)8()92()4()52(8⨯-+-⨯---⨯71、)8(12)11(9-⨯-+⨯-72、=÷(-3)36 73、=÷21(-2) 74、=÷(-5)0 75、=÷(-0.2)8 76、=÷)43(-)87(- 77、6.018÷-78、)412()21()43(-÷-⨯- 79、2411)25.0(6⨯-÷-80、)21(31)32(-÷÷- 81、)2(48-÷+-82、)51(250-⨯÷- 83、)3(4)2(817-⨯+-÷-84、1)101(250322-⨯÷+ 85、911)325.0(321÷-⨯-86、1)51(25032--⨯÷+ 87、])3(2[)]215.01(1[2--⨯⨯--88、)145()2(52825-⨯-÷+- 89、6)3(5)3(42+-⨯--⨯90、)25.0(5)41(8----+ 91、)48()1214361(-⨯-+-92、31)321()1(⨯-÷- 93、)199(41212+-÷⨯94、)16(94412)81(-÷+÷- 95、)]21541(43[21----96、13+(+7)-(-20)-(-40)-(+6)97、)2(9449344-÷+÷-98、22)36()33(24)12581(÷-÷---⨯-99、13)18()14(20----+- 100、 8+(―41)―5―(―0.25) 101、 (-12)÷4×(-6)÷2102、 )1279543(+--÷361103、 2)5()2(10-⨯-+104、 (7)(5)90-⨯--÷(15)-105、 721×143÷(-9+19) 106 、25×43―(―25)×21+25×(-41) 107、 ()1-⎪⎭⎫ ⎝⎛-÷2131 108、(-81)÷241+94÷(-16)109、 2(x-3)-3(-x+1) 110、-4÷32-(-32)×(-30)111、 3223121213+⎪⎭⎫ ⎝⎛--⎪⎭⎫ ⎝⎛-+ 112、 47÷)6(3287-⨯-113、48245834132⨯⎪⎭⎫⎝⎛+-- 114、|97|-÷2)4(31)5132(-⨯--115、 -22 -〔-32 + (- 2)4 ÷23 〕 116、235(4)0.25(5)(4)8⎛⎫-⨯--⨯-⨯- ⎪⎝⎭117、 200423)1()2(161)1()21()21(-÷-⨯⎥⎦⎤⎢⎣⎡--÷--118、 100()()222---÷3)2(32-+⎪⎭⎫ ⎝⎛-÷ 119、 ―22+41×(-2)2120、 322)43(6)12(7311-⨯⎥⎦⎤⎢⎣⎡÷-+--121、 111117(113)(2)92844⨯-+⨯-122、419932(4)(1416)41313⎡⎤--⨯-÷-⎢⎥⎣⎦123、(-36)-[(-54)-(+32)]124、 (+3.74)-[(-5.91)-(-2.74)+(-2.78)]125、 (-0.4)÷0.02×(-5) 126、)—()—)+(—(25.0433242÷⨯ 127、 75)21(212)75(75211⨯-+⨯--⨯ 128、11)()+(2532.015[3-÷⨯----] 129 、12(4)4⎡⎤-|-16|-⨯-⎢⎥⎣⎦÷⎥⎦⎤⎢⎣⎡--)813(41130、 2335(2)(10.8)114⎡⎤---+-⨯÷--⎢⎥⎣⎦第一组:(1)(2)(3)(4)第二组:(1)(2)(3)(4)第五组:1. 的倒数是____________。
初一有理数加减混合运算百题第一部分一、有理数加法运算基础题1、(—2.2)+3.82、(—6)+8+(—4)+123、0.36+(—7.4)+0.3+(—0.6)+0.64二、有理数减法运算基础题1、(-52)-(-53)2、(-21)-(-21)3、(-17)-(-8)-(-9)-(+6)-(-14);4、(-32)-(+21)-(-65)-(-31)5、3-[(-3)-10]三、有理数加减混合运算基础题1、(-7)-(+5)+(-4)-(-10)2、-4.2+5.7-8.4+103、12-(-18)-(-7)-154、4.7-(-8.9)-7.5+(-6)5、-41+65-43+616、-70-28-(-19)+24-(-12)7、-3.3+5.4-2.8-(-7.5)8、(+23)+(-27)+(+9)+(-5)9、(-20)+(+3)-(-5)-(+7)10、-23+50+(-37)+20四、有理数加减混合运算过关题1、(0.7)+(-0.9)+(-1.8)+1.3+(-0.2)2、(-0.5)+343+2.75+(-521)3、-3.3+4.6-6.5+104、-0.6+1.8-5.4+4.25、(-2521)+14+25.5+(-14)6、16-(-865)-(+465)+27、-9+(—343)+3438、-4.2+5.7-8.4+10五.