电缆型号电流参数表
- 格式:xls
- 大小:43.00 KB
- 文档页数:3
标准电缆短路电流对照表
标准电缆短路电流对照表是一个重要的电气工程工具,用于在给定电缆规格和条件下查找短路电流值。
这个表格通常包含电缆的导体截面积、导体材料、绝缘材料、电缆长度、短路时间等多个参数,以及对应的短路电流值。
以下是标准电缆短路电流对照表的写作方法和一份表格范例:
一、写作方法
1.确定表格的标题和列名:表格的标题应该清晰地描述表格的内容,列名应
该包含电缆规格和条件以及对应的短路电流值。
2.确定电缆规格和条件的范围:根据需要,确定电缆规格和条件的范围,例
如导体截面积、导体材料、绝缘材料、电缆长度、短路时间等。
3.列出电缆规格和条件:在表格中列出电缆规格和条件,确保每个规格和条
件都有对应的列。
4.列出对应的短路电流值:在表格中列出与电缆规格和条件对应的短路电流
值,确保每个规格和条件都有对应的值。
5.添加必要的注释和说明:在表格下方添加必要的注释和说明,例如表格的
来源、使用方法、限制条件等。
二、表格范例
注意事项:
1.上表仅为范例,实际使用时需要根据具体电缆的规格和条件进行填写。
2.在实际应用中,可能需要考虑更多的电缆规格和条件,例如导体结构、绝
缘厚度、环境温度等。
3.表格中的短路电流值是根据一定的计算公式和假设条件得出的,实际短路
电流值可能会有所不同。
因此,在使用表格时需要注意其限制条件和适用范围。
电缆安全载流电流表 The Standardization Office was revised on the afternoon of December 13, 2020
电缆安全载流电流表
本表数据为周围温度35℃,导线为单根明敷时的载流量。
用于500V以下配电线路。
TMY(铜)、LMY(铝)汇流母排技术数据
当周围空气温度25℃,母排极限温升70℃时直流负载安全载流值,/下数据为温度35℃时直流负载安全载流值。
LG J裸绞线技术数据
钢芯铝绞线是由铝线和钢线绞合而成的,本产品适用于架空电力线路输送电能用。
作用和优点:
钢芯铝绞线具有结构简单、架设与维护方便、线路造价低、传输容量大、又利于跨越江河和山谷等特殊地理条件的敷设、具有良好的导电性能和足够的机械强度、抗拉强度大、塔杆距离可放大等特点。
因此广泛应用于各种电压等级的架空输配电线路中。
本产品执行标准GB/T1179-1999等同IEC61089(1991)
例如:标称截面为300m㎡的铝铰线,表示为:LJ-300 GB/T1191-1999 标称截面为铝240m㎡,钢55m㎡的钢芯铝铰线,表示为:LGJ-240/55 GB/T1179-1999
二、规格尺寸及主要性能
①铝绞线(LJ型)。
电线截面积电流对照表对于 1.5、2.5、4、6、10mm2的导线可将其截面积数乘以5倍。
对于16、25mm2的导线可将其截面积数乘以4倍。
对于35、50mm2的导线可将其截面积数乘以3倍。
对于70、95mm2的导线可将其截面积数乘以2.5倍。
对于120、150、185mm2的导线可将其截面积数乘以2倍工作温度30℃,长期连续90%负载下的载流量如下:1.5平方毫米――18A2.5平方毫米――26A4平方毫米――26A6平方毫米――47A10平方毫米――66A16平方毫米――92A25平方毫米――120A35平方毫米――150A功率P=电压U×电流I=220伏×18安=3960瓦横截面积2.5平方毫米铜芯电线4平方毫米6平方毫米2.5平方毫米铝芯电线4平方毫米6平方毫米XXX举例申明:////1、每台计算机耗电约为200~300W(约1~1.5A),那么10台计算机就需要一条2.5平方毫米的铜芯电线供电,否则可能发生火灾。
2、大3匹空调耗电约为3000W(约14A),那么1台空调就需求零丁的一条2.5平方毫米的铜芯电线供电。
