中值定理证明题20141229
- 格式:ppt
- 大小:2.25 MB
- 文档页数:23
中值定理证明例题中值定理(RolleTheorem)是微积分中一个重要的定理,它指出,如果一个函数在定义域的端点上有可导的一阶连续导数,并且在定义域内单调,那么这个函数在定义域内必定存在不小于一个值的可导零点,即在两个不同的端点之间存在某点x,使得函数f(x)在该点处取得零值,而函数f(x)在该点处也取得零值。
它的具体证明如下:给定函数f(x)在定义域[a,b]上连续可导,且单调,假设存在a<c<b,使得f(a)=f(c)=f(b),则f(c)=0。
证明:令g(x) = f(x) f(a)则g(x)在[a,b]上连续可导,且g(a) = g(b) = 0令h(x) = g(x) (x a),则h(x)在[a,b]上连续可导,且h(a) = h(b) = 0设h(x)在定义域[a,b]上关于x的连续偏导数为h′(x)又根据中值定理,存在α∈[a,b]使 h′(α) = 0即h′(α) = 0对h′(x)求解:h′(x) = g(x)+ g′(x) (x a)设h′(α) = 0得 g(α) + g′(α) (α a)= 0即g(α)= 0由此可得f(α) = f(a)又由于f(α) = f(a),而f(α) = f(c)因而可得 f(c) = f(a)再由于f(c) = f(a),已知f(b) = f(c)所以有f(a) = f(c) = f(b)综上所述,可以得出结论:若函数f(x)在定义域[a,b]上连续可导,且单调,则存在a<c<b,使得f(a)=f(c)=f(b),并且f′(c)=0。
中值定理的证明归纳出一般情况:如果函数f(x)在闭区间[a,b]上连续且有一阶可导,并且单调,则存在x0∈(a,b),使得f(x0)=0,并且f(x0)=0.根据中值定理,可以给出下面的例题:例题:设函数f(x)在[0,2]上连续且有一阶可导,且f(0) =2,f(2) = 4,试求f(x)在定义域内一阶偏导数等于0的解。
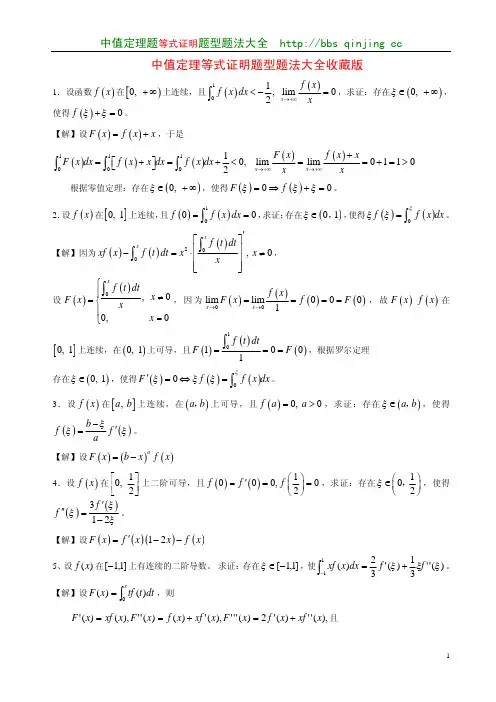
中值定理证明题集锦1、已知函数()f x 具有二阶导数,且0()lim0x f x x→=,(1)0f =,试证:在区间(0,1)内至少存在一点ξ,使得()0.f ''ξ= 证:由0()lim0x f x x→= ,可得0lim ()0x f x →=,由连续性得(0)0f =,由此又得00()(0)()(0)lim lim 00x x f x f f x f x x→→-'===-,由(0)(1)0f f ==及题设条件知()f x 在[0,1]上满足罗尔中值定理条件,因此至少存在一点 (0,1)c ∈,使得()0f c '=,又因为(0)()0f f c ''==, 并由题设条件知()f x '在[0,]c 上满足拉格朗日中值定理的条件,由拉格朗日中值定理知,在区间(0,1)内至少存在一点ξ,使得()0.f ''ξ=2、设()f x 在[0,]a 上连续,在(0,)a 内可导,且()0f a =,证明:存在一点(0,)a ξ∈,使得()()0.f f ξξξ'+=证:分析:要证结论即为:[()]0.x xf x ξ='=令()()F x xf x =,则()F x 在[0,]a 上连续,在(0,)a 内可导,且(0)()0F F a ==,因此()()F x xf x =在[0,]a 上满足罗尔中值定理的条件,故存在一点(0,)a ξ∈,使得()0F ξ'=,即()()0.f f ξξξ'+= 注1:此题可改为:设()f x 在[0,]a 上连续,在(0,)a 内可导,且()0f a =,证明:存在一点(0,)a ξ∈,使得()()0.nf f ξξξ'+=分析:要证结论()()0nf f ξξξ'+=等价于1()()0n n n f f ξξξξ-'+=(给()()0nf f ξξξ'+=两端同乘以1n ξ-),而1()()0n n n f f ξξξξ-'+=即为[()]0.nx x f x ξ='= 故令()()nF x x f x =,则()F x 在[0,]a 上满足罗尔中值定理的条件,由此可证结论. 注2:此题与下面例题情况亦类似:设()f x 在[0,1]上连续,在(0,1)内可导,且(0)0f =,(0,1)x ∀∈,有()0f x ≠,证:n N +∀∈,(0,1)ξ∃∈,使得()(1)()(1)nf f f f ξξξξ''-=-成立.分析:要证结论可变形为()(1)()(1)0nf f f f ξξξξ''---=,它等价于1()()(1)()(1)0n n nf f f f f ξξξξξ-''---=(给()(1)()(1)0nf f f f ξξξξ''---=两端同乘以1()n f ξ-),而1()()(1)()(1)0n n nf f f f f ξξξξξ-''---=即为[()(1)]0n x f x f x ξ='-=,用罗尔中值定理.以上三题是同类型题.3、已知函数()f x 在[0,1]上连续,在(0,1)内可导,且(0)(1)0f f ==,1()12f =,证明: (1)存在一点1(,1)2ξ∈,使().f ξξ= (2)存在一点(0,)ηξ∈,使() 1.f η'=(3)存在一点0(0,)x ξ∈,使000()1(()).f x f x x λ'-=- 证:(1)分析:要证结论即为:()0.f ξξ-=令()()F x f x x =-,则只需证明()F x 在1(,1)2内有零点即可。
中值定理公式证明中值定理可是数学中的重要内容呢,要说这中值定理的公式证明,那可得好好说道说道。
咱先来说说中值定理都有啥。
罗尔中值定理、拉格朗日中值定理、柯西中值定理,这几个定理在数学分析里那是相当重要。
就拿拉格朗日中值定理来说吧,它说的是如果函数 f(x) 满足在闭区间 [a,b] 上连续,在开区间 (a,b) 内可导,那么在 (a,b) 内至少存在一点ξ,使得 f(b) - f(a) = f'(ξ)(b - a) 。
这定理看着挺简单,证明起来可不容易。
记得有一次给学生们讲这个定理的证明,那真是状况百出。
有个学生瞪着大眼睛,一脸迷茫地问我:“老师,这到底是啥意思啊?”我就耐心地给他解释,从函数的连续性开始,一点点地引导他。
我在黑板上画着图,一边写着式子,一边说:“你看啊,这就好比咱们从 A 地到B 地,路程是 f(b) - f(a) ,速度就是导数 f'(x) ,那中间肯定有个时刻速度等于平均速度,这就是中值定理的精髓。
” 那学生还是似懂非懂,我又换了个例子,“就像你跑步,跑一段距离,总有时候速度跟平均速度一样,能理解不?”他这才有点开窍。
咱们来具体看看拉格朗日中值定理的证明。
一般是通过构造辅助函数来完成的。
设 F(x) = f(x) - [ f(a) + (f(b) - f(a)) / (b - a) * (x - a) ] ,然后去分析这个辅助函数的性质。
通过它在闭区间 [a,b] 两端的取值相等,再结合函数的连续性和可导性,就能找到那个中值点ξ 。
柯西中值定理呢,它是说如果函数 f(x) 和 F(x) 满足在闭区间 [a,b] 上连续,在开区间 (a,b) 内可导,且 F'(x) 不等于 0 ,那么在 (a,b) 内至少存在一点ξ ,使得 [ f(b) - f(a) ] / [ F(b) - F(a) ] = f'(ξ) / F'(ξ) 。