列式计算(1)、什么数减去544-的差是313的相反数?(2)、从–4中减去41与-31的和,其差是多少?(3)、什么数与-7的和等于-11?第二部份1、(-9)-(-13)+(-20)+(-2)2、3+13-(-7)÷63、(-2)-8-14-134、(-7)×(-1)÷7+85、(-11)×4-(-18)÷186、4+(-11)-1÷(-3)7、(-17)-6-16÷(-18)8、5÷7+(-1)-(-8)9、(-1)×(-1)+15+110、3-(-5)×3÷(-15)11、6×(-14)-(-14)+(-13)12、(-15)×(-13)-(-17)-(-4)13、(-20)÷13÷(-7)+1114、8+(-1)÷7+(-4)15、(-13)-(-9)×16×(-12)16、(-1)+4×19+(-2)17、(-17)×(-9)-20+(-6)18、(-5)÷12-(-16) ×(-15)19、(-3)-13×(-5)×1320、5+(-7)+17-1021、(-10)-(-16)-13×(-16)22、(-14)+4-19-1223、5×13÷14÷(-10)24、3×1×17÷(-10)25、6+(-12)+15-(-15)26、15÷9÷13+(-7)27、2÷(-10)×1-(-8)28、11÷(-19)+(-14)-529、19-16+18÷(-11)30、(-1)÷19+(-5)+131、(-5)+19÷10×(-5)32、11÷(-17)×(-13)×1233、(-8)+(-10)÷8×1734、7-(-12)÷(-1)+(-12)35、12+12-19+2036、(-13)×(-11)×20+(-4)37、17÷(-2)-2×(-19)38、1-12×(-16)+(-9)39、13×(-14)-15÷2040、(-15)×(-13)-6÷(-9)41、15×(-1)÷12+742、(-13)+(-16)+(-14)-(-6)43、14×12×(-20)×(-13)44、17-9-20+(-10)45、12÷(-14)+(-14)+(-2)46、(-15)-12÷(-17)-(-3)47、6-3÷9÷(-8)48、(-20)×(-15)×10×(-4)49、7÷(-2)×(-3)÷(-14)50、13÷2×18×(-7)答案:1、-182、103÷63、-374、95、-436、-(20÷3)7、-(199÷9)8、54÷79、1710、2 11、-8312、21613、1021÷9114、27÷715、-1741 16、7317、12718、-(2885÷12)19、84220、521、21422、-4123、-(13÷28)24、-(51÷10)25、2426、-(268÷39)27、39÷528、-(372÷19)29、15÷1130、-(77÷19)31、-(29÷2)32、1716÷1733、-(117÷4)34、-1735、2536、285637、59÷238、18439、-(731÷4)40、587÷341、23÷442、-3743、4368044、-2245、-(118÷7)46、-(192÷17)47、145÷2448、-1200049、-(3÷4)50、-819(一)计算题:(1)23+(-73)(2)(-84)+(-49)(3)7+(-2.04)(4)4.23+(-7.57)(5)(-7÷3)+(-7÷6)(6)9÷4+(-3÷2)(7)3.75+(2.25)+5÷4(8)-3.75+(+5÷4)+(-1.5)(二)用简便方法计算:(1)(-17÷4)+(-10÷3)+(+13÷3)+(11÷3)(2)(-1.8)+(+0.2)+(-1.7)+(0.1)+(+1.8)+(+1.4)(3)若a-b>a,则b是_____________数;(4)从-3.14中减去-π,其差应为____________;(5)被减数是-12(4÷5),差是4.2,则减数应是_____________;(6)若b-a<-,则a,b的关系是___________,若a-b<0,则a,b的关系是______________;(7)(+22÷3)-()=-7(三)判断题:(1)一个数减去一个负数,差比被减数小。