3、现在的住房进线一般是4平方毫米的铜线,因此,同时开启的家用电器不得跨越25A(即5500瓦),有人将衡宇内的电线调换成6平方毫米的铜线是没有效处的,因为进入电表的电线是4平方毫米的。
4、早期的住房(15年前)进线一般是2.5平方毫米的铝线,因此,同时开启的家用电器不得跨越13A(即2800瓦)。
5、耗电量比较大的家用电器是:空调5A(1.2匹),电热水器10A,微波炉4A,电饭煲4A,洗碗机8A,带烘干功能的洗衣机10A,电开水器4A允许长期电流16A~25A25A~32A32A~40A13A~20A20A~25A25A~32A在电源引起的火灾中,有90%是由于接头发热造成的,因此所有的接头均要焊接,不能焊接的接触器件5~10年必须更换(比如插座、空气开关等)。
目录一、电线|平方|电流|功率关系 (2)二、电线电缆重量外径载流量参考 (3)三、电工|电缆|功率|耗电量计算公式大全 (15)四、电线电缆材料用量计算公式 (21)五、实用电工速算口诀(新) (22)六、电线电缆的常用计算公式 (31)七、电线电缆主要产品型号 (34)八、低压线路线损理论计算 (36)电线|平方|电流|功率关系导线截面积与载流量的计算一、一般铜导线载流量导线的安全载流量是根据所允许的线芯最高温度、冷却条件、敷设条件来确定的。
一般铜导线的安全载流量为5~8A/mm2,铝导线的安全载流量为3~5A/mm2。
<关键点> 一般铜导线的安全载流量为5~8A/mm2,铝导线的安全载流量为3~5A/mm2。
如:2.5 mm2 BVV铜导线安全载流量的推荐值2.5×8A/mm2=20A 4 mm2 BVV铜导线安全载流量的推荐值4×8A/mm2=32A二、计算铜导线截面积利用铜导线的安全载流量的推荐值5~8A/mm2,计算出所选取铜导线截面积S的上下范围: S=< I /(5~8)>=0.125I ~0.2 I(mm2) S-----铜导线截面积(mm2) I-----负载电流(A)三、功率计算一般负载(也可以成为用电器,如点灯、冰箱等等)分为两种,一种式电阻性负载,一种是电感性负载。
对于电阻性负载的计算公式:P=UI 对于日光灯负载的计算公式:P=UIcosф,其中日光灯负载的功率因数cosф=0.5。
不同电感性负载功率因数不同,统一计算家庭用电器时可以将功率因数cosф取0.8。
也就是说如果一个家庭所有用电器加上总功率为6000瓦,则最大电流是I=P/Ucosф=6000/220*0.8=34(A) 但是,一般情况下,家里的电器不可能同时使用,所以加上一个公用系数,公用系数一般0.5。
所以,上面的计算应该改写成 I=P*公用系数/Ucosф=6000*0.5/220*0.8=17(A) 也就是说,这个家庭总的电流值为17A。
电缆直径和电缆流过电流计算以及对照表分享1、综述铜芯线的压降与其电阻有关,其电阻计算公式:20℃时:17.5÷截面积(平方毫米)=每千米电阻值(Ω)75℃时:21.7÷截面积(平方毫米)=每千米电阻值(Ω)其压降计算公式(按欧姆定律):V=R×A线损是与其使用的压降、电流有关。
其线损计算公式: P=V×AP-线损功率(瓦特)V-压降值(伏特)A-线电流(安培)2、铜芯线电源线电流计算法1平方毫米铜电源线的安全载流量--17A。
1.5平方毫米铜电源线的安全载流量--21A。
2.5平方毫米铜电源线的安全载流量--28A。
4平方毫米铜电源线的安全载流量--35A6平方毫米铜电源线的安全载流量--48A10平方毫米铜电源线的安全载流量--65A。
16平方毫米铜电源线的安全载流量--91A25平方毫米铜电源线的安全载流量--120A。
