电磁场与微波技术(第2版)黄玉兰-习题答案
- 格式:doc
- 大小:461.00 KB
- 文档页数:20
第 1 章 习 题1、 求函数()D Cz By Ax u +++=1的等值面方程。
解:根据等值面的定义:标量场中场值相同的空间点组成的曲面称为标量场的等值面,其方程为)( ),,(为常数c c z y x u =。
设常数E ,则,()E D Cz By Ax =+++1, 即:()1=+++D Cz By Ax E针对不同的常数E (不为0),对应不同的等值面。
2、 已知标量场xy u =,求场中与直线042=-+y x 相切的等值线方程。
解:根据等值线的定义可知:要求解标量场与直线相切的等值线方程,即是求解两个方程存在单解的条件,由直线方程可得:42+-=y x ,代入标量场C xy =,得到: 0422=+-C y y ,满足唯一解的条件:02416=⨯⨯-=∆C ,得到:2=C ,因此,满足条件的等值线方程为:2=xy3、 求矢量场z zy y y x xxy A ˆˆˆ222++=的矢量线方程。
解:由矢量线的微分方程:zy x A dz A dy A dx ==本题中,2xy A x =,y x A y 2=,2zy A z =, 则矢量线为:222zy dzy x dy xy dx ==,由此得到三个联立方程:x dy y dx =,z dz x dx =,zy dz x dy =2,解之,得到: 22y x =,z c x 1=,222x c y =,整理, y x ±=,z c x 1=,x c y 3±=它们代表一簇经过坐标原点的直线。
4、 求标量场z y z x u 2322+=在点M (2,0,-1)处沿z z y xy xx t ˆ3ˆˆ242+-=方向的方向导数。
解:由标量场方向导数的定义式:直角坐标系下,标量场u 在可微点M 处沿l 方向的方向导数为γβαcos cos cos zu y u x u l u ∂∂+∂∂+∂∂=∂∂α、β、γ分别是l 方向的方向角,即l 方向与z y xˆˆˆ、、的夹角。
电磁场电磁波第2版答案【篇一:电磁场与电磁波答案(第四版)谢处方】给定三个矢量a、b和c如下: a?ex?ey2?ez3b??ey4?ezc?ex5?ez2求:(1)aa;(2)a?b;(3)a?b;(4)?ab;(5)a在b上的分量;(6)a?c;(7)a?(8)(a?b)?c和a?(b?c)。
(b?c)和(a?b)?c;解(1)aa?e?e2?e3a??ex?ey?eza(2)a?b?(ex?ey2?ez3)?(?ey4?ez)?ex?ey6?ez4?(3)a?b?(ex?ey2?ez3)?(?ey4?ez)?-11a?b??1 5,得 ??cos??()?135.abab8a?b (5)a在b上的分量 ab?aco? ?sab?bexeyez(4)由 co?sab?(6)a?c?12?3??ex4?ey13?ez10 0?2ex5exeyez1?ex8?ey5?ez20 ez5(7)由于b?c?0?40?2eya?b?12?3??ex10?ey1?ez40?41所以 a?(b?c)?(ex?ey2?ez3)?(ex8?ey5?ez20)??42(a?b)?c?(?ex10?ey1?ez4)?(ex5?ez2)??42ex5exa?(b?c)?1eyez(8)(a?b)?c??10?1?4?ex2?ey40?ez50?2ey5ez202?3?ex55?ey44?ez1181.2三角形的三个顶点为p(0,1,?2)、p(4,1,?3)和p(6,2,5)。
123(1)判断?ppp是否为一直角三角形;123(2)求三角形的面积。
解(1)三个顶点p(0,1,?2)、p(4,1,?3)和p(6,2,5)的位置矢量分别为123r1?ey?ez2,r2?ex4?ey?ez3,r3?ex6?ey2?ez5 则r12?r2?r1?ex4?ez, r23?r3, ?r?2ex2?ey?ez8r31?r1?r3??ex6?ey?ez7由此可见r12?r23?(ex4?ez)?(ex2?ey?ez8)?0故?pp为一直角三角形。
《电磁场与微波技术》课程设计报告课题:带阻滤波器设计与仿真专业:班级:组别: 姓名:学号:指导老师:设计时间: 2012-6-4目录1.设计要求.............................................................. - 2 - 2.微带短截线带阻滤波器的理论分析.. (2)3. 设计步骤 (4)3.1带阻滤波器的原理图设计 (4)3.2带阻滤波器的仿真及优化 (6)3.2.1 s参数设置 (6)3.2.2 对微带短截带阻滤波器进行初步仿真,得到初步仿真波形如下图。
(6)3.2.3 带阻滤波器的优化 (6)3.2.4 带阻滤波器版图生成与仿真 (7)4.心得体会 (8)5 参考文献 (8)带阻滤波器的设计与仿真1.设计要求1.1 设计题目:带阻滤波器的设计与仿真。
1.2 设计方式:分组课外利用ads软件进行设计。
1.3 设计时间:第一周至第十七周。
1.4 参数要求:中心频率:2.4GHz相对带宽:9%带内波纹:<0.2dB阻带衰减>25dB输入输出阻抗:50Ω在频率2.2GHz和2.6GHz处,衰减<3dB2.微带短截线带阻滤波器的理论分析当频率不高时,滤波器主要是由集总元件电感和电容构成,但当频率高于500Mz时,滤波器通常由分布参数元件构成,这是由于两个原因造成的,其一是频率高时电感和电容应选的元件值小,由于寄生参数的影响,如此小的电感和电容已经不能再使用集总参数元件;其二是此时工作波长与滤波器元件的物理尺寸相近,滤波器元件之间的距离不可忽视,需要考虑分布参数效应。
我们这次设计采用短截线方法,将集总元件滤波器变换为分布参数滤波器,其中理查德变换用于将集总元件变换为传输段,科洛达规则可以将各滤波器元件分隔。
2.1 理查德变换通过理查德变换,可以将集总元件的电感和电容用一段终端短路和终端开路的传输线等效。
终端短路和终端开路传输线的输入阻抗具有纯电抗性,利用传输线的这一特性,可以实现集总元件到分布参数元件的变换。
《电磁场与电磁波基础教程》(第2版)习题解答第1章1.1 解:(1)==A B=C(2))))23452A x y zB y zC x z ==+-=+=-,,;A a a a a a -a a a a a A(3)()()+2431223x y z x y z =+-+-+=--=+;A B a a a a a a A B (4)()()23411x y z y z ⋅=+-⋅-+=-;A B a a a a a (5)()()234104x y z y z x y z ⨯=+-⋅-+=---;A B a a a a a a a a (6)()()()1045242x y z x z ⨯⋅=-++⋅-=-;A B C a a a a a(7)()()()x 2104522405x y z x z y ⨯⨯=-++⨯-=-+A B C a a a a a a a a 。
1.2解:cos 68.56θθ⋅===︒;A B A BA 在B 上的投影cos 1.37B A θ===A ;B 在A 上的投影cos 3.21A B θ===B 。
1.3 解:()()()()()()()4264280⋅=-++-=正交A B 。
1.4 解:1110x x y y z z x y y z z y ⋅=⋅=⋅=⋅=⋅=⋅=,,;;a a a a a a a a a a a a 0x x y y z z ⨯=⨯=⨯=;a a a a a a x y z y z x z x y ⨯=⨯=⨯=;,a a a a a a a a a 。
1.5 解:(1)111000z z z z ρρϕϕρϕϕρ⋅=⋅=⋅=⋅=⋅=⋅=,,;,,a a a a a a a a a a a a ;000z z z z z ρρϕϕρϕϕρρϕ⨯=⨯=⨯=⨯=⨯=⨯=,,;,,a a a a a a a a a a a a a a a 。
电磁场与电磁波第二版课后答案本文档为《电磁场与电磁波》第二版的课后答案,包含了所有章节的练习题的答案和解析。
《电磁场与电磁波》是电磁学领域的经典教材,它讲述了电磁场和电磁波的基本原理和应用。
通过学习本书,读者可以深入了解电磁学的基本概念和原理,并且能够解决一些相关问题。
第一章绪论练习题答案1.电磁场是由电荷和电流产生的一种物质性质,具有电场和磁场两种形式。
电磁波是电磁场的振动。
电磁辐射是指电磁波传播的过程。
2.对于一点电荷,其电场是以该点为中心的球对称分布,其强度与距离成反比。
对于无限长直导线产生的电场,其强度与距离呈线性关系,方向垂直于导线轴线。
3.电磁场的本质是相互作用力。
电场力是由于电荷之间的作用产生的,磁场力是由于电流之间的作用产生的。
解析1.电磁场是由电荷和电流产生的物质性质。