这个定理的证明思路跟拉格朗日中值定理类似,也是通过巧妙地构造辅助函数来实现的。
中值定理首先我们来看看几大定理:1、 介值定理:设函数f(x)在闭区间[a,b]上连续,且在该区间的端点取不同的函数值f(a)=A 及f(b)=B ,那么对于A 与B 之间的任意一个数C ,在开区间(a,b)内至少有一点ξ使得f(ξ)=C(a<ξ<b).Ps:c 是介于A 、B 之间的,结论中的ξ取开区间。
介值定理的推论:设函数f(x)在闭区间[a,b]上连续,则f(x)在[a,b]上有最大值M ,最小值m,若m ≤C ≤M,则必存在ξ∈[a,b], 使得f(ξ)=C 。
(闭区间上的连续函数必取得介于最大值M 与最小值m 之间的任何值。
此条推论运用较多)Ps :当题目中提到某个函数f(x),或者是它的几阶导函数在某个闭区间上连续,那么该函数或者其几阶导函数必可以在该闭区间上取最大值和最小值,那么就对于在最大值和最小值之间的任何一个值,必存在一个变量使得该值等于变量处函数值。
2、 零点定理:设函数f(x)在闭区间[a,b]上连续,且f(a)与f(b)异号,即f(a).f(b)<0,那么在开区间内至少存在一点ξ使得f(ξ)=0.Ps:注意条件是闭区间连续,端点函数值异号,结论是开区间存在点使函数值为0.3、 罗尔定理:如果函数f(x)满足:(1)、在闭区间[a,b]上连续; (2)、在开区间(a,b)内可导; (3)、在区间端点处函数值相等,即f(a)=f(b). 那么在(a,b)内至少有一点ξ(<a ξ<b),使得f`(x)=0;4、 拉格朗日中值定理:如果函数f(x)满足:(1)、在闭区间[a,b]上连续; (2)、在开区间(a,b)内可导;那么在(a,b)内至少有一点ξ(<a ξ<b),使得 f(b)-f(a)=f`(ξ).(b-a).5、 柯西中值定理:如果函数f(x)及g(x)满足(1)、在闭区间[a,b]上连续; (2)、在开区间(a,b)内可导; (3)、对任一x(a<x<b),g`(x)≠0, 那么在(a,b)内至少存在一点ξ,使得)`()`()()()()(ξξg f a g b g a f b f =--Ps :对于罗尔定理、拉格朗日中值定理、柯西中值定理结论都是开开区间内取值。
中值定理证明题集锦1、已知函数()f x 具有二阶导数,且0()lim0x f x x→=,(1)0f =,试证:在区间(0,1)内至少存在一点ξ,使得()0.f ''ξ= 证:由0()lim0x f x x→= ,可得0lim ()0x f x →=,由连续性得(0)0f =,由此又得00()(0)()(0)lim lim 00x x f x f f x f x x→→-'===-,由(0)(1)0f f ==及题设条件知()f x 在[0,1]上满足罗尔中值定理条件,因此至少存在一点 (0,1)c ∈,使得()0f c '=,又因为(0)()0f f c ''==, 并由题设条件知()f x '在[0,]c 上满足拉格朗日中值定理的条件,由拉格朗日中值定理知,在区间(0,1)内至少存在一点ξ,使得()0.f ''ξ=2、设()f x 在[0,]a 上连续,在(0,)a 内可导,且()0f a =,证明:存在一点(0,)a ξ∈,使得()()0.f f ξξξ'+=证:分析:要证结论即为:[()]0.x xf x ξ='=令()()F x xf x =,则()F x 在[0,]a 上连续,在(0,)a 内可导,且(0)()0F F a ==,因此()()F x xf x =在[0,]a 上满足罗尔中值定理的条件,故存在一点(0,)a ξ∈,使得()0F ξ'=,即()()0.f f ξξξ'+= 注1:此题可改为:设()f x 在[0,]a 上连续,在(0,)a 内可导,且()0f a =,证明:存在一点(0,)a ξ∈,使得()()0.nf f ξξξ'+=分析:要证结论()()0nf f ξξξ'+=等价于1()()0n n n f f ξξξξ-'+=(给()()0nf f ξξξ'+=两端同乘以1n ξ-),而1()()0n n n f f ξξξξ-'+=即为[()]0.nx x f x ξ='= 故令()()nF x x f x =,则()F x 在[0,]a 上满足罗尔中值定理的条件,由此可证结论. 注2:此题与下面例题情况亦类似:设()f x 在[0,1]上连续,在(0,1)内可导,且(0)0f =,(0,1)x ∀∈,有()0f x ≠,证:n N +∀∈,(0,1)ξ∃∈,使得()(1)()(1)nf f f f ξξξξ''-=-成立.分析:要证结论可变形为()(1)()(1)0nf f f f ξξξξ''---=,它等价于1()()(1)()(1)0n n nf f f f f ξξξξξ-''---=(给()(1)()(1)0nf f f f ξξξξ''---=两端同乘以1()n f ξ-),而1()()(1)()(1)0n n nf f f f f ξξξξξ-''---=即为[()(1)]0n x f x f x ξ='-=,用罗尔中值定理.以上三题是同类型题.3、已知函数()f x 在[0,1]上连续,在(0,1)内可导,且(0)(1)0f f ==,1()12f =,证明: (1)存在一点1(,1)2ξ∈,使().f ξξ= (2)存在一点(0,)ηξ∈,使() 1.f η'=(3)存在一点0(0,)x ξ∈,使000()1(()).f x f x x λ'-=- 证:(1)分析:要证结论即为:()0.f ξξ-=令()()F x f x x =-,则只需证明()F x 在1(,1)2内有零点即可。
拉格朗日中值定理证明题拉格朗日中值定理,又称拉氏定理,是微分学中的基本定理之一,它反映了可导函数在闭区间上的整体的平均变化率与区间内某点的局部变化率的关系。
该定理于1797年由法国数学家拉格朗日在其著作《解析函数论》的第六章提出,因此得名。
定理的现代形式如下:如果函数f(x)在闭区间上[a,b]连续,在开区间(a,b)上可导,那么在开区间(a,b)内至少存在一点ξ使得f'(ξ)=(f(b)-f(a))/(b-a)。
该定理的应用十分广泛,可以用于证明函数的增减性、求函数的极值、证明不等式等方面。
在证明题中,拉格朗日中值定理常常作为解决问题的关键步骤出现。
通过应用该定理,可以将一些看似复杂的问题转化为较为简单的形式,从而更容易地得出结论。
需要注意的是,在使用拉格朗日中值定理时,必须满足定理的前提条件,即函数在闭区间上连续且在开区间上可导。
此外,还需要注意定理中的“至少存在一点”这一表述,意味着可能存在多个满足条件的点。
因此,在具体应用时需要根据问题的具体情况进行分析和判断。
除了基本的拉格朗日中值定理,还有一些相关的定理和推论,它们可以进一步扩展和应用拉格朗日中值定理的思想。
其中一个重要的推论是柯西中值定理,它是拉格朗日中值定理的推广。
柯西中值定理表明,如果两个函数在闭区间上连续,在开区间上可导,并且它们的导数之比在某个开子区间上不等于零,则在这个开子区间内至少存在一点,使得这两个函数在该点的导数之比等于它们在区间端点的函数值之比。
这个推论可以用于解决一些涉及两个函数之间关系的问题。
另一个与拉格朗日中值定理相关的重要定理是泰勒中值定理。