单相负荷按每千瓦4.5A(COS">3、铜芯线与铝芯线的电流对比法2.5平方毫米铜芯线等于4平方毫米铝芯线4平方毫米铜芯线等于6平方毫米铝芯线6平方毫米铜芯线等于10平方毫米铝芯线即:2.5平方毫米铜芯线=20安培=4400 瓦;4平方毫米铜芯线=30安培=6600 瓦;6平方毫米铜芯线=50安培=11000 瓦土方法是铜芯线1个平方1KW,铝芯2个平方1KW.单位是平方毫米就是横截面积(平方毫米)电缆载流量根据铜芯/铝芯不同,铜芯你用2.5(平方毫米)就可以了其标准:0.75/1.0/1.5/2.5/4/6/10/16/25/35/50/70/95/120/150/185/240/300/400...还有非我国标准如:2.0铝芯1平方最大载流量9A,铜芯1平方最大载流量13.5A二点五下乘以九,往上减一顺号走。
三十五乘三点五,双双成组减点五。
条件有变加折算,高温九折铜升级。
穿管根数二三四,八七六折满载流。
1、“二点五下乘以九,往上减一顺号走”说的是:2.5mm’及以下的各种截面铝芯绝缘线,其载流量约为截面数的9倍。
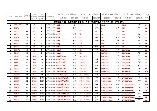
电线电缆载流量表(全)
很多用户对电线电缆的安全载流量不是很清楚,甚至是专业的电工对精确的数据都不是特别了解。
天津市电缆总厂第一分厂根据实际生产的电线电缆规格品种,制定了不同规格型号的电线电缆载流量表,简单易懂,一目了然。
希望能对各位朋友有所帮助.高压电缆载流量:规格型号载流量表。
8.7/10(8.7/15)KV交联聚乙烯绝缘电力电缆允许持续载流量
26/35KV交联聚乙烯绝缘电力电缆允许持续载流量
BVR电线
YJV,YJLV电缆载流量表:
BXF铜芯氯丁橡皮电线,BLXF铝芯氯丁橡皮电线载流量表:
BXR铜芯橡皮软电线载流量表:
矿用交联电力电缆载流量表:
矿用电缆规格型号载流量表:
MC采煤机电缆载流量表:
SYV,SYWV同轴电缆
钢芯铝绞线载流量表:
钢芯铝绞线技术参数:。
Pe:额定功率Pj:计算有功功率Sj:计算视在功率Ij:计算电流Kx:同时系数cos 4:功率因数Pj=Kx*PeSj=Pj/cos 4单相供电时,Ij=Sj/Ue三相供电时,Ij=Sj/侦3Ue如果假设采用~220V单相供电,同时系数Kx取1.0,功率因数cos'取0.8,则Pe=13KWPj=13*1=13KWIj=1300/ (0.8*220 ) =7.39AI=P/(U*1.732*0.8) S=I/5 I=电流P=功率U=电压S=电线截面积0.6/kV交联聚乙烯绝缘电力电缆规格型号及载流量(含普通型,阻燃型,耐火型,无卤低烟阻燃型)1. 产品特点及用途交联聚乙烯绝缘电力电缆具有高机械强度、耐环境应力好、优良的电气性能和耐化学腐蚀等特点,重量轻,结构简单,使用方便。
本产品适用于交流额定电压Uo/U为0.6/1kV及以下的输配电线路上。
阻燃电力电缆的主要特点是电缆不易着火或着火时延燃仅局限在一定范围内,适用于电缆敷设密集程度较高的发电站、地铁、隧道、高层建筑、大型工矿企业、油田、煤矿等场所。
耐火电力电缆的主要特点是电缆除了能在正常的工作条件下传输电力外,电缆在着火燃烧时仍能保持一定时间的正常运行,适用于核电站、地铁、隧道、高层建筑等与防火安全和消防救生有关的地方。
低烟无卤阻燃型电缆的特点是电缆不仅具备阻燃性能,而且具有低发烟性和无害性(蠹性和腐蚀性较小),适用于对电缆阻燃、烟密度、蠹性指数等有特别要求的场所,如地铁、隧道、核电站等。
2. 产品标准本产品按GB/T 12706-2002或IEC 60502标准组织生产,还可按用户要求的其他标准生产。
阻燃型电缆除按上述标准外,其阻燃性能按GB/T18380.3-2001标准规定分成A、Ek C三种不同的阻燃类别,A级类别的阻燃性能最优,用户可根据需要选用。
耐火型电缆的耐火性能应符合GE/119216.21-2003。
无卤低烟阻燃型电缆按企业标准组织生产,阻燃性能按GE/T18380.3-2001 标准规定分为A、B、C种不同的阻燃类别,烟浓度通过GE/T17651-1998规定的试验,PH值及导电率应符合GB/T17650.2-1998的规定。