当电荷存在时,它会产生一个电场,该电荷周围的空间中存在电场强度。
同时,当电流存在时,它会产生一个磁场,该电流所在的区域存在磁场。
电磁波是电磁场的振动传播。
电磁波是由电磁场的变化引起的,相邻电磁场的振动会相互影响,从而形成了电磁波的传播。
电磁辐射是指电磁波在空间中的传播过程。
当电磁波从一个介质传播到另一个介质时,会发生折射和反射现象。
2.在一点电荷产生的电场中,电场强度与该点到电荷的距离成反比,即\(E = \frac{{k \cdot q}}{{r^2}}\),其中\(E\)为电场强度,\(k\)为电场常数,\(q\)为电荷量,\(r\)为距离。
对于无限长直导线产生的电场,其电场强度与离导线的距离呈线性关系。
当离无限长直导线的距离为\(r\)时,其电场强度可表示为\(E = \frac{{\mu_0 \cdot I}}{{2 \pi \cdot r}}\),其中\(E\)为电场强度,\(\mu_0\)为真空中的磁导率,\(I\)为电流强度。
3.电磁场的本质是相互作用力。
当两个电荷之间有作用力时,这个作用力是由于它们之间的电场力产生的。
第二章静电场重点和难点电场强度及电场线等概念轻易接收,重点讲授若何由物理学中积分情势的静电场方程导出微分情势的静电场方程,即散度方程和旋度方程,并强调微分情势的场方程描写的是静电场的微分特征或称为点特征.应用亥姆霍兹定理,直接导出真空中电场强度与电荷之间的关系.经由过程书中列举的4个例子,总结归纳出根据电荷散布盘算电场强度的三种办法.至于媒质的介电特征,应侧重解释平均和非平均.线性与非线性.各向同性与各向异性等概念.讲授介质中静电场方程时,应强调电通密度仅与自由电荷有关.介绍鸿沟前提时,应解释仅可根据积分情势的静电场方程,因为鸿沟上场量不持续,因而微分情势的场方程不成立.关于静电场的能量与力,应总结出盘算能量的三种办法,指出电场能量不相符迭加道理.介绍应用虚位移的概念盘算电场力,常电荷体系和常电位体系,以及广义力和广义坐标等概念.至于电容和部分电容一节可以从简.主要公式真空中静电场方程: 积分情势:⎰=⋅SS E 0d εq⎰=⋅ll E 0d微分情势:ερ=⋅∇E0=⨯∇E已知电荷散布求解电场强度:1,)()(r r E ϕ-∇=;⎰''-'=V Vd )(41)(|r r |r r ρπεϕ2,⎰'''-'-'=V V 30d |4))(()(|r r r r r r E περ 3,⎰=⋅S S E 0d εq高斯定律介质中静电场方程: 积分情势: q S=⋅⎰ d S D⎰=⋅ll E 0d微分情势:ρ=⋅∇D0=⨯∇E线性平均各向同性介质中静电场方程: 积分情势: εqS=⋅⎰ d S E ⎰=⋅ll E 0d微分情势:ερ=⋅∇E0=⨯∇E静电场鸿沟前提: 1,t t E E 21=.对于两种各向同性的线性介质,则2,s n n D D ρ=-12.在两种介质形成的鸿沟上,则 对于两种各向同性的线性介质,则3,介质与导体的鸿沟前提:0=⨯E e n ;S n D e ρ=⋅若导体四周是各向同性的线性介质,则ερSn E =; ερϕS n -=∂∂静电场的能量:孤立带电体的能量:Q C Q W e 21212Φ==离散带电体的能量:∑==ni i i e Q W 121Φ散布电荷的能量:l S V W l l S S Ve d 21d 21d 21ρϕρϕρϕ⎰⎰⎰===静电场的能量密度:E D ⋅=21e w对于各向同性的线性介质,则2 21E w e ε=电场力:库仑定律:r r q q e F 24πε'=常电荷体系:常数=-=q e lW F d d常电位体系:常数==ϕlW F e d d题 解2-1 若真空中相距为d 的两个电荷q 1及q 2的电量分离为q 及4q ,当点电荷q '位于q 1及q 2的连线上时,体系处于均衡状况,试求q '的大小及地位. 解 要使体系处于均衡状况,点电荷q '受到点电荷q 1及q 2的力应当大小相等,偏向相反,即q q q q F F ''=21.那么,由1222022101244r r r q q r q q =⇒'='πεπε,同时斟酌到d r r =+21,求得可见点电荷q '可以随意率性,但应位于点电荷q 1和q 2的连线上,且与点电荷1q 相距d 31.2-2 已知真空中有三个点电荷,其电量及地位分离为:试求位于)0,1,0(-P 点的电场强度.解 令321,,r r r 分离为三个电电荷的地位321,,P P P 到P 点的距离,则21=r ,32=r ,23=r .应用点电荷的场强公式re E 204r q πε=,个中r e 为点电荷q 指向场点P 的单位矢量.那么,1q 在P 点的场壮大小为021011814πεπε==r q E ,偏向为()z yr e ee +-=211.2q 在P 点的场壮大小为0220221214πεπε==r q E ,偏向为()z y xr e e ee ++-=312.3q 在P 点的场壮大小为023033414πεπε==r q E ,偏向为y r e e -=3则P 点的合成电场强度为2-3 直接应用式(2-2-14)盘算电偶极子的电场强度.解 令点电荷q -位于坐标原点,r 为点电荷q -至场点P 的距离.再令点电荷q +位于+z 坐标轴上,1r 为点电荷q +至场点P 的距离.两个点电荷相距为l ,场点P 的坐标为(r,θ,).根据叠加道理,电偶极子在场点P 产生的电场为斟酌到r >> l ,1r e = e r ,θcos 1l r r -=,那么上式变成式中 ()2122212211cos 211cos 2---⎪⎪⎭⎫⎝⎛-+=-+=θθr l r lr rl l r r认为rl变量,并将2122cos 21-⎪⎪⎭⎫ ⎝⎛-+θr lr l 在零点作泰勒睁开.因为r l <<,略去高阶项后,得应用球坐标系中的散度盘算公式,求出电场强度为 2-4 已知真空中两个点电荷的电量均为6102-⨯C,相距为2cm, 如习题图2-4所示.试求:①P 点的电位;②将电量为6102-⨯C 的点电荷由无穷远处迟缓地移至P 点时,外力必须作的功.解 根据叠加道理,P 点的合成电位为 是以,将电量为的点电荷C1026-⨯由无穷远处迟缓地移到P 点,外力必须做的功为()J 5==q W ϕ2-5 经由过程电位盘算有限长线电荷 的电场强度.习题图2-4解 树立圆柱坐标系. 令先电荷沿z 轴放置,因为构造以z 轴对称,场强与φ无关.为了简略起见,令场点位于yz 平面.设线电荷的长度为L ,密度为l ρ,线电荷的中点位于坐标原点,场点P 的坐标为⎪⎭⎫⎝⎛z r ,2,π.应用电位叠加道理,求得场点P 的电位为式中()220r l z r +-=.故因ϕ-∇=E ,可知电场强度的z 分量为 电场强度的r 分量为 式中2tanarc ,2tan arc 21Lz r L z r -=+=θθ,那么,合成电强为当L时,πθθ→→ ,021,则合成电场强度为可见,这些成果与教材2-2节例4完整雷同.2-6 已知散布在半径为a 的半圆周上的电荷线密度πφφρρ≤≤=0 ,sin 0l ,试求圆心处的电场强度.y习题图2-5r 0Pzzrod ll θ1θ2解 树立直角坐标,令线电荷位于xy平面,且以y 轴为对称,如习题图2-6所示.那么,点电荷l l d ρ在圆心处产生的电场强度具有两个分量E x 和E y .因为电荷散布以y 轴为对称,是以,仅需斟酌电场强度的y E 分量,即斟酌到φρρφsin ,d d 0==l a l ,代入上式求得合成电场强度为2-7 已知真空中半径为a 的圆环上平均地散布的线电荷密度为l ρ,试求经由过程圆心的轴线上任一点的电位及电场强度.解 树立直角坐标,令圆环位于坐标原点,如习题图2-7所示.那么,点电荷上P 点产l l d ρ在z 轴生的电位为习题图2-6习题图2-7y根据叠加道理,圆环线电荷在P 点产生的合成电位为因电场强度ϕ-∇=E ,则圆环线电荷在P 点产生的电场强度为2-8 设宽度为W ,面密度为S ρ的带状电荷位于真空中,试求空间任一点的电场强度.解 树立直角坐标,且令带状电荷位于xz 平面内,如习题图2-8所示.带状电荷可划分为许多条宽度为x 'd 的无穷长线电荷,其线密度为x s 'd ρ.那么,该无穷长线电荷产生的电场强度与坐标变量z 无关,即 式中 ()22y x x r +'-=得()[]()[]y x x yx x x s yxe e E +'-+'-'=2202d d περ习题图2-8yy(a)(b))那么()[]()[]y x x yx x x s w w yxe e E +'-+'-'=⎰-220222d περ2-9 已知平均散布的带电圆盘半径为a ,面电荷密度为S ρ,位于z = 0平面,且盘心与原点重合,试求圆盘轴线上任一点电场强度E .解 如图 2-9所示,在圆盘上取一半径为r ,宽度为rd 的圆环,该圆环具有的电荷量为s r r q ρπd 2d =.