泰勒中值定理是拉格朗日中值定理的高阶形式,它可以用来近似表示一个函数在某个点附近的行为。
该定理表明,如果一个函数在闭区间上有n+1阶导数,则在该区间内至少存在一点,使得函数在该点的n 阶导数等于函数在区间端点的n阶差商。
这个定理可以用于推导泰勒级数,从而用多项式近似表示一个函数。
第二讲 利用中值定理的证明以及不等式证明问题1.利用罗尔定理证明根的存在问题例1.设函数()f x 在[]0,1上连续,在(0,1)内可导,且(0)(1)0f f ==,1()12f =,证明:至少存在一个(0,1)ξ∈,使()1f ξ'=.证明:(分析)用罗尔定理证明根的问题,关键是构造原函数,因此做题目往往从需要证明的结论中入手,通过移项使右边等于零来寻找原函数。
令()()F x f x x =-,显然()f x 在[]0,1上连续,在(0,1)内可导,且Ff=-=-<,1111()()02222F f =-=>,由零点定理可知,存在一个1(,1)2η∈,使()0F η=,又(0)(0)00F f =-=;对()F x 在[]0,η上用罗尔定理,存在一个(0,)(0,1)ξη∈⊂,使得()0F ξ'=,即()1f ξ'=.例2.设函数()f x 在闭区间[]0,1上可导,且满足关系式120(1)2()0f xf x dx -=⎰,证明:在开区间 (0,1)内至少存在一个ξ,使得()()f f ξξξ'=-.分析:令x ξ=,原等式化为:()()f x f x x'=-,即()()f x f x '=1x-,两边积分得 l n ()l n l n f x x c =-+,即()c f x x=,亦即()0xf x =,取0c =,于是令()()F x xf x =.证明:设函数()()F x xf x =,显然()F x 在[]0,1上连续,在(0,1)内可导,由条件120(1)2()F xf x dx =⎰应用积分中植定理,有112200(1)(1)2()2()f F xf x dx f dx ηη====⎰⎰()f ηη.于是,(1)(1)()F f f ηη==,()F η()f ηη=,可知,()F x 满足罗尔定理条件,故存在ξη∈⊂(,1)(0,1)使得()0F ξ'=,即 ()()0f f ξξξ'+=.注意:实际上找辅助函数可从结论中入手推出:()()0f f ξξξ'+=,显然有(())|()(x x f x f f ξξξξ=''=+.例3.设函数()f x ,()g x 在[,]a b 上连续,在(,)a b 内可导,且()()0f a f b ==,证明存在一个(,)a b ξ∈,使()()()0f f g ξξξ''+=.分析: 令ξ=,则结论=()()()0f x f x g x ''+=,则()()()f xg x f x ''=-,两边积分,得l n ()()l n f x g x c =-+,即 ()()g x f x ce-=, 亦即()()0g x f x e =(取0c =),于是令()()()g x F x f x e =.例4.设()f x ,()g x 在[],a b 上二阶可导,且()0g x ''≠,()()f a f b ==()()0g a g b ==,试证:(1)在开区间(,)a b 内,()0g x ≠;(2)在开区间(,)a b 内至少存在一个ξ,使()()()()f fg g ξξξξ''=''.分析(2)令x ξ=,则欲证结论()()()()f x f xg x g x ''='',则有()()()()f x g x g x f x ''''= ,两边从()0,x 积分得0()()()()xxf xg x dx g x f x dx ''''=⎰⎰(分部积分)⇒0()()()()()()()()xxf xg x f x g x dx g x f x f x g x dx ''''''-=-⎰⎰⇒()()()()f x g x g x f x ''-=,于是令()()()()()F x f x g x g x f x ''=-.例5.设函数()f x 在[],a b 上连续,在(,)a b 内可导,证明在(,)a b 内至少存在一个ξ,使()()()()b f b a f a f f b aξξξ-'=+-.分析:从结论可看出()(())()()F x xf x f x xf x '''==+,所以令()()F x xf x =. 如例5.令()()bf b af a k b a-=-()()bf b kb af a ka ⇒-=-(对称性)对称式:a 与b 互换等式不变;轮换对称式: (,,)(,,)a b c b c a →等式不变. 令()()F x xf x kx =-()()()bf b af a xf x x b a-=--,()a x =例6. 设()f x 在[,]a b 上连续,在(,)a b 内可导,(0)a b <<,试证,存在一个(,)a b ξ∈使 ()()l n ()bf b f a f aξξ'-=. 分析: 结论()()()ln ln f b f a f b aξξ-'=-, 令()()ln ln f b f a k b a-=-()ln ()ln f b k b f a k a ⇒-=-(对称式), 所以 ()()()()l n ()l n l n l n f b f a F x f x k xf x x b a-=-=--,或者: 由结论:()()()1l n l n f b f a f b aξξ'-=-,令F x f x =,1()g x x=, 应用柯西中值定理.例7.设函数()f x 在 12[,]x x 上可导,且120x x <<, 试证:在12(,)x x 内至少存在一个ξ,使得1212121()()()()x x f f f x f x x x ξξξ'=--.例8.若(),()f x g x 在[,]a b 上可导,且()0g x ≠,则(,),a b ξ∃∈一个使()()()()()()f a f fg g b g ξξξξ'-='-.分析:令x ξ=,()()()()()()f a f x f xg x g b g x '-⇒='-[()()]()[()()]()f a f x g x g x g b f x ''⇒-=- ()()()()()()()()f a g x g b f x f x g x f x g x ''''⇒+=+ [()()()()][()()]f a g x g b f x f x g x ''⇒+= ()()()()()()f a g x g b f x f x g x ⇒+=,令0c =令()()()()()()()F x f x g x f a g x g b f x =--. 令x ξ=,()()()()()()f a f x f xg x g b g x '-⇒='-,()()()()()()g x f x g x g b f a f x ''⇒=--[()()][()()]()()()()g x g b f x f a g x g b f x f a '''--⇒=---ln[()()]ln[()()]ln g x g b f x f a c ⇒-=--+()()()()c g x g b f x f a ⇒-=-[()()][()()]0g x g b f x f a ⇒--=,令0c =令()[()()][()()]F x g x g b f x f a =--.2.