电缆截面载流量对照表,初学者参考!电线电缆截流量得速算法在供配电系统中,电线电缆得作用就是传输电流,联络供电点(变电所或配电箱)与用电设备之间得桥梁、正确选择电线电缆就是保证负载可靠运行得重要环节、若选择电线电缆得截面积过小而负荷电流超载运行时,则会引起电线电缆表面温升加快,使绝缘层过热,导致事故得发生、若选择电线电缆得截面积过大,则会造成浪费,使投资增加、电线电缆得栽流量取决于本身得构造形式,周围环境条件与敷设方式、电线电缆从材质上分为铜芯线与铝芯线,从绝缘上分为橡皮绝缘,塑料绝缘,塑料护套及铠装等形式、其敷设方式有明设与暗设(穿金属管或塑料管)、可见电线电缆得载流量,除自身条件外,还要随外界条件得变化而改变:当环境温度升高时,载流量要减少;暗敷设比明敷设得载流量要降低;多根共管敷设时,根数越多,载流量越小;而相同截面积得铝线要比铜线得载流量小一级,等等、在配电设计与施工中,如何快速检验电线电缆截面积能否满足计算负荷电流得要求,采用速算法可做到心中有数,有错必纠,避免返工与事故得发生、本文介绍截面积1、5~185mm2得电线电缆速算法、1、速算法速算法就是以计算标称截面积得载流量为基础得、速算表达公式为IN = K1K2K3K4αS式中:IN ——电线电缆得速算载流量,A;S ——线缆标称截面积,mm2;α——速算电流系数,见附表,A/ mm2;K1 ——温升折算系数,环境温度为25℃时,K1为1,当超过30℃时,九折;K2 ——导线折算系数,铜线K2为1,塑料铝线九五折;K3 ——管质折算系数,穿钢管K3为1,穿塑料管八五折、因穿塑料管后,散热差,故需打折;K4 ——穿线共管折算系数,明敷设K4 为1,穿2,3根七五折,4根共管为六折、截面积S(mm2) 185,150 120,95 70 50 35 25 16 10 6 4 2、5 1、5电流系数α(A/ mm2) 3 3、5 4 4、5 5 6 7 8 9 10 14 182、举例[例1]已知橡皮绝缘铜线50 mm2;架空进户,环境温度为25℃,求其载流量、若改用塑料铝线时,载流量又为多少解:(1)橡皮绝缘铜线:α= 4、5,K1=K2=K3=K4 =1、则IN = 4、5× 50 =225(A)查手册,橡皮绝缘铜线得载流量为230A、(2)塑料铝线:若改用塑料铝线,K2 = 0、95,其计算公式为INˊ= 0、95 IN= 0、95 × 225= 214(A)查手册,塑料绝缘50 mm2铝电线得载流量为215A、[例2]上题中环境温度为30℃,架空进户,求其载流量;从横担引入室内配电箱穿钢管保护,这时电线得载流量又为多少如果改用橡皮铝芯线,其截面积应为多少解:(1)环境温度为30℃:K1= 0、9,则INˊ= 0、9 × 225= 202、5(A)查手册,环境温度为30℃时,载流量为215A、(2)4根钢管保护:K4 =0、6,折算电流为IN〃= 0、6 × 225= 135(A)查手册,4根电线穿钢管时,载流量为137A、(3)改用铝芯橡皮线:若要使其载流量保持不变,则橡皮铝芯线应比铜线大一级,选70 mm2即可、电缆规格型号:YJV 1芯1*1、5,YJV 1*2、5,YJV 1*4,YJV 1*6,YJV 1*10,YJV 1*16,YJV 1*25,YJV 1*35,YJV1*50,YJV 1*70,YJV 1*95,YJV 1*120,YJV 1*150,YJV 1*185,YJV 1*240,YJV 1*300,YJV1*400,YJV 1*500,YJV 1*630YJV 2芯2*1、5,YJV 2*2、5,YJV 2*4,YJV 2*6,YJV 2*10,YJV 2*16,YJV 2*25,YJV 2*35,YJV2*50,YJV 2*70,YJV 2*95,YJV 2*120,YJV 2*150,YJV 2*185,YJV 2*240,YJV 2*300,YJV 2*400YJV 3芯3*1、5,YJV 