因为对称性,该圆环电荷在z 轴上任一点P 产生的电场强度仅的r 有z 分量.根据习题2-7成果,获知该圆环电荷在P 产生的电场强度的z 分量为那么,全部圆盘电荷在P 产生的电场强度为2-10 已知电荷密度为S ρ及S ρ-的两块无穷大面电荷分离位于x = 0及x = 1平面,试求10 ,1<<>x x 及0<x 区域中的电场强度.解 无穷大平面电荷产生的场强散布必定是平均的,其电场偏向垂直于无穷大平面,且分离指向两侧.习题图2-9y是以,位于x = 0平面内的无穷大面电荷S ρ,在x < 0区域中产生的电场强度11E x e E -=-,在x > 0区域中产生的电场强度11E x e E =+.位于x = 1平面内的无穷大面电荷S ρ-,在x < 1区域中产生的电场强度22E x e E =+,在x > 1区域中产生的电场强度22E x e E -=-.由电场强度法向鸿沟前提获知,即 01010==+x sE E ρεε12020=-=--x sE E ρεε由此求得212ερsE E ==根据叠加定理,各区域中的电场强度应为2-11 若在球坐标系中,电荷散布函数为试求b r a a r <<<< ,0及b r >区域中的电通密度D . 解 作一个半径为r 的球面为高斯面,由对称性可知式中q 为闭合面S 包抄的电荷.那么在a r <<0区域中,因为q = 0,是以D = 0. 在b r a <<区域中,闭合面S 包抄的电荷量为是以,()r e D 2336310ra r -=- 在b r >区域中,闭合面S 包抄的电荷量为是以,()r e D 2336310ra b -=-2-12 若带电球的表里区域中的电场强度为 试求球表里各点的电位. 解 在a r <区域中,电位为在a r >区域中,()rq r r =⋅=⎰∞r E d ϕ 2-13 已知圆球坐标系中空间电场散布函数为 试求空间的电荷密度.解 应用高斯定理的微分情势0ερ=⋅∇E ,得知在球坐标系中那么,在a r ≤区域中电荷密度为 在a r ≥区域中电荷密度为2-14 已知真空中的电荷散布函数为式中r 为球坐标系中的半径,试求空间各点的电场强度.解 因为电荷散布具有球对称性,取球面为高斯面,那么根据高斯定理在a r ≤≤0区域中 在a r >区域中2-15 已知空间电场强度z y x e e e E 543-+=,试求(0,0,0)与(1,1,2)两点间的电位差.解 设P 1点的坐标为(0,0,0,), P 2点的坐标为(1,1,2,),那么,两点间的电位差为式中 z y x d d d d ,543z y x z y x e e e l e e e E ++=-+=,是以电位差为2-16 已知同轴圆柱电容器的内导体半径为a ,外导体的内半径为b .若填充介质的相对介电常数2=r ε.试求在外导体尺寸不变的情形下,为了获得最高耐压,表里导体半径之比.解 已知若同轴线单位长度内的电荷量为q 1,则同轴线内电场强度r e E rq πε21=.为了使同轴线获得最高耐压,应在保持表里导体之间的电位差V 不变的情形下,使同轴线内最大的电场强度达到最小值,即应使内导体概况a r =处的电场强度达到最小值.因为同轴线单位长度内的电容为则同轴线内导体概况a r =处电场强度为令b 不变,以比值ab 为变量,对上式求极值,获知当比值e ab =时,()a E 取得最小值,即同轴线获得最高耐压.2-17 若在一个电荷密度为ρ,半径为a 的平均带电球中,消失一个半径为b 的球形空腔,空腔中间与带电球中间的间距为d ,试求空腔中的电场强度.解 此题可应用高斯定理和叠加道理求解.起首设半径为a的全部球内充满电荷密度为ρ的电荷,则球内P 点的电场强度为式中r 是由球心o 点指向P 点的地位矢量,再设半径为b 的球腔内充满电荷密度为ρ-的电荷,则其在球内P 点的电场强度为式中r '是由腔心o '点指向P 点的地位矢量.那么,合成电场强度P P E E 21+等于本来空腔内任一点的电场强度,即式中d 是由球心o 点指向腔心o '点的地位矢量.可见,空腔内的电场是平均的. 2-18 已知介质圆柱体的半径为a ,长度为l ,当沿轴线偏向产生平均极化时,极化强度为P ,试求介质中约束电荷在圆柱表里轴线上产生的电场强度.解 树立圆柱坐标,且令圆柱的下端面位于xy 平面.因为是平均极化,故只斟酌面约束电荷.并且该约束电荷仅消失圆柱高低端面.已知面约束电荷密度与极化强度的关系为式中e n 为概况的外法线偏向上单位矢量.由此求得圆柱体上端面的约束电荷面密度为P s =1ρ,圆柱体习题图2-18下端面的约束面电荷密度为P s -=2ρ.由习题2-9获知,位于xy 平面,面电荷为s ρ的圆盘在其轴线上的电场强度为是以,圆柱下端面约束电荷在z 轴上产生的电场强度为而圆柱上端面约束电荷在z 轴上产生的电场强度为那么,高低端面约束电荷在z 轴上任一点产生的合成电场强度为2-19 已知内半径为a ,外半径为b 的平均介质球壳的介电常数为ε,若在球心放置一个电量为q 的点电荷,试求:①介质壳表里概况上的约束电荷;②各区域中的电场强度.解 先求各区域中的电场强度.根据介质中高斯定理在a r ≤<0区域中,电场强度为 在b r a ≤<区域中,电场强度为 在b r >区域中,电场强度为再求介质壳表里概况上的约束电荷.因为()E P 0εε-=,则介质壳内概况上约束电荷面密度为外概况上约束电荷面密度为2-20 将一块无穷大的厚度为d 的介质板放在平均电场E 中,四周媒质为真空.已知介质板的介电常数为ε,平均电场E 的偏向与介质板法线的夹角为1θ,如习题图2-20所示.当介质板中的电场线偏向42πθ=时,试求角度1θ及介质概况的约束电荷面密度.解 根据两种介质的鸿沟前提获知,鸿沟上电场强度切向分量和电通密度的法向分量持续.是以可得221sin sin θθE E =; 221cos cos θθD D =已知220 ,E D E D εε==,那么由上式求得已知介质概况的约束电荷)(0E D e P e ερ-⋅=⋅='n n s ,那么,介质左概况上约束电荷面密度为10021020211cos 111θεεεεεεερE n s⎪⎭⎫⎝⎛--=⋅⎪⎭⎫ ⎝⎛-=⎪⎭⎫ ⎝⎛-⋅=⋅='D e D e P e n n1介质右概况上约束电荷面密度为100220202222cos 111θεεεεεεερE n s⎪⎭⎫⎝⎛-=⋅⎪⎭⎫ ⎝⎛-=⎪⎭⎫ ⎝⎛-⋅=⋅='D e D e P e n n 2-21 已知两个导体球的半径分离为6cm 及12cm,电量均为6103-⨯C,相距很远.若以导线相连后,习题图2-202e试求:①电荷移动的偏向及电量;②两球最终的电位及电量.解 设两球相距为d ,斟酌到d >> a , d >> b ,两个带电球的电位为⎪⎭⎫ ⎝⎛+=d q a q 210141πεϕ;⎪⎭⎫ ⎝⎛+=d q b q 120241πεϕ 两球以导线相连后,两球电位相等,电荷从新散布,但总电荷量应当守恒,即21ϕϕ=及()C 106621-⨯==+q q q ,求得两球最终的电量分离为可见,电荷由半径小的导体球转移到半径大的导体球,移动的电荷量为()C 1016-⨯.两球最终电位分离为2-22 已知两个导体球的重量分离为m 1=5g ,m 2=10g ,电量均为6105-⨯C,以无重量的绝缘线相连.若绝缘线的长度l = 1m ,且弘远于两球的半径,试求;①绝缘线割断的瞬时,每球的加快度;②绝缘线割断良久今后,两球的速度. 解 ①绝缘线割断的瞬时,每球受到的力为是以,两球获得的加快度分离为② 当两球相距为l 时,两球的电位分离为⎪⎪⎭⎫⎝⎛+=l q r q 2110141πεϕ; ⎪⎪⎭⎫⎝⎛+=l q r q 1220241πεϕ此时,体系的电场能量为22112121q q W ϕϕ+=绝缘线割断良久今后,两球相距很远(l >>a ,l >>b ),那么,两球的电位分离为10114r q πεϕ=;20224r q πεϕ=由此可见,绝缘线割断良久的前后,体系电场能量的变更为这部分电场能量的变更改变成两球的动能,根据能量守恒道理及动量守恒定理可得下列方程:2222112121v m v m W +=,02211=+v m v m由此即可求出绝缘线割断良久今后两球的速度v 1和v 2:()m 74.71=v ;()s m 87.32=v2-23 如习题图2-23所示,半径为a 的导体球中有两个较小的球形空腔.若在空腔中间分离放置两个点电荷q 1及q 2,在距离a r >>处放置另一个点电荷q 3,试求三个点电荷受到的电场力.解 根据原书2-7节所述,关闭导体空腔具有静电屏障特征.习题图2-23是以,q 1与q 2之间没有感化力,q 3对于q 1及q 2也没有感化力.但是q 1及q 2在导体外概况产生的感应电荷-q 1及-q 2,对于q 3有感化力.