证明至少存在一点ξ,(,)a b η∈且ξη≠满足某种关系式的问题思路: 使用两次拉格朗日中值定理或者柯西中值定理,或者使用一次拉格朗日中值定理,一次柯西中值定理,然后再将他们做某种运算.例8.设函数()f x 在[,]a b 上连续,在(,)a b 内可导,(0)a b <<,试证,存在一个,(,)a b ηξ∈ ,使得: ()()2a b f f ξηη+''=证明:分析:用一次拉格朗日中值定理得,存在(,)a b ξ∈()()()f b f a f b aξ-'=-故只需证明()()()2f b f a a b f b aηη-+'=-即()222()()()f b f a f b aηη'-=-',柯西中值定理设2()g x x =,则()20g x x '=≠(0)a b <<,显然函数2(),()f x g x x =在[,]a b 上满足柯西中值定理条件,于是存在(,)a b η∈, 使得 22()()()()2f f b f a b a ηη'-=-,即()()()2f b f a a b f b aηη-+'=-,又因为()f x 在[,]a b 上满足拉格朗日中值定理条件,所以存在(,)a b ξ∈,使得()()()f b f a f b aξ-'=-,于是,由上述两式可得:()()2a b f f ξηη+''=,其中,(,)a b ηξ∈.例9.(10,10分) 设函数()f x 在闭区间[]0,1上连续,在开区间()0,1内可导,且(0)0f =,1(1)3f =,证明:存在110,,,122ξη⎛⎫⎛⎫∈∈ ⎪ ⎪⎝⎭⎝⎭,使得22()()f f ξηξη''+=+. 【 分析 】 这是一个双介值的证明题,构造辅助函数,用两次拉格朗日中值定理. 【 证明 】 令31()()3F x f x x =-,由题知(0)(1)0F F ==,()F x 在10,2⎡⎤⎢⎥⎣⎦上用拉格朗日中值定理,10,2ξ⎛⎫∃∈ ⎪⎝⎭,11(0)()22F F F ξ⎛⎫'-= ⎪⎝⎭()F x 在1,12⎡⎤⎢⎥⎣⎦上利用拉格朗日中值定理,1,12η⎛⎫∃∈⎪⎝⎭,11(1)()22F F F η⎛⎫'-= ⎪⎝⎭两式相加得 22()()f f ξηξη''+=+.【 评注 】 一般来说,对双介值问题,若两个介值有关联同时用两次中值定理,若两个戒指无关联时用一次中值定理后,再用一次中值定理.例10.设()f x 在[0,1]上连续,在(0,1)内可导,且(0)0f =,(1)1f =,试证明:对于任意给定正数,a b ,在(0,1)内存在不同的,ηξ 使得()()a b a b f f ξη+=+''证明: 因为0,0a b >>,所以 01a a b<<+,又()f x 在[0,1]上连续,由介值定理,存在(0,1)τ∈,使得()a f a bτ=+.再对函数()f x 在[0,][,1]ττ上分别用拉格朗日中值定理,有()(0)(0)(),(0,)f f f ττξξτ'-=-∈ (1)()(1)(),(,1)f f f ττηητ'-=-∈,而 (0)0(1)f f ==,于是由上两式得:()()f f ττξ'= 1()(1)()f f ττη'-=-则 ()()()a f a b f f ττξξ+=='', 1()1()()bf a b f f ττηη-+-=='' 上面两式相加,得: 1()()()()abf a b f a b ξη=+''++, 即()()a ba b f f ξη+=+''.( 练习:1. 设函数()f x 在[]0,1上连续,(0,1)内可导,且1233()d (0)f x x f =⎰,证明:在(0,1)内存在一点c ,使()0f c '=2. 设函数()f x 在区间[]0,3上连续,在(0,3)内可导,且(0)(1)(2)3f f f ++=,(3)1f =.试证:必存在(0,3)ξ∈,使()0f ξ'=. )3.设()f x ''在[,]a b 上存在,a c b <<,试证:(,)a b ξ∃∈,使得 ()()()1()()()()()()()2f a f b f c f a b a c b a b c c a c b ξ''++=------.(提示:轮换对称性)4.若120x x >,证明:存在一个122(,)(,)x x x x ξ∈或,使211212(1)()x x x ex ee x x ξξ-=--. (提示:对称性) )3.证明不等式例11.设0b a >>,证明:2()lnb b a a a b->+.证明:用单调性质来证明,先移项或转化使一边为零,然后再构造适当的函数求一阶导数,若不能判定正负,则继续求导数.若()0,(,)f x x a b '>∈,则()[,]f x a b 在内单调递增.要证2()lnb b a a a b->+,只需证明(ln ln )()2()0b a a b b a -+-->令()(ln ln )()2()f x x a a x x a =-+--,x a ≥1()()(ln ln )2f x a x x a x'⇒=++--,很难判断其正负, 221()0a x a f x xxx-''⇒=-+=>,(,)x a ∈+∞()f x '⇒在[,)a +∞上单调递增,而()0f a '= (,),()()0x a f x f a ''⇒∀∈+∞>=()f x ⇒在[,)a +∞上单调递增,而()0f a = ()()(ln ln )()2()0f b f a b a a b b a ⇒-=-+-->.( 练习:1.(98,8分) 设(0,1)x ∈,证明:(1)22(1)ln (1)x x x ++<; (2)11111ln 2ln(1)2x x-<-<+.【 分析 】 利用函数的单调性证明不等式..【 详解 】 (1)令22()(1)ln (1)x x x x ϕ=++-,则有(0)0ϕ=,且 2()l n (1)2l n (1)2x x x x ϕ'=+++-,(0)0ϕ'=.[]2()l n (1)1x x x xϕ''=+-+,22l n (1)()0(1)x x x ϕ+'''=-<+, (0,1)()(0)0()(0)x x x ϕϕϕϕ''''''∈⇒<=⇒<,(0,1)x ∈.所以()0x ϕ'<,从而()0x ϕ<,即22(1)ln (1)x x x ++<‘ (2)令11()ln(1)f x x x=-+,(0,1]x ∈,则有2222(1)ln (1)()(1)ln (1)x x x f x x x x ++-'=++.由(1)知,()0f x '<(当(0,1)x ∈),于是推知在(0,1)内,()f x 单调减少.又()f x 在区间(0,1]上连续,且1(1)1ln 2f =-,故当(0,1)x ∈时,111()1l n (1)l n 2f x x x=->-+, 不等式左边证毕. 又2ln(1)ln(1)1lim ()lim lim lim ln(1)2(1)2x x x x x x x x x f x x x x x x ++++→→→→-+-+====++,故当(0,1)x ∈时, 111()ln(1)2f x x x=-<+, 不等式右边证毕.【 评注 】 利用单调性证明不等式是最常见的方法之一,一般结论为()()0n fx >,(1)(,)()n x a b fx -∈⇒在(,)a b 内单调增加. )例12.