第10章--离散系统的频率响应
- 格式:ppt
- 大小:545.50 KB
- 文档页数:25
奥本海姆离散时间信号处理课后习题答案(中文版)第一章信号与系统1.1 信号与系统的基本概念习题1.1答案:信号是描述现象或事件随时间或空间变化的数学表示。
系统是对信号进行处理、转换或传递的装置或过程。
习题1.2答案:连续时间信号是定义在连续时间范围内的信号,例如音频信号;离散时间信号是定义在离散时间点上的信号,例如图像信号。
习题1.3答案:线性系统满足叠加性和齐次性两个性质。
具体地,对于系统而言,若输入为x1(t)和x2(t),输出分别为y1(t)和y2(t),则对于任意常数a1和a2,输入为a1x1(t)+a2x2(t)时输出为a1y1(t)+a2y2(t)。
1.2 线性时不变系统习题1.4答案:时不变系统的输出仅与输入在时间上的延迟有关,与系统的初始时刻无关。
习题1.5答案:系统的单位冲激响应是对单位冲激信号的系统输出。
习题1.6答案:对于线性时不变系统,输入信号可以表示为一系列单位冲激信号的线性组合,输出信号是对这些单位冲激响应的线性组合。
第二章离散时间信号与系统2.1 离散时间信号的表示习题2.1答案:离散时间信号可以通过序列来表示,例如x[n]。
答案:离散时间信号有两种表示方法:时域表示和频域表示。
时域表示是离散时间信号在时间上的展示,例如折线图;频域表示是离散时间信号在频率上的展示,例如傅立叶变换。
习题2.3答案:离散时间信号可以视为连续时间信号在时间上的采样得到的。
2.2 离散时间系统的基本概念习题2.4答案:对于离散时间系统,输入信号和输出信号都是离散时间信号。
习题2.5答案:线性时不变系统的性质也适用于离散时间系统。
答案:离散时间系统的单位冲激响应是对单位冲激信号的系统输出。
第三章离散时间系统的时域分析3.1 离散时间系统的瞬时描述习题3.1答案:离散时间系统的单位冲激响应可以通过对系统输入的单位冲激信号进行采样得到。
习题3.2答案:离散时间系统的零状态响应是指在该系统中,输入信号的作用结束后,系统输出的响应。
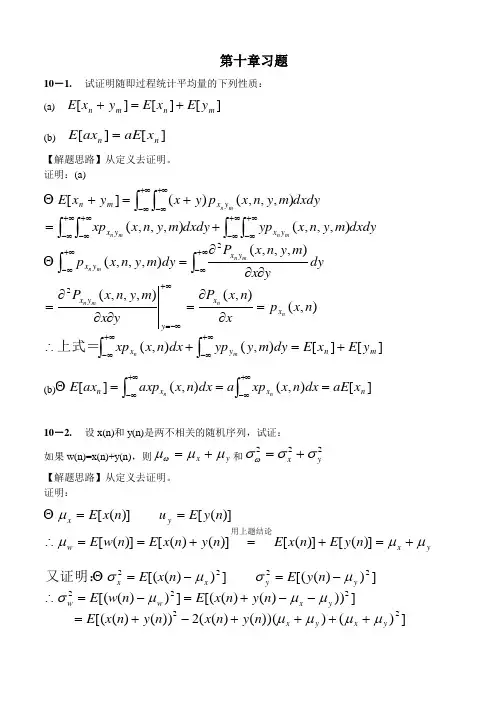
第十章习题10-1. 试证明随即过程统计平均量的下列性质: (a) ][][][m n m n y E x E y x E +=+ (b)][][n n x aE ax E =【解题思路】从定义去证明。
证明:(a)][][),(),(),(),(),,,(),,,(),,,(),,,(),,,(),,,()(][22m n y x x x y y x y x y x y x y x y x m n y E x E dy m y yp dx n x xp n x p xn x P yx m y n x P dyy x m y n x P dy m y n x p dxdym y n x yp dxdy m y n x xp dxdym y n x p y x y x E m n n n m n m n m n m n m n m n +=+∴=∂∂=∂∂∂=∂∂∂=+=+=+⎰⎰⎰⎰⎰⎰⎰⎰⎰⎰∞+∞-∞+∞-∞+-∞=∞+∞-∞+∞-∞+∞-∞+∞-∞+∞-∞+∞-+∞∞-+∞∞-上式=(b)][),(),(][n x x n x aE dx n x xp a dx n x axp ax E n n ===⎰⎰+∞∞-+∞∞-10-2. 设x(n)和y(n)是两不相关的随机序列,试证: 如果w(n)=x(n)+y(n),则y x μμμω+=和222y x σσσω+=【解题思路】从定义去证明。