斟酌到r >>a ,根据库仑定律获知该感化力为2-24 证实位于无源区中任一球面上电位的平均值等于其球心的电位,而与球外的电荷散布特征无关. 解 已知电位与电场强度的关系为ϕ-∇=E ,又知ερ=⋅∇E ,由此获知电位知足下列泊松方程 应用格林函数求得泊松方程的解为 式中()r r r r,'-='π410G .斟酌到()3041r r r r r r,'-'-='∇'πG ,代入上式得若闭合面S 内为无源区,即0=ρ,那么若闭合面S 为一个球面,其半径为a ,球心为场点,则a ='-r r ,那么上式变成斟酌到差矢量r r '-的偏向为该球面的半径偏向,即与s 'd 的偏向正好相反,又ϕ-∇=E ,则上式变成因为在S 面内无电荷,则0d ='⋅'⎰S s E ,那么由此式可见,位于无源区中任一球面上的电位的平均值等于其球心的电位,而与球外的电荷散布无关. 2-25 已知可变电容器的最大电容量pF 100max =C ,最小电容量pF 10min =C ,外加直流电压为300V,试求使电容器由最小变成最大的进程中外力必须作的功. 解 在可变电容器的电容量由最小变成最大的进程中,电源作的功和外力作的功均改变成电场储能的增量,即式中 )J (101.8)(Δ6min max -⨯=-==V C V C V q V W 电源 是以,外力必须作的功为2-26 若使两个电容器均为C 的真空电容器充以电压V 后,断开电源互相并联,再将个中之一填满介电常数为r ε的幻想介质,试求:①两个电容器的最终电位;②转移的电量.解 两电容器断开电源互相并联,再将个中之一填满相对介电常数为r ε幻想介质后,两电容器的电容量分离为两电容器的电量分离为21,q q ,且因为两个电容器的电压相等,是以 联立上述两式,求得rCV q ε+=121,rr CV q εε+=122是以,两电容器的最终电位为 斟酌到12q q >,转移的电量为 2-27半径为a ,外导体半径为b ,其 内一半填充介电常数为1ε的介质,另一半填充介质的介电常 数为2ε,如习题图2-27所示.当外加电压为V 时,试求:①电容器中的电场强度; ②各鸿沟上的电荷密度;③电容及储能. 解 ①设内导体的外概况上单位长度的电量为q ,外导体的内概况上单位长度的电量为q -.取表里导体之间一个同轴的单位长度圆柱面作为高斯面,由高斯定理 求得()q D D r =+21π已知222111 ,E D E D εε==,在两种介质的分界面上电场强度的切向分量必须持续,即21E E =,求得表里导体之间的电位差为即单位长度内的电荷量为 ()ab Vq ln 121εεπ+=故同轴电容器中的电场强度为 r e E ab r V ln=②因为电场强度在两种介质的分界面上无法向分量,故此鸿沟上的电荷密度为零.内导体的外概况上的电荷面密度为ab a Vs ln111εερ=⋅=E e r ; aba Vs ln222εερ=⋅=E e r外导体的内概况上的电荷面密度为ab b Vs ln111εερ=⋅=E e r ;abb Vs ln222εερ-=⋅-=E e r③单位长度的电容为()ab Vq C ln 21εεπ+==电容器中的储能密度为2-28 一平板电容器的构造如习题图2-28所示,间距为d ,极板面积为l l ⨯.试求:① 接上电压V 时,移去介质前后电容器中的电场强度.电通密度.各鸿沟上的电荷密度.电容及储能; ② 断开电源后,再盘算介质移去前后以上各个参数.解,介质鸿沟上电场强E是相等的但是介质表里的电通密度不dV E εε=,介质外dVE D 000εε==.两部分极板概况自由电荷面密度分离为dV s ερε=,dV s 00ερ=电容器的电量 ()()d V l l q s s 222002εερρε+=+=电容量为()dl V q C 220εε+==电容器储能为dV l qV W 4)(21220εε+==若接上电压时,移去介质,那么电容器中的电场强度为dVE =电通密度为极板概况自由电荷面密度为dV E s 00εερ==电容器的电量为 dVl l q s 202ερ==电容量为dl V q C 2ε==电容器的储能为 dV l qV W 221220ε==②断开电源后,移去介质前,各个参数不变.但是若移去介质,因为极板上的电量q 不变,电场强度为电通密度为()dV E D 200εεε+==极板概况自由电荷面密度为 ()dV s 20εερ+=南北极板之间的电位差为()002εεε+==V Ed V电容量为dl V q C 02ε==电容器的储能为 ()02022821εεεd V l qV W +==2-29 若平板电容器的构造如习题图2-29所示,尺寸同上题,盘算上题中各类情形下的参数.解 ①接上电压,介质消失时,介质表里的电通密度均为2l qD =,εε2l 020εl q=南北极板之间的电位差为()()020022εεεεεl qd E E d V +=+=. 则 ()()()dV E d V E d V l q 00000022,22εεεεεεεεεεεε+=+=⇒+=则电位移矢量为()dV E D 002εεεεεεε+==;()dV E D 000002εεεεεεε+==极板概况自由电荷面密度为()dV s 002εεεερε+=;()dV s 0002εεεερε+=介电常数为ε的介质在接近极板一侧概况上约束电荷面密度为介电常数为ε与介电常数为0ε的两种介质鸿沟上的约束电荷面密度为此电容器的电量 ()dVl l l q s s 0020222εεεερρεε+===则电容量为 ()dl V qC 0022εεεε+==电容器的储能为 ()dl V qV W 00222221εεεε+==接上电压时,移去介质后:d/2 ε 习题图2-29电场强度为 dV E =电位移矢量为 dV E D 00εε==极板概况自由电荷面密度为 dV s 0ερ=电容器的电量 dVl l q s 202ερ==电容量为 dl V q C 2ε==电容器的储能为 dV l qV W 221220ε==(2) 断开电源后,介质消失时,各个参数与接上电源时完整雷同.但是,移去介质后,因为极板上的电量q 不变,电容器中电场强度为()dV l q E 0202εεεε+==,电通密度为极板概况自由电荷面密度为()dV s 002εεεερ+=南北极板之间的电位差为 ()02εεε+==V Ed V电容量为dl V q C 2ε==电容器的储能为()dl V qV W 200222221εεεε+==2-30 已知两个电容器C 1及C 2的电量分离为q 1及q 2,试求两者并联后的总储能.若请求并联前后的总储能不变,则两个电容器的电容及电量应知足什么前提?解 并联前两个电容器总储能为并联后总电容为21C C C +=,总电量为21q q q +=,则总储能为要使后前W W =,即请求方程双方同乘21C C +,整顿后得 方程双方再同乘21C C ,可得 即()022112=-q C q C由此获知两个电容器的电容量及电荷量应当知足的前提为2-31 若平板电容器中介电 常数为平板面积为A ,间距为d ,如 习题2-31所示.试求平板电 容器的电容.解 设极板上的电荷密度分离为s ρ±,则由高斯定理,可得电通密度s D ρ=,是以电场强度为 那么,南北极板的电位差为 ()12120ln d εεεερ-==⎰d x x E V s d则电容量为 ()1212lnεεεερd A VA V q C s -===2-32 若平板空气电容器的电压为V ,极板面积为A ,间距为d ,如习题图2-32所习题图2-31示.若将一块厚度为)(d t t < 的导体板平行地拔出该平板 电容器中,试求外力必须作 的功.解 未拔出导体板之前,电容量dAC 0ε=.拔出导体板后,可看作两个电容串联,个中一个电容器的电容xAC 01ε=,另一个电容器的电容xt d AC --=02ε,那么总电容量为根据能量守恒道理,电源作的功和外力作的功均改变成电场能的增量,即 式中()()20ΔV t d d AtV CV V C qV W -=-'==ε电源则()2021V t d d AtW --=ε外2-33 已知线密度)C/m (106-=l ρ的无穷长线电荷位于(1,0, z )处,另一面密度)C/m (1026-=S ρ的无穷大面电荷散布在x = 0平面.试求位于⎪⎭⎫⎝⎛0,0,21处电量C 109-=q 的点电荷受到的电场力. 解 根据题意,两种电荷的地位如图2-33所示.由习题 2-10知,无穷大面电荷在P点产生的电场强度为无穷长线电荷在P 点产生的电场强度为是以,P 点的总电场强度为所以位于P 点的点电荷受到的电场力为2-34 已知平板电容器的极板尺寸为b a ⨯,间距为d ,两板间拔出介质块的介电常数为ε,如习题图2-34所示.试求:①当接上电压V 时,拔出介质块受的力;②电源断开后,再拔出介质时,介质块的受力.解 ①此时为常电位体系,是以介质块受到的电场力为constex W F ==ϕd d式中x 为沿介质块宽边b 的位移.介质块拔出后,引起电容改变.设拔出深度x ,则电容器的电容为 电容器的电场能量可暗示为那么介质块受到的x 偏向的电场力为② 此时为常电荷体系,是以介质块受到的电场力为式中x 为沿介质块宽边b 的位移.习题图2-34介质块拔出后,极板电量不变,只有电容改变.此时电容器的电场能量可暗示为是以介质块受到的x偏向的电场力为。