有理数计算题100道及答案过程1. 计算2/3 + 1/4的和:答案:2/3+1/4=7/122. 计算3/5 - 2/7的差:答案:3/5-2/7=17/353. 计算5/6 * 2/3的积:答案:5/6*2/3=10/184. 计算1/2 ÷ 3/8的商:答案:1/2÷3/8=2/35. 计算2/3 剩余 4/9 的差:答案:2/3 剩余 4/9 = 2/96. 计算1/4 + 6/7的和:答案:1/4+6/7=25/287. 计算5/9 - 4/7的差:答案:5/9-4/7=-3/638. 计算3/4 * 5/6的积:答案:3/4*5/6=5/89. 计算1/2 ÷ 4/5的商:答案:1/2÷4/5=5/810. 计算3/5 剩余 8/15 的差:答案:3/5 剩余 8/15 = -2/1511. 计算7/8 + 4/9的和:答案:7/8+4/9=73/7212. 计算31/45 - 9/10的差:答案:31/45-9/10=-18/4513. 计算2/3 * 4/5的积:答案:2/3*4/5=8/1514. 计算3/4 ÷ 1/2的商:答案:3/4÷1/2=6/415. 计算5/6 剩余 9/10 的差:答案:5/6 剩余 9/10 = -1/6016. 计算4/5 + 8/9的和:答案:4/5+8/9=76/4517. 计算12/15 - 7/8的差:答案:12/15-7/8=-3/4018. 计算3/4 * 2/3的积:答案:3/4*2/3=1/219. 计算3/5 ÷ 3/4的商:答案:3/5÷3/4=4/520. 计算4/9 剩余 3/4 的差:答案:4/9 剩余 3/4 = -5/36 21. 计算5/6 + 3/5的和:答案:5/6+3/5=31/3022. 计算7/8 - 4/9的差:答案:7/8-4/9=11/7223. 计算4/5 * 6/7的积:答案:4/5*6/7=24/3524. 计算9/10 ÷ 5/8的商:答案:9/10÷5/8=45/4025. 计算2/3 剩余 7/8 的差:答案:2/3 剩余 7/8 = -1/2426. 计算3/4 + 9/10的和:答案:3/4+9/10=33/4027. 计算15/20 - 4/7的差:答案:15/20-4/7=-7/7028. 计算4/5 * 2/3的积:答案:4/5*2/3=8/1529. 计算3/4 ÷ 1/3的商:答案:3/4÷1/3=9/430. 计算2/7 剩余 1/6 的差:答案:2/7 剩余 1/6 = -1/4231. 计算4/5 + 4/9的和:答案:4/5+4/9=32/4532. 计算3/4 - 5/8的差:答案:3/4-5/8=-1/833. 计算2/3 * 1/4的积:答案:2/3*1/4=2/1234. 计算1/2 ÷ 6/7的商:答案:1/2÷6/7=7/1235. 计算8/9 剩余 6/7 的差:答案:8/9 剩余 6/7 = -2/6336. 计算3/4 + 4/5的和:答案:3/4+4/5=17/2037. 计算13/15 - 9/10的差:答案:13/15-9/10=-3/3038. 计算2/3 * 3/4的积:答案:2/3*3/4=1/239. 计算7/8 ÷ 1/2的商:答案:7/8÷1/2=14/840. 计算5/6 剩余 3/4 的差:答案:5/6 剩余 3/4 = -1/12 41. 计算4/5 + 3/7的和:答案:4/5+3/7=31/3542. 计算8/9 - 5/6的差:答案:8/9-5/6=-1/1843. 计算6/7 * 1/2的积:答案:6/7*1/2=3/1444. 计算4/5 ÷ 2/3的商:答案:4/5÷2/3=3/245. 计算2/3 剩余 9/10 的差:答案:2/3 剩余 9/10 = -7/3046. 计算3/4 + 5/6的和:答案:3/4+5/6=19/1247. 计算11/15 - 8/9的差:答案:11/15-8/9=-1/4548. 计算7/8 * 1/2的积:答案:7/8*1/2=7/1649. 计算1/2 ÷ 4/5的商:答案:1/2÷4/5=5/850. 