3*2、5,YJV 3*4,YJV 3*6,YJV 3*10,YJV 3*16,YJV 3*25,YJV 3*35,YJV3*50,YJV 3*70,YJV 3*95,YJV 3*120,YJV 3*150,YJV 3*185,YJV 3*240,YJV 3*300,YJV 3*400YJV 4芯4*1、5,YJV 4*2、5,YJV 4*4,YJV 4*6,YJV 2*10,YJV 4*16,YJV 4*25,YJV 4*35,YJV4*50,YJV 4*70,YJV 4*95,YJV 4*120,YJV 4*150,YJV 4*185,YJV 4*240,YJV 4*300,YJV 4*400YJV 5芯5*1、5,YJV 5*2、5,YJV 5*4,YJV 5*6,YJV 5*10,YJV 5*16,YJV 5*25,YJV 5*35,YJV5*50,YJV 5*70,YJV 5*95,YJV 5*120,YJV 5*150,YJV 5*185YJV 3+1芯3*2、5+1*1、5,YJV 3*4+1*2、5,YJV 3*6+1*4,YJV 3*10+1*6,YJV 3*16+1*10,YJV3*25+1*16,YJV 3*35+1*16,YJV 3*50+1*25,YJV 3*70+1*35,YJV 3*95+1*50,YJV3*120+1*70,YJV 3*150+1*70,YJV 3*185+1*95,YJV 3*240+1*120,YJV 3*300+1*150,YJV3*400+1*185YJV 3+2芯3*2、5+2*1、5,YJV 3*4+2*2、5,YJV 3*6+2*4,YJV 3*10+2*6,YJV 3*16+2*10,YJV3*25+2*16,YJV 3*35+2*16,YJV 3*50+2*25,YJV 3*70+2*35,YJV 3*95+2*50,YJV3*120+2*70,YJV 3*150+2*70,YJV 3*185+2*95,YJV 3*240+2*120,YJV 3*300+2*150,YJV3*400+2*185YJV 4+1芯4*2、5+1*1、5,YJV 4*4+1*2、5,YJV 4*6+1*4,YJV 4*10+1*6,YJV 4*16+1*10,YJV4*25+1*16,YJV 4*35+1*16,YJV 4*50+1*25,YJV 4*70+1*35,YJV 4*95+1*50,YJV4*120+1*70,YJV 4*150+1*70,YJV 4*185+1*95,YJV 4*240+1*120,YJV 4*300+1*150,YJV4*400+1*185羊角互感器(电流互感器)10,15,25,30,50、75,100,150,200,250,300,400,500,600,800,1000,1500,2000,等等举例10\5、75\5、500\5它们得关系都就是比5。
Pe:额定功率Pj:计算有功功率Sj:计算视在功率Ij:计算电流Kx:同时系数cosφ:功率因数Pj=Kx*PeSj=Pj/cosφ单相供电时,Ij=Sj/Ue三相供电时,Ij=Sj/√3Ue如果假设采用~220V单相供电,同时系数Kx取1.0,功率因数cosφ取0。
8,则Pe=13KWPj=13*1=13KWIj=1300/(0.8*220)=7。
39AI=P/(U*1。
732*0。
8) S=I/5 I=电流P=功率U=电压S=电线截面积0.6/kV交联聚乙烯绝缘电力电缆规格型号及载流量(含普通型,阻燃型,耐火型,无卤低烟阻燃型)1.产品特点及用途交联聚乙烯绝缘电力电缆具有高机械强度、耐环境应力好、优良的电气性能和耐化学腐蚀等特点,重量轻,结构简单,使用方便.本产品适用于交流额定电压Uo/U为0.6/1kV及以下的输配电线路上.阻燃电力电缆的主要特点是电缆不易着火或着火时延燃仅局限在一定范围内,适用于电缆敷设密集程度较高的发电站、地铁、隧道、高层建筑、大型工矿企业、油田、煤矿等场所。