第六章习题参考答案6.5: 已知并联导纳的ABCD 矩阵⎥⎦⎤⎢⎣⎡=⎥⎦⎤⎢⎣⎡101Y D C B A 和一段传输线的ABCD 矩阵l ch V l V V V A L I L I γ=====021)(2 l Z s h I l V I V B L V L V γ=====021)(2Z lsh V l I V I C L I LI γ=====021)(2 l ch I l I I I D L V LV γ=====021)(2对于无耗线:l j l ch A ββγγcos )(=== l jZ j l Zsh B ββγγsin )(=== l Zj j Z l sh C ββγγsin 1)(===l j l ch D ββγγcos )(=== 总的ABCD 矩阵为三个二端口网络ABCD 矩阵的乘积⎥⎥⎦⎤⎢⎢⎣⎡--+-=⎥⎦⎤⎢⎣⎡⎥⎥⎦⎤⎢⎢⎣⎡⎥⎦⎤⎢⎣⎡=⎥⎦⎤⎢⎣⎡θθθθθθθθθθθsin cos sin 1cos 2sin sin cos 101cos sin 1sin cos 10122BZ i Z Z B jB jZ BZ jB Zj jZ jB D C B A 则总的归一化ABCD 矩阵为:⎥⎥⎦⎤⎢⎢⎣⎡=⎥⎦⎤⎢⎣⎡D CZ Z BAd c b a 00 由S 矩阵ABCD 矩阵的关系式⎥⎥⎥⎥⎦⎤⎢⎢⎢⎢⎣⎡+-+----++++=D CZ B Z A BC AD D CZ B Z A D CZ B Z A S 00000012)(2111][ 可求出S 矩阵。
对于本题目求出不引起附加反射的条件,只需求θθcos 2sin )1(00220011B Z Z B Z Z Z Z S =⎥⎦⎤⎢⎣⎡--⇒=由上式可得各参数满足的关系式02)1(20202202=--+Z tg BZ Z Z tg Z B θθ6.9由题意知(a)和(c)图均为右端或中断开路的一端口网络,求S 矩阵只需求始端反射系数即可(略)(b)图为并联导纳的S 矩阵(参考6.5)(略) 6.14 推导:原来第i 个参考面位于0=i z ,归一化入射和反射波为:i i b a , 当第i 个参考面移到i i l z =时,归一化入射和反射波为:i i j i i j i i e b b e a a θθ='='-,,其中giii l λπθ2=(p.21,2.1-14)j i j i j j ij j j ji j i ije S e a b a b S θθθθ----==''=' 写成矩阵形式为:]][][[][P S P S ='其中: ⎥⎥⎥⎥⎥⎦⎤⎢⎢⎢⎢⎢⎣⎡=---N j j j e e e P θθθ0000][21已知:参考面21,T T 处的S 矩阵⎥⎦⎤⎢⎣⎡=22211211S S S S S⎥⎥⎥⎦⎤⎢⎢⎢⎣⎡=⎥⎦⎤⎢⎣⎡=--221121220000][g g l j l j j j e e e e P λπλπθθ 则由公式]][][[][P S P S ='可求出][S '。
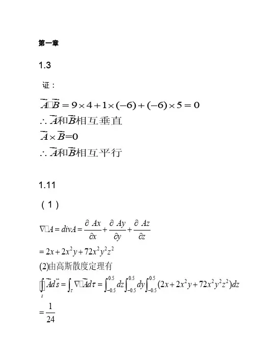
第一章1.3证:941(6)(6)50=0A B A B A B A B =⨯+⨯-+-⨯=∴⨯∴和相互垂直和相互平行1.11 (1)22220.50.50.522220.50.50.52272(2)(2272)124sAx Ay AzA divA x y z x x y x y z Ads Ad dz dy x x y x y z dzττ---∂∂∂∇==++∂∂∂=++=∇=++=⎰⎰⎰⎰⎰ 由高斯散度定理有1.18(1) 因为闭合路径在xoy 平面内, 故有:222()()8(2)(22)()2()8x y z x y x z x sA dl e x e x e y z e dx e dy xdx x dy A dl S XOY A ds e yz e x e dxdy xdxdy A ds →→→→∙=+++=+∴∙=∇∙=+=∇∙=∴⎰⎰ 因为在面内, 所以,定理成立。
1.21(1) 由梯度公式(2,1,3)|410410x y z x y zx y z u u u u e e e x y ze e e e e e ∂∂∂∇=++∂∂∂=++=++1方向:()(2)最小值为0, 与梯度垂直1.26 证明00u A ∇⨯∇=∇∇=书上p10 1.25 第二章 2.13343sin 3sin 4qa V e wr qwr J V e aρρρπθθρπ===∙=2.3''2'3222,40=l lldl d R Er R ez z ea aez z ea aEr rPez z ea aE dz aeaπρραϕραϕπε= ==--==-=+⎰用圆柱坐标系进行求解场点坐标为P(0,0,z).线电荷元可以视为点电荷,其到场点的距离矢量得所以点的电场强度为()2'''3222cos sin020lzex ey ea dzE ez aπϕϕϕραε+∴=∴=+⎰()2.82235222023522322225052(1)4()()44()35=044()=()0351()=()0352r>b 4()8()4152()=401srs sbr b E d s r E r b r r Eq b r r dr EqE d s b r r r E r b r rE r E d s r E r Eq b r r dr bEq bE r r πππεππεεππππε≤==-=--∴-==-==⎰⎰⎰⎰⎰ 时由高斯定理有即()时由高斯定理有250r ε2.11222122212212221,22()2(2)121122(2r r r r r r b l Eb r l b e a e Eb Ea b e a e E Eb Ea r l Eb r l r e Eb a e Ea E επρπερρεερεεπρπερερερε∑∴=∴==∴=-=-∑∴===∴=⎰⎰000000当r1>b 则,E=Eb-EaqEb ds=同理:r1r2r1r2对于r1<b 且在空腔外,E=Eb-EaqEb ds=,而r22211212121)(3)112,2212(12)222r r r r r r r r a e r e r b r e r e Ea r e r e E Eb Ea r e r e ερρεερρρεεε--<∑∴=∴=-=-=-⎰00000r2且在空腔内 E=Eb-Ea qE ds=,Eb=2.14222200(1)0()cos ()sin (2)2cos r a E A a A a AA A r rA aϕϕϕϕφρεεϕ<=-∇∅=-∇∅=-∇∙--+-∂==-∂2r s 时,a r>a 时 E=(r-)cos r=e e 圆柱是由导体制成的表面电荷2.20能求出边界处即z=0处的E2 根据D 的法向量分量连续12(5)103r r Z Z z E E εε⇒+=⇒=2.28(1) 2ln22,ln ln66ln(2)62ln lne e l rbl a l rr sr s E e rbu E dl a u uE e bb r a au J E e b r aJ ds I ug e ds b b uuu r a aρρρπερπεπερπδ=====∴======⎰⎰⎰ 设内外导体单位长度带电量分别为+和-,利用高斯定理可以求得导体介质的电场为:得到2.34(1)=0=000,2=00B B er arB a B J H μμ∇∴∇=≠∇=∇⨯=取圆柱坐标系,若为磁场,根据磁场连续性方程,有所以不是磁场()取直角坐标,所以是磁场。
题 解第 一 章1-1 微波是频率很高,波长很短的一种无线电波。
微波波段的频率范围为8103⨯Hz~12103⨯Hz ,对应的波长范围为1m~0.1mm 。
关于波段的划分可分为粗分和细分两种。
粗分为米波波段、分米波波段、厘米波波段、毫米波波段、亚毫米波段等。
细分为Ka K Ku X C S L UHF 、、、、、、、…等波段,详见表1-1-2。
1-2 简单地说,微波具有下列特点。
(1) 频率极高,振荡周期极短,必须考虑系统中的电子惯性、高频趋肤效应、辐射效应及延时效应;(2) 波长极短,“反射”是微波领域中最重要的物理现象之一,因此,匹配问题是微波系统中的一个突出问题。
同时,微波波长与实验设备的尺寸可以比拟,因而必须考虑传输系统的分布参数效应;(3) 微波可穿透电离层,成为“宇宙窗口”;(4) 量子特性显现出来,可用来研究物质的精细结构。