证明:yx w y x n y E n x E n y n x E n w E n y E u n x E μμμμ+=+=+==∴==)]([)]([)]()([)]([)]([)]([用上题结论])()))(()((2))()([(])))()([(]))([(]))([(]))([(222222222y x y x y x w w y y x x n y n x n y n x E n y n x E n w E n y E n x E μμμμμμμσμσμσ++++-+=--+=-=∴-=-= 又证明:2)()]}([)]([){()]()([)()]))(()([(y x y x y x y x n y E n x E n y n x E n y n x E μμμμμμμμ+=++=++=++222222222222222222])([])([])(2)()([)]([)]([)]()([)()()]()([2)]([)]([]))()([()(]))()([(])())()([(yx y x y x y x w yx y x y x w n y E n x E n y n x E n y E n x E n y n x E n y n x n y n x E n y E n x E n y n x E n y n x E n y n x E σσμμμμμμσμμμμμμσ+=-+-=+-++=∴=⋅∴++++-+=+-+=∴=不相关与由于=其中10-3. 某一个随机过程的取样序列x(n)的形式为)cos()(0θω+=n n x式中θ是一个均匀分布的随机变量,其概率密度如图。
实验二 差分方程的求解和离散系统频率响应的描述一、 实验目的1、掌握用MATLAB 求解差分方程的方法。
2、掌握绘制系统的零极点分布图和系统的频率响应特性曲线的方法。
3、 观察给定系统的冲激响应、阶跃相应以及系统的幅频特性和相频特性二、 实验内容1、已知描述离散新天地差分方程为:y(n+2)-0,25y(n+1)+0.5y(n)=x(n)+x(n-1),且知该系统输入序列为)()2/1()(n u n x n =,试用MATLAB 实现下列分析过程:画出输入序列的时序波形;求出系统零状态响应在0~20区间的样值;画出系统的零状态响应波形图。
2、一离散时间系统的系统函数:5731053)(2323-+-+-=z z z zz z z H ,试用MA TLAB 求出系统的零极点;绘出系统的零极点分布图;绘出响应的单位阶跃响应波形。
三、 实验报告要求1、求出各部分的理论计算值, 并与实验结果相比较。
2、绘出实验结果波形(或曲线),并进行分析。
3、写出实验心得。
附录:本实验中所要用到的MATLAB 命令1、系统函数H(z)在MATLAB 中可调用函数zplane (),画出零极点分布图。
调用格式为: zplane (b,a ) 其中a 为H (z )分母的系数矩阵,b 为H(z)分子的系数矩阵。
例2-1:一个因果系统:y (n )-0.8y(n -1)=x(n)由差分方程可求系统函数 8.0,8.011)(1>-=-z z z H零极点分布图程序:b=[1,0];a=[1,-0.8];zplane(b,a)2、求解差分方程在MA TLAB中,已知差分方程的系数、输入、初始条件,调用filter()函数解差分方程。
调用filter()函数的格式为:y=filtier(b,a,x,xic),参数x为输入向量(序列),b,a分别为(1-30)式中的差分方程系数,xic是等效初始状态输入数组(序列)。
确定等效初始状态输入数组xic(n),可使用Signal Processing toolbox中的filtic()函数,调用格式为:y=filtic(b,a,y,x) 。
差分方程的Z 域解序言描述离散时间系统的数学模型为差分方程。
求解差分方程是我们分析离散时间系统的一个重要途径。
求解线性时不变离散系统的差分方程有两种方法:• 时域方法——第七章中介绍,烦琐 • z 变换方法• 差分方程经z 变换→代数方程; • 可以将时域卷积→频域(z 域)乘积; • 部分分式分解后将求解过程变为查表;• 求解过程自动包含了初始状态(相当于0-的条件)。
一.应用z 变换求解差分方程步骤一.步骤(1)对差分方程进行单边z 变换(移位性质 );(2)由z 变换方程求出响应Y (z ) ; (3) 求Y (z ) 的反变换,得到y (n ) 。
例8-7-1(原教材例7-10(2))解:方程两端取z 变换()0.9(1)0.05()(1)1,y n y n u n y --=-=已知系统的差分方程表达式为若边界条件求系统的完全响应。