耐火电力电缆的主要特点是电缆除了能在正常的工作条件下传输电力外,电缆在着火燃烧时仍能保持一定时间的正常运行,适用于核电站、地铁、隧道、高层建筑等与防火安全和消防救生有关的地方。
低烟无卤阻燃型电缆的特点是电缆不仅具备阻燃性能,而且具有低发烟性和无害性(毒性和腐蚀性较小),适用于对电缆阻燃、烟密度、毒性指数等有特别要求的场所,如地铁、隧道、核电站等。
2.产品标准本产品按GB/T 12706—2002或IEC 60502标准组织生产,还可按用户要求的其他标准生产。
阻燃型电缆除按上述标准外,其阻燃性能按GB/T18380.3—2001标准规定分成A、B、C三种不同的阻燃类别,A级类别的阻燃性能最优,用户可根据需要选用。
耐火型电缆的耐火性能应符合GB/119216。
21-2003。
无卤低烟阻燃型电缆按企业标准组织生产,阻燃性能按GB/T18380.3-2001标准规定分为A、B、C种不同的阻燃类别,烟浓度通过GB/T17651-1998规定的试验,PH值及导电率应符合GB/T17650.2—1998的规定。
电缆功率对照表电缆功率对照表大全电缆的载流量与导线截面有关,也与导线的材料、型号、敷设方法以及环境温度等有关,影响的因素较多,计算也较复杂。
一. . 线径与功率对照表1.I是电流=AP是功率=W 空开大小计算三相电:电流=功率÷380÷732单相:功率单位是W÷220=电流也就是A 线负载计算这得查配线的载流量,经验公式:铜导线面积等于负载功率千瓦数乘以0。
2.6 得数小于或等于导线实际截面的就选其值,大于的选粗一级的导线,铝线在算出铜线结果的基础上粗一级。
这句话表面看很难懂,举个例大家就会明白:15Kw 电机求导线截面?3.千瓦数15×0。
这时就要选择10mm?铜线,铝线则选16mm。
3500W 空调求导线面积?千瓦数5×0。
这时应选择5mm?铜线足矣,铝线则选4mm?。
用线大小计算举例22 千瓦220 伏特的负载,额定工作电流是。
铜线载流量是每平方毫米7 安培左右,那么换算一下,就需要16 平方左右铜导线,再考虑过流情况和启动电流,建议使用25 平方毫米铜导线,。
如果是380 伏特负载,根据经验公式,额定工作电流是44 安培。
换算使用铜导线 6 平方铜导线,也是需要考虑过流和启动电流,建议使用10 平方毫米铜导线。
二. . 电线平方与功率对照表1.家用常用电线功率:5 平方的塑铜线可容纳2200W。
5 平方的塑铜线可容纳3500W。
4 平方的塑铜线可容纳5200W。
6 平方的塑铜线可容纳8800W。
10 平方的塑铜线可容纳__W。
电线负载电流值 1 平方 5 平方 5 平方 4 平方国标GB4701-1992/1998 规定的电线负载电流值部分平方铜芯线允许长期负载电流为:6A__8A。
2.5平方铜芯线允许长期负载电流为:8A__15A。
5平方铜芯线允许长期负载电流为:16A__25A。
4 平方铜芯线允许长期负载电流为:25A__32A。
6 平方铜芯线允许长期负载电流为:32A__40A。
表8-24 BVVB型、BLVVB型、RVVB型电线载流量
450V/750V及以下橡胶绝缘电力电缆的载流量
通用橡套软电缆的载流量见表8-25。
注: 1 中性线截面面积同主线芯面积。
2.3 芯电缆中一根线芯不载流时,其流量按2芯电缆数据。
0.6、1KV聚氯乙烯绝缘电力电缆的载流量
表8.26 VV22、VLV22型聚氯乙烯绝缘钢带铠装聚氯乙烯护套电力电缆载流量。
载流量计算条件
1. 线芯长期工作温度: 70°;
2. 环境温度: 25°;
3. 埋地深度: 1000mm;
4. 土壤热阻系数:1.0m.°C/W;
5. 线芯轴间距离: S=2D
防火电缆的载流量
1. 阻燃电线电缆的载流量。
1)B、R系列阻燃电线电缆的载流量见表8-27.