1-3 在国防工业方面:雷达、电子对抗、导航、通信、导弹控制、热核反应控制等都直接需要应用微波技术。
在工农业方面,广泛应用微波技术进行加热和测量。
在科学研究方面,微波技术的应用也很广泛。
例如,利用微波直线加速器对原子结构的研究,利用微波质谱仪对分子精细结构进行研究,机载微波折射仪和微波辐射计对大气参数进行测量等等。
第 二 章2-1 解 ∵01011Z Z Z Z +-=Γ 2-2 解 图(a )的输入阻抗021Z Z ab =; 图(b )的输入阻抗0Z Z ab =;图(c )的输入阻抗0Z Z ab =;图(d )的输入阻抗052Z Z ab =; 其等效电路自绘。
2-3 解 ∵01011Z Z Z Z +-=Γ 2-4 解 (1) ∵e j Z Z Z Z 40101122π=+-=Γ (2) ∵π2 =l β2-5 解 ∵ljZ Z l jZ Z Z Z tg βtg β10010++= 2-6 证明而I Z E I Z E U g 0-=-= 故2EU =+2-7 证明而 ρ11min =Z ,对应线长为1min l 故 1min 11min 1tg β1tg βρ1l Z j l j Z ++= 整理得 1min 1min 1tg βρρtgβ1l j l j Z --=2-8 解而给定的1Z 是感性复阻抗,故第一个出现的是电压腹点,即λ/4线应接在此处。
《电磁场微波技术与天线》习题及参考答案一、填空题:1、静止电荷所产生的电场,称之为_静电场_;电场强度的方向与正电荷在电场中受力的方向__相同_。
2、电荷之间的相互作用力是通过电场发生的,电流与电流之间的相互作用力是通过磁场发生的。
3、矢量场基本方程的微分形式是:A V和AJ;说明矢量场的散度和旋度可以描述矢量场在空间中的分布和变化规律。
4、矢量场基本方程的积分形式是:SAdSV V dV和l AdlsJdS;说明矢量场的环量和通量可以描述矢量场在空间中的分布和变化规律。
5、矢量分析中的两个重要定理分别是高斯定理和斯托克斯定理,它们的表达式分别是:v和lAdl s rotAdS。
AdV S AdS6、静电系统在真空中的基本方程的积分形式是:∮Ds·d S=q和E·d=0。
7、静电系统在真空中的基本方程的微分形式是:D V和E0。
8、镜象法的理论依据是静电场的唯一性定理。
基本方法是在所求场域的外部放置镜像电荷以等效的取代边界表面的感应电荷或极化电荷。
9、在两种媒质分界面的两侧,电场E的切向分量E1t-E2t=_0__;而磁场B的法向分量B1n-B2n=__0__。
10、法拉弟电磁感应定律的方程式为En=- ddt,当dφ/dt>0时,其感应电流产生的磁场将阻止原磁场增加。
11、在空间通信中,为了克服信号通过电离层后产生的法拉第旋转效应,其发射和接收天线都采用圆极化天线。
12、长度为2h=λ/2的半波振子发射天线,其电流分布为:I (z)=Im sink(h-|z|)。
13、在介电常数为e的均匀各向同性介质中,电位函数为1122xy5z,则电场强22度E=xeye5e。
xyz14、要提高天线效率,应尽可能提高其辐射电阻,降低损耗电阻。
15、GPS接收机采用圆极化天线,以保证接收效果。
二、选择题:1、电荷只能在分子或原子范围内作微小位移的物质称为(D)。
A.导体B.固体C.液体D.2、相同的场源条件下,真空中的电场强度是电介质中的(D)倍。
第一章1.3证:941(6)(6)50=0A B A B A B A B =⨯+⨯-+-⨯=∴⨯∴和相互垂直和相互平行1.11 (1)22220.50.50.522220.50.50.52272(2)(2272)124sAx Ay AzA divA x y z x x y x y zAds Ad dz dy x x y x y z dzττ---∂∂∂∇==++∂∂∂=++=∇=++=⎰⎰⎰⎰⎰由高斯散度定理有(1) 因为闭合路径在xoy 平面内, 故有:222()()8(2)(22)()2()8x y z x y x z x sA dl e x e x e y z e dx e dy xdx x dy A dl S XOY A ds e yz e x e dxdy xdxdy A ds →→→→•=+++=+∴•=∇•=+=∇•=∴⎰⎰因为在面内, 所以,定理成立。
1.21(1) 由梯度公式(2,1,3)|410410x y z x y zx y z u u uu e e e x y ze e e e e e ∂∂∂∇=++∂∂∂=++=++1方向:()(2)最小值为0, 与梯度垂直证明00u A ∇⨯∇=∇∇=书上p10 1.25第二章 2.13343sin 3sin 4qa V e wr qwr J V e aρρρπθθρπ===•=''2222'30222,40=l l l dl d R Er R ez z ea a ez z ea aEr r z z a P ez z ea aE d z a ea πρραϕραϕπε===--==+-=+⎰用圆柱坐标系进行求解场点坐标为P(0,0,z).线电荷元可以视为点电荷,其到场点的距离矢量得所以点的电场强度为()2'''03222cos sin 020l zex ey ea d zE e z a πϕϕϕραε+∴=∴=+⎰()2.82235222023522322225052(1)4()()44()35=044()=()0351()=()0352r>b 4()8()4152()=401srs sbr b E d s r E r b r rEq b r r dr EqE d s b r r r E r b r rE r E d s r E r Eq b r r dr bEq bE r r πππεππεεππππε≤==-=--∴-==-==⎰⎰⎰⎰⎰时由高斯定理有即()时由高斯定理有250r ε2.11222122212212221,22()2(2)121122(2r r r r r r b l Eb r l b e a e Eb Ea b e a e E Eb Ea r l Eb r l r e Eb a e Ea E επρπερρεερεεπρπερερερε∑∴=∴==∴=-=-∑∴===∴=⎰⎰0000000当r1>b 则,E=Eb-EaqEb ds=同理:r1r2r1r2对于r1<b 且在空腔外,E=Eb-EaqEb ds=,而r22211212121)(3)112,2212(12)222r r r r r r r r a e r e r b r e r e Ea r e r e E Eb Ea r e r e ερρεερρρεεε--<∑∴=∴=-=-=-⎰000000r2且在空腔内 E=Eb-Ea qE ds=,Eb=222200(1)0()cos ()sin (2)2cos r a E A a A a AA A r rA aϕϕϕϕφρεεϕ<=-∇∅=-∇∅=-∇•--+-∂==-∂2r s 时,ar>a 时 E=(r-)cos r=e e 圆柱是由导体制成的表面电荷2.20能求出边界处即z=0处的E2 根据D 的法向量分量连续12(5)103r r Z Z z E E εε⇒+=⇒=(1) 2ln22,ln ln66ln(2)62ln lne e lrbl a l rr sr s E e rbu E dl a u uE e bb r a au J E e b r aJdsI u g e ds b b uuu r a aρρρπερπεπερπδ=====∴======⎰⎰⎰设内外导体单位长度带电量分别为+和-,利用高斯定理可以求得导体介质的电场为:得到(1)=0 =000,2=00B B er arB a B J H μμ∇∴∇=≠∇=∇⨯=取圆柱坐标系,若为磁场,根据磁场连续性方程,有所以不是磁场()取直角坐标,所以是磁场。
第二章 静电场重点和难点电场强度及电场线等概念容易接受,重点讲解如何由物理学中积分 形式的静电场方程导出微分形式的静电场方程,即散度方程和旋度方 程,并强调微分形式的场方程描述的是静电场的微分特性或称为点特 性。
利用亥姆霍兹定理,直接导出真空中电场强度与电荷之间的关系。
通过书中列举的4个例子,总结归纳出根据电荷分布计算电场强度的三 种方法。
至于媒质的介电特性,应着重说明均匀和非均匀、线性与非线性、 各向同性与各向异性等概念。
讲解介质中静电场方程时,应强调电通密 度仅与自由电荷有关。
介绍边界条件时,应说明仅可依据积分形式的静 电场方程,由于边界上场量不连续,因而微分形式的场方程不成立。
关于静电场的能量与力,应总结出计算能量的三种方法,指出电场能量 不符合迭加原理。
介绍利用虚位移的概念计算电场力,常电荷系统和常 电位系统,以及广义力和广义坐标等概念。
至于电容和部分电容一节可 以从简。