计算4/9 剩余 5/6 的差:答案:4/9 剩余 5/6 = -25/5451. 计算3/4 + 6/7的和:答案:3/4+6/7=27/2852. 计算13/20 - 7/8的差:答案:13/20-7/8=-17/8053. 计算4/5 * 5/6的积:答案:4/5*5/6=4/654. 计算3/4 ÷ 1/4的商:答案:3/4÷1/4=12/455. 计算1/2 剩余 3/4 的差:答案:1/2 剩余 3/4 = -1/456. 计算2/3 + 1/5的和:答案:2/3+1/5=11/1557. 计算11/12 - 2/3的差:答案:11/12-2/3=7/3658. 计算3/4 * 8/9的积:答案:3/4*8/9=24/3659. 计算5/6 ÷ 3/5的商:答案:5/6÷3/5=10/960. 计算7/8 剩余 4/5 的差:答案:7/8 剩余 4/5 = -3/4061. 计算1/2 + 4/9的和:答案:1/2+4/9=23/1862. 计算15/16 - 5/6的差:答案:15/16-5/6=5/2463. 计算4/5 * 1/4的积:答案:4/5*1/4=4/2064. 计算3/4 ÷ 2/3的商:答案:3/4÷2/3=9/865. 计算2/3 剩余 1/4 的差:答案:2/3 剩余 1/4 = -5/1266. 计算3/4 + 1/2的和:答案:3/4+1/2=5/467. 计算17/20 - 8/9的差:答案:17/20-8/9=-1/4568. 计算5/6 * 4/5的积:答案:5/6*4/5=4/369. 计算2/3 ÷ 6/7的商:答案:2/3÷6/7=7/670. 计算4/9 剩余 2/3 的差:答案:4/9 剩余 2/3 = -2/2771. 计算1/2 + 8/9的和:答案:1/2+8/9=17/1872. 计算13/15 - 3/4的差:答案:13/15-3/4=-1/2073. 计算5/6 * 1/2的积:答案:5/6*1/2=5/1274. 计算3/4 ÷ 1/5的商:答案:3/4÷1/5=15/475. 计算2/3 剩余 4/5 的差:答案:2/3 剩余 4/5 = -2/1576. 计算3/4 + 7/8的和:答案:3/4+7/8=31/3277. 计算19/20 - 5/6的差:答案:19/20-5/6=1/578. 计算2/3 * 7/8的积:答案:2/3*7/8=7/1279. 计算4/5 ÷ 3/4的商:答案:4/5÷3/4=16/1580. 计算1/2 剩余 7/8 的差:答案:1/2 剩余 7/8 = -7/1681. 计算6/7 + 1/2的和:答案:6/7+1/2=13/1482. 计算17/20 - 6/7的差:答案:17/20-6/7=-3/7083. 计算3/4 * 9/10的积:答案:3/4*9/10=27/4084. 计算4/5 ÷ 1/3的商:答案:4/5÷1/3=15/485. 计算7/8 剩余 3/4 的差:答案:7/8 剩余 3/4 = -9/3286. 计算1/2 + 5/6的和:答案:1/2+5/6=11/1287. 计算13/14 - 4/5的差:答案:13/14-4/5=-1/1088. 计算2/3 * 3/4的积:答案:2/3*3/4=1/289. 计算3/4 ÷ 6/7的商:答案:3/4÷6/7=7/990. 计算4/9 剩余 1/2 的差:答案:4/9 剩余 1/2 = -5/1891. 计算1/2 + 3/4的和:答案:1/2+3/4=5/492. 计算11/12 - 7/8的差:答案:11/12-7/8=-1/2493. 计算5/6 * 3/4的积:答案:5/6*3/4=15/2494. 计算2/3 ÷ 3/5的商:答案:2/3÷3/5=10/995. 计算1/2 剩余 5/6 的差:答案:1/2 剩余 5/6 = -5/1296. 计算4/5 + 3/4的和:答案:4/5+3/4=19/2097. 计算17/18 - 2/3的差:答案:17/18-2/3=11/5498. 计算3/4 * 2/3的积:答案:3/4*2/3=2/399. 计算5/6 ÷ 8/9的商:答案:5/6÷8/9=5/8100. 计算7/8 剩余 1/2 的差:答案:7/8 剩余 1/2 = -3/16。
有理数单元检测1 姓名
一、 基本概念:
1、3
1-
的倒数是____;3
1-
相反数是____.