设a e >,02x y π<<<,求证:(cos cos )ln y x xa a x y a a ->-.证明:利用微分中值定理证明ln cos cos sin y xa aa a y xξξ-=--,(,)x y ξ∈只需要证明ln ln sin xa a a a ξξ<--,显然成立:ln ln ln sin xa a a a a a ξξξ>>.( 练习:1. (02,8分) 设0a b <<,证明不等式222ln ln 1a b a a bb a-<<+-【 分析 】 将原不等式变形,作辅助函数,再用函数不等式的证明方法证明变形的不等式. 【 详解 】 先征右边不等式,即ln ln b ab a-<-设()ln ln (0)x x a x aϕ=-->>,因为21()0x x ϕ'=-+=-<, 故当x a >时,()x ϕ单调减少,又()0a ϕ=,所以,当x a >时,()()0x a ϕϕ<=,即l n l n x a x a--<,从而当0b a >>时,有 l n l n b a-<,即ln ln b a b a-<-再证左边不等式,即222ln ln a b a a bb a-<+-.方法一 设函数()l n (0)f x x x a =>>,由拉格朗日中值定理知至少存在一点(,)a b ξ∈,使l n l n 1(l n )x b a x b aξξ=-'==-,由于0a b ξ<<<,故22112a ba bξ>>+,从而22ln ln 2b a a b aa b->-+.方法二 设22()()(ln ln )2()f x x a x a a x a =+--- (0)x a >>, 因为 221()2(ln ln )()2f x x x a x a a x'=-++-,2()2(ln ln )0x a x x a x-=-+>故当x a >时,()f x 单调增加,又()0f a =,所以当x a >时, ()()0f x f a >=,即22()(ln ln )2()0x a x a a x a +--->.从而当0b a >>时,有22()(ln ln )2()0b a b a a b a +--->,即222ln ln a b a a bb a-<+-.2. (04,12分) 设2e a b e <<<,证明2224ln ln ()b a b a e->-.【 分析 】 根据要证不等式的形式,可考虑用拉格朗日中值定理或转化为函数不等式用单调性证明.【 详解1 】 对函数2ln x 在[],a b 上应用拉格朗日中值定理,得 222ln ln ln ()b a b a ξξ-=-, a b ξ<<.设ln ()t t tϕ=,则21ln ()t t tϕ-'=,当t e >时,()0t ϕ'<,所以()t ϕ单调减少,从而2()()e ϕξϕ>,即222ln ln 2e eeξξ>=,故2224ln ln ()b a b a e->-.【 详解2 】 设224()ln x x x eϕ=-,则 2l n 4()2x x xeϕ'=-, 21l n ()2x x xϕ-''=,所以 当x e >时,()0x ϕ''<,故()x ϕ'单调减少,从而当2e x e <<时,22244()()0x e eeϕϕ''>=-=,即 当2e x e <<时,()x ϕ单调增加. 因此当2e x e <<时,()()b a ϕϕ>,即 222244ln ln b b a a ee->-,故2224ln ln ()b a b a e->-.【 评注 】 本题也可设辅助函数为2224()ln ln ()x x a x a eϕ=---,2e a x e <<<或2224()ln ln ()x b x b x eϕ=---,2e x b e <<<,再用单调性进行证明. )例13.当10≤≤x 时, 1)1(21≤+-≤-p p p x x (p 为大于1的正整数).分析:求最值法,令()(1)p p F x x x =-+,求解()(1)p p F x x x =-+在10≤≤x 上最值。
证明中值定理
中值定理是微积分基本定理之一,用于说明在某一段区间上连续函数的导数存在一个特定值。
中值定理可以分为罗尔中值定理、拉格朗日中值定理和柯西中值定理三种形式。
1. 罗尔中值定理:
假设函数f(x)在闭区间[a, b]上连续,在开区间(a, b)上可导,并且f(a) = f(b),那么在开区间(a, b)上至少存在一个点c,使得f'(c) = 0。
2. 拉格朗日中值定理:
假设函数f(x)在闭区间[a, b]上连续,在开区间(a, b)上可导,那么在开区间(a, b)上至少存在一个点c,使得[f(b) - f(a)] / (b - a) = f'(c)。
3. 柯西中值定理:
假设函数f(x)和g(x)在闭区间[a, b]上连续,在开区间(a, b)上可导,并且g'(x) ≠ 0。
那么在开区间(a, b)上至少存在一个点c,使得[f(b) - f(a)] / [g(b) - g(a)] = f'(c) / g'(c)。
证明中值定理的关键是利用连续函数和导数的性质,将函数的均值和导数联系起来。
具体证明过程根据中值定理的不同类型而有所区别,但关键思路是通过构造辅助函数、使用辅助函数的导数性质或应用罗尔定理来推导出中值点的存在性。
总的来说,中值定理对于数学分析、微积分和实分析等领域的
发展起到了非常重要的作用,也是解决许多数学问题的重要工具。
5、验证罗尔定理对在上的正确性f x x x ()[,]=+-33101 6、验证罗尔定理对在上的正确性f x x x x ()[,].=+---32581212 7、验证罗尔定理对函数在区间上的正确性f x x x x ()[,].=-+-32611623 8、.)2,0(0)12cos(3cos cos :012)1(3,,,2112121内至少有一个实根在证明满足设实数π=-++=--++--x n a x a x a n a a a a a a n n n n9、.)1,0(234:23内至少一个根在求证c b a cx bx ax ++=++ 10、求证方程的根不超过三个不计根的重数:().e a x b x c x =++211、.0)(,1)(0111≡+++++=--x f n a x a x a x a x f n n n n 试证明个不同的零点有设12、.)()()(:,)(的零点的两个零点间一定有求证可导设x f x f x f x f '+ 13、.0)(),,(:).(,)(lim )(lim ,),()(=ξ'∈ξ==-+→→f b a A A x f x f b a x f bx ax 使至少存在一点试证为有限值且内可导在有限区间设函数14、[].0)()2,1(,0)2()1(,)2,1(,2,1)(),()1()(=ξ''∈ξ==-=F f f x f x f x x F 使试证明存在且内二阶可导在具有一阶连续导数在其中设15、[].)(,)1,0(:,1)1(,1)0(,)1,0(,1,0)(ξ--=ξ'ξ==e f e f f x f 使内至少存在一点在求证且可导在上连续设在16、[]),()()()(,,)(321030x f x f x f x f x x x f ===且上具有三阶导数在设,3210x x x x <<<其中 ().0)(,,30=ξ''ξf x x 使内存在试证明在 17、(),0)()(0)(,),(,],[,,)(==≠∈b f a f x f b a x b a b a x f 若时且当可导在上连续在设.)