重要公式真空中静电场方程:积分形式:HEdS 々E dl 00 微分形式: E ——E 0o 已知电荷分布求解电场强度:1, E(r) (r) ; (r) —^dV 4 0 V |r r |3,口 E dS — 高斯定律2, E(r) (r )(r L r I 3dV介质中静电场方程: 积分形式: :S D dS q -E dli 0 微分形式: D 线性均匀各向同性介质中静电场方程:E 0 积分形式: q 土 E dS - S -E dl i0 微分形式: 静电场边界条件:E - E 0 1,E it E 2t 。
对于两种各向同性 的线性介质,D it D*1 22, D 2n D 1n s 。
在两种介质形成的边界上,则D in D 2n对于两种各向同性的线性介质,3,介质与导体的边界条件:若导体周围是各向同性的线性介质,则E n静电场的能量:l E in 2 E 2ne n E 0; e n D S孤立带电体的1 Q 2离散带电体的 :We 分布电荷的能 W e 静电场的能量密度:w e2对于各向同性的线性介质,则 电场力:库仑定律:F 土 e2 err 常电荷系统: dW edl常电位系统: dW edl 2-1 若真空中相距为 点电荷q 位于q 1及q 2 及位置i Q idV S 2w e q 常数常数d 的两个电荷 q 1 及 q 2 sdSE 2 的电量分别为1 d 1 及4q ,当 的连线上时,系统处于平衡状态,试求q 的大小 解 要使系统处于平衡状态,点电荷q 受到点电荷q 1及q 2的力应该大小 相等,方向相反,即F& - a,a Ml q q2q F q 2q 。
3.15 An arc (弧)radius 0.2m lies in the 0z =plane and extends from 02φπ≤≤. It has a charge distribution of 600sin 2nC m φ. Determine the E field at (a) a point ()0,0,1P , and (b) the origin.3.15一个半径为0.2m 的圆弧,位于0z =的平面上,张角为02φπ≤≤,电荷分布为600sin 2nC m φ,求点()0,0,1P 和原点处的E 。
解:(a)微线元0.2dl d d ρφφ==,线元矢径'0.2r ρ=,场点矢量r z =3010.240.2l z dE dl z ρρπερ-=-()()()2302300222323332000.21600sin 20.240.20.2cos 0.2sin 120sin 240.2sin 20.4cossin 0.4sin cos 301.0430cos 2cos sin 0.40.41.04233z E d z z x y d z z x y d z x y πππρφφπερφφφφπερφφφφφφπεφφφπε-=⨯---=---=⎡⎤-=+-⎢⎥⎣⎦⎰⎰⎰2320123300.40.41.0433221.01710V/m15221.01710V/m 15z x y z n z ππερρ⎛⎫=-- ⎪⎝⎭⎛⎫=⨯- ⎪ ⎪⎝⎭⎛⎫=⨯- ⎪ ⎪⎝⎭(b)3010.240.2l dE dl ρρπερ-=-()()()230230222233001340.21600sin 20.240.20.2120sin 240.22cos sin sin cos 300.041500cos sin 335.08710V/m 5.08710V /mE d d x y d x y n ππππρφφπερρφφπερφφφφφπεφφπερρ-=⨯--=--+=⎡⎤=--+⎢⎥⎣⎦=-⨯=-⨯⎰⎰⎰3.16 A finite line extends from 10z m =-to 10z m =and carries a charge distribution of 100znC m . Determine the E field at a point 2 meters away from the line in the 0z =plane.3.16一条从10z m =-向10z m =延伸的直线上,电荷分布为100znC m ,求0z =平面内离直线两米远的点上的E 。
电磁场与微波技术第一二三章课后习题及部分答案第 1 章习题1、求函数()D Cz By Ax u +++=1的等值面方程。
解:根据等值面的定义:标量场中场值相同的空间点组成的曲面称为标量场的等值面,其方程为)( ),,(为常数c c z y x u =。
设常数E ,则,()E D Cz By Ax =+++1,即:()1=+++D Cz By Ax E针对不同的常数E (不为0),对应不同的等值面。
2、已知标量场xy u =,求场中与直线042=-+y x 相切的等值线方程。
解:根据等值线的定义可知:要求解标量场与直线相切的等值线方程,即是求解两个方程存在单解的条件,由直线方程可得:42+-=y x ,代入标量场C xy =,得到: 0422=+-C y y ,满足唯一解的条件:02416=??-=?C ,得到:2=C ,因此,满足条件的等值线方程为:2=xy3、求矢量场z zy y y x xxy A 222++=的矢量线方程。
解:由矢量线的微分方程:zy x A dz A dy A dx ==本题中,2xy A x =,y x A y 2=,2zy A z =,则矢量线为:222zy dzy x dy xy dx ==,由此得到三个联立方程:x dy y dx =,z dz xdx =,zy dzx dy =2,解之,得到: 22y x =,z c x 1=,222x c y =,整理,y x ±=,z c x 1=,x c y 3±=它们代表一簇经过坐标原点的直线。
4、求标量场z y z x u 2322+=在点M (2,0,-1)处沿z z y xy x x t ?3??242+-=方向的方向导数。
解:由标量场方向导数的定义式:直角坐标系下,标量场u 在可微点M 处沿l 方向的方向导数为γβαcos cos cos zuy u x u l u ??+??+??=??α、β、γ分别是l 方向的方向角,即l 方向与z y x、、的夹角。
电磁学(第二版)___习题解答本文档旨在概述《大学物理通用教程_电磁学(第二版)___题解答》的内容和目的。
章节结构本教程共包含以下章节:第一章:电磁学基础概念第二章:库仑定律和电场第三章:电场的高斯定理第四章:静电场的电势第五章:电场中的运动带电粒子第六章:稳恒电流第七章:磁场的基本特性第八章:安培定律和磁场的高斯定理第九章:磁场的矢量势与法拉第电磁感应定律第十章:电磁感应中的动生电动势第十一章:电磁感应中的感生电流第十二章:电磁场的能量与动量第十三章:交变电路理论第十四章:交变电磁场中的能流与坡印廷矢量第十五章:电磁波概论第十六章:辐射和天线每一章节都提供了对应题的解答,帮助读者更好地理解和应用所学的电磁学知识。
该题解答本是《大学物理通用教程_电磁学(第二版)___》的附属部分,旨在补充教材内容,提供题的详细解答,便于读者巩固所学知识。
本文档总结了《大学物理通用教程_电磁学(第二版)___题解答》中的题解答内容特点和方法。
本解答提供了《大学物理通用教程_电磁学(第二版)___题解答》中的题解答方式和思路的例子。
问题:如何计算两个点电荷间的电势差?答案:根据库仑定律可以计算出两个点电荷间的力,将该力乘以电荷间的距离即可得到电势差。
问题:如何确定一个圆环上的电场强度大小与方向?答案:根据环上各点的电荷之间的静电力作用,可以确定该点的电场强度大小和方向。
可以施用库仑定律以及数学公式来计算。
问题:如何计算一个球体内的电势分布?答案:根据球内各点的电荷密度以及球内各处的距离关系,利用电场的定义公式,可以计算出球体内各点的电势。
以上是一些《大学物理通用教程_电磁学(第二版)___题解答》的题目解答示例,希望对你的研究有所帮助。
本文档是《大学物理通用教程_电磁学(第二版)___题解答》的一部分,旨在为读者提供对电磁研究题的解答。
以下是总结本文档的重要性和帮助的几点观点:方便研究:本文档提供了电磁研究题的解答,可以帮助读者更好地理解和掌握这门学科。
电磁场与微波技术(第2版)黄玉兰-习题答案标准化文件发布号:(9312-EUATWW-MWUB-WUNN-INNUL-DQQTY-第一章证:941(6)(6)50=0A B A B A B A B =⨯+⨯-+-⨯=∴⨯∴和相互垂直和相互平行(1)22220.50.50.522220.50.50.52272(2)(2272)124sAx Ay AzA divA x y z x x y x y zAds Ad dz dy x x y x y z dzττ---∂∂∂∇==++∂∂∂=++=∇=++=⎰⎰⎰⎰⎰由高斯散度定理有(1) 因为闭合路径在xoy 平面内, 故有:222()()8(2)(22)()2()8x y z x y x z x sA dl e x e x e y z e dx e dy xdx x dy A dl S XOY A ds e yz e x e dxdy xdxdy A ds →→→→•=+++=+∴•=∇•=+=∇•=∴⎰⎰因为在面内, 所以,定理成立。