2)交联聚氯乙烯绝缘电力电缆的载流量见表8-28、表8-29,短路电流见表8-30 表8-28 交联聚氯乙烯绝缘阻燃电力电缆的载流量
载流量计算条件
1、环境温度:25°C;
2、土壤热阻系数;P=1.0°C、m/W; 3.埋地敷设深度:1000mm; 4.
导体温度:导体长期运行温度为90°C; 5.电缆敷设轴间中心距 S=2D
注:单芯电缆铠装应采用非磁性材料或减少磁损耗的结构表8-29 高压交联聚氯乙烯绝缘阻燃电力电缆的载流量
表8-30 交联电缆导体短路电流(短路时间为1S)。
导线线径与电流规格一个平方mm可以承受6-8A得电流。
我们在计算线路线径时,一般就是按照功率除以0。
9,再乘以2来选择线径,取大不取小.如40匹得空调,40/0。
9*2=89、取90平方毫米得线径、空调得启动电流:室外机启动时刻,电流就是工作电流得5—7倍,如果配电线路质量不好或者离配电室较远,会引起电压下降、您家电表与线没问题,但就是上面得现象就是您家到配电室线路有问题,应该加粗这一段线路得面积。
如果这样有困难,那么在压缩机电机上并联一只电容也能稍微改善一些,电容得大小您要找电气工程师计算一下。
间歇运行省电!启动电流就是运行电流3-—5倍(小电机)时间极短。
如只就是近距离使用,有个公式:十下五,百上二;二五三五四三界;七零九五两倍半;穿管温度八九折;铜线升级算;裸线加一半。
这讲得就是不同截面导线近似电流密度。
交流电得话,10平方毫米以下得铜线每平方毫米5A,11—99平方毫米得铜线没平方毫米4A,100平方毫米以上得铜线每平方毫米3A,铝线则在上面得数值后除以2,即一半。
直流电得话,统一按照:铜线每平方毫米5A,铝线没平方毫米2.5A计算。
板前明线布线:手工布线时(非模型、模具配线),应符合平直、整齐、紧贴敷设面、走线合理及接点不得松动便于检修等要求。
1、走线通道应尽可能少,同一通道中得沉底导线,按主、控电路分类集中,单层平行密排或成束,应紧贴敷设面。
2、导线长度应尽可能短,可水平架空跨越,如两个元件线圈之间、连线主触头之间得连线等,在留有一定余量得情况下可不紧贴敷设面、3、同一平面得导线应高低一致或前后一致,不能交*、当必须交*时,可水平架空跨越,但必须属于走线合理、4、布线应横平竖直,变换走向应垂直90°。
5、上下触点若不在同一垂直线下,不应采用斜线连接。
6、导线与接线端子或线桩连接时,应不压绝缘层、不反圈及露铜不大于1mm、并做到同一元件、同一回路得不同接点得导线间距离保持一致、7、一个电器元件接线端子上得连接导线不得超过两根,每节接线端子板上得连接导线一般只允许连接一根、8、布线时,严禁损伤线芯与导线绝缘。
铜电缆载流量对照表铜电缆载流量对照表是一个用于参考的工具,用于帮助工程师和设计师选择适当的铜电缆来满足特定的电流载荷要求。
它列出了不同型号和尺寸的铜电缆的额定电流和最大载流量,以便用户可以根据具体的应用需求做出合适的选择。
首先,载流量对照表会列出各种常见的铜电缆型号,例如RV,RVV,VVR,RVVP等。
然后针对每种型号,会列出不同尺寸的铜电缆规格,例如2.5平方毫米,4平方毫米,6平方毫米等。
接下来,载流量对照表会给出每个电缆规格的额定电流和最大载流量。