()()()10.910.051zY z z Y z y z -⎡⎤-+-=⎣⎦-例8-7-2 已知系统框图列出系统的差分方程。
求系统的响应 y (n )。
解:(1) 列差分方程,从加法器入手(2)(3)差分方程两端取z 变换,利用右移位性质()()()()20.910.0510.90.9y z z Y z z z z -=+---()1210.9Y z A z A zz z z =+--()1210.9Y z A z A z zz z =+--120.5 0.45A A ==()0.50.4510.9Y z z z z z z =+--()()()0.50.450.9 0n y n n =+⨯≥()()()()⎩⎨⎧==<≥-=010,0002y y n n n x n ()()()()()13122x n x n y n y n y n +-----=()()()()()12213 -+=-+-+n x n x n y n y n y 所以()()151,224y y -=--=()()()()1,2,1,0z y y y y --用变换求解需要用由方程迭代出()()()()()()12131212Y z z Y z y z Y z z y y ---⎡⎤⎡⎤++-++-+-⎣⎦⎣⎦a.由激励引起的零状态响应即零状态响应为b.由储能引起的零输入响应即零输入响应为c.整理(1)式得全响应注意()()()1 01221=-+++=-x z z z z z ()[]2123121zs ++=++--z z zz z Y ()()2zs 22z Y z z =+()()()()()n u n n y z Y n21zs zs-+=↔2n ≥-(对都成立)()[]()()()221312231121zi ------=++---y y y z z z z Y ()()()()1223121zi +++-=++--=z zz z z z z z z Y ()()()()1223zi zi ≥-+--=↔n n y z Y nn()()()()22112221212+++++=++=z B z B z A z z z z Y ()()()()222122d d !121221-=-=⎥⎦⎤⎢⎣⎡+++⋅-=z z z z z B ()()2222212 +-++-++=z z z z z Y 所以()()2222212+-+-+=z zz z z z z Y ()()()()()0 22212≥-+---=n n n y n n n 122,2A B ==-()()()2212zY z z z =++2(),2()n azna u n a z a ↔=--验证 由方程解y (n )表达式可以得出y (0)=0, y (1)=0,和已知条件一致。
目 录第一部分 名校考研真题第7章 离散时间系统的时域分析第8章 z变换、离散时间系统的z域分析第9章 离散傅里叶变换以及其他离散正交变换第10章 模拟与数字滤波器第11章 反馈系统第12章 系统的状态变量分析第二部分 课后习题第7章 离散时间系统的时域分析第8章 z变换、离散时间系统的z域分析第9章 离散傅里叶变换以及其他离散正交变换第10章 模拟与数字滤波器第11章 反馈系统第12章 系统的状态变量分析第三部分 章节题库第7章 离散时间系统的时域分析第8章 z变换、离散时间系统的z域分析第9章 离散傅里叶变换以及其他离散正交变换第10章 模拟与数字滤波器第11章 反馈系统第12章 系统的状态变量分析第四部分 模拟试题第一部分 名校考研真题 说明:本部分从指定郑君里主编的《信号与系统》(第3版)为考研参考书目的名校历年考研真题中挑选最具代表性的部分,并对其进行了详细的解答。
所选考研真题既注重对基础知识的掌握,让学员具有扎实的专业基础;又对一些重难点部分(包括教材中未涉及到的知识点)进行详细阐释,以使学员不遗漏任何一个重要知识点。
第7章 离散时间系统的时域分析一、填空题1.周期分别为3和5的两个离散序列的卷积和的周期性为______。