(1) 由梯度公式(2,1,3)|410410x y z x y zx y z u u uu e e e x y ze e e e e e ∂∂∂∇=++∂∂∂=++=++1方向:()(2)最小值为0, 与梯度垂直证明00u A ∇⨯∇=∇∇=书上p10第二章3343sin 3sin 4qa V e wr qwr J V e aρρρπθθρπ===•=''2222'30222,40=l l l dl d R Er R ez z ea a ez z ea aEr r z z a P ez z ea aE d z a ea πρραϕραϕπε===--==+-=+⎰用圆柱坐标系进行求解场点坐标为P(0,0,z).线电荷元可以视为点电荷,其到场点的距离矢量得所以点的电场强度为()2'''03222cos sin 020l zex ey ea d zE e z a πϕϕϕραε+∴=∴=+⎰()2235222023522322225052(1)4()()44()35=044()=()0351()=()0352r>b 4()8()4152()=401srs sbr b E d s r E r b r rEq b r r dr EqE d s b r r r E r b r rE r E d s r E r Eq b r r dr bEq bE r r πππεππεεππππε≤==-=--∴-==-==⎰⎰⎰⎰⎰时由高斯定理有即()时由高斯定理有250r ε222122212212221,22()2(2)121122(2r r r r r r b l Eb r l b e a e Eb Ea b e a e E Eb Ea r l Eb r l r e Eb a e Ea E επρπερρεερεεπρπερερερε∑∴=∴==∴=-=-∑∴===∴=⎰⎰0000000当r1>b 则,E=Eb-EaqEb ds=同理:r1r2r1r2对于r1<b 且在空腔外,E=Eb-EaqEb ds=,而r22211212121)(3)112,2212(12)222r r r r r r r r a e r e r b r e r e Ea r e r e E Eb Ea r e r e ερρεερρρεεε--<∑∴=∴=-=-=-⎰000000r2且在空腔内 E=Eb-Ea qE ds=,Eb=222200(1)0()cos ()sin (2)2cos r a E A a A a AA A r rA aϕϕϕϕφρεεϕ<=-∇∅=-∇∅=-∇•--+-∂==-∂2r s 时,ar>a 时 E=(r-)cos r=e e 圆柱是由导体制成的表面电荷能求出边界处即z=0处的E2 根据D 的法向量分量连续12(5)103r r Z Z z E E εε⇒+=⇒=(1) 2ln22,ln ln66ln(2)62ln lne e lrbl a l rr sr s E e rbu E dl a u uE e bb r a au J E e b r aJdsI u g e ds b b uuu r a aρρρπερπεπερπδ=====∴======⎰⎰⎰设内外导体单位长度带电量分别为+和-,利用高斯定理可以求得导体介质的电场为:得到(1)=0 =000,2=00B B er arB a B J H μμ∇∴∇=≠∇=∇⨯=取圆柱坐标系,若为磁场,根据磁场连续性方程,有所以不是磁场()取直角坐标,所以是磁场。
第三章2527811(2)14101201.0610sin(310 3.14)/(3)zjkx jz jkx jz z EyH E e jwu jwu x e Emeye ee t v m x ππππ----∂=-∇⨯=-∂=-⨯=-=-⨯⨯+-均匀平面波,波传播方向是方向8942032032027207202(1)20,310/31022(2)10(),132102102.710 2.7101(4)Re[2j zjj z j zx y jj zj z y x k Vp m sw kVp f HzE e ex jey E jw E e j e ee j eH e ee eeSav E H ππππππππππμππ----------==⨯∴===⨯=+∴∇⨯∇⨯=⨯-⨯∴=⨯-⨯=⨯该波是左旋圆极化波()H=-*112] 2.610/ez w m -=⨯2202x yx y x y x y x y φφπφφπφφφφπφφ=-=--=-=≠-=-(1) Exm=Eym 所以为线极性 传播方向为-Z 方向;(2) Exm=Eym 所以为左旋圆极性 传播方向为+Z 方向;(3) Exm=Eym 所以为右旋圆极性 传播方向为+Z 方向;(4) Exm=Eym 所以为线极性 传播方向为+Z 方向;(5) Exm Eym 所以为左旋椭圆极性 传播方向为+Z 方向;12221211212211122212()()2,()()2()()jkz x y jkzx y m m jkzjkzx y x y jkzjkzx y x y e je E m e e je E m e y y y EEm E Emy y y y y y e je E m eEm e je e y y y e je E m e Em e je e y y x φ-+-+--+--=-=+-==++-∴=-=-+=+=++--1-2-1-2(1)E E 反射波E 折射波 E (2)Exm=Eym 222y x y x y πφπφφπφφ=--=-=-所以入射波为左旋圆极性 Exm=Eym 所以反射波为右旋圆极性 Exm=Eym 所以折射波为左旋圆极性第四章反射系数1012103251+2==1-2z z jz z j τττρτ--+==++∴=驻波比:max max 600,==1.54004900//600 1.545014509004504504509001450450c bc ab vAρλ=⨯==∴==⨯=+===+01>l 01b 02bc 段由z z 所以工作在行驻波状态,驻波系数为点阻抗为纯电阻且小于z ,故为电压波谷点,电流波腹点,段长为/,故为电压波腹点,电流波谷点。
点b 呈现的阻抗为z z 段工作在行波状态()ab 段沿线各点电压u 和电流振幅i u u i i Z max max max max min max max min min max 450(2)900=450,min 0.5900900/min 900/300min 0.75/400bc b v Ac v A ρρ=Ω=⨯=+==Ω======Ωin 段工作在行驻波状态点u i i Z u i 点u u i i Z u i(3)0.4,0.8.1=0.22-=0.3940.14r x OA ρρλλλλλ===∴两圆的交点A,过A 作等反射系数圆,交右半实轴与B 点得驻波系数 4.5,K=延长交电刻度图,读数为0.11,以此为起点,逆时针旋转交于左半实轴。
得电压波各点,距负载长度为0.50.11。
电压最大点与最小点距离为。
电压波腹点距负载距离为(4)000.32, 3.1253.1251.2 1.3(9097.5)1.290.340.1825.513.5l in k Z j Z Z Z j o oB B C Z j Z Z Z j ρρ=∴===+==+=-==-L L in in 以画等反射系数图,与圆图右实半轴交于A 点由A 点沿等反射系数图逆时针转0.32到达B 。
得到B 的归一化阻抗为所以终负载阻抗为以为圆心。
为半径。
至点顺时针旋转点刻度至,读C 点归一化阻抗。
故,第五章P165 例(1)a= b=102 4.57220 2.286230 1.5343012 2.03242010,1032010,101.51030,01,0,2010222.286c TE a cm c TE a cmc TE a cmc TE b cmcm c TE c TE TE cm c TE c TE TE cm TE TE TE a b c TE c TE cm λλλλλλλλλλλλλλλλλλλ=========<<∴=<<∴=<<<<<<∴时,传波时,传波时,传,TE20,波(2) 4.572cmλ<<1. 3. 5 书上P171第六章212221211111arg 1110lg10lg 0.180.980.98110.2 1.5110.2j s L dB s T s es s πθπρ=======++===--1221220.010.641s s =∴+=+≠∴1121互易s s 有耗第七章002=1.0,17.68m n p cmλλ===∴=。