()()(k f f b a k =ξξ'<ξ<ξ使存在点证明对任意实数 18、,0)()()(,),(,],[)(='==a f b f a f b a b a x f 且内二阶可导在上有连续导数在设函数.0)(,),(=''c f c b a 使内至少存在点证明在19、)( )0,(),0,(13)(2b a b a xc x x x y y <++==轴有两个交点与设抛物线cx x y x f y b f a f b a x f y ++=====13)(,0)()(,],[)(2与且曲线上二阶可导在.2)(),(,,),(=ξ''ξf b a b a 使内存在一点在求证内有一个交点在 20、.)(,1)(,),()(最多有一个实试证明方程且上可微在设x x f x f x f =≠'+∞-∞ 21、.0)()(3,)1,0(,0)1()1(0)0(,]1,0[)(='''+''='==c f c c f c f f f x f 使内存在一点证明在且上三阶可导在设22、.使内存在一点证明在且内可导在上连续在设)()(2)(,)1,0(,0)0(,)1,0(,]1,0[)(c f c f c f c c f x f '=+'=23、).()1()1()()()1,0(,0)()1,0(,0)0(,)1,0(]1,0[)(为自然数使证明存在有对任意且内可导上连续在在设n c f c f c f c f n c x f x f x f --'='∈≠∈= 24、)1()1()()()1,0(,0)()1,0(,0)0(,)1,0(,]1,0[)(c f c f c f c f c x f x f x f --'='∈≠∈=使证明存在有对任意且内可导在上连续在设 25、.0)()(2)1,0(,0)1(,)1,0(,]1,0[)(='+∈=c f c c f c f x f 使证明存在一点且内可导在上连续在设26、).(0)()(,)1,0(:0)1(,)1,0(]1,0[)(为正整数使内至少存在一点在证明且内可导上连续在在设n c nf c f c c f x f =+'=27、有且仅有三个证明方程0132=---x x e x28、.)(),(,1)(),()(,],[)(x x f x b a x f b a b x f a b a x f =≠'<<值适合内有仅有一个证明在上有在且上可导在设函数29、.,1),0()()(:0:),0()(21为任意实数其中个不同零点内至少有在求证个不同零点可导且有在设a n x f x af x x x n x f n-+∞'+<<<<+∞30、证明方程有且仅有三个实根212x x -=.31、设证明有且仅有三个实根f x x x x x f x ()()()(),().=---'=1230 32、.)1,0(1)()1(,,4)1(,0)0(,)1,0(,]1,0[)(2内至少有一个实根在方程试证明且内可导在上连续在设函数='+π==x f x f f x f33、.),1(1)(,,1)(,0)1(,),1(,],1[)(内至少有一实根在证明方程且内可导在上连续在设e x f x e f f e e x f ='==34、.)4,0(1)(cos ,1)4(,0)0(,)4,0(,4,0)(2内至少有一实根在试证明方程且内可导在上连续在设函数π='=π=π⎥⎦⎤⎢⎣⎡πx f x f f x f35、.)2,0(cos )(,1)2(,0)0(,)2,0(,2,0)(内至少有一实根在试证明方程且内可导在上连续在设π='=π=π⎥⎦⎤⎢⎣⎡πx x f f f x f36、.0)()()(),2,0(,0)2(,)2,0(,]2,0[)(=ξ'⋅ξ+ξπ∈ξ=πππf tg f f x f 使证明存在一点且内可导在上连续在设37、)(2sin )(2),4,0(,0)4(,)4,0(,]4,0[)(='⋅+π∈=πππc f c c f c f x f 使证明存在一点且内可导在上连续在设.38、)()1()(),1,0(,0)1(,)1,0(,]1,0[)(=ξ'-+ξ∈ξ=ξ-f e f f x f 使证明存在一点且内可导在上连续在设.39、)(arcsin 1)(),21,0(:,0)21(,)21,0(,]21,0[)(2='⋅-+∈=c f c c c f c f x f 使至少存在一点证明且内可导在上连续在设40、.)(),0(:,0)(),0(,)(1,],0[)(xae xf x a x f a e x f a x f =<'<<使内有且仅一个在证明内在且上可导在设函数41、.tan )(,)4,0(,1)(4,0],4,0[,1)(0,]4,0[)(x x f x x f x x f x f =π<'⎪⎭⎫ ⎝⎛ππ∈<<π使内有且仅有一个证明在内在且上可导在设函数42、.sin )(,)2,0(,cos )(:)2,0(]),2,0[(1)(0,]2,0[)(x x f x x x f x x f x f =π≠'ππ∈<<π使内有且仅有一个证明在一个点处内的每在且上可导在设函数43、.arctan )(,)1,0(,11)()1,0(,4)(0,]1,0[)(2x x f x xx f x f x f =+≠'π<<使内有且仅有一个证明在内的每一点处在且上可导在设函数44、().ln )(,,11)(),1(,1)(0,],1[)(x x f x e x f x e x f e x f =<'<<使内有且仅有一个证明在内在且上可导在设函数45、设为偶数且试证方程仅有一个实根n a x a x a x n n n ,,.().≠+=+=00设试用罗尔定理证明方程仅有一实根a b x a x b x c 232300-<+++=,.47、.)1,0(0:,0113121,,,221021010内至少有一实根在方程试证的实数是满足设=++++=+++++nnn n x a x a x a a a n a a a a a a48、.其中使内至少有一个试证明在且阶导数存在上有在若b a f b a b f b f b f b f a f n b a x f n n <ξ<=ξξ===''='==-,0)(,),(,0)()()()(,],[)()()1(49、()0)()()(,),(:),,(,,0)()(,,,],[)(),(212121=ξϕ'⋅ξ+ξ'ξ∈==ϕf f x x b a x x x f x f b a b a x x f 使内至少存在一点在证明且内可导在上连续在设50、),()(,0)1()0(,]1,0[)(3x f x x F f f x f ===设且上存在三阶导数在若函数.0)(),1,0(=ξ'''∈ξF 使则存在 51、.0)1(,001211001110的正根必有一个小于证明方程有一正根若方程x a x n a nx a x x x a x a x a n n n n n n =++-+==+++-----52、)0()()1,0(:),()1()(,]1,0[)(00ϕ='∈ϕ-=ϕx f x x x x f x 使存在求证可导在设 53、.]1,0[2)(上的正确性在对函数验证拉格朗日中值定理xx f =54、.]2,0[sin )(理的正确性上验证拉格朗日中值定在区间对函数π=x x f 55、.]2,0[cos )(理的正确性上验证拉格朗日中值定在区间对函数π=x x f56、.],1[ln )(理的正确性上验证拉格朗日中值定在区间对函数e x x f =57、正确性上拉格朗日中值定理的在验证]4,2[)(2x x f =对函数在上验证拉格朗日中值定理的正确性f x x ()a r c t a n [,].