[北京航空航天大学2007研]【答案】7【解析】对于线性卷积,若一个周期为M,另一个周期为N,则卷积后周期为M+N-1,所以。
2.某线性时不变(L TI)离散时间系统,若该系统的单位阶跃响应为则该系统的单位脉冲响应为______。
[北京交通大学研]【答案】【解析】本题考查离散时间系统的单位脉冲响应。
用表示单位阶跃响应,由于利用线性和时不变特性可得二、判断题一个离散时间信号实际上就是一组序列值的结合{x(n)}。
( )[南京大学2010研]【答案】√【解析】离散时间函数,只有在某些离散时给出函数值,只是在某些离散瞬时给出函数值。
因此,它是时间不连续的“序列”的。
三、选择题1.信号的周期是( )。
离散系统的频率响应分析和零极点分布离散系统的幅频响应描述了系统对不同频率信号的放大或压缩能力。
幅频响应一般用幅度响应曲线表示,即以输入信号频率为横轴,以输出信号幅度为纵轴绘制的曲线。
幅频响应曲线可以展示离散系统的增益特性,即在不同频率下系统对信号的放大或压缩程度。
幅频响应曲线上的波动和变化可以反映系统对不同频率信号的响应情况。
离散系统的相频响应描述了系统对不同频率信号的相位差。
相频响应也是以输入信号频率为横轴,以输出信号相位为纵轴绘制的曲线。
相频响应可以展示离散系统对不同频率信号的相位延迟或提前情况,即输入信号和输出信号之间的相位差。
相频响应的变化可以反映系统对不同频率信号相位的变化情况。
在频率响应分析中,零极点分布也是非常重要的。
零点是指离散系统传递函数的分子多项式为零的根,极点是指传递函数的分母多项式为零的根。
零极点的分布对离散系统的频率响应和系统特性有着重要的影响。
具体来说,零点会在幅频响应曲线上产生波动或峰值,影响系统的放大或压缩程度。
零点的频率越高,波动或峰值的位置越靠近高频,反之亦然。
而极点会导致幅频响应曲线的趋势变化,影响系统的稳定性和阻尼特性。
极点越接近单位圆,系统越不稳定;极点越远离单位圆,系统越稳定。
相频响应同样受到零点和极点的影响。
零点的频率越高,在相频响应曲线上引起的相位变化越明显。
而极点的频率越接近单位圆,相频响应曲线呈现明显的相位延迟。
极点越远离单位圆,相频响应曲线呈现相位提前的情况。
因此,频率响应分析和零极点分布是研究离散系统特性的重要方法。
通过频率响应分析和零极点分布,我们可以了解离散系统对不同频率输入信号的响应情况、系统的稳定性特点以及系统的放大和压缩能力。
这对于离散系统的设计、控制和优化都有着重要的指导意义。
离散积分器频率响应
离散积分器是数字信号处理中常用的一种滤波器,它在信号处理和控制系统中具有重要的作用。
离散积分器的频率响应是描述其在频域中的性能的重要指标之一。
首先,我们来了解一下离散积分器的原理。
离散积分器的作用是对输入信号进行离散积分运算,即对输入信号进行累加处理。
在时域中,离散积分器的输出可以表示为输出序列y(n)与输入序列x(n)之间的关系:
y(n) = y(n-1) + x(n)。
其中,y(n)表示离散积分器的输出,x(n)表示输入信号,n表示时间步长。
离散积分器的频率响应描述了在不同频率下输入信号的幅度变化经过滤波器后的变化情况。
离散积分器的频率响应通常通过频率响应函数来描述,可以用离散时间复频率变量z来表示。
离散积分器的频率响应函数H(z)可以表示为:
H(z) = 1 / (1 z^(-1))。
其中,z为复频率变量。
通过对频率响应函数H(z)进行频域分析,可以得到离散积分器在不同频率下的幅度响应和相位响应。
离散积分器的频率响应在信号处理和控制系统中具有广泛的应用。
在数字滤波器设计中,离散积分器可以用于实现低通滤波器和积分控制器等功能。
在控制系统中,离散积分器可以用于实现对系统误差的积分控制,提高系统的稳定性和精度。
总之,离散积分器的频率响应是描述其在频域中性能的重要指标,对于理解离散积分器的工作原理和应用具有重要意义。
在实际应用中,我们需要根据具体的需求和系统特性来选择合适的离散积分器,并对其频率响应进行分析和设计,以实现对信号和系统的有效处理和控制。