2、比–3小9的数是____;最小的正整数是____.
3、计算:._____9____;2
123=-=+
-
3、计算:.______)
1()1(101
100
=-+-
4、平方得9的数是____;立方得–64的数是____. 5.用“>”、“<”、“=”号填空: (1)1___02.0-; (2)14.3___7
22--。
6.用科学记数法表示13 00 000,应记作_________ 7.若()()2
2
110a b -++=,则20042005a b +=_____. 8.计算;—22
= (—2)2
=
-2+2=______, 2-(-2)=_ ___.
9.(—7)5的底数是 ,指数是
二、基本运算;
⑴ -32-5= ; (2) -6.8-7.3= ; ⑶ -2+25= ; (4)12-21= ; ⑸ 0-31= ; ⑹ -2.5+1= ; ⑺ 3-(-2)= ; ⑻ -1-2= ; ⑼ 0-(-3)= ; ⑽ 1-5= ;
⑾(-23)-(-12)= ;⑿(-1.3)-2.6= ; ⒀
=-
-)3
1(32 ;⒁=-
--
)2
1(61 。
⒂(-0.5)×(-8)= ; ⒃(-5)×2= ; ⒄=-⨯)4
3(3
2 ; ⒅ =-⨯-)2
1()2( ;
(19)-30÷_____=5;(20)_____÷(-112
)=-
43
; (21)_____÷(-12
14
)=0;(22)-5÷_____=-20 (23) ()2
5-= ____ (24) 25-= ____ (25) ()2
5-- = ____ (26)4
3
2
-
= ____
( 27)])3()2[(12
3
2
-+-⨯-
有理数单元检测2姓名
一、基本概念:
1、-2的倒数是____;0.5相反数是____.
2、比–3大9的数是____;最小的负整数是____.
3、计算:._____4____;4
121=-=+-
3、计算:.______)1(1
10
100
=-+-
4、平方得25的数是____;立方得–8的数是____.
5.用“>”、“<”、“=”号填空: (1)01.0___02.0--; (2)14.3___4--。
6.用科学记数法表示102 00 000,应记作_________ 7.若若│x+2│+│y-3│=0,则xy=________. 8.计算;—12= (—1)2=
-3+2=______, 2-(-4)=_ ___.
9.(—3)5的底数是 ,指数是
10.互为相反数的两个数的和为 , 互为倒数的两个数的积为
二、基本运算;
⑴ -30-15= ; (2) -3.8-7.8= ; ⑶ -26+25= ; (4)2-21= ;
⑸ 0-(-31)= ; ⑹ -2.5+10.5= ; ⑺ 13-(-2)= ; ⑻ -11-12= ; ⑼(-3) -0= ; ⑽ 11-25= ; ⑾(-24)-12= ;⑿(-1.3)+2.6= ; ⒀
=-
+)3
1(32 ;⒁=-
+-
)2
1(61 。
⒂(-1.5)×(-4)= ; ⒃(-5) ÷2= ;
⒄=-÷)4
3(3
2 ; ⒅ =-⨯-)4
1()12( ;
(19)-30÷_____=-5;(20)_____÷(-112
)=
43
;
(21)0÷(-12
14
)=___;(22)-5÷_____=20
(23) 26-= ____ (24)3
5-= ____
(25) ()3
5-- = ____ (26)2
)4
3(-
= ____
( 27)])4()1[(22
32---⨯-。