=01 59、叙述并证明拉格朗日中值定理60、.2)(,)1,0(:1)1(,1)1()0(,]1,0[)(=''='==c f c f f f x f 使内存在点在证明上二阶可导在设61、.)(,1)0()()( : ),()(:xe xf f x f x f x f ==='+∞-∞则及上可导并满足在若试证明 62、[].)()(3)()(1),,(,],[)(233ξ'ξ+ξξ=-∈ξf f b f a f a b a b b a b a x f 使证明存在上可导在设63、().,,)(),(,),,(为常数其中内则在有若对B A B Ax x f b a A x f b a x +==∈ 64、).(lim )(lim 2141)(211,00x x x x x x x x x θθ≤θ≤θ+=-+≥+∞→+→及并求及证明若65、.)(,)(:,)(lim ),(),()(),,(,],[)(00000A x f x f A x f b x x a x f b a x b a x f x x =''='∈→且存在证明内均可导且与在且上连续在设66、[]设求证对有l i m (),:,l i m ()().x x f x a T f x T f x T a →+∞→+∞'=∀>+-=0 67、.))(,(0)(,0)(:,0)(,,,],[)(内有且仅有一个实根在则方程若试证为常数其中时且当可导上连续在设ka f a a x f a f k k x f a x a x f -=<>>'>+∞ 68、证明恒等式在时成立:a r c c o sa r c c o s ().334123x x x x --=≤π69、.1)()(:,0)0(,1)0(),()(),()(,)(),(22=+==-='='x g x f g f x f x g x g x f x g x f 证明且都为可导函数设70、证明当时恒等成立:,a r c t a n a r c t a n .x x x ≠+=01222π71、证明恒等式在时成立221012a r c t a n a r c t a n ,.x xxx --=< 72、证明恒等式在时成立x x x x -+=<<232232a r c t a n (s e c t a n ).πππ73、证明恒等式在时成立2222a r c t a n (s e c t a n ).x x x x +-=-<<πππ74、证明恒等式在时成立22112a r c t a n a r c t a n .x xxx --=<<+∞π75、.)()0(,,),0()(]),,0[()(,],0[)(Ma a f f a x f a x M x f a x f ≤'+'∈≤''试证明内取得最大在且上二阶可导在设函数76、且等号有对任意实数证明应用拉格朗日中值定理)1ln(arctan 2,:2x x x x +≥.0时成立=x77、用拉格朗日中值定理证明当时,,l n .x e xx x>-<0178、证明 为自然数11111n n nn +<+<l n ()()79、).1(10,01:时成立等号仅限于其中明利用拉格朗日值定理证=<<>-≤-x a x a ax x a80、证明当时:,s i n t a n .022<<+>x x x x π81、证明当时:,a r c t a n a r c t a n .01122<<-+<-<-+a x x a x x a x aa82、证明当时恒等式成立:,a r c t a n a r c s i n .x x xx≥++=12212π83、证明当时恒等式成立:,a r c t a n a r c s i n .x x xx≤-+=122102 84、设在内可微但无界,试证明在内无界。
中值定理证明题本页仅作为文档页封面,使用时可以删除This document is for reference only-rar21year.March中值定理证明题1. 设)(x f 在[0,2a]上连续,)2()0(a f f =,证明在[0,a]上存在ξ使得 )()(ξξf a f =+.【分析】)(x f 在[0,2a]上连续,条件中没有涉及导数或微分,用介值定理或根的存在性定理证明。
辅助函数可如下得到0)()(0)()()()(=-+→=-+→=+x f x a f f a f f a f ξξξξ【证明】令)()()(x f x a f x G -+=,],0[a x ∈.)(x G 在[0,a]上连续,且 )()0()()2()(a f f a f a f a G -=-=)0()()0(f a f G -=当)0()(f a f =时,取0=ξ,即有)()(ξξf a f =+;当)0()(f a f =时,0)()0(<a G G ,由根的存在性定理知存在),0(a ∈ξ使得,0)(=ξG ,即)()(ξξf a f =+.2. 试问如下推论过程是否正确。
对函数21sin0()00t t f t tt ⎧≠⎪=⎨⎪=⎩在[0,]x 上应用拉格朗日中值定理得:21sin 0()(0)111sin ()2sin cos 00x f x f x x f x x x ξξξξ--'====--- (0)x ξ<< 即:111cos2sinsinx xξξξ=- (0)x ξ<< 因0x ξ<<,故当0x →时,0ξ→,由01lim 2sin0ξξξ+→= 01lim sin 0x x x+→= 得:0lim x +→1cos 0ξ=,即01lim cos0ξξ+→=解:我们已经知道,01lim cos0ξξ+→=不存在,故以上推理过程错误。
第四章 证明一、中值定理(一)连续函数在闭区间上的性质1. 有界性:设 在[a,b]上连续,则 在[a,b]上有界2. 最值性:如果 在[a,b]上连续,则 在[a,b]上一定存在最大值M 和最小值m3. 介质定理:如果函数 在[a,b]上连续,且最大值和最小值分别为M 和m ,则 ,至少存在一点 ,使得4. 零点定理:如果 在[a,b]上连续,且,则至少存在一点 使得 相关命题证明思路: 思路一:介质定理适用于:[],a b ξ∃∈上的命题 Step1:由最值定理:()m f x M ≤≤ Step2:利用介质定理例1:设函数()(),f x g x 在[],a b 上连续,且()0g x >. 利用闭区间上连续函数性质, 证明:存在一点[],a b ξ∈,使得()()()()bbaaf xg x dx f g x dx ξ=⎰⎰.()f x ()f x ()f x ()f x ()f x [],c m M ∀∈[],a b ξ∈()f c ξ=()f x ()()0f a f b ⋅<(),a b ξ∈()0f ξ=思路二:辅助函数法 适用于:(),a b ξ∃∈的命题 重点:辅助函数()F x 的作法:例2:已知函数()f x 在[]0,1上连续,且()()00,11f f ==,证明:存在()0,1ξ∈, 使得()1f ξξ=−.