额定电流是指在标准运行条件下,电缆可持续传输的电流水平。
而最大载流量是指电缆可以短时传输的最高电流水平,通常是用于故障或紧急情况下的临时负载。
对于选择合适的铜电缆,用户应该注意以下几个关键的因素:1. 电流负载需求:用户需要明确所需的电流负载,这将有助于确定所需的铜电缆规格和尺寸。
根据实际应用,可以通过查找相关表格中的额定电流和最大载流量来判断是否满足负载要求。
2. 电缆长度和电阻:电缆长度和电阻是另外两个重要的因素。
电缆长度越长,电阻越大,电缆的载流量也就越低。
因此,在选择铜电缆时,用户还应考虑电缆的长度和所需载流量之间的关系,以确保电缆能够正常运行。
3. 环境条件:环境条件也是选择合适铜电缆的重要考虑因素之一。
例如,在高温环境下,电缆的载流量可能会降低,因此用户需要选择具有更高额定电流和最大载流量的电缆以适应应用环境。
4. 安全因素:在选择铜电缆时,用户还应考虑安全因素。
通常,为了确保电缆的安全运行,电流负载应该远低于额定电流和最大载流量。
这样可以为电缆预留一定的余量,以防止过载和潜在的风险。
总结起来,铜电缆载流量对照表是一个重要的参考工具,它提供了各种不同尺寸和型号铜电缆的额定电流和最大载流量。
在选择铜电缆时,用户应该考虑电流负载需求、电缆长度和电阻、环境条件以及安全因素等因素,以确保选择合适的铜电缆来满足特定的电流载荷要求。
铝芯电缆的载流量对照表 Last updated on the afternoon of January 3, 2021铝芯电缆的载流量对照表铝芯电缆载流量计算口诀(前提:通过公示得出电流)二点五下乘以九,往上减一顺号走。
三十五乘三点五,双双成组减点五。
条件有变加折算,高温九折铜升级。
穿管根数二三四,八七六折满载流。
说明:(1)本节口诀对各种绝缘线(橡皮和塑料绝缘线)的载流量(安全电流)不是直接指出,而是“截面乘上一定的倍数”来表示,通过心算而得。
由表5 3可以看出:倍数随截面的增大而减小。
“二点五下乘以九,往上减一顺号走”说的是2.5mm’及以下的各种截面铝芯绝缘线,其载流量约为截面数的9倍。
如2.5mm’导线,载流量为2.5×9=22.5(A)。
从4mm’及以上导线的载流量和截面数的倍数关系是顺着线号往上排,倍数逐次减l,即4×8、6×7、10×6、16×5、25×4。
“三十五乘三点五,双双成组减点五”,说的是35mm”的导线载流量为截面数的3.5倍,即35×3.5=122.5(A)。
从50mm’及以上的导线,其载流量与截面数之间的倍数关系变为两个两个线号成一组,倍数依次减0.5。
即50、70mm’导线的载流量为截面数的3倍;95、120mm”导线载流量是其截面积数的2.5倍,依次类推。
“条件有变加折算,高温九折铜升级”。
上述口诀是铝芯绝缘线、明敷在环境温度25℃的条件下而定的。
若铝芯绝缘线明敷在环境温度长期高于25℃的地区,导线载流量可按上述口诀计算方法算出,然后再打九折即可;当使用的不是铝线而是铜芯绝缘线,它的载流量要比同规格铝线略大一些,可按上述口诀方法算出比铝线加大一个线号的载流量。
如16mm’铜线的载流量,可按25mm2铝线计算。