例3:设()(),f x g x 在[],a b 上连续 证明:(),a b ξ∃∈,使得()()()()bag f x dx f g x dx ξξξξ=⎰⎰.(二)微分中值定理1. (费马定理)(极值得必要条件) 设()f x 在0x 处满足条件:(1)在0x 的邻域内恒有()()0f x f x ≥(或()()0f x f x ≤) (2)()f x 在0x 处可导 则()00f x '= 2. 罗尔定理设函数()f x 满足在[a,b]上连续,在(a ,b )内可导,()()f a f b =,则存在一点(),a b ξ∈,使得()0f ξ'=.3. 拉格朗日中值定理(也称有限增量公式)设函数()f x 满足[a,b]上连续,在(a ,b )内可导,则至少存在一点(),a b ξ∈,使得()()()f b f a f b aξ−'=−注:(1)等价形式:()()()()f b f a f b a ξ'−=−或()()()()()()01f b f a f a b a b a θθ'−=+−−<< (2)ξ对a ,b 有依赖性,且a ,b 可以时变量(3)推论:()f x 在(a ,b )内可导,且()0f x '≡,则()f x 在(a ,b )内为常数例1:证明:arctan arctan 2xxe e π−+=.4. 柯西中值定理设函数()(),f x g x 满足[a,b]上连续,在(a ,b )内可导,且()0g x '≠,则至少存在一点(),a b ξ∈,使得()()()()()()f b f a fg b g a g ξξ'−='− 5. 泰勒定理设()f x 在含0x 的区间(a ,b )内n+1阶可导,那么()()()()()()()()00000...!n nn f x f x f x f x x x x x R x n '=+−++−+其中()()()()()()()11001!n n n n f x x n R x o x x ξ++⎧−−−−⎪⎪+=⎨⎪−−−−⎪⎩拉格朗日型余项佩亚诺型余项使用泰勒注意事项:例2:设()f x 在[]0,1上二阶可导,()()()01,f f f x A ''=≤ 证明:()2A f x '≤.重要题型: (I )证明:()()0n f ξ=的证明方法:①验证()()1n f x −在x ξ=处满足费马定理②验证()()1n f x −在包含x ξ=于其内的闭区间上满足罗尔定理③利用泰勒公式例1:设()f x 在[],a b 上可导,()()0f a f b +−''<,证明: (),a b ξ∃∈,使得()0f ξ'=.例2:已知:()f x 在[0,2]上连续,在(0,2)内可导,且()()()30122f f f =+. 证明:()0,2ξ∃∈,使得()0f ξ'=.例3:设()f x 在[]0,2上连续,在()0,2内二阶可导,()()()()32101,22f f f f x dx ==⎰证明:()0,2ξ∃∈,使得()0f ξ''=.(II )由()()()()()(),,,,,,,...,n a b f a f b f f f ξξξξ'构成的代数式证明构造辅助函数的方法主要有两种:例1:设()f x 在[a,b]上连续,在(a,b )内可导,()(),,f a b f b a a b ==与同号 求证:(),a b ξ∃∈,使得()()f f ξξξ−'=.例2:(1999,3)设()f x 在[0,1]上连续,在(0,1)内可导,且()()1010,12f f f ⎛⎫===⎪⎝⎭,证明:(1)存在1,12η⎛⎫∈ ⎪⎝⎭,使得()f ηη=.(2)对任意实数λ,存在()0,ξη∈,使得()()1f f ξλξξ'−−=⎡⎤⎣⎦例3:(2007,3)设函数)(),(x g x f 在],[b a 上二阶可导,且0)(≠''x g ,0)()()()(====b g a g b f a f .试证1) 在),(b a 内0)(≠x g .2) 在),(b a 内至少有一点ξ,使)()()()(ξξξξg f g f ''''=.例4:设0b a >>. ()f x 在[],a b 连续,在(),a b 内可导,()0f a = 证明:(),a b ξ∃∈,使得()()b f f aξξξ−'=.例5:设()f x 在[]0,1上连续,在()0,1内可导,又()()1101,1x k f k xe f x dx k −=>⎰证明:()0,1ξ∃∈,使得()()()11f f ξξξ−'=−.例6:设()f x 在[],a b 连续,在(),a b 内可导.证明:(),a b ξ∈,使得()()()()bf b af a f f b aξξξ−'=+−.例7:设0b a >>. 证明:(),a b ξ∃∈,使得()()1b a ae be e a b ξξ−=−−.(IV )双中值问题例1:设)(x f 在],[b a 上连续,在),(b a 内可导,且1)()(==b f a f ,试证存在),(,b a ∈ηξ使1)]()([='+−ηηξηf f e 。
微分中值定理的证明2014届本科毕业论文(设计)题目:微分中值定理的证明及其应学院:数学科学学院专业班级:数学09-3班学生姓名:迪丽尼格尔。
艾来提指导教师:依力夏提答辩日期:2014年月日新疆师范大学教务处目录1 引言...。
.....。
....。
..。
.。
...。
.。
..。
..。
..。
.。
...。
..。
21。
1 最大最小定理........................... 错误!未定义书签。
1。
2介值性定理.............................. 错误!未定义书签。
1。
3 根的存在性定理 ......................... 错误!未定义书签。
1.4一致连续性定理........................... 错误!未定义书签。
1.5 费马定理................................ 错误!未定义书签。
1.6有界性定理 .............................. 错误!未定义书签。
2 微分中值定理错误!未定义书签。
2。
1 罗尔中值定理........................... 错误!未定义书签。
2。
2拉格朗日中值定理 ....................... 错误!未定义书签。
2.3 柯西中值定理 ............................ 错误!未定义书签。
3 微分中值定理的证明。
.。
...。
.。
....。
.。
....。
..。
..。
.。
.。
.。
.。
...。
.。
.。
.。
....。
..。
..。
.。
...。
.。
.。
.错误!未定义书签。
3。
1 罗尔中值定理的证明..................... 错误!未定义书签。
3。
2拉格朗日中值定理的证明 ................. 错误!未定义书签。
3.3 柯西中值定理的证明...